Next Article in Journal
Characterization of Sustainable Food Initiatives: Preliminary Study
Previous Article in Journal
Study on Ecological Water Replenishment Calculation and Intelligent Pump Station Scheduling for Non-Perennial Rivers
 
 
Font Type:
Arial Georgia Verdana
Font Size:
Aa Aa Aa
Line Spacing:
Column Width:
Background:
Article

Mechanical Properties of PVC/TPU Blends Enhanced with a Sustainable Bio-Plasticizer

by
Yitbarek Firew Minale
1,2,
Ivan Gajdoš
3,*,
Pavol Štefčák
3,
Tamás Szabó
1,
Annamaria Polyákné Kovács
1,
Andrea Ádámné Major
4 and
Kálmán Marossy
1
1
Institute of Energy, Ceramics and Polymer Technology, University of Miskolc, 3515 Miskolc-Oghenemaro’s, Hungary
2
Department of Chemical Engineering, Bahir Dar Institute of Technology, Bahir Dar University, Bahir Dar 6000, Ethiopia
3
Institute of Technology and Material Engineering, Faculty of Mechanical Engineering, Technical University of Košice, 04001 Košice, Slovakia
4
Department of Innovative Vehicles and Materials, Johnvon Neumann University, 6000 Kecskemét, Hungary
*
Author to whom correspondence should be addressed.
Sustainability 2025, 17(5), 2033; https://doi.org/10.3390/su17052033
Submission received: 27 January 2025 / Revised: 21 February 2025 / Accepted: 25 February 2025 / Published: 26 February 2025

Abstract

The development of sustainable and mechanically versatile polymeric materials is essential to meet the growing demand for eco-friendly, high-performance products. This study investigates the mechanical properties of blends comprising polyvinyl chloride (PVC), thermoplastic polyurethane (TPU), and glycerol diacetate monolaurate, a bio-based plasticizer derived from waste cooking oil, addressing the underexplored combined effects of these components. By varying the proportions, the blends’ tensile strength, elasticity, elongation at break, and hardness were tailored for diverse applications. Incorporating the bio-plasticizer significantly enhanced the PVC’s flexibility and elongation at break, while reducing its tensile strength and rigidity. The addition of TPU further enhanced the elasticity, toughness, and resilience, with the final properties governed by synergistic interactions between PVC’s rigidity, TPU’s elasticity, and the plasticizer’s softening effects. Dynamic mechanical analysis (DMA) confirmed that the bio-plasticizer enhanced the compatibility between the PVC and TPU, leading to ternary PVC/TPU/bio-plasticizer blends with an improved elasticity and elongation at break, without a significant loss in tensile strength. These blends exhibited a broad range of tunable properties, enabling applications from flexible films to impact-resistant components. Overall, these findings highlight the potential of PVC/TPU/bio-plasticizer systems to deliver high-performance materials with enhanced sustainability. This work offers valuable insights for developing greener polymer systems and advancing the creation of tailored materials for diverse industrial applications in alignment with global sustainability goals.

1. Introduction

Polymer blends represent an innovative class of materials that combine two or more polymers, resulting in a synergistic enhancement of properties that cannot be achieved by each component alone [1,2]. By carefully adjusting blend compositions, it is possible to design materials with enhanced mechanical strength, elasticity, flexibility, thermal stability, or chemical resistance. These versatile materials find a broad range of applications across industries such as automotive, construction, smart textiles, packaging, and medical devices [3,4,5,6].
Polyvinyl chloride (PVC) and thermoplastic polyurethane (TPU) are among the most widely used polymers in industrial applications [7,8]. PVC is known for its high mechanical strength, rigidity, chemical resistance, and cost-effectiveness. However, its inherent brittleness limits its flexibility and processability, necessitating the addition of plasticizers to enhance these properties [7,9]. PVC is widely used in the construction industry for applications such as piping and flooring; however, its lack of elasticity makes it unsuitable for products subjected to dynamic stresses. [10,11]. On the other hand, TPU excels in elasticity, abrasion resistance, and toughness, making it ideal for applications where flexibility and resilience are essential [12]. By blending PVC with TPU, it is possible to combine the rigidity and tensile strength of PVC with the elasticity and toughness of TPU, resulting in materials that meet the demands of more challenging applications.
Plasticizers enhance polymers’ flexibility and processability by reducing intermolecular forces, lowering the glass transition temperature ( T g ), and increasing chain mobility [13,14]. This effect is particularly important in polymer blends, where plasticizers improve compatibility by reducing interfacial tension and promoting phase dispersion, thereby facilitating more effective polymer–polymer interactions [15,16]. Beyond conventional plasticizers, recent studies have investigated eco-friendly compatibilizers, such as melanin-like nanoparticles (MNPs) and metal–organic frameworks (MOFs), which have shown high potential in improving phase compatibility in various polymer blends, significantly enhancing properties such as toughness, strength, and elongation at break [17,18]. These developments highlight the growing interest in reducing environmental impacts while improving polymer blend performance.
Phthalate-based compounds are the most used plasticizers due to their cost-effectiveness and efficient plasticizing properties [19,20]. However, their widespread use is associated with significant health and environmental concerns [21,22]. Since these plasticizers are physically embedded rather than chemically bonded within the polymer matrix, they are prone to migration, leaching, and volatilization, particularly under mechanical stress or elevated temperatures, such as those experienced in cooking gloves or when microwaving food in plastic containers [20,23,24,25]. Such a migration can lead to the contamination of food, water, and consumer products, contributing to environmental pollution and posing serious health risks, including endocrine disruption and reproductive toxicity [26,27,28]. Despite increasing regulatory restrictions, phthalates remain prevalent in many applications due to the lack of widely adopted alternatives [29]. These compounds are still commonly found in children’s toys, vinyl flooring, and medical devices, where they present ongoing public health risks [30,31]. The migration of phthalates from everyday items emphasizes the urgent need for safer, more sustainable plasticizer alternatives to mitigate these health and environmental risks [19,32].
In response to growing concerns about the environmental and health risks associated with conventional plasticizers, some researchers have synthesized and applied bio-plasticizers to PVC, including citrate esters [33], epoxy soybean oil [34], and castor oil [35]. However, the exploration and utilization of alternative bio-plasticizers remain essential for addressing these ongoing concerns. In this context, this research investigates glycerol diacetate monolaurate, a bio-plasticizer derived from waste cooking oil (WCO) through transesterification and acetylation. The adoption of this bio-plasticizer aligns with the principles of the circular economy, addressing critical challenges in waste management by repurposing discarded waste streams and reducing dependence on toxic, non-renewable plasticizers [36].
In addition to its renewable origin, glycerol diacetate monolaurate is sourced from abundant and largely underutilized waste streams, positioning it as a highly sustainable option. Annually, approximately 15 million tons of WCO is generated worldwide, with more than 60% of this waste being improperly disposed of, leading to significant ecological harm and economic loss [37,38]. The improper disposal of WCO contributes to pollution and can result in long-term environmental consequences, such as soil and water contamination [39]. By utilizing WCO-derived glycerol diacetate monolaurate, this bio-plasticizer offers a dual solution: it reduces waste, making use of a material that would otherwise be discarded, while simultaneously mitigating the environmental and health risks associated with phthalate-based plasticizers.
Despite extensive research highlighting the toxicity of phthalate-based plasticizers, their widespread use persists, with limited progress in the adoption of safer alternatives [40,41,42,43]. Although some studies have explored the properties of PVC/plasticizer and PVC/polyurethane blends [44,45], there remains a noticeable gap in research on the incorporation of bio-plasticizers in PVC and TPU blends.
This study investigates the development of sustainable polymeric materials using PVC and TPU as base polymers and glycerol diacetate monolaurate as a bio-plasticizer. The research focuses on key mechanical properties such as tensile strength, elasticity, elongation at break, and hardness, while dynamic mechanical analysis (DMA) is used to assess blend compatibility and phase behavior. The results highlight significant improvements in the blends’ mechanical performance, providing a wide range of tunable properties suitable for diverse applications.

