Abstract
The impetus of the present work is to propose a comprehensive methodology for the numerical evaluation of drying/curing, as one of the most complex and energy-consuming stages in the paint shop plant, to guarantee a decrease in energy costs without sacrificing the final paint film quality and manufacturability. Addressing the complexities of vehicle assembly, such as intricate geometry and multi-zoned ovens, our approach employs a sophisticated conjugate heat transfer (CHT) algorithm, developed under the OpenFOAM framework, providing efficient heat transfer with the accompaniment of the Large Eddy Simulation (LES) turbulence model, thereby delivering high-fidelity data. This algorithm accurately simulates turbulence and stress in the oven, validated through heat sink cases and closely aligning with experimental data. Applying modifications for the intake supply heated airflow rate and direction leads to optimal recirculation growth in the measured mean temperature within with the curing oven and along the car body surface, saving a significant amount of energy. Key adjustments in airflow direction improved temperature regulation and energy efficiency while enhancing fluid dynamics, such as velocity and temperature distribution. Furthermore, the study integrates machine learning to refine the oven’s heat-up region, which is crucial for preventing paint burnout. A data-based model using a variational auto-encoder (VAE) and an artificial neural network (ANN) effectively encodes temperature and velocity fields. This model achieves an impressive 98% accuracy within a 90% confidence interval, providing a reliable tool for predicting various operational conditions and ensuring optimal oven performance.
1. Introduction and Motivation
The automotive industry’s increasing production rates have heightened the demand for energy-efficient and environmentally sustainable paint curing processes. The “paint curing”, which is defined as the drying of wet or powdered liquid paint to a hard film, is the most critical step in determining the final paint film quality and is a significant energy consumer in the paint shop industries. During the last two decades, with the growing vehicle mass production rate, there has been a higher demand for faster curing time along with satisfying high film quality in terms of visual appearance, corrosion, and durability being taken into consideration. The main implemented strategies were retrofitting, optimizing, or redesigning the previous ovens with the particular view of increasing their energy efficiency. In the automotive industry, paint curing ovens consume more than 20% of the paint shop’s total energy [1]. More than 25% of the energy is wasted due to suboptimal design, particularly at the startup and setback curing durations. The main sources of energy waste during drying/curing in automotive paint shops are ovens, furnaces, dryers, and boilers, which need special attention [2]. According to Niamsuwan et al. [3], wall and stored heat loss, waste gas loss, and entrance radiation loss are the most common types of heat loss in the auto oven. This proves the importance of further and precise numerical assessment of the thermo-fluid–solid coupling scenario and turbulence flow physics inside the automotive curing ovens for thermal energy management, savings, and recovery, with high paint film quality [4]. The present high-fidelity numerical investigation of thermo-fluid–solid coupling turbulence treatment aims to guarantee the optimization and control of the above-mentioned losses and develop oven efficiency.
The most significant paint film curing mechanisms include solvent loss, chemical reaction, oxidation, melting, and resolidifying [5]. The heat transfer rate, curing time, and temperature distribution are three determining factors for energy consumption optimization during the drying/curing stage, avoiding under-curing or overcuring phenomena, as shown in the paint cure window (PCW) [5,6]. To obtain a corrosion protective film layer of paint, controlling two challenging parameters of the curing temperature (to prevent exposing to crude or over-cured ranges) and the amount of consumed energy in the oven is significant [5]. The formed paint film quality strongly depends on the conveyor pace and the homogeneity of the temperature distribution, which are controlled by empirical approaches [7]. Figure 1a exhibits a schematic of a typical PCW, which defines the temperature ranges for the specified heating time with tolerances to reach desired drying/curing quality, as well as maximum (Tmax) and minimum (Tmin) temperatures as limitations [8,9]. If the paint film reaches above the Tmax or below the Tmin, regardless of curing time, it can be considered an “over-baked/burned-out” or “under-baked” film, respectively. Similarly, the transformed temperature (TT) curve uses a standard method to check the cured paint film quality [10]. The paint curing is regarded as appropriate when the TT curve enters and exits from the AB and BC lines, respectively. If the cure time becomes lower or excessive for the TT curve to cross the AB and CD lines, the paint film will be “over-baked” or “under-baked”, respectively. The curves that are obtained by measuring the temperature history at the vehicle body critical points are called an ideal curing procedure, as shown in Figure 1b for the primer coat application [11].
Figure 1.
Schematic representation of (a) the paint cure window (PCW) operational criteria for an automotive oven, and (b) optimal curing operational conditions for the primer coat layer.
Automotive mass production rate growth involves the employment of faster curing protectors with optimal lengths to supply mild hot flow without temperature gradients [12]. Due to the high costs of the computational fluid dynamics (CFD) modeling, complicated geometry of the oven and car, complex physical processes, diverse scales of transient flows, and execution of a moving mesh with many bodies in the long-length oven, automotive continuous ovens are rarely addressed numerically in the literature [10,13]. Most of the investigations on this matter have implemented simplified models of the paint curing oven when they have applied various numerical methodologies such as Shrivastava and Ameel [14], Bielski and Malinowski [15], Mishra et al. [16], and Rao [17]. Some of the most relevant efforts in enhancing automotive paint curing are as follows.
Xiao et al. [9] used a proactive quality control (QC) method for topcoat curing using dynamic process–product approaches. Rao and Teeparthi [18] developed a semi-computational model for oven heat-up, focusing on nozzle arrangement and steady-state temperature on the Body in White (BiW) surface. Rao [17] further refined these equations for complex flow patterns in automobile paint ovens. Wu et al. [19] introduced a methodology to approximate transient convection fields, offering effective modeling with reduced computational demand. Mulemane et al. [20] proposed reduced-order models for thermal oven modeling, incorporating lumpd capacities. Despotovic and Babic [4] and Vasudevan [21] both focused on energy flow modeling in curing ovens, and examining influential variables, and Vasudevan reported on residual weights and temperatures. Nazif [6] enhanced energy efficiency in car wax ovens using a low-fidelity turbulence model. Giampieri et al. [2] investigated energy and thermal management in paint curing to reduce consumption.
Domnick et al. [22], and Yu [23] utilized FLUENT software for modeling drying/curing processes, providing insights into paint film quality. Li et al. [24] demonstrated the effectiveness of CFD modeling in capturing flow dynamics to enhance energy efficiency in industrial applications. Albiez et al. [25] used Abaqus software for thermo-mechanical behavior modeling on coated aluminum surfaces. Johnson et al. [26] and Pendar and Páscoa [13] modeled heat transfer using IPS and OpenFOAM software, respectively, focusing on optimizing curing mechanisms and increasing energy efficiency.
Experimental studies by Seubert and Nichols [27], Brinckmann et al. [28], and Chen et al. [29] investigated automotive epoxy clearcoats and water-based paint-drying. Choi et al. [30] explored near-infrared range optimization in convective curing ovens. Agha and Abu-Farha [31] and Sukhodolya et al. [32] conducted experiments to understand curing effects and thermo-mechanical properties, addressing the challenges of experimental methods in this field.
In a practical conventional curing for an automotive paint shop, the car’s body passes through the curing/drying oven, and the cataphoretic paint on the surface with a thickness of ≈10 to 20 μm is exposed to heat with an average temperature of ≈170 °C for around 30 min. Subsequently, after applying the clear coat and base coat layers through spraying, the body paint film layers are baked in a curing oven at an average temperature of ≈140 °C and ≈80 °C for roughly 20 min and 5 min, respectively [10]. Various new innovative painting and curing strategies have been implemented to reduce the process complexity and energy-saving in the automotive paint shop. One of the best methods for minimizing paint shop energy use is eliminating the primer coating booth and curing oven. The two-wet approach, as a successful strategy, can coat on a wet paint surface, eliminating the curing/drying process between paint film layer coating, considerably reducing energy consumption and VOC and CO2 emissions. Additionally, in recent years, a novel method based on three-wet painting, using only one curing process after three layers of deposition, was introduced by Ford and Mazda, resulting in the best environmental performance [10]. The high gradient of turbulent flow inside the paint drying/curing oven, due to various inlet airflow rates from nozzles and panels in diverse directions, makes selecting an appropriate turbulence model a critical issue. The LES turbulence model can better capture the internal flow and vortical structures [11,33,34]. However, the use of a high-fidelity model, such as LES, can be computationally demanding if we aim to optimize the full process. One of the solutions for this problem is the use of reduced-order models, which are data-based, as digital twins of critical regions of the industrial process to ensure optimization.
Low-dimensional models are an increasingly common tool for analyzing flows and reducing the computational cost of CFD simulations. These models can extract the essential features of the flow and aid in extrapolating to untested conditions. An example of this is the reduced-order model, computed using modal decomposition, such as proper orthogonal decomposition (POD) and dynamic mode decomposition (DMD) [35]. However, these modal reconstructions require a thorough understanding of the modes obtained. They must be correctly related to the actual flow, and often necessitate mathematical manipulations to ensure stable results [36].
Machine learning models can be used for the same application; a special type is a convolutional model, which can better analyze 2D fields and accurately predict new conditions in unseen scenarios [37]. Although simple CNNs have demonstrated success in tasks such as image classification, they are often outperformed by generative models, such as variational auto-encoders (VAEs), in generative processes [38]. These generative models are specially designed machine learning models that use probabilistic layers, which are specifically designed for generative processes. In this line of investigation, we present a physically aware generative deep learning model in our research work.
A VAE is used to create a lower-dimensional latent space, which is designed to capture the underlying structure and variability in the data. Each point in the latent space corresponds to a potential data point, and the decoder network can generate data points from these latent representations. VAEs are often used for data generation, denoising, and interpolation. The dimensionality of the latent space is typically chosen by the user and may or may not be smaller than the original data space, depending on the specific application [39]. One of the challenges is making a connection between the “real world” and the latent space, and this is our main focus. In this work, we propose to use an ANN to bridge the gap between a low-dimensional latent space and the real-world working conditions of the oven.
