Next Article in Journal
Navigating Unreasonable, Unsustainable and Unjust Financial Practices: Experiences of Indigenous Small Business Owners
Next Article in Special Issue
Modeling the Holiday Line Planning Problem with Profitability and Homogeneity Under Passenger Flow Explosion Conditions in China—A Sustainable Perspective
Previous Article in Journal
Extraction of Metallic Nanoparticles from Electronic Waste for Biomedical Applications: Pioneering Sustainable Technological Progress
Previous Article in Special Issue
Research on the Optimization of Urban–Rural Passenger and Postal Integration Operation Scheduling Based on Uncertainty Theory
 
 
Font Type:
Arial Georgia Verdana
Font Size:
Aa Aa Aa
Line Spacing:
Column Width:
Background:
Article

Dynamic Evolutionary Game on Travel Mode Choices Among Buses, Ride-Sharing Vehicles, and Driving Alone in Shared Bus Lane Scenarios

1
School of Transportation Engineering, East China Jiaotong University, Nanchang 330013, China
2
Institute for Transport Studies, University of Leeds, Leeds LS2 9JT, UK
3
School of Transportation Engineering, Nanchang Jiaotong Institute, Nanchang 330013, China
4
College of Architecture and Civil Engineering, Beijing University of Technology, Beijing 100124, China
5
Xinjiang Key Laboratory of Green Construction and Smart Traffic Control of Transportation Infrastructure, Xinjiang University, Urumqi 830017, China
*
Author to whom correspondence should be addressed.
Sustainability 2025, 17(5), 2101; https://doi.org/10.3390/su17052101
Submission received: 19 December 2024 / Revised: 21 February 2025 / Accepted: 24 February 2025 / Published: 28 February 2025
(This article belongs to the Collection Advances in Transportation Planning and Management)

Abstract

Sharing bus lanes with ride-sharing vehicles is beneficial for improving the utilization efficiency of these lanes and alleviating urban traffic pressure. This paper applies evolutionary game theory to explore the evolutionary game dynamics of three travel modes—buses, ride-sharing vehicles, and driving alone—under different sharing strategy scenarios for bus lanes. Before constructing the game model, various influencing factors such as travel costs, time costs, and the combined costs of ride-sharing are quantified to calculate the cumulative prospect values before travel. The gains and losses in the cumulative prospect values are defined as parameter variables in the game model, establishing a payoff matrix for the three travel modes: buses, ride-sharing vehicles, and private cars. During the model-solving process, the Lyapunov first method is used for stability analysis of the equilibrium points, resulting in three groups of asymptotically stable equilibrium points. By rotating the parameter values according to the actual circumstances of different sharing strategies, the model simulates and evaluates the impact of various sharing policies on the travel mode choices among the three options. The results indicate that the gain and loss values in the cumulative prospect values of travel modes are key factors influencing travelers’ mode choices. Under the synergistic effects of urban ride-sharing policies and traffic system optimization, when the cumulative prospect value of ride-sharing is a gain, travelers recognize its advantages and are willing to choose it. Conversely, when the cumulative prospect value indicates a loss, travelers are more inclined to choose bus travel or driving alone. This paper provides a theoretical foundation for the formulation of sharing policies for bus lanes with ride-sharing, contributing to improved utilization efficiency of these lanes and alleviating urban traffic pressure.

1. Introduction

With the annual increase in vehicle ownership, urban traffic congestion has become increasingly severe, particularly during peak hours, when the excessive concentration of vehicles reduces the efficiency of road resource utilization and significantly impacts commuters’ travel experiences. The long-term traffic congestion problem has also had a significant negative impact on the environment, such as air pollution, increased energy consumption, and greenhouse gas emissions. To address these challenges, promoting the sustainable development of transportation systems is essential, in 2012, the State Council of China proposed the implementation of a strategy prioritizing the development of urban public transportation with the establishment of bus lanes being one of the key measures [1]. This strategy not only improved the efficiency of public transportation but also reduced dependence on private vehicles, lowering traffic emissions and promoting the widespread adoption of green, low-carbon travel modes.
In the establishment of bus lanes, scholars both domestically and internationally conducted extensive research. Liu Y et al. proposed a method for setting up urban bus lanes by integrating road traffic information technology to identify traffic bottlenecks [2]. Arasan et al. developed a micro-simulation model for heterogeneous traffic flow to study the specific impacts of bus lanes on urban roads and defined the conditions for their establishment [3,4]. Yang XG et al. developed a model for the average delay of buses, which validated the ideal layout positions for bus lanes and stops [5,6]. Erland Aakre et al. proposed a method for continuously setting bus lanes in the center of roads to reduce conflict points between buses and motor vehicles, enhancing bus priority [7]. Tanaboriboon et al. analyzed the impact of bus lanes on buses and other types of vehicles, observing that the introduction of bus lanes significantly improved the quality of bus services [8].
The establishment of bus lanes has improved the transportation efficiency of buses but has had negative impacts on general traffic. Considering that the implementation of bus lanes can interfere with social vehicles, many scholars have conducted research on optimizing bus lanes. Jepson et al. studied the effects of different bus priority measures on urban traffic flow and provided guidance for the optimal passenger capacity and travel sharing ratio of bus lanes in various traffic environments by comparing average delay times with and without bus lanes and traffic signals [9]. Shu et al. proposed a variable bus guiding and priority control design that effectively reduced delays for straight and left-turning buses [10]. Chen et al. introduced a bi-level planning model that considers accessibility and budget constraints to determine the layout of urban bus lane networks to support bus operations [11]. Xiao Guangnian et al., in order to reduce the time losses of electric buses and improve the operational efficiency of buses, proposed a synchronous spatiotemporal attention transition (S2TAT) model by utilizing operational data of new energy electric buses in Shanghai. This model simultaneously models the time and spatial dependencies [12]. Wang Wei proposed the strategy of “optimizing the network by line-by-line layout”, which has become an important method for urban bus network planning due to its ease of implementation and wide applicability [13]. Luo Yi explored bus lane layout strategies from three dimensions: achieving balance in the bus network, enhancing accessibility in urban road networks, and alleviating commuter pressure on subway networks [14]. Jia et al. used a bi-level planning model to address the combined optimization problem of bus lanes and bus frequency [15]. Li HR, Yuan ZZ, and others proposed a new dynamic control logic and method for borrowing bus-only lanes, which not only ensures bus priority but also dynamically identifies the remaining resources in the bus-only lanes and improves the utilization efficiency of time and space resources [16]. Zou YK, Wang ZY, and others used a big data analysis approach, including GPS data and IC card swiping data, to conduct a systematic study on bus flow, passenger flow, operating speed, and other indicators. They also combined the operational status of the roads with bus-only lanes to provide data support for further optimization and management of bus-only lanes [17]. Liu F, Huang S, and others conducted a scientific evaluation of the operational status of bus-only lanes in the central urban area of Chengdu, considering indicators such as bus passenger flow, time periods of operation, network layout, and operating hours, and provided suggestions for optimizing the bus-only lane system in Chengdu [18]. Wei FP, Fang YY, and others selected seven road sections with bus-only lanes on the First Ring Road in Chengdu as their research subjects. They established an evolutionary game model for road right allocation between public buses and private vehicles at different times and road sections, analyzed the decision-making process of private vehicles participating in bus-only lanes, and proposed a plan for optimizing bus lane configuration [19]. To improve the efficiency of bus-only lanes, countries such as China, the United States, the United Kingdom, and France have implemented time-based control, allowing all vehicles to use bus-only lanes during specific time periods. For example, in China, cities like Beijing and Xi’an have adopted this control method. This approach not only maintains the priority passage for buses but also reduces traffic congestion and improves road usage efficiency, which is of significant importance for the sustainable development of urban transportation. The above studies aimed at improving the efficiency of bus lanes generally focus on optimizing designs in terms of time and space without considering optimization from the traveler’s perspective. To address this issue, some scholars have introduced shared mobility into the field of urban public transportation. By strategically planning and setting up bus-only lanes, and allowing buses to share these lanes with specific types of shared mobility vehicles, more travel options are provided for passengers, thereby promoting the development of green transportation modes.
Shared mobility, as a flexible and low-carbon transportation model, aligns with the principles of sustainable development. A. Susan et al. proposed the positive impact of car sharing on the social environment with research indicating that car sharing can reduce vehicle emissions and decrease the demand for private car purchases, thus playing a significant role in environmental sustainability [20]. Dong et al. explored the decision-making issues faced by private car owners between ride-sharing for commuting and using ride-hailing services, considering both travel time and spatial distance [21]. Santos and Xavier examined the willingness to pay for taxi and ride-hailing services based on travel costs [22]. Yang et al. used a discrete choice model to compare the impacts of Uber rides, Uber pool, and private car use on urban traffic systems, taking into account factors such as waiting time [23], in-vehicle travel time, travel costs, parking costs, and the level of automation (driver service vs. self-driving). Die X, Zhou Q, and others conducted a study to explore the factors influencing carpooling behavior, using urban commuters as the research subjects. Based on data from a commuting carpooling behavior choice questionnaire, they analyzed the factors affecting commuters’ carpooling decisions [24]. Liang JH considered four types of travel modes: solo drivers, carpool drivers, carpool passengers, and public transport passengers. She constructed a carpooling network and established a general travel cost function by incorporating a carpool cost-sharing strategy [25]. Zhao MY and Lv JW, based on data from a residential travel survey, conducted preliminary statistical analysis of the results and used gray relational theory to analyze the factors influencing residents’ willingness to carpool [26]. To further investigate the advantages and disadvantages of various travel modes, an increasing number of scholars are studying the travel behavior choices of commuters.
In terms of research methods, existing studies on travel mode choice are mostly based on discrete choice models, such as the MNL model [27], Binary Logit model [28], SEM-Logit model [29], and Probit model [30]. While discrete choice models are efficient and portable, they rely on the assumption of complete rationality of decision-makers, which diverges significantly from real-world decision-making. When multiple travel modes coexist, these models cannot effectively analyze the interactions between them. With the continuous development of game theory, evolutionary game theory has addressed the limitations of discrete choice models, providing new directions for revealing the evolutionary patterns of residents’ travel mode choices. Jia YG et al. constructed a three-party evolutionary game model involving the government, waste incineration power enterprises, and the surrounding public to analyze the strategic interactions of stakeholders and simulate the corresponding evolutionary process [31]. Liang JS et al. established a three-party evolutionary game based on the ideal carbon balance condition of marine ranch enterprises and proposed strategies and suggestions for improving the government’s supervision mechanism for zero-carbon production in marine ranches based on the numerical simulation results of the model’s evolutionarily stable equilibrium [32]. Chang YC developed a three-party evolutionary game model to explore the evolutionary patterns and evolutionarily stable strategies of government supervision, personnel participation, and corporate green production behavior. The application of evolutionary game theory to study the evolutionary patterns of residents’ travel mode choices offers a new perspective on travelers’ decision-making. In related research on travel mode selection, many scholars have also applied evolutionary game theory [33]. Evolutionary game theory aligns more closely with the limited rationality of decision-makers; as individuals in a group may not maximize their gains in a single game, but through continuous repetition and imitation, the system gradually stabilizes [34].
Many scholars have conducted research on travelers’ behaviors using evolutionary game theory [35,36,37]. Cheng GZ et al., based on behavioral economics theory and prospect theory, introduced the theory of mental accounting, constructing a profit account and a loss account. Using evolutionary game theory, they developed an evolutionary game model between travelers and government departments. Through the replicator dynamic equation, they analyzed the dynamic evolutionary process and stability conditions of both parties’ strategies [38]. Li CY, Lei AG, et al. focused on conventional buses and rail transit, categorizing travelers based on their sensitivity to travel time. They constructed a game model to study the evolutionary process of two types of travelers, providing a more comprehensive evaluation model for the selection of travel modes in urban public transportation and offering references for residential travel and traffic planning and management [39]. Yan KL, Shen DF, et al., based on evolutionary game theory and users’ bounded rationalities, considered “economy” and “efficiency” as two stages of service goals. They constructed game situations for fixed-point and floating shared cars versus private cars, discussing the evolutionary paths of user choices in these two scenarios. Their findings are significant for the development and promotion of shared cars by governments and related enterprises [40]. Wu XH, based on factors such as urban comprehensive traffic conditions and residents’ low-carbon awareness, constructed an appropriate model using game theory as the main theoretical foundation to predict the evolutionary trend of low-carbon travel among urban residents and conducted experimental verification. This further enriched the theory of transportation travel games and contributed to the long-term goal of achieving carbon neutrality in society [41]. Li RF, considering the characteristics of green travel behavior, constructed an individual utility function from the three aspects of “health benefits”, “reputation benefits”, and “travel costs”, and used network evolutionary game theory to establish a relevant model. This model analyzed the impact of an individual’s travel utility on their choice of green travel behavior [42]. But, most studies primarily focus on the game between bus travel and driving alone [43,44,45,46]. The establishment of bus lanes impacts other transportation modes, and especially in scenarios where bus lanes are shared, balancing the traffic demand between buses and social vehicles becomes an urgent issue that needs to be addressed. Based on the above, this paper employs evolutionary game theory and constructs a choice model for travelers among three modes of transportation (bus travel, ride-sharing, and driving alone) using cumulative prospect value, illustrating the evolution and game dynamics among individual travelers. This study contributes to the theoretical understanding of travelers’ behavioral patterns and their evolution, providing a basis for the formulation and implementation of practical transportation policies. At the same time, it holds significant practical importance in advancing the development of a green, low-carbon, and sustainable transportation system. The structure of this study is arranged as follows: Section 2 introduces evolutionary game theory and constructs the cumulative prospect value model; Section 3 presents the evolutionary game model; Section 4 describes the analysis of model parameters; Section 5 outlines model simulation and recommendations; and Section 6 contains the conclusions.