2. Materials and Methods

2.1. Materials

The polyvinyl chloride (PVC) with a K-value of 70 (suspension type) and polyester-based thermoplastic polyurethane (TPU) used in this study were obtained from BorsodChem Zrt, Kazincbarcika, Hungary. The PVC was pre-mixed with commercial-grade additives as detailed in Table 1. A low-molecular-weight bio-plasticizer, glycerol diacetate monolaurate, derived from waste cooking oil, was sourced from Rikevita Fine Chemical & Food Industry, Shanghai, China. The molecular structure of glycerol diacetate monolaurate is shown in Figure 1. A summary of the materials, including their key properties and sources, is provided in Table 2.

2.2. Preparation of the Blends

The TPU and PVC base mixtures were first placed into the mixing vessel of a 10 L MTI laboratory mixer and blended at 2500 rpm until the temperature reached 80 °C. At this point, the bio-plasticizer was gradually added to ensure proper dispersion. As the temperature rose to 125 °C, the mixing speed was reduced to 400 rpm, and the cooling water tap was opened to maintain the desired temperature. Once the temperature decreased to 40 °C, the resulting dry blend (a slightly agglomerated powder) was discharged into a paper bag for further processing.
The mixing ratios of PVC, TPU, and bio-plasticizer are presented in Table 3. The dry blend was then processed using an electrically heated Schwabenthan 150U laboratory roll mill, operating at a roll speed ratio of 1:1 and a rotation speed of 21 rpm. The roll milling was carried out at 175 °C, which softened the polymer matrix, facilitating efficient blending through continuous mechanical shearing. To ensure homogeneity, the material was systematically cut, rotated, and repositioned between the heated rolls, enhancing the uniform distribution of the polymers and bio-plasticizer.
The roll-milled sheets, with thicknesses ranging from 0.4 to 0.6 mm, were subsequently compression molded at 175 °C under a controlled pressure of 10 MPa to produce smooth, compact, and uniform sheets for further characterization. Finally, the samples were cooled to room temperature using ambient air to stabilize their structure and properties.

2.3. Sample Preparation for Tensile Test

Tensile test specimens were prepared from compression-molded sheets of the polymer blends using a precision die cutter (CTC-001162) to create dumbbell-shaped samples. The geometry followed ASTM D638 Type IV specifications, with dimensions including a gauge length of 33 mm, a gauge width of 6 mm, and a thickness of 0.6 mm. The dumbbell shape was selected to localize mechanical deformation within the uniform gauge section, minimizing stress concentrations and slippage at the grips to ensure reliable and reproducible tensile testing. Figure 2 shows the prepared tensile test samples.

2.4. Dynamic Mechanical Analysis (DMA)

Dynamic mechanical analysis (DMA) of the polymer blends was conducted using a Metravib DMA 25 (France) in tensile mode. Samples with dimensions of 30 mm (length) × 15 mm (width) × 0.6 mm (thickness) were tested over a temperature range of −30 °C to 120 °C, with a heating rate of 2 °C/min. The measurements were performed at a frequency of 10 Hz, with a static amplitude of 0.5 mm and a dynamic amplitude of 0.1 mm. Liquid nitrogen was employed as the cooling medium to achieve the desired low-temperature conditions.

2.5. Tensile Testing

Tensile tests were performed on pure polymers and their blends using an INSTRON universal testing machine with a 1 kN load cell. Tests were conducted at ambient temperature with a crosshead speed of 10 mm/min. Dumbbell-shaped specimens were mounted in grips, and a uniaxial tensile load was applied along the longitudinal axis until fracture. Load was monitored with a load cell, and elongation was tracked using an extensometer, allowing the determination of tensile strength, elongation at break, and Young’s modulus.

2.6. Hardness Measurement

The hardness of the polymers and their blends was assessed through indentation testing, which measures the penetration of a specifically designed indenter under a defined load. To evaluate Shore A hardness, a 5–10 mm steel cone indenter was employed, applying a force of 10 N. For Shore D hardness, a pin-shaped cone indenter with a 50 N force was used to assess the materials’ resistance to indentation. Each sample was placed on a hard, flat surface, ensuring a small gap between the sample and the indenter to avoid unintended surface contact before testing. The indentation process involved applying the load perpendicularly to the specimen surface for a consistent duration of 3 s. The hardness value was determined by averaging measurements taken at five different positions across each sample, ensuring a comprehensive and reliable assessment of the material’s surface hardness.
Shore A and Shore D hardness measurements were conducted on all samples to ensure consistency and enable direct comparison across formulations. Although Shore A is more suited for softer materials and Shore D for rigid ones, using both scales provides complementary insights into hardness variations across the range of material properties.

