Floor-Usage Behavior and Thermal Comfort Among Apartment Residents Under Cultural Transition in Indonesia
Abstract
1. Introduction
1.1. Overview
1.2. Literature Review
1.3. Research Objectives
2. Methodology
2.1. Survey Design
2.2. Sampling Strategy
2.3. Object Description and Data Collection Process
2.4. Questionnaire
2.5. Statistical Analysis
3. Results
3.1. Main Posture and Thermal Adaptations During Gathering Activity
3.2. Cluster Description
3.3. Energy Consumption and Thermal Adaptations
3.4. Psychological Factors
3.4.1. Preference of Floor-Sitting
3.4.2. Thermal Sensation, Thermal Comfort, and Satisfaction
3.5. Relationship Between Sitting Behavior, Thermal Adaptations and Psychological Factors
4. Discussion
4.1. Lifestyle Trends from the Viewpoint of Behavior, Apartment Type and Energy Consumption
4.2. Psychological and Physiological Inheritance of Floor-Sitting Behavior
4.3. Cultural Significance of Floor-Sitting in Indonesia
4.4. Future Prospects
4.5. Limitations and Future Works
5. Conclusions
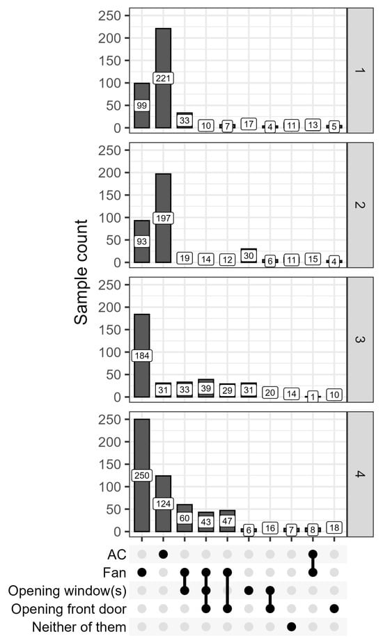
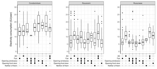
- There was a significant difference in behavior between floor-sitting in Rusunawa (lower income) and chair/sofa-sitting in condominiums (higher income). Approximately 80% of the residents in Rusunawa predominantly engaged in floor-sitting behavior and relied on fans for cooling. In contrast, approximately 75% of the residents in condominiums preferred chair-sitting and used air conditioning (AC). In Rusunami (middle income), the sitting behaviors and thermal adaptations dynamically varied across income levels.
- Based on the cluster analysis incorporating three key variables: primary posture, foot covering and floor covering, the preference for floor-sitting differed between the clusters. Clusters C1 and C2 preferred not to sit on the floor, while C3 and C4 mostly preferred floor-sitting. The former clusters showed approximately 50% higher annual electricity consumption using AC as a thermal adaptation than the latter clusters. The latter clusters showed lower annual electricity consumption with fan use. However, all clusters mostly went barefoot.
- While there were large differences in electricity consumption and thermal adaptations between the clusters, thermal comfort and satisfaction were mostly perceived as comfortable and satisfactory for all clusters. The reasons for preferring floor-sitting included comfort, coolness and habit, and therefore, traditional floor-sitting behavior might be an adaptive behavior in apartments in hot and humid climates when AC is not used. The results suggest that behavioral adaptations with floor-sitting are still viable for achieving thermal comfort.
Author Contributions
Funding
Institutional Review Board Statement
Informed Consent Statement
Data Availability Statement
Acknowledgments
Conflicts of Interest
Appendix A

| Variable | Overall, N = 1841 1 | C1, N = 434 1 | C2, N = 417 1 | C3, N = 402 1 | C4, N = 588 1 |
|---|---|---|---|---|---|
| Age (years old), mean (SD) | 39, (11) | 37, (11) | 40, (10) | 39, (10) | 38, (10) |
| Age category, n (%) | |||||
| 10s | 46, (2.5) | 18, (4.1) | 10, (2.4) | 5, (1.2) | 13, (2.2) |
| 20–24 | 155, (8.4) | 58, (13) | 28, (6.7) | 24, (6.0) | 45, (7.7) |
| 25–29 | 222, (12) | 59, (14) | 42, (10) | 43, (11) | 78, (13) |
| 30–34 | 245, (13) | 47, (11) | 51, (12) | 56, (14) | 91, (15) |
| 35–39 | 292, (16) | 51, (12) | 68, (16) | 72, (18) | 101, (17) |
| 40–44 | 256, (14) | 58, (13) | 62, (15) | 60, (15) | 76, (13) |
