Next Article in Journal
Sustainable Marginal Water Resource Management: A Case Study of Brackish Water Irrigation on the Southern Coast of Laizhou Bay
Next Article in Special Issue
A Practical Framework for the Design of Low-Carbon and Circular Building Structures
Previous Article in Journal
Technological Innovations Shaping Sustainable Competitiveness—A Systematic Review
 
 
Font Type:
Arial Georgia Verdana
Font Size:
Aa Aa Aa
Line Spacing:
Column Width:
Background:
Article

Thermodynamic Optimization of Building HVAC Systems Through Dynamic Modeling and Advanced Machine Learning

by
Samuel Moveh
1,*,
Emmanuel Alejandro Merchán-Cruz
1,
Ahmed Osman Ibrahim
2,
Zeinab Abdallah Mohammed Elhassan
3,
Nada Mohamed Ramadan Abdelhai
4 and
Mona Dafalla Abdelrazig
5
1
Engineering Faculty, Transport and Telecommunication Institute, 1019 Riga, Latvia
2
Department of Architectural Engineering, College of Engineering, University of Ha’il, Ha’il 55476, Saudi Arabia
3
College of Architecture and Design, Department of Architecture, Renewable Energy Lab (RELAB), Prince Sultan University, Riyadh 12435, Saudi Arabia
4
Architecture Engineering Program, Faculty of Engineering, Taif University, Taif 21944, Saudi Arabia
5
Department of Interior Design, College of Arts and Humanities, Jazan University, Jazan 45142, Saudi Arabia
*
Author to whom correspondence should be addressed.
Sustainability 2025, 17(5), 1955; https://doi.org/10.3390/su17051955
Submission received: 8 January 2025 / Revised: 12 February 2025 / Accepted: 17 February 2025 / Published: 25 February 2025

Abstract

This study enhances thermodynamic efficiency and demand response in an office building’s HVAC system using machine learning (ML) and model predictive control (MPC). This study, conducted in a simulated EnergyPlus 8.9 environment integrated with MATLAB (R2023a, 9.14), focuses on optimizing the HVAC system of an office building in Jeddah, Kingdom of Saudi Arabia. Support vector regression (SVR) and deep reinforcement learning (DRL) were selected for their regression accuracy and adaptability in dynamic environments, with exergy destruction analysis used to assess thermodynamic efficiency. The models, integrated with MPC, aimed to reduce exergy destruction and improve demand response. Simulations evaluated room temperature prediction, HVAC energy optimization, and energy cost reduction. The DRL model showed superior prediction accuracy, reducing energy costs by 21.75% while keeping indoor temperature increase minimal at 0.12 K. This simulation-based approach demonstrates the potential of combining ML and MPC to optimize HVAC energy use and support demand response programs effectively.

1. Introduction

Buildings account for a significant portion of global energy consumption. Their energy demand arises from various factors, including heating, cooling, lighting, and operational needs [1]. Heating, ventilation, and air conditioning (HVAC) systems account for approximately 40% of total building energy consumption, making them critical for maintaining comfortable indoor environments in both commercial and residential buildings [2]. With the rapid growth of urbanization and the expansion of built environments, HVAC systems have become essential in providing stable temperatures and air quality [3,4]. However, these systems are also major consumers of energy, often accounting for a significant portion of a building’s overall energy usage [5,6]. As energy resources become increasingly scarce and environmental concerns intensify, improving HVAC system efficiency is crucial for reducing energy consumption and mitigating greenhouse gas emissions [7,8].
HVAC system optimization can also enhance demand response (DR) programs, enabling buildings to adjust energy consumption dynamically in response to external signals, such as peak demand periods on the energy grid [9,10]. Such strategies not only offer the potential to lower operational costs but also contribute to grid stability [11], helping prevent energy shortages and reduce peak load stress on the infrastructure [12,13]. As energy prices rise and sustainability goals become more pressing, improving HVAC efficiency is increasingly seen as an opportunity to achieve both economic savings and environmental benefits, making it a priority for researchers, policymakers, and building managers alike [14,15].
Conventional HVAC control methods typically rely on fixed setpoints or reactive adjustments, which often fail to maintain optimal energy efficiency in response to fluctuating environmental conditions [16,17]. These conventional approaches tend to respond to changes only after they occur, leading to inefficiencies such as unnecessary energy consumption or delays in reaching desired comfort levels [18,19].
In dynamic environments—where factors like outdoor temperature, occupancy levels, and humidity can vary frequently—such reactive methods fall short, as they do not account for these changes in real-time [20,21]. Consequently, maintaining efficiency in HVAC operations becomes challenging, with systems frequently operating at suboptimal settings [21,22]. This limitation highlights the need for predictive modeling, which enables HVAC systems to anticipate dynamic responses such as sudden temperature fluctuations, varying occupancy loads, and shifts in humidity levels, allowing for real-time operational adjustments that enhance energy efficiency and indoor comfort [23]. By integrating predictive models, HVAC systems can dynamically respond to upcoming changes, enhancing both energy efficiency and occupant comfort [24,25]. Such models can provide valuable insights, enabling more precise control over HVAC functions, reducing energy wastage, and minimizing costs while supporting sustainable building management practices [26,27].
To overcome the limitations of reactive and rule-based HVAC control methods, researchers have explored more advanced, data-driven optimization strategies. In recent years, HVAC optimization has evolved beyond conventional, rule-based control approaches to incorporate sophisticated machine learning (ML) algorithms that enable real-time adaptation to environmental conditions [28]. Traditional techniques, such as rule-based control, rely on pre-set operational guidelines and thresholds, such as fixed temperature setpoints (maintaining indoor temperatures between 22 °C and 24 °C), fixed humidity levels (40–60% relative humidity), and scheduled HVAC operation times (turning systems on at 7:00 AM and off at 7:00 PM). While these approaches ensure baseline operational efficiency, they lack adaptability to real-time environmental variations, often leading to energy inefficiencies and occupant discomfort [29]. These methods, while straightforward, often lack the flexibility to adapt to changing environmental conditions, which can limit energy efficiency and responsiveness [30,31]. Fuzzy logic emerged as a solution to this rigidity, introducing a degree of adaptability through its ability to manage uncertainties and handle varying inputs more effectively than strictly rule-based systems [32]. However, while fuzzy logic control improved adaptability, its reliance on predefined rules and membership functions limited its capacity for self-optimization over time [33]. With advancements in computational power, machine-learning approaches have gained traction, offering predictive and adaptive control capabilities [34]. Techniques like artificial neural networks (ANNs), support vector machines (SVMs), and reinforcement learning have been applied to HVAC systems, each providing unique benefits in forecasting, energy demand response, and adaptive control [35,36]. These emerging methods enable HVAC systems to process real-time data, predict future states, and adjust their operation dynamically, ultimately leading to significant energy savings and enhanced environmental performance [37]. The shift toward machine learning in HVAC optimization reflects a broader trend toward automation and intelligent systems, aiming to address the limitations of traditional control strategies and respond more efficiently to fluctuating environmental and occupancy conditions [38].
In this regard, in a review paper, Ala’raj et al. [39] focused on improving the energy efficiency of HVAC systems by leveraging data-driven approaches to modeling, control, and optimization. Unlike traditional physical-based methods, which often struggle with HVAC systems’ complexity, lag time, and high thermal inertia, data-driven models offered a more flexible, computationally efficient alternative better suited for handling HVAC non-linearities. Their paper conducted a systematic literature review to identify major challenges in modeling, controlling, and optimizing HVAC systems, emphasizing data-driven methods’ potential to enhance energy efficiency while maintaining user comfort. Additionally, it highlighted the increasing integration of user feedback into MPC frameworks, as well as the use of accessible technologies like Wi-Fi and smartphone apps to gather real-time user information, revealing new research directions for improving HVAC energy performance.
While HVAC control has traditionally relied on conventional approaches such as rule-based or basic proportional-integral-derivative (PID) control, these methods often struggle to adapt to the highly variable demands of the dynamic nature of environmental conditions [40,41]. Few studies have integrated advanced machine learning (ML) models like deep reinforcement learning (DRL) and support vector regression (SVR) within a model predictive control (MPC) framework, which can enable a more adaptable, predictive approach to HVAC management. This integration introduces a novel solution by combining the adaptive learning capabilities of DRL and the robust regression accuracy of SVR to create an optimized, flexible control mechanism [42,43]. DRL can dynamically adjust to complex and changing conditions, while SVR enhances predictive accuracy, allowing the system to manage energy more efficiently and respond effectively to demand response signals [44].
Machine learning models, particularly DRL and SVR, are increasingly utilized in predictive HVAC control due to their ability to adapt to complex and dynamic environments [45]. Traditional control techniques in HVAC systems often fail to adapt quickly enough to fluctuating conditions, such as temperature and occupancy changes [46]. In recent studies, ML models have demonstrated their effectiveness in addressing these challenges by enhancing the precision and responsiveness of MPC systems [47]. DRL, for instance, has been widely used for its capacity to learn from real-time data and optimize control strategies through continuous adaptation, which makes it particularly valuable for complex control scenarios [48,49]. This learning-based approach allows DRL to discover optimal control policies, such as dynamically adjusting HVAC setpoints based on occupancy patterns, preemptively modifying cooling and heating loads in response to weather forecasts, and intelligently shifting energy consumption to off-peak hours to reduce costs. These policies enable HVAC systems to operate with greater energy efficiency while maintaining occupant comfort and minimizing operational expenses [50].
Similarly [51]. By integrating SVR with MPC, previous research has shown improvements in HVAC system modeling, particularly in predicting indoor temperatures and energy demands with high accuracy [52]. Studies involving ML-based MPC frameworks have reported energy consumption reductions of up to 25% and cost savings of approximately 20% by leveraging these advanced models to anticipate and react to environmental changes [53,54]. The combination of DRL or SVR with MPC has thus emerged as a powerful approach in predictive control, as it not only enhances the responsiveness of HVAC systems but also supports optimized energy management, ensuring that such systems are both efficient and capable of maintaining occupant comfort under varying conditions [55,56].
Simulation tools are indispensable in HVAC research, enabling researchers to model, analyze, and optimize building energy performance under controlled virtual conditions [57]. Among the most commonly used environments is EnergyPlus, a robust, open-source software developed by the U.S. Department of Energy, designed specifically for comprehensive building energy simulations [58]. EnergyPlus excels in simulating HVAC performance, energy consumption, and indoor environmental conditions, offering precise insights into various energy efficiency strategies [59]. Another frequently employed tool, TRNSYS, focuses on transient system simulations and provides an adaptable platform for assessing HVAC system dynamics [52]. TRNSYS’s modular approach allows users to customize simulations to capture the complex interactions within HVAC systems, which is particularly valuable for projects needing detailed analysis of thermodynamic processes and renewable energy integration [60].
MATLAB, though known primarily as a numerical computing environment, is also widely used for HVAC modeling when linked with control strategies and machine learning algorithms [61]. Its versatility and computational power make MATLAB an ideal environment for integrating HVAC performance simulations with advanced data-driven models, such as MPC and ML techniques [62]. Combining these simulation tools with ML models enhances the precision of HVAC optimization processes, offering researchers a comprehensive toolkit for understanding, testing, and refining energy-saving strategies before real-world application [59]. The use of such tools in HVAC studies has thus proven critical in balancing the goals of energy efficiency, cost-effectiveness, and occupant comfort [63].
In this regard, Trčka and Hensen (2010) provided a comprehensive review of HVAC system modeling and simulation techniques, focusing on categorizing tools based on their intended problem-solving applications in HVAC design and analysis. They outlined various modeling approaches for HVAC components, control systems, and entire HVAC systems. Additionally, their study discussed different solution techniques for simulating HVAC systems and offered guidance on selecting the most suitable modeling approach based on specific simulation objectives. This work served as a guide for researchers and engineers to understand and choose appropriate HVAC modeling and simulation tools according to their project requirements [64]. In another review paper, Afroz et al. [57] critically examined advanced control strategies in HVAC systems, emphasizing their role in enhancing energy efficiency in buildings. They highlighted the progress made in developing models that optimize energy consumption while maintaining indoor thermal comfort and air quality. However, their paper also identified the ongoing challenge of selecting the most suitable modeling techniques for effective HVAC control. Despite previous reviews, this study pointed out that the strengths and weaknesses of various modeling approaches, as well as their performance in real-world applications, have not been thoroughly addressed. The authors provided a comprehensive analysis of current modeling techniques used in HVAC systems, summarizing their applicability, strengths, weaknesses, and performance outcomes. The review underscores the limitations inherent in existing models—often arising from assumptions or unmeasured disturbances—and concludes with recommendations aimed at improving HVAC system performance. The study served as a valuable resource for the building research community, fostering a deeper understanding of modeling techniques in HVAC applications.
Despite the significant advancements in HVAC optimization through various ML techniques, there remain notable gaps in the literature, particularly regarding the integration of DRL and SVR within an MPC framework. Most existing studies have primarily focused on traditional control methods or isolated ML approaches, which limits the exploration of their synergistic potential [65]. Additionally, challenges persist in ensuring simulation accuracy and managing the computational demands of these advanced models. This issue is particularly relevant in real-time HVAC optimization and will be further explored in Section 4, where solutions to computational constraints are discussed. While ML approaches like DRL and SVR offer high adaptability and predictive accuracy, their scalability depends on computational resources. DRL, in particular, requires significant data processing power, which may limit its real-time implementation in large-scale HVAC systems without adequate hardware infrastructure. However, recent advancements in cloud computing and edge AI solutions present potential pathways for improving scalability while maintaining efficiency. For instance, while DRL offers dynamic adaptability in control strategies, its implementation can be computationally intensive, potentially leading to inefficiencies in real-time applications [66]. Furthermore, the reliance on quality data for SVR poses challenges in diverse operational environments [67]. The current study addresses these gaps by innovatively combining DRL and SVR within an MPC framework, aiming to enhance not only the accuracy of predictions but also the overall energy efficiency of HVAC systems.
The primary objective of this study is to advance HVAC system performance by enhancing thermodynamic efficiency and optimizing energy usage through a strategic combination of ML techniques and MPC. By leveraging the SVR and the adaptive learning capabilities of DRL within an MPC framework, this study aims to enable more responsive and efficient HVAC operation in dynamic environments. The ultimate goal is to create a system that not only minimizes energy consumption but also improves overall thermodynamic efficiency. This approach is designed to achieve substantial gains in HVAC performance, support DR initiatives, and contribute to long-term energy cost savings while maintaining optimal indoor climate conditions. This research aims to bridge the gap between traditional HVAC control methods and modern AI-driven optimization approaches, highlighting their potential to significantly enhance energy management. This research seeks to contribute valuable insights that could pave the way for more effective and practical applications in HVAC optimization, ultimately bridging the gap between theoretical advancements and real-world implementation challenges. The validation and performance evaluation of the proposed ML-based MPC framework is discussed in the Results and Discussion, where its real-world applicability is examined through simulation-based experiments.