3. Results and Discussion

3.1. Dynamic Mechanical Analysis of Polymer Blends

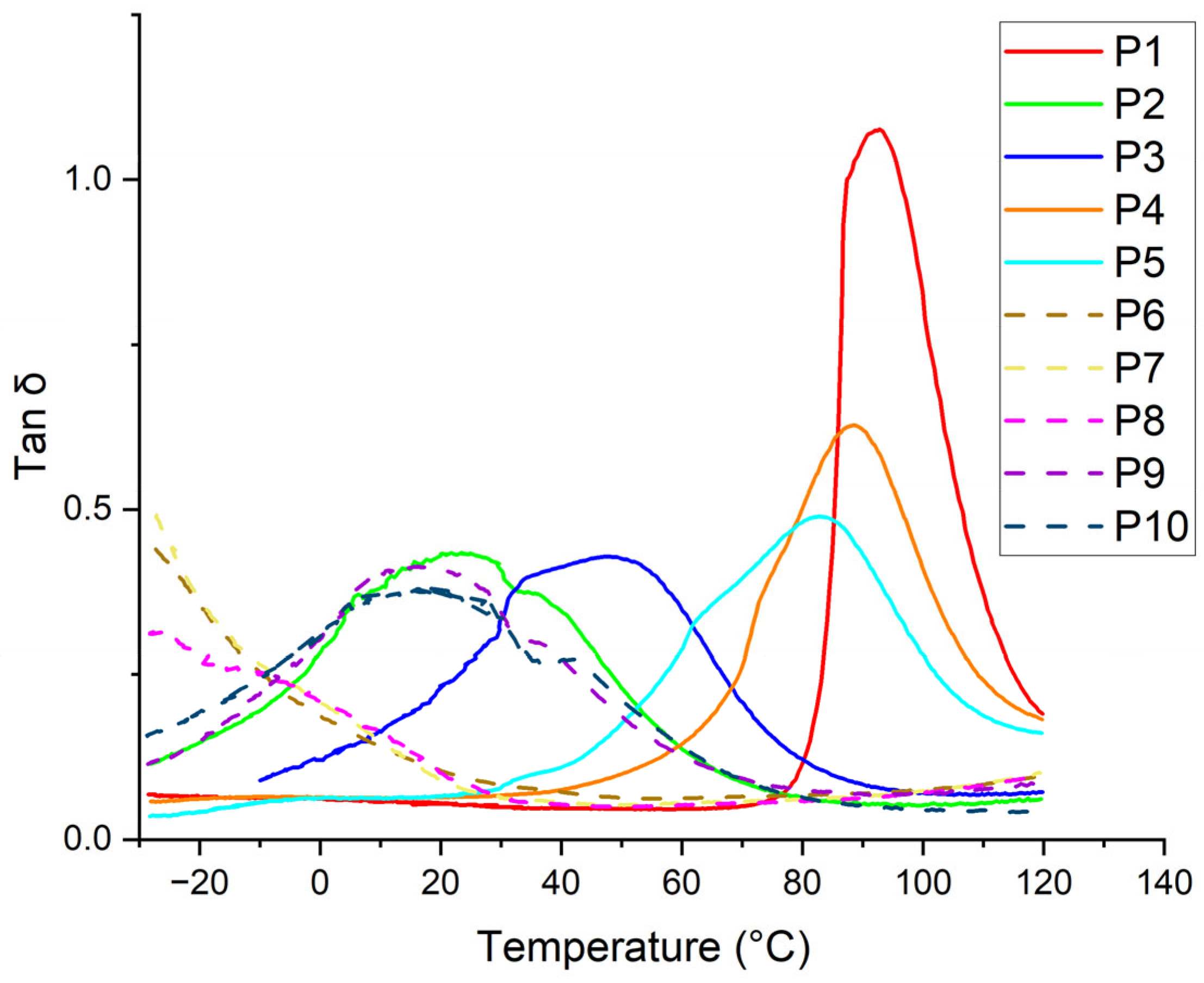
Dynamic mechanical analysis (DMA) provides valuable insights into the damping behavior, molecular mobility, and phase interactions of polymer blends through the tan δ curve. Figure 3 illustrates the tan δ curves of various polymer blend formulations as a function of temperature, where the glass transition temperature ( T g ) is identified at the peak of tan δ ( ( t a n δ ) m a x ).
For pure PVC (P1), a single tan δ peak is observed at 92.8 °C, indicating a well-defined glass transition. The incorporation of the bio-plasticizer significantly lowers the T g , confirming effective plasticization. Particularly, PVC/bio-plasticizer formulations at 100/30 (P3) and 100/50 (P2) exhibit T g reductions to 47.8 °C and 23.5 °C, respectively. This pronounced decrease demonstrates the strong compatibility of the bio-plasticizer with PVC, as it enhances chain mobility by weakening intermolecular interactions.
Incorporating TPU into the PVC matrix also leads to a reduction in T g , though to a lesser extent. In the PVC/TPU blends (100/30, P4 and 100/50, P5), the ( t a n δ ) m a x shifts to 88.5 °C and 82.2 °C, respectively. The absence of a distinct secondary transition corresponding to pure PVC indicates strong intermolecular interactions and significant phase mixing between PVC and TPU. However, the appearance of low-temperature shoulders indicates partial phase separation, likely due to the segregation of TPU’s soft apolar segments into a distinct phase.
For pure TPU (P6) and TPU/bio-plasticizer blends (P7, P8), relaxation peaks occur below −30 °C, beyond the tested temperature range. Nevertheless, their influence on blend compatibility becomes evident in ternary systems. In PVC/TPU/bio-plasticizer blends (P9, P10), ( t a n δ ) m a x shifts further to 16.6 °C (P9) and 19.0 °C (P10), accompanied by the disappearance of the low-temperature shoulder. This behavior suggests that the bio-plasticizer improves compatibility between the PVC and TPU by facilitating better molecular interactions and reducing phase separation.

3.2. Tensile Properties of Polymer Blends

The tensile properties of the polymer blends were investigated across varying proportions of PVC, TPU, and bio-plasticizer and to assess their influence on tensile strength, elongation at break, and Young’s modulus. The results are summarized in Table 4, and Figure 4 illustrates the stress–strain curves for the different blend compositions.

3.2.1. Tensile Strength

Tensile strength is a key mechanical property that represents the maximum stress a material can withstand before failure under tensile loading [46]. Figure 5 shows variations in tensile strength across different compositions.
Pure PVC (P1) exhibited the highest tensile strength of the samples containing PVC, 52.2 MPa. This high value is characteristic of rigid PVC, which is known for its strong intermolecular forces and relatively stiff polymer chains, contributing to its exceptional load-bearing capacity and structural rigidity [7]. The elevated tensile strength of P1 correlates with its high glass transition temperature ( T g ) of 92.8 °C, as revealed by the DMA results, where restricted molecular mobility further enhances its mechanical robustness.
Incorporating 50 phr bio-plasticizer into PVC (P2) resulted in a significant reduction to 20.8 MPa. This decline is attributed to the bio-plasticizer’s ability to increase chain mobility and disrupt intermolecular cohesion within the PVC matrix, thereby enhancing flexibility, while reducing rigidity. The corresponding decrease in T g to 23.5 °C confirms the plasticization effect, where diminished intermolecular forces result in a lower tensile strength. Such bio-plasticized PVC is well suited to applications requiring high flexibility and resistance to bending under minimal structural loads, such as flexible tubing, cable insulation, and soft packaging.
Reducing the bio-plasticizer content to 30 phr (P3) improved the tensile strength to 44.3 MPa, indicating a more favorable balance between flexibility and mechanical strength. The T g shift to 47.8 °C supports this observation, reflecting partial retention of the polymer’s structural integrity. This formulation is particularly suited for applications demanding moderate flexibility combined with adequate strength, including medical-grade hoses and flexible flooring. These results emphasize the importance of optimizing the plasticizer concentration to tailor mechanical properties for specific end-use requirements.
The addition of TPU introduced further tunability to the mechanical properties. The PVC/TPU (100/30) blend (P4) exhibited a tensile strength of 43.3 MPa. The DMA curve for P4 (Figure 3) displayed a ( t a n δ ) m a x at 88.5 °C, accompanied by a subtle low-temperature shoulder, indicating significant polymer–polymer interactions with minor phase separation. This partial compatibility enables TPU to impart toughness and flexibility, while PVC maintains its overall structural stability. Consequently, this composition is well-suited for applications requiring both resilience and moderate strength, such as automotive trim and protective films. Increasing the TPU content to 50 phr (P5), however, resulted in a decrease in tensile strength to 27.8 MPa. The ( t a n δ ) m a x shifted to 82.2 °C with a more pronounced low-temperature shoulder, suggesting increased phase separation at higher TPU concentrations. Such a separation reduces the effectiveness of stress transfer between the phases, thereby diminishing the tensile strength.
Pure TPU (P6) exhibited a tensile strength of 52.9 MPa, comparable to that of pure PVC (P1). This high strength arises from TPU’s segmented block copolymer structure, where hard segments confer mechanical strength while soft segments provide elasticity [8]. Incorporating the bio-plasticizer into TPU led to a consistent reduction in tensile strength with increasing plasticizer content. The TPU/bio-plasticizer (100/10) blend (P7) retained a tensile strength of 49.9 MPa, while the 100/20 formulation (P8) exhibited a further decrease to 34.2 MPa. This trend underscores the bio-plasticizer’s role in enhancing chain mobility and flexibility, which comes at the cost of reduced mechanical strength.
The ternary blends of PVC, TPU, and the bio-plasticizer (P9 and P10) exhibited a well-balanced combination of mechanical properties. In these systems, TPU contributed flexibility and elasticity, while PVC provided rigidity and structural integrity. The addition of the bio-plasticizer not only softened the material but, as confirmed by the DMA results, also enhanced the compatibility between the PVC and TPU. This improved compatibility allowed for a significant increase in elasticity and flexibility compared to binary PVC/TPU and PVC/bio-plasticizer blends, while maintaining moderate tensile strength. Notably, these ternary blends effectively addressed a common limitation of plasticized PVC, where increased flexibility often comes at the expense of tensile strength. As a result, these ternary blends hold strong potential for applications requiring a combination of flexibility, elasticity, and mechanical durability.