| 45–49 | 254, (14) | 53, (12) | 52, (12) | 67, (17) | 82, (14) |
| 50–54 | 240, (13) | 57, (13) | 68, (16) | 45, (11) | 70, (12) |
| +55 | 131, (7.1) | 33, (7.6) | 36, (8.6) | 30, (7.5) | 32, (5.4) |
| Gender, n (%) | |||||
| Female | 1286, (70) | 270, (62) | 285, (68) | 298, (74) | 433, (74) |
| Male | 555, (30) | 164, (38) | 132, (32) | 104, (26) | 155, (26) |
| Number of family members living together, n (%) | |||||
| 1 | 531, (29) | 210, (48) | 112, (27) | 85, (21) | 124, (21) |
| 2 | 826, (45) | 150, (35) | 219, (53) | 186, (47) | 271, (46) |
| 3 | 309, (17) | 51, (12) | 62, (15) | 74, (19) | 122, (21) |
| 4 | 99, (5.4) | 13, (3.0) | 14, (3.4) | 33, (8.3) | 39, (6.7) |
| 5 | 49, (2.7) | 8, (1.8) | 8, (1.9) | 14, (3.5) | 19, (3.2) |
| 6 | 16, (0.9) | 1, (0.2) | 1, (0.2) | 6, (1.5) | 8, (1.4) |
| 7 | 3, (0.2) | 0, (0) | 0, (0) | 0, (0) | 3, (0.5) |
| Occupation, n (%) | |||||
| Army/Police | 3, (0.2) | 1, (0.2) | 1, (0.2) | 1, (0.2) | 0, (0) |
| Business owner/Executive level or above | 24, (1.3) | 12, (2.8) | 8, (1.9) | 3, (0.7) | 1, (0.2) |
| Educator | 29, (1.6) | 5, (1.2) | 8, (1.9) | 7, (1.7) | 9, (1.5) |
| Entrepreneur/Store owner | 416, (23) | 130, (30) | 117, (28) | 58, (14) | 111, (19) |
| Housewife with side job | 172, (9.3) | 30, (6.9) | 35, (8.4) | 39, (9.7) | 68, (12) |
| Housewife without side job | 463, (25) | 47, (11) | 83, (20) | 165, (41) | 168, (29) |
| Laborer (farmer, stone mason, maid) | 32, (1.7) | 2, (0.5) | 3, (0.7) | 14, (3.5) | 13, (2.2) |
| Laborer with license (driver, mechanic, carpenter) | 68, (3.7) | 2, (0.5) | 10, (2.4) | 30, (7.5) | 26, (4.4) |
| Normal employee | 507, (28) | 166, (38) | 116, (28) | 64, (16) | 161, (27) |
| Not working/Unable to search for work | 9, (0.5) | 1, (0.2) | 1, (0.2) | 5, (1.2) | 2, (0.3) |
| Professional | 28, (1.5) | 9, (2.1) | 6, (1.4) | 6, (1.5) | 7, (1.2) |
| Retiree | 17, (0.9) | 5, (1.2) | 4, (1.0) | 2, (0.5) | 6, (1.0) |
| Student | 58, (3.2) | 22, (5.1) | 20, (4.8) | 3, (0.7) | 13, (2.2) |
| Unable to work | 4, (0.2) | 1, (0.2) | 1, (0.2) | 0, (0) | 2, (0.3) |
| Workers with license (nurse) | 11, (0.6) | 1, (0.2) | 4, (1.0) | 5, (1.2) | 1, (0.2) |
| Unit type, n (%) | |||||
| Family 1 bedroom (1BR) | 187, (10) | 33, (7.6) | 30, (7.2) | 56, (14) | 68, (12) |
| Family 2 bedrooms (2BR) | 1238, (68) | 341, (79) | 326, (78) | 260, (65) | 311, (53) |
| Family 3 bedrooms (3BR) | 10, (0.5) | 5, (1.2) | 5, (1.2) | 0, (0) | 0, (0) |
| Studio | 398, (22) | 54, (12) | 55, (13) | 82, (21) | 207, (35) |
| Unit size (m2) 2, mean (SD) | 32, (13) | 34 (19) | 34, (8) | 30, (8) | 29, (13) |
| Locations during gathering, n (%) | |||||
| Living room | 1737, (94) | 410, (94) | 379, (91) | 390, (97) | 558, (95) |
| Bedroom | 54, (2.9) | 14, (3.2) | 25, (6.0) | 6, (1.5) | 9, (1.5) |
| Outdoor area | 8, (0.4) | 1, (0.2) | 3, (0.7) | 4, (1.0) | 0, (0) |
| Terrace/Veranda/Balcony | 28, (1.5) | 4, (0.9) | 7, (1.7) | 0, (0) | 17, (2.9) |
| Others | 14, (0.8) | 5, (1.2) | 3, (0.7) | 2, (0.5) | 4, (0.7) |
| Floor material in the living room, n (%) | |||||
| Carpet | 20, (1.1) | 3, (0.7) | 0, (0) | 1, (0.2) | 16, (2.7) |
| Ceramic tile | 1556, (85) | 375, (86) | 380, (91) | 357, (89) | 444, (76) |
| Concrete | 167, (9.1) | 15, (3.5) | 15, (3.6) | 34, (8.5) | 103, (18) |
| Granite tile | 27, (1.5) | 16, (3.7) | 5, (1.2) | 2, (0.5) | 4, (0.7) |
| Vinyl | 21, (1.1) | 7, (1.6) | 3, (0.7) | 0, (0) | 11, (1.9) |
| Wooden | 6, (0.3) | 1, (0.2) | 3, (0.7) | 1, (0.2) | 1, (0.2) |
