Abstract
Ribbon waterfront parks in hot summer and cold winter regions play a crucial role in microclimate regulation and thermal comfort enhancement due to the combined effects of water bodies and vegetation. This study focuses on ribbon waterfront parks in Hefei. This study investigates the influence of park environmental factors (e.g., plant community characteristics, spatial configuration of water bodies, and plaza layouts) on the summer thermal environment through field measurements and ENVI-met numerical simulations. Based on field studies and a literature review, five environmental factors were selected as test variables: water body direction (S), tree planting density and arrangement (A), square distribution form (B), square location (C), and pavement material (D). Using orthogonal testing, 64 different environmental scenarios under four distinct water body orientations were designed and simulated using ENVI-met (Version 5.6.1), followed by a quantitative analysis of the simulation results. The findings reveal that the interaction between water body orientation and prevailing wind direction significantly influences the cooling efficiency in both the upwind and downwind regions. In addition, through orthogonal testing, Range Analysis (RA), and analysis of variance (ANOVA), the order of magnitude of the effect of each experimental factor on the Universal Thermal Climate Index (UTCI) can be derived: density and form of tree planting (A) > pavement material (D) > location of the square in the park (C) > forms of distribution of squares in the park (B). Finally, this study suggests various environmental factor-setting schemes for ribbon waterfront parks that are tailored to distinct microclimatic requirements. It also provides design recommendations to improve thermal comfort in parks based on the orientation of different water bodies. Furthermore, it offers specific references and foundations for planning, designing, optimising, and renovating waterfront parks of similar scales.
1. Introduction
In the dual context of urban sprawl and climate change, the urban thermal environment has become a topic of increasing concern [,,]. Microclimate is a key factor influencing the use of urban outdoor spaces, as people tend to prefer comfortable microclimate conditions when engaging in outdoor activities [,,]. A well-designed urban outdoor environment encourages physical activity and social interactions, thereby enhancing space utilization and promoting daily urban vitality [,,,,]. As a crucial component of urban outdoor spaces, waterfront parks possess unique natural water resources, and urban water bodies play a vital role in regulating the thermal environment, particularly in densely populated cities [,]. Green and blue spaces, such as parks and waterfronts, provide numerous physical and psychological benefits, including improving health, reducing stress, and encouraging physical activity [,,]. The geographical characteristics and landscape features of waterfront parks make them distinct in terms of summer thermal comfort. The synergistic effect of green spaces and water bodies helps moderate high-temperature and high-humidity conditions during summer [,], thereby enhancing outdoor thermal comfort and improving urban liveability. Consequently, the microclimatic advantages and limitations of waterfront parks play a significant role in urban development.
Environmental factors in parks play a crucial role in regulating microclimates and optimising human thermal comfort [,,,,]. Numerous studies have employed thermal environment measurements and numerical simulations to investigate the impact of environmental factors on park microclimates [,,,]. For instance, vegetation [,,,,,], water bodies [,,,], pavement albedo [,,], and other environmental elements significantly influence the thermal environment of parks. Yan et al. [] demonstrated that green spaces can effectively improve urban microclimates and mitigate the heat island effect. Chan et al. [] found that the configuration of parks and buildings significantly affects thermal comfort in both summer and winter, with green spaces reducing perceived temperatures by up to 20% in shaded and vegetated areas. These findings suggest that urban areas should prioritise green spaces and reduce the use of heat-absorbing materials, such as asphalt and concrete, to enhance thermal comfort and promote sustainable urban environments. Ma et al. [] discovered that the cooling effect of vegetation implies that increasing its coverage, encompassing trees and grasses, can directly alleviate heat stress. Furthermore, it can enhance individuals’ subjective perception by offering attractive landscapes. Additionally, reducing the area of hardened surfaces is another vital method to mitigate heat stress. Karimi et al. [] found significant correlations between the sky view factor (SVF) and the physiologically equivalent temperature (PET) only during sunlight and sunset. Combining low-albedo pavements with trees that have broad canopies and tall trunks can create optimal thermal comfort conditions. The effect of albedo on thermal comfort was lower than that of vegetation cover. Chan et al. [] found that increasing the number of trees or reservoirs enhanced thermal comfort; however, adding more grass did not result in any improvement. Li et al. [] found that the complexity of vegetation structure affects the thermal environment, with multi-layered green spaces providing a more comfortable thermal environment than single-layer arrangements. Shi et al. [] demonstrated through field surveys and ENVI-met simulations that a reduction of 1.0 in the Leaf Area Index (LAI) leads to a decrease in mean air temperature by 0.19–0.31 °C, likely due to increased ventilation flow. Chen et al. [] concluded that elements such as water bodies, trees, and buildings can effectively regulate garden environments. They proposed strategies to optimise the microclimate and improve thermal comfort in urban green spaces in the subtropical monsoon climate zone south of the Yangtze River. Lin et al. [] discovered that enhancing green cover and canopy density in parks significantly improves outdoor thermal comfort. However, Li et al. [] also discovered that excessively dense planted forests may reduce the cooling efficiency of vegetation.
Several scholars have investigated the effects of water and vegetation on thermal comfort in waterfront spaces [,]. Fei et al. [] explored the influence of water on the microclimate of waterfront spaces through questionnaires and field measurements, revealing that the cooling effect of water is intrinsically correlated with the distance of the measurement location from the centre of the water body. Jiang et al. [] identified urban form factors affecting thermal comfort in waterfront spaces and analysed their impacts. Through field surveys of over 40 plant communities, Li et al. [] found that community structure is the primary factor influencing the microclimatic effects of broadleaf communities, while the distance from roads and water bodies mainly affects the microclimatic performance of coniferous forest communities. Lim et al. [] found through their research that small-scale water features can effectively improve thermal comfort in community parks, but they must be integrated into broader urban cooling strategies to maximise their impact. Jin et al. [] analysed the impact of water bodies on the summer microclimate of the district and applied ENVI-met software to simulate the microclimate of urban residential districts with different water body configurations, and concluded that the optimal water body configuration is essential for regulating the microclimate of residential districts in summer. Xu et al. [] investigated the mechanisms by which urban morphological parameters, such as building density, vegetation cover, volume ratio, and sky view factor, affect air temperature in the Wuhan waterfront area. Song et al. [] analysed the key factors affecting waterfront areas’ thermal and humid environment based on the computational fluid dynamics (CFD) method with water effect and factor analysis (building type, building volume ratio, embankment height, distance from water bodies and landscaping). The results show that the geometry of ventilation corridors in waterfront neighbourhoods is highly dependent on the scale of influence of the thermal and humid environment. Specifically, temperatures in areas with low volume ratios and large ventilation corridors are more susceptible to the influence of water bodies.
This study focuses on the waterfront park along the Nanfei River in Hefei as the research object. It selects five research factors: the direction of the water body, the density and form of tree planting, the distribution form of the square, the location of the square within the park, and the material of the pavement. By employing numerical simulation and orthogonal testing, the study investigates the effects of these five factors on the microclimate and thermal comfort during summer. The analysis is conducted from the perspectives of the water body, vegetation, pavement, and square space, utilizing analysis of variance (ANOVA) and Range Analysis (RA). The optimal combinations of these factors are derived, providing valuable guidelines for designing thermal environments in waterfront parks located in hot summer and cold winter regions.
2. Methodology
2.1. Study Area and Data Collection
Hefei is located at 117°17′ E and 31°52′ N, in a region characterised by hot summers and mild winters, which falls under the subtropical monsoon climate. The high-temperature season typically lasts from June to August, with average monthly temperatures ranging from 25 °C to 36 °C and peak temperatures reaching between 36 °C and 38 °C. During the summer, the prevailing wind direction is from the southeast. Hefei has a well-developed water system, bounded by the Jianghuai Watershed, with the Huaihe River system to the north of the ridge and the Yangtze River system to the south of the ridge, in which the Nanfang River in the Yangtze River system runs north and south through the urban area of Hefei (Figure 1), with a length of 70 km and a watershed area of 1700 square kilometres, and it is the main river channel connecting the urban area with the western half of Chaohu Lake, and the Nanfang River is an ecological corridor within the urban area of Hefei. The waterfront parks along the river are important outdoor activity spaces for citizens’ summer activities, among which the ribbon waterfront parks are the most common forms of waterfront spaces. The ribbon waterfront parks along the Nanfei River in the main urban area of Hefei are selected as the research object, and Figure 1 is the location map of the research area and the distribution map of the waterfront parks researched in the present study.
Figure 1.
The location of the study area.
In this study, a typical sunny summer day (12 August 2023) was selected as the test day. Measurement points were arranged in accordance with the Specification for Surface Meteorological Observation (GB/T 35221-2017) []. Microclimate monitoring was conducted hourly from 06:00 to 21:00, during which air temperature, relative humidity, and wind speed were recorded. The instruments used included the Testo 635 thermo-hygrometer, Testo 410 anemometer, and FLIR E6 infrared camera. The range and accuracy of these instruments complied with the ISO 7726 standard []. The instrumentation and accuracy of the microclimate tests are detailed in Table 1. To minimise systematic errors, all instruments were calibrated prior to the test. Additionally, to ensure data reliability, the measured data were compared with records from the Hefei Meteorological Station (Station ID: 58321). The Root Mean Square Error (RMSE) and Mean Absolute Error (MAE) were calculated to evaluate deviations and assess data consistency.
Table 1.
Microclimate measurement instruments.
2.2. ENVI-Met Simulation and Model Validation
In urban microclimate research, ENVI-met is one of the most widely used dynamic simulation tools [,,,,,]. Numerous case studies have validated its reliability, and it has been extensively applied to investigate the influence of various factors on urban microclimates, including vegetation [,,], urban morphology [,], and ground surface albedo [,], and their effects on human thermal comfort [,]. This study employed ENVI-met to simulate the microclimate of a ribbon waterfront park. Compared to other simulation tools, ENVI-met demonstrates broader applicability [,]. However, previous studies have identified persistent limitations in model parameterization, mesh independence, and boundary condition handling, which can affect the accuracy and applicability of simulation results. These limitations necessitate further validation and optimisation []. For instance, Crank et al. [] conducted a systematic evaluation of ENVI-met’s microscale model in urban thermal mitigation analysis. They examined the model’s ability to reproduce vertical mixing, heat transport, and building energy exchange, identifying limitations in handling complex geometries and actual building heights. Additionally, ENVI-met’s simplified parameterization of vegetation transpiration and water surface evaporation processes may subtly influence thermal environment simulations at heights of 0.5 to 2 m, corresponding to the human activity zone. To address these limitations, this study applied isometric stratification when configuring the vertical grid. The bottom grid was subdivided into five sub-cells, each measuring 0.4 m, to enhance the simulation accuracy of surface microclimate variations. Despite these limitations, ENVI-met remains widely recognized as an effective tool for simulating thermal environments at the park scale [].
According to Schlünzen and Vuckovic et al. [,], model calibration and uncertainty analysis are essential for evaluating the accuracy of simulation results before applying ENVI-met []. In ENVI-met simulation studies, most researchers have validated their models using field measurements []. Detommaso et al. [] reviewed multiple ENVI-met simulation studies on outdoor thermal comfort assessment and found that most incorporated field measurements, with air temperature and relative humidity serving as the primary calibration metrics for ENVI-met models [,]. Therefore, to evaluate the accuracy of model predictions, this study simulated the existing conditions of the waterfront park using ENVI-met and compared the simulated data with observed meteorological parameters. Following previous studies on model calibration error metrics [,,], this study selected Mean Absolute Error (MAE), Mean Absolute Percentage Error (MAPE), Root Mean Square Error (RMSE), and the Coefficient of Determination (R2) to evaluate model accuracy. MAE and RMSE quantify the magnitude of errors, with RMSE being more sensitive to larger errors. MAPE measures the relative proportion of errors, making it suitable for comparing datasets of different scales. R2 assesses the goodness-of-fit, indicating the model’s ability to explain variations in observed data and measuring the agreement between predicted and actual values. Additionally, the 95% confidence interval was used to assess the statistical uncertainty of error means, reflecting the model’s stability.
In the formula, is the measured value; is the simulated value; and is the number of measurements.
Additionally, to further assess the predictive performance of the ENVI-met model, regression analyses were conducted on simulated and observed values. As shown in Figure 2, 95% confidence bands and 95% prediction bands were employed to quantify the uncertainty associated with model predictions. The 95% confidence band represents the precision of the estimated relationship between simulated and observed values, defining the expected range of the true regression line. In contrast, the 95% prediction band delineates the expected range of future observations while accounting for model variability and residual uncertainty. The regression analyses indicate that the R2 values for air temperature and relative humidity are 0.94 and 0.93, respectively, confirming the high reliability of the ENVI-met model in predicting microclimatic trends and accurately capturing observed data variations. Further error analyses confirm the model’s high accuracy in simulating both temperature and relative humidity. For temperature simulation, the MAE is 0.52 °C, the MAPE is 1.65%, the RMSE is 0.63 °C, and the 95% confidence interval for mean error is [−0.70, 0.33] °C, indicating a slight underestimation bias in the model. For relative humidity simulation, the MAE is 1.56%, the MAPE is 2.34%, and the RMSE is 1.88%, with a 95% confidence interval of [−0.22, 1.62], indicating a balanced error distribution with no apparent systematic bias. Overall, the ENVI-met model’s error indicators fall within acceptable limits, meeting the accuracy requirements for microclimate simulations. The model effectively captures real-world microclimate variations, demonstrating strong applicability in urban microclimate research and environmental assessment.
Figure 2.
(a) Comparison of measured and simulated data; (b) fitted curve of measured and simulated relative humidity; (c) fitted curve of measured and simulated air temperature.
2.3. Research Framework
The research framework of this study is illustrated in Figure 3 and consists of the following steps:
- Identification of key factors and experimental design: Through field research and preliminary single-factor experiments, the main environmental factors affecting the waterfront park in Hefei City and their respective levels were identified. Based on these findings, orthogonal experiments were designed to determine the experimental scenarios.
- Numerical simulation and analysis: The three-dimensional urban microclimate simulation software ENVI-met was employed to conduct numerical simulations. These simulations were used to study the degree and order of influence of different factors on summer microclimate and thermal comfort, ultimately deriving the optimal combination scenario.
- Scenario development and optimised design recommendations: Different scenarios for setting environmental factors in ribbon waterfront parks were proposed, tailored to different microclimatic demands. Additionally, optimised design suggestions were made to enhance thermal comfort in ribbon waterfront parks with varying water body orientations.
Figure 3.
Research framework.
2.4. Simulation Scenario Design
2.4.1. Model Construction
This study focuses on the typical city of Hefei, located in a region characterised by hot summers and cold winters, to analyse and research the ribbon waterfront park. By summarising several waterfront parks in Hefei, a typical model of the Hefei ribbon waterfront park was constructed. Statistical analysis reveals that the average length-to-width ratio of the ribbon park is 6:1. The Nanfei River flows through the city, averaging 50 m in width, while the parks on both sides of the river also average 50 m in width. Most surrounding buildings are multistorey structures arranged in rows, with a north–south orientation. The water body direction and the dominant wind direction are parallel to the building orientation, aligning with the river. The typical ribbon waterfront park model consists of two ribbon parks (each 300 m in length and 50 m in width) distributed on both sides of the river. On the long side of the park, city roads and residential areas are located, while a bridge connects the two sides of the park area on the short side. A 3 m wide walkway runs along the riverfront, creating a 3 m elevation difference with the park. The proportion of land allocated to garden paths and paved areas is 25%. The plant structure follows a tree–shrub–grass composite pattern, and the park includes a designated activity square. Analysis of data extracted from satellite maps indicates that the canopy coverage rate of the waterfront park ranges from 40% to 90%, with an average canopy coverage rate of 61.93%. According to the Specification for Landscaping Engineering Projects GB55014-2021 [], for parks with a land area of less than 2 hectares, the proportion of land used for garden paths and paved areas should be between 10% and 30%.