The central piece of the VAE architecture is the sampling layer, which allows the model to generate new, previously unseen data points. During the encoding phase, the input data are mapped to a latent space characterized by mean and variance parameters. The sampling layer then introduces a stochastic element by drawing samples from a Gaussian distribution parameterized by these mean and variance parameters [40]. This sampling process not only aids in generating diverse outputs during the decoding phase but also acts as a regularizing mechanism, ensuring that the latent space maintains a continuous structure. Consequently, VAEs can interpolate smoothly between data points, making them well-suited for tasks like data generation and reconstruction.
Recent works have focused on enhancing the efficiency of the automotive paint curing process through the integration of CFD and neural networks, as explained below. Parsons et al. [41] optimized vehicle part arrangements in paint curing ovens using machine learning surrogates, reducing CFD simulation costs and improving objective function values via a stack ensemble approach. Cavalcante et al. [42] presented a neural network predictive control (NNPC) system for temperature optimization in paint curing ovens, integrating a phenomenological model, generalized predictive control (GPC), and ant colony optimization (ACO) to enhance paint quality and reduce costs. Đaković et al. [43] reviewed machine learning applications for energy optimization in drying processes, focusing on neural networks and other algorithms to estimate energy consumption and reduce costs.
In summary, this study presents an integrated approach combining high-fidelity CFD simulations with machine learning to optimize the automotive paint curing process. The methodology improves heat transfer efficiency, and ensures consistent paint quality. Unlike previous studies relying on experimental data or low-fidelity models, our approach uses a variational auto-encoder (VAE)-based deep learning model and an artificial neural network (ANN) to create a digital twin of the curing oven, enabling precise predictions of temperature and velocity distributions for real-time process optimization. This combination of CFD modeling and data-driven learning offers an effective framework for energy-efficient, high-quality paint curing.
The paper is organized as follows: Section 2 describes the mathematical model and the numerical implementation utilized for simulations; Section 3 presents the oven and provides details on the simulation settings; Section 4, firstly, focuses on the analysis of the fluid-thermal field inside the curing oven using the physical model for the full problem and secondly, presents an analysis of the heat-up region, where two data-based models are applied, and the performance of the generative prediction is studied; and in Section 5, concluding remarks are provided.
2. Governing Equations
The study of the thermal interaction between the solid region and the continuous fluid phase involves three primary components: the fluid (heated air inside the oven) with its internal dynamic circuits, heat diffusion in the solid (car body surface, conveyor, panels, and nozzle base walls), and heat transfer at the interface. This work simulates these phenomena using the following set of appropriate models. The fluid–solid interaction (FSI) in the curing oven, aimed at energy savings and operational optimization, can be computed using a high-order unsteady setup and accurate boundary conditions, flow rates, and temperatures for air nozzles, air panels, and return air ducts located on the walls.
(I) Fluid region: The Favre-average compressible Navier–Stokes (NS) equations, applying the Large Eddy Simulation (LES) filtering technique are presented. The LES turbulence model is used to compute the larger and energy-containing eddies and model the smaller sub-grid structures during the computation. The LES turbulent model provides this capability to govern the high strain and stress rate of the complicated flow inside the oven. In using the LES, all variables, i.e., , are split into sub-grid scale (SGS) () and grid scale (GS) () components, . In the GS component , the is the filter function and is the filter width [44]. We employed the top-hat filter [45] as follows under the OpenFOAM source code:
The grid spacing is used as the basis for setting the filter width [46]. The top-hat (box) filter is an implicit filter, which depends on the grid spacing and, in turn, controls whether the smallest scales are retained. In this work, we modeled all of the scales below the filter width , and employed a “smooth” delta. The gradient of the smoothed distribution is fixed by an adjustable coefficient of as follows:
where and represent the present cell and neighbor cell, respectively.
The equation for the conservation of mass is given as follows:
where, , , and are the fluid velocity vector, density, and time, respectively. The momentum conservation is as follows:
in which and are the viscous stress tensor and pressure, respectively. is defined as follows:
where and denote the kinematic viscosity and Kronecker delta function, respectively. The unresolved transport part, the SGS, , is defined as mentioned in reference Bensow and Fureby [47]:
Equation (6) needs to be modeled using one of the popular sub-grid approaches. Here the eddy-viscosity model is employed as follows:
where is the resolved scale’s strain rate tensor, and a “Local Eddy-Viscosity” method solves the sub-grid scale turbulent viscosity, . Applying the “one equation eddy-viscosity model” (OEEVM) sub-grid scale (SGS) approach preserves an LES turbulence model [13,47]. In the present analysis, the OEEVM sub-grid scale model is utilized. To calculate the turbulence kinetic energy k, the OEEVM approach solves the following equations:
In this model, is the filter width, and and are two constants with the considered values of 1.048 and 0.094, respectively, for the present study. The energy equation, which is solved for the internal enthalpy (), is as follows:
where , , and are kinematic energy, effective thermal diffusivity, and heat generation due to reactions, respectively. The temperature equation for the fluid domain is as follows:
where denotes the molecular thermal diffusivity.
(II) Solid region: In the solid region, the energy equation has to be modeled to obtain the evolution of the space–time temperature. The energy equation represents the temporal enthalpy change, which is equal to the divergence of the heat conducted through the solid:
where is the specific enthalpy, is the solid density, and is the thermal diffusivity which is defined as the ratio between the thermal conductivity and the specific heat capacity .
(III) Solid–fluid coupling: At the solid–fluid interface, since there is no surface reaction, the temperature continuity () and heat fluxes balance () must fulfill the conservation of energy,
where , , and represent the normal direction to the wall and fluid and solid thermal conductivity, respectively. Here, a Neumann–Neumann decomposition approach is applied among various available thermal field coupling techniques [48], guaranteeing the balance of and equations under the prescribed tolerance.
3. Problem Description
3.1. Oven Characteristic and Boundary Conditions
A full-length automotive oven, in combination with the traversing BiW, is modeled in the present CFD computation. The oven’s external walls are specified as a convective boundary condition to account for heat loss to the ambient air. We assumed ALSI302 steel as the constructive material of the car body surface with properties of , , , and . The schematic structure of the applied curing oven, including all zones in the heat-up, holding, and cooling stages, is provided in Figure 2. The oven configuration with 53 m total length has six connected zones, three for the heating up, two for the holding, and one for the cooling. The vehicle’s traversal time for passing through the full oven’s length is ttt = 31 min, which is used as the reference value for defining the dimensionless time (t* = t/ttt) in this work. The current structure is based on an existing automotive oven, and the operating parameters in all zones are validated using actual conditions for the base oven case.
Figure 2.
Schematic representation of the computational domain for a fully configured multi-zoned oven including heat-up, holding, and cooling stages.
The details of each zone’s boundary conditions before modification, e.g., the airflow rate and mean temperature of hot/cold re-circulating air components with their physical characteristics, are specified in Table 1. The turbulence intensity (TI) is kept at 2% for injected heated airflows from all components and the inlet flow from the oven’s entry. Air is specified as an ideal gas with the buoyancy forces created by gravity in the negative y-axis. The computations were performed using parallel computing with 360 processor cores on an Intel® Core™ i7-2600K CPU, equipped with 4 GB of RAM.
Table 1.
Base case geometrical characteristics and operating conditions of the full-length oven in the present work.
The widths of the oven at the upper and middle part of the entrance are 2.40 m and 2.65 m, respectively. Also, the oven’s height is 2.53 m. A BiW enters the oven, is taken upwards in a lift prior, then transported through the zones on a conveyor with the velocity of V = 1.7 m/ min. The lengths of zones 1, 2, and 3 in the heat-up area are 1.2 m, 18.5 m, and 10 m, respectively. Also, zones 3, 4, and 5 in the holding and cooling regions are 17 m, 1.4 m, and 5 m long, respectively. These zones are designed to heat the body, maintain a steady temperature without a severe jump, and ultimately cool down the treated BiW. The temperature is raised to the paint solvent vaporization point in the heat-up region, which results in molecular paint curing. The oven in the present study heats the BiW mostly in convection mode. As depicted in Figure 3 and Figure 4, as well as data from Table 1, hot-air circuits that use heated walls, hot-air nozzles, and panels heat the interior of the oven. The heated air is continuously supplied by burners 1 to 3 (see Figure 3), blown via fan and passed through the tubes, and finally injected into the mentioned components.
Figure 3.
Schematic drawing of oven’s vital layout boundary conditions: supply air nozzles and panels, return air duct, car’s body inlet, and an outlet section.
Figure 4.
Schematic representation of vehicle surface, Citroën Berlingo model, with all assembly and aesthetic key lines.
The supplied hot-air temperatures, which are blown from the wall-mounted nozzles and panels in different zones, range from 190 °C to 220 °C, and the velocities of turbulent flow range from ≈3.0 m/s to 21 m/s (see Table 1). Relatively cooler fresh air is replenished from both ends of the oven, in addition to the mentioned circuits, to compensate for the lost air. The return air ducts located at the top are evacuated of an equivalent airflow volume in a crosswise direction relative to the axial direction zone (see Figure 3), and the outlets are defined as pressure boundaries. Figure 4 illustrates the Citroën Berlingo car body surface, highlighting key aesthetic lines—including wheelbase, character, accent, waist, and roof lines—at heights of 0.3 m, 0.57 m, 0.88 m, 1.18 m, and 1.81 m from the ground. These lines are used for result analysis.