3.2.2. Elasticity

Young’s modulus, or the modulus of elasticity, characterizes a material’s stiffness and resistance to elastic deformation under tensile stress. A higher Young’s modulus indicates greater stiffness, whereas lower values reflect increased elasticity [47]. Figure 5 illustrates the variations in Young’s modulus across different blend compositions.
As shown in the stress–strain curve (Figure 4), pure PVC (P1) exhibits a steep initial slope, indicative of its high stiffness. This corresponds to its high Young’s modulus of 2768 MPa, which can be attributed to strong intermolecular forces and efficient chain packing facilitated by the high polarity of carbon–chlorine bonds along the PVC backbone. Such rigidity is characteristic of rigid PVC, making it suitable for applications requiring structural stability, such as pipes and window profiles [7]. The DMA results (Figure 4) further support this observation, as pure PVC exhibits a single, sharp tan δ peak at 92.8 °C, signifying its rigid molecular structure.
Incorporating 50 phr of bio-based plasticizer (P2) significantly reduced the Young’s modulus to 5.9 MPa, reflecting a substantial loss of stiffness due to the plasticizer’s softening effect. This sharp decrease arises from increased free volume and diminished intermolecular cohesion, reducing the material’s rigidity. Reducing the bio-plasticizer concentration to 30 phr (P3) partially restored the modulus to 94 MPa, balancing plasticization with structural integrity. This is evident in the stress–strain curves (Figure 4), where P3 exhibits an intermediate slope between rigid PVC (P1) and fully plasticized PVC (P2), signifying retained cohesion among the PVC chains. This balance makes P3 suitable for applications requiring moderate flexibility and stiffness, such as medical-grade films and semi-flexible tubing.
Blends incorporating TPU exhibited significantly lower Young’s modulus values compared to pure PVC, underscoring TPU’s intrinsically elastomeric nature. Pure TPU (P6) demonstrated a Young’s modulus of 8.2 MPa, highlighting its high elasticity and flexibility. In PVC/TPU blends, modulus values varied with TPU concentrations. The PVC/TPU (100/30) blend (P4) retained a relatively high modulus of 987.2 MPa, indicating that while TPU introduces elasticity, the PVC maintains a sufficient structural rigidity. This balance is reflected in the initial slope of the stress–strain curve (Figure 4) for P4, which is notably steeper than TPU-rich compositions, showcasing a desirable combination of stiffness and flexibility. Increasing the TPU content to 50 phr (P5) further reduced the modulus to 457.5 MPa as the elastomeric characteristics of TPU became more dominant.
Blending TPU with the bio-plasticizer further decreased the Young’s modulus, reflecting enhanced elasticity. For instance, the TPU/bio-plasticizer (100/10) blend (P7) exhibited a modulus of 6.9 MPa, while increasing the bio-plasticizer content to 20 phr (P8) reduced the modulus further to 3.5 MPa. This trend can be attributed to the plasticizer’s interaction with the hard segments of TPU, which reduces segmental rigidity and increases free volume, thereby enhancing chain mobility. As depicted in the stress–strain curves (Figure 4), these compositions display the lowest initial slopes, underscoring their improved stretchability and elasticity. These findings highlight the effectiveness of the bio-plasticizer in significantly enhancing TPU’s flexibility, making such formulations ideal for soft and stretchable applications.
The ternary blends (P9 and P10), comprising PVC, TPU, and the bio-plasticizer, exhibited Young’s modulus values of 4.9 MPa and 27.7 MPa, respectively. These blends demonstrate a synergistic combination of TPU’s elasticity and the bio-plasticizer’s ability to enhance chain mobility across all phases, resulting in well-balanced mechanical performance. While TPU and plasticized TPU inherently offer greater elasticity, the ternary blends achieve comparable enhancements in mechanical performance while utilizing the more cost-effective PVC matrix. This demonstrates a significant advantage in optimizing material properties without relying solely on higher-cost elastomers. Notably, the P9 and P10 compositions achieve a remarkable increase in elasticity without substantial sacrifices in tensile strength compared to binary PVC/bio-plasticizer and PVC/TPU blends. This balance of mechanical properties makes the ternary blends highly suitable for demanding applications requiring enhanced flexibility, toughness, and moderate mechanical strength, such as protective coatings, impact-resistant enclosures, and flexible seals or gaskets.