2.4.2. Design Factors and Levels
Based on thermal environment test research, pre-experiments, and previous studies [,,], this study selects five variables as research factors: water body direction, density and form of tree planting [,], forms of distribution of squares in parks, location of the square in the park, and pavement material. The influence of these five factors on summer microclimate and thermal comfort is explored through comparative analyses, focusing on the perspectives of the water body, plants, and pavement. The experimental factor levels were set as shown in Table 2. The direction of the water body is set in four orientations. The simulation results of various scenarios under different water body directions are compared and analysed to derive the optimal microclimate and thermal comfort scenarios, further exploring the waterfront park space. The specific factors are selected as follows:
- Factor S: Water Body DirectionThe direction of the water body is determined according to the actual flow of the Nanfei River through Hefei City, in relation to the dominant wind direction. Four conditions are set: east–west direction, north–south direction, perpendicular to the wind direction, and parallel to the wind direction (Figure 4).
Figure 4. The diagram of the relationship between water body direction and dominant wind direction. - Factor A: Density and Form of Tree PlantingThe planting density and form are adjusted by varying the planting spacing, based on the intersection, tangency, and separation relationships between tree canopies. Three levels are set:
- High-density uniform planting (planting spacing 8 m × 8 m);
- Low-density rows and columns planting (rows with 16 m spacing and 8 m spacing between trees);
- Medium-density uniform planting (planting spacing 10 m × 10 m).
These correspond to the generation of sparsely spaced planted landscape spaces, dense forest spaces, top-covered spaces, and semi-open spaces, with varying tree canopy coverage (Figure 5a).
Figure 5. Illustration of each factor level. - Factor B: Forms of Distribution of Squares in the ParkThe research found that the square activity space in the waterfront park is primarily divided into a large centralised square and decentralised small-area activity squares. In accordance with the norms, the proportion of the park’s pavement area is set to 25%. The total paving area remains unchanged and is arranged in two forms: centralised (a single large square) and decentralised (two smaller squares) (Figure 5c).
- Factor C: Location of the Square in the ParkThe research found that the location of the square (near the water body, centrally in the park, or near the road) affects the influence of the water body on the square’s activity space. Additionally, the orientation of the square (facing the city road or the water body) creates semi-open or enclosed spaces, which significantly impact the wind environment. Therefore, three levels are set in the model with reference to the square: near the water body, in the middle, and near the road location (Figure 5b).
- Factor D: Pavement MaterialBased on field research, four materials with different albedo values were selected []: red bricks (albedo of 0.3), coloured asphalt (albedo of 0.4), light-coloured concrete (albedo of 0.5), and light-coloured granite (albedo of 0.6).
Table 2.
Orthogonal factor setting.
Table 2.
Orthogonal factor setting.
| Level | Factors | ||||
|---|---|---|---|---|---|
| S | A | B | C | D | |
| 1 | East–west direction | High density, uniform planting (Planting spacing (8 m × 8 m)) | Centralised | Near the water body | Red brick |
| 2 | North–south direction | Low-density, determinant planting (Row spacing 16 m, plant spacing 8 m) | Decentralised | Centring | Coloured asphalt |
| 3 | Perpendicular to the prevailing wind direction | Medium density, uniform planting (Planting spacing 10 m × 10 m) | - | Near the road | Light-coloured concrete |
| 4 | Parallel to the prevailing wind direction | - | - | - | Light-coloured granite |
2.4.3. Experimental Design
In this study, an orthogonal experiment was conducted to optimise the microclimate of the waterfront park by simulating it under different combinations of four factors and four levels of operating conditions using ENVI-met software. If a full simulation were carried out, 44 (256) simulations would be required, which would consume significant humanpower, material resources, and time. The orthogonal experimental design is an incomplete experimental design that reduces the number of simulations by conducting multifactor and multilevel analyses according to an orthogonal table, which is simple and easy to operate [].
The direction of the water body, density and form of tree planting, forms of square distribution in parks, location of the square in the park, and pavement material were designated as factors S, A, B, C, and D, respectively. Since the direction of the water body (factor S) significantly affects the distribution of the overall thermal environment in the park, this study conducted orthogonal tests under different water body directions to compare their effects laterally. The effects of other factors were analysed separately under each water body direction. Test factors A, B, C, and D have 3, 2, 3, and 4 levels, respectively, resulting in a total degree of freedom of the test: f = 4 × (4 − 1) = 12. Therefore, an orthogonal table with more than 12 degrees of freedom was required. Using SPSS (Version 27.0.1)’s orthogonal design function, a relatively close-to-standard orthogonal table, L16 (4), was generated (L denotes the orthogonal table, and 16 represents the number of level combinations). Based on the study’s requirements, only 16 simulations were needed to draw conclusions, satisfying the degrees of freedom requirements. The proposed level method was used for processing and simulation operations, as shown in Table 3. The 16 waterfront park simulation scenarios were simulated under four different water body directions relative to the dominant wind direction, resulting in a total of 64 test simulations.
Table 3.
Orthogonal experiment.
2.5. ENVI-Met Simulation Parameter Settings and Model Construction
The ENVI-met simulation parameter settings are shown in Table 4. The input meteorological data for this study were obtained from the typical daily meteorological station data provided by the National Weather Science Data Center (https://data.cma.cn/, accessed on 15 September 2023), with the station number 58321, latitude 31.78°, longitude 117.3°, and an elevation of 27 m. The simulation date was 12 August 2023, and the total simulation duration was 16 h. The dominant wind direction was 135° (south-southeast), at a 10 m altitude. The simulation start time was 05:00, with a dominant wind direction of 135° (south-southeast) and a wind speed of 2.0 m/s at 10 m altitude. The initial air temperature was 26.3 °C, and other surface parameter inputs were based on the Design Code for Urban Roads. In the plant model setup, common tree species in Hefei parks, such as magnolia, camphor, ginkgo, and luan, were selected. These trees typically have heights of 12–20 m and crown widths of 8–15 m. Models with similar morphology and sizes to these trees were chosen from the ENVI-met botanical library, with tree heights of 15 m and spherical crowns of 10 m width. The systematic model was used for shrubs and ground covers. The pavement materials included both artificial and natural surfaces. The research variables comprised floor tiles (KK), coloured asphalt (AR), light-coloured concrete (PL), and light-coloured granite (G2). Other materials included asphalt pavement (ST), grey cement pavement (PG), and soil (00). Specific parameters are detailed in Table 5.
Table 4.
ENVI-met simulation parameter settings.
Table 5.
Model material parameters.
Based on the level parameters of the above factors, the ENVI-met model was established (Figure 6 provides an example of Scenario 5). Red markers in the figure indicate monitoring points (sensors), which were arranged to account for different offshore distances (0 m, 15 m, 30 m, 50 m, and above the water body) and various types of outdoor spaces (shaded green areas, squares, boulevards, and riverfront walkways). Control groups with no water body and no greenery were established under each of the four water body direction layouts. The floor plans of the 16 orthogonal test scenarios are shown in Figure 7.
Figure 6.
Model schematic diagram: (a) plan view; (b) bird’s-eye view.
Figure 7.
Scenario model floor plan.
2.6. Selection of Thermal Comfort Evaluation Indexes
Currently, the commonly used outdoor thermal comfort models include the Universal Thermal Climate Index (UTCI) [,,], the physiologically equivalent temperature (PET) [,,,,,], the Predicted Mean Vote (PMV) [,,,], and the Standard Effective Temperature for Outdoors (OUT_SET*) [,,]. The theoretical basis of these evaluation indexes and a comparative analysis of their influencing factors are presented in Table 6 [,]. Compared with other thermal comfort models, the UTCI encompasses a more comprehensive set of parameters, providing a more accurate assessment of human thermal comfort across various global climate conditions [,]. Therefore, the Universal Thermal Climate Index (UTCI) was selected as the index for evaluating human thermal comfort in this study.
Table 6.
Comparison of thermal comfort evaluation indexes.
3. Results and Discussion
According to the subjective thermal comfort questionnaire, residents in the study area were more sensitive to air temperature and wind speed and less sensitive to relative humidity. Therefore, air temperature, wind speed, and their differences compared to the control group were selected as microclimate evaluation indicators, while the Universal Thermal Climate Index (UTCI) was used for thermal comfort evaluation. The time of day with the highest temperature and the most prominent thermal comfort issue—14:00—was selected to analyse the significance, influence ranking, primary and secondary relationships, and the optimal combination of factors affecting microclimate and thermal comfort.
The analysis of factors involved evaluating the advantages and disadvantages of each factor in the orthogonal experimental data using the method of extreme difference analysis. The optimal level of each factor was selected and combined to derive the theoretical optimal scenario. The average value of the simulated data at a specific level of a factor was recorded as k. For example, k1 represents the average value at level 1 of factor A. The optimal level and combination of factors were determined based on the magnitude of the average values across different water body directions. In the extreme difference analysis of air temperature and thermal comfort, a lower mean value indicates better performance, while in the analysis of wind speed, a higher mean value indicates better performance. The range value of each factor is denoted as R, and the influence of each factor on the simulation results was assessed by comparing the magnitude of the R values.
Temperatures throughout the day exhibited a typical diurnal pattern, as shown in Figure 8, with a trend of increasing and then decreasing. The lowest temperature (29.5 °C) occurred at 06:00, gradually rising as the sun rose and reaching a maximum of 35.2 °C at 14:00. Subsequently, temperatures began to decline, reaching 30.9 °C as sunlight weakened. In contrast, relative humidity showed a decreasing and then increasing trend throughout the day, peaking at 70% at 06:00, gradually decreasing to a minimum of 44.5% at 14:00, and then increasing to 61% during the night.
Figure 8.
Diurnal variation of air temperature and relative humidity.
3.1. Comparative Analysis of Air Temperature
3.1.1. Cooling Effect of Different Water Body Directions and Offshore Distance
The average air temperature of the waterfront park at 14:00, the hottest moment in the simulation, was analysed under different water body directions. The difference in air temperature, calculated using simulation data from the control group, represents the cooling effect of different scenarios. A larger temperature difference indicates a better cooling effect.
As shown in Figure 9, the average air temperature in the waterfront park decreased under different water body orientations compared to the control group, with reductions ranging from 0.42 °C to 1 °C. The most significant cooling effect on both sides of the river was observed when the water body was aligned parallel to the wind direction. All downwind zones exhibited a cooling effect, while in upwind zones, except for the east–west orientation, air temperature decreased in the other three directions. The water body aligned parallel to the wind direction demonstrated the greatest cooling effect, with a temperature reduction of 1.38 °C. Conversely, in the east–west orientation, the air temperature in the upwind zone increased, likely due to tree-induced wind blockage, which restricted airflow into the park’s interior. This led to significant air stagnation, creating a stifling microclimate. These findings suggest that water bodies in waterfront parks exert a significant cooling effect on the surrounding environment while also enhancing local wind conditions [,,]. Existing studies indicate that water bodies exhibit stronger cooling efficacy than tree-dominated green spaces, with a significantly greater cooling range []. Wind direction influences the spatial extent of microclimate modifications induced by water bodies [] and affects the cooling performance of urban parks []. When the water body in a ribbon waterfront park is aligned parallel to the wind direction, the unobstructed wind gradient accelerates water surface transpiration, facilitating efficient heat dissipation from both the water body and the surrounding air. Consequently, the maximum daytime temperature difference between the waterfront area and its surroundings can reach 9 °C [], aligning with Liu Jing’s study on the cooling effects of static water features in Guangzhou []. Jiang et al. [] demonstrated that greenery corridors with a 20–25 m width aligned with the summer monsoon direction had more significant cooling effect ranges in Shanghai, based on comparisons of different spatial structures and waterfront greenery morphologies.
Figure 9.
(a) The temperature of each scenario in different directions at 14:00; (b) comparison of the cooling rates in the upper and lower wind zones in different directions.
Therefore, when planning the location of waterfront parks, it is appropriate to choose the downwind region of the water body to establish a ribbon waterfront park. When the river flows parallel to the prevailing wind, constructing a ribbon waterfront park in the upwind region of the water body can enhance its cooling effect.
To analyse the relationship between the cooling effect of the water body in the waterfront park and the offshore distance, the microclimate data of several groups of monitoring points with different offshore distances were compared, and the offshore distances of each group of monitoring points were 0 m, 15 m, 30 m, 50 m, and above the water body. The data at 14:00 from Scenario 12 (water body direction perpendicular to the wind direction), which exhibited the best cooling effect, were used for analysis (Figure 10). Using the water body as the dividing line, where the downwind region is considered positive and the upwind region negative, the average air temperature values of the measurement points at various offshore distances are presented [] (Figure 11). The air temperature in the water body’s downwind region is generally 0.84 °C lower than that in the upwind region, indicating a stronger cooling effect in the downwind region. Water bodies reduce air temperature through evaporative cooling and thermal convection mechanisms []. In the downwind region, the cooling effect induced by water surface evaporation propagates with the wind flow, leading to a significant reduction in air temperature []. When the water body is oriented perpendicular to the wind direction, the cooled air from water surface evaporation is carried by the wind, thereby enhancing the cooling effect, particularly in the downwind region. Conversely, in the upwind region, the cooling effect is less pronounced since the airflow remains unaffected by the water body [,].
Figure 10.
Air temperature, relative humidity, wind speed, and UTCI distribution of Scenario 12: (a) air temperature distribution; (b) relative humidity distribution; (c) wind speed distribution; (d) UTCI distribution.
Figure 11.
Microclimate indicators, thermal comfort variations at different distances from shore: (a) changes in air temperature and relative humidity; (b) changes in wind speed and UTCI at different distances from the shore.
The lowest air temperature, highest humidity, and strongest wind speed were observed in the downwind zone at the riverfront walkway, at 0 m from the riverbank, indicating that the cooling and humidifying effect of the water body was most pronounced at this location. The latent heat of evaporation facilitated ambient heat absorption, leading to a reduction in near-surface temperature. Simultaneously, the thermal pressure difference between the water surface and adjacent land induced local air circulation, thereby increasing wind speed in the waterfront area. Additionally, the synergistic effects of vegetation transpiration and water vapour diffusion further contributed to increased air humidity. As the distance from the riverbank increased, the curve flattened, and the cooling and humidifying effects of the water body gradually diminished beyond 15 m [,]. In the upwind region, the trend of the UTCI differs from that of air temperature. The UTCI value peaks above the water body and gradually decreases with distance from the shore, reaching its minimum at 30 m. This phenomenon is attributed to the absence of shade over the water surface, which is directly exposed to solar radiation, increasing the radiant temperature and consequently raising the UTCI value. At 30 m from the shore, the inner park area benefits from tree canopy shading, amplifying the water body’s cooling effect. Beyond 30 m offshore, the UTCI becomes more pronounced, indicating a decline in the water body’s role in enhancing thermal comfort. Wind speed and the UTCI significantly decrease within the 0–30 m offshore range, suggesting that the water body’s attenuation of wind speed is primarily limited to this zone.