A summary of the steps involved in designing the modified version of the oven is presented here; see Table 2. These corrections are examined for zones 1 to 3 and 6, where the diffusion of the heated air occurs through two series of injectors positioned on both the oven’s upper and lower walls. For modification in the case of Oven_3, the share of the flow rate is manipulated by the equal volume of hot air produced by means of burners 1 to 3. Around 14.7%, 4.3%, 4.3%, and 10% of the flow rated is subtracted from the upper channels and added to the lower ones in zones 1, 2, 3, and 6, respectively, compared to the base oven (Oven_1). These manipulations are intended to improve convection while maintaining the exact amount of generated airflow rate, which is derived from the burners. In the Oven_2 case, this process is implemented to a greater extent compared to the Oven_1 case (base oven) with values of 25%, 15%, 10%, and 10% for zones 1, 2, 3, and 6, respectively.
Table 2.
The details of operating conditions for the full-length curing oven used in the physical model simulations.
3.2. Model Setup and Discretization Methods
The solution uses a compressible transient turbulent flow model to include the turbulence mixing and the buoyancy effects in the oven. A second-order accuracy is considered for all term’s discretization. For the pressure–velocity coupling, the PIMPLE algorithm, which is a hybrid of the PISO [49] and SIMPLE [50], is implemented in this transient modeling. This algorithm proposes better stability and convergence rate for higher time-step values and stronger coupling applicability using the PISO and SIMPLE for the inner and outer corrector loop, respectively [51]. The wall treatment in the LES turbulence relies on the value near-wall cells. The non-dimensional wall distance is defined as , where , , and are the kinematic viscosity, the friction velocity, and the nearest distance to the wall surface, respectively. The utilized wall functions are then activated only in > 11 [52], ensuring a good resolution. The time step size in all of the cases was set at s, which guarantees a Courant number less than 1.0 for unsteady accuracy.
3.3. Mathematical Description of Data-Based Model
In this section, we describe and show the performance of a different machine learning model (data-based) for the predictions of the relation between the set of working conditions with the mean distribution of the velocity and temperature field at the crucial region of the heat-up zone. The input of the machine learning model is a one-dimensional set that represents the working conditions, defined as , where is the inlet flow rate, is the input temperature, is the injection angle, and is the forced outlet flow rate. The inlet and forced outlet flow rates can be joined in one single parameter, which is the ratio of these two as . This reduces the size of the working condition parameters, which will improve the learning of the ML model.
In our investigation, we tested different model architectures of machine learning (ML), and for each one, we studied different hyperparameters and compared the results of the optimized model. The first model tested is a basic ML model that can be used for classification and regression tasks, and it is an artificial neural network (ANN) with feedforward integration. However, this approach presents a big bias and so we developed a model that includes convolutional neural networks (CNNs), which allow better feature capture on 2D fields. A variational auto-encoder (VAE) uses these CNNs to transform the CFD fields into a latent space, reducing the order of the simulations. This latent space allows the transformation of the working conditions to consider an input layer corresponding to our working conditions, such that it is composed as . Using an artificial neural network, we want to predict an output , which will contain the information of a 2D field of temperature or of velocity. The mathematical formulation of a feedforward artificial neural network involves calculating the outputs of the hidden layer neurons using weighted sums and activation functions [53]. Using these hidden layer outputs, it is possible to calculate the final prediction in the output layer. These hidden layers consist of layers with a specific number of neurons/nodes . Each neuron in the hidden layer performs a weighted sum of its inputs, applies an activation function, and passes the result to the next layer. Assuming that a hidden layer is given by , the output will be given by , where is the weight vector, is the bias, and is the activation function [54].
Having several hidden layers, the output layer, where is the dimension of the output, is such that,
The network will learn to map the input data to this array based on the given training data and loss function. The schematic of the vanilla ANN used in the first test is represented in Figure 5. In this type of ML model, the 2D field from the CFD modeling is transformed into 1D arrays and the ML model ensures the connection between working condition and the position of the neuron represented in the 2D field. Deep neural networks can be used to predict unseen conditions for optimization, accounting for complex non-linearity associated with turbulent flow, thereby optimizing the multi-objective optimization in our case of study [55].
Figure 5.
Schematics of the methodology based on an artificial neural network (ANN) for application in the heat–up region of the oven.
Batch size is a crucial hyperparameter in deep learning models that regulates how many samples are sent into the neural network simultaneously during each training iteration. Since it can affect model convergence, generalization, and computational efficiency, choosing a suitable batch size is critical in deep learning applications. The choice of batch size is typically influenced by the complexity of the model, the size of the dataset, the hardware’s memory capabilities, and the optimization strategy used for training. While larger batch sizes may result in faster convergence and lower generalization error, they also require more memory and may cause unstable convergence. On the other hand, smaller batch sizes can take longer to converge and may have larger generalization errors, but they have superior convergence stability and lower memory requirements.
Batch size can dramatically affect the model’s generalization error and rate of convergence. Smaller batch sizes can result in better generalization performance, while larger batch sizes may lead to reduced generalization performance but faster convergence [56]. Although using smaller batch sizes has the disadvantage of requiring more memory per training iteration compared to larger batches, it often achieves higher precision during training.
Although this type of model does not consider spatial relationships within the data, as it processes the data solely as one-dimensional arrays, specialized ML models have been developed to account for spatial relations. This is the case with convolutional neural networks (CNNs). The models tested are based on the convolutional encoder–decoder (CAE) architecture, which uses two convolutional neural networks (CNNs) for encoding and decoding. Figure 6 illustrates the core structure of the architecture; the different models vary in the type of layers used but retain the same overall structure.
Figure 6.
(a) Schematics of the model based on the coupling of a VAE and an ANN. (b) Schematics of the prediction step with an ANN for predicting the latent space of the VAE decoder.
The core component of a CNN is the convolutional layer, which extracts features from the input data through a filtering process defined by the user. Consider an input that has dimension, corresponding to the 2D plane value of the desired field. The output of a convolutional layer can be calculated using the following equation [57],
where is the output of the kth feature map at position , f is the activation function, is the weight of the kth filter at position and , and is the bias term for the feature map.
Each convolutional/deconvolutional layer is followed by a batch normalization layer and a rectified linear unit (ReLU) activation function. We define the model architecture by the size of the filters used in the encoding/decoding and by the number of neurons of the fully connected layers , e.g., for the models of Table 3, which is the initial CAE, the model architecture is 16 × 32 × 64 (128).
Table 3.
Range of the ANN hyperparameters model used in the calibration.
The KL (Kullback–Leibler) divergence loss is used in the training of the VAE to regularize the latent space and ensure it conforms to a standard Gaussian distribution, measuring the difference between the distribution of input and the latent space. The VAE is trained to approximately maximize the log-likelihood . This is done with a Bayesian inference framework using divergence. The likelihood of the input distribution data is given as,
where the VAE maps the input data into the latent space with the function and the latent representation back into the input space [58].
In our tests, we tried different architectures, although the dimension of the latent space Z is always the same as the last layer of the ANN and of the VAE decoder. The VAE is trained to fit a representative latent space , which is a low-dimensional representation of each 2D field. This low-dimensional representation is important to connect our working conditions to the field. And so, after training the VAE model and having the latent space, an ANN is trained to connect the latent space with the working conditions. As we trained with the same working conditions as the latent space, we can now make new predictions, and the decoder of the VAE is then used as an impulse to the accuracy of the representations of the new latent space into a new 2D field. Figure 6b shows the schematics of this prediction.
3.4. Computational Grid
The computing grid quality directly influences the accuracy of the numerical results. A comprehensive representation of the computational grid for a considered full-length curing oven with multiple close-up views is depicted in Figure 7. Despite considerable complexities, all zones of the computational domain, solid and fluid regions inside the oven, are constructed using fully structured quadrilateral grids, except for cases including the traversing box of the car body, comprising non-uniform tetrahedral cells due to the complex geometry.
Figure 7.
Generated 3D structured grid distribution over the full oven’s computational domain.
The computational domain is decomposed into fifty-four sub-sections over the six zones, with their components, to achieve more control on the grid’s ratio and size, especially in regions with higher flow gradients, i.e., near the nozzles, panels, ducts, and fans. The wall grid size near boundaries significantly affects the conjugate heat transfer (CHT) predictions, as in Reynold’s analogy. To perform a mesh independence analysis, four grids with various resolutions and volumetric mesh counts of the coarse_1 (≈25.3 million cells), coarse_2 (≈32.1 million cells), medium (≈39.2 million cells), and fine (≈47.6 million cells) were produced with suitable values in all grids to adequately capture the boundary layers. Based on the grid convergence evaluation (see Figure 8) for the mean temperature distribution along the roof line (L1) of the considered four different grid sizes in zones 3–6, we concluded that modeling using the medium mesh with an overall account of ≈39.2 million cells is appropriate. It is clear that increasing the surface cells makes the difference between the mean temperature values negligible. For this grid, the number of cells used in the streamwise (nξ), vertical (nη), and spanwise (nς) directions are around 2177, 156, and 92, respectively (see Figure 7). At the boundaries of nozzles, panels, and ducts located on the walls of the oven, the mesh comprises a prism layer with a height of roughly 2.5 × 10−3 m (medium mesh). The size of the grid progressively increases with a higher ratio outward of the mentioned boundaries, where the flow variations are comparably reduced. The typical mean values of the expansion factors are approximately 1.045 in the direction normal to the oven’s wall components. For medium mesh, by considering this size ratio, the minimum and maximum values of mesh size are approximately 0.25 cm and 3.75 cm, respectively. Despite the oven’s five hundred thirty-three components (see Table 1), the mesh size near the wall and features specified and tweaked, a mesh with suitable values of was constructed.
Figure 8.
Considering the effect of four various grid resolutions implemented for a grid-dependence test based on the mean heated air temperature in zones 3 to 6 (t* = 1).