2. Introduction to Evolutionary Game Theory and Construction of the Cumulative Prospect Value Model

In the context of implementing bus lane sharing strategies, this paper establishes an evolutionary game model for travel mode choice based on cumulative prospect value to study travelers’ behavioral choices. It simulates the decision-making behavior of travelers within new travel mode strategies and examines the effects of different sharing strategy schemes on the outcomes of the evolutionary game. This analysis aims to understand the impact of sharing strategies on the benefits of bus lanes, providing a reference for formulating optimization policies for bus lanes.

2.1. Introduction to Theory

2.1.1. Evolutionary Game Theory

Evolutionary game theory is a mathematical model that studies the interactions and decision-making processes among individuals within a group. It analyzes and predicts changes in group behavior by simulating and examining the strategy choices and behavioral evolution of individuals. In this framework, individuals are seen as strategic decision-makers who interact with others by selecting different strategies. Each individual’s strategy choice is influenced by both personal and group interests. The theory primarily focuses on two aspects: strategy evolution and evolutionarily stable strategies [47]. Strategy evolution refers to how individuals select optimal strategies based on their interests through interaction and competition with others in the group. Evolutionary game theory explores changes and the evolution of strategies by simulating and analyzing these decision-making processes. Evolutionarily stable strategies are strategies that can persist and spread within a population over time. An ESS represents a stable equilibrium state of group behavior that maintains stability throughout long-term evolutionary processes. By analyzing and comparing the evolutionary stability of different strategies, the theory aims to study and predict the evolutionary outcomes of group behavior.
Evolutionary game theory has several characteristics that distinguish it from classical game theory:
(1)
Evolutionary game theory rejects the assumption of complete rationality found in classical game theory, positing that participants are limited in their rationality and may not always make correct choices, meaning they can make mistakes. It emphasizes their abilities to learn, imitate, and adjust.
(2)
Evolutionary game theory focuses on groups of participants rather than specific, defined individuals.
(3)
Evolutionary game theory is an evolutionary process rather than a one-time static or finite dynamic game. It involves infinite repetitions of interactions and emphasizes the dynamic adjustments that lead the system to reach equilibrium.
(4)
In the evolutionary game process, mutations may occur, where certain individuals might abandon optimal strategies, potentially destabilizing the system’s equilibrium.
Evolutionarily stable strategy (ESS) represents a stable state of a population that can resist the invasion of mutant strategies. A strategy s is an ESS if and only if
(1)
For any s s and s S , it holds that u ( s , s ) u ( s , s ) ;
(2)
If s s satisfies u s , s = u ( s , s ) , then it must hold that u ( s , s ) u ( s , s ) .
Replication dynamics is the differential equation that describes the frequency of a specific strategy being adopted in a population. If the payoff of a certain strategy is higher than the average payoff of the population, then that strategy will invade the population, leading to a growth rate of 1 s k d s k d t > 0 . Replication dynamics can be expressed using a differential equation as
d s k d t = S k u k , s u s , s , k = 1,2 K
Note that k represents different strategies, S k is the proportion of strategy k adopted in a population, u ( k , s ) is the payoff when adopting strategy k, and u s , s is the average payoff.

2.1.2. The Evolutionary Game Theory of Travel Mode Choice

Game theory provides a framework for modeling decision-making processes involving multiple decision-makers. In a transportation system, the decision-making behavior of participants can be viewed as a game among travelers. Classical game theory assumes that decision-makers are fully rational, pursuing their own maximum interests during decision-making. It primarily focuses on the interactions between independently deciding individuals in a single game. However, this approach does not align well with the decision-making processes of travelers in real-world scenarios. In practice, travelers consider available traffic information, their past experiences, and personal preferences when making decisions, which means they are not fully rational. Compared to classical game theory, evolutionary game theory is more reflective of reality.
Evolutionary game theory focuses on the evolution and dissemination of strategies within groups in repeated games, studying the dynamic evolution and adaptation of strategies in populations. It starts from a systems theory perspective, viewing the adjustment processes of group behavior as a dynamic system. Individuals make decisions through dynamic processes such as learning and imitation, with the equilibrium outcomes depending on the initial state of the game and the evolutionary path taken. This approach aligns with the decision-making processes of travelers under shared bus lane policies. In the context of shared bus-only lanes, using evolutionary game theory to model the travelers’ decision-making process offers the following advantages:
(1) Evolutionary game theory is particularly suitable for modeling decision-making processes in multi-agent environments. In the shared bus lane scenario, the behaviors of travelers are interdependent, with each traveler’s choice not only relying on personal benefits but also influenced by the choices of others. Evolutionary game theory can effectively describe these complex interactions and simulate the strategic evolution of multiple participants in repeated games.
(2) Travelers’ decisions are not static but continuously adjusted and optimized over time. In the context of bus-only lanes, travelers adapt their choices based on traffic flow, road conditions, and the behavior of others. Evolutionary game theory is well-suited to simulate this adaptive behavior, reflecting how travelers gradually optimize their travel choices through experience and feedback.
(3) Bus-only lanes are a limited resource, and different travelers compete for the use of this resource. Evolutionary game theory can address the issue of resource competition, helping us understand the dynamic equilibrium between different strategies.
(4) The concept of evolutionarily stable strategy (ESS) in evolutionary game theory is particularly useful for describing the long-term behavioral stability of travelers under specific conditions. In the context of bus-only lanes, ESS can reveal which strategies will dominate in the long-term game, helping us understand how travelers’ decision-making behaviors will ultimately reach equilibrium under different policies or system parameters.
Therefore, establishing an evolutionary game model for travel mode choice allows for examining how shared policies influence travelers’ decisions and subsequently assessing their impact on the operational benefits of bus lanes. In the model-building process, cumulative prospect values are used to quantify the gains and losses associated with different travel modes.