3.1.2. Cooling Effect of Different Internal Environmental Factors
The ANOVA results (Table 7) indicate that the density and form of tree planting (A) significantly affect air temperature in the east–west direction, north–south direction, and parallel to the wind direction (Sig. < 0.01). However, no significant effect is observed when the water body is perpendicular to the wind direction (Sig. > 0.05). The square layout form (B) significantly influences temperature changes only when the water body is oriented north–south (Sig. < 0.05). The position of the square (C) does not significantly affect temperature changes (Sig. > 0.05). Pavement material (D) significantly impacts temperature changes in the east–west direction, perpendicular to the wind direction, and parallel to the wind direction (Sig. < 0.05).
Table 7.
Analysis of variance of air temperature by test factors in different water directions.
According to the orthogonal test results (Table 8), the ranking of factors influencing air temperature in the east–west direction, perpendicular to the wind direction, and parallel to the wind direction is RA > RD > RC > RB, indicating that tree planting density and form have the greatest impact, followed by pavement material, square position, and square layout form. In the north–south direction, the ranking shifts to RA > RC > RD > RB, meaning tree planting density and form remain the most influential, followed by square position, pavement material, and square layout form. Across all scenarios, tree planting density and form exert the most significant influence on air temperature. As Cameron et al. [] and Shashua-Bar [] found, shading accounts for 60% and 80% of the total cooling effect of trees, respectively, and optimising the distribution pattern of buildings and trees can significantly enhance shading effectiveness [].
Table 8.
Results of orthogonal test for air temperature.
For the east–west, north–south, and parallel-to-wind directions, the average air temperature values for tree planting density and form levels k1, k3, and k2 (corresponding to canopy coverages of 80%, 70%, and 50%, respectively) follow the trend k1 < k3 < k2. This indicates a negative correlation between tree planting density and air temperature, with higher densities resulting in lower temperatures []. In the perpendicular-to-wind direction, the trend is k3 < k1 < k2, indicating a non-linear relationship between planting density and air temperature. The lowest temperatures occur at moderate planting densities, with uniform 10 m spacing yielding the lowest recorded temperatures. This is because the tangential arrangement of tree canopies facilitates air circulation, reducing air temperature in the perpendicular-to-wind scenario. Thus, a planting spacing and crown ratio of 1:1 are optimal, a finding consistent with the studies by Huang Y and Zhang L [,,,].
For the east–west, north–south, and parallel-to-wind directions, the mean temperature values for square layout forms follow k1 < k2, indicating that centralised layouts result in lower temperatures compared to decentralised layouts of the same area. In the perpendicular-to-wind direction, the trend reverses, with decentralised layouts yielding lower temperatures than centralised ones. For the east–west and parallel-to-wind directions, the mean temperature values for square positions follow k1 < k2 < k3, with squares near water bodies exhibiting the lowest temperatures and those near roads the highest. In the north–south direction, the trend is k2 < k1 < k3, with squares near roads recording the highest temperatures. In the perpendicular-to-wind direction, the trend is k3 < k1 < k2, with squares near roads showing the lowest temperatures and centrally located squares the highest. When a square is located near a water body, the cooling effect of the water helps moderate the surrounding air temperature. A water body not only lowers air temperature through evaporative cooling, but also transfers cool air via convection, leading to a significant temperature reduction [,]. Centrally located squares, though relatively distant from the water body, still experience some cooling effects, maintaining moderate temperatures. Squares adjacent to roads are typically affected by the urban heat island effect, particularly due to heat accumulation from roads and impervious surfaces. Areas near roads tend to exhibit higher heat radiation and heat storage, resulting in elevated temperatures. Cruz et al. [] investigated the cooling effects of green and blue spaces (i.e., vegetation and water bodies) on urban microclimates using numerical simulations and demonstrated that water bodies effectively lower ambient air temperatures through evapotranspiration and convection. However, areas near impervious surfaces exhibit higher temperatures due to heat accumulation. Smith et al. [] examined the impact of urban green spaces and surface albedo on urban temperatures across multiple U.S. cities. Their findings indicate that built surfaces, such as roads, accumulate more heat due to greater heat storage, whereas areas near water bodies benefit from enhanced cooling mechanisms. This finding further implies that areas near water bodies exhibit lower temperatures and greater thermal comfort compared to regions dominated by road infrastructure.
The mean value of the temperature corresponding to each level of the pavement material is k4 < k3 < k2 < k1, i.e., the temperature is sorted in the following manner: light-coloured granite < light-coloured concrete < coloured asphalt < red brick, and the albedos of k1, k2, k3, and k4 are 0.3, 0.4, 0.5, and 0.6, respectively. This indicates that the albedo of the pavement surface is negatively correlated with the air temperature, and that the higher the albedo of the pavement material, the higher the air temperature, and the higher the albedo of the air surface, the higher the air temperature. The higher the albedo of the material, the lower the air temperature. Surface albedo is a crucial parameter that describes the ground’s capacity to reflect solar radiation and is strongly associated with the urban thermal environment []. A high-albedo surface reflects more solar radiation, thereby reducing heat absorption, lowering local temperatures, and enhancing thermal comfort. Conversely, a low-albedo surface absorbs more heat, resulting in elevated local temperatures [,]. Liu et al. [] demonstrated that the surface temperature of surrounding buildings was higher with asphalt pavement compared to turfgrass coverage. Lopez-Cabeza et al. [] examined the impact of surface albedo on microclimate and thermal comfort in courtyards under hot summer conditions in the Mediterranean region. Their findings indicate that moderately increasing albedo can effectively reduce thermal environmental loads. Smith et al. [] validated the combined influence of urban green spaces and albedo on surface temperature regulation across several U.S. cities, providing a quantitative framework for heat island effect management in cities with diverse climatic conditions.
In summary, it can be seen that the planting density and form of trees are the primary factors affecting air temperature, especially in the case of high planting density or moderate spacing, and the cooling effect is significant []. The albedo of the pavement, the layout of the square, and the location of the square in the park have a certain regulating effect on the air temperature under the conditions of different water directions, in which the high-albedo material and the design of the square close to the water body help to reduce the local air temperature []. At the same time, the mechanism of each factor varies under different wind directions, which indicates that the matching of wind environment and spatial layout should be considered comprehensively in the design to optimise the thermal comfort of the local microclimate [].
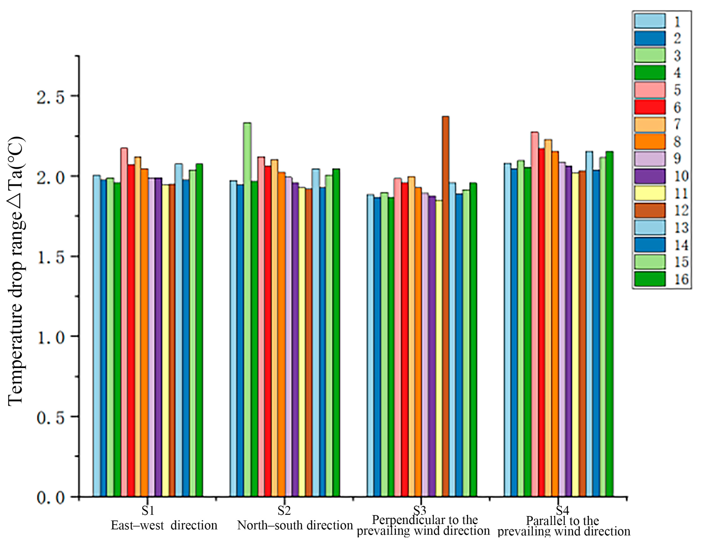
3.1.3. Comparison of Scenarios and the Best Combination of Scenarios
When comparing the average temperature differences between each experimental scenario and the control group (cooling amplitude), a more significant difference indicates a stronger cooling effect, as illustrated in Figure 12. Regarding the direction of the water body, the better cooling effects in the east–west direction and parallel to the wind direction are found in Scenarios 5, 7, and 6; the better cooling effects in the north–south direction are in Scenarios 3, 5, and 7; while the better cooling effects in cases perpendicular to the wind direction are in Scenarios 12, 7, and 5.
Figure 12.
Temperature drop range of each case.
For each test scenario at 14:00, a 1.5 m height temperature plane distribution analysis (Figure 13) reveals that in Scenario 12, the direction towards the water body, perpendicular to the wind direction, shows the largest cooling effect in the region. By analysing the temperature distribution at 14:00 across various scenarios, Scenario 5 emerges as the optimal choice. It features high-density uniform tree planting (8 m × 8 m), an impressive tree canopy shade rate of 82%, a square arrangement near the water body, and light-coloured granite pavement (albedo of 0.6). Scenario 5 demonstrates significant cooling effects in different water bodies and wind directions, mainly exhibiting the best performance when oriented east–west and parallel to the wind direction. When considering all scenarios, it shows both universality and stability.
Figure 13.
Optimal air temperature distribution map in each water direction.
The suboptimal scenarios are Scenarios 12, 3 and 7. Scenario 12 has the largest cooling area in the direction of the water body perpendicular to the wind direction, but its performance in other directions is not as good as that of Scenario 5, which is less applicable; Scenario 3 has the best cooling effect in the north–south direction (90°), but its performance in other cases is not as good as that of Scenario 5; Scenario 7 has a stable performance, and its cooling effect is second to that of Scenario 5, which belongs to the alternative scenarios.
The reason explanation and mechanism analysis are as follows: High-density uniform planting makes the park’s tree canopy shade rate as high as 87.6%, providing effective shading and reducing ground heating by solar radiation, thereby significantly lowering air temperature []. A centralised layout enhances the interaction between vegetation and water bodies, amplifying the cooling effect. When perpendicular to the wind direction, this layout concentrates cool airflow, reinforcing local cooling. Proximity to water bodies leverages evaporative cooling, vegetation shading, and air circulation to enhance overall cooling capacity. Light-coloured granite pavement (albedo of 0.6) reduces surface heat storage and mitigates the local heat island effect, complementing the cooling effects of vegetation and water bodies [,].
Scenario 5’s excellent cooling performance, adaptability to various water body directions and wind conditions, and stability make it the optimal choice. To further enhance microclimatic benefits and outdoor thermal comfort, it is recommended to prioritise high-density uniform planting (8 m spacing), centralised square layouts, and light-coloured, high-albedo paving materials.
By prioritising air temperature as the key optimisation objective, the ideal combination of factors (A1 + B1 + C1 + D1) achieves the best thermal environment. This includes high-density uniform tree planting (8 m spacing), a centralised square near the water body, and light-coloured granite pavement, with the water body aligned parallel to the prevailing wind direction (Figure 14).
Figure 14.
Schematic diagram of the best cooling effect.
3.2. Comparative Analysis of Wind Speed
3.2.1. Influence of Different Water Body Directions on Wind Speed at the Square
The average wind speed at the waterfront park at 14:00, the hottest moment in the simulation, was analysed under different water body directions (Figure 15). The results reveal that wind speed decreases significantly when the water body is perpendicular to the wind direction, as the water body acts as a barrier to incoming wind. This alignment facilitates the formation of a downwind channel, reducing wind resistance and significantly enhancing wind speed. Conversely, wind speed increases in other orientations, particularly when the water body is parallel to the wind direction. This alignment facilitates the formation of a downwind channel, reducing wind resistance and significantly enhancing wind speed. Xin Guo et al. [] examined urban street intersections with varying greening layouts and found that vegetation can reduce ventilation at these intersections. Fang et al. [] confirmed that ventilation corridors significantly improve environmental conditions and air circulation in Hefei City. Xu et al. [] demonstrated through numerical simulations that optimising corridor design, particularly when aligned parallel to the dominant wind direction, can substantially increase local wind speed, enhancing natural ventilation and mitigating the local heat island effect.
Figure 15.
Comparison of 14:00 wind speed of each scenario in different directions.
3.2.2. The Influence of Internal Environmental Factors on Wind Speed
Internal environmental factors, particularly tree planting spacing, significantly influence wind speed in waterfront parks. Wider tree spacing facilitates air circulation and convective heat transfer, improving the microclimate. For instance, Scenario 4 (10 m tree spacing) exhibited higher wind speeds and better thermal comfort compared to Scenario 6 (8 m spacing).
ANOVA results (Table 9) indicate that tree planting density and arrangement significantly affect wind speed in all four water body directions (Sig. < 0.05), while other factors do not (Sig. > 0.05). Among planting configurations, row planting (16 m × 8 m) produced the highest wind speeds, as it facilitates coherent wind channels and enhances air circulation. In contrast, high-density uniform planting obstructs airflow, reducing wind speed. Morakinyo and Lam [] investigated the effects of tree configuration, planting pattern, and wind conditions on the microclimate of a street canyon through numerical simulations, and the results showed that the aspect ratio of the trees affects the degree of decrease in PET (physiologically equivalent temperature). When the planting pattern has a larger aspect ratio, it can effectively regulate wind speed and improve thermal comfort for pedestrians. This further validates the conclusion of this study that planting trees in rows helps to improve the wind environment. Although high-density planting may generate localised thermal convective circulation due to its cooling effect, its ventilation capacity remains limited, and overall wind speed tends to decrease. When the water body is parallel to the wind direction, tree planting density and form profoundly impact wind speed (Sig. < 0.01). This alignment creates a belt-shaped wind channel within the park, enhancing ventilation efficiency and optimising the local microclimate. A square layout also plays a crucial role; Wang et al. [] demonstrated that enclosed plazas with higher height-to-width ratios reduce wind speed, improving wind comfort. Extreme deviation and ANOVA analyses of wind speed at a 1.5 m height (Table 10) reveal that the influencing factors, in descending order of significance, are tree planting density and form > location of the square in the park > pavement material > square layout form (RA > RC > RD > RB).
Table 9.
Analysis of variance of wind speed by test factors in different water directions.
Table 10.
Results of orthogonal test for wind speed.
Trees influence wind dynamics through two primary mechanisms: (1) Physical obstruction and ventilation regulation: trees can block wind flow or create ventilation corridors through gaps between branches and leaves. (2) Temperature-induced local air circulation: trees lower ambient temperatures, generating a temperature differential that induces air movement. The relationship between planting density and wind speed follows a clear trend, with mean wind speeds ranked as k2 > k3 > k1. Row planting promotes higher wind speeds compared to uniform planting. In a uniform layout, greater planting spacing results in higher wind speeds, as it facilitates air circulation. Conversely, high-density planting obstructs airflow, reducing wind speed. These findings align with previous research. Kang et al. [] used computational fluid dynamics (CFD) simulations to demonstrate that tree crown size, planting density, and spatial positioning significantly influence local wind speed and pedestrian comfort. Similarly, Gao et al. [] found that optimised tree layouts enhance wind speed and regulate wind direction, improving ventilation efficiency. Chen et al. [] revealed that strategic tree configurations stabilise wind fields and enhance outdoor environmental quality. Together, these studies highlight that tree planting strategies play a crucial role in shaping urban wind environments. By optimising planting density, spatial arrangement, and crown size, planners can enhance ventilation efficiency while maintaining pedestrian thermal comfort in urban public spaces.