3.2.3. Elongation at Break

Elongation at break measures the extent to which a material can stretch before failure, serving as an indicator of its flexibility and ductility [46]. Figure 6 illustrates the variations in elongation at break across different compositions.
Unmodified PVC (P1) exhibited an elongation at break of 86%, reflecting its inherent rigidity and limited stretchability. During tensile testing, necking was observed in P1 (Figure 7a), indicating localized deformation preceding failure. Such behavior is typical of rigid thermoplastics, where restricted chain mobility leads to yielding concentrated in a specific region before the ultimate fracture [47].
The addition of 50 phr bio-based plasticizer (P2) resulted in a substantial increase in elongation at break, reaching 310%. This significant enhancement underscores the plasticizer’s effectiveness in increasing chain mobility and reducing intermolecular forces. Unlike unmodified PVC, P2 exhibited uniform deformation during tensile testing (Figure 7b), with no evidence of necking. This homogeneous stretching behavior indicates that the bio-plasticizer disrupts inter-chain interactions and increases free volume within the polymer matrix, allowing polymer chains to slide past one another more freely under tensile stress. Such uniform deformation is particularly advantageous for applications requiring consistent stretchability, such as flexible films, soft packaging, and pliable components.
Reducing the bio-plasticizer content to 30 phr (P3) still maintained a moderate elongation of 151%, although lower than that of P2. This suggests that, while lower plasticizer concentrations reduce chain mobility to some extent, they still result in substantial flexibility compared to pure PVC. The absence of necking in P3 further supports the bio-plasticizer’s role in promoting uniform deformation, underscoring its potential in transforming rigid PVC into a more pliable material suitable for high-stretch applications.
The PVC/TPU blends displayed varying elongation behaviors depending on the TPU content. The PVC/TPU (100/30) blend (P4) exhibited an elongation at break of 225%, indicating significantly enhanced flexibility relative to pure PVC, although still lower than the bio-plasticized formulations. Increasing the TPU content to 50 phr (P5) reduced the elongation to 194%. This decrease is attributed to increased phase separation, as indicated by the DMA results, which show more pronounced incompatibility at higher TPU concentrations. Such a phase separation impairs stress transfer between the phases, reducing the overall ductility. These findings suggest that while TPU improves elongation, excessive amounts can disrupt blend homogeneity, limiting further stretchability improvements.
Pure TPU (P6) exhibited a remarkable elongation of 610%, reflecting its highly flexible and elastic nature. This exceptional stretchability can be attributed to the segmented morphology of TPU, where soft segments facilitate extensive deformation, while hard segments maintain structural integrity [12].
Blends incorporating both TPU and bio-plasticizer (P7 and P8) demonstrated the combined effects of plasticization and elastomeric reinforcement. In P7 (TPU/bio-plasticizer, 100/10), elongation reached 615%, showing the added effect of the bio-plasticizer. As the bio-plasticizer content increased in P8 (TPU/bio-plasticizer, 100/20), elongation slightly increased to 620%, indicating enhanced chain mobility and a balanced interaction between TPU and the bio-plasticizer.
For the ternary blends (P9 and P10), the results highlighted the combined contributions of PVC, TPU, and bio-plasticizer. P9 (PVC/TPU/bio-plasticizer, 100/20/50) exhibited an elongation of 360%, while P10 (PVC/TPU/bio-plasticizer, 100/10/50) showed a reduction to 250%. These results suggest a shift toward plasticization-dominated systems, where the contribution of TPU decreases as its concentration drops.
Another noteworthy observation during tensile testing was the transition of all samples from transparency to a white appearance as deformation progressed. This phenomenon is attributed to stress-induced crazing or the formation of microvoids within the polymer matrix, which scatter light and cause opacity [47]. In rigid PVC (P1), the whitening was most pronounced in the necking region (Figure 7a), where localized deformation resulted in a high density of crazing. In contrast, the plasticized, TPU-containing, and ternary blends exhibited a more uniform whitening pattern (Figure 7b), reflecting their homogeneous deformation behavior. This even distribution of whitened regions suggests a more uniform stress distribution across the material, consistent with the improved chain mobility and enhanced compatibility imparted by the bio-plasticizer and TPU. While this stress-induced whitening does not directly affect mechanical properties, it offers potential as a visual indicator of material strain. Monitoring this optical change can provide valuable insights into the structural integrity and deformation limits of materials in practical applications, particularly in fields where visual strain detection is advantageous, such as in flexible packaging, structural components, and wearable devices.

3.3. Hardness

Hardness represents a material’s resistance to surface deformation or indentation under an applied force [47]. Both Shore A and Shore D hardness scales were utilized to provide a comprehensive comparison across a broad hardness range. Shore A was particularly effective in assessing softer materials, such as plasticized PVC blends, while Shore D provided meaningful insights into the mechanical properties of stiffer materials, such as unmodified PVC. The measured Shore A and Shore D hardness values for the various blend compositions are summarized in Table 5 and depicted in Figure 8.
Unmodified PVC exhibited the highest hardness, which is attributed to its rigid molecular structure and strong intermolecular interactions that resist deformation. In contrast, the incorporation of the bio-plasticizer led to a significant reduction in hardness. This softening effect results from the bio-plasticizer acting as a molecular lubricant, increasing free volume and chain mobility within the PVC matrix. This observation is consistent with the DMA results, which revealed a reduction in the glass transition temperature ( T g ) upon plasticization, further confirming the material’s enhanced flexibility.
Blending TPU with PVC introduced notable changes in hardness. TPU’s segmented copolymer structure, comprising flexible soft segments and reinforcing hard segments, imparts a combination of resilience and deformability. In PVC/TPU blends, TPU effectively balances the rigidity of PVC with its own elastic flexibility, producing materials with an intermediate hardness. This tunable hardness profile enhances the versatility of PVC/TPU blends, making them well suited for applications that demand both softness and mechanical durability, such as impact-resistant components and soft-touch surfaces.
Blends containing both TPU and the bio-plasticizer (binary and ternary) showed a progressive decrease in hardness with increasing bio-plasticizer content. The synergistic effect of TPU’s elasticity and the bio-plasticizer’s softening capability created a broad spectrum of tunable hardness values, providing greater design flexibility for diverse engineering applications.

4. Conclusions

This study provides comprehensive insights into the mechanical properties of PVC, TPU, and their blends with a bio-based plasticizer, highlighting how compositional variations influence the overall material performance. The results demonstrate that both the bio-plasticizer content and TPU incorporation are key factors in modifying the mechanical properties of PVC-based blends, offering a versatile approach for tailoring material characteristics to meet specific application requirements.
The bio-plasticizer significantly enhanced PVC’s flexibility and elongation by disrupting intermolecular interactions, as evidenced by the marked reduction in the glass transition temperature ( T g ). This plasticization effect makes PVC more suitable for applications demanding increased stretchability and flexibility.
The addition of TPU further improved elasticity, toughness, and elongation at break. The DMA results revealed strong intermolecular interactions and segmental-level compatibility between PVC and TPU, underscoring the potential of these blends to offer both structural stability and resilience. This synergistic effect positions PVC/TPU blends as promising candidates for demanding applications, including automotive interiors, impact-resistant components, and soft-touch materials.
Notably, the bio-plasticizer not only softened the overall material but also enhanced the compatibility between PVC and TPU, as confirmed by DMA analysis. The ternary blends of PVC/TPU/bio-plasticizer exhibited a remarkable increase in elasticity and elongation at break, without significantly compromising tensile strength relative to their binary counterparts (PVC/bio-plasticizer and PVC/TPU blends). These improvements make ternary blends highly suitable for applications requiring enhanced elasticity, flexibility, and mechanical durability.
Furthermore, this study underscores the potential of the bio-based plasticizer in the development of sustainable polymeric materials, addressing the increasing demand for environmentally friendly alternatives. By optimizing the ratios of PVC, TPU, and bio-plasticizer, the mechanical properties of these blends can be precisely tailored to meet the diverse needs of various industries. This research thus offers a viable pathway toward designing high-performance, eco-conscious materials, marking a significant step forward in the pursuit of greener innovations in polymer technology.