| Others | 44, (2.4) | 17, (3.9) | 11, (2.6) | 7, (1.7) | 9, (1.5) |
| Total energy consumption [GJ/year], mean (SD) | 14, (7) | 18, (7) | 16, (6) | 12, (6) | 12, (6) |
| Total energy consumption [GJ/person-year], mean (SD) | 8.6, (6.5) | 13.2, (7.3) | 9.7, (5.5) | 6.1, (5.9) | 6.1, (4.7) |
| Electricity consumption [GJ/year], mean (SD) | 9.6, (5.7) | 12.1, (5.4) | 11.5, (5.6) | 7.2, (4.9) | 7.9, (5.2) |
| Electricity consumption [GJ/person-year], mean (SD) | 5.8, (4.9) | 8.8, (5.6) | 6.7, (4.4) | 4.0, (4.2) | 4.3, (3.8) |
| Gas consumption [GJ/year], mean (SD) | 4.67, (3.03) | 5.58, (3.32) | 4.61, (2.38) | 4.53, (3.46) | 4.13, (2.75) |
| Gas consumption [GJ/person-year], mean (SD) | 2.71, (2.33) | 3.94, (2.72) | 2.70, (1.91) | 2.37, (2.60) | 2.03, (1.65) |
| Item | Time | Group 1 | Group 2 | p-Value | Adjusted_p-Value | Effect Size |
|---|---|---|---|---|---|---|
| Preference for sitting on the floor | - | 1 | 2 | 0.1304 | 0.7823 | 0.049 |
| 1 | 3 | <0.001 | <0.001 | 0.664 | ||
| 1 | 4 | <0.001 | <0.001 | 0.643 | ||
| 2 | 3 | <0.001 | <0.001 | 0.718 | ||
| 2 | 4 | <0.001 | <0.001 | 0.692 | ||
| 3 | 4 | 0.4822 | 1.0000 | 0 | ||
| Thermal sensation | Daytime | 1 | 2 | <0.001 | <0.001 | 0.220 |
| 1 | 3 | <0.001 | <0.001 | 0.191 | ||
| 1 | 4 | 0.1887 | 1.0000 | 0.052 | ||
| 2 | 3 | <0.001 | <0.001 | 0.200 | ||
| 2 | 4 | <0.001 | <0.001 | 0.212 | ||
| 3 | 4 | <0.001 | <0.001 | 0.179 | ||
| Nighttime | 1 | 2 | 0.0354 | 0.2126 | 0.094 | |
| 1 | 3 | <0.001 | <0.001 | 0.295 | ||
| 1 | 4 | 0.0016 | 0.0096 | 0.119 | ||
| 2 | 3 | <0.001 | <0.001 | 0.246 | ||
| 2 | 4 | <0.001 | <0.001 | 0.163 | ||
| 3 | 4 | <0.001 | <0.001 | 0.256 | ||
| Thermal comfort | Daytime | 1 | 2 | 0.0802 | 0.4813 | 0.066 |
| 1 | 3 | 0.1360 | 0.8157 | 0.055 | ||
| 1 | 4 | 0.2875 | 1.0000 | 0.027 | ||
| 2 | 3 | <0.001 | 0.0015 | 0.141 | ||
| 2 | 4 | <0.001 | 0.0017 | 0.126 | ||
| 3 | 4 | 0.7524 | 1.0000 | 0 | ||
| Nighttime | 1 | 2 | 0.0131 | 0.0785 | 0.096 | |
| 1 | 3 | 0.0043 | 0.0260 | 0.103 | ||
| 1 | 4 | 0.0216 | 0.1293 | 0.081 | ||
| 2 | 3 | 0.0060 | 0.0358 | 0.107 | ||
| 2 | 4 | 0.0213 | 0.1280 | 0.082 | ||
| 3 | 4 | 0.7285 | 1.0000 | 0 | ||
| Thermal satisfaction | Daytime | 1 | 2 | 0.0011 | 0.0065 | 0.138 |
| 1 | 3 | 0.0134 | 0.0806 | 0.110 | ||
| 1 | 4 | 0.0018 | 0.0108 | 0.121 | ||
| 2 | 3 | <0.001 | 0.0013 | 0.157 | ||
| 2 | 4 | <0.001 | 0.0015 | 0.140 | ||
| 3 | 4 | 0.2222 | 1.0000 | 0.047 | ||
| Nighttime | 1 | 2 | 0.0687 | 0.4120 | 0.082 | |
| 1 | 3 | 0.0038 | 0.0228 | 0.126 | ||
| 1 | 4 | 0.0346 | 0.2073 | 0.086 | ||
| 2 | 3 | 0.0086 | 0.0518 | 0.117 | ||
| 2 | 4 | 0.0058 | 0.0350 | 0.110 | ||
| 3 | 4 | 0.4428 | 1.0000 | 0 |






References
- IEA. Southeast Asia Energy Outlook; IEA: Paris, France, 2022; Available online: https://www.iea.org/reports/southeast-asia-energy-outlook-2022 (accessed on 10 February 2025).
- Shaw, R.; Luo, Y.; Cheong, T.S.; Halim, S.A.; Chaturvedi, S.; Hashizume, M.; Insarov, G.E.; Ishikawa, Y.; Jafari, M.; Kitoh, A.; et al. Asia. In Climate Change 2022: Impacts, Adaptation and Vulnerability; Pörtner, H.-O., Roberts, D.C., Tignor, M., Poloczanska, E.S., Mintenbeck, K., Alegría, A., Craig, M., Langsdorf, S., Löschke, S., Möller, V., et al., Eds.; Contribution of Working Group II to the Sixth Assessment Report of the Intergovernmental Panel on Climate, Change; Cambridge University Press: Cambridge, UK; New York, NY, USA, 2022; pp. 1457–1579. Available online: https://www.ipcc.ch/report/ar6/wg2/chapter/chapter-10/ (accessed on 15 March 2025).