2.2. Cumulative Prospect Value Model Construction

(1)
Travel costs
To select the most convenient travel mode for travelers, this study uses travel cost as a scalar to compare three different travel options. The travel cost includes expenses incurred during the journey, the time spent traveling, and the combined costs associated with ride-sharing. The combined cost of ride-sharing encompasses waiting costs and the cost associated with the lack of personal space during the ride-share. Based on the varying degrees of perception of each cost component by travelers, this study sets perception weight coefficients and establishes the following expression for travel cost:
G = T δ + F ς + H τ
Formulas contain the following: G is the total travel cost, T is the time cost, δ is the time perception weight parameter, F is the travel expenses, ς is the weight perception parameter for travel expenses, H is the combined cost of ride-sharing, and τ is the perception parameter for combined cost.
To make the model more realistic, the average local wage is used for quantification. In the model scenario, the ride-sharing decisions of travelers will affect traffic conditions. This study employs a road congestion model to calculate travel time. This study uses a road congestion model based on classical traffic flow theory, simulating congestion on the road by quantifying the impact of traffic flow on travel time. The core principle of the model is that it reflects the changes in travel time due to traffic flow by considering the impact of traffic density (the ratio of the number of vehicles to the road’s capacity) on vehicle speed. When the number of vehicles approaches or exceeds the lane’s capacity, excessive flow leads to a decrease in speed, thereby increasing travel time. The model also takes into account the impact of travelers’ decisions on traffic flow. The calculation expression is as follows:
T i = t i × t α = t 0 × ( 1 + φ ( C i C c i ) ϕ ) × ( 1 + η i ) × t α
t i = t 0 × ( 1 + φ ( C i C c i ) ϕ ) × ( 1 + η i )
t 0 = L / v 0
Formulas contain the following: T i is the time cost of travel mode i , t i is the travel time of travel mode i , t α is the average hourly wage in the area, t 0 is the travel time of vehicles on that road segment under free conditions, C i is the number of vehicles for travel mode i , C C i is the capacity of the lane used by travel mode i , φ , ϕ are model coefficients, and η i is the correction factor for bus stops. The travel times for ride-sharing and buses are affected by bus stops, and the correction factor should be included when calculating travel time. When i refers to driving alone, η = 0 .
(2)
Setting a reference point
In cumulative prospect theory, the reference point is used to assess the subjective value of options in terms of gains and losses. The method for setting the reference point varies depending on the research objectives. In this paper, the expected travel cost of driving alone is chosen as the reference point for travel mode decision-making. This allows decision-makers to compare the costs of other travel modes with the costs of driving, helping them better understand and evaluate whether other travel modes offer greater benefits or smaller losses. The reference point can be expressed as
G i 0 = T i 0 σ + F i 0 ς
Formulas contain the following: G i 0 is the total expected cost associated with travel mode i ,   T i 0 is the expected time cost associated with travel mode i , and F i 0 is the expected travel expense associated with travel mode i .
(3)
Determining the value function
When travelers make decisions about travel modes, they must consider both the actual travel costs and the reference points based on individual psychological expectations to comprehensively evaluate various options. To more thoroughly measure the potential gains or losses of each option, a gain–loss value is introduced as an evaluation indicator. By observing the gain–loss value, we can analyze the relative advantages and disadvantages of each decision option for the traveler in greater detail. The calculation of the gain–loss value involves comparing the actual travel costs with the reference points set by individuals, as expressed in the following formula:
V i = G i 0 G i
Formulas contain the following: V i is the gain or loss of travel mode i relative to the reference point, and G i is the actual total travel cost corresponding to travel mode i .
The gain–loss value is used to indicate the gains or losses of the selected option relative to the reference point. If the gain–loss value is positive, it indicates that the decision option brings potential gains compared to the reference point; conversely, if the gain–loss value is negative, it suggests the possibility of potential losses. Specifically, when V i < 0 , the actual travel cost is greater than the expected travel cost, leading the traveler to perceive a loss with travel mode i . When V i > 0 , the actual travel cost is less than the expected travel cost, resulting in the traveler perceiving a gain with travel mode i .
By constructing the value function, we can effectively transform the gain–loss values of decision options into the relative value perceived by travelers, providing a more accurate representation of individuals’ subjective feelings and irrational factors. The value function expression established in this paper is as follows:
W V i = V i α ε V i β V i 0 V i < 0
Formulas contain the following: W V i is the relative value of travel mode i , and α and β are risk sensitivity coefficients, where 0 α 1 and  0 β 1 . The higher their values, the more the traveler’s decisions tend to be risk-seeking; ε is the loss aversion coefficient, with ε > 1 . The higher its value, the more the traveler’s decisions tend to be conservative.
(4)
Determining the decision probability weighting function
The formation of travelers’ decision choice probabilities is influenced by their individual travel experiences. This probability is derived from a subjective assessment of the perceived benefits of various travel options. To make the model more realistic, this paper establishes the decision probability weighting function based on travelers’ perceived probability functions, enhancing the model’s practical applicability. Specifically, the probability weighting function is divided into two aspects: one for when the perception is of gains and the other for when the perception is of losses. The mathematical expressions are as follows:
w + P i = P i ϑ P i ϑ + 1 P i ϑ 1 / ϑ
w P i = P i μ P i μ + 1 P i μ 1 / μ
Formulas contain the following: P i is the perceived probability that a traveler chooses travel mode i , w + P i is the decision probability weighting function when the traveler perceives gains, w P i is the decision probability weighting function when the traveler perceives losses, ϑ is the risk attitude coefficient for gains, and μ is the risk attitude coefficient for losses.
The decision probability weighting function can be further classified based on whether the gain–loss value is positive or negative, resulting in the following expressions:
w ± p i = w + P i t w P i r V i 0 V i 0
Formulas contain the following: P i t is the decision probability weighting function when the gain–loss value is positive, and P i r is the decision probability weighting function when the gain–loss value is negative.
Calculate the cumulative probability weighting function using the following formula:
π i t + = w + p i t p i t + 1 p i T w + p i t + 1 p i T
π i r = w p i r p i r + 1 p i R w p i r + 1 p i R
π i T + = w + p i T
π i R = w p i R
Formulas contain the following: π i T + and π i R represent the choice probabilities corresponding to the states of maximum and minimum values, respectively, π i t + is the cumulative probability weighting function when the decision choice is a gain, and π i r is the cumulative probability weighting function when the decision choice is a loss.
(5)
Calculating the cumulative prospect value
Based on the reference point, value function, and decision weighting function determined above, calculate the cumulative prospect value for each mode of travel [48], as expressed in the following formula:
C P V i = t = 0 T π i t + W V i t + r = 1 R π i r W V i r
The structure diagram is illustrate in Figure 1.

3. Construction of a Dynamic Evolutionary Game Model for Travelers’ Mode Choices

3.1. Analysis of Travel Choice Behavior

This paper studies the impact of bus lane sharing policy on travelers’ travel choice behaviors, and in the sharing scenario, travelers’ travel choices are mainly classified into three categories: bus travel, carpooling travel, and driving alone travel. The specific selection process will be affected by a variety of factors, including but not limited to traffic demand, time cost, travel convenience, traffic safety, environmental impact, and personal preferences and attitudes. In this study, the bus-only lanes are provided exclusively for buses and carpool vehicles, while the general lanes are designated solely for single-occupancy vehicles.
Analyzing the characteristics of the three types of travel modes, the cost of bus travel is relatively low and is generally more economical than driving alone or carpooling. As a low-carbon mode of travel, buses generally emit fewer pollutants and have a lower environmental impact than individual cars. Buses can carry a large number of passengers, which can effectively reduce road traffic congestion. However, most buses have fixed routes, which may not fully meet individual travel needs, requiring walking or transferring, and congestion and noise on the bus may also affect the comfort of passengers. Carpooling is shared by many people in a car, which can share the cost of travel. In the case of improving the safety and efficiency of carpooling software and the high recognition of carpooling by travelers, carpooling can reduce the cost of travel to a certain extent and reduce the number of vehicles on the road, but there are also time uncertainties such as the need to wait for carpooling or carpooling passengers, the itinerary of other passengers not being completely compatible, and some travelers feeling that carpooling with others affects travel comfort. Driving alone has the advantages of convenience, time flexibility, etc., and travelers can freely choose the itinerary, route, and departure time according to their personal needs and preferences, but they need to bear all the traffic costs when driving alone, and in areas where road resources are tight and parking resources are tight, they will also face problems such as traffic congestion and parking difficulties. Traveling alone by car also emits more pollutants relatively and has a greater impact on the environment. There is both a competitive relationship and a complementary connection between the three modes of transportation.
Competitive analysis: driving alone vs. carpooling. In terms of time, driving alone offers higher flexibility, as the driver can freely choose the departure time and route, saving time on less congested roads and during off-peak periods. Driving alone avoids waiting, especially when there is no traffic congestion, allowing the driver to reach the destination quickly. In terms of cost, driving alone typically incurs higher expenses, including fuel costs, parking fees, and vehicle maintenance. In contrast, carpooling significantly reduces the travel cost for each passenger by sharing the vehicle costs among multiple people. In terms of comfort and privacy, driving alone generally offers greater comfort and privacy. The driver has control over the in-car environment, such as air conditioning, seat adjustments, and music, and can enjoy personal space without sharing the vehicle. In comparison, carpooling sacrifices some comfort and privacy, as passengers must share the vehicle, and the in-car environment may not fully match each individual’s preferences. Driving alone vs. bus travel: In terms of time, driving alone usually allows the driver to reach the destination in the shortest time when there is no traffic congestion. The driver can choose the departure time and route, avoiding waiting. In contrast, buses, although they run on fixed schedules and may experience overcrowding during peak times, can avoid traffic congestion when there are bus lanes, offering relatively fixed and predictable arrival times. In terms of cost, driving alone may be a lower-cost option for short trips with fewer parking requirements. However, as the travel distance increases, fuel and parking costs rise significantly, and the cost burden of driving alone increases. In contrast, the bus is typically the most cost-effective option, especially for long commutes, with lower fares and often subsidized by the government. In terms of comfort and convenience, driving alone offers higher comfort and privacy, as the driver can adjust the in-car environment to personal preferences. However, the comfort on buses is usually limited by passenger numbers and the condition of the vehicle, particularly during peak times when passengers may face overcrowded conditions. Nonetheless, the bus remains a reliable mode of transport in efficient urban traffic networks, especially for travelers who want to avoid traffic jams and parking difficulties. Carpooling vs. bus travel: In terms of time, carpooling’s greatest advantage is flexibility. Passengers can choose the most suitable route and departure time according to their needs. Especially when carpooling uses bus lanes, it can avoid competition with private vehicles, improving travel efficiency. In contrast, buses have fixed routes and schedules, and passengers need to follow a fixed timetable and stop locations. In terms of cost, carpooling may be slightly more expensive than taking the bus, particularly due to shared platform service fees, making carpooling slightly less cost-effective than the bus. The bus, however, is typically the most cost-efficient mode of transport, especially for long-distance commuting and with government subsidies, where bus fares are usually lower and fares are transparent and fixed, making it ideal for budget-conscious travelers. In terms of comfort and convenience, carpooling generally offers greater comfort than the bus. However, the flexibility of carpooling may pose certain convenience challenges, particularly when adjusting departure points and destinations among multiple passengers, which could affect the convenience of some passengers.
Complementary analysis: time-based complementarity. Driving alone typically provides higher flexibility and shorter travel times when traffic is smooth. However, during peak hours, driving alone may face severe congestion, causing a significant decrease in time efficiency. The bus, especially with a dedicated bus lane, can avoid traffic competition with private cars and provide a more stable and efficient mode of travel, particularly during peak times. In this case, the bus complements driving alone during peak hours. Carpooling helps reduce traffic pressure by sharing vehicles, increasing travel efficiency during congestion, and, especially with the support of bus lanes, compensates for the lack of flexibility in bus travel, offering a more flexible and faster alternative. Cost-based complementarity: The cost of driving alone usually increases with distance and higher parking fees, making it suitable for short trips or when there are few parking requirements. Carpooling reduces the travel cost for each individual passenger, making it more economical than driving alone, especially when passengers share fuel and parking costs. The bus and carpooling complement each other, especially for passengers who do not require flexibility. The bus offers a more economical option for regular travel, while carpooling can offer higher flexibility at a relatively low cost when flexibility is needed. Comfort and convenience complementarity: Driving alone provides the highest level of comfort and privacy, making it ideal for passengers who have high personal space requirements. However, it also faces issues like parking difficulties and traffic congestion, which reduce convenience. Carpooling offers higher comfort, as there are fewer passengers and both the driver and passengers can adjust the in-car environment based on their needs. However, flexibility may affect convenience when adjustments need to be made to departure points and routes. The bus offers lower comfort but provides stable service for passengers with fixed travel needs, avoiding the stress of driving, making it suitable for long commutes.
The above analysis is a general analysis, and the actual situation varies depending on the level of regional transportation infrastructure construction, traffic conditions, personal preferences, and the influence of relevant local policies. On the whole, the three modes of transportation have advantages and disadvantages, and travelers’ travel choices will not be concentrated on a certain mode of transportation, but according to the influence of various subjective and objective factors, they choose the optimal mode of transportation and route.