3.5. Validation
The accuracy of the CHT code and numerical method was evaluated using a transient heat convection–conduction model of a 3D heat sink (see Figure 9). This problem closely resembles the automotive curing oven in terms of fluid–solid interaction (FSI) flow physics and depicts the computational domain’s dimensions and boundary conditions. The squared domain has a 600 mm side length, around 43 times the heat sink’s height, and all-around surfaces are subject to atmospheric pressure conditions. The heat sink’s base is heated to a constant temperature Thot (K). The fully structured grid generated in this instance comprises ≈ 10.3 million cells after evaluating various grid sizes (see Figure 10). All grid sizes in various directions of the domain and over the heat sink surface are reported in Figure 10.
Figure 9.
Representation of the heat sink as a validation case, 3D configuration dimensions, and boundary conditions.
Figure 10.
Visualization of the structured grid distribution over the computational domain and heat sink surface.
The heat power conditions for four considered cases are described in Table 4. T∞ and Thot are indicated as the mean atmospheric and central fin base temperatures, respectively. In Figure 11, the average heat transfer () and Nusselt number () values are validated with the experimental data of da Silva et al. [59] and the analytical results of Harahap and Rudianto [60]. , , and are the fluid thermal conductivity, heat transfer flux among the fluid and heatsink, and half of the fin width ().
Table 4.
Summary of the cases’ temperature settings implemented in the current work.
Figure 11.
The conjugate heat transfer solver validation for various heat sink geometries: comparisons of computed (a) average heat transfer coefficient and (b) average Nusselt number (t = 5 s), with the experimental data [59] and literature data [60].
The and values are computed through using the NusseltCalc tool [61]. The generated heat by the sink is conducted to the fins and exchanged via mostly convection mode to the surrounding fluid, increasing its temperature gradient. In the current studies, there was less than a 2% error among the obtained results, and experimental and analytical data have good agreement (see Figure 11). The reason for the negligible difference among the values obtained by experimental and numerical investigations can be due to measurement errors and simplifications of numerical modeling, respectively. This agreement guarantees the reliability of the present CHT code under the OpenFOAM framework in curing oven solving.
4. Results and Discussion
This section analyzes the time-averaged characteristics of car curing during the electro-deposition painting stage. Precise details can be obtained from the results of this unsteady simulation, such as high-resolution flow distribution in different zones of the oven, diffusion patterns, and mixing streams produced due to various injected air streams, the convective heat transfer rate, vortical structure topology, velocity, and temperature maps on the car body. Following this, we present the results of a data-based model using ANN and VAE to create a digital twin specifically for the heat-up region of the oven, allowing intelligent optimization in this critical area, aiming to prevent paint burnout and ensure optimal energy usage. Data and structures of the available PSA Mangualde automotive curing oven’s PaintShop plant and real Citroën Berlingo car features are considered for optimization-based analysis. It should be noted that the use of the present oven can be expanded for curing other similar automotive models in the same category, not just limited to the Citroën Berlingo model.
4.1. Results of the Physical Model
The main objective is to analyze the mean air temperature along the oven length, together with precise temperature distribution obtained on the solid car body surface. As mentioned earlier, the accurate LES turbulence model is used in the current simulation to achieve this goal. Figure 12 and Figure 13 show the complexity of the hot-air flow field pattern and the mean temperature distribution in the center and side section planes along the full oven length. Nine consecutive frames of the temporal variation in the mean air temperature during one complete cycle, up to reaching the fully operational condition after the startup of the base oven (Oven_1), are presented in Figure 12. Analyzing these frames enables us to comprehend the complex initial hot-air flow interference in the oven space, which is difficult in practice. In zones 1 and 2, during the heat-up stage, hot-air feeding is coupled with convection and circulation thermal heat transfer. Weaker hot-air operation and lower average temperatures in the third zone of the heat-up stage are evident due to low panel density. The inappropriate diffusion directions of the hot-air injectors during heating (Figure 13a) highlight the need for proposing an optimal oven design to achieve a homogenized temperature distribution. As apparent in the case of Oven_1, due to the slight hot-air gradient and density in the areas where car bodies are traversing, less thermal power is absorbed via convection between the solid car surface and the oven gases. To address the issue of weak heat diffusion and dispersion in the upper-wall and lower-ground regions where the roofline and wheelbase line are located, especially in zones 3 and 4, the Oven_3 case is introduced. By moderately redirecting the hot-air injectors and developing their flow share (see Table 2), the distribution was optimized. The temperature contour in the Oven_3 case, across all zones, shows a more uniform distribution, essentially devoid of a severe jump, as well as a gradual longitudinal gradient (Figure 13c). It leads to enhancing energy efficiency and reduces sustainable energy consumption. In the case of Oven_2, the improvement occurs, but not precisely at the location that the bodies are traversing, as in Oven_3.
Figure 12.
Time evolution of the mean air temperature, on the center and side planes, along with the full oven length (L = 53 m), in Oven_1 (Base Oven), with vertical lines separating the heat-up, holding, and cooling stages.
Figure 13.
Mean air temperature on the center and side planes along the entire length of the oven after t* = 1: (a) Oven_1, (b) Oven_2, and (c) Oven_3.
All phenomena, including forced convection heat transfer between the hot air and the body, conduction heat transfer within the car body, and radiation heat transfer between the oven and the vehicle, were modeled using the operating algorithm. This valuable data can be employed to investigate the occurrence of paint film defects during drying/curing. Figure 14 and Figure 15 illustrate the vehicle surface temperature during the heat-up, holding, and cooling stages in one cycle of the oven’s operation for the modified Oven_3 case. The values of the calculated temperature, local heat-up gradients, and heat transmission on the car’s external surfaces at the locations of the waist, accent, and character lines were observed to be inherently high. Being in the vicinity of the hot-air inlet nozzles and panel strike locations, which affect the body due to the large size of the recirculation air generation, is the reason. Furthermore, the complex structure of the car body’s outer shell intensifies the non-uniformity of the temperature distribution. Despite the fact that the body surface temperature in the first half of the oven is lower than the rest, the power absorption in this region by the car is higher due to convection and a more significant thermal gradient. Lower and more uniform temperature values were found in portions of the vehicle. Except for the car body’s transverse middle region, where it is far from the nozzles and the panels’ impinging point, the final distribution in the latter two zones was relatively constant throughout the body surface.
Figure 14.
The calculated temperature visualization through the car body surface at various time instants and oven locations in the heat-up stage (zones 1 to 3), t* = 0 to 0.56, in the case of Oven_3.
Figure 15.
The computed temperature description on the car body surface at different time instants and oven locations in the holding and cooling stages (zones 4 to 6), t* = 0.56 to 1, in the case of Oven_3.
The mean air temperature distribution, along with the mentioned aesthetic key lines, in a cross-section of the oven center, for three designed ovens is evaluated in Figure 16. As evident in the graphs, the overall mean temperature patterns obtained from three modeled ovens are reasonably similar and logically accurate based on the actual requirements. The severe initial jump in the first zone, which was influenced by large-sized panels with a high flow rate, consumes a large amount of energy. The actual reason for this intense increment is to preheat the air to raise the car body temperature, which has a surface with a low outside environment temperature (303 K), to more quickly reach a temperature close to the initial phase of the oven tunnel. The distribution slope remains almost stable at the holding stage before decreasing at the cooling stage. As no substantial longitudinal mass flows exist, each zone has a roughly uniform temperature with minimal longitudinal variation. The distribution in the base oven (Oven_1) shows some instability, oscillation, and design weaknesses, which are optimized in the case of Oven_3. In the case of Oven_3, flow rate adjustment and hot-air diffusion re-direction are implemented with the aim of proper conduction heat transfer. As the mean temperature distribution shows in Figure 16a, the adjustment in the case of Oven_3 results in a better hot thermal flow pattern that is precisely directed toward the coated car body surface, causing higher conjugate heat transfer (CHT), adding energy sustainability, without incurring additional costs or using a larger amount of energy.
Figure 16.
Comparison of non-dimensional temperature value distribution for the (a) three considered cases of base and modified ovens (Oven _1 to Oven _3) at the roof line location, t* = 1. (b) Temporal history of the non-dimensional mean air temperature at the roof line for Oven_3, along with the full oven length.
The temporal evolution of the non-dimensional mean air temperature at the roof line for the Oven_3 case, along with the full oven length, is also presented in Figure 16b. The overall qualitative behavior of the computed temperature distribution curves for various times met the expectations for an automotive curing oven. The temperature distribution along the length of the oven has not significantly changed and reached a constant fully-operated state after around t* = 0.125 from the start-up point, where the vehicle paint curing began to run. The lines around t* ≥ 0.125 indicate a smooth and stabilized distribution after experiencing fluctuating and unstable distribution around t* ≤ 0.1 during the growing stage.
Figure 17 depicts the mitigated/exceeded temperature regions, on the car surface during traversal inside the modified oven (Oven_3), below/above the minimum and maximum recommended ranges in the curing window represented in Figure 1. It is evident that the areas between the waist and accent lines are over-baked/burned-out. Additionally, it can be found that the car’s hood, rear parts of the roof, and small back areas of the floor remain under-baked. The temperature contour on the car surface during the heat-up curing stage proves that the body’s hood, roof, and door areas need more attention compared to other regions. Our results show the modification’s effect on diminishing the under-baked areas in the lower parts of the car body. This defect is solved by hot-air flow redirection by the panels and nozzles in the case of Oven_3. The curing can be successfully managed with little attention to the detected problematic areas.
Figure 17.
Detected locations prone to the over-bake and under-bake phenomena, as shown in the case of Oven_3, obtained support to optimize hot-air injection patterns via nozzles and panels.