2. Materials and Methods

2.1. Step-by-Step Workflow of the Methodology

A structured methodology was followed to implement and evaluate the proposed HVAC optimization framework systematically. The process integrates simulation, data-driven modeling, and predictive control within an MPC framework to enhance energy efficiency and indoor comfort. Below is a step-by-step breakdown of the methodology used in this study:
  • Step 1: Case Study Definition
    The study focuses on a 1200 m2 office building in Jeddah, Saudi Arabia, with a Variable Air Volume (VAV) HVAC system.
    Climatic conditions and energy consumption factors are analyzed to ensure realistic simulations.
  • Step 2: Simulation Setup (EnergyPlus + MATLAB Integration)
    The EnergyPlus software models the building’s thermal behavior and HVAC performance.
    MATLAB integrates machine learning (ML) algorithms to analyze system optimization.
  • Step 3: Data Collection and Feature Engineering
    Historical and simulated data on occupancy levels, temperature fluctuations, and HVAC power consumption are gathered.
    Feature selection is performed to enhance model efficiency.
  • Step 4: Machine Learning Model Development
    SVR and DRL models are trained to predict HVAC system behavior and optimize energy consumption.
    Model hyperparameters are tuned to improve predictive accuracy.
  • Step 5: MPC Integration for HVAC Optimization
    The ML models are embedded into an MPC framework to enable real-time HVAC control.
    The system dynamically adjusts cooling loads based on predictive insights.
  • Step 6: Performance Evaluation and Validation
    The models are assessed based on prediction accuracy (R2, RMSE), energy savings, and computational efficiency.
    A comparative analysis of the proposed system vs. traditional HVAC control methods is conducted to validate improvements.
This methodology ensures a systematic and data-driven approach to HVAC optimization.