3.2.3. Comparison of Scenarios and the Best Combination of Scenarios
A comparison of the average wind speed differences between each test scenario and the control group (growth rate) reveals that a larger difference indicates a stronger ventilation effect and wind speed regulation, as shown in Figure 16. Positive values denote enhanced wind speed (good ventilation), while negative values indicate reduced wind speed (wind-blocking effect). When the water body is perpendicular to the wind direction, wind speed decreases across all scenarios. High-density planting (e.g., Scenarios 5, 6, and 7) exacerbates this effect by forming dense forest belts that obstruct incoming wind, further reducing wind speed. In the east–west and north–south directions, row planting (Scenarios 1, 2, 10, 11, 12, and 16) slightly increases wind speed, particularly in medium-density planting (10 m × 10 m, Scenario 12), which demonstrates a moderate wind-enhancing effect. The most significant wind enhancement occurs when the water body is parallel to the wind direction, especially in row planting (Scenario 2), where the ribbon tree configuration forms a distinct ventilation corridor, maximising ventilation efficiency.
Figure 16.
Comparison of the air increase amplitude of each scenario.
Figure 17 illustrates the wind speed distribution at a height of 1.5 m at 14:00 for each test scenario. The optimal scenario is Scenario 2, featuring medium-density row planting (48% coverage), a decentralised square near the road, and light-coloured concrete pavement. Row planting facilitates the formation of clear wind paths, particularly in the parallel wind direction, yielding the best ventilation effect.
Figure 17.
Wind speed distribution map of the optimal scenario in each water direction.
Moderate planting density ensures air circulation while avoiding wind speed loss due to overly sparse planting. A suboptimal solution is Scenario 11, which employs row-type planting with 52% coverage. Although higher coverage provides some wind channeling, its ventilation effect is slightly inferior to Scenario 2. From the spatial distribution of wind speed, Scenario 2 exhibits the best ventilation effect at 14:00, with the largest high-wind-speed area and the smallest low-wind-speed area. This scenario’s row-type planting (16 m × 8 m) features appropriate tree spacing and an efficient air duct design, significantly improving ventilation compared to other scenarios.
Consequently, based on the simulation analysis, Scenario 2 (row planting, 16 m × 8 m) emerges as the optimal choice for enhancing the wind speed regulation in ribbon waterfront parks. Its design effectively achieves significant ventilation across various water directions, mainly exhibiting the strongest wind enhancement in the parallel wind direction. This contributes to improving the microclimate environment and the thermal comfort of visitors. This design is well suited for waterfront parks requiring marked improvements in ventilation.
Taking the wind environment as the primary optimisation objective, the best scenario combines the optimal levels. Its configuration, A2 + B1 + C3 + D3, occurs when the direction of the water body is parallel to the wind direction, utilizing medium-density row and column planting with a spacing of 8 × 16 m. The layout is centrally positioned and located close to the city road, with light-coloured concrete used for the pavement material, as illustrated in Figure 18.
Figure 18.
Schematic diagram of the scenario with the best air enhancement effect.
3.3. Comparative Analysis of Thermal Comfort
3.3.1. Comparison of UTCI for Different Water Body Directions
The analysis of the average UTCI at the waterfront park at 14:00, the hottest point in the simulation results under various water body orientations (Figure 19), aligns with the air temperature findings in Section 2.1. The lowest UTCI occurs across all scenarios when the water body is parallel to the wind direction, while the highest UTCI is observed when the water body is perpendicular to the wind direction.
Figure 19.
Comparison of 14:00 UTCI for each scenario for different water body directions.
This phenomenon can be attributed to two primary mechanisms: (1) Evaporative cooling and thermal inertia: when the water body is parallel to the wind direction, unobstructed airflow enhances evaporative cooling, allowing cooler air to spread across the park and reducing the UTCI. Conversely, a perpendicular orientation disrupts airflow, weakening evaporative cooling and limiting its effectiveness in lowering the UTCI. (2) Wind-induced heat dissipation: a parallel water body orientation facilitates better air circulation, enhancing heat dissipation and maintaining lower UTCI values. These findings align with previous studies. Fei et al. [] examined the combined effects of water bodies and greenery in waterfront spaces in cold regions of China. Their findings indicate that water bodies significantly lower the summer UTCI through thermal inertia and evaporative cooling, thereby alleviating thermal stress. Similarly, Du et al. [] validated the importance of integrating water bodies in blue-green space planning for enhancing thermal environments and reducing UTCI values in a Shanghai-based case study. Additionally, Yu et al. [] and Liu et al. [] further corroborated the beneficial role of water bodies in optimising urban microclimates and enhancing thermal comfort.
Based on the distribution of the UTCI in the simulation results, the proportion of the park area with comfortable UTCI values (comfortable UTCI ratio) can be calculated to evaluate the spatial microclimate of the waterfront park. As shown in Table 11 [], a UTCI value of 38 °C marks the threshold between strong and very strong thermal stress.
Table 11.
Relationship between UTCI and thermal sensation.
Taking into account the actual activities of residents in the study area, the park is divided into comfortable and uncomfortable UTCI zones at 38 °C. The comfortable UTCI ratio for each scenario is shown in Figure 20. Data analysis indicates that a higher percentage of comfort zones typically correlates with lower UTCI conditions. For example, under a 0° wind direction, parallel-aligned trees (Scenario 5) exhibit lower temperatures, with a comfort zone percentage of 69.23%, whereas vertically aligned trees (Scenario 1) have higher temperatures, with a comfort zone percentage of only 54.26%. This trend suggests that lower temperatures increase the comfort zone, and scenarios with higher comfort zone percentages are usually accompanied by lower temperatures. Pearson’s correlation coefficient between the UTCI and the percentage of the comfort zone is −0.923, indicating a strong negative correlation. As the UTCI rises, the comfort zone percentage decreases, suggesting that higher temperatures reduce thermal comfort.
Figure 20.
(a) Heat map of share of comfortable UTCI regions (colour gradient: blue to red indicates low to high values); (b) line graph of share of comfortable UTCI regions.
3.3.2. Effect of Internal Environmental Factors on Thermal Comfort
ANOVA results (Table 12) indicate that tree planting density and form significantly impact UTCI values across all four water body orientations (Sig. < 0.05), with a particularly pronounced effect in the north–south direction (Sig. < 0.01). In contrast, other factors did not exhibit statistically significant effects on the UTCI (Sig. > 0.05). This strong correlation can be attributed to two key mechanisms: (1) Shading effect: higher tree canopy density reduces direct solar radiation, lowering air and surface temperatures. (2) Evapotranspiration cooling: trees release water vapour through transpiration, promoting latent heat dissipation and reducing local thermal stress.
Table 12.
Analysis of variance of UTC by test factors in different water directions.
These findings align with previous studies. Tree canopy cover exhibits a significant negative correlation with the UTCI [,]. Meili et al. [] demonstrated that vegetation cover, transpiration efficiency, and leaf area index can lower the UTCI by up to 3 °C in tropical cities, with the synergistic effect of shading and evapotranspiration reducing the probability of heat stress by 23%. Similarly, Chen et al. [] found that increasing tree cover from 18% to 70% can reduce the UTCI by approximately 3 °C. These results highlight the critical role of tree planting strategies in urban heat mitigation. By optimising tree density, planting form, and canopy coverage, urban planners can effectively reduce UTCI levels, enhancing outdoor thermal comfort and mitigating urban heat stress.
In the orthogonal test results (Table 13), tree planting density and form have the greatest impact on UTCI values, followed by pavement materials, plaza location, and plaza layout (RA > RD > RC > RB). The mean UTCI values for different tree planting densities follow the order k1 < k3 < k2, where k1 represents high-density uniform planting (80% canopy coverage), k3 represents low-density row planting (70% coverage), and k2 represents medium-density uniform planting (50% coverage). This phenomenon can be attributed to the shading and evapotranspiration effects of vegetation, which reduce the UTCI by absorbing and scattering long-wave radiation, forming a localised “umbrella effect”. Higher planting density leads to lower UTCI values due to increased canopy cover, which provides shading and evapotranspiration cooling. This aligns with the findings of Brinda Deevi [] and Shata, R.O. [].
Table 13.
Results of orthogonal test for UTCI.
The UTCI values for different plaza layouts follow the pattern k1 < k2, indicating that a centralised layout provides better thermal comfort than a decentralised layout when the plaza area remains constant. However, when the plaza is perpendicular to the wind direction, the UTCI values exhibit the order k1 < k3 < k2, suggesting that decentralised layouts offer better thermal comfort in this scenario. Plaza location also significantly affects UTCI values. When the water body is oriented east–west and parallel to the wind direction, the mean UTCI values follow the order k1 < k2 < k3, indicating that plazas near water bodies experience the lowest UTCI values and the best thermal comfort, while those adjacent to roads exhibit the highest UTCI values and the poorest thermal comfort. Conversely, when the plaza is perpendicular to the wind direction, UTCI values exhibit the order k1 < k3 < k2, suggesting that proximity to roads enhances thermal comfort, while centralised plaza locations experience the highest UTCI values and the poorest comfort levels. The influence of pavement materials on UTCI values is also significant, with the ranking k4 < k1 < k2 < k3. Light-coloured granite exhibits the lowest UTCI values, followed by red brick, coloured asphalt, and light-coloured concrete. This pattern remains consistent across other directional analyses. This finding confirms that high-albedo paving materials effectively mitigate the urban heat island effect and enhance human thermal comfort [,].
These findings align with previous research. Wang et al. [] demonstrated that a combination of green infrastructure and high-reflectivity materials can significantly lower the UTCI and reduce building energy consumption. Similarly, Sedaghat and Sharif [] simulated various urban heat island (UHI) mitigation strategies, revealing that integrating high-albedo materials and vegetation can reduce cooling loads by up to 29%. These results highlight the importance of strategic urban planning in mitigating heat stress and enhancing thermal comfort. By optimising tree planting density, plaza layouts, and pavement materials, urban planners can effectively regulate UTCI values and create more thermally comfortable outdoor environments.
3.3.3. Comparison of Scenarios and the Best Combination of Scenarios
As illustrated in Figure 21, Scenario 5 exhibits the lowest UTCI values across all four scenarios, accompanied by the highest proportion of comfortable UTCI zones. The UTCI values are minimised when the water body aligns parallel to the wind direction, as this orientation enhances air convection and heat dissipation, thereby reducing ambient temperatures and improving thermal comfort conditions [,]. Across the four water body orientations, Scenarios 5, 6, 7, and 3 demonstrate lower UTCI values when aligned east–west, perpendicular, or parallel to the wind. Under the four water body directions, the comfort UTCI accounts for a more significant proportion of the east–west direction in Scenario 5, 1, and 6; of the north–south direction in Scenario 5, 3, and 6; perpendicular to the wind in Scenarios 5, 7, and 6; and parallel to the wind in Scenario 5, 7, and 3. Collectively, Scenario 5 not only records the lowest UTCI values but also encompasses the largest comfortable UTCI area, aligning with the optimal scenario identified in Section 2.1 for minimal temperature, thereby substantiating its efficacy in thermal comfort optimisation [].
Figure 21.
(a) Comparison of UTCI values by scenario; (b) comparison of scenarios for comfortable UTCI areas.
Figure 22 illustrates the more comfortable scenarios (3, 5, 6, and 7), all of which are characterised by a high density of trees. This indicates that the higher the planting density, the greater the canopy coverage and the more significant the shading effect and transpiration, thus effectively reducing the ambient temperature and improving thermal comfort. Conversely, Scenario 2, characterised by low-density tree planting, exhibits the highest UTCI values and the smallest comfortable UTCI area, attributable to reduced canopy coverage and diminished radiation shading, culminating in elevated ground and air temperatures and markedly reduced thermal comfort [,,].
Figure 22.
The distribution of the optimal scenario UTCI: (a) distribution of UTCI for Scenario 3; (b) distribution of UTCI for optimal Scenario 5; (c) distribution of UTCI for Scenario 6; (d) distribution of UTCI for Scenario 7.
The scenario with the best thermal comfort is obtained by combining the optimal levels of each. It is combined as A1 + B1 + C1 + D1, consistent with the lowest air temperature scenario, described in Section 3.1 (Figure 14).
4. Conclusions
This study is based on an ENVI-met numerical simulation of the thermal environment in ribbon waterfront parks in Hefei’s primary urban area. It evaluates the influence of environmental factors on thermal comfort. The results indicate that water bodies in waterfront parks not only provide a significant cooling effect but also enhance wind conditions [,,]. Various factors influence the thermal comfort of waterfront parks, and their influence, in descending order, is as follows: density and form of tree planting (A) > pavement material (D) > location of the square in the park (C) > distribution forms of squares in the park (B).
4.1. Influence of Environmental Factors on Thermal Comfort
The cooling efficiency of water bodies is influenced by multiple factors, including width, depth, flow rate, and spatial relationship with the dominant wind direction [,,]. In ribbon waterfront parks, the interaction between water bodies and the dominant wind direction directly affects both the thermal environment and pedestrian thermal comfort. The study found that when the water body is aligned parallel to the dominant wind direction, the cooling effect is strongest, with a temperature reduction of up to 1.38 °C.
In a ribbon waterfront park, the interaction between water bodies and the dominant wind direction directly affects both the thermal environment of the park and the thermal comfort of pedestrians. The study found that when the water body is aligned parallel to the dominant wind direction, the cooling effect is at its strongest, with a temperature reduction of up to 1.38 °C. This conclusion aligns with the research of Liu et al. [], who demonstrated that the orientation of water bodies plays a crucial role in regulating the thermal environment of waterfront spaces, with a linear layout parallel to the wind direction offering the best cooling and humidifying effects. However, when the wind direction forms a large angle with the water body (close to perpendicular), the wind shear effect weakens, leading to reduced evaporative cooling efficiency and potential lateral heat loss from the water body. Consequently, the spatial configuration of waterfront parks should dynamically align with the prevailing wind direction to maximise cooling efficiency [,]. This finding has significant implications for the location and layout of urban waterfront parks. During urban planning, priority should be given to areas where the wind direction aligns with the water body to maximise cooling effects.
In terms of internal environmental factors, this study identified the following ranking of elements impacting thermal comfort, listed in order of decreasing influence: tree planting density and form (A) > paving materials (D) > park plaza location (C) > plaza distribution form (B).
Among these, tree shading significantly reduces the UTCI []; however, excessively dense vegetation may obstruct airflow, causing localised heat stagnation and reducing thermal comfort []. This observation is consistent with Zhang et al.’s [] findings on the impact of urban greening density on thermal comfort. Additionally, this study found that moderate-density tree planting (e.g., 8 m × 16 m) effectively enhances wind speed and improves thermal comfort [,]. Furthermore, paving material selection plays a crucial role in modifying the thermal environment. High-albedo surfaces reflect more solar radiation, reduce heat absorption, lower local temperatures, and improve thermal comfort, aligning with Taleghani’s findings []. Therefore, in waterfront park design, an optimal allocation of vegetation and water bodies is essential for enhancing thermal comfort.