- Pavanello, F.; De Cian, E.; Davide, M.; Mistry, M.; Cruz, T.; Bezerra, P.; Jagu, D.; Renner, S.; Schaeffer, R.; Lucena, A.F.P. Air-conditioning and the adaptation cooling deficit in emerging economies. Nat. Commun. 2021, 12, 6460, Erratum in Nat. Commun. 2022, 13, 1978. [Google Scholar] [CrossRef] [PubMed] [PubMed Central]
- IEA. An Energy Sector Roadmap to Net Zero Emissions in Indonesia; IEA: Paris, France, 2022; Available online: https://www.iea.org/reports/an-energy-sector-roadmap-to-net-zero-emissions-in-indonesia (accessed on 10 February 2025).
- Uno, T.; Hokoi, S.; Ekasiwi, S.N.E. Survey on Thermal Environment in Residences in Surabaya, Indonesia: Use of Air Conditioner. J. Asian Archit. Build. Eng. 2003, 2, b15–b21. [Google Scholar] [CrossRef]
- Badan Pusat Statistik Indonesia. Available online: https://www.bps.go.id/id/statistics-table/1/OTQwIzE=/persentase-rata-rata-pengeluaran-per-kapita-sebulan-untuk-makanan-dan-bukan-makanan-di-daerah-perkotaan-menurut-provinsi--2007-2023.html (accessed on 7 January 2024).
- Aspiring Indonesia—Expanding the Middle Class. Available online: https://documents1.worldbank.org/curated/en/519991580138621024/pdf/Aspiring-Indonesia-Expanding-the-Middle-Class.pdf (accessed on 10 February 2025).
- Mcneil, M.; Karali, N.; Letschert, V. Forecasting Indonesia’s electricity load through 2030 and peak demand reductions from appliance and lighting efficiency. Energy Sustain. Dev. 2019, 49, 65–77. [Google Scholar] [CrossRef]
- Dewi, O.C.; Rahmasari, K.; Salsabila, N.D.; Ardini, C.P.; Fitriatulamal, H. Assessing the building performance of a 35-year-old multi-story housing: Is it still relevant to the current climate? IOP Conf. Ser. Earth Environ. Sci. 2024, 1419, 012063. [Google Scholar] [CrossRef]
- Sejarah. Available online: https://mediaindonesia.com/weekend/276256/sejarah (accessed on 10 February 2025).
- Alfata, M.N.F.; Oktiawati, U.Y.; Asawa, T. Experiments on human thermal physiology and sensation of contact cooling for barefoot in hot-humid climates of Indonesia. In Proceedings of the 14th International Symposium on Architectural Interchanges in Asia (ISAIA), Kyoto, Japan, 10–12 September 2024. [Google Scholar]
- Quintana, D.I.; Cansino, J.M. Residential Energy Consumption-A Computational Bibliometric Analysis. Buildings 2023, 13, 1525. [Google Scholar] [CrossRef]
- Bal, M.; Stok, F.M.; Van Hemel, C.; De Wit, J.B.F. Including Social Housing Residents in The Energy Transition: A Mixed-Method Case Study on Residents Beliefs, Attitudes, and Motivation Toward Sustainable Energy Use in a Zero-Energy Building Renovation in the Netherlands. Front. Sustain. 2021, 3, 656781. [Google Scholar] [CrossRef]
- Kurazumi, Y.; Matsubara, N.; Nagai, H.; Furukawa, N.; Fujiwara, M.; Ue, A.; Ueki, Y.; Yamamoto, S. The Effect of Conductive Heat Exchange for Evaluation of the Thermal Environment on the Human Body. Trans. Soc. Heat. Air-Cond. Sanit. Eng. Jpn. 1999, 72, 23–34. [Google Scholar]
- Kurazumi, Y.; Tsuchikawa, T.; Matsubara, N.; Horikoshi, T. Effect of posture on the heat transfer areas of the human body. Build. Environ. 2008, 43, 1555–1565. [Google Scholar] [CrossRef]
- Pramesti, P.; Hasan, M.; Ramandhika, M. Locality values in thermal comfort embodied in traditional Indonesian houses: A literature review. IOP Conf. Ser. Earth Environ. Sci. 2021, 894, 012009. [Google Scholar] [CrossRef]
- Samodra, F.; Irvansyah, I. Livable of the past-rural affordable settlement in current urban environment. IOP Conf. Ser. Earth Environ. Sci. 2021, 780, 012001. [Google Scholar] [CrossRef]
- Sari, D.; Sudirman, M.; Chiou, Y. Modernity in Javanese tradition: Adapting vernacular design and local culture to Indonesian urban living. Archit. Sci. Rev. 2022, 67, 105–119. [Google Scholar] [CrossRef]
- Uno, T.; Hokoi, S.; Ekasiwi, S. Passive Cooling Strategies to Reduce the Energy Consumption of Cooling in Hot and Humid Climates in Indonesia. In Sustainable Houses and Living in the Hot-Humid Climates of Asia; Springer: Singapore, 2018; pp. 407–418. [Google Scholar] [CrossRef]