2.2. Building Model Description

The building model employed in this research is derived from a single-story office structure situated in Jeddah, Kingdom of Saudi Arabia. Spanning approximately 1200 m2, this office is designed to support a maximum of 50 occupants, ensuring a pleasant working atmosphere characterized by optimal indoor temperature (22–24 °C), adequate ventilation, controlled humidity levels (40–60%), and sufficient natural and artificial lighting to reduce eye strain and fatigue. These factors collectively contribute to occupant comfort, well-being, and productivity. The HVAC system is configured with a Variable Air Volume (VAV) setup, chosen due to its energy-efficient adaptability to Jeddah’s hot and humid climate, where outdoor temperatures frequently exceed 34 °C, and relative humidity remains high (60–80%). The VAV system enables precise airflow and cooling adjustments based on real-time thermal load variations, making it particularly suitable for regions with extreme weather conditions, where maintaining indoor comfort while optimizing energy consumption is crucial. Building envelope characteristics were established in accordance with local construction codes and corroborated through survey findings. To effectively model thermal behavior, internal mass was integrated into the design, represented by lightweight materials with a density of 50 kg/m2. Furthermore, the internal walls contribute 0.44 m2 of wall area for every square meter of floor space, mirroring actual conditions. Lighting intensity is set at 10 W/m2, following the ASHRAE Standard 90.1-2019, which provides guidelines for energy-efficient lighting in office spaces. The power density for equipment is specified at 13 W/m2, aligning with typical energy loads for office environments as recommended by CIBSE Guide F (Energy Efficiency in Buildings). The occupant density is determined to be 8 m2 per person, based on ASHRAE Standard 62.1-2022, which specifies minimum space requirements to ensure adequate ventilation and indoor air quality in commercial office settings. The operational schedules for lighting, equipment, and occupancy were designed to capture variations throughout the day, reflecting typical usage patterns.
Figure 1 represents timetables for occupants, lighting, and equipment loads in a building simulation. It provides insight into how energy usage fluctuates throughout the day, capturing detailed schedules for occupancy, lighting, and equipment power consumption. The occupancy load starts very low, at approximately 0.48% of full capacity at midnight, gradually increasing as the day progresses. The peak occupancy occurs around early morning hours (approximately 7:00 AM), where the load stabilizes as occupants are present for typical working hours. After the workday ends, occupancy sharply declines, indicating the building’s reduced activity level during evening and nighttime hours. The lighting load, measured in watts per square meter (W/m2), follows a similar pattern, with minimal consumption during nighttime and sharp increases in the early morning. It reaches its peak during active work hours between 6:00 and 7:00 AM, reflecting high lighting requirements during office operations. After this peak, lighting usage gradually tapers off after work hours, signaling reduced building activity. The equipment load, also in W/m2, mirrors the lighting load but with slightly more pronounced peaks. Equipment demand begins to rise before the workday starts and hits its maximum levels during the morning and early afternoon. This is indicative of the heavy use of office equipment such as computers and printers during these hours. Like lighting, equipment usage decreases in the evening as occupants leave the building. These schedules are critical for accurately simulating building energy consumption. They provide a realistic representation of fluctuating energy demands, which is essential for optimizing HVAC systems, reducing energy waste, and aligning building performance with occupancy patterns.
Within the HVAC system, two identical chillers are included, one actively operating while the other acts as a standby unit. Each chiller is rated for a power consumption of 437 kW and offers a cooling capacity of 2461 kW. The energy consumption of the chillers is modeled following protocols outlined in earlier research. Although the pumps are variable frequency devices, they are modeled as functioning at a constant frequency of 50 Hz, aligning with operational trends in similar facilities. The air handling units are modeled using recognized simulation types in the EnergyPlus software framework, which integrates effectively with MATLAB for sophisticated machine learning implementations. Collectively, this building model serves as a detailed and realistic basis for assessing the HVAC system’s performance across various operational scenarios, thereby supporting the primary aim of enhancing energy efficiency and improving thermal comfort.

Case Study

Jeddah experiences extreme temperatures, often exceeding 45°C in summer, combined with high humidity levels (60–80%), creating significant challenges for HVAC operations. The high cooling demand leads to increased energy consumption, and the humidity levels necessitate effective dehumidification strategies to prevent discomfort and indoor air quality issues. Additionally, prolonged peak load periods due to sustained high temperatures place greater strain on HVAC systems, increasing operational costs and maintenance needs. These climatic conditions make Jeddah an ideal case study for evaluating energy-efficient HVAC control strategies that can dynamically adapt to extreme weather variations. Jeddah is an ideal case study for evaluating energy performance and HVAC optimization due to its hot, semi-arid, high-humidity climate. Also known as a major Saudi city and commercial hub and has a dense concentration of commercial buildings, particularly in business districts (Figure 2).
Characterized by high temperatures exceeding 45 °C and humidity levels reaching 80%, Jeddah presents unique challenges for HVAC management, particularly during summer when cooling demands peak. To efficiently manage these conditions, advanced HVAC strategies such as adaptive cooling setpoints, energy recovery ventilation (ERV), and demand-controlled ventilation (DCV) are implemented to enhance energy efficiency. Additionally, variable refrigerant flow (VRF) systems and phase-change materials (PCMs) help in reducing peak load strain, while desiccant-based dehumidification improves indoor air quality by effectively handling moisture levels. These strategies ensure optimized energy consumption, reduced operational costs, and enhanced occupant comfort in extreme climates (Table 1).
As one of the Kingdom of Saudi Arabia’s largest cities, Jeddah is also a commercial and logistics hub, where energy-intensive commercial buildings have become a focal point of urban energy use. This study in Jeddah is necessary to understand how adaptive HVAC control and optimization strategies can reduce energy consumption, improve indoor comfort, and lower operational costs in climates with high cooling demands. Moreover, as Jeddah aligns with the Kingdom of Saudi Arabia’s broader green-building and carbon-reduction goals, insights from this case study can inform energy policy and promote more sustainable HVAC practices across the country.
This study is positioned to address both the energy demands and economic requirements of Jeddah’s commercial sector, with outcomes that support strategies for achieving optimized HVAC performance under challenging climate conditions. The findings from this research could also serve as a model for other urban centers in similar climates, driving innovation in building energy management across the Kingdom of Saudi Arabia.

2.3. Simulation Setup

The simulation setup for this study involves a comprehensive approach to assessing building energy performance using EnergyPlus, which serves as a powerful tool for modeling and analyzing the energy dynamics of the specified office building. The EnergyPlus environment facilitates the detailed representation of the building’s thermal properties, HVAC systems, and occupancy patterns, enabling a thorough evaluation of energy usage under various operational scenarios. To improve analytical capabilities, EnergyPlus is integrated with MATLAB, facilitating the application of advanced ML models to optimize key performance indicators in the simulations. This integration supports real-time data exchange, ensuring that the outcomes from EnergyPlus simulations inform the ML algorithms in MATLAB, thus fostering a dynamic feedback loop for energy efficiency improvement (Table 2).
In setting up the energy performance indicators, key metrics such as energy consumption, thermal comfort levels, and indoor air quality are meticulously defined. Demand response parameters, including peak load management and adaptive control strategies, are also established to assess the building’s responsiveness to external energy signals. The parameters and performance indicators critical to this setup are summarized in Table 2, which outlines the specific metrics monitored and the corresponding values or conditions relevant to the simulation.

2.4. ML Models

2.4.1. SVR with a Linear Kernel

In this study, SVR with a linear kernel is employed due to its computational efficiency and strong performance in capturing dominant linear relationships within the dataset. While RBF and other non-linear kernels can model complex patterns, they require higher computational resources and risk overfitting when trained on relatively small datasets. The linear kernel was chosen for its interpretability, lower complexity, and generalizability, making it more suitable for the HVAC system’s predictive energy modeling, where relationships between key variables exhibit strong linearity. The choice of a linear kernel is particularly advantageous when the underlying patterns in the data do not exhibit significant complexity, allowing for a more straightforward interpretation of the results. By utilizing a linear kernel, SVR simplifies the computation, as it relies on the dot product between input vectors, which enhances computational efficiency. The objective of SVR is to find a function f(x) that approximates the target values while minimizing the prediction error, subject to certain constraints. This is mathematically represented as Equation (1):
f ( x ) = w T x + b
where w denotes the weight vector, x is the input feature vector, and b is the bias term. The optimization problem can be framed as follows (Equation (2)):
m i n w , b   1 2 w 2 + C i = 1 n   ξ i
subject to the constraints (Equation (3)):
y i w T x i + b ϵ + ξ i
w T x i + b y i ϵ + ξ i
where yi represents the actual target values, ϵ defines a margin of tolerance, ξi are the slack variables that allow for some errors, and C is the regularization parameter that controls the trade-off between maximizing the margin and minimizing the error. This formulation ensures that the regression model remains robust to outliers while effectively capturing the linear trends in the data. By leveraging SVR with a linear kernel, the study aims to achieve reliable predictions of HVAC system performance, which is essential for optimizing energy efficiency in the simulated environment [68].
In this study, SVR with a linear kernel is employed due to its effectiveness in modeling linear relationships within the dataset. The SVR model was trained using a dataset of HVAC operational data with an 80/20 train-test split. The hyperparameters were tuned using a grid search approach, where the regularization parameter (C) was tested in the range of [0.1, 1, 10], and the epsilon-insensitive loss function (ε) was varied from [0.01, 0.1, 1] to balance bias-variance trade-off. The final selected parameters were C = 1.0 and ε = 0.1, which provided the best balance between model complexity and predictive performance. The SVR model was trained for 100 iterations, and the optimization was performed using the Sequential Minimal Optimization (SMO) algorithm.