This study systematically assessed the combined effects of vegetation, water bodies, and plazas on thermal comfort and the thermal environment. The findings underscore the critical role of wind–water interaction in microclimate optimisation, a factor previously underexplored in existing studies. This research provides valuable insights for the scientific planning of urban waterfront parks, offering an evidence-based approach for optimising thermal comfort in urban spaces.
4.2. Microclimate Optimisation Strategies for Ribbon Waterfront Parks
Microclimate optimisation in ribbon waterfront parks is guided by the dual principles of “functional adaptation” and “wind direction responsiveness”, establishing a comprehensive design framework. Given the diversity of activities—ranging from static recreation to dynamic movement—each requiring specific microclimate conditions, a strategic management approach is essential. Furthermore, the spatial arrangement of water bodies relative to prevailing wind directions (perpendicular, parallel, or oblique) significantly affects cooling distribution.
This study employs orthogonal experiments and ENVI-met simulations to elucidate the mechanisms of microclimate regulation and thermal comfort, providing a quantifiable foundation for design optimisation. Two strategies are proposed: proactive planning for new parks and adaptive enhancement for existing ones. For new parks, proactive planning prioritises environmental factors such as tree planting density, plaza layout, and water body orientation based on functional requirements and user needs to pre-regulate thermal comfort. For existing parks, adaptive enhancement focuses on spatial reconfiguration and element optimisation, including ventilation corridors, plaza adjustments, high-reflectance paving replacement, and vegetation optimisation.
These strategies—“proactive design” and “adaptive renewal”—provide systematic solutions for achieving sustainable thermal comfort and enhancing environmental efficiency. Based on the above principles, we propose specific strategies to optimise the microclimate of the waterfront park from the following two aspects.
4.2.1. Tailored Environmental Design for Waterfront Parks Based on Activity Needs
Environmental design must be orientated to the crowd’s needs, flexible adjustment, and different demand-oriented focuses on the thermal environment. There are differences, and, thus, the setting of environmental factors is also different. For long-stay activity spaces, more attention should be paid to shade microclimate and thermal comfort regulation, while wind environment and air circulation should be optimised for slow walking trails. The following is a specific analysis of the design suggestions for waterfront parks under different goal directions:
- (1)
- Long-stay activity spaces: The primary focus in the construction of this type of park space is the optimisation of thermal comfort in activity areas. Based on the study’s findings, the optimal scenario is A1 + B1 + C1 + D4, characterised by a high-density uniform tree layout with 8 m spacing, a centralised plaza positioned near the water body, light-coloured granite hard pavement, and a water body orientation parallel to the wind direction. Under this combination of conditions, the thermal comfort performance is the best. The combination of extensive tree canopy coverage and high-albedo pavement enhances the park’s thermal comfort, aligning with the findings of Wang [] and Sedaghat [].
- (2)
- Waterfront walkways and running tracks: When the design objectives focus on a waterfront walkway and a healthy running track [,], optimising the wind environment becomes the primary consideration. The optimal scenario is A2 + B1 + C3 + D3, featuring medium-density row-and-column tree planting with 8 m × 16 m spacing, a centralised plaza near the city road, light-coloured concrete pavement, and a water body orientation parallel to the wind direction. In this layout, the row-and-column vegetation planting forms a ventilation corridor, while the plaza’s proximity to the road enhances park connectivity, facilitating airflow and improving the wind environment. These findings are consistent with those of Fang et al. [] and Xu et al. []. Additionally, the results of [] indicate that the primary spatial morphological factors influencing the microclimate and thermal comfort of waterfront walkways in summer include average tree height, average tree spacing, and the ratio of shadow-producing side tree height to walkway width.
4.2.2. Recommendations for Optimal Design of Ribbon Waterfront Parks with Different Water Body Directions
Based on the preceding analysis, the planning and design of the ribbon waterfront park should prioritise the relationship between the water body’s location and the dominant wind direction to maximise the water body’s optimisation effect on the thermal and wind environment. Specifically, when the direction of the water body in the construction site is at an angle to the wind direction, the cooling effect of the downwind region of the water body is better than that of the upwind region, so the park should be arranged in the downwind region as a priority. Conversely, when the water body aligns parallel to the wind direction, parks on both sides benefit equally from enhanced cooling effects. The optimisation of the microclimate of the existing ribbon waterfront park is based on the direction of the water body and the wind and thermal environment of the park, which should be adjusted and optimised. The following are recommendations for optimising the design of ribbon waterfront parks for different water body orientations:
- (1)
- When the water body is in the east–west direction (S1), i.e., the ribbon waterfront park is distributed in the north and south banks of the water body, the optimal scenario is A1 + B1 + C1 + D4; the vegetation and the pavement are the factors that affect the thermal comfort the most. The planting density of trees should be improved as much as possible to form a high canopy coverage and provide enough tree shade. The paving materials should be selected with high albedo (e.g., light-coloured granite and light-coloured concrete) []. The waterfront walkways should be combined with trees for shade, and squares should be set up in areas close to the water body to facilitate the cooling effect of the water body. A study [] showed that park visitors tend to seek out waterside spaces for activities and to escape the heat. Stocco et al. [] found that light-coloured gravel paving (albedo 0.55) maintains a shortened daytime heat stress duration through numerical simulation studies.
- (2)
- When the water body is in the north–south direction (S2), i.e., the ribbon waterfront park is distributed on the east and west sides of the water body, the optimal scenario is A1 + B1 + C2 + D1. The form of vegetation and square layout are the most important factors affecting thermal comfort, and a higher planting density can help to improve thermal comfort. A centralised square is better than a decentralised square in terms of thermal comfort. A centralised square can form more obvious ventilation paths and improve air circulation and heat dissipation, while trees should be planted around the square for people to rest in the shade. This is in line with the findings of Stocco et al. [] in an arid region, who found through CFD simulations that increasing vegetative shading coverage synergistically with porous, permeable paving improves thermal comfort, and that centralised layouts significantly outperform decentralised layouts.
- (3)
- When the water body is perpendicular to the dominant wind direction (S3), the optimal scenario is A3 + B2 + C3 + D1. The planting density of trees should be moderate; a planting density that is too high is not conducive to airflow into the park when the park is oriented perpendicular to the wind direction. A moderate planting density will easily lead to the air circulation inside the park. A canopy coverage that is too high is also not conducive to the improvement of thermal comfort, also due to the wind resistance of the foliage. This is consistent with the results of a study in Fuzhou, which showed that for every 10 per cent increase in tree cover, the maximum reduction in pedestrian height-averaged air temperature was about 0.26 °C; after the tree cover exceeded 50 per cent, the value of the improvement in the thermal benefits from tree planting decreased []. In this case, you can connect urban roads and water bodies to set up activity squares and increase the area of the air inlet.
- (4)
- When the water body is aligned with the prevailing wind direction (S4), the optimal solution is A1 + B1 + C1 + D4. Planners can effectively enhance thermal comfort by increasing the planting density of trees, adopting a row-type planting layout, and utilizing high-albedo pavement. The dense planting of trees improves the shading effect, while the row layout, which aligns with the wind direction, ensures canopy coverage and prevents branches and leaves from blocking the wind [,]. Improve the material of the pavement, select the material with high albedo, and reduce the heat transfer from the pavement to the activity space. The layout of the square (centralised or decentralised) has less impact on thermal comfort in this case, and the arrangement, close to the road or in the middle, is conducive to the optimisation of the wind environment []; moreover, the waterfront walkway in both the upwind and downwind zones can fully benefit from the cooling effect of the water body.
4.3. Research Contributions and Future Directions
Through orthogonal tests, numerical simulation, and extreme difference analysis, this study investigates the characteristics of water bodies, squares, and plant communities in Hefei City, examining their primary and secondary roles in influencing temperature, wind speed, and thermal comfort in ribbon waterfront parks, as well as identifying optimal scenario combinations. Based on the findings, the study proposes the optimal scenario for enhancing thermal comfort in ribbon waterfront parks and provides design recommendations, offering a new perspective for microclimate research in such spaces. The study’s results can inform microclimate research in waterfront parks and serve as a reference during the planning, design, or renovation stages to support decision-making. Future research on waterfront parks should explore the comprehensive influence of complex environmental factors, such as surrounding building layouts [,], park shade facilities [], street configurations [,,,,,], and river patterns [,], to provide comprehensive theoretical references and data support for the development of urban waterfront park spaces.
This study is geographically constrained, as all samples are derived from Hefei, a city characterised by a hot summer and cold winter climate. To apply the ENVI-met model to other climatic zones or regions outside China, localised adjustments to input parameters, climatic conditions, and vegetation characteristics are essential. Furthermore, field data validation is required to account for regional variations in temperature dynamics, urban morphology, wind patterns, and green space configurations, ensuring the model’s accuracy and reliability across diverse environmental contexts. To broaden the study’s applicability beyond China [,], future research should incorporate comparative analyses across distinct climatic regions, such as Mediterranean [,,], arid [], tropical [], or humid subtropical zones [], where differences in vegetation types, built environments, and microclimate interactions may yield varying thermal comfort outcomes. Such comparative investigations would not only enhance the generalizability of the findings but also contribute to a more globally adaptable framework for waterfront park design.
Author Contributions
Conceptualization, Y.L. and H.X.; methodology, H.X. and W.H.; software, H.X. and Y.L.; validation, Y.L.; formal analysis, Y.L. and H.X.; investigation, Y.L. and H.X.; resources, W.H. and Y.L.; data curation, Y.L. and H.X.; writing—original draft preparation, Y.L. and W.H.; writing—review and editing, H.X. and W.H.; visualization, Y.L.; supervision, H.X.; project administration, W.H.; funding acquisition, H.X. All authors have read and agreed to the published version of the manuscript.
Funding
This research received no external funding.
Institutional Review Board Statement
Not applicable.
Informed Consent Statement
Not applicable.
Data Availability Statement
The data can be provided upon reasonable request from the corresponding author.
Conflicts of Interest
The authors declare no conflicts of interest.
Abbreviations
The following abbreviations are used in this manuscript:
| Ta | air temperature |
| RH | relative humidity |
| Va | wind speed |
| Tmrt | mean radiant temperature |
| Tc | Core Temperature |
| Tsk | mean skin temperature |
| HMR | Human Metabolic Rate |
| Ms | Skin Moisture |
| UTCI | Universal Thermal Climate Index |
| Icl | thermal resistance of clothing |
| PET | physiologically equivalent temperature |
| PMV | Predicted Mean Vote |
| OUT_SET* | Standard Effective Temperature for Outdoors |
References
- Levermore, G.; Parkinson, J.; Lee, K.; Laycock, P.; Lindley, S. The Increasing Trend of the Urban Heat Island Intensity. Urban Clim. 2018, 24, 360–368. [Google Scholar] [CrossRef]
- Ren, Z.; Fu, Y.; Dong, Y.; Zhang, P.; He, X. Rapid Urbanization and Climate Change Significantly Contribute to Worsening Urban Human Thermal Comfort: A National 183-City, 26-Year Study in China. Urban Clim. 2022, 43, 101154. [Google Scholar] [CrossRef]
- He, B.-J.; Wang, J.; Liu, H.; Ulpiani, G. Localized Synergies between Heat Waves and Urban Heat Islands: Implications on Human Thermal Comfort and Urban Heat Management. Environ. Res. 2021, 193, 110584. [Google Scholar] [CrossRef] [PubMed]
- Semeraro, T.; Calisi, A.; Hang, J.; Emmanuel, R.; Buccolieri, R. Nature-Based Solutions Planning for Urban Microclimate Improvement and Health: An Integrated Ecological and Economic Approach. Land 2024, 13, 2143. [Google Scholar] [CrossRef]
- Han, M.; Fang, Y.; Yi, L.; Liu, S. Impact of Microclimate on Perception and Physical Activities in Public Spaces of New Urban Areas in Beijing, China. Buildings 2024, 14, 1095. [Google Scholar] [CrossRef]
- Chen, P.; Nie, L.; Kang, J.; Liu, H. Research on the Influence of Open Underground Space Entrance Forms on the Microclimate: A Case Study in Xuzhou, China. Buildings 2024, 14, 554. [Google Scholar] [CrossRef]
- Liu, M.; Yang, C.; Fan, Z.; Yuan, C. Prediction Approach on Pedestrian Outdoor Activity Preference under Factors of Public Open Space Integrated Microclimate. Build. Environ. 2023, 244, 110761. [Google Scholar] [CrossRef]
- Vert, C.; Gascon, M.; Ranzani, O.; Márquez, S.; Triguero-Mas, M.; Carrasco-Turigas, G.; Arjona, L.; Koch, S.; Llopis, M.; Donaire-Gonzalez, D.; et al. Physical and Mental Health Effects of Repeated Short Walks in a Blue Space Environment: A Randomised Crossover Study. Environ. Res. 2020, 188, 109812. [Google Scholar] [CrossRef] [PubMed]
- Gascon, M.; Zijlema, W.; Vert, C.; White, M.P.; Nieuwenhuijsen, M.J. Outdoor Blue Spaces, Human Health and Well-Being: A Systematic Review of Quantitative Studies. Int. J. Hyg. Environ. Health 2017, 220, 1207–1221. [Google Scholar] [CrossRef]
- Xin, B.; Zhu, C.; Geng, J.; Liu, Y. Emotional Perceptions of Thermal Comfort for People Exposed to Green Spaces Characterized Using Streetscapes in Urban Parks. Land 2024, 13, 1515. [Google Scholar] [CrossRef]
- Li, J.; Zheng, B.; Chen, X.; Wang, L. The Annual Effect of Landscapes on the Indoor Thermal Environment in Residential Areas—A Case Study in Southern Hunan. Forests 2024, 15, 1099. [Google Scholar] [CrossRef]