- Sakuragawa, S.; Kaneko, T.; Miyazaki, Y. Effects of contact with wood on blood pressure and subjective evaluation. J. Wood Sci. 2008, 54, 107–113. [Google Scholar] [CrossRef]
- Effting, C.; Güths, S.; Alarcon, O. Evaluation of The Thermal Comfort in Contact with Ceramic Tiles. Rev. de Eng. Térmica 2018, 5, 92–98. [Google Scholar] [CrossRef]
- Fitriaty, P.; Zubaidi, F.; Zulfitriah, M.; Bassaleng, A.J.R.; Burhany, N.R.; Syahrullah, M.R.; Alfani. Energy Efficient Features of Vernacular Houses in Tropical Hilly Area of Indonesia. IOP Conf. Ser. Earth Environ. Sci. 2023, 1157, 012010. [Google Scholar] [CrossRef]
- Erwindi, C.; Kondo, K.; Asawa, T. Behaviour and comfort during floor usage in gathering activities on Indonesia Apartments. IOP Conf. Ser. Earth Environ. Sci. 2024, 1351, 012028. [Google Scholar] [CrossRef]
- Lukman, M.Y.; Suzuki, T.; Kita, M.; Yoshizumi, Y.; Matsubara, S.A. Study of the gathering styles of Indonesian culture. J. Archit. Plan. (Trans. AIJ) 2015, 80, 999–1008. [Google Scholar] [CrossRef]
- Nilotama, S. Understanding Sitting Culture of Balinese Traditional Society. In Proceedings of the 3rd International Conference on Creative Media, Design and Technology (REKA 2018), Surakarta, Indonesia, 25 September 2018; Atlantis Press: Dordrecht, The Netherlands, 2018; pp. 251–256. [Google Scholar] [CrossRef]
- Sakuragawa, S. The Tactile Warmth/Coldness Sensation of Wood, Mokuzai no sesshoku onreikan. Wood Ind. 2015, 70, 376–381. [Google Scholar]
- Parsons, K. Human Thermal Environments: The Effects of Hot, Moderate, and Cold Environments on Human Health, Comfort, and Performance, 3rd ed.; CRC Press: Boca Raton, FL, USA, 2014. [Google Scholar] [CrossRef]
- Humphreys, M.; Nicol, F. Principles of Adaptive Thermal Comfort. In Sustainable Houses and Living in the Hot-Humid Climates of Asia; Springer: Singapore, 2018. [Google Scholar] [CrossRef]
- Gifford, R.; Steg, L.; Reser, J. Environmental Psychology. In IAAP Handbook of Applied Psychology; Blackwell Publishing Ltd.: Oxford, UK, 2011. [Google Scholar] [CrossRef]
- Kim, S.; Chung, K.; Kim, Y. A Study on the Thermal Comfort Zone and Energy Use of Radiant Floor Heating by Residential Style and Clothing Level. J. Energy Eng. Asce 2015, 24, 24–31. [Google Scholar] [CrossRef]
- Sugiyantoro; Christian, B.; Arianto, R. The Study of Attachment between Distribution Pattern of Land Price and Apartments Price (Case Study: Vertical Housing Development in Administration City of South Jakarta). IOP Conf. Ser. Earth Environ. Sci. 2018, 152, 012004. [Google Scholar] [CrossRef]
- Rosenberg, L. Urbanising the Rural. Local strategies for creating “new style” communities in China. China Perspect. 2013, 2013, 63–71. [Google Scholar] [CrossRef]
- Kwon, H.; Kim, S. Variation in the Characteristics of Everyday Life and Meaning of Urban Housing Due to the Transition of Social Structure: Focusing on Articles Published in Lifestyle Magazines. Sustainability 2017, 9, 1298. [Google Scholar] [CrossRef]
- Tanabe, S.; Kimura, K. Effects of air temperature, humidity, and air movement on thermal comfort under hot and humid conditions. ASHRAE Trans. 1994, 100, 953–969. [Google Scholar]
- Jing, S.; Li, B.; Tan, M.; Liu, H. Impact of Relative Humidity on Thermal Comfort in a Warm Environment. Indoor Built Environ. 2013, 22, 598–607. [Google Scholar] [CrossRef]
- Zhou, X.; Liu, Y.; Luo, M.; Zhang, L.; Zhang, Q.; Zhang, X. Thermal comfort under radiant asymmetries of floor cooling system in 2 h and 8 h exposure durations. Energy Build. 2019, 188–189, 8–110. [Google Scholar] [CrossRef]
- Luo, M.; Arens, A.E.; Zhang, H.; Wang, Z. Thermal comfort evaluated for combinations of energy-efficient personal heating and cooling devices. Build. Environ. 2018, 143, 201–216. [Google Scholar] [CrossRef]
- Wang, Z.; Ning, H.; Ji, Y.; Hou, J.; He, Y. Human thermal physiological and psychological responses under different heating environments. J. Therm. Biol. 2015, 52, 177–186. [Google Scholar] [CrossRef]
- Kim, S.H.; Joung, K.S.; Kim, Y.I. Thermal Comfort Range of Radiant Floor Heating System by Residential Style. Trans. Korea Soc. Geotherm. Energy Eng. 2015, 11, 7–14. [Google Scholar] [CrossRef]