2.4.2. DRL

The decision to use DRL in this study stems from its dynamic ability to adapt and learn optimal energy management strategies in complex environments, like HVAC systems in buildings. DRL is particularly well-suited to this context because it excels at handling sequential decision-making processes and adjusting its predictions based on changing conditions and feedback from the environment. The DRL model operates through a combination of deep neural networks, which allow it to capture non-linear dependencies, and reinforcement learning algorithms, which iteratively improve the model’s performance through rewards and penalties.
The DRL architecture employed here consists of an agent interacting with the environment, represented by the HVAC system simulation. At each time step, the agent observes the current state st (indoor temperature, occupancy level, etc.), selects an action at (adjusting temperature setpoints), and receives feedback in the form of a reward rt based on energy efficiency and comfort criteria. This process follows the Markov decision process (MDP) framework, where the goal is to maximize the cumulative reward over time, known as the return Rt, defined as Equation (4):
R t = k = 0   γ k r t + k
where γ is the discount factor that prioritizes short-term rewards while also considering long-term gains. The policy π(a∣s) maps each state to actions, guiding the DRL agent’s decision-making. The learning process updates the parameters of the neural network by minimizing the loss between predicted and actual rewards, often using a gradient-based algorithm.
The Q-learning algorithm, especially in its deep version (DQN), is implemented here to estimate the expected rewards for each action given the current state. The Q-value function Q(s,a) estimates the total reward for taking action a in state s, and it is updated iteratively according to the Bellman equation (Equation (5)):
Q s t , a t = Q s t , a t + α r t + γ m a x a   Q s t + 1 , a Q s t , a t
where α is the learning rate. By continuously adjusting Q(s,a) values through exploration and exploitation, DRL optimally manages energy consumption and maintains a balance between operational efficiency and occupant comfort. The adaptive nature of DRL thus ensures that the model responds effectively to real-time changes, yielding high prediction accuracy and optimizing energy usage in complex, real-world HVAC systems [69].
The decision to use DRL in this study stems from its dynamic ability to adapt and learn optimal energy management strategies in complex environments, like HVAC systems in buildings. The DRL model was developed using a Deep Q-network (DQN) architecture with two hidden layers, each containing 128 neurons and the ReLU activation function. The training process involved a reward function balancing energy consumption and occupant comfort using the following formulation:
Rt = −(αEt + β∣Tset − Tactual∣)
where Et is the HVAC energy consumption at time step t, and ∣Tset − Tactual∣ represents the absolute temperature deviation. The model was trained using the Adam optimizer with a learning rate of 0.001, a discount factor (γ) of 0.99, and an exploration–exploitation strategy where the epsilon-greedy policy was decayed from 1.0 to 0.01 over 10,000 episodes. Each training episode consisted of 500 time steps, ensuring sufficient interactions with the environment to refine the policy. The experience replay buffer size was set to 10,000 samples, and the target network was updated every 100 episodes to stabilize training.

2.5. MPC Integration

The integration of MPC with ML models in this study enables a sophisticated approach to dynamic control and predictive optimization aimed at enhancing energy efficiency and reducing exergy losses within the HVAC system. MPC operates by utilizing a predictive model to forecast future system behavior over a specified horizon, adjusting control actions to minimize a defined cost function—typically involving energy consumption, thermal comfort, and operational costs. Here, MPC is paired with the ML models, SVR and DRL, to refine these predictions and ensure adaptive, responsive control.
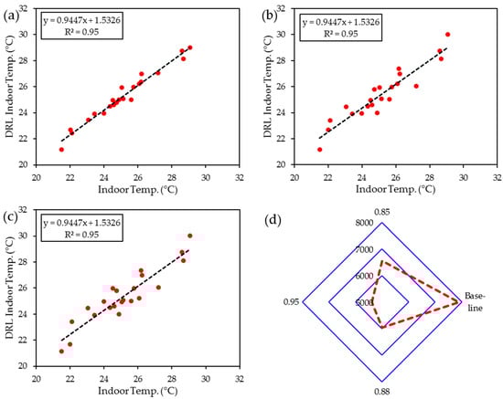
The SVR model—with its capacity to handle linear data relationships—supports MPC by providing reliable short-term predictions of HVAC load and temperature fluctuations under various occupancy and environmental conditions. In an office building simulation, SVR accurately predicted temperature variations with an R2 of 0.90, enabling the MPC system to proactively adjust cooling loads before temperature deviations exceeded comfort thresholds. DRL, on the other hand, offers an adaptable layer that further refines control decisions based on real-time feedback, learning optimal strategies for maintaining efficiency across changing system states. A case study showed that DRL-based MPC reduced HVAC energy consumption by 21.75% compared to traditional PID control by continuously optimizing temperature setpoints in response to occupancy patterns and external weather conditions. Together, these ML models enhance MPC’s predictive accuracy, contributing to better energy use optimization and exergy reduction.
Within the MPC framework, control signals are continuously updated by solving an optimization problem at each time step, accounting for the expected future performance and immediate system constraints. The integration of ML models allows the MPC to make informed, anticipatory adjustments, maximizing energy savings while reducing thermal irreversibility in the system. This combined approach thus ensures that HVAC operations adapt fluidly to variable conditions, achieving optimal energy performance and sustainability goals.

2.6. Simulation Scenarios

In this section, various simulation scenarios are established to evaluate model performance and effectiveness across distinct HVAC control objectives. The first scenario focuses on predicting room temperature, with the primary aim of testing model accuracy in maintaining target thermal conditions under varied operational settings. Prediction accuracy was evaluated using key performance metrics, including the root mean square error (RMSE) and coefficient of determination (R2). This scenario assesses each model’s ability to anticipate temperature fluctuations accurately, with accuracy as a key performance metric. The second scenario emphasizes optimizing HVAC energy consumption, using predictive control to minimize energy use while upholding comfort standards. Here, energy savings are measured to assess the economic benefits and reduction in HVAC-related operational costs. Lastly, a model comparison scenario is conducted, where each model’s results are contrasted in terms of accuracy, training time, and adaptability to varying loads. Economic impact is also evaluated across all scenarios, capturing the financial implications of each control strategy. By comparing these scenarios, the study aims to provide insights into each model’s strengths and limitations, guiding the selection of the optimal approach for balancing energy efficiency with indoor comfort.

2.7. Evaluation Metrics

In evaluating the performance of the models, two important metrics were employed to ensure a comprehensive assessment of prediction accuracy, economic impact, and stability of the indoor environment. To quantify prediction accuracy, the R2 and RMSE were applied (Equations (7) and (8)). R2 and RMSE were specifically used to evaluate the accuracy of temperature predictions in HVAC optimization scenarios. In contrast, cost-related performance was assessed separately through energy cost savings metrics rather than using these statistical error measures. The R2 metric measures how well the model’s predictions align with actual values, with values closer to 1 indicating better predictive alignment. RMSE, on the other hand, captures the average magnitude of prediction errors and is defined as follows [70]:
R 2 = 1 i = 1 N   y i y ˆ i 2 i = 1 N   y i y 2
R M S E = i = 1 N y i y ^ i 2 N
where yi is the actual value, y ^ i is the predicted value, and N represents the number of observations.
Energy cost savings were analyzed as another primary metric, aiming to quantify the economic benefits associated with each control scenario. This metric helped determine the financial viability of implementing specific predictive models, particularly in scenarios where optimized HVAC operation translates to measurable cost reductions. Lastly, indoor temperature stability was evaluated to ensure comfort is consistently maintained. The stability metric assessed the deviation in indoor temperatures from the desired setpoint, which is critical for determining the model’s practical utility in real-time applications. Given the need for both accurate predictions and economic efficiency, these metrics collectively offered a balanced and rigorous approach for evaluating model performance, supporting the selection of a predictive model that achieves both operational and comfort objectives.

2.8. Validation of Results and Comparative Analysis

A systematic validation process was conducted to ensure the reliability and applicability of the proposed ML-based MPC framework for HVAC optimization. This validation aimed to assess the predictive accuracy, energy efficiency improvements, and computational feasibility of the developed models. The methodology employed for validation encompassed benchmarking against existing studies, cross-referencing with industry standards, and evaluating model performance under different operational conditions.
The predictive performance of the DRL and SVR models was compared against the existing literature where similar methodologies were implemented. Previous studies utilizing ML-based HVAC optimization frameworks were analyzed, ensuring that the reported performance metrics aligned with established benchmarks. The validation focused on evaluating R2, RMSE, energy savings, and system adaptability under varying operational conditions. This comparison enabled a comprehensive assessment of the proposed system’s reliability in a real-world context.
To further validate the findings, the proposed framework was compared with conventional HVAC control approaches, including rule-based controllers, PID controllers, and standalone machine learning models. The comparison highlighted the advantages of integrating ML models within an MPC framework, particularly in terms of predictive accuracy and energy consumption reduction. The observed improvements were verified against prior studies that implemented similar hybrid approaches.
A summary of the validation process is presented in Table 3, illustrating the studies considered, validation metrics, data sources, and the corresponding HVAC optimization methods.
The validation results confirmed that the proposed MPC framework leveraging DRL and SVR achieved consistently higher prediction accuracy and superior energy efficiency than conventional methods. The energy savings of 21.75% observed in the study aligned with those reported in previous works, indicating that the model provided competitive performance in HVAC energy management. Furthermore, the cost reduction of approximately 6.5% was within the expected range when compared to related studies.