3.2. Game Analysis of Travel Decision-Making

The game analysis of travel decision-making can be viewed as a game concerning the traffic allocation problem within a transportation system. When travelers have multiple travel modes to choose from, each individual will select the mode with the highest perceived value based on their circumstances. However, as more travelers opt for a particular mode, the traffic volume for that mode increases, leading to issues such as longer waiting times and congestion. The change in cumulative perceived value is not only related to individual decisions but is also closely tied to the collective effects of group behavior. As more travelers choose a particular mode, the service level of that mode decreases, resulting in a decrease in its overall perceived value. If the cumulative perceived value of the current mode falls below that of other options, some travelers will begin to switch to alternative modes. As the number of participants in the decision-making process grows, all modes will be chosen by the majority of travelers, resulting in a game among multiple travelers.
In the travel decision-making game model, Wardrop’s first principle is used to find the optimal solution. For a given transportation system T S = ( S , Q ) (where T S represents a transportation system with S travel modes and Q travelers), the relationship is as follows:
N n q = Q
Formulas contain the following: S represents travel modes, N represents the total number of available transportation modes, n q is the number of travelers choosing mode n , and Q is the total number of travelers in the transportation system.
According to Wardrop’s first principle and the utility maximization principle for transportation participants, each traveler chooses the travel mode with the highest cumulative perceived value, in line with individual rationality and the principle of utility maximization. This can be expressed mathematically as follows:
a ( n q m q ) C P V a ( n q ) a ( m q n q ) C P V a ( n q + a )
Formulas contain the following: C P V a ( n q ) is the cumulative perceived value when n q travelers choose mode n , C P V a ( n q + a ) is the cumulative perceived value when n q + a travelers choose mode n , and m q n q = a : a m q   a n d   a n q , n q Q , m q Q .
If all travelers satisfy the equation above, meaning that no subset of travelers a can achieve a higher cumulative perceived value by changing their travel choice, then when a traveler shifts from travel mode n to mode m, the cumulative perceived value of mode m will not be higher than that of mode n . This signifies that user equilibrium is reached. In other words, at user equilibrium, among all available paths (routes and travel modes) between a given origin and destination, the cumulative perceived values of the selected paths are equal and at least as high as those of the unchosen paths.
The main elements of this game are as follows:
Game Participants: Each traveler q Q is considered a game participant.
Game Strategy: A pure strategy for each game participant is represented as  S q = s q 1 , s q 2 , s q N , where  s q i ( 0,1 ) , i = 1,2 , , N .
Payoff: The payoff function in game theory describes the values obtained by different decision-makers under various strategy combinations. It maps each possible strategy combination to its corresponding payoff value, which in this context is represented by cumulative perceived value. Thus, the payoff function is given by c q = q Q C P V q ( n q ) . In this game, based on the principle of user optimization, it can be understood that when equilibrium is not achieved, there exist  n q Q , m q Q , such that C P V q ( n q ) C P V q ( m q ) . This implies that some travelers can achieve a higher cumulative perceived value by changing their travel decisions from mode n . The goal in this game is to maximize the payoff function, ultimately reaching an equilibrium state.
According to the definition of Nash equilibrium, when Nash equilibrium is achieved, no participant can improve their payoff by adopting any new strategy. This means that when travelers shift from any travel mode to another, they cannot achieve a higher payoff, which aligns with the state of user optimization. Therefore, when a user optimum exists and a Nash equilibrium solution exists for this game, the two are equal.

3.3. Dynamic Evolutionary Game Model Construction

The travel choice behavior of travelers is related to their perceptions of different travel modes, which can be quantified using cumulative perceived value. An evolutionary game model based on cumulative perceived value is constructed to utilize dynamic analysis of participants’ learning and adjustments, thereby facilitating research into the evolution of travelers’ mode selection behaviors. Based on the characteristics of transportation modes, a logical relationship for travelers’ mode choice in the evolutionary game is established. See Figure 2.
By constructing a game model, we analyze the stability of strategies and equilibrium points for all parties as well as the influence relationships among various factors. The description of model parameter variables is shown in Table 1.
Participants in the game are the group of travelers, and each traveler’s decision space S = ( B u s ,   R i d e s h a r i n g   V e h i c l e s ,   D r i v i n g   a l o n e ) . Parameters are assigned values based on the cumulative prospect values quantified by the travelers’ perceptions.
Based on the above rules, establish the game matrix for buses, carpooling, and private cars, as shown in Table 2.

4. Stability Analysis of the Equilibrium Points in the Evolutionary Game of Three Travel Modes

Let the proportions of travelers choosing public buses, carpooling, and driving alone be x 1 , x 2 , x 3 , satisfying  x 1 , x 2 , x 3 [ 0,1 ] and  x 1 + x 2 + x 3 = 1 . The expected payoffs for the public bus, carpooling, and driving alone options are  W 1 , W 2 , W 3 , and the average expected payoff is denoted as  W ¯ . The calculation formula is as follows:
W 1 = x 1 M + x 2 ( M b ) + x 3 ( M e ) = x 1 e + x 2 ( e b ) + M e
W 2 = x 1 ( O + p ) + x 2 O + x 3 ( O q ) = x 1 ( p + q ) + x 2 q + O q
W 3 = x 1 ( J + c ) + x 2 ( J + d ) + x 3 J = x 1 c + x 2 d + J
W ¯ = x 1 W 1 + x 2 W 2 + x 3 W 3 = x 1 x 1 M + x 2 M b + x 3 M e + x 2 x 1 O + p + x 2 O + x 3 O q + x 3 [ x 1 ( J + c ) + x 2 ( J + d ) + x 3 J ]
The dynamic equation is as follows:
F x 1 = d x 1 d t = x 1 W 1 W ¯ = x 1 x 1 [ x 1 M + x 2 ( M b ) + x 3 ( M e ) M ] + x 2 x 1 O + p + x 2 O + x 3 O q M + b + x 3 x 1 J + c + x 2 J + d + x 3 J M + e }
F x 2 = d x 2 d t = x 2 W 2 W ¯ = x 2 x 1 [ x 1 M + x 2 ( M b ) + x 3 ( M e ) O p ] + x 2 x 1 O + p + x 2 O + x 3 O q O + x 3 x 1 J + c + x 2 J + d + x 3 J O + q }
F x 3 = d x 3 d t = x 3 W 3 W ¯ = x 3 x 1 [ x 1 M + x 2 ( M b ) + x 3 ( M e ) J c ] + x 2 x 1 O + p + x 2 O + x 3 O q J d + x 3 x 1 ( J + c ) + x 2 ( J + d ) + x 3 J J
Calculate the Jacobian matrix J of the game system:
J = J 1 J 2 J 3 J 4 J 5 J 6 J 7 J 8 J 9 = F ( x 1 ) / x 1 F ( x 1 ) / x 2 F ( x 1 ) / x 3 F ( x 2 ) / x 1 F ( x 2 ) / x 2 F ( x 2 ) / x 3 F ( x 3 ) / x 1 F ( x 3 ) / x 2 F ( x 3 ) / x 3
J 1 = x 1 M x 3 x 3 J + x 1 J + c + x 2 J + d + x 2 M b + x 3 M e
x 1 3 M x 1 M + x 2 2 M 2 b + O + p + x 3 2 M 2 e + J + c x 2 [ x 2 O + x 3 ( O q ) + x 1 ( O + a ) ]
J 2 = x 1 [ b M + 2 O x 2 + ( O q + d + J ) x 3 + x 1 ( M b + O + p ) ]
J 3 = x 1 [ ( M + J + c e ) x 1 + ( O + J q + d ) x 2 + 2 J x 3 M + e ]
J 4 = x 2 ( 2 M x 1 + ( M + O + p b ) x 2 + ( J + M + c e ) x 3 O p )
J 5 = x 3 J x 3 + x 1 J + c + x 2 J + d O + q x 2 3 O x 2 2 O + x 3 2 O + J + d 2 q + x 1 M + 2 O + 2 p b x 1 [ M x 1 + x 2 ( M b ) + x 3 ( M e ) O p ]
J 6 = x 2 [ ( J + M + c e ) x 1 + ( O + J + d q ) x 2 + 2 J x 3 q O ]
J 7 = x 3 ( 2 M x 1 + ( M + O + p b ) x 2 + ( J + M + c e ) x 3 J c )
J 8 = x 3 ( ( M + O + p b ) x 1 + 2 O x 2 + ( O + J + d q ) x 3 d J )
J 9 = x 1 M x 1 + M b x 2 + M e x 3 J c x 2 O + p x 1 + O x 2 + O q x 3 + 2 J + 2 d x 3 [ ( 2 J + 2 c + M e ) x 1 + ( 2 J + 2 d + O q ) x 2 + 3 J x 3 2 J ]
Set Equations (23)–(25) to zero, solve the system of differential equations, and use Lyapunov’s first method to analyze the stability of the equilibrium points. If all eigenvalues of the Jacobian matrix have negative real parts, the equilibrium point is asymptotically stable. If at least one eigenvalue has a positive real part, the equilibrium point is unstable. If the Jacobian matrix has eigenvalues with zero real parts and all other eigenvalues have negative real parts, the equilibrium point is in a critical state, and stability cannot be determined by the signs of the eigenvalues. The stability of each equilibrium point is analyzed, as shown in Table 3.
In Table 3, x 21 , x 31 , x 11 , x 32 , x 12 , x 22 , x 13 , x 23 , and x 33 are the coordinate values corresponding to the equilibrium points.
x 21 = ( J O + q ) ( d q ) ,   x 31 = ( J O + d ) ( d q ) ,   x 11 = ( M J + e ) ( c e ) ,   x 12 = ( O M + b ) ( p b ) ,   x 22 = ( O M + p ) ( p b ) ,   x 32 = ( J M + c ) ( c e ) , x 13 = ( J b O b O d + O e J e + J q + M d M q + b q d e + d q ) ( p b + p d b c p e + b q + c e c q d e + d q ) , x 23 = ( J p O c + O e J e + J q M p + M c M q + p e c e + c q ) ( p b + p d b c p e + b q + c e c q d e + d q ) , x 33 = ( O b + J p O c J b + O d M p + M c M d + p d + p b b c ) ( p b + p d b c p e + b q + c e c q d e + d q ) .
The λ 21 , λ 31 ,   λ 22 ,   λ 32 ,   λ 23 ,   λ 33 ,   λ 11 ,   λ 24 ,   λ 34 is the eigenvalue of the Jacobian matrix corresponding to the equilibrium point.
λ 21 = ( 2 O + J + d ) x 21 + ( O + 2 J q ) x 31 4 O 2 x 21 4 + 8 O 2 x 21 3 x 31 + 4 O 2 x 21 2 x 31 2 + 8 O J x 21 x 31 3 2 λ 22 = J + 2 M + c x 11 + 2 J + M e x 32 + 4 J 2 x 11 2 x 32 2 4 J 2 x 11 2 x 32 + 8 J 2 x 11 x 32 3 + 8 J M x 11 3 x 32 2 λ 11 = J M c + e x 13 + J O d q x 23 + c e x 13 2 + d q x 23 2 + b + c + d e q p x 13 x 23 λ 24 = ( O + M e q + ( 3 J 3 O b 3 d + e + 5 q ) x 23 + ( 3 J 3 M + p 3 c + 5 e + q ) x 13 2 + J
Conditions: : M 0 , O + p M , J + c M ; : O 0 , M O + b , J + d O ; and : J 0 , O J + q , M J + e .
According to x 1 , x 2 , x 3 [ 0,1 ] , and x 1 + x 2 + x 3 = 1 , the points (1,1,0), (1,0,1), (0,1,1), (0,0,0), and (1,1,1) are meaningless.