Author Contributions

Conceptualization, Y.F.M., I.G. and K.M.; methodology, Y.F.M., I.G., T.S. and K.M.; validation, I.G., T.S., A.Á.M. and K.M.; formal analysis, Y.F.M., I.G. and K.M.; investigation, Y.F.M., I.G., T.S. and K.M.; resources, I.G., T.S. and K.M.; data curation, Y.F.M., P.Š, T.S. and A.P.K.; writing—original draft preparation, Y.F.M., K.M. and I.G; writing—review and editing, Y.F.M., I.G., P.Š., T.S., A.P.K., A.Á.M. and K.M.; visualization, Y.F.M., P.Š. and A.P.K.; supervision, A.Á.M. and K.M.; project administration, I.G. and K.M.; funding acquisition, I.G. All authors have read and agreed to the published version of the manuscript.

Funding

This research received no external funding.

Institutional Review Board Statement

Not applicable.

Informed Consent Statement

Not applicable.

Data Availability Statement

The research data are available upon request to the corresponding author.

Acknowledgments

This research was conducted at the University of Miskolc and the Technical University of Kosice. The authors gratefully acknowledge the support provided by the National Scholarship Program of the Slovak Republic. They also extend their appreciation to BorsodChem for supplying the raw materials necessary for this study. This research was supported by the Fellowships for excellent researchers R2-R4, No. 09I03-03-V04, Research on large-scale additive manufacturing based on FGF technology using industrial robots -VRAV. This research was supported by the European Union’s programme for research and innovation Horizon Europe under the Marie Skłodowska-Curie Action grant agreement No 101129698–PROMATAI– Horizon–MSCA–2022–SE–01. Views and opinions expressed are however those of the author(s) only and do not necessarily reflect those of the European Union or European Research Executive Agency. Neither the European Union nor the granting authority can be held responsible for them.

Conflicts of Interest

The authors declare no conflicts of interest.