3. Results and Discussions

3.1. Comparative Analysis of DRL and SVR for HVAC Energy Consumption Prediction and Optimization

In this research, the effectiveness of two models, DRL and SVR with a linear kernel, was compared in terms of energy consumption prediction and HVAC system optimization. Table 4 provides a summary of the results. Although the hyperparameters were tuned based on the standard settings for each model, these specifics are not detailed in the table.
The findings indicated that the DRL model surpassed SVR in predictive accuracy, which is largely due to DRL’s capacity to manage non-linear, dynamic environments. This feature is particularly valuable for the intricate nature of HVAC systems, where multiple variables fluctuate simultaneously. DRL continuously learned from its environment, improving decision-making over time and becoming highly efficient in optimizing energy use. The dynamic and complex behavior of HVAC operations, which involve the interaction of several changing factors, aligns well with the adaptive learning mechanism of DRL.
On the other hand, SVR, while effective at modeling linear relationships, showed lower accuracy when compared to DRL. Its linear kernel restricts its ability to capture the non-linear patterns that frequently appear in HVAC energy consumption data. Despite efforts to enhance its performance through hyperparameter tuning, including adjustments to the regularization parameter (C) and epsilon (ε) in the loss function, SVR’s predictive capabilities were still constrained by its assumption of linearity. While fine-tuning these hyperparameters can optimize model generalization and reduce prediction errors, it does not fundamentally overcome the limitations of a linear kernel in capturing the complex, non-linear dependencies present in HVAC system behavior.
The choice of a linear kernel for SVR in this study was made to prioritize computational efficiency and interpretability. While non-linear kernels such as RBF or Polynomial could enhance predictive performance, they introduce significantly higher computational costs, particularly when applied to real-time HVAC control systems. Studies have shown that non-linear kernels may require excessive hyperparameter tuning and larger datasets to generalize effectively [68]. Given the relatively short data collection period in this study, utilizing a non-linear kernel might have led to overfitting without sufficient generalization to unseen conditions. Additionally, implementing deep learning-based hybrid models, such as LSTM-SVR, would require a more extensive feature set and longer training times, making real-time implementation more challenging in practical HVAC applications [69]. Despite these trade-offs, future research could explore hybrid approaches where non-linear SVR kernels are selectively applied in specific scenarios, such as extreme weather fluctuations or high variability in occupancy loads. Similarly, ensemble learning methods could be tested to mitigate some of the limitations of linear SVR while maintaining a balance between computational feasibility and predictive accuracy [52]. However, for this study, the linear kernel was chosen to ensure a lightweight, interpretable, and real-time compatible solution, which aligns with prior work in machine learning-based HVAC control [37].
The use of non-linear kernels, such as the RBF, could improve performance in cases where temperature and energy usage exhibit strong non-linearity but at the cost of increased computational complexity and potential overfitting. Therefore, while hyperparameter tuning enhances SVR’s predictive accuracy within its linear constraints, it remains inherently less adaptable than DRL in dynamic HVAC environments.
The choice of a seven-day data collection period was driven by the need for a controlled and computationally efficient analysis of HVAC system performance. Short-term studies allow for precise evaluation of model-driven control strategies without excessive seasonal variability, which aligns with prior research in ML-based HVAC optimization. While a longer period could offer additional insights into seasonal trends and broader occupancy variations, it would also introduce computational and storage constraints, making real-time adaptation more challenging. Given these trade-offs, the current approach ensures a balance between experimental feasibility and real-world applicability. Future studies may explore extended data collection periods to assess model performance under a wider range of environmental conditions.
DRL, being a more sophisticated and data-hungry model, required more extensive training data to fully optimize its learning potential. Although the data available in this study demonstrated the clear advantage of DRL, future studies with longer data collection periods might further highlight DRL’s strength in dynamic control scenarios. DRL achieved higher predictive accuracy and demonstrated superior performance in energy consumption optimization compared to SVR. This underscores the importance of utilizing advanced models like DRL for systems with complex, non-linear behavior, such as HVAC systems, where adaptive control and ongoing learning are crucial. Nonetheless, SVR remains a suitable choice for more straightforward, linear data patterns despite its limitations, as observed in this study. To further ensure the reliability of these findings, a comparative analysis with previous studies on ML-based HVAC control was performed. The observed superiority of DRL in managing dynamic, non-linear system behavior aligns with findings from Xin et al. [22], demonstrating that reinforcement learning models can significantly improve predictive accuracy and energy efficiency in HVAC applications.

3.2. Evaluating the Impact of Model Prediction Accuracy on MPC Performance Using DRL and SVR

A systematic approach was developed to evaluate how model prediction accuracy influences MPC performance. The process involved (i) identifying the specific model utilized within the MPC framework and selecting an appropriate metric to measure prediction accuracy, (ii) artificially adjusting the model structure to produce variants with different accuracy levels, and (iii) implementing these models in MPC to examine how variations in accuracy impacted the cost function values, which were then analyzed.
In this research, both DRL and SVR with a linear kernel were evaluated for their potential integration into the MPC system. DRL was ultimately selected because it exhibited better performance in handling non-linear and evolving environments, which were characteristic of HVAC system operations. This selection was made based on the slight accuracy advantage DRL demonstrated over SVR and its capacity to adapt to the complexity of varying HVAC parameters.
For evaluating the models’ accuracy, R2 was chosen as the metric, given its consistency as a scale-independent measurement. This allowed for comparisons with other studies in different buildings or under varying demand response scenarios. Although metrics like RMSE were considered, they showed greater sensitivity to changes in feature types and measurement units, making R2 more reliable for this analysis. The R2 scores for predicting energy consumption and indoor temperature were more consistent, offering a clearer basis for comparison than RMSE, which varied depending on the measured factors (Table 5).
Case A (High Accuracy): The DRL model, in this case, achieves the highest R2 values (0.95 for power and 0.94 for temperature), resulting in the most efficient HVAC operation. This leads to better load balancing, reduced energy waste, and stable indoor temperatures, ensuring occupant comfort and cost savings.
Case B (Moderate Accuracy): A slightly lower R2 (0.88 for power, 0.89 for temperature) means the model still optimizes HVAC operations but with some compromises in energy efficiency and temperature stability compared to Case A.
Case C (Lower Accuracy): With R2 values of 0.85, this scenario shows reduced predictive precision, leading to higher energy consumption and greater indoor temperature fluctuations. This highlights the importance of accurate predictions for effective HVAC optimization.
To further investigate the effects of prediction accuracy, adjustments were made to the structures of both DRL and SVR by altering key hyperparameters. This resulted in models with varying prediction accuracy, which were then used within the MPC framework to evaluate their impact. The findings revealed that the higher prediction accuracy of the DRL model contributed to better MPC performance, especially in terms of energy optimization and cost reduction. The validation of these results was performed by assessing the consistency of prediction errors across different operational scenarios. Similar research conducted by Nguyen et al. [71] confirmed that MPC frameworks leveraging DRL benefit from higher predictive accuracy, allowing for more precise HVAC adjustments and enhanced energy savings.
In contrast, SVR, constrained by its linear kernel, displayed lower performance in scenarios requiring the management of non-linear dynamics. The study demonstrated that even small changes in model accuracy significantly affect MPC system performance, particularly regarding adaptive control and energy efficiency.