- Kim, D.G.; Kim, S.H. The study of human response for floor surface temperature and resident’s posture change. Korean J. Air Cond. Refrig. Eng. 2015, 24, 846–851. [Google Scholar]
- Hakamada, K.; Asawa, T.; Kitagawa, H.; Aoshima, H.; Kawamura, R. Contact cooling for bare feet using floor cooling systems: Experiment on human thermal physiology and sensation in Japanese hot environment. Build. Environ. 2024, 253, 111256. [Google Scholar]
- Lim, J.; Jo, J.; Kim, Y.; Yeo, M.; Kim, K. Application of the control methods for radiant floor cooling system in residential buildings. Build. Environ. 2006, 41, 60–73. [Google Scholar] [CrossRef]
- Lee, J.; Isoda, N.; Mitsuda, M. The Effects of Water-Cooled Floor on Thermal Comfort of the Human Body. J. Korean Soc. Living Environ. Syst. 2000, 7, 20–26. [Google Scholar]
- Kitagawa, H.; Asawa, T.; Kubota, T.; Trihamdani, A.R.; Mori, H. Thermal storage effect of radiant floor cooling system using phase change materials in the hot and humid climate of Indonesia. Build. Environ. 2021, 207, 108442. [Google Scholar] [CrossRef]
- Jablonski, N.G. Living Color: The Biological and Social Meaning of Skin Color; University of California Press: Berkeley, CA, USA, 2012. [Google Scholar]
- Johnson, B.; Dunlap, E.; Benoit, E. Organizing “Mountains of Words” for Data Analysis, both Qualitative and Quantitative. Subst. Use Misuse 2010, 45, 648–670. [Google Scholar] [CrossRef] [PubMed]
- Almalki, S. Integrating Quantitative and Qualitative Data in Mixed Methods Research–Challenges and Benefits. J. Educ. Learn. 2016, 5, 288–296. [Google Scholar] [CrossRef]
- World Population Review. Available online: https://worldpopulationreview.com/countries/indonesia-population (accessed on 10 February 2025).
- All About Indonesia: Indonesia Fast Facts. Available online: https://www.indonesiad.com/all-about-indonesia-indonesia-fast-facts/ (accessed on 15 March 2025).
- Kwok, A.G. Thermal comfort in tropical classrooms. ASHRAE Trans. 1998, 104, 1031–1046. [Google Scholar]
- Undang-Undang (UU) Nomor 20 Tahun 2011 Tentang Rumah Susun. Available online: https://peraturan.bpk.go.id/Details/39256/uu-no-20-tahun-2011 (accessed on 10 February 2025).
- Rusunawa: A Closer Look at Affordable Housing Options in Jakarta. Available online: https://jpi.or.id/en/news/rusunawa-a-closer-look-at-affordable-housing-options-in-jakarta/ (accessed on 10 February 2025).
- Jakarta—Urban Challenges in a Changing Climate; World Bank Group: Washington, DC, USA, 2020; (In English). Available online: https://documents.worldbank.org/curated/en/132781468039870805/Jakarta-Urban-challenges-in-a-changing-climate (accessed on 10 February 2025).
- Peduzzi, P.; Concato, J.; Kemper, E.; Holford, T.R.; Feinstein, A.R. A simulation study of the number of events per variable in logistic regression analysis. J. Clin. Epidemiol. 1996, 49, 1373–1379. [Google Scholar] [CrossRef] [PubMed]
- Indonesia Residential End Use Survey. Available online: https://www.clasp.ngo/wp-content/uploads/2021/01/Indonesia-Residential-End-Use-Survey.pdf (accessed on 5 March 2025).
- Miyamoto, K.; Pratiwi, S.N.; Nishiiri, S.; Takaguchi, H.; Kubota, T. Relationship between Cooling Methods and Energy Consumption for the Development of Low-Carbon Collective Housing in Indonesia. Sustainability 2024, 16, 1635. [Google Scholar] [CrossRef]
- Lundgren-Kownacki, K.; Hornyánszky, E.; Chu, T.; Olsson, J.; Becker, P. Challenges of using air conditioning in an increasingly hot climate. Int. J. Biometeorol. 2017, 62, 401–412. [Google Scholar] [CrossRef]
- Watanabe, S. A Review of Floor Heating Research in Japan. J. Hum.-Environ. Syst. 2001, 5, 13–23. [Google Scholar] [CrossRef]
- García, E.; Pablos, Á.; Bengoechea, M.; Guaita, L.; Osendi, M.; Miranzo, P. Thermal conductivity studies on ceramic floor tiles. Ceram. Int. 2011, 37, 369–375. [Google Scholar] [CrossRef]
- Energy and Heat Balance. Available online: https://courses.lumenlearning.com/suny-ap2/chapter/energy-and-heat-balance/ (accessed on 10 February 2025).