5. Simulation Analysis and Policy Recommendations

5.1. Value Assignment Simulation and Parameter Analysis

To verify the effectiveness of the evolutionary stability analysis and explore the impact of different parameters on the evolutionary outcomes, the model will be subjected to value assignment simulation calculations based on real-world conditions.
(1)
When  M > 0 , O + p < M , J + c < M , stability analysis of the differential equation dynamical system indicates that (1,0,0) is asymptotically stable. This means that when the perceived benefits of taking the bus outweigh the losses associated with factors such as congestion, transfers, and longer walking distances compared to carpooling and driving alone, the evolutionarily stable strategy leads all travelers to choose bus travel. Using the parameters c = 2, M = 10, O = 7, p = 2, b = 3, d = 2, e = 2, q = 1, and J = 5 for simulation experiments, the system eventually evolves to (1,0,0), as shown in Figure 3a.
(2)
When O > 0 , M < O + b , J + d < O , stability analysis of the differential equation dynamical system indicates that (0,1,0) is asymptotically stable. This means that when the perceived benefits of carpooling outweigh the losses associated with social pressure, waiting for carpool arrangements, and potential delays compared to taking the bus or driving alone, the evolutionarily stable strategy leads all travelers to choose carpooling. Using the parameters c = 2, M = 7, O = 10, p = 2, b = 3, d = 2, e = 2, q = 1, and J = 5 for simulation experiments, the system ultimately evolves to (0,1,0), as shown in Figure 3b.
(3)
When J > 0 ,     O < J + q , M < J + e , stability analysis of the differential equation dynamical system indicates that (0,0,1) is asymptotically stable. This means that when the perceived benefits of driving alone outweigh the losses associated with congestion and other factors compared to carpooling and taking the bus, the evolutionarily stable strategy leads all travelers to choose private car travel. Using the parameters c = 2, M = 5, O = 7, p = 2, b = 3, d = 2, e = 2, q = 1, and J = 10 for simulation experiments, the system ultimately evolves to (0,0,1), as shown in Figure 3c.
To investigate the actual impact of the bus lane sharing strategy, further simulations will be conducted to analyze how various influencing factors affect the evolutionary game process and outcomes of travelers’ choice behaviors.
(1)
Carpooling perception
With the incentives from the bus sharing strategy and the optimization of carpooling platforms, factors such as reduced combination costs and improved safety during travel have increased the acceptance of carpooling. This leads to an increase in the perceived benefits of carpooling, represented by  O . By assigning values O = 2.5,0.5,2.5 and keeping other parameters fixed at c = 0.154, M = 2.1620, p = 0.2338, b = 0.184, d = 0.212, e = 0.1503, q = 0.1119, and J = −3.186, a simulation analysis is conducted on the different perceived benefits of carpooling, as shown in Figure 4.
The evolutionary simulation results indicate that as the perceived benefits of carpooling increase, travelers’ willingness to choose the bus decreases, and their willingness to drive alone also declines. When the perceived benefits of carpooling reach a certain threshold, travelers tend to choose carpooling, evolving toward the equilibrium point (0,1,0). In implementing the sharing strategy, initial measures such as subsidies for carpooling and optimizing carpooling platforms can be adopted to enhance the attractiveness of carpooling and improve perceptions of it.
(2)
Bus travel perception
With the optimization of bus routes, the application of vehicle networking technology, and the improvement of bus facilities, bus travel has become increasingly convenient and punctual. As a result, the perceived benefits of bus travel have increased, represented by an increase in M . Values of M = 0.5,2.5,5.5 are assigned, while other parameters are set to c = 0.154, O = −2.6890, p = 0.2338, b = 0.184, d = 0.212, e = 0.1503, q = 0.1119, and J = −3.186. Keeping other parameter values constant, a simulation analysis is conducted on the different perceived values of bus travel, as shown in Figure 5.
According to the simulation results, as the perceived benefits of bus travel increase, the trend toward the equilibrium point (1,0,0) accelerates. When the perceived benefit is negative—meaning travelers perceive bus travel as a “loss”—the evolution rate is significantly lower than when it is perceived as a “gain.” This aligns with the cumulative prospect theory, which suggests that decision-makers are more sensitive to losses than to gains. Overall, the evolution trend indicates that as the perceived benefits of bus travel increase, travelers’ willingness to choose bus travel strengthens, while their willingness to use carpooling and drive alone decreases. In cities where the efficiency of dedicated bus lanes is low and bus ridership is low, strategies such as optimizing the bus network and accelerating the smart construction of vehicle networking can enhance the attractiveness of bus travel and improve the utilization of dedicated bus lanes.
(3)
Perception of driving alone
With the widespread adoption of electric vehicles and the improvement of parking facilities, factors such as lower costs and greater convenience for driving alone have increased, and travelers’ perceived value of driving alone is represented by an increase in J . Values of J = 3.5 , 0.5,2.5 are assigned, while other parameters are set to c = 0.154, M = 2.1620, O = −2.6890, p = 0.2338, b = 0.184, d = 0.212, e = 0.1503, and q = 0.1119. Keeping other parameter values constant, a simulation analysis is conducted on the different perceived values of driving alone, as shown in Figure 6.
According to the evolutionary simulation results, the perceived value of subsidies for driving alone significantly impacts the decisions regarding bus and driving alone options. When the costs of driving alone decrease and congestion is less likely, travelers tend to prefer driving alone, causing the attractiveness of bus travel to decline rapidly, along with a decrease in the willingness to carpool. Conversely, during congested periods, the willingness to drive solo decreases. In areas where dedicated bus lanes are implemented, which often coincide with frequent congestion, a decline in perceived benefits for driving alone can lead to reduced willingness to drive alone. Thus, through scientific planning and feasibility analysis, strategies like designating bus lanes, increasing bus frequency, and implementing shared strategies can effectively reduce the perceived benefits of driving alone, enhancing the likelihood of travelers choosing bus and carpooling options, thereby alleviating congestion.
(4)
Interference of carpooling with buses
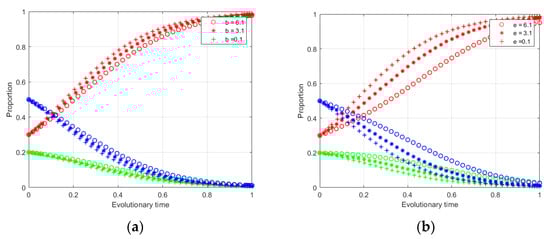
The bus lane sharing strategy allows qualified private cars to use dedicated bus lanes, which inevitably interferes with bus operations. However, by using scientific methods to plan shared sections, configure corresponding supporting facilities, and strengthen supervision, the interference of carpooling on bus services can be minimized, represented by a reduction in b . Values of b = 6.1,3.1,0.1  are assigned, while other parameters are set to c = 0.154, M = 2.1620, O = −2.6890, p = 0.2338, d = 0.212, e = 0.1503, q = 0.1119, and J = −3.5. Keeping other parameter values constant, a simulation analysis is conducted to assess the varying degrees of interference from carpooling on public transport, as shown in Figure 7a.
(5)
Public transport service area
With the continuous improvement and optimization of urban public transport, the number of bus service points has increased, and the service area has expanded. As a result, the walking distance and number of transfers for bus travel have decreased, represented by a reduction in e . Values of e = 6.1,3.1,0.1 are assigned, while other parameters are set to c = 0.154, M = 2.1620, O = −2.6890, p = 0.2338, b = 0.184, d = 0.212, q = 0.1119, and J = −3.5. Keeping other parameters constant, a simulation analysis is conducted to assess varying degrees of convenience in bus travel, as shown in Figure 7b.
According to Figure 7a, when implementing a shared bus lane strategy, adopting aggressive sharing policies, such as relaxing conditions for carpool vehicles, can enhance travelers’ willingness to carpool. However, this also increases interference with bus services, which can negatively affect travelers’ willingness to choose public transport. As this interference grows, the willingness to use buses declines. Therefore, when formulating bus lane sharing strategies, it is essential to conduct thorough research, make scientific plans and predictions, and ensure the establishment of supportive traffic facilities, effective policy promotion, and traffic regulation. Reducing the interference of carpooling with bus operations is crucial to fully realize the benefits of the sharing strategy, effectively enhance the operational efficiency of bus lanes, and alleviate urban congestion.
According to Figure 7b, improving the service level of public transport, optimizing the regional bus network, and reducing travelers’ walking, transfer, and waiting times can significantly increase the willingness of travelers to use buses. Simultaneously, the willingness to carpool and drive alone declines. In this scenario, the operational efficiency of bus lanes improves, and urban traffic congestion can be alleviated.
(6)
Excess returns of driving alone
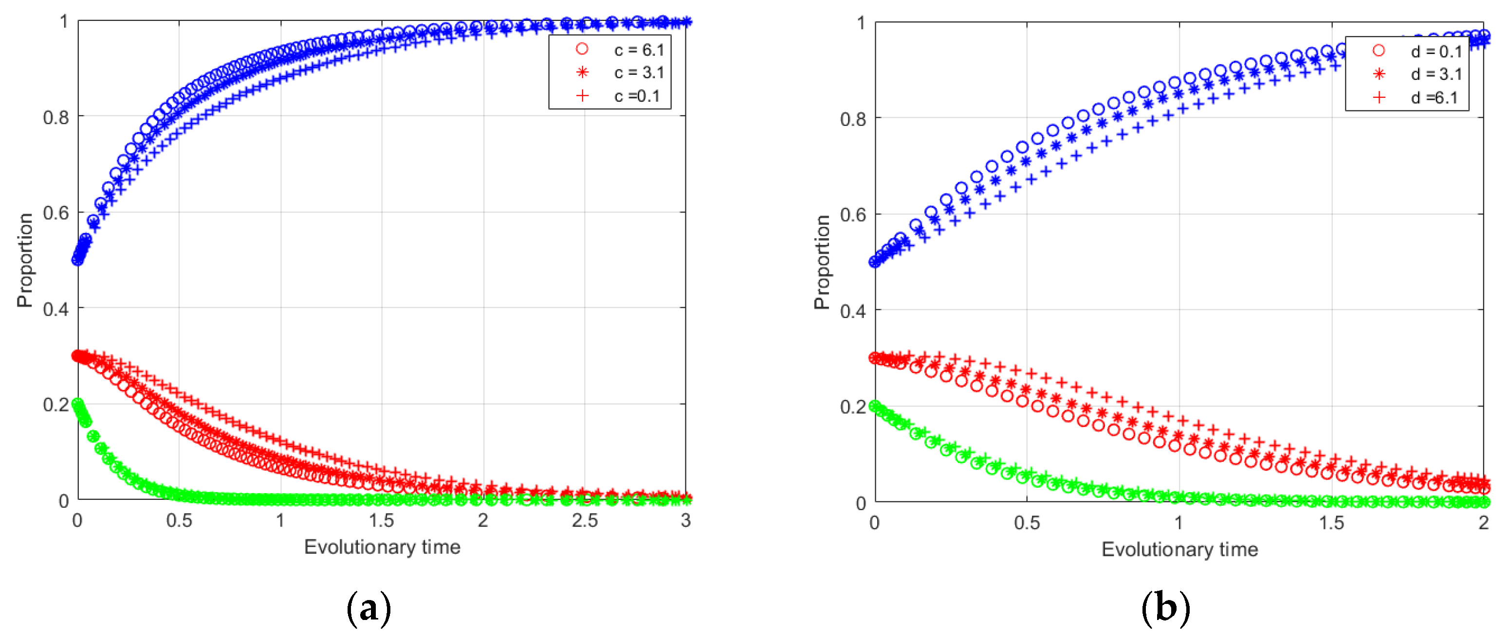
Driving alone has always been favored by most travelers due to its unique advantages. When driving alone, travelers enjoy greater flexibility in time and route selection as well as the comfort and speed of independent space. However, as the service level of public transport continues to improve, the advantages of driving alone gradually diminish, represented by a decrease in c . Values of c = 4.1,2.1,0.1  are assigned, while other parameters are set to M = 2.1620, O = −2.6890, p = 0.2338, b = 0.184, d = −0.212, e = 0.1503, q = 0.1119, and J = 3.5. Keeping other parameter values constant, a simulation analysis is conducted to assess this trend, as shown in Figure 8a.
(7)
Driving alone does not comply with the shared bus lane strategy
Driving alone, due to not aligning with the shared bus lane strategy, cannot utilize bus lanes when regular lanes are congested, but bus lanes have a high vacancy rate. This makes driving alone more susceptible to congestion compared to carpooling, resulting in an increase in d . Values of d = 0.1,3.1,6.1  are assigned, while other parameters are set to c = 0.154, M = 1.1620, O = −1.1890, p = 0.6338, b = 0.684, e = 0.1503, q = 0.1119, and J = 2.5. Keeping other parameter values constant, a simulation analysis is conducted to assess this trend, as shown in Figure 8b.
(8)
Excess returns of carpooling compared to public transportation
Carpooling, compared to public transportation, can reduce walking time. During peak periods, public transport often becomes more crowded, while carpooling ensures that the number of passengers remains at or below the regulated capacity, resulting in a more comfortable travel experience. Additionally, with the implementation of carpooling shared strategies, carpool vehicles can use bus lanes, reducing the likelihood of encountering congestion. This leads to an increase in the excess returns of carpooling compared to public transport, represented by an increase in p . Values of p = 0.1,2.1,4.1  are assigned, while other parameters are set to c = 0.154, M = 2.1620, O = −2.6890, p = 0.1, b = 0.184, d = 0.212, e = 0.1503, q = 0.1119, and J = −3.5. Keeping other parameter values constant, a simulation analysis is conducted to assess this trend, as shown in Figure 9a.
(9)
Losses of carpooling compared to driving alone
Carpooling lacks the flexibility in routes and timing that driving alone offers. It may require additional waiting time, potentially disrupting travelers’ schedules. Furthermore, compared to the solitude of driving alone, carpoolers may experience social pressure and discomfort. However, as shared strategies are implemented and the industry becomes more standardized, acceptance of carpooling increases, leading to a diminished perception of losses compared to driving alone, represented by a decrease in q . Values of q = 6.1,3.1,0.1 are assigned, while other parameters are set to c = 0.154, M = 2.1620, O = −2.6890, p = 0.2338, b = 0.184, d = 0.212, e = 0.1503, and J = −3.5. Keeping other parameter values constant, a simulation analysis is conducted to assess this trend, as shown in Figure 9b.
According to Figure 9a, factors such as congestion on buses during peak periods lead carpooling travelers to perceive excess returns. When carpooling is influenced by policy incentives or industry standardization, the excess returns increase, significantly enhancing the willingness to choose carpooling, while the willingness to use public transport quickly declines. Therefore, when promoting shared strategies, it is essential to consider the impact of strategy implementation on different modes of travel in order to maximize the benefits of bus lane usage.
According to Figure 9b, the implementation of the bus lane sharing strategy requires a safe, reliable, and efficient carpooling platform to support it. This will reduce potential losses associated with carpooling and enhance travelers’ willingness to carpool. Only then can the effectiveness of the bus lane sharing strategy be maximized, gradually improving travelers’ subjective perceptions of carpooling and alleviating traffic congestion issues.