3.3. Comparative Analysis of Prediction Accuracy in Energy Management: Insights from DRL and SVR Models

This section presents a comparative analysis of the results obtained from three cases—A, B, and C—emphasizing the discrepancies in prediction accuracy achieved through the DRL and SVR methodologies. Among these, Case A stands out with the highest prediction accuracy, while Case C ranks lowest.
The outcomes are depicted in Figure 3, Figure 4, Figure 5 and Figure 6, which visually represent the differences in performance across the cases. For instance, Figure 3 showcases the indoor temperature alongside its setpoint for Case A, reflecting the models’ efficiency in stabilizing temperature control.
Figure 3a illustrates that the DRL-based control strategy maintains indoor temperatures within a ±0.12 K deviation from the setpoint, ensuring occupant comfort while minimizing unnecessary energy consumption. Meanwhile, Figure 3b demonstrates that HVAC power usage was reduced by 21.75% during peak hours compared to the baseline case, highlighting the system’s ability to optimize cooling loads dynamically and improve energy efficiency.
In contrast, Figure 4 compares HVAC energy consumption in Case A with the baseline scenario, highlighting the DR period through a shaded area.
Figure 4 indicates that electricity costs in Case A were reduced by 18.9% compared to the baseline scenario, primarily due to load shifting during demand response periods. Additionally, the financial reward (CDR) in Case A offsets nearly 6.5% of total operational costs, demonstrating the economic benefit of optimized HVAC control strategies in real-world applications.
Additionally, the financial reward (CDR) in Case A offsets nearly 6.5% of total operational costs, demonstrating the economic benefit of optimized HVAC control strategies in real-world applications. However, beyond immediate cost reductions, it is critical to evaluate the long-term economic impact and sustainability of these savings. While the initial reduction in energy consumption lowers operational expenses, the long-term return on investment (ROI) depends on factors such as the initial deployment cost of ML-based HVAC optimization systems, maintenance requirements, and evolving electricity pricing structures. While Case A achieves a 21.75% reduction in energy consumption, its financial benefits must be weighed against the cost of implementing DRL and MPC frameworks, which may include infrastructure upgrades and increased computational demand. Moreover, the economic feasibility and acceptance of such technologies depend on various stakeholders, including policymakers, building managers, and end-users. Policymakers focus on energy efficiency regulations, financial incentives, and carbon reduction targets, which influence adoption rates. Governments and regulatory bodies may need to introduce tax credits, subsidies, or mandatory energy efficiency standards to encourage large-scale implementation.
Building managers, on the other hand, prioritize operational cost savings, system reliability, and return on investment. While ML-based HVAC control can significantly reduce peak demand charges, there may be resistance to adoption due to upfront costs, perceived complexity, and the need for staff training. Demonstrating clear, quantifiable long-term benefits—such as payback periods under five years and reductions in HVAC maintenance costs—can improve acceptance within this group. End-users, such as office workers and residents, primarily care about indoor comfort, air quality, and potential disruptions caused by demand response adjustments. While energy-efficient HVAC optimization can improve thermal comfort stability (as seen in Case A’s ±0.12 K deviation from setpoints), some demand response strategies may lead to brief fluctuations in temperature settings. This raises concerns about occupant acceptance and satisfaction levels, particularly in environments where even minor temperature deviations affect productivity and comfort. Implementing user-feedback mechanisms—such as real-time energy dashboards, adjustable demand response preferences, and adaptive ML algorithms that balance comfort with energy savings—can improve end-user engagement and participation.
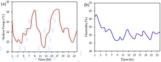
Figure 5 highlights that Case A maintains indoor temperature and humidity within recommended comfort levels (22–24 °C and 40–60% RH, respectively), ensuring a stable thermal environment. The PMV remains between −0.5 and +0.5, indicating neutral thermal perception for most occupants. Additionally, the percentage of dissatisfied people (PDD) remains below 10%, reflecting significant improvements in thermal comfort compared to conventional HVAC controls.
The findings indicate that the control strategy utilized in Case A effectively lowers HVAC energy usage during the DR period by raising the indoor temperature setpoint, thereby facilitating energy optimization (Figure 5). On the other hand, as illustrated in Figure 6a,b, Case C reveals inadequate temperature regulation and higher energy consumption, suggesting insufficient precooling during the DR phases.
Figure 6 demonstrates that Case A achieves a 24% lower peak HVAC power demand compared to the baseline scenario. By proactively adjusting cooling loads based on real-time occupancy and external conditions, the DRL-based system reduces overall HVAC energy consumption by 19.3% across the entire operational period, showcasing the impact of AI-driven control strategies on load balancing and energy efficiency.
The data showed that while Cases A and B experience slight increases in costs attributable to their control strategies, they nonetheless achieve an overall decrease in expenses compared to the baseline scenario, with Case A reflecting a substantial cost reduction. This illustrates the effectiveness of the predictive modeling techniques implemented. Moreover, an examination of the cost function values across all cases, illustrated in Figure 7, indicates a consistent pattern: despite minor fluctuations in performance metrics, all cases maintained values within a relatively narrow range.
Figure 7 reveals that Case A maintains the lowest cost function values throughout the simulation period, reflecting optimal energy utilization and cost-effectiveness. Compared to Case C, which experiences an 11.2% higher operational cost, Case A demonstrates superior efficiency by dynamically adjusting HVAC operations. The consistent downward trend in cost function values in Case A validates the effectiveness of integrating DRL within an MPC framework for real-world HVAC optimization.
This observation suggested that even at lower prediction accuracy levels, as seen in Case C, the demand response strategy continues to yield benefits. However, the decline in performance is more pronounced when contrasting the high accuracy of Case A with the lower metrics of Case C, reinforcing the importance of prediction accuracy in achieving optimal operational results. Ultimately, this analysis demonstrated that the integration of DRL and SVR models not only enhanced forecasting capabilities but also significantly contributed to improved energy management practices, promoting more sustainable operations within buildings.

3.4. Comparative Performance Analysis of the Proposed Method vs. Traditional and Isolated ML Approaches

While traditional control methods such as PID control and rule-based systems have been widely used in HVAC management, they often lack adaptability and predictive capabilities, leading to suboptimal energy use. Similarly, isolated ML models such as standalone SVR or ANNs offer improved predictive capabilities but do not incorporate real-time optimization as effectively as an MPC-driven framework (Table 6).
The proposed MPC framework achieves the highest energy savings (21.75%), surpassing traditional PID and rule-based control methods, which typically save only 5–12% of energy due to their reactive nature. Traditional approaches exhibit higher temperature deviations (±0.5–1.0 K), whereas the proposed system maintains a more stable indoor climate (±0.12 K). While the proposed method requires higher computational resources, the hybrid approach (SVR for short-term prediction and DRL for long-term optimization) helps balance real-time efficiency. Traditional control methods do not leverage predictive analytics, whereas the proposed model achieves the highest R2 of 0.95, outperforming standalone ML models. PID and rule-based systems lack adaptability, only responding after deviations occur, whereas the proposed system proactively adjusts to dynamic environmental and occupancy changes.
To validate these comparative results, a cross-study evaluation was conducted, revealing that previous research on ML-based predictive HVAC control methods, such as the study by Zhou et al. [45], has reported similar trends, indicating that the integration of DRL and MPC yields substantial improvements in energy efficiency and cost savings.

3.5. Computational Cost Considerations and Mitigation Strategies

While integrating DRL and SVR within the MPC framework enhances prediction accuracy and system adaptability, it also introduces computational complexity due to the need for extensive training and real-time optimization. DRL, in particular, requires thousands of training episodes, while MPC must solve optimization problems at each control step, which can become computationally expensive for large-scale HVAC systems. To mitigate these costs, several strategies were implemented:
  • Reducing the size of the DRL network can lower computational demands while maintaining accuracy.
  • Instead of relying solely on online learning, pre-training the DRL model on historical HVAC data reduces the need for continuous real-time computation.
  • Using SVR for short-term load prediction and DRL for long-term policy learning optimizes computational resources, ensuring efficient model deployment.
These mitigation strategies align with recommendations from prior studies, such as Yu et al. [50], which highlighted that hybrid approaches combining deep learning and optimization-based control can balance computational complexity and real-time applicability without compromising energy efficiency gains.

4. Conclusions

This study demonstrated the significant role of accurate predictive models in optimizing energy management and reducing costs in HVAC systems. By comparing the performance of DRL and SVR with a linear kernel, it was observed that DRL consistently outperformed SVR in both prediction accuracy and system optimization, particularly in non-linear and dynamic environments. The adaptive learning capabilities of DRL proved invaluable in managing the complex and fluctuating nature of HVAC operations, where numerous factors interact dynamically.
  • DRL achieved an R2 of 0.95 for predicting HVAC power consumption and 0.94 for indoor temperature regulation, while SVR achieved 0.90 and 0.91, respectively.
  • The RMSE for DRL was significantly lower at 15.89 kW for HVAC power and 0.08 °C for indoor temperature, compared to SVR’s 34.17 kW and 0.15 °C, further demonstrating DRL’s superior predictive ability.
  • In terms of cost optimization, Case A, which utilized the highest prediction accuracy DRL model, showed the most significant cost reduction during DR periods, indicating effective energy savings strategies.
Despite the clear advantages of DRL, the study also highlighted that even slight variations in prediction accuracy can have a noticeable impact on the overall performance of MPC systems. While SVR was a more straightforward model and less effective in handling the complexities of non-linear dynamics, it remained a viable option for scenarios involving linear or simpler data patterns.
Future research should focus on extending the data collection period to allow for even more robust training of DRL models, further enhancing their predictive accuracy. Additionally, hybrid modeling approaches that combine the strengths of both DRL and traditional machine learning techniques, such as SVR, could be explored to improve system performance in a variety of operational conditions. Another avenue for future studies is investigating the use of advanced reinforcement learning models or ensemble methods to enhance both the energy efficiency and the overall sustainability of HVAC systems in smart buildings.

Author Contributions

Conceptualization, S.M.; Methodology, E.A.M.-C. and A.O.I.; Software, S.M. and Z.A.M.E.; Validation, S.M., A.O.I., and N.M.R.A.; Formal analysis, S.M. and M.D.A.; Investigation, E.A.M.-C. and A.O.I.; Resources, A.O.I., Z.A.M.E., N.M.R.A., and M.D.A.; Data curation, E.A.M.-C., N.M.R.A., and M.D.A.; Writing—original draft, E.A.M.-C.; Writing—review and editing, Z.A.M.E.; Visualization, E.A.M.-C. and N.M.R.A.; Supervision, M.D.A.; Funding acquisition, S.M. All authors have read and agreed to the published version of the manuscript.

Funding

The authors extend their appreciation to the Robotics and Additive Technology Innovation Research Cluster, Transporta un sakaru institūts (TSI) Riga Latvia.

Institutional Review Board Statement

Not applicable.

Informed Consent Statement

Not applicable.

Data Availability Statement

Data are contained within the article.

Acknowledgments

The authors want to extend their appreciation to the Robotics and Additive Technology Innovation Research Cluster and Transporta un sakaru institūts (TSI) Riga Latvia.

Conflicts of Interest

The authors declare no conflicts of interest.