- Luo, M.; Wang, Z.; Zhang, H.; Arens, E.; Filingeri, D.; Jin, L.; Ghahramani, A.; Chen, W.; He, Y.; Si, B. High-density thermal sensitivity maps of the human body. Build. Environ. 2020, 167, 106435. [Google Scholar] [CrossRef]
- Mardatillah, A. The enterprise culture heritage of Minangkabau cuisine, West Sumatra of Indonesia as a source of sustainable competitive advantage. J. Ethn. Food 2020, 7, 34. [Google Scholar] [CrossRef]
- Setyawan, B.W.; Aziz, A.; Teguh, T.; Jazeri, M. Selametan Day of the Dead from a Javanese Cultural Perspective among Santri and Abangan: A Case Study in Tulungagung District. IBDA J. Kaji. Islam Dan Budaya 2022, 20, 25–43. [Google Scholar] [CrossRef]












| I. General | Basic Information (4) | Monthly income and expenses (1) | Building information (1) | Weekly working time (3) | ||||
| II. Energy—Lifestyle | Thermal adaptation during activity (AC & Fan usage schedule) (5) | Electronic appliances owned (2) | Hot water usage (3) | Energy-saving action and passive behavior indicator (2) | Lifestyle: weekend & weekdays (2) | Lifestyle and living environment—Including contact cooling (4) | ||
| III. Activity | Daily activity area during: mealtime, gathering, studying, relaxing, sleeping (5) | |||||||
| IV. Foot & Floor cover | Floor cover during daily activity area (surface cover) (5) | Foot cover during daily activity (5) | ||||||
| V. Posture & Preferences | Common sitting posture (2) | Common laying posture (2) | Common sleeping posture (2) | Preference (like/dislike) sitting, laying, sleeping on the floor & reason (3) | Common surface for sitting, laying, sleeping posture (6) | Frequency of sitting, laying or sleeping on the floor (6) | Common area for sitting, laying, sleeping posture (6) | Psychological factors: thermal comfort, satisfaction, sensation (6) |
| VI. Body parts in contact with the floor | Body parts in contact during daily activity (5) | Preference (like/dislike) on foot sole floor contact (4) | Common clothing during contact with the floor (2) |
| ||||
| Explanatory variables | Like | Reasons for preferring sitting on a floor | ||
| Cool | Cool | Cool | ||
| Number of AC owned: 1 | 0.6 (0.44–0.82) ** | 1.08 (0.78–1.49) | 0.79 (0.57–1.1) | 0.74 (0.54–1.02). |
| Number of AC owned: 2–3 | 0.47 (0.28–0.77) ** | 1.24 (0.58–2.63) | 1.28 (0.56–2.94) | 0.5 (0.24–1.06). |
| Owning FAN | 2.62 (1.99–3.44) *** | 0.83 (0.56–1.22) | 0.83 (0.56–1.24) | 0.94 (0.64–1.39) |
| Floor cover while gathering: Without mat | 0.81 (0.64–1.04) | 0.68 (0.51–0.9) ** | 0.65 (0.49–0.87) ** | 1.52 (1.15–2.02) ** |
| Frequency of Opening windows/doors | 1.06 (0.95–1.18) | 1.13 (0.99–1.28). | 0.92 (0.8–1.05) | 0.95 (0.84–1.08) |
| Thermal sensation in the daytime | 0.95 (0.84–1.06) | 1.18 (1.05–1.33) ** | 1.01 (0.89–1.15) | 1.01 (0.89–1.14) |
| Thermal sensation in the nighttime | 1 (0.88–1.14) | 1.05 (0.92–1.19) | 1 (0.87–1.15) | 1.13 (0.99–1.28). |
| Number of family member living together | 1.31 (1.15–1.48) *** | 0.94 (0.82–1.06) | 1.17 (1.02–1.34) * | 1.22 (1.07–1.39) ** |
| House type: Rusunami | 1.8 (1.25–2.58) ** | 1.96 (1.02–3.76) * | 0.8 (0.42–1.54) | 1.12 (0.61–2.06) |
| House type: Rusunawa | 6.01 (3.7–9.76) *** | 4.99 (2.47–10.09) *** | 1.28 (0.64–2.58) | 0.95 (0.49–1.85) |
| Unit type: Family 1 bedroom | 0.83 (0.53–1.29) | 0.42 (0.26–0.7) *** | 1.34 (0.82–2.17) | 1.67 (1.03–2.72) * |
| Unit type: Family 2–3 bedrooms | 0.39 (0.28–0.53) *** | 0.68 (0.47–0.97) * | 1.94 (1.36–2.76) *** | 2.64 (1.85–3.77) *** |
| Age | 0.99 (0.98–1) * | 0.98 (0.97–0.99) ** | 1 (0.99–1.01) | 0.99 (0.98–1.01) |
| Gender: Male | 0.94 (0.73–1.21) | 0.76 (0.56–1.04). | 0.95 (0.7–1.31) | 0.87 (0.64–1.19) |
| Income | 0.74 (0.66–0.82) *** | 1.27 (1.12–1.45) *** | 1.05 (0.92–1.2) | 0.81 (0.71–0.92) ** |
| (Intercept) | 4.76 (1.76–12.87) ** | 0.15 (0.04–0.51) ** | 1.3 (0.37–4.5) | 1.04 (0.31–3.44) |