5.2. Recommendations for the Bus Lane Sharing Policy

Based on the impact of different factors on various modes of travel during the implementation of the bus lane sharing strategy, the following development strategies and recommendations are proposed.
(1)
Industry guidance and governance of the government and management departments
They should adhere to the principles of prudence, inclusiveness, openness, and flexibility; strengthen industry guidance; promote the introduction of relevant laws; standardize the development of the industry; strengthen industry supervision; and improve the construction of urban transportation infrastructure, including monitoring equipment and on-site law enforcement, to ensure the smooth operation of bus lanes.
(2)
Responsibilities and development of ride-sharing platforms
Ride-sharing platforms should comply with regulatory policies while working to improve resource utilization and the concept of intensive travel. The algorithm will be optimized to improve the matching efficiency, provide more convenient services, and attract more passengers to use the ride-sharing platform.
(3)
Media publicity
The media should actively publicize the positive effects of carpooling, change public perceptions, and increase the recognition of carpooling. At the same time, it should actively promote changes in transportation policies within the city to ensure that the implementation of policies can be quickly communicated to travelers.
(4)
Navigation software
Navigation software should keep road information up to date to ensure compliant and efficient driving routes that guide vehicles to follow traffic rules.
(5)
Provide incentives
Incentive policies, such as waiving parking fees and providing dedicated parking spaces, can be considered to encourage private car owners to choose carpooling, so as to reduce the number of private cars driving on dedicated lanes.
(6)
Data sharing and collaboration
Public transport authorities, ride-sharing platforms, and related departments can share data and establish cooperative mechanisms to optimize the implementation and management of bus lane sharing strategies.
(7)
Optimize transportation planning and design
In the urban planning and road design stage, the rational layout and design of bus lanes should be considered to ensure their connection and fluency with other transportation networks.
(8)
Strengthen law enforcement and supervision
Law enforcement of bus lanes should be strengthened and violations should be strictly punished, including illegal entry and occupation of bus lanes, to ensure the smooth flow and fair use of bus lanes. An effective regulatory mechanism should be established to monitor and evaluate the implementation of the bus lane sharing strategy, and the strategy should be adjusted and improved in a timely manner.
(9)
Improve the user experience
User-friendly application interface and convenient payment methods should be provided to improve user satisfaction with the ride-sharing service and ease of use.

6. Conclusions

This paper analyzes the travel choice behavior of travelers in shared scenarios, considering the changes in the attractiveness of ride-sharing after the implementation of the bus lane sharing strategy. It constructs a benefit matrix based on the cumulative prospect values of different transportation modes and establishes an evolutionary game model for travel mode selection. The study simulates the decision-making process of travelers under different strategy scenarios, analyzes the existence and stability of equilibrium points, and explores the impact of various strategy options on travelers’ choices and the benefits of bus lanes through parameter analysis.
Simulation results indicate that when the perceived benefits of public transit increase, travelers are more willing to choose public transportation. However, when the public transit experience is poor and perceived as a “loss”, the attractiveness of public transit significantly declines. Therefore, optimizing the bus network, increasing service frequency, and enhancing convenience are key to improving public transit ridership. The perceived benefits of driving alone directly influence travelers’ choices, especially when traffic is not congested, as the appeal of driving alone increases. In congested areas, scientifically planning to reduce the perceived benefits of driving alone can effectively enhance the attractiveness of public transit and ride-sharing.
The implementation of the bus lane sharing strategy not only enhances the efficiency of the public transportation system but also plays a crucial role in promoting the development of a sustainable transportation system. By optimizing the use of bus-only lanes and promoting shared mobility, it can reduce the use of private vehicles, thereby decreasing carbon emissions and energy consumption in urban traffic, fostering the adoption of green, low-carbon travel modes, and advancing the sustainable development of urban transportation.
When implementing the bus lane sharing strategy, it is important to ensure that ride-sharing vehicles do not excessively disrupt bus operations while also improving the quality of bus services. Reducing walking and waiting times will enhance the attractiveness of public transit. Optimizing ride-sharing platforms and ensuring their safety and convenience can further promote the development of ride-sharing, maximizing the effectiveness of the sharing strategy and alleviating urban traffic pressure.
This study also has its limitations. In reality, we know that traveler decision-making regarding travel intentions is complex and diverse, making it difficult to fully simulate the decision-making game of travelers. Our research tends to be idealized. In the model, we made certain assumptions (such as cost, time cost, etc.) and based our analysis on these assumptions. However, these assumptions do not fully cover the complex situations in real life. The model may be influenced by some external parameters (such as travelers’ preferences for different travel modes, the capacity of bus-only lanes, etc.), meaning the results may not fully reflect all real-world conditions, especially under changing socio-economic circumstances. Additionally, the current model assumes that travelers’ behaviors and decision-making processes are entirely rational, but in reality, travelers’ choices may be influenced by multiple factors, such as psychology, culture, and socio-economic conditions, which are not fully considered in the model. Future research can improve and deepen the study in the following aspects: on one hand, by considering more influencing factors when establishing the cumulative prospect value model, making the model analysis more comprehensive and reasonable; on the other hand, by drawing on research ideas from abroad, further strengthening the in-depth study of game theory.