In Figure 18, the fluid dynamic characteristics of the velocity field, mixing of different injected air streams from components, and air circulation structure in different regions of the oven and on the car body surface are shown. The comparison of the mean air velocity distribution across the center and side planes along the entire oven length for the three scenarios considered in this work is presented in Figure 19. The superior method in all considered cases (Oven_1 to Oven_3) is the low-speed hot-air diffusion during the interaction with the car body surface in the heat-up and holding stages, with an exception for the hot-air velocity at the oven’s entrance, which has slightly higher values when hitting the body surface (zone 1). This benefit allows the coated car body to exchange heat at the correct time and velocity while traversing the oven length. This results in the paint film having a smooth, unblemished appearance with higher quality. In contrast to other stages, the cooling region experiences a higher velocity range, but this does not cause distortion or destructive consequences on the quality of the formed paint film, which is on nearly dried or cured car bodies passing through this stage. In Oven_3, the velocity distribution exhibits higher values at the car traversing location, particularly in the holding stage, compared to Oven_1. More efficient conjugate heat transfer results from this enhancement. The maximum difference in velocity magnitude values between cases is ≈≤0.28 m/s, which is not sufficiently harsh to influence the homogeneity and uniformity of the paint film significantly.
Figure 18.
Comparison of the mean air velocity contours between the (a) Oven_1, (b) Oven_2, and (c) Oven_3 cases, for all zones, at the center and side planes, t* = 1.
Figure 19.
(a) Comparison of mean air velocity value distribution for three considered cases (Oven _1 to Oven _3), and (b) time evolution history for the Oven_3 case, at the roof line location.
The critical location of the considered planes, where the oven’s components are presented, for velocity magnitude examination is applicable. To prevent paint distortion and preserve visual quality, the oven’s components were designed to inject air into the vehicle surface at a low and optimum velocity. The thrown airflow reaches the body surface with limited velocity even in nozzles’ longitudinal distance, particularly in the holding stage. Figure 19a, the mean air velocity along the roof line, in a cross-section of the oven center, for three designed ovens are evaluated. In all cases, a considerable number of oscillations in zones 2, 3, and 4 with a sinusoidal pattern are discernible. The maximum peak-to-peak values of these oscillations are just ≈0.03 m/s, which are sufficiently weak to have a noticeable impact on the paint film homogeneity. The intermittent placement of nozzles and panels is the source of these fluctuations. For the velocity distribution over the oven length during various zones, Oven_3 yields a higher and more consistent value.
The temporal evolution record of the mean air velocity at the roof line for the Oven_3 case, along with the full oven length, is shown in Figure 19b. Turbulent and chaotic flow occurs at the oven’s start-up operating phase, demonstrating higher velocity values. The fully operated states with lower, smoother, and optimum velocity distribution values occur around t* ≥ 0.125.
Figure 20 visualizes the vortical structures, flow diffusion patterns, and convective flow of the hot-air outlet stream inside the oven. The vortex-growing structures and flow stream near the components of the oven that forced the hot-air flow to change, with regard to velocity magnitude, are presented in Figure 20a. The line integral convolution (LIC) approach is utilized to visualize streamlines [62]. These patterns are captured at the initiation of a continuous curing operation (t* = 0.08) before fully mixed chaotic flow steam occurs. With moderated velocity values, the flow is more controllable by manipulating the flow share and direction of the oven’s upper and lower components. The flow type inside the oven is three-dimensional (3D), with large vortices and complex patterns. The circulation of air toward the center point of the oven from the beginning and ending points of the oven due to the operational mechanisms of the ventilating lids is clear. The recirculation zone length () in the cooling stage is smaller with a higher succession of smaller scale than the heating and holding stages, which all satisfy the necessity of the curing. The values of in curing zones are large enough to reach the body surface in the real operational conditions.
Figure 20.
(a) Evolution of vortical structures’ initial formation in critical planes using the LIC method [62], with the velocity magnitude contour base (Oven_3, t* = 0.125). (b) The three–dimensional iso–surfaces of the second invariant of the velocity gradient tensor Q (1/s2) at the entire length of the oven volume (Oven_3 case): (I) t* = 0.015, (II) t* = 0.04, and (III) t* = 0.08.
The 3D time evolution maps for the second invariant of the velocity gradient tensor (Q) of the LES results obtained from the chaotic stream flow pattern due to multi-directional hot-air flow loading from five hundred thirty-three components of the entire oven are visualized in Figure 20b. This loading strategy significantly altered the product paint film’s quality. This criterion is most commonly used to highlight the vortical structure and efficiently aid in examining the effect of diffusion flow rate and direction on the vortical system and flow discipline in one look. In the t* = 0.08 of Oven_3, sizable, uniform tubes without any distortion and longitudinal direction shape almost reach the oven’s middle formed in heat-up and holding stages. However, at the cooling stage, a finer and denser vortex tube with a non-uniform surface appears, which does not affect the paint film quality.
4.2. Data-Based Model Results
For this part, we focused only on one section of the heat-up region, which will be used for the data-based model, for the prediction of the continuous space of operation of the oven and to allow the control of burnout. From the previous results, the critical region chosen for the data-based model is compromised to 3.24 ≤ x ≤ 5.26 m.
(I) Data collection and database generation: The first step of the data-based model workflow is database generation, in which the ML models will learn the features. Our database is a compilation of 2D fields for the cross planes XY and ZY, for different working conditions . Each condition, is calculated with the CFD model and the cross planes XY and ZY are extracted for the velocity and temperature field. The working conditions tested are presented in Table 5.
Table 5.
Working conditions tested for the database.
Case 0 (C0) is the base case, as a reference, where the working conditions are set to zero, i.e., . The database was generated using a uniform grid of points with a maximum of 256 points in each direction, which is the resolution of the field.
Figure 21 shows the temperature and velocity fields for the cross-section of C0, for the symmetry plane (across the oven section), with a resolution of 256 points. Figure 22 shows how a 15% change in the inlet flow rate affects the field, such as the temperature and velocity distribution. In this figure, we observe the absolute differences in temperature and velocity fields between Case 0 and Case 1. The differences are non-uniform and too complex to identify a specific problem zone.
Figure 21.
Visualization of (a) temperature and (b) velocity fields for the working conditions of Case 0.
Figure 22.
Visualization of comparison between the fields of Case 1 and Case 0: (a) temperature and (b) velocity.
Detecting important regions locally and identifying problem areas can be challenging due to the complex structures present. To address this challenge, our optimization efforts are focused on analyzing the mean and standard deviations of the field along the x-direction. This approach involves using mean and standard deviation curves, as demonstrated in Figure 23. Figure 23a shows the mean of the temperature field in the x directions and Figure 23b shows the standard deviation. The standard deviation value is important for measuring the uniformity inside the oven, which is one of the goals.
Figure 23.
(a) Mean and (b) standard deviation of the temperature field along the cutting plane. Gray dots show the geometry of the oven.
Each parameter of the working condition can influence the field, although optimizing it becomes a complex task when dealing with more than one parameter. This is where the machine learning model becomes highly valuable for multi-objective optimization based on new predictions. Here, we will create a digital twin to explore uncharted possibilities without the need for computationally demanding CFD calculations, just by using the weights of connection that the ML model extracted.
(II) Generative performance and range of operation: All of the fields and arrays of working conditions were normalized using the minimum and maximum value method. This is an important step for ensuring that the input conditions affect the field properly. This normalization is performed by multiplying each condition and field by a scalar array prior to the training step. After this, for actual predictions, the generated field is multiplied by the inverse of the scalar, yielding the true values of the prediction. The model’s convergence during training was defined by an early stopping criterion, to avoid overfitting the model’s parameters. This criterion stops the training whenever the MSE error exceeds the minimum reached after 500 epochs. The performance of the model was monitored on the validation set using the mean squared error and mean absolute error metrics. The mean squared error (MSE) and mean absolute error (MAE) metrics for the loss are defined as follows:
where is the number of samples, is the true value of the sample, and is the predicted value of the sample. Figure 24 shows the loss of the training step, showing the convergence of the model, where the total error loss of the VAE bypass is given by
Figure 24.
Loss error of the training of the ANN for different architectures.
Upon the training of the VAE, with the fields bypassed, an ANN was trained to correlate the low-dimensional latent space with the working conditions array. The architecture of the ANN was then tested, ensuring a connection between the physical conditions and the low-dimensional space of the VAE. The number of epochs was set to 5000 to ensure a good decrease on the loss of the training set, as shown in Figure 24.
According to the results, we see that a latent space should have a dimension of 32, with the ANN architecture having dimensions of 8 × 16 × 32 × 32. For this latent dimension, we propose using the VAE architecture shown in Table 6.
Table 6.
Proposed architecture of the variational auto-encoder model.
For the validation of the model and since we have a small database, we tested training the model by excluding the base case C0. After the training, we predicted the field for the base case and measured the error. The results are promising and are shown in Figure 25.
Figure 25.
Visualization of prediction error: (a) temperature and (b) velocity for the test of training with a hidden C0 for the XY plane.
For temperature, the mean error is 0.67% (with a maximum of 2.7%), and for velocity, the mean error is 1.97%, compared to the CFD values. When analyzing the working conditions, it becomes evident that the model accurately represents the cross-section of the oven for the hidden case, a scenario to which the model was not exposed during the training phase.
Figure 26 shows the mean error between the predicted values for the base case and the CFD field. As we observe the model, for both temperature and velocity, the error crosses zero for different parameters at zero, as expected. Figure 26 presents the results of the sensitivity analysis, demonstrating the model’s robustness to variations in key input parameters, such as airflow rate, inlet temperature, and injection angle. The analysis shows that while the velocity is more sensitive to input changes, with a 40% variation leading to errors of approximately 20%, the temperature field remains significantly more stable, with errors staying around 10% and below 2% for variations up to 20%. These results show that the model can predict the field for working conditions not seen by the training model, thereby validating the model for new predictions beyond the conditions represented in the CFD model. To gain even more confidence in the model, we retrained it, including the C0 case. We present the new predictions after the retraining in the next section.