| ||||
| Explanatory variables | Dislike | Reasons for not preferring sitting on a floor | ||
| Uncomfortable | Too hot | Furniture | ||
| Number of AC owned: 1 | 1.66 (1.22–2.26) ** | 1.59 (0.93–2.73). | 0.56 (0.34–0.94) * | 2.85 (1.34–6.05) ** |
| Number of AC owned: 2–3 | 2.13 (1.29–3.52) ** | 3.23 (1.61–6.5) *** | 0.45 (0.23–0.87) * | 3.06 (1.26–7.4) * |
| Owning FAN | 0.38 (0.29–0.5) *** | 2.34 (1.6–3.41) *** | 1.34 (0.94–1.91) | 0.92 (0.61–1.4) |
| Floor cover while gathering: Without mat | 1.23 (0.96–1.57) | 0.8 (0.57–1.11) | 0.51 (0.36–0.71) *** | 1.94 (1.32–2.84) *** |
| Frequency of Opening windows/doors | 0.95 (0.85–1.06) | 0.98 (0.84–1.14) | 1.1 (0.94–1.27) | 0.78 (0.65–0.92) ** |
| Thermal sensation in the daytime | 1.05 (0.94–1.18) | 1.13 (0.95–1.33) | 0.97 (0.82–1.14) | 0.83 (0.67–1.04) |
| Thermal sensation in the nighttime | 1 (0.88–1.13) | 1.41 (1.16–1.72) *** | 0.79 (0.65–0.95) * | 1.25 (0.98–1.59) |
| Number of family member living together | 0.77 (0.67–0.87) *** | 0.93 (0.78–1.12) | 0.79 (0.66–0.95) * | 0.86 (0.68–1.08) |
| House type: Rusunami | 0.56 (0.39–0.8) ** | 0.86 (0.59–1.26) | 1.19 (0.82–1.74) | 3.03 (1.9–4.82) *** |
| House type: Rusunawa | 0.17 (0.1–0.27) *** | 0.73 (0.35–1.54) | 1.35 (0.66–2.76) | 1.99 (0.73–5.47) |
| Unit type conbine: Family 1 bedroom | 1.2 (0.77–1.87) | 0.5 (0.25–0.99) * | 1.41 (0.71–2.79) | 0.9 (0.39–2.08) |
| Unit type conbine: Family 2–3 bedrooms | 2.58 (1.88–3.56) *** | 0.56 (0.34–0.93) * | 1.57 (0.95–2.6). | 1.37 (0.75–2.48) |
| Age | 1.01 (1–1.02) * | 0.99 (0.98–1.01) | 1 (0.99–1.02) | 1.01 (0.99–1.03) |
| Gender: Male | 1.06 (0.83–1.37) | 1.66 (1.18–2.34) ** | 1.03 (0.74–1.44) | 0.72 (0.48–1.08) |
| Income | 1.36 (1.21–1.52) *** | 0.93 (0.8–1.09) | 1.03 (0.88–1.2) | 1.16 (0.96–1.39) |
| (Intercept) | 0.21 (0.08–0.57) ** | 0.58 (0.14–2.42) | 1.56 (0.39–6.24) | 0.02 (0–0.13) *** |
| Reference category: | ||||
| House type: Condominium, Unit type: Studio type, Number of AC: 0, Floor cover: With mat | ||||
| Income Scale: | ||||
| 1: Under IDR 900K; 2: 900–1250K; 3: 1250–2500K; 4: 2500–4000K; 5: 4000–7500K; 6: 7500–12,000K; 7: 12,000–20,000K; 8: 20,000–40,000K; 9: Over 40,000K | ||||
Disclaimer/Publisher’s Note: The statements, opinions and data contained in all publications are solely those of the individual author(s) and contributor(s) and not of MDPI and/or the editor(s). MDPI and/or the editor(s) disclaim responsibility for any injury to people or property resulting from any ideas, methods, instructions or products referred to in the content. |
© 2025 by the authors. Licensee MDPI, Basel, Switzerland. This article is an open access article distributed under the terms and conditions of the Creative Commons Attribution (CC BY) license (https://creativecommons.org/licenses/by/4.0/).
Share and Cite
Erwindi, C.; Kondo, K.; Aoshima, H.; Asawa, T.; Kubota, T. Floor-Usage Behavior and Thermal Comfort Among Apartment Residents Under Cultural Transition in Indonesia. Sustainability 2025, 17, 2775. https://doi.org/10.3390/su17062775
Erwindi C, Kondo K, Aoshima H, Asawa T, Kubota T. Floor-Usage Behavior and Thermal Comfort Among Apartment Residents Under Cultural Transition in Indonesia. Sustainability. 2025; 17(6):2775. https://doi.org/10.3390/su17062775
Chicago/Turabian StyleErwindi, Collinthia, Kyohei Kondo, Hiroki Aoshima, Takashi Asawa, and Tetsu Kubota. 2025. "Floor-Usage Behavior and Thermal Comfort Among Apartment Residents Under Cultural Transition in Indonesia" Sustainability 17, no. 6: 2775. https://doi.org/10.3390/su17062775
APA StyleErwindi, C., Kondo, K., Aoshima, H., Asawa, T., & Kubota, T. (2025). Floor-Usage Behavior and Thermal Comfort Among Apartment Residents Under Cultural Transition in Indonesia. Sustainability, 17(6), 2775. https://doi.org/10.3390/su17062775