- Liu, L.; Wu, J.; Liang, Z.; Gao, J.; Hang, J.; Liu, J.; Liu, L. Spatio-Temporal Analysis of Local Thermal Environment in Waterfront Blocks along the Both Sides of Pearl River in Guangzhou, China. Case Stud. Therm. Eng. 2024, 53, 103875. [Google Scholar] [CrossRef]
- Teshnehdel, S.; Gatto, E.; Li, D.; Brown, R.D. Improving Outdoor Thermal Comfort in a Steppe Climate: Effect of Water and Trees in an Urban Park. Land 2022, 11, 431. [Google Scholar] [CrossRef]
- Das, M. Chapter 27—Green and Blue Infrastructure in High-Density Megacities of Global South: A Critical Evaluation of Benefits and Obstacles for Enhancing the Well-Being of Hong Kong’s Aging Population. In Developments in Environmental Science; Sivaramakrishnan, L., Dahiya, B., Sharma, M., Mookherjee, S., Karmakar, R., Eds.; Elsevier: Amsterdam, The Netherlands, 2024; Volume 15, pp. 575–594. ISBN 1474-8177. [Google Scholar]
- Niu, J.; Xiong, J.; Qin, H.; Hu, J.; Deng, J.; Han, G.; Yan, J. Influence of Thermal Comfort of Green Spaces on Physical Activity: Empirical Study in an Urban Park in Chongqing, China. Build. Environ. 2022, 219, 109168. [Google Scholar] [CrossRef]
- Zheng, J.; Li, Z.; Zheng, B. A Study on the Effect of Green Plot Ratio (GPR) on Urban Heat Island Intensity and Outdoor Thermal Comfort in Residential Areas. Forests 2024, 15, 518. [Google Scholar] [CrossRef]
- Fei, F.; Wang, Y.; Yao, W.; Gao, W.; Wang, L. Coupling Mechanism of Water and Greenery on Summer Thermal Environment of Waterfront Space in China’s Cold Regions. Build. Environ. 2022, 214, 108912. [Google Scholar] [CrossRef]
- Gatto, E.; Buccolieri, R.; Aarrevaara, E.; Ippolito, F.; Emmanuel, R.; Perronace, L.; Santiago, J.L. Impact of Urban Vegetation on Outdoor Thermal Comfort: Comparison between a Mediterranean City (Lecce, Italy) and a Northern European City (Lahti, Finland). Forests 2020, 11, 228. [Google Scholar] [CrossRef]
- Liu, Z.; Li, J.; Xi, T. A Review of Thermal Comfort Evaluation and Improvement in Urban Outdoor Spaces. Buildings 2023, 13, 3050. [Google Scholar] [CrossRef]
- Wang, R.; Liu, R.; Chen, Q.; Cheng, Q.; Du, M. Effects of Sky View Factor on Thermal Environment in Different Local Climate Zoning Building Scenarios—A Case Study of Beijing, China. Buildings 2023, 13, 1882. [Google Scholar] [CrossRef]
- Guo, T.; Zhao, Y.; Yang, J.; Zhong, Z.; Ji, K.; Zhong, Z.; Luo, X. Effects of Tree Arrangement and Leaf Area Index on the Thermal Comfort of Outdoor Children’s Activity Space in Hot-Humid Areas. Buildings 2023, 13, 214. [Google Scholar] [CrossRef]
- Wang, H.; Cai, Y.; Deng, W.; Li, C.; Dong, Y.; Zhou, L.; Sun, J.; Li, C.; Song, B.; Zhang, F.; et al. The Effects of Tree Canopy Structure and Tree Coverage Ratios on Urban Air Temperature Based on ENVI-Met. Forests 2023, 14, 80. [Google Scholar] [CrossRef]
- Santiago, J.-L.; Rivas, E. Advances on the Influence of Vegetation and Forest on Urban Air Quality and Thermal Comfort. Forests 2021, 12, 1133. [Google Scholar] [CrossRef]
- Ribeiro, A.P.; Bollmann, H.A.; De Oliveira, A.; Rakauskas, F.; Cortese, T.T.P.; Rodrigues, M.S.C.; Quaresma, C.C.; Ferreira, M.L. The Role of Tree Landscape to Reduce Effects of Urban Heat Islands: A Study in Two Brazilian Cities. Trees 2023, 37, 17–30. [Google Scholar] [CrossRef]
- Manavvi, S.; Rajasekar, E. Evaluating Outdoor Thermal Comfort in Urban Open Spaces in a Humid Subtropical Climate: Chandigarh, India. Build. Environ. 2022, 209, 108659. [Google Scholar] [CrossRef]
- Abu Ali, M.; Alawadi, K.; Khanal, A. The Role of Green Infrastructure in Enhancing Microclimate Conditions: A Case Study of a Low-Rise Neighborhood in Abu Dhabi. Sustainability 2021, 13, 4260. [Google Scholar] [CrossRef]
- Morakinyo, T.E.; Lam, Y.F. Simulation Study on the Impact of Tree-Configuration, Planting Pattern and Wind Condition on Street-Canyon’s Micro-Climate and Thermal Comfort. Build. Environ. 2016, 103, 262–275. [Google Scholar] [CrossRef]
- Milošević, D.D.; Bajšanski, I.V.; Savić, S.M. Influence of Changing Trees Locations on Thermal Comfort on Street Parking Lot and Footways. Urban For. Urban Green. 2017, 23, 113–124. [Google Scholar] [CrossRef]
- Alawadhi, E.M. Thermal Comfort Analyses on Jogging Trails: The Effect of Trail Direction and Tree Shading on Trial Surface and Physiological Equivalent Temperatures. J. Therm. Biol. 2022, 110, 103358. [Google Scholar] [CrossRef]
- Sun, F.; Zhang, J.; Takeda, S.; Cui, J.; Yang, R. Vertical Plant Configuration: Its Impact on Microclimate and Thermal Comfort in Urban Small Green Spaces. Land 2024, 13, 1715. [Google Scholar] [CrossRef]
- Abdelmejeed, A.Y.; Gruehn, D. Pedestrian Dynamic Thermal Comfort Analysis to Optimize Using Trees in Various Urban Morphologies: A Case Study of Cairo City. Land 2024, 13, 1489. [Google Scholar] [CrossRef]
- Song, X.; Liu, J.; Zhao, Y. Effect of Design Factors on the Thermal Environment in the Waterfront Area. Procedia Eng. 2017, 205, 2677–2682. [Google Scholar] [CrossRef]
- Fei, F.; Wang, Y.; Jia, X. Assessment of the Mechanisms of Summer Thermal Environment of Waterfront Space in China’s Cold Regions. Sustainability 2022, 14, 2512. [Google Scholar] [CrossRef]
- Cheng, Y.; Liu, X.; Zeng, Z.; Liu, S.; Wang, Z.; Tang, X.; He, B.-J. Impacts of Water Bodies on Microclimates and Outdoor Thermal Comfort: Implications for Sustainable Rural Revitalization. Front. Environ. Sci. 2022, 10, 940482. [Google Scholar] [CrossRef]
- Xiong, J.; Cheng, B.; Zhang, J.; Liu, Y.; Tan, X.; Shi, M.; He, X.; Guo, J. A Study of Waterside Microenvironmental Factors and Their Effects on Summer Outdoor Thermal Comfort in a Cfa-Climate Campus. J. Therm. Biol. 2023, 117, 103700. [Google Scholar] [CrossRef]
- Karimi, A.; Sanaieian, H.; Farhadi, H.; Norouzian-Maleki, S. Evaluation of the Thermal Indices and Thermal Comfort Improvement by Different Vegetation Species and Materials in a Medium-Sized Urban Park. Energy Rep. 2020, 6, 1670–1684. [Google Scholar] [CrossRef]
- Kong, H.; Choi, N.; Park, S. Thermal Environment Analysis of Landscape Parameters of an Urban Park in Summer—A Case Study in Suwon, Republic of Korea. Urban For. Urban Green. 2021, 65, 127377. [Google Scholar] [CrossRef]
- Tan, Y.; Li, C.; Feng, H.; Yang, J. Exploring the Land Cover Material Interaction of Urban Open Space on the Thermal Comfort of Crowds in High-Temperature Environments and Retrofit Strategies: Two Case Studies in the Nanjing Xinjiekou District. Land 2024, 13, 314. [Google Scholar] [CrossRef]
- Yan, H.; Wu, F.; Dong, L. Influence of a Large Urban Park on the Local Urban Thermal Environment. Sci. Total Environ. 2018, 622–623, 882–891. [Google Scholar] [CrossRef]
- Chan, S.Y.; Chau, C.K. On the Study of the Effects of Microclimate and Park and Surrounding Building Configuration on Thermal Comfort in Urban Parks. Sustain. Cities Soc. 2021, 64, 102512. [Google Scholar] [CrossRef]
- Ma, X.; Fukuda, H.; Zhou, D.; Wang, M. A Study of the Pedestrianized Zone for Tourists: Urban Design Effects on Humans’ Thermal Comfort in Fo Shan City, Southern China. Sustainability 2019, 11, 2774. [Google Scholar] [CrossRef]
- Chan, S.Y.; Chau, C.K.; Leung, T.M. On the Study of Thermal Comfort and Perceptions of Environmental Features in Urban Parks: A Structural Equation Modeling Approach. Build. Environ. 2017, 122, 171–183. [Google Scholar] [CrossRef]
- Li, Y.; Song, Y. Optimization of Vegetation Arrangement to Improve Microclimate and Thermal Comfort in an Urban Park. IRSPSD Int. 2019, 7, 18–30. [Google Scholar] [CrossRef]
- Shi, D.; Song, J.; Huang, J.; Zhuang, C.; Guo, R.; Gao, Y. Synergistic Cooling Effects (SCEs) of Urban Green-Blue Spaces on Local Thermal Environment: A Case Study in Chongqing, China. Sustain. Cities Soc. 2020, 55, 102065. [Google Scholar] [CrossRef]
- Chen, Y.; Deng, S.; Hou, Y.; Yan, Q. Impact of Environmental Elements in Classical Chinese Gardens on Microclimate and Their Optimization Using ENVI-MET Simulations. Energy Build. 2025, 329, 115238. [Google Scholar] [CrossRef]
- Lin, J.; Chen, S.; Yang, J.; Li, Z. Research on Summer Outdoor Thermal Comfort Based on COMFA Model in an Urban Park of Fuzhou, China. Theor. Appl. Clim. 2024, 155, 2311–2322. [Google Scholar] [CrossRef]
- Jiang, J.; Pan, W.; Zhang, R.; Hong, Y.; Wang, J. Thermal Comfort Study of Urban Waterfront Spaces in Cold Regions: Waterfront Skyline Control Based on Thermal Comfort Objectives. Build. Environ. 2024, 256, 111515. [Google Scholar] [CrossRef]
- Li, Z.; Zheng, H. Cooling and Humidification Effects of Coniferous and Broad-Leaved Plant Communities in Urban Park. Build. Environ. 2023, 245, 110892. [Google Scholar] [CrossRef]
- Lim, Y.-S.; Zoh, H.D.; Kim, T.H.; Kwon, T.K. Analyzing the Cooling Effects of Water Facilities in Urban Park: The Case of Sangju Namsan Park, South Korea. Atmosphere 2024, 15, 1456. [Google Scholar] [CrossRef]
- Jin, H.; Shao, T.; Zhang, R. Effect of Water Body Forms on Microclimate of Residential District. Energy Procedia 2017, 134, 256–265. [Google Scholar] [CrossRef]
- Xu, H.; Chen, H.; Zhou, X.; Wu, Y.; Liu, Y. Research on the Relationship between Urban Morphology and Air Temperature Based on Mobile Measurement: A Case Study in Wuhan, China. Urban Clim. 2020, 34, 100671. [Google Scholar] [CrossRef]
- GB/T 35221-2017; Specification for Surface Meteorological Observation. China Meteorological Administration: Beijing, China, 2017.
- ISO 7726:1998; Ergonomics of the Thermal Environment—Instruments for Measuring Physical Quantities. International Organization for Standardization: Geneva, Switzerland, 1998.
- Tsoka, S.; Tsikaloudaki, A.; Theodosiou, T. Analyzing the ENVI-Met Microclimate Model’s Performance and Assessing Cool Materials and Urban Vegetation Applications–a Review. Sustain. Cities Soc. 2018, 43, 55–76. [Google Scholar] [CrossRef]
- Zheng, P.; Yao, R.; O’Donnell, J.; Mohareb, E.; Kumar, P.; Pain, C.; Huang, X.; Li, B. A Comprehensive Review of Thermal Comfort Evaluation Methods and Influencing Factors for Urban Parks. Build. Environ. 2025, 267, 112159. [Google Scholar] [CrossRef]
- Gusson, C.S.; Duarte, D.H.S. Effects of Built Density and Urban Morphology on Urban Microclimate—Calibration of the Model ENVI-Met V4 for the Subtropical Sao Paulo, Brazil. Procedia Engineer. 2016, 169, 2–10. [Google Scholar] [CrossRef]
- Du, M.; Zhao, Y.; Yang, J.; Wang, W.; Luo, X.; Zhong, Z.; Huang, B. Impact of ENVI-Met-Based Road Greening Design on Thermal Comfort and PM2.5 Concentration in Hot–Humid Areas. Sustainability 2024, 16, 8475. [Google Scholar] [CrossRef]
- Li, R.; Li, Q.; Mikiko, I.; Wumaier, K. Numerical Study on the Summer High-Temperature Climate Adaptation of Traditional Dwellings in the Western Plains of Sichuan, China. Land 2024, 13, 1382. [Google Scholar] [CrossRef]
- Haeri, T.; Hassan, N.; Ghaffarianhoseini, A. Evaluation of Microclimate Mitigation Strategies in a Heterogenous Street Canyon in Kuala Lumpur from Outdoor Thermal Comfort Perspective Using Envi-Met. Urban Clim. 2023, 52, 101719. [Google Scholar] [CrossRef]
- Banerjee, S.; Pek, R.X.Y.; Yik, S.K.; Ching, G.N.; Ho, X.T.; Dzyuban, Y.; Crank, P.J.; Acero, J.A.; Chow, W.T. Assessing Impact of Urban Densification on Outdoor Microclimate and Thermal Comfort Using ENVI-Met Simulations for Combined Spatial-Climatic Design (CSCD) Approach. Sustain. Cities Soc. 2024, 105, 105302. [Google Scholar] [CrossRef]
- Banerjee, S.; Yik, S.K.; Dzyuban, Y.; Crank, P.J.; Yi, R.P.X.; Chow, W.T. Analysing Impacts of Urban Morphological Variables and Density on Outdoor Microclimate for Tropical Cities: A Review and a Framework Proposal for Future Research Directions. Build. Environ. 2022, 225, 109646. [Google Scholar] [CrossRef]
- Wang, Y.; Akbari, H. Analysis of Urban Heat Island Phenomenon and Mitigation Solutions Evaluation for Montreal. Sustain. Cities Soc. 2016, 26, 438–446. [Google Scholar] [CrossRef]
- Faragallah, R.N.; Ragheb, R.A. Evaluation of Thermal Comfort and Urban Heat Island through Cool Paving Materials Using ENVI-Met. Ain Shams Eng. J. 2022, 13, 101609. [Google Scholar] [CrossRef]
- Fabbri, K.; Di Nunzio, A.; Gaspari, J.; Antonini, E.; Boeri, A. Outdoor Comfort: The ENVI-BUG Tool to Evaluate PMV Values Output Comfort Point by Point. Energy Procedia 2017, 111, 510–519. [Google Scholar] [CrossRef]
- Fahed, J.; Kinab, E.; Ginestet, S.; Adolphe, L. Impact of Urban Heat Island Mitigation Measures on Microclimate and Pedestrian Comfort in a Dense Urban District of Lebanon. Sustain. Cities Soc. 2020, 61, 102375. [Google Scholar] [CrossRef]
- Pan, Z.; Xie, Z.; Wu, L.; Pan, Y.; Ding, N.; Liang, Q.; Qin, F. Simulation of Cooling Island Effect in Blue-Green Space Based on Multi-Scale Coupling Model. Remote Sens. 2023, 15, 2093. [Google Scholar] [CrossRef]
- Chu, Z.; Li, S.; Li, T.; Qian, H.; Liu, C.; Yan, Z. Numerical Simulation of Layout and Landscape Elements on the Thermal Environment of Urban Squares. Ecol. Inform. 2024, 82, 102770. [Google Scholar] [CrossRef]
- Crank, P.J.; Sailor, D.J.; Ban-Weiss, G.; Taleghani, M. Evaluating the ENVI-Met Microscale Model for Suitability in Analysis of Targeted Urban Heat Mitigation Strategies. Urban Clim. 2018, 26, 188–197. [Google Scholar] [CrossRef]
- Yang, J.; Hu, X.; Feng, H.; Marvin, S. Verifying an ENVI-Met Simulation of the Thermal Environment of Yanzhong Square Park in Shanghai. Urban For. Urban Green. 2021, 66, 127384. [Google Scholar] [CrossRef]
- Vuckovic, M.; Maleki, A.; Kiesel, K.; Mahdavi, A. Simulation-Based Assessment of UHI Mitigation Measures in Central European Cities. In Proceedings of the 14th International Conference of the International Building Performance Simulation Association, BS2015, Hyderabad, India, 7–9 December 2015. [Google Scholar]
- Schlünzen, K.; Sokhi, R. Overview of Tools and Methods for Meteorological and Air Pollution Mesoscale Model Evaluation and User Training. Jt. Rep. WMO COST 2008, 728, 116. [Google Scholar]
- Maleki, A.; Kiesel, K.; Vuckovic, M.; Mahdavi, A. Empirical and Computational Issues of Microclimate Simulation. In Proceedings of the Information and Communication Technology: Second IFIP TC5/8 International Conference, ICT-EurAsia 2014, Bali, Indonesia, 14–17 April 2014; Proceedings 2. Springer: Berlin/Heidelberg, Germany, 2014; pp. 78–85. [Google Scholar]
- Gál, C.V.; Kántor, N. Modeling Mean Radiant Temperature in Outdoor Spaces, A Comparative Numerical Simulation and Validation Study. Urban Clim. 2020, 32, 100571. [Google Scholar] [CrossRef]
- Detommaso, M.; Costanzo, V.; Nocera, F. Application of Weather Data Morphing for Calibration of Urban ENVI-Met Microclimate Models. Results and Critical Issues. Urban Clim. 2021, 38, 100895. [Google Scholar] [CrossRef]
- Zhang, L.; Zhan, Q.; Lan, Y. Effects of the Tree Distribution and Species on Outdoor Environment Conditions in a Hot Summer and Cold Winter Zone: A Case Study in Wuhan Residential Quarters. Build. Environ. 2018, 130, 27–39. [Google Scholar] [CrossRef]
- Salvati, A.; Kolokotroni, M. Microclimate Data for Building Energy Modelling: Study on ENVI-Met Forcing Data. In Proceedings of the Building Simulation 2019, Rome, Italy, 2–4 September 2019; IBPSA: Phoenix, AZ, USA, 2019; Volume 16, pp. 3361–3368. [Google Scholar]
- Elraouf, R.A.; ELMokadem, A.; Megahed, N.; Eleinen, O.A.; Eltarabily, S. Evaluating Urban Outdoor Thermal Comfort: A Validation of ENVI-Met Simulation through Field Measurement. J. Build. Perform. Simul. 2022, 15, 268–286. [Google Scholar] [CrossRef]
- Ayyad, Y.; Sharples, S. Envi-MET Validation and Sensitivity Analysis Using Field Measurements in a Hot Arid Climate. In Proceedings of the IOP Conference Series: Earth and Environmental Science; IOP Publishing: Bristol, UK, 2019; Volume 329, p. 012040. [Google Scholar]
- GB 55014-2021; Standard for Landscaping Engineering Projects. Ministry of Housing and Urban-Rural Development of the People’s Republic of China: Beijing, China, 2021.