Author Contributions

Conceptualization, Y.X. and H.G.; methodology, Y.X.; software, G.B. and C.T.; validation, G.B. and C.T.; formal analysis, Y.X., G.B., C.T., J.L. (Jiayu Liu), T.H., Y.Q., J.L. (Junying Li) and B.Z.; investigation, Y.X. and C.T.; resources, C.T.; data curation, G.B. and C.T.; writing—original draft, G.B.; writing—review and editing, Y.X., G.B., C.T., H.C. and H.G.; project administration, Y.X.; funding acquisition, Y.X., J.L. (Jiayu Liu) and H.G. All authors have read and agreed to the published version of the manuscript.

Funding

This research was sponsored by the National Natural Science Foundation of China (Grant Nos.52362046, 71961006, 71971005), the Natural Science Foundation of Jiangxi Province, China (20232BAB204107), the Key Project of Jiangxi Provincial Social Science Foundation (21YJ03), China, Scholarship Council, which supported local cooperation projects for studying abroad (202308360194), the Graduate Student Innovation Special Fund Project of Jiangxi Province, China (YC2024-S456), and the Natural Science Foundation General Project of Xinjiang Uygur Autonomous Region, China (2024D01C30).

Institutional Review Board Statement

Not applicable.

Informed Consent Statement

Not applicable.

Data Availability Statement

The survey data used to support the findings of this study are available from the corresponding author upon request.

Acknowledgments

The authors are very grateful for the comments from the editor and the anonymous reviewers.

Conflicts of Interest

The authors declare no conflicts of interest.

References

  1. Guiding Opinions of the State Council on Giving Priority to the Development of Public Transport in Cities; General Office of the State Council of the People’s Republic of China: Beijing, China, 2012.
  2. Liu, Y.; Xue, Y.Q.; Sun, L.S. Optimization of urban bus lane setting based on OpenStreetMap. Sci. Technol. Eng. 2024, 24, 1216–1223. [Google Scholar]
  3. Arasan, V.T.; Vedagiri, P. Vedagiri, Microsimulation Study of the Effect of Exclusive Bus Lanes on Heterogeneous Traffic Flow. J. Urban Plan. Dev. 2010, 136, 50–58. [Google Scholar] [CrossRef]
  4. Arasan, V.T.; Vedagiri, P. Vedagiri, Simulating Heterogeneous Traffic Flow on Roads with and without Bus Lanes. J. Infrastruct. Syst. 2009, 15, 305–312. [Google Scholar] [CrossRef]
  5. Yang, X.G.; Yin, B.C. Optimal Location of Exclusive Bus Lane and Bus Stops. J. Tongji Univ. Nat. Ural. Sci. 2004, 32, 901–905. [Google Scholar] [CrossRef]
  6. Public Transport Capacity and Service Quality Manual; American Transportation Research Council: Atlanta, GA, USA, 2019.
  7. Aakre, E.; Aakre, A. Simulating transit priority: Continuous median lane roundabouts. Procedia Comput. Sci. 2017, 109, 849–854. [Google Scholar] [CrossRef]
  8. Tanaboriboon, Y. Toonim Surasak, Impact Study of Bus Lanes in Bangkok. J. Transp. Eng. 1983, 109, 247–256. [Google Scholar] [CrossRef]
  9. Jepson, D.; Ferreira, L. Assessing travel time impacts of measures to enhance bus operations Part 2: Study methodology And main findings. Road Transp. Res. 2000, 9, 4–19. [Google Scholar]
  10. Shu, S.J.; Zhao, J.; Han, Y. Novel Design Method for Bus Approach Lanes with Bus Guidance and Priority Controls for Prioritizing Through and Left-Turn Buses. J. Adv. Transp. 2019, 2019, 1–15. [Google Scholar] [CrossRef]
  11. Chen, Q. An Optimization Model for the Selection of Bus-Only Lanes in a City. PLoS ONE 2015, 10, e0133951. [Google Scholar] [CrossRef] [PubMed]
  12. Xiao, G.N.; Tong, H.L.; Shu, Y.Q. Spatial-temporal load prediction of electric bus charging station based on S2TAT. Int. J. Electr. Power Energy Syst. 2025, 164, 110446. [Google Scholar] [CrossRef]
  13. Wang, W. Practical research on the planning method of public transportation line network. J. Southeast Univ. Nat. Sci. Ed. 1990, 81–88. [Google Scholar]
  14. Luo, Y. Research on the Impact of Bus Lanes on Urban Transportation Network and Optimization Approaches. Ph.D. Thesis, Beijing Jiaotong University, Beijing, China, 2020. [Google Scholar]
  15. Jia, Y.; Feng, S.; Zhao, Z.; Jin, Q. Combinatorial Optimization of Exclusive Bus Lanes and Bus Frequencies in Multi-Modal Transportation Network. J. Transp. Eng. 2012, 138, 1422–1429. [Google Scholar] [CrossRef]
  16. Li, H.R.; Yuan, Z.Z.; Yue, R. Road Right Optimization and Dynamic Control Strategy for Networked Vehicles Borrowing Bus-Only Lanes. J. Traffic Transp. Syst. Eng. Inf. 2024, 24, 63–75. [Google Scholar] [CrossRef]
  17. Zou, Y.K.; Wang, Z.Y.; Wang, G.W. Operational Efficiency of Bus-Only Lanes Based on Bus Operation Status: A Case Study of Chengdu. In Proceedings of the 2024 Annual Conference on Urban Transportation Planning in China, Kunming, China, 20 September 2024. [Google Scholar] [CrossRef]
  18. Liu, F.; Huang, S.; Fang, Z.L. Implementation Effects and Optimization Suggestions for Bus-Only Lanes in the Central Urban Area of Chengdu. Urban Public Transp. 2024, 9, 41–45. [Google Scholar]
  19. Wei, F.P.; Fang, Y.Y.; Yang, J.Y. Research on the Optimization of Bus-Only Lane Configuration Based on Evolutionary Game Theory: A Case Study of the First Ring Road in Chengdu. In Proceedings of the 2024 China Urban Planning Annual Conference, Hefei, China, 7 September 2024. [Google Scholar] [CrossRef]
  20. Shaheen, S.A.; Cohen, A.P. Carsharing and Personal Vehicle Services: Worldwide Market Developments and Emerging Trends. Int. J. Sustain. Transp. 2012, 7, 5–34. [Google Scholar] [CrossRef]
  21. Dong, Y.Q.; Wang, S.F.; Li, L.; Zhang, Z. An empirical study on travel patterns of internet based ride-sharing. Transp. Res. Part C Emerg. Technol. 2018, 86, 1–22. [Google Scholar] [CrossRef]
  22. Santos, D.O.; Xavier, E.C. Taxi and Ride Sharing: A Dynamic Dial-a-Ride Problem with Money as an Incentive. Expert Syst. Appl. 2015, 42, 6728–6737. [Google Scholar] [CrossRef]
  23. Liu, Y.; Bansal, P.; Daziano, R.; Samaranayake, S. A framework to integrate mode choice in the design of mobility-on-demand systems. Transp. Res. Part C Emerg. Technol. 2018, 105, 648–665. [Google Scholar] [CrossRef]
  24. Die, X.; Zhou, Q.; Li, W. Study on Commuting Carpooling Behavior Based on the Mixed Logit Model. Traffic Sci. Eng. 2023, 1–7. [Google Scholar] [CrossRef]
  25. Liang, J.H. Establishment of a Traffic Distribution Model Considering Private Carpooling. Master’s Thesis, Jilin University, Changchun, China, 2024. [Google Scholar]
  26. Zhao, M.Y.; Lv, J.W. Analysis of Factors Influencing Carpooling Willingness Based on Grey Relational Theory. Logist. Eng. Manag. 2023, 135, 111–114. [Google Scholar] [CrossRef]
  27. Bai, T.Z.; Li, X.M.; Sun, Z.Y. Effects of cost adjustment on travel mode choice: Analysis and comparison of different logit models. Transp. Res. Procedia 2017, 25, 2653–2663. [Google Scholar] [CrossRef]
  28. Zhang, Y.J.; Guo, H.W.; Li, C.; Wang, W.H.; Jiang, X.B.; Liu, Y. Which One is More Attractive to Traveler, Taxi or Tailored Taxi? An Empirical Study in China. Procedia Eng. 2016, 137, 867–875. [Google Scholar] [CrossRef]
  29. Chen, J.; Yan, Q.P.; Yang, F.; Hu, J. SEM-Logit Integration Model of Travel Mode Choice Behaviors. J. South China Univ. Technol. (Nat. Sci. Ed.) 2013, 41, 51–57. [Google Scholar] [CrossRef]
  30. Dias, F.F.; Lavieri, P.S.; Garikapati, V.M.; Astroza, S.; Pendyala, R.M.; Bhat, C.R. A behavioral choice model of the use of car-sharing and ride-sourcing services. Transportation 2017, 44, 1307–1323. [Google Scholar] [CrossRef]
  31. Jia, Y.G.; Zhang, K.Y.; Jia, Y.L. A tripartite evolutionary game analysis on China’s waste incineration projects from the perspective of responsible innovation. Energy Rep. 2023, 10, 1169–1181. [Google Scholar] [CrossRef]
  32. Liang, J.S.; Zhang, M.M.; Yin, Z.Q. Tripartite evolutionary game analysis and simulation research on zero-carbon production supervision of marine ranching against a carbon-neutral background. Front. Ecol. Evol. 2023, 11, 1119048. [Google Scholar] [CrossRef]
  33. Yu, C.C. The tripartite evolutionary game of enterprises’ green production strategy with government supervision and people participation. J. Environ. Manag. 2024, 370, 122627. [Google Scholar] [CrossRef]
  34. Li, Q.R.; Wang, Y.Y.; Li, K.; Chen, L.; Wei, Z.L. Evolutionary dynamics of the last mile travel choice. Phys. A Stat. Mech. Its Appl. 2019, 536, 122–555. [Google Scholar] [CrossRef]
  35. Xiao, H.Y.; Wang, X.J. A Study of Trip Model Choice Behavior of Traveler Based on the Evolutionary Game under the Participation of Government. J. Ind. Eng. Eng. Manag. 2010, 24, 115–118. [Google Scholar] [CrossRef]
  36. Xiao, H.Y. A Game Analysis Among Public transport, Shared cars and Private Cars Based on Evolutionary Game Theory. Oper. Res. Manag. Sci. 2019, 28, 35–40. [Google Scholar] [CrossRef]
  37. Chen, X.G.; Zhou, J.; Zhu, Z.T. Evolutionary Game Analysis of the Travel Mode Choice for Urban Travelers. J. Ind. Eng. Eng. Manag. 2009, 23, 140–142. [Google Scholar] [CrossRef]
  38. Cheng, G.Z.; Liu, X.L.; Feng, T.J. Evolutionary game model of urban residents’ travel mode selection from the perspective of behavioral economics. J. Harbin Inst. Technol. 2024, 56, 102. [Google Scholar] [CrossRef]
  39. Li, C.Y.; Lei, A.G.; Wu, X.Y.; Hong, T. Game model of urban public transportation travel mode selection. J. Transp. Sci. Econ. 2022, 24, 18–26. [Google Scholar] [CrossRef]
  40. Yan, K.L.; Shen, D.F.; Wang, H.B.; Mu, Z. Evolutionary study of private car users’ travel mode choice under the influence of shared car supply modes. J. Transp. Eng. Inf. Sci. 2022, 20, 63–72. [Google Scholar] [CrossRef]
  41. Wu, X.H. Research on Evolutionary Trends and Models of Urban Residents’ Low-Carbon Travel Based on Game Theory. Ph.D. Thesis, Jiangsu University, Zhenjiang, China, 2021. [Google Scholar]
  42. Li, R.F. Study on Residents’ Green Travel Behavior Based on Planned Behavior Theory and Game Theory. Master’s Thesis, Wuhan University, Wuhan, China, 2018. [Google Scholar]
  43. Yang, L.P.; Qian, D.L. Evolutionary game analysis on modal shift of car commuters to public transport. J. Beijing Jiaotong Univ. 2014, 38, 151–156. [Google Scholar] [CrossRef]
  44. Zhong, F. Traffic mode choice based on evolutionary game. Technol. Econ. Areas Commun. 2013, 15, 66–67+72. [Google Scholar] [CrossRef]
  45. Wang, J.; Cheng, Y.; Zhang, Z.N. A Game Analysis Between Carsharing and Private Cars Based on Evolutionary Game Theory. J. Transp. Inf. Saf. 2017, 35, 89–93. [Google Scholar] [CrossRef]
  46. Ju, P.; Zhou, J.; Chen, X.G.; Zhang, J.T. An evolutionary game analysis considering the choice of travel mode shared by automobiles. Mod. Manag. 2017, 37, 70–72. [Google Scholar] [CrossRef]
  47. Wang, W.B. Current status and prospects of evolutionary game theory research. Stat. Decis. 2009, 3, 158–161. [Google Scholar]
  48. Ma, S.H.; Zhou, Y.C.; Zhan, Y. Travel Mode Choice Forecasting Based on Nested Logit-cumulative Prospect Theory Model. J. Transp. Syst. Eng. Inf. Technol. 2019, 19, 135–142. [Google Scholar] [CrossRef]
Figure 1. Cumulative prospect theory structure diagram.
Figure 1. Cumulative prospect theory structure diagram.
Sustainability 17 02101 g001
Figure 2. Evolutionary game model logical relationship diagram.
Figure 2. Evolutionary game model logical relationship diagram.
Sustainability 17 02101 g002
Figure 3. Pure strategy equilibrium point.
Figure 3. Pure strategy equilibrium point.
Sustainability 17 02101 g003
Figure 4. Evolution simulation diagram of different perceived values of ride-sharing trips (in a composite diagram, different colors represent different x values). (a) Simulation graph of    x 1 evolution or different values of O; (b) simulation graph of    x 2 evolution for different values of O; (c) simulation graph of    x 3 evolution for different values of O; and (d) simulation graphs of evolution for different values of O.
Figure 4. Evolution simulation diagram of different perceived values of ride-sharing trips (in a composite diagram, different colors represent different x values). (a) Simulation graph of    x 1 evolution or different values of O; (b) simulation graph of    x 2 evolution for different values of O; (c) simulation graph of    x 3 evolution for different values of O; and (d) simulation graphs of evolution for different values of O.
Sustainability 17 02101 g004
Figure 5. Evolution simulation diagram of different bus travel perception values (in a composite diagram, different colors represent different x values). (a) Simulation graph of    x 1 evolution for different values of M ; (b) simulation graph of    x 2 evolution for different values of M ; (c) simulation graph of    x 3 evolution for different values of M ; and (d) simulation graphs of evolution for different values of M .
Figure 5. Evolution simulation diagram of different bus travel perception values (in a composite diagram, different colors represent different x values). (a) Simulation graph of    x 1 evolution for different values of M ; (b) simulation graph of    x 2 evolution for different values of M ; (c) simulation graph of    x 3 evolution for different values of M ; and (d) simulation graphs of evolution for different values of M .
Sustainability 17 02101 g005
Figure 6. Evolution simulation diagram of different individual driving perception values (in a composite diagram, different colors represent different x values). (a) Simulation graph of    x 1 evolution for different values of J ; (b) simulation graph of    x 2 evolution for different values of J ; (c) simulation graph of    x 3 evolution for different values of J ; and (d) simulation graphs of evolution for different values of J .
Figure 6. Evolution simulation diagram of different individual driving perception values (in a composite diagram, different colors represent different x values). (a) Simulation graph of    x 1 evolution for different values of J ; (b) simulation graph of    x 2 evolution for different values of J ; (c) simulation graph of    x 3 evolution for different values of J ; and (d) simulation graphs of evolution for different values of J .
Sustainability 17 02101 g006
Figure 7. Simulation diagram of evolution of different values of b and e (in a composite diagram, different colors represent different x values). (a) Simulation graphs of evolution for different values of b ; and (b) simulation graphs of evolution for different values of e .
Figure 7. Simulation diagram of evolution of different values of b and e (in a composite diagram, different colors represent different x values). (a) Simulation graphs of evolution for different values of b ; and (b) simulation graphs of evolution for different values of e .
Sustainability 17 02101 g007
Figure 8. Simulation diagram of evolution of different values of c and d (in a composite diagram, different colors represent different x values). (a) Simulation graphs of evolution for different values of c ; and (b) simulation graphs of evolution for different values of d .
Figure 8. Simulation diagram of evolution of different values of c and d (in a composite diagram, different colors represent different x values). (a) Simulation graphs of evolution for different values of c ; and (b) simulation graphs of evolution for different values of d .
Sustainability 17 02101 g008
Figure 9. Simulation diagram of evolution of different values of p and q (in a composite diagram, different colors represent different x values). (a) Simulation graphs of evolution for different values of p ; and (b) simulation graphs of evolution for different values of q .
Figure 9. Simulation diagram of evolution of different values of p and q (in a composite diagram, different colors represent different x values). (a) Simulation graphs of evolution for different values of p ; and (b) simulation graphs of evolution for different values of q .
Sustainability 17 02101 g009
Table 1. Model parameter description.
Table 1. Model parameter description.
Variable ParametersVariable Descriptions
M The perceived benefits of choosing public transportation for travelers
O Perceived benefits of choosing carpooling for travelers
J Perceived benefits of choosing to drive alone for travelers
p Excess perceived benefits of carpooling compared to factors like transfers from public transportation and congestion inside the vehicle
b Carpooling occupying dedicated bus lanes affects bus operations, resulting in perceived losses for bus travelers
c Excess benefits of driving alone compared to public transportation in terms of comfort and convenience
d Losses encountered by driving alone due to congestion, which does not align with the shared strategy of dedicated bus lanes
e Losses incurred by bus travelers due to increased walking distance to stations and other related factors
q Losses associated with waiting for carpooling, potential delays, and the social pressure of sharing a ride with others
Table 2. Profit matrix.
Table 2. Profit matrix.
B u s R i d e S h a r i n g   V e h i c l e s D r i v i n g   A l o n e
B u s M , M M b , O + p M e , J + c
R i d e S h a r i n g   V e h i c l e s O + p , M b O , O O q , J + d
D r i v i n g   A l o n e J + c , M e J + d , O q J , J
Table 3. Equilibrium point stability analysis.
Table 3. Equilibrium point stability analysis.
Equilibrium PointEigenvalues
of the Jacobian
Matrix
ConditionStability
Conclusion
(1, 0, 0) M , O M + p , J M + c Asymptotic stability
(0, 1, 0) O , M O b , J O + d Asymptotic stability
(0, 0, 1) J , O J q , M J e , Asymptotic stability
(0, x 21 , x 31 ) M b x 21
+ M e x 31
O x 21 2 J x 31 2
O + J + d q x 21 x 31
λ 21 = λ 31
\Uncertain
( x 11 , 0, x 32 ) O + p x 11
+ O q x 32
M x 11 2 J x 32 2
J + M + e x 11 x 32
λ 22 = λ 32
\Uncertain
( x 12 , x 22 , 0) J + c x 12
+ J + d x 22
M x 12 2 O x 22 2
O + M + p b x 12 x 22
λ 23 = λ 33
\Uncertain
( x 13 , x 23 , x 33 ) λ 11 , λ 24 = λ 34 \Uncertain
Disclaimer/Publisher’s Note: The statements, opinions and data contained in all publications are solely those of the individual author(s) and contributor(s) and not of MDPI and/or the editor(s). MDPI and/or the editor(s) disclaim responsibility for any injury to people or property resulting from any ideas, methods, instructions or products referred to in the content.