Figure 26.
Mean error of the prediction of the model for the range of working conditions as . One line is the deviation from the base case in the corresponding parameter.
(III) Predictions: With the ML model and architecture validated for our dataset we then used the trained model to make predictions of unseen conditions. Figure 27 shows the percentage of variation in the mean value of the temperature field, as a function of the deviation from the base case C0 condition.
Figure 27.
Percentage of variation in the mean temperature field for the range of predictions, for both XY and ZY cross planes.
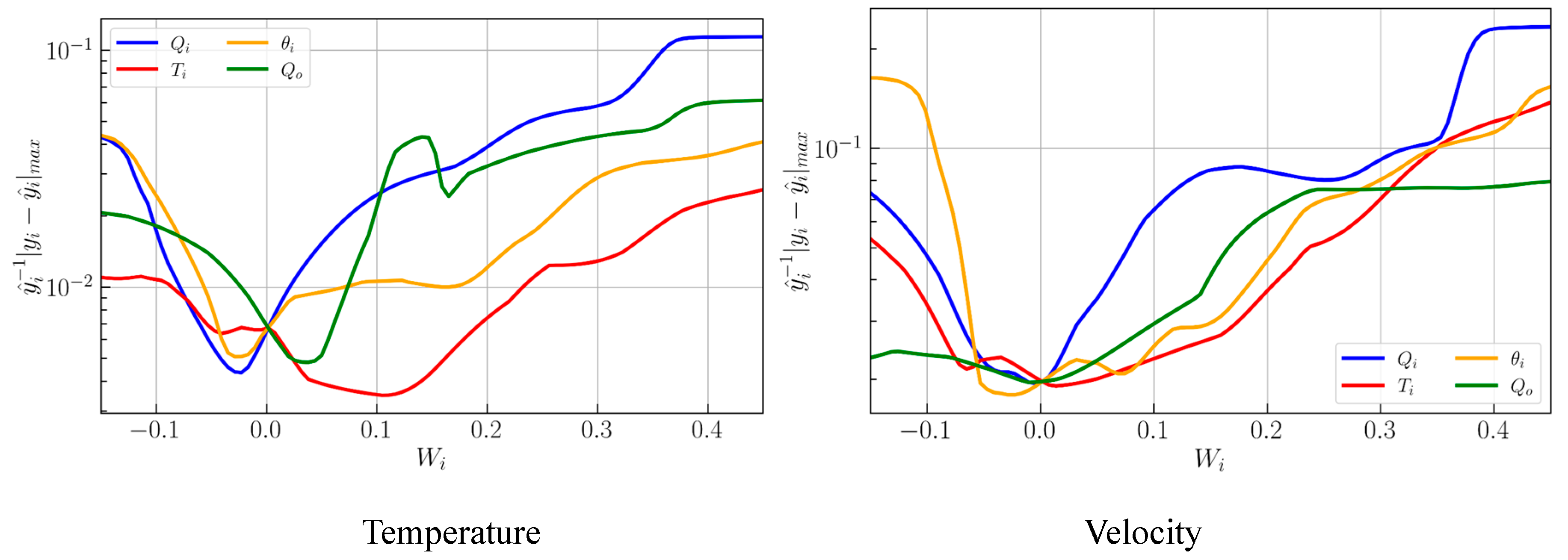
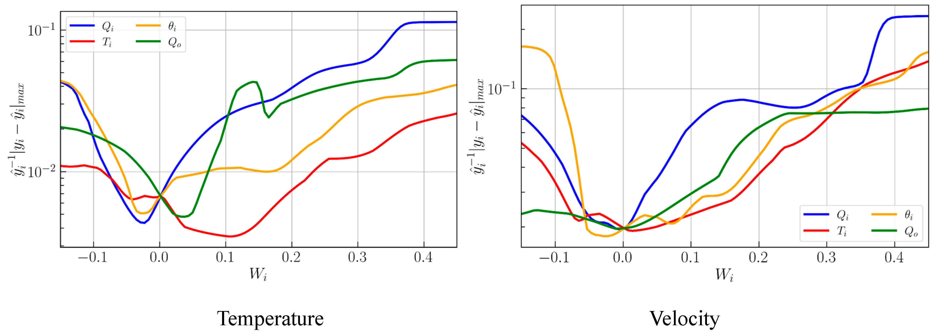
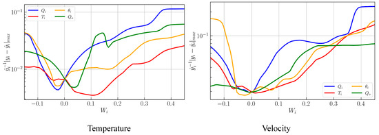
Analyzing the results, we see that the curves appear to have breakpoints (marked with a circle). These points mark the range for which the model has accuracy, e.g., for the , we should only predict values within the range . For the , the range is a whither with a confidence of .
Within this range of predictions, we can reconstruct the 2D field and identify the regions where the flow is improved, and where it is not. Firstly, we reconstruct the XY plane (along the oven), where Figure 28 shows different conditions with a 5% and 10% increase in the working condition from the base case. The figures are colored by the difference in the field predicted for the new condition and the base case.
Figure 28.
Deviation in the temperature field, from the base case, for the cross plane XY.
We observe a significant number of predictions for comparison on a plane-by-plane basis. To streamline the optimization, we initially focus on the average temperature and subsequently analyze the velocity, enabling us to attain a three-dimensional representation of the space. Figure 29 shows the impact of varying condition parameters on the mean temperature/velocity of the 2D field for both cross planes in a 3D space. This 3D space allows for an intuitive and efficient assessment of the interplay between the condition parameters and the mean of the 2D field.
Figure 29.
Three-dimensional representation of condition parameters and their impact on average temperature and velocity, for the XY and ZY cross plane.
Building upon the findings of this study, several promising avenues for future research can be identified. These include incorporating diverse car materials and paint types into simulations to enhance their applicability, optimizing oven designs to improve curing performance, explicitly quantifying energy savings by comparing pre- and post-optimization metrics, expanding the machine learning model by integrating larger datasets and real-time monitoring for broader applications, and validating the digital twin model while scaling its use through industry collaboration to maximize practical impact.
This model can be adapted to other industrial environments where fluid dynamics and thermal management are critical, such as various sections of manufacturing facilities, industrial ovens, or HVAC systems. Once trained on relevant data from these applications, the model can provide real-time predictions of temperature and velocity fields, offering a fast and cost-effective alternative to computationally intensive fluid dynamics simulations.
5. Concluding Remarks
The present study implements an optimization-based parametric modification of conjugate heat transfer (CHT) in an entire automotive oven under the OpenFOAM framework as a reliable open-source tool. Precise fluid dynamic characteristics are obtained using an accurate LES turbulence model, a high-fidelity solver, and high-quality structured grids, after validating the proposed CHT code with a heat sink benchmark. Notably, this is the first LES study revealing the impact of entire automotive oven structural components on the heat and momentum transfer mechanisms over the car surface by fully resolving the process. Detailed results from this unsteady simulation are compared for both the base and modified ovens, including high-resolution flow distribution in different oven zones, diffusion patterns, and mixing streams of various injected airflows. Additionally, the convective heat transfer rate, vortical structure topology, velocity, and temperature field maps on the car body and inside the entire oven are examined. The simulation results indicate that the implemented low-cost optimization strategy in the Oven_3 case significantly improves thermal energy efficiency during the CHT of the oven. The temperature contours in Oven_3 exhibit a more uniform and optimized higher gradual distribution due to flow rate adjustments and hot-air diffusion redirection, leading to the proper conduction of heat transfer without severe temperature fluctuations. Moreover, the under-/over-baked regions on the car surface are minimized in this case by adhering to the recommended temperature ranges in the PCW for the mitigated/exceeded temperatures. The optimal hot-air diffusion at low speed during its interaction with the car body surface in Oven_3 results in the formation of a smooth, unblemished, and aesthetically appealing paint film. This benefit leads to lower TKE, proper mixing, and moderate vortical structures, which are excellent indicators of gentle heat exchange with reduced film distortion and non-uniformity. The prominent airflow circulation occurs in the middle and at the end of the heat-up stage. This optimal thermal control guarantees the homogeneity and uniformity of the cured film, with high quality in terms of corrosion resistance and durability. The present study further extends knowledge of curing mechanisms inside an automotive oven under heavy loading conditions.
The physical model of the thermal dynamics of this oven was used as a database for the generation of a data-based model using machine learning. The database was generated for the heat-up region, since the goal is to develop a surrogate model that can predict if the heat-up condition will result in a “burn-up temperature”, which is not desired. With this data-based model, we can determine the operational window for the oven. A variational auto-encoder was chosen for the generative process and was coupled with an artificial neural network (ANN) to incorporate physical awareness of the latent space of the auto-encoder. By doing this, we propose an ANN+VAE model that can predict new conditions beyond the scope of the numerical approach. This approach is essential for real-world applications because a variational auto-encoder by itself cannot connect to practical scenarios. Although the confidence range is limited, with a mean error of field reconstruction for temperature of 2%, this small range is attributed to the small database set, which can be improved by retraining the model with new conditions, thereby increasing confidence and extending the range of working conditions.
By feeding this model with real-world, simulation-based data, we enable it to accurately predict and replicate complex thermal behaviors in various operational scenarios. This approach ensures that the data-based model is not only grounded in physical reality but also extends the applicability of our findings to a broader range of conditions, enhancing its practical utility in predicting and preventing undesirable outcomes such as paint burnout in the heat-up region. Consequently, the data-based model acts as a digital twin, mirroring and extrapolating from the physical model’s results to ensure optimal oven performance across diverse and untested conditions.