References

  1. Robeson, L. Historical perspective of advances in the science and technology of polymer blends. Polymers 2014, 6, 1251–1265. [Google Scholar] [CrossRef]
  2. Chen, Z.; Li, T.; Yang, Y.; Liu, X.; Lv, R. Mechanical and tribological properties of PA/PPS blends. Wear 2004, 257, 696–707. [Google Scholar] [CrossRef]
  3. Siracusa, V.; Karpova, S.; Olkhov, A.; Zhulkina, A.; Kosenko, R.; Iordanskii, A. Gas transport phenomena and polymer dynamics in PHB/PLA blend films as potential packaging materials. Polymers 2020, 12, 647. [Google Scholar] [CrossRef] [PubMed]
  4. Muller, J.; González-Martínez, C.; Chiralt, A. Combination of poly (lactic) acid and starch for biodegradable food packaging. Materials 2017, 10, 952. [Google Scholar] [CrossRef]
  5. Murthe, S.S.; Sreekantan, S.; Mydin, R.B.S. Study on the physical, thermal and mechanical properties of SEBS/PP (styrene-ethylene-butylene-styrene/polypropylene) blend as a medical fluid bag. Polymers 2022, 14, 3267. [Google Scholar] [CrossRef]
  6. Hasan, K.F.; Chen, J.; Chen, S.; Lin, K.; Wong, M.Y.; Liang, L.; Zhu, Y.; Pan, A.; Minale, Y.F.; Ho, T.C. Advanced Bioinspired Personal Thermoregulation Textiles for Outdoor Radiative Cooling. ACS Appl. Mater. Interfaces 2025. [Google Scholar] [CrossRef]
  7. Lewandowski, K.; Skórczewska, K. A brief review of poly (vinyl chloride)(PVC) recycling. Polymers 2022, 14, 3035. [Google Scholar] [CrossRef]
  8. Rajput, B.S.; Hai, T.A.P.; Burkart, M.D. High bio-content thermoplastic polyurethanes from azelaic acid. Molecules 2022, 27, 4885. [Google Scholar] [CrossRef]
  9. Kollár, M.; Zsoldos, G. Investigating poly-(vinyl-chloride)-polyethylene blends by thermal methods. J. Therm. Anal. Calorim. 2012, 107, 645–650. [Google Scholar] [CrossRef]
  10. Tomaszewska, J.; Wieczorek, M.; Skórczewska, K.; Klapiszewska, I.; Lewandowski, K.; Klapiszewski, Ł. Preparation, characterization and Tailoring properties of poly (vinyl chloride) composites with the addition of functional halloysite–lignin hybrid materials. Materials 2022, 15, 8102. [Google Scholar] [CrossRef]
  11. Wu, R.; Liu, K.; Zhang, P.; Zeng, C.; Xu, Y.; Mei, J. Structural Stability and Mechanical Analysis of PVC Pipe Jacking under Axial Force. Buildings 2024, 14, 1884. [Google Scholar] [CrossRef]
  12. Somdee, P.; Lassú-Kuknyó, T.; Kónya, C.; Szabó, T.; Marossy, K. Thermal analysis of polyurethane elastomers matrix with different chain extender contents for thermal conductive application. J. Therm. Anal. Calorim. 2019, 138, 1003–1010. [Google Scholar] [CrossRef]
  13. Jia, P.; Xia, H.; Tang, K.; Zhou, Y. Plasticizers derived from biomass resources: A short review. Polymers 2018, 10, 1303. [Google Scholar] [CrossRef]
  14. Vieira, M.G.A.; Da Silva, M.A.; Dos Santos, L.O.; Beppu, M.M. Natural-based plasticizers and biopolymer films: A review. Eur. Polym. J. 2011, 47, 254–263. [Google Scholar] [CrossRef]
  15. Clasen, S.H.; Müller, C.M.; Pires, A.T. Maleic anhydride as a compatibilizer and plasticizer in TPS/PLA blends. J. Braz. Chem. Soc. 2015, 26, 1583–1590. [Google Scholar] [CrossRef]
  16. Srihanam, P.; Srisuwan, Y.; Phromsopha, T.; Manphae, A.; Baimark, Y. Improvement in phase compatibility and mechanical properties of poly (L-lactide)-b-poly (ethylene glycol)-b-poly (L-lactide)/thermoplastic starch blends with citric acid. Polymers 2023, 15, 3966. [Google Scholar] [CrossRef]
  17. Pei, C.; Zhang, H.; Li, Y.; Gu, Z.; Chen, X.; Kuang, T. Robust and durable biodegradable polymer-based triboelectric nanogenerators enabled by trace amounts of melanin-like nanoparticles. Nano Energy 2025, 135, 110643. [Google Scholar] [CrossRef]
  18. Kuang, T.; Guo, H.; Guo, W.; Liu, W.; Li, W.; Saeb, M.R.; Vatankhah-Varnosfaderani, M.; Sheiko, S.S. Boosting the Strength and Toughness of Polymer Blends via Ligand-Modulated MOFs. Adv. Sci. 2024, 11, 2407593. [Google Scholar] [CrossRef]
  19. Chiellini, F.; Ferri, M.; Morelli, A.; Dipaola, L.; Latini, G. Perspectives on alternatives to phthalate plasticized poly (vinyl chloride) in medical devices applications. Prog. Polym. Sci. 2013, 38, 1067–1088. [Google Scholar] [CrossRef]
  20. Khosravi, K.; Price, G.W. Determination of phthalates in soils and biosolids using accelerated solvent extraction coupled with SPE cleanup and GC–MS quantification. Microchem. J. 2015, 121, 205–212. [Google Scholar] [CrossRef]
  21. Hlisníková, H.; Petrovičová, I.; Kolena, B.; Šidlovská, M.; Sirotkin, A. Effects and mechanisms of phthalates’ action on reproductive processes and reproductive health: A literature review. Int. J. Environ. Res. Public Health 2020, 17, 6811. [Google Scholar] [CrossRef] [PubMed]
  22. Cobellis, L.; Latini, G.; Felice, C.D.; Razzi, S.; Paris, I.; Ruggieri, F.; Mazzeo, P.; Petraglia, F. High plasma concentrations of di-(2-ethylhexyl)-phthalate in women with endometriosis. Hum. Reprod. 2003, 18, 1512–1515. [Google Scholar] [CrossRef] [PubMed]
  23. Zhang, Z.-M.; Zhang, H.-H.; Zou, Y.-W.; Yang, G.-P. Distribution and ecotoxicological state of phthalate esters in the sea-surface microlayer, seawater and sediment of the Bohai Sea and the Yellow Sea. Environ. Pollut. 2018, 240, 235–247. [Google Scholar] [CrossRef] [PubMed]
  24. Cao, X.-L. Determination of phthalates and adipate in bottled water by headspace solid-phase microextraction and gas chromatography/mass spectrometry. J. Chromatogr. A 2008, 1178, 231–238. [Google Scholar] [CrossRef]
  25. Fasano, E.; Cirillo, T.; Esposito, F.; Lacorte, S. Migration of monomers and plasticizers from packed foods and heated microwave foods using QuEChERS sample preparation and gas chromatography/mass spectrometry. LWT-Food Sci. Technol. 2015, 64, 1015–1021. [Google Scholar] [CrossRef]
  26. Lee, Y.-M.; Lee, J.-E.; Choe, W.; Kim, T.; Lee, J.-Y.; Kho, Y.; Choi, K.; Zoh, K.-D. Distribution of phthalate esters in air, water, sediments, and fish in the Asan Lake of Korea. Environ. Int. 2019, 126, 635–643. [Google Scholar] [CrossRef]
  27. Zhang, Q.; Song, J.; Li, X.; Peng, Q.; Yuan, H.; Li, N.; Duan, L.; Ma, J. Concentrations and distribution of phthalate esters in the seamount area of the Tropical Western Pacific Ocean. Mar. Pollut. Bull. 2019, 140, 107–115. [Google Scholar] [CrossRef]
  28. Caporossi, L.; Viganò, P.; Paci, E.; Capanna, S.; Alteri, A.; Campo, G.; Pigini, D.; De Rosa, M.; Tranfo, G.; Papaleo, B. Female reproductive health and exposure to phthalates and bisphenol A: A cross sectional study. Toxics 2021, 9, 299. [Google Scholar] [CrossRef]
  29. Xiao, Y.; Wong, W.Y.; Chan, L.Y.; Yong, C.K.; Abe, K.; Hancock, P.; Hird, S. Simultaneous Determination of Nine Phthalates in Vegetable Oil by Atmospheric Pressure Gas Chromatography with Tandem Mass Spectrometry (APGC-MS/MS). Toxics 2023, 11, 200. [Google Scholar] [CrossRef]
  30. Giuliani, A.; Zuccarini, M.; Cichelli, A.; Khan, H.; Reale, M. Critical review on the presence of phthalates in food and evidence of their biological impact. Int. J. Environ. Res. Public Health 2020, 17, 5655. [Google Scholar] [CrossRef]
  31. Erythropel, H.C.; Maric, M.; Nicell, J.A.; Leask, R.L.; Yargeau, V. Leaching of the plasticizer di (2-ethylhexyl) phthalate (DEHP) from plastic containers and the question of human exposure. Appl. Microbiol. Biotechnol. 2014, 98, 9967–9981. [Google Scholar] [CrossRef] [PubMed]
  32. Zheng, T.; Wu, Z.; Xie, Q.; Fang, J.; Hu, Y.; Lu, M.; Xia, F.; Nie, Y.; Ji, J. Structural modification of waste cooking oil methyl esters as cleaner plasticizer to substitute toxic dioctyl phthalate. J. Clean. Prod. 2018, 186, 1021–1030. [Google Scholar] [CrossRef]
  33. Jia, P.; Hu, L.; Feng, G.; Bo, C.; Zhang, M.; Zhou, Y. PVC materials without migration obtained by chemical modification of azide-functionalized PVC and triethyl citrate plasticizer. Mater. Chem. Phys. 2017, 190, 25–30. [Google Scholar] [CrossRef]
  34. Jia, P.; Zhang, M.; Hu, L.; Zhou, Y. Green plasticizers derived from soybean oil for poly (vinyl chloride) as a renewable resource material. Korean J. Chem. Eng. 2016, 33, 1080–1087. [Google Scholar] [CrossRef]
  35. Satavalekar, S.D.; Savvashe, P.B.; Mhaske, S.T. Triester–amide based on thiophene and ricinoleic acid as an innovative primary plasticizer for poly (vinyl chloride). RSC Adv. 2016, 6, 115101–115112. [Google Scholar] [CrossRef]
  36. da Silva, C.A.; dos Santos, R.N.; Oliveira, G.G.; de Souza Ferreira, T.P.; de Souza, N.L.G.D.; Soares, A.S.; de Melo, J.F.; Colares, C.J.G.; de Souza, U.J.B.; de Araújo-Filho, R.N. Biodiesel and bioplastic production from waste-cooking-oil transesterification: An environmentally friendly approach. Energies 2022, 15, 1073. [Google Scholar] [CrossRef]
  37. De Feo, G.; Ferrara, C.; Giordano, L.; Ossèo, L.S. Assessment of Three Recycling Pathways for Waste Cooking Oil as Feedstock in the Production of Biodiesel, Biolubricant, and Biosurfactant: A Multi-Criteria Decision Analysis Approach. Recycling 2023, 8, 64. [Google Scholar] [CrossRef]
  38. Zhao, Y.; Wang, C.; Zhang, L.; Chang, Y.; Hao, Y. Converting waste cooking oil to biodiesel in China: Environmental impacts and economic feasibility. Renew. Sustain. Energy Rev. 2021, 140, 110661. [Google Scholar] [CrossRef]
  39. Foo, W.H.; Koay, S.S.N.; Chia, S.R.; Chia, W.Y.; Tang, D.Y.Y.; Nomanbhay, S.; Chew, K.W. Recent advances in the conversion of waste cooking oil into value-added products: A review. Fuel 2022, 324, 124539. [Google Scholar] [CrossRef]
  40. Main, K.M.; Mortensen, G.K.; Kaleva, M.M.; Boisen, K.A.; Damgaard, I.N.; Chellakooty, M.; Schmidt, I.M.; Suomi, A.-M.; Virtanen, H.E.; Petersen, J.H. Human breast milk contamination with phthalates and alterations of endogenous reproductive hormones in infants three months of age. Environ. Health Perspect. 2006, 114, 270–276. [Google Scholar] [CrossRef]
  41. Wallner, P.; Kundi, M.; Hohenblum, P.; Scharf, S.; Hutter, H.-P. Phthalate metabolites, consumer habits and health effects. Int. J. Environ. Res. Public Health 2016, 13, 717. [Google Scholar] [CrossRef] [PubMed]
  42. Hauser, R.; Calafat, A. Phthalates and human health. Occup. Environ. Med. 2005, 62, 806–818. [Google Scholar] [CrossRef] [PubMed]
  43. Czogała, J.; Pankalla, E.; Turczyn, R. Recent attempts in the design of efficient PVC plasticizers with reduced migration. Materials 2021, 14, 844. [Google Scholar] [CrossRef]
  44. Gibbons, W.S.; Kusy, R.P. Influence of plasticizer configurational changes on the mechanical properties of highly plasticized poly (vinyl chloride). Polymer 1998, 39, 6755–6765. [Google Scholar] [CrossRef]
  45. Maghsoud, Z.; Pakbaz, M.; Famili, M.H.N.; Madaeni, S.S. New polyvinyl chloride/thermoplastic polyurethane membranes with potential application in nanofiltration. J. Membr. Sci. 2017, 541, 271–280. [Google Scholar] [CrossRef]
  46. Landel, R.F.; Nielsen, L.E. Mechanical Properties of Polymers and Composites; CRC Press: Boca Raton, FL, USA, 1993. [Google Scholar] [CrossRef]
  47. Ebewele, R.O. Polymer Science and Technology; CRC Press: Boca Raton, FL, USA, 2000. [Google Scholar] [CrossRef]
Figure 1. The molecular structure of glycerol diacetate monolaurate.
Figure 1. The molecular structure of glycerol diacetate monolaurate.
Sustainability 17 02033 g001
Figure 2. Representative tensile test specimens of the polymer blends.
Figure 2. Representative tensile test specimens of the polymer blends.
Sustainability 17 02033 g002
Figure 3. DMA curve of polymer blend samples.
Figure 3. DMA curve of polymer blend samples.
Sustainability 17 02033 g003
Figure 4. Stress–strain curves of the tested polymer blends.
Figure 4. Stress–strain curves of the tested polymer blends.
Sustainability 17 02033 g004
Figure 5. Tensile strength and Young’s modulus of polymer blends with varying compositions.
Figure 5. Tensile strength and Young’s modulus of polymer blends with varying compositions.
Sustainability 17 02033 g005
Figure 6. Elongation at break of polymer blends with varying compositions.
Figure 6. Elongation at break of polymer blends with varying compositions.
Sustainability 17 02033 g006
Figure 7. (a) Stress localization and neck formation in Rigid PVC; (b) uniform deformation in plasticized PVC under tensile load.
Figure 7. (a) Stress localization and neck formation in Rigid PVC; (b) uniform deformation in plasticized PVC under tensile load.
Sustainability 17 02033 g007
Figure 8. Shore A and Shore D hardness of polymer blends with varying compositions.
Figure 8. Shore A and Shore D hardness of polymer blends with varying compositions.
Sustainability 17 02033 g008
Table 1. PVC base mixture.
Table 1. PVC base mixture.
Parts Per Hundred (Phr)
PVC K = 70100
CaZn stabilizer1.2
E-Wax lubricant0.3
Table 2. Specifications of Materials Used.
Table 2. Specifications of Materials Used.
MaterialType/GradeKey PropertiesFunctionSource
Polyvinyl chloride
(PVC)
Suspension, K = 70High mechanical strength,
rigidity, chemical resistance;
fine powder; avg. particle size: 160 µm
Base polymerBorsodChem Zrt, Hungary
Thermoplastic
polyurethane (TPU)
Polyester-basedHigh elasticity, abrasion resistance, toughness;
transparent pellets (~3 mm diameter)
Base polymerBorsodChem Zrt, Hungary
Glycerol diacetate monolaurateCommercial gradeMolecular weight: 330.47 g/mol; density: 0.99 g/cm3Bio-plasticizerRikevita Fine Chemical, China
Table 3. Composition of tested polymer blends (parts per hundred, phr).
Table 3. Composition of tested polymer blends (parts per hundred, phr).
Identifier P1P2P3P4P5P6P7P8P9P10
PVC base mixture100100100100100---100100
TPU---30501001001002010
Bio-plasticizer-5030---10205050
Table 4. Summary of tensile strength, Young’s modulus, and elongation at break for each polymer blend composition.
Table 4. Summary of tensile strength, Young’s modulus, and elongation at break for each polymer blend composition.
PropertiesP1P2P3P4P5P6P7P8P9P10
Tensile strength (MPa)52.220.844.343.327.852.949.934.22732.3
Young’s modulus (MPa)27685.994987.2457.58.26.93.54.927.7
Elongation at break (%)86310151225194610615620360250
Table 5. Shore A and Shore D hardness values for each blend composition.
Table 5. Shore A and Shore D hardness values for each blend composition.
PropertiesP1P2P3P4P5P6P7P8P9P10
Hardness (Shore A)97.7887.284.298.698.485.67977.48180
Hardness (Shore D)8311.79.126.424.912.910.88.39.910.1
Disclaimer/Publisher’s Note: The statements, opinions and data contained in all publications are solely those of the individual author(s) and contributor(s) and not of MDPI and/or the editor(s). MDPI and/or the editor(s) disclaim responsibility for any injury to people or property resulting from any ideas, methods, instructions or products referred to in the content.