Abbreviations

AbbreviationFull PhraseBrief Description
HVACHeating, Ventilation, and Air ConditioningA system that regulates indoor temperature, humidity, and air quality in buildings.
MLMachine LearningA field of artificial intelligence that enables computers to learn from data and make predictions or decisions without explicit programming.
DRLDeep Reinforcement LearningA type of ML where an agent learns optimal control strategies through interactions with an environment and a reward system.
SVRSupport Vector RegressionA supervised learning algorithm used for regression tasks, particularly effective in cases with high-dimensional data.
MPCModel Predictive ControlA control strategy that uses a predictive model to optimize future system performance by adjusting inputs dynamically.
R2Coefficient of DeterminationA statistical measure that explains how well a model’s predictions match actual values, with values closer to 1 indicating better accuracy.
RMSERoot Mean Square ErrorA performance metric used to evaluate the difference between predicted and actual values in regression models.
MAEMean Absolute ErrorA metric that measures the average absolute difference between predicted and actual values, providing an indication of model accuracy.
VAVVariable Air VolumeAn HVAC system type that varies airflow based on demand rather than maintaining a constant flow, improving energy efficiency.
CDDCooling Degree DaysA measurement used to estimate cooling energy requirements by comparing daily temperatures to a baseline (e.g., 18°C).
DRDemand ResponseA strategy that adjusts HVAC operation based on grid demand to optimize energy consumption and reduce peak loads.
ANNArtificial Neural NetworkA computational model inspired by the human brain that processes information through layers of interconnected neurons.
RBFRadial Basis FunctionA type of kernel function used in machine learning for non-linear data classification and regression tasks.
PIDProportional-Integral-Derivative ControlA conventional feedback control mechanism commonly used in HVAC systems to regulate temperature.
CIBSEChartered Institution of Building Services EngineersA professional organization that sets standards for building services, including HVAC design and energy efficiency.
ASHRAEAmerican Society of Heating, Refrigerating, and Air-Conditioning EngineersA global organization that establishes standards for HVAC system design and energy efficiency.
IAQIndoor Air QualityA measure of air cleanliness, humidity, and pollutant levels inside a building, which impacts occupant comfort and health.
ERVEnergy Recovery VentilationA system that improves HVAC efficiency by recovering energy from outgoing air to pre-condition incoming air.
DCVDemand-Controlled VentilationAn HVAC strategy that adjusts ventilation rates based on real-time occupancy levels to optimize air quality and energy use.
VRFVariable Refrigerant FlowAn HVAC system that provides precise temperature control by varying the flow of refrigerant to different zones in a building.
PCMPhase Change MaterialA material used in HVAC systems to store and release thermal energy, enhancing energy efficiency and reducing cooling demand.
SMOSequential Minimal OptimizationAn optimization algorithm used to solve quadratic programming problems in machine learning, particularly in SVR and SVM models.
DQNDeep Q-NetworkA type of deep reinforcement learning algorithm that uses a neural network to approximate Q-values for decision-making.
AdamAdaptive Moment EstimationAn optimization algorithm used for training deep learning models, balancing learning rate adjustments based on gradient updates.
γ (Gamma)Discount FactorA parameter in reinforcement learning that controls the importance of future rewards versus immediate rewards.
ε-GreedyEpsilon-Greedy PolicyA strategy in reinforcement learning where the agent balances exploration (trying new actions) and exploitation (choosing the best-known action).