Share and Cite

MDPI and ACS Style

Xue, Y.; Bao, G.; Tan, C.; Chen, H.; Liu, J.; He, T.; Qiu, Y.; Zhang, B.; Li, J.; Guan, H. Dynamic Evolutionary Game on Travel Mode Choices Among Buses, Ride-Sharing Vehicles, and Driving Alone in Shared Bus Lane Scenarios. Sustainability 2025, 17, 2101. https://doi.org/10.3390/su17052101

AMA Style

Xue Y, Bao G, Tan C, Chen H, Liu J, He T, Qiu Y, Zhang B, Li J, Guan H. Dynamic Evolutionary Game on Travel Mode Choices Among Buses, Ride-Sharing Vehicles, and Driving Alone in Shared Bus Lane Scenarios. Sustainability. 2025; 17(5):2101. https://doi.org/10.3390/su17052101

Chicago/Turabian Style

Xue, Yunqiang, Guangfa Bao, Caifeng Tan, Haibo Chen, Jiayu Liu, Tong He, Yang Qiu, Boru Zhang, Junying Li, and Hongzhi Guan. 2025. "Dynamic Evolutionary Game on Travel Mode Choices Among Buses, Ride-Sharing Vehicles, and Driving Alone in Shared Bus Lane Scenarios" Sustainability 17, no. 5: 2101. https://doi.org/10.3390/su17052101

APA Style

Xue, Y., Bao, G., Tan, C., Chen, H., Liu, J., He, T., Qiu, Y., Zhang, B., Li, J., & Guan, H. (2025). Dynamic Evolutionary Game on Travel Mode Choices Among Buses, Ride-Sharing Vehicles, and Driving Alone in Shared Bus Lane Scenarios. Sustainability, 17(5), 2101. https://doi.org/10.3390/su17052101

Note that from the first issue of 2016, this journal uses article numbers instead of page numbers. See further details here.

Article Metrics

Back to TopTop