- Marchi, L.; Gaspari, J.; Fabbri, K. Outdoor Microclimate in Courtyard Buildings: Impact of Building Perimeter Configuration and Tree Density. Buildings 2023, 13, 2687. [Google Scholar] [CrossRef]
- Xue, S.; Chao, X.; Wang, K.; Wang, J.; Xu, J.; Liu, M.; Ma, Y. Impact of Canopy Coverage and Morphological Characteristics of Trees in Urban Park on Summer Thermal Comfort Based on Orthogonal Experiment Design: A Case Study of Lvyin Park in Zhengzhou, China. Forests 2023, 14, 2098. [Google Scholar] [CrossRef]
- Wu, J.; Jin, T.; Wu, Y.; Ding, Y.; Mu, Y.; Zeng, D. The Variation of UTCI with the Background of Climate Change and Its Implications for Tourism in a Complicated Climate Region in Western China. Sustainability 2022, 14, 15047. [Google Scholar] [CrossRef]
- Yi, P.; Liu, L.; Huang, Y.; Zhang, M.; Liu, H.; Bedra, K.B. Study on the Coupling Relationship between Thermal Comfort and Urban Center Spatial Morphology in Summer. Sustainability 2023, 15, 5084. [Google Scholar] [CrossRef]
- Bedra, K.B.; Zheng, B.; Li, J.; Luo, X. A Parametric-Simulation Method to Study the Interconnections between Urban-Street-Morphology Indicators and Their Effects on Pedestrian Thermal Comfort in Tropical Summer. Sustainability 2023, 15, 8902. [Google Scholar] [CrossRef]
- Huang, B.; Zhao, Y.; Yang, J.; Wang, W.; Guo, T.; Luo, X.; Du, M. Thermal Comfort and Restorative Benefits of Waterfront Green Spaces for College Students in Hot and Humid Regions. Sustainability 2024, 16, 8924. [Google Scholar] [CrossRef]
- Zhang, S.; Zhang, X.; Niu, D.; Fang, Z.; Chang, H.; Lin, Z. Physiological Equivalent Temperature-Based and Universal Thermal Climate Index-Based Adaptive-Rational Outdoor Thermal Comfort Models. Build. Environ. 2023, 228, 109900. [Google Scholar] [CrossRef]
- Xiao, J.; Yuizono, T.; Li, R. Synergistic Landscape Design Strategies to Renew Thermal Environment: A Case Study of a Cfa-Climate Urban Community in Central Komatsu City, Japan. Sustainability 2024, 16, 5582. [Google Scholar] [CrossRef]
- Zhou, W.; Zhang, J.; Li, X.; Guo, F.; Zhu, P. Influence of Environmental Factors on Pedestrian Summer Vitality in Urban Pedestrian Streets in Cold Regions Guided by Thermal Comfort: A Case Study of Sanlitun—Beijing, China. Sustainability 2024, 16, 10419. [Google Scholar] [CrossRef]
- Khraiwesh, M.M.; Genovese, P.V. Outdoor Thermal Comfort Integrated with Energy Consumption for Urban Block Design Optimization: A Study of the Hot-Summer Mediterranean City of Irbid, Jordan. Sustainability 2023, 15, 8412. [Google Scholar] [CrossRef]
- Sharmin, T.; Steemers, K.; Humphreys, M. Outdoor Thermal Comfort and Summer PET Range: A Field Study in Tropical City Dhaka. Energy Build. 2019, 198, 149–159. [Google Scholar] [CrossRef]
- Li, K.; Liu, X.; Zhang, H.; Ma, J.; He, B.-J. Evaluating and Improving the Adaptability of Commonly Used Indices for Predicting Outdoor Thermal Sensation in Hot and Humid Residential Areas of China. Dev. Built Environ. 2023, 16, 100278. [Google Scholar] [CrossRef]
- Haghshenas, M.; Hadianpour, M.; Matzarakis, A.; Mahdavinejad, M.; Ansari, M. Improving the Suitability of Selected Thermal Indices for Predicting Outdoor Thermal Sensation in Tehran. Sustain. Cities Soc. 2021, 74, 103205. [Google Scholar] [CrossRef]
- Li, H.; Hu, H.; Wu, Z.; Kong, X.; Fan, M. Modified Predicted Mean Vote Models for Human Thermal Comfort: An ASHRAE Database-Based Evaluation. Renew. Sustain. Energy Rev. 2025, 209, 115042. [Google Scholar] [CrossRef]
- Sadeghian, G.; Tahbaz, M.; Hakimian, P. Urban Microclimate Analysis: Residential Block Morphology Impact on Outdoor Thermal Comfort. Proc. Inst. Civ. Eng.-Eng. Sustain. 2024, 177, 309–319. [Google Scholar] [CrossRef]
- Arriazu-Ramos, A.; Pons Izquierdo, J.J.; Ramos Ruiz, G.; Sánchez-Ostiz, A.; Monge-Barrio, A. Facing Climate Change in a Temperate European City: Urban-Scale Diagnosis of Indoor Overheating and Adaptation Strategies for Residential Buildings. Buildings 2024, 14, 1423. [Google Scholar] [CrossRef]
- Yola, L.; Adekunle, T.O.; Ayegbusi, O.G. The Impacts of Urban Configurations on Outdoor Thermal Perceptions: Case Studies of Flat Bandar Tasik Selatan and Surya Magna in Kuala Lumpur. Buildings 2022, 12, 1684. [Google Scholar] [CrossRef]
- Yuan, L.; Wang, K.; Xue, S.; Yin, S.; Zhan, Q.; Chao, X. Assessing and Enhancing the Applicability of Standard Effective Temperature in Outdoor Thermal Sensation Prediction for Continental Climates. Energy Build. 2024, 305, 113894. [Google Scholar] [CrossRef]
- Tao, Z.; Zhu, X.; Xu, G.; Zou, D.; Li, G. A Comparative Analysis of Outdoor Thermal Comfort Indicators Applied in China and Other Countries. Sustainability 2023, 15, 16029. [Google Scholar] [CrossRef]
- Coccolo, S.; Kämpf, J.; Scartezzini, J.-L.; Pearlmutter, D. Outdoor Human Comfort and Thermal Stress: A Comprehensive Review on Models and Standards. Urban Clim. 2016, 18, 33–57. [Google Scholar] [CrossRef]
- BR^|^Ouml DE, P.; Blazejczyk, K.; Fiala, D.; Havenith, G.; Holmér, I.; Jendritzky, G.; Kuklane, K.; Kampmann, B. The Universal Thermal Climate Index UTCI Compared to Ergonomics Standards for Assessing the Thermal Environment. Ind Health 2013, 51, 16–24. [Google Scholar] [CrossRef]
- López-Cabeza, V.P.; Diz-Mellado, E.; Rivera-Gómez, C.A.; Galán-Marín, C. Shade and Thermal Comfort in Courtyards: Experimental versus Simulation Results. Buildings 2022, 12, 1961. [Google Scholar] [CrossRef]
- Zeng, Z.; Zhou, X.; Li, L. The Impact of Water on Microclimate in Lingnan Area. Procedia Eng. 2017, 205, 2034–2040. [Google Scholar] [CrossRef]
- Hao, M.; Gao, C.; Gu, C.; Hou, T.; Zhang, Y. Numerical Simulation of the Impact of Urbanization on Climate in Taihu Lake Basin. Ecol. Indic. 2023, 154, 110522. [Google Scholar]
- Cureau, R.J.; Pigliautile, I.; Pisello, A.L. Seasonal and Diurnal Variability of a Water Body’s Effects on the Urban Microclimate in a Coastal City in Italy. Urban Clim. 2023, 49, 101437. [Google Scholar]
- Tan, X.; Sun, X.; Huang, C.; Yuan, Y.; Hou, D. Comparison of Cooling Effect between Green Space and Water Body. Sustain. Cities Soc. 2021, 67, 102711. [Google Scholar]
- Song, D.; Zhang, X.; Zhou, X.; Shi, X.; Jin, X. Influences of Wind Direction on the Cooling Effects of Mountain Vegetation in Urban Area. Build. Environ. 2022, 209, 108663. [Google Scholar] [CrossRef]
- Cruz, J.; Blanco, A.; Garcia, J.; Santos, J.; Moscoso, A. Evaluation of the Cooling Effect of Green and Blue Spaces on Urban Microclimate through Numerical Simulation: A Case Study of Iloilo River Esplanade, Philippines. Sustain. Cities Soc. 2021, 74, 103184. [Google Scholar]
- Hu, N.; Wang, G.; Ma, Z.; Ren, Z.; Zhao, M.; Meng, J. The Cooling Effects of Urban Waterbodies and Their Driving Forces in China. Ecol. Indic. 2023, 156, 111200. [Google Scholar] [CrossRef]
- Liu, J. Research on Static Waterscape Design Strategy of Guangzhou Residential Area Based on Thermal Environment. Master’s Thesis, South China University of Technology, Guangzhou, China, 2020. [Google Scholar]
- Jiang, Y.; Jiang, S.; Shi, T. Comparative Study on the Cooling Effects of Green Space Patterns in Waterfront Build-up Blocks: An Experience from Shanghai. IJERPH 2020, 17, 8684. [Google Scholar] [CrossRef] [PubMed]
- Zhou, Y. Analysis of Urban River Cooling Effect and Optimization of Building Space Form in Riverside Area -The Central City of Nanjing As an Example. Master’s Thesis, Southeast University, Nanjing, China, 2023. [Google Scholar]
- Geng, X.; Yu, Z.; Zhang, D.; Li, C.; Yuan, Y.; Wang, X. The Influence of Local Background Climate on the Dominant Factors and Threshold-Size of the Cooling Effect of Urban Parks. Sci. Total Environ. 2022, 823, 153806. [Google Scholar] [CrossRef]
- Cao, B.; Chen, Q.; Du, M.; Cheng, Q.; Li, Y.; Liu, R. Simulation Analysis of the Cooling Effect of Urban Water Bodies on the Local Thermal Environment. Water 2022, 14, 3091. [Google Scholar] [CrossRef]
- Qiu, X.; Kil, S.-H.; Park, C. Impact of Local Environment on Cooling Island Effect of Water Body: Case Study of Changsha, China. Sens. Mater. 2021, 33, 3801. [Google Scholar] [CrossRef]
- Syafii, N.I.; Ichinose, M.; Wong, N.H.; Kumakura, E.; Jusuf, S.K.; Chigusa, K. Experimental Study on the Influence of Urban Water Body on Thermal Environment at Outdoor Scale Model. Procedia Eng. 2016, 169, 191–198. [Google Scholar] [CrossRef]
- Jiao, M.; Zhou, W.; Zheng, Z.; Yan, J.; Wang, J. Optimizing the Shade Potential of Trees by Accounting for Landscape Context. Sustain. Cities Soc. 2021, 70, 102905. [Google Scholar] [CrossRef]
- Feng, L.; Yang, S.; Zhou, Y.; Shuai, L. Exploring the Effects of the Spatial Arrangement and Leaf Area Density of Trees on Building Wall Temperature. Build. Environ. 2021, 205, 108295. [Google Scholar] [CrossRef]
- Cameron, R.W.F.; Taylor, J.E.; Emmett, M.R. What’s ‘Cool’ in the World of Green Façades? How Plant Choice Influences the Cooling Properties of Green Walls. Build. Environ. 2014, 73, 198–207. [Google Scholar] [CrossRef]
- Shashua-Bar, L.; Hoffman, M.E. Vegetation as a Climatic Component in the Design of an Urban Street: An Empirical Model for Predicting the Cooling Effect of Urban Green Areas with Trees. Energy Build. 2000, 31, 221–235. [Google Scholar] [CrossRef]
- Huang, Y.; Fu, W.; Chen, J.; Dong, J.; Wang, M. Study on the Influence of Plant Community Characteristics on the Summer Microclimate of the Tree-Shaded Space in Parks. Chin. Landsc. Archit. 2022, 38, 118–123. [Google Scholar] [CrossRef]
- Zhang, L.; Zhan, Q.; Lan, Y. The Cooling and Ventilation Effects of Residential Vegetation in Wuhan Based on Micro-climate Simulation. Chin. Landsc. Archit. 2019, 35, 92–96. [Google Scholar]
- Smith, I.A.; Fabian, M.P.; Hutyra, L.R. Urban Green Space and Albedo Impacts on Surface Temperature across Seven United States Cities. Sci. Total Environ. 2023, 857, 159663. [Google Scholar] [CrossRef] [PubMed]
- Liu, Y.; Chu, C.; Zhang, R.; Chen, S.; Xu, C.; Zhao, D.; Meng, C.; Ju, M.; Cao, Z. Impacts of High-Albedo Urban Surfaces on Outdoor Thermal Environment across Morphological Contexts: A Case of Tianjin, China. Sustain. Cities Soc. 2024, 100, 105038. [Google Scholar] [CrossRef]
- Salvati, A.; Kolokotroni, M.; Kotopouleas, A.; Watkins, R.; Giridharan, R.; Nikolopoulou, M. Impact of Reflective Materials on Urban Canyon Albedo, Outdoor and Indoor Microclimates. Build. Environ. 2022, 207, 108459. [Google Scholar] [CrossRef]
- Liu, S.; Zhao, J.; Xu, M.; Ahmadian, E. Effects of Landscape Patterns on the Summer Microclimate and Human Comfort in Urban Squares in China. Sustain. Cities Soc. 2021, 73, 103099. [Google Scholar] [CrossRef]
- Lopez-Cabeza, V.P.; Alzate-Gaviria, S.; Diz-Mellado, E.; Rivera-Gomez, C.; Galan-Marin, C. Albedo Influence on the Microclimate and Thermal Comfort of Courtyards under Mediterranean Hot Summer Climate Conditions. Sustain. Cities Soc. 2022, 81, 103872. [Google Scholar] [CrossRef]