Author Contributions
Conceptualization, M.-R.P.; methodology, M.-R.P. and S.C.; software, M.-R.P. and S.C.; validation, M.-R.P.; formal analysis, M.-R.P. and S.C.; investigation, M.-R.P. and S.C.; resources, J.C.P.; data curation, M.-R.P.; writing—original draft preparation, M.-R.P. and S.C.; writing—review and editing, M.-R.P., S.C., J.C.P. and R.L.; visualization, M.-R.P. and S.C.; supervision, J.C.P. and M.-R.P.; project administration, M.-R.P., J.C.P. and R.L.; funding acquisition, J.C.P. and R.L. All authors have read and agreed to the published version of the manuscript.
Funding
This work was supported by R&D Project “MOSIPO”, project Grant No. POCI-01-0247-FEDER-072621. The research was also partly supported by C-MAST Center for Mechanical and Aerospace Science and Technology, research unit No. 151 (Project No. UID/00151/2020) from Fundacao para a Ciencia e Tecnologia (Portugal).
Institutional Review Board Statement
Not applicable.
Informed Consent Statement
Not applicable.
Data Availability Statement
The data that support the findings of this study are available on request from the authors.
Conflicts of Interest
The authors declare no conflict of interest.
Nomenclature
| BiW | Body in white |
| CHT | Conjugate heat transfer |
| CFD | Computational fluid dynamics |
| ANN | Artificial neural network |
| VAE | Variational auto-encoder |
| ML | Machine learning |
| , | LES empirical constant coefficients |
| Specific heat capacity | |
| Adjustable coefficient | |
| f | Fluid |
| FSI | Fluid–solid interaction |
| Filter function | |
| GS () | Grid scale |
| h | Internal enthalpy |
| Average heat transfer | |
| IPS | Industrial path solutions |
| K | Kinematic energy |
| Thermal conductivity | |
| LES | Large Eddy Simulation |
| LIC | Line integral convolution |
| Recirculation zone length | |
| Fin width half | |
| n | Normal direction to the wall |
| nξ | Cells number in streamwise direction |
| nη | Cells number in vertical direction |
| nς | Cells number in spanwise direction |
| NS | Navier–Stokes |
| Nusselt number | |
| OEEVM | One equation eddy-viscosity model |
| p | Pressure |
| PCW | Paint cure window |
| Q | Second invariant of the velocity gradient tensor |
| QC | Quality control |
| Heat transfer flux | |
| Heat generation | |
| S | Solid |
| SGS () | Sub-grid scale |
| Strain rate tensor | |
| T | Temperature |
| t | Time |
| ttt | Full traversal time of the car body |
| t* | Dimensionless time |
| TT | Transformed temperature |
| TI | Turbulence intensity |
| TKE | Turbulent kinetic energy |
| Fluid velocity vector | |
| Friction velocity | |
| VPS | Virtual paint simulation |
| Non-dimensional wall distance | |
| Effective thermal diffusivity | |
| Thermal diffusivity | |
| Kronecker delta function | |
| Filter width | |
| Nearest distance to the wall surface | |
| Thermal conductivity | |
| Kinematic viscosity | |
| Turbulent viscosity | |
| Liquid density | |
| Viscous stress tensor | |
| Shear stress tensor |
References
- Rao, P.P.; Gopinath, A. Energy savings in automotive paint ovens: A new concept of shroud on the carriers. J. Manuf. Sci. Eng. 2013, 135, 045001. [Google Scholar] [CrossRef]
- Giampieri, A.; Ling-Chin, J.; Ma, Z.; Smallbone, A.; Roskilly, A.P. A review of the current automotive manufacturing practice from an energy perspective. Appl. Energy 2020, 261, 114074. [Google Scholar] [CrossRef]
- Niamsuwan, S.; Kittisupakorn, P.; Suwatthikul, A. Enhancement of energy efficiency in a paint curing oven via CFD approach: Case study in an air-conditioning plant. Appl. Energy 2015, 156, 465–477. [Google Scholar] [CrossRef]
- Despotovic, M.; Babic, M. Analysis of different scenarios of car paint oven redesign to achieve desired indoor air temperature. Energy Effic. 2018, 11, 877–891. [Google Scholar] [CrossRef]
- Ajah, V.; Ejiogu, E. Solar Thermal/Electricity Paint Curing Oven. In Proceedings of the 2019 IEEE International Conference on Sustainable Energy Technologies and Systems (ICSETS), Bhubaneswar, India, 26 February–1 March 2019; pp. 75–80. [Google Scholar] [CrossRef]
- Nazif, H.R. Improving the thermal efficiency of a car wax oven using CFD simulation and measurement. Int. J. Model. Simul. 2019, 39, 125–134. [Google Scholar] [CrossRef]
- Cavalcante, E.S.; Vasconcelos, L.G.S.; de Farias Neto, G.W.; Ramos, W.B.; Brito, R.P. Automotive painting process: Minimizing energy consumption by using adjusted convective heat transfer coefficients. Prog. Org. Coat. 2020, 140, 105479. [Google Scholar] [CrossRef]
- Prendi, L.; Mills, M.; Bastien, J.; Henshaw, P. Thermosetting powder coatings: Finish appearance and durability at cure window corner points. Prog. Org. Coat. 2015, 78, 411–418. [Google Scholar] [CrossRef]
- Xiao, J.; Li, J.; Lou, H.H.; Huang, Y. Cure-window-based proactive quality control in topcoat curing. Ind. Eng. Chem. Res. 2006, 45, 2351–2360. [Google Scholar] [CrossRef]
- Pendar, M.R.; Rodrigues, F.; Páscoa, J.C.; Lima, R. Review of coating and curing processes: Evaluation in automotive industry. Phys. Fluids 2022, 34, 101301. [Google Scholar] [CrossRef]
- Wonnemann, H. Primer surfacer. In Automotive Paints and Coatings; John Wiley & Sons: Hoboken, NJ, USA, 2008; pp. 129–174. [Google Scholar]
- Streitberger, H.J.; Dossel, K.F. (Eds.) Automotive Paints and Coatings; John Wiley & Sons: Hoboken, NJ, USA, 2008. [Google Scholar]
- Pendar, M.R.; Páscoa, J.C.; Lima, R. Numerical investigation of automotive paint oven for improving the thermal efficiency. In Fluids Engineering Division Summer Meeting; American Society of Mechanical Engineers: New York, NY, USA, 2022; Volume 85840. [Google Scholar] [CrossRef]
- Shrivastava, D.; Ameel, T.A. Three-fluid heat exchangers with three thermal communications. Part A: General mathematical model. Int. J. Heat Mass Transf. 2004, 47, 3855–3865. [Google Scholar] [CrossRef]
- Bielski, S.; Malinowski, L. An analytical method for determining transient temperature field in a parallel-flow three-fluid heat exchanger. Int. Commun. Heat Mass Transf. 2005, 32, 1034–1044. [Google Scholar] [CrossRef]
- Mishra, M.; Das, P.K.; Sarangi, S. Dynamic behavior of three-fluid crossflow heat exchangers. J. Heat Transf. 2008, 130, 011801. [Google Scholar] [CrossRef]
- Rao, P.P. A heat exchanger analogy of automotive paint ovens. Appl. Therm. Eng. 2013, 61, 381–392. [Google Scholar] [CrossRef]
- Rao, P.; Teeparthi, S. A semi-computational method to predict body temperatures in an automotive paint bake oven. In Proceedings of the ASME 2011 International Mechanical Engineering Congress and Exposition, Denver, CO, USA, 11–17 November 2011; Volume 54891, pp. 85–95. [Google Scholar] [CrossRef]
- Wu, Y.H.; Srinivasan, K.; Patterson, S.; Bot, E. Transient thermal analysis for the automotive underhood and underbody components. In Proceedings of the Heat Transfer Summer Conference, Minneapolis, MN, USA, 14–19 July 2013; Volume 55508. V004T14A028. [Google Scholar] [CrossRef]
- Mulemane, A.; Hurst, L.; Fraser, A.; Sinclair, J. A reduced order model for simulating heat transfer processes in automotive paint shop ovens (No. 2015-01-0030). In SAE Technical Paper; SAE International: Warrendale, PA, USA, 2015. [Google Scholar] [CrossRef]
- Vasudevan, M. Numerical Modelling of Paint Curing in Convective Ovens. Master’s Thesis, Chalmers University of Technology, Gothenburg, Sweden, 2018. [Google Scholar]
- Domnick, J.; Gruseck, D.; Pulli, K.; Scheibe, A.; Ye, Q.; Brinckmann, F. Investigations of the drying process of a water based paint film for automotive applications. Chem. Eng. Process. Process Intensif. 2011, 50, 495–502. [Google Scholar] [CrossRef]
- Yu, G. Simulation of automotive paint curing process in an oven. Met. Finish. 2013, 2, 18–22. [Google Scholar] [CrossRef]
- Li, L.; Xu, P.; Li, Q.; Yin, Z.; Zheng, R.; Wu, J.; Bao, J.; Bai, W.; Qi, H.; Tan, D. Multi-field coupling particle flow dynamic behaviors of the microreactor and ultrasonic control method. Powder Technol. 2025, 454, 120731. [Google Scholar] [CrossRef]
- Albiez, C.; Liewald, M.; Görres, A.; Regensburger, J. Numerical prediction of thermal panel distortion incorporating thermal material properties of 6016 aluminum alloy. In Proceedings of the European Aluminum Congress, Vienna, Austria, 21–22 February 2011; pp. 11–23. [Google Scholar]
- Johnson, T.; Mark, A.; Sandgren, N.; Erhardsson, L.; Sandgren, S.; Edelvik, F. Efficient Simulation of Convective Ovens in Automotive Paintshops. J. Heat Transf. 2022, 144, 094501. [Google Scholar] [CrossRef]