Share and Cite

MDPI and ACS Style

Minale, Y.F.; Gajdoš, I.; Štefčák, P.; Szabó, T.; Polyákné Kovács, A.; Ádámné Major, A.; Marossy, K. Mechanical Properties of PVC/TPU Blends Enhanced with a Sustainable Bio-Plasticizer. Sustainability 2025, 17, 2033. https://doi.org/10.3390/su17052033

AMA Style

Minale YF, Gajdoš I, Štefčák P, Szabó T, Polyákné Kovács A, Ádámné Major A, Marossy K. Mechanical Properties of PVC/TPU Blends Enhanced with a Sustainable Bio-Plasticizer. Sustainability. 2025; 17(5):2033. https://doi.org/10.3390/su17052033

Chicago/Turabian Style

Minale, Yitbarek Firew, Ivan Gajdoš, Pavol Štefčák, Tamás Szabó, Annamaria Polyákné Kovács, Andrea Ádámné Major, and Kálmán Marossy. 2025. "Mechanical Properties of PVC/TPU Blends Enhanced with a Sustainable Bio-Plasticizer" Sustainability 17, no. 5: 2033. https://doi.org/10.3390/su17052033

APA Style

Minale, Y. F., Gajdoš, I., Štefčák, P., Szabó, T., Polyákné Kovács, A., Ádámné Major, A., & Marossy, K. (2025). Mechanical Properties of PVC/TPU Blends Enhanced with a Sustainable Bio-Plasticizer. Sustainability, 17(5), 2033. https://doi.org/10.3390/su17052033

Note that from the first issue of 2016, this journal uses article numbers instead of page numbers. See further details here.

Article Metrics

Back to TopTop