- Bao, Y.; Gao, M.; Luo, D.; Zhou, X. The Influence of Plant Community Characteristics in Urban Parks on the Microclimate. Forests 2022, 13, 1342. [Google Scholar] [CrossRef]
- Yang, S.; Wang, L.; Stathopoulos, T.; Marey, A.M. Urban Microclimate and Its Impact on Built Environment—A Review. Build. Environ. 2023, 238, 110334. [Google Scholar] [CrossRef]
- Zhang, J.; Zhang, F.; Gou, Z.; Liu, J. Assessment of Macroclimate and Microclimate Effects on Outdoor Thermal Comfort via Artificial Neural Network Models. Urban Clim. 2022, 42, 101134. [Google Scholar] [CrossRef]
- Guo, X.; Gao, Z.; Buccolieri, R.; Zhang, M.; Shen, J. Effect of Greening on Pollutant Dispersion and Ventilation at Urban Street Intersections. Build. Environ. 2021, 203, 108075. [Google Scholar] [CrossRef]
- Fang, Y.; Zhao, L. Assessing the Environmental Benefits of Urban Ventilation Corridors: A Case Study in Hefei, China. Build. Environ. 2022, 212, 108810. [Google Scholar] [CrossRef]
- Xu, W.; Zhao, L.; Zhang, Y.; Gu, Z. Investigation on Air Ventilation within Idealised Urban Wind Corridors and the Influence of Structural Factors with Numerical Simulations. Sustainability 2023, 15, 13817. [Google Scholar] [CrossRef]
- Wang, Z.; Wang, M.; Huang, T.; Wang, Y.; Zeng, Y.; Vishnupriya, V.; Chen, J.; Shen, X. Evaluation of the Influence of Traditional Village Square Layout Factors on Wind Comfort. Build. Environ. 2025, 267, 112160. [Google Scholar] [CrossRef]
- Kang, G.; Kim, J.-J.; Choi, W. Computational Fluid Dynamics Simulation of Tree Effects on Pedestrian Wind Comfort in an Urban Area. Sustain. Cities Soc. 2020, 56, 102086. [Google Scholar]
- Gao, S.; Chen, Q.; Chen, Y.; Ye, J.; Chen, L. A Study on Street Tree Planting Strategy in Pingtan Island Based on Road Wind Environment Simulation. Sustainability 2024, 16, 6252. [Google Scholar] [CrossRef]
- Chen, J.; Zeng, J.; Huang, T.; Wang, Y.; Yang, H.; Yu, X.; Wang, Z. Impacts of Plant Configuration on the Outdoor Wind Comfort of Subtropical Coastal Campuses: Evidence from a Study of Quanzhou. Forests 2025, 16, 461. [Google Scholar] [CrossRef]
- Du, H.; Cai, Y.; Zhou, F.; Jiang, H.; Jiang, W.; Xu, Y. Urban Blue-Green Space Planning Based on Thermal Environment Simulation: A Case Study of Shanghai, China. Ecol. Indic. 2019, 106, 105501. [Google Scholar]
- Yu, X.; Yang, Z.; Xu, D.; Wang, Q.; Peng, J. Urban Green Spaces Enhanced Human Thermal Comfort through Dual Pathways of Cooling and Humidifying. Sustain. Cities Soc. 2025, 118, 106032. [Google Scholar]
- Liu, W.; Zhang, G.; Jiang, Y.; Wang, J. Effective Range and Driving Factors of the Urban Ventilation Corridor Effect on Urban Thermal Comfort at Unified Scale with Multisource Data. Remote Sens. 2021, 13, 1783. [Google Scholar] [CrossRef]
- Bligh, J.; Johnson, K.G. Glossary of Terms for Thermal Physiology. J. Therm. Biol. 2003, 28, 75–106. [Google Scholar] [CrossRef]
- Narita, K.-I.; Sugawara, H.; Honjo, T. Effects of Roadside Trees on the Thermal Environment within a Street Canyon. Geogr. Rep. Tokyo Metrop. Univ. 2008, 43, 41–48. [Google Scholar]
- Meili, N.; Acero, J.A.; Peleg, N.; Manoli, G.; Burlando, P.; Fatichi, S. Vegetation Cover and Plant-Trait Effects on Outdoor Thermal Comfort in a Tropical City. Build. Environ. 2021, 195, 107733. [Google Scholar] [CrossRef]
- Deevi, B.; Chundeli, F.A. Quantitative Outdoor Thermal Comfort Assessment of Street: A Case in a Warm and Humid Climate of India. Urban Clim. 2020, 34, 100718. [Google Scholar] [CrossRef]
- Shata, R.O.; Mahmoud, A.H.; Fahmy, M. Correlating the Sky View Factor with the Pedestrian Thermal Environment in a Hot Arid University Campus Plaza. Sustainability 2021, 13, 468. [Google Scholar] [CrossRef]
- Li, H.; Harvey, J.; Kendall, A. Field Measurement of Albedo for Different Land Cover Materials and Effects on Thermal Performance. Build. Environ. 2013, 59, 536–546. [Google Scholar]
- Takebayashi, H.; Moriyama, M. Study on Surface Heat Budget of Various Pavements for Urban Heat Island Mitigation. Adv. Mater. Sci. Eng. 2012, 2012, 523051. [Google Scholar]
- Wang, M.; Gou, Z. The Impact of Cooling Strategies on Urban Microclimates and Building Energy Consumption: A Study of a Street Canyon in Melbourne. Energy Built Environ. 2025, S2666123325000121, in press. [Google Scholar] [CrossRef]
- Sedaghat, A.; Sharif, M. Mitigation of the Impacts of Heat Islands on Energy Consumption in Buildings: A Case Study of the City of Tehran, Iran. Sustain. Cities Soc. 2022, 76, 103435. [Google Scholar]
- Bröde, P.; Krüger, E.L.; Fiala, D. UTCI: Validation and Practical Application to the Assessment of Urban Outdoor Thermal Comfort. Geogr. Pol. 2013, 86, 11–20. [Google Scholar]
- Jia, J.; Wang, L.; Yao, Y.; Jing, Z.; Zhai, Y.; Ren, Z.; He, X.; Li, R.; Zhang, X.; Chen, Y.; et al. Nonlinear Relationships between Canopy Structure and Cooling Effects in Urban Forests: Insights from 3D Structural Diversity at the Single Tree and Community Scales. Sustain. Cities Soc. 2025, 118, 106012. [Google Scholar]
- Wu, Z.; Man, W.; Ren, Y. Influence of Tree Coverage and Micro-Topography on the Thermal Environment within and beyond a Green Space. Agric. For. Meteorol. 2022, 316, 108846. [Google Scholar] [CrossRef]
- Murakawa, S.; Sekine, T.; Narita, K.; Nishina, D. Study of the Effects of a River on the Thermal Environment in an Urban Area. Energy Build. 1991, 16, 993–1001. [Google Scholar] [CrossRef]
- Syafii, N.I.; Ichinose, M.; Kumakura, E.; Jusuf, S.K.; Hien, W.N.; Chigusa, K.; Ashie, Y. Assessment of the Water Pond Cooling Effect on Urban Microclimate: A Parametric Study with Numerical Modeling. Int. J. Technol. 2021, 12, 461. [Google Scholar] [CrossRef]
- Du, H.; Song, X.; Jiang, H.; Kan, Z.; Wang, Z.; Cai, Y. Research on the Cooling Island Effects of Water Body: A Case Study of Shanghai, China. Ecol. Indic. 2016, 67, 31–38. [Google Scholar] [CrossRef]
- Theeuwes, N.E.; Solcerova, A.; Steeneveld, G.J. Modeling the Influence of Open Water Surfaces on the Summertime Temperature and Thermal Comfort in the City. J. Geophys. Res. Atmos. 2013, 118, 8881–8896. [Google Scholar] [CrossRef]
- Imam Syafii, N.; Ichinose, M.; Kumakura, E.; Jusuf, S.K.; Chigusa, K.; Wong, N.H. Thermal Environment Assessment around Bodies of Water in Urban Canyons: A Scale Model Study. Sustain. Cities Soc. 2017, 34, 79–89. [Google Scholar] [CrossRef]
- Qi, X.; Zhao, X.; Fu, B.; Xu, L.; Yu, H.; Tao, S. Numerical Study on the Influence of Rivers on the Urban Microclimate: A Case Study in Chengdu, China. Water 2023, 15, 1408. [Google Scholar] [CrossRef]
- Taleghani, M.; Berardi, U. The Effect of Pavement Characteristics on Pedestrians’ Thermal Comfort in Toronto. Urban Clim. 2018, 24, 449–459. [Google Scholar] [CrossRef]
- Mei, Y.; Lu, J.; Han, D.; Xu, L.; Han, Y. Research on the Spatial Form Effects of Thermal Comfort on Urban Waterfront Trails in Summer—A Case Study of West Lake in Hangzhou, China. J. Asian Archit. Build. Eng. 2024, 23, 773–788. [Google Scholar] [CrossRef]
- Zhang, J.; Wang, N. Study on the Relationship between Summer Microclimate and Human Thermal Comfort in Urban Waterfront Parks–Longzi Lake Park in Zhengzhou City as an Example. Landsc. Ecol. Eng. 2025, 1–16. [Google Scholar] [CrossRef]
- Stocco, S.; Cantón, M.A.; Correa, E. Evaluation of Design Schemes for Urban Squares in Arid Climate Cities, Mendoza, Argentina. Build. Simul. 2021, 14, 763–777. [Google Scholar] [CrossRef]
- Fan, Q.; Li, X.; Li, H. Crowd Gathering and Thermal Comfort Research in Different Park Shading Spaces. Sustainability 2022, 14, 2687. [Google Scholar] [CrossRef]
- Yang, Y.; Zhou, D.; Gao, W.; Zhang, Z.; Chen, W.; Peng, W. Simulation on the Impacts of the Street Tree Pattern on Built Summer Thermal Comfort in Cold Region of China. Sustain. Cities Soc. 2018, 37, 563–580. [Google Scholar] [CrossRef]
- Wang, L.; Chen, T.; Yu, Y.; Wang, L.; Zang, H.; Cang, Y.; Zhang, Y.; Ma, X. Impacts of Vegetation Ratio, Street Orientation, and Aspect Ratio on Thermal Comfort and Building Carbon Emissions in Cold Zones: A Case Study of Tianjin. Land 2024, 13, 1275. [Google Scholar] [CrossRef]
- Huang, J.-M.; Chen, L.-C. Synergistic Effects of Roadside Trees and Spatial Geometry on Thermal Environment in Urban Streets: A Case Study in Tropical, Medium-Sized City, Taiwan. Buildings 2023, 13, 2092. [Google Scholar] [CrossRef]
- Park, K.; Jun, C.; Baik, J.; Kim, H.-J. Urban Canyon Design with Aspect Ratio and Street Tree Placement for Enhanced Thermal Comfort: A Comprehensive Thermal Comfort Assessment Accounting for Gender and Age in Seoul, Republic of Korea. Buildings 2024, 14, 2517. [Google Scholar] [CrossRef]
- Lin, B.-S.; Chang, H.-C.; Chen, C.-W.; Huang, I.-H.; Pardthaisong, L.; Hsieh, C.-I. Effects of Street Spatial Structure on Micrometeorological Condition and Air Quality—A Case Study of Taipei City. Forests 2024, 15, 2221. [Google Scholar] [CrossRef]
- Peng, Z.; Bardhan, R.; Ellard, C.; Steemers, K. Urban Climate Walk: A Stop-and-Go Assessment of the Dynamic Thermal Sensation and Perception in Two Waterfront Districts in Rome, Italy. Build. Environ. 2022, 221, 109267. [Google Scholar] [CrossRef]
- Saputra, W.; Lai, L. Identification of Landscape Components for Heat Mitigation in Bahrain’s Arid Climate Urban Waterfront Parks. In Proceedings of the IOP Conference Series: Earth and Environmental Science; IOP Publishing: Bristol, UK, 2024; Volume 1384, p. 012019. [Google Scholar]
- Habib, C. Assessing Outdoor Thermal Comfort in a Waterfront Development: The Case of Waterfront City, Dbayeh. Ph.D. Thesis, Notre Dame University, Notre Dame, IN, USA, 2021. [Google Scholar]
- Strazza, N.; Sdrigotti, P.; Stival, C.A.; Berto, R. Evaluating Deep Retrofit Strategies for Buildings in Urban Waterfronts. In Sustainable Building for a Cleaner Environment: Selected Papers from the World Renewable Energy Network’s Med Green Forum; Springer: Berlin/Heidelberg, Germany, 2019; pp. 391–403. [Google Scholar]
- Garcia, D.A.; Cumo, F.; Pennacchia, E.; Sforzini, V. A Sustainable Requalification of Bracciano Lake Waterfront in Trevignano Romano. Int. J. Sustain. Dev. Plan. 2015, 10, 155–164. [Google Scholar]
- Escobar, P.S.; Rocchio, D.; Alvarado, N.; Cherrez, K. Passive Strategies for Thermal Comfort in Amazonian Cities: The Case of Tena’s Waterfront. Bitácora Urbano Territ. 2024, 34, 55–70. [Google Scholar]
Disclaimer/Publisher’s Note: The statements, opinions and data contained in all publications are solely those of the individual author(s) and contributor(s) and not of MDPI and/or the editor(s). MDPI and/or the editor(s) disclaim responsibility for any injury to people or property resulting from any ideas, methods, instructions or products referred to in the content. |
© 2025 by the authors. Licensee MDPI, Basel, Switzerland. This article is an open access article distributed under the terms and conditions of the Creative Commons Attribution (CC BY) license (https://creativecommons.org/licenses/by/4.0/).