- Seubert, C.M.; Nichols, M.E. Epoxy thiol photolatent base clearcoats: Curing and formulation. J. Coat. Technol. Res. 2010, 7, 615–622. [Google Scholar] [CrossRef]
- Brinckmann, F.; Stephan, P. Experimental investigation of the drying process of water-based paints used in automotive industry. Chem. Eng. Process. Process Intensif. 2011, 50, 489–494. [Google Scholar] [CrossRef]
- Chen, J.B.; Sun, S.Q.; Yu, J.; Zhou, Q. Tracking the curing process of automotive paint by moving-window two-dimensional infrared correlation spectroscopy and principal component analysis. J. Mol. Struct. 2014, 1069, 112–117. [Google Scholar] [CrossRef]
- Choi, J.W.; Chun, W.P.; Oh, S.H.; Lee, K.J.; Kim, S.I. Experimental studies on a combined near infrared (NIR) curing system with a convective oven. Prog. Org. Coat. 2016, 91, 39–49. [Google Scholar] [CrossRef]
- Agha, A.; Abu-Farha, F. Experimental methods to capture curing induced effects in adhesive bonded joints. Int. J. Adhes. Adhes. 2021, 104, 102735. [Google Scholar] [CrossRef]
- Sukhodolya, A.; Cherepnina, T.; Kostyuk, I.; Klimenko, V. Investigation of the paint curing mechanism. Transp. Res. Procedia 2021, 57, 667–671. [Google Scholar] [CrossRef]
- Li, L.; Xu, P.; Li, Q.; Zheng, R.; Xu, X.; Wu, J.; He, B.; Bao, J.; Tan, D. A coupled LBM-LES-DEM particle flow modeling for microfluidic chip and ultrasonic-based particle aggregation control method. Appl. Math. Model. 2025, 143, 116025. [Google Scholar] [CrossRef]
- Pendar, M.R.; Roohi, E. Investigation of cavitation around disk and conical cavitators using different sets of turbulence and cavitation models. In Proceedings of the 4th International Conference on Advances in Mechanical Engineering—ICAME, Madrid, Spain, 20–21 July 2015; pp. 13–15. [Google Scholar]
- Cândido, S.; Páscoa, J.C. Numerical Analysis of Interfacial Electrohydrodynamic Flow with Modal Decomposition. In Proceedings of the ASME International Mechanical Engineering Congress and Exposition, New Orleans, LA, USA, 28 October–2 November 2023; Volume 86700. V008T10A004. [Google Scholar] [CrossRef]
- Cândido, S.; Páscoa, J.C. On modal decomposition as surrogate for charge-conservative EHD modelling of Taylor cone jets. Int. J. Eng. Sci. 2023, 193, 103947. [Google Scholar] [CrossRef]
- Pendar, M.R.; Cândido, S.; Páscoa, J.C. Optimization of painting efficiency applying unique techniques of high-voltage conductors and nitrotherm spray: Developing deep learning models using computational fluid dynamics dataset. Phys. Fluids 2023, 35, 075119. [Google Scholar] [CrossRef]
- Laubscher, R.; Rousseau, P. Application of generative deep learning to predict temperature, flow and species distributions using simulation data of a methane combustor. Int. J. Heat Mass Transf. 2020, 163, 120417. [Google Scholar] [CrossRef]
- Cheng, T.; Arguin, J.F.; Leissner-Martin, J.; Pilette, J.; Golling, T. Variational autoencoders for anomalous jet tagging. Phys. Rev. D 2023, 107, 016002. [Google Scholar] [CrossRef]
- Shi, J.; Li, J.; Usmani, A.S.; Zhu, Y.; Chen, G.; Yang, D. Probabilistic real-time deep-water natural gas hydrate dispersion modeling by using a novel hybrid deep learning approach. Energy 2021, 219, 11572. [Google Scholar] [CrossRef]
- Parsons, Q.; Nowak, D.; Bortz, M.; Johnson, T.; Mark, A.; Edelvik, F. Machine learning surrogates for the optimization of curing ovens. Eng. Appl. Artif. Intell. 2024, 133, 108086. [Google Scholar] [CrossRef]
- Cavalcante, E.S.; Vasconcelos, L.G.S.; Brito, K.D.; Brito, R.P. Neural network predictive control applied to automotive paint drying and curing processes. Prog. Org. Coat. 2023, 183, 107773. [Google Scholar] [CrossRef]
- Đaković, D.; Kljajić, M.; Milivojević, N.; Doder, Đ.; Anđelković, A.S. Review of Energy-Related Machine Learning Applications in Drying Processes. Energies 2023, 17, 224. [Google Scholar] [CrossRef]
- Ghosal, S. An analysis of numerical errors in large-eddy simulations of turbulence. J. Comput. Phys. 1996, 125, 187–206. [Google Scholar] [CrossRef]
- De Villiers, E. The Potential of Large Eddy Simulation for the Modeling of Wall Bounded Flows; Imperial College of Science, Technology and Medicine: London, UK, 2006. [Google Scholar]
- Bensow, R.E.; Fureby, C. On the justification and extension of mixed models in LES. J. Turbul. 2007, 8, N54. [Google Scholar] [CrossRef]
- Pendar, M.R.; Alavi, A.; Roohi, E. Identification of frequency modes and spectral content for noise suppression: Cavitation flow over 3-D hydrofoil with sinusoidal leading edge. Int. J. Mod. Phys. C 2023, 34, 2350074. [Google Scholar] [CrossRef]
- Quarteroni, A.; Valli, A. Domain Decomposition Methods for Partial Differential Equations; Oxford University Press: Oxford, UK, 1999. [Google Scholar] [CrossRef]
- Issa, R.I. Solution of the implicitly discretised fluid flow equations by operator-splitting. J. Comput. Phys. 1986, 62, 40–65. [Google Scholar] [CrossRef]
- Patankar, S.V.; Spalding, D.B. A calculation procedure for heat, mass and momentum transfer in three-dimensional parabolic flows. In Numerical Prediction of Flow, Heat Transfer, Turbulence and Combustion; Pergamon Press: Oxford, UK, 1983; pp. 54–73. [Google Scholar] [CrossRef]
- Pendar, M.R.; Pascoa, J. Study of the plasma actuator effect on the flow characteristics of an airfoil: An LES investigation. SAE Int. J. Adv. Curr. Pract. Mobil. 2021, 3, 1206–1215. [Google Scholar] [CrossRef]
- Liu, F. A thorough description of how wall functions are implemented in OpenFOAM. In Proceedings of CFD with OpenSource Software. 2016. Available online: https://www.tfd.chalmers.se/~hani/kurser/OS_CFD_2016/FangqingLiu/openfoamFinal.pdf (accessed on 24 March 2025).
- Liu, T.; Zhou, L.; Tang, H.; Zhang, H. Mode interpretation and force prediction surrogate model of flow past twin cylinders via machine learning integrated with high-order dynamic mode decomposition. Phys. Fluids 2023, 35, 023611. [Google Scholar] [CrossRef]
- Lee, D.H.; Lee, D.; Han, S.; Seo, S.; Lee, B.J.; Ahn, J. Deep residual neural network for predicting aerodynamic coefficient changes with ablation. Aerosp. Sci. Technol. 2023, 136, 108207. [Google Scholar] [CrossRef]
- Tejero, F.; MacManus, D.G.; Sanchez-Moreno, F.; Sheaf, C. Neural network-based multi-point, multi-objective optimisation for transonic applications. Aerosp. Sci. Technol. 2023, 136, 108208. [Google Scholar] [CrossRef]
- Keskar, N.S.; Mudigere, D.; Nocedal, J.; Smelyanskiy, M.; Tang, P.T.P. On large-batch training for deep learning: Generalization gap and sharp minima. arXiv 2016, arXiv:1609.04836. [Google Scholar]
- Mondal, S.; Sarkar, S. Multi-fidelity prediction of spatiotemporal fluid flow. Phys. Fluids 2022, 34, 087112. [Google Scholar] [CrossRef]
- Kingma, D.P. Auto-encoding variational bayes. arXiv 2013, arXiv:1312.6114. [Google Scholar]
- da Silva, V.A.; de Neves Gomes, L.A.C.; de Lima e Silva, A.L.F.; de Lima e Silva, S.M.M. Analysis of natural convection in heat sink using OpenFOAM and experimental tests. Heat Mass Transf. 2019, 55, 2289–2304. [Google Scholar] [CrossRef]
- Harahap, F.; Rudianto, E. Measurements of steady-state heat dissipation from miniaturized horizontally-based straight rectangular fin arrays. Heat Mass Transf. 2005, 41, 280–288. [Google Scholar] [CrossRef][Green Version]
- Magnusson, J. Conjugate HeatFoam with Explanational Tutorial Together with a Buoyancy Driven Flow Tutorial and a Convective Conductive Tutorial; Magnusson’s Technology Center, Chalmers University of Technology: Gothenburg, Sweden, 2010. [Google Scholar]
- Stalling, D.; Hege, H.-C. LIC on Surfaces. In Texture Synthesis with Line Integral Convolution; ACM Press/Addison-Wesley Publishing: New York, NY, USA, 1997; pp. 51–64. [Google Scholar]
Disclaimer/Publisher’s Note: The statements, opinions and data contained in all publications are solely those of the individual author(s) and contributor(s) and not of MDPI and/or the editor(s). MDPI and/or the editor(s) disclaim responsibility for any injury to people or property resulting from any ideas, methods, instructions or products referred to in the content. |
© 2025 by the authors. Licensee MDPI, Basel, Switzerland. This article is an open access article distributed under the terms and conditions of the Creative Commons Attribution (CC BY) license (https://creativecommons.org/licenses/by/4.0/).




