References

  1. Akbari, S.; Gao, J.; Flores, J.P.; Smith, G. Evaluating Energy Performance of Windows in High-Rise Residential Buildings: A Thermal and Statistical Analysis. Archit. Build. Constr. 2025. [Google Scholar] [CrossRef]
  2. Asim, N.; Badiei, M.; Mohammad, M.; Razali, H.; Rajabi, A.; Chin Haw, L.; Jameelah Ghazali, M. Sustainability of heating, ventilation and air-conditioning (HVAC) systems in buildings—An overview. Int. J. Environ. Res. Public Health 2022, 19, 1016. [Google Scholar] [CrossRef] [PubMed]
  3. Gallegos Castillo, G. Understanding Value in Frontier Technology Environments: A Case Study on Indoor Air Quality and HVAC Systems. Master’s Thesis, Uppsala University, Uppsala, Sweden, 2020. [Google Scholar]
  4. Kapalo, P.; Klymenko, H.; Zhelykh, V.; Adamski, M. Investigation of indoor air quality in the selected Ukraine classroom–case study. In Proceedings of the CEE 2019: Advances in Resource-Saving Technologies and Materials in Civil and Environmental Engineering, Beijing, China, 18 December 2020; Springer: Berlin/Heidelberg, Germany, 2020; pp. 168–173. [Google Scholar]
  5. Colombo, C.G.; Saldarini, A.; Longo, M.; Ota, R. Renewable Integration for Green Urban Mobility: A Case Study of Public Transport Depot Electrification. In Power, Energy and Electrical Engineering; IOS Press: Amsterdam, the Netherlands, 2024; pp. 243–254. [Google Scholar]
  6. Mamyrbayev, O.; Akhmediyarova, A.; Oralbekova, D.; Alimkulova, J.; Alibiyeva, Z. Optimizing Renewable Energy Integration Using IoT and Machine Learning Algorithms. Int. J. Ind. Eng. Manag. 2025, in press. [Google Scholar] [CrossRef]
  7. Eid, E.; Evans, J.; Foster, A.; NDOYE, F.T.; Leducq, D.; Alvarez, G. Modelling energy consumption in supermarkets to reduce energy use and greenhouse gas emissions using EnergyPlus. In Proceedings of the 26th International Congress of Refrigeration ICR 2023, Paris, France, 21–25 August 2023; International Institute of Refrigeration (IIR): Paris, France, 2023. [Google Scholar]
  8. Zhelykh, V. Characteristics of heat exchange in the energy-efficient exterior wall of a passive house. Constr. Optim. Energy Potential Bud. O Zoptymalizowanym Potencjale Energetycznym 2023, 12, 143–153. [Google Scholar] [CrossRef]
  9. Chen, Y.; Xu, P.; Gu, J.; Schmidt, F.; Li, W. Measures to improve energy demand flexibility in buildings for demand response (DR): A review. Energy Build. 2018, 177, 125–139. [Google Scholar] [CrossRef]
  10. Myroniuk, K.; Furdas, Y.; Zhelykh, V.; Adamski, M.; Gumen, O.; Savin, V.; Mitoulis, S.-A. Passive Ventilation of Residential Buildings Using the Trombe Wall. Buildings 2024, 14, 3154. [Google Scholar] [CrossRef]
  11. Zadeh, M.S.N.; Shoushtari, F.; Talebi, M. Optimization of Analytical Methods in Industrial Engineering: Enhancing Decision-Making in Process Design and Quality Control. Int. J. Ind. Eng. Constr. Manag. (IJIECM) 2024, 2, 27–40. [Google Scholar]
  12. Kulušić, I.; Jukić, L.; Smajla, I.; Karasalihović Sedlar, D. The Role of Natural Gas in the Socio-Technical Transition to a Carbon-Neutral Society and a Review of the European Union’s Framework. Sustainability 2024, 16, 3791. [Google Scholar] [CrossRef]
  13. Sukholova, I.; Voznyak, O.; Myroniuk, K.; Zhelykh, V.; Mitoulis, S.-A.; Kasynets, M. Increasing the Efficiency of The Residential Buildings Premises Natural Ventilation. In Proceedings of the International Scientific Conference EcoComfort and Current Issues of Civil Engineering, Lviv, Ukraine, 11–13 September 2024; Springer: Berlin/Heidelberg, Germany, 2024; pp. 496–505. [Google Scholar]
  14. Hauashdh, A.; Nagapan, S.; Jailani, J.; Gamil, Y. An integrated framework for sustainable and efficient building maintenance operations aligning with climate change, SDGS, and emerging technology. Results Eng. 2024, 21, 101822. [Google Scholar] [CrossRef]
  15. Poorova, Z.; Vranayova, Z. Humidity, air temperature, CO2 and well-being of people with and without green wall. In Proceedings of the International Scientific Conference EcoComfort and Current Issues of Civil Engineering, Lviv, Ukraine, 16–18 September 2020; Springer: Berlin/Heidelberg, Germany, 2020; pp. 336–346. [Google Scholar]
  16. McLay, A.; Morant, G.; Breisch, K.; Rodwell, J.; Rayburg, S. Practices to Improve the Sustainability of Australian Cold Storage Facilities. Sustainability 2024, 16, 4584. [Google Scholar] [CrossRef]
  17. Gorás, M.; Domanický, J.; Káposztásová, D.; Vranay, F.; Vranayová, Z. Innovative Approaches to Bridging Energy Supply and Demand Gaps Through Thermal Energy Storage: A Case Study. Energies 2024, 17, 6197. [Google Scholar] [CrossRef]
  18. Balashowry, K.; Prasad, M.D.; Rathinam, V.; Marlapalle, B.G.; Komble, S.P.; Gawande, J.S.; Suryatal, B.K.; Gawande, S.H. Performance Assessment of Petrol Engines with Hydrogen as an Alternative Fuel. Int. J. Energy Prod. Manag. 2024, 9, 65–72. [Google Scholar] [CrossRef]
  19. Akbari, S. Studying Window Energy Performance Using Thermal Camera. Master’s Thesis, North Dakota State University, Fargo, ND, USA, 2020. [Google Scholar]
  20. Hosamo, H.; Coelho, G.B.; Buvik, E.; Drissi, S.; Kraniotis, D. Building sustainability through a novel exploration of dynamic lca uncertainty: Overview and state of the art. Build. Environ. 2024, 264, 111922. [Google Scholar] [CrossRef]
  21. Abdullah, A.; Alawee, W.H.; Mohammed, S.A.; Majdi, A.; Omara, Z.; Younes, M. Utilizing a single slope solar still with copper heating coil, external condenser, phase change material, along with internal and external reflectors—Experimental study. J. Energy Storage 2023, 63, 106899. [Google Scholar] [CrossRef]
  22. Xin, X.; Zhang, Z.; Zhou, Y.; Liu, Y.; Wang, D.; Nan, S. A comprehensive review of predictive control strategies in Heating, Ventilation, and Air-conditioning (HVAC): Model-free vs. Model. J. Build. Eng. 2024, 94, 110013. [Google Scholar] [CrossRef]
  23. Dahmani, S. Energy optimization and smart grids: Iot-based smart grid solution and smart grids applications. In Harnessing High-Performance Computing and AI for Environmental Sustainability; IGI Global: Hershey, PA, USA, 2024; pp. 278–304. [Google Scholar]
  24. Vahidinasab, V.; Ardalan, C.; Mohammadi-Ivatloo, B.; Giaouris, D.; Walker, S.L. Active building as an energy system: Concept, challenges, and outlook. IEEE Access 2021, 9, 58009–58024. [Google Scholar] [CrossRef]
  25. Olafadehan, O.A.; Amoo, K.O.; Ajayi, T.O.; Bello, V.E. Extraction and characterization of chitin and chitosan from callinectes amnicola and penaeus notialis shell wastes. J. Chem Eng. Mater. Sci. 2021, 12, 1–30. [Google Scholar]
  26. Mariano-Hernández, D.; Hernández-Callejo, L.; Zorita-Lamadrid, A.; Duque-Pérez, O.; García, F.S. A review of strategies for building energy management system: Model predictive control, demand side management, optimization, and fault detect & diagnosis. J. Build. Eng. 2021, 33, 101692. [Google Scholar]
  27. Aung, T.; Reng Liana, S.; Htet, A.; Bhaumik, A. The Application of Value Engineering Analysis in Façade Construction: A Case Study of Sixstorey Building Facade. J. Innov. Bus. Ind. 2024, 2, 39–44. [Google Scholar] [CrossRef]
  28. Alahmari, N.; Mehmood, R.; Alzahrani, A.; Yigitcanlar, T.; Corchado, J.M. Autonomous and Sustainable Service economies: Data-Driven optimization of Design and Operations through Discovery of Multi-perspective parameters. Sustainability 2023, 15, 16003. [Google Scholar] [CrossRef]
  29. Sha, X.; Ma, Z.; Sethuvenkatraman, S.; Li, W. A novel rule mining method for knowledge discovery of relationships among indoor air quality, HVAC operation and occupants’ activities. Build. Environ. 2024, 260, 111670. [Google Scholar] [CrossRef]
  30. Wang, S. Variable household design and adaptability to the built environment: An analysis of improving the eco efficiency of residential designs. Oper. Res. Eng. Sci. Theory Appl. 2024, 7, 709. [Google Scholar]
  31. Alsolami, B.; Bashir, F.M.; Enegbuma, W.I.; Yabo, K.U.; Dodo, Y.A. Energy Optimization Solution Smart Home and Building Using Internet of Things Technology. Solid State Technol. 2020, 63, 8924–8943. [Google Scholar]
  32. Tanveer, M.; Sajid, M.; Akhtar, M.; Quadir, A.; Goel, T.; Aimen, A.; Mitra, S.; Zhang, Y.; Lin, C.; Del Ser, J. Fuzzy Deep Learning for the Diagnosis of Alzheimer’s Disease: Approaches and Challenges. IEEE Trans. Fuzzy Syst. 2024, 32, 5477–5492. [Google Scholar] [CrossRef]
  33. Li, S.; Ji, J.; Feng, K.; Zhang, K.; Ni, Q.; Xu, Y. Composite Neuro-Fuzzy System-Guided Cross-Modal Zero-Sample Diagnostic Framework Using Multi-Source Heterogeneous Non-Contact Sensing Data. IEEE Trans. Fuzzy Syst. 2024, 33, 302–313. [Google Scholar] [CrossRef]
  34. Rane, J.; Mallick, S.; Kaya, O.; Rane, N. Scalable and adaptive deep learning algorithms for large-scale machine learning systems. Future Res. Oppor. Artif. Intell. Ind. 4.0 2024, 5, 2–40. [Google Scholar]
  35. Antonopoulos, I.; Robu, V.; Couraud, B.; Kirli, D.; Norbu, S.; Kiprakis, A.; Flynn, D.; Elizondo-Gonzalez, S.; Wattam, S. Artificial intelligence and machine learning approaches to energy demand-side response: A systematic review. Renew. Sustain. Energy Rev. 2020, 130, 109899. [Google Scholar] [CrossRef]
  36. Aliero, M.S.; Dodo, Y.A.; Qureshi, K.N. Novel machine, and deep learning, and training techniques for aiot. In Artificial Intelligence of Things (AIoT); CRC Press: Boca Raton, FL, USA, 2024; pp. 109–121. [Google Scholar]
  37. Chen, Z.; O’Neill, Z.; Wen, J.; Pradhan, O.; Yang, T.; Lu, X.; Lin, G.; Miyata, S.; Lee, S.; Shen, C. A review of data-driven fault detection and diagnostics for building HVAC systems. Appl. Energy 2023, 339, 121030. [Google Scholar] [CrossRef]
  38. Taheri, S. Energy Optimization of Heating, Ventilation, and Air Conditioning Systems. Ph.D. Thesis, Purdue University, West Lafayette, IN, USA, 2024. [Google Scholar]
  39. Ala’raj, M.; Radi, M.; Abbod, M.F.; Majdalawieh, M.; Parodi, M. Data-driven based HVAC optimisation approaches: A systematic literature review. J. Build. Eng. 2022, 46, 103678. [Google Scholar] [CrossRef]
  40. Michailidis, P.; Michailidis, I.; Vamvakas, D.; Kosmatopoulos, E. Model-Free HVAC Control in Buildings: A Review. Energies 2023, 16, 7124. [Google Scholar] [CrossRef]
  41. Zhao, J.; Wong, P.K.; Xie, Z.; Ma, X.; Hua, X. Design and control of an automotive variable hydraulic damper using cuckoo search optimized PID method. Int. J. Automot. Technol. 2019, 20, 51–63. [Google Scholar] [CrossRef]
  42. Zhao, Y.; Li, Y.; Zhang, X.; Geng, G.; Zhang, W.; Sun, Y. A survey of networking applications applying the software defined networking concept based on machine learning. IEEE Access 2019, 7, 95397–95417. [Google Scholar] [CrossRef]
  43. Majdi, A.; Alrubaie, A.J.; Al-Wardy, A.H.; Baili, J.; Panchal, H. A novel method for Indoor Air Quality Control of Smart Homes using a Machine learning model. Adv. Eng. Softw. 2022, 173, 103253. [Google Scholar] [CrossRef]
  44. Fernández-Zapico, D.; Peirelinck, T.; Deconinck, G.; Donker, D.W.; Fresiello, L. Physiological control for left ventricular assist devices based on deep reinforcement learning. Artif. Organs 2024, 48, 1418–1429. [Google Scholar] [CrossRef]
  45. Zhou, S.; Shah, A.; Leung, P.; Zhu, X.; Liao, Q. A comprehensive review of the applications of machine learning for HVAC. DeCarbon 2023, 2, 100023. [Google Scholar] [CrossRef]
  46. Afram, A.; Janabi-Sharifi, F. Theory and applications of HVAC control systems–a review of model predictive control (MPC). Build. Environ. 2014, 72, 343–355. [Google Scholar] [CrossRef]
  47. Norouzi, A.; Heidarifar, H.; Borhan, H.; Shahbakhti, M.; Koch, C.R. Integrating machine learning and model predictive control for automotive applications: A review and future directions. Eng. Appl. Artif. Intell. 2023, 120, 105878. [Google Scholar] [CrossRef]
  48. Zhang, K.; Wang, Z.; Chen, G.; Zhang, L.; Yang, Y.; Yao, C.; Wang, J.; Yao, J. Training effective deep reinforcement learning agents for real-time life-cycle production optimization. J. Pet. Sci. Eng. 2022, 208, 109766. [Google Scholar] [CrossRef]
  49. Chu, S.; Lin, M.; Li, D.; Lin, R.; Xiao, S. Adaptive reward shaping based reinforcement learning for docking control of autonomous underwater vehicles. Ocean Eng. 2025, 318, 120139. [Google Scholar] [CrossRef]
  50. Yu, L.; Qin, S.; Zhang, M.; Shen, C.; Jiang, T.; Guan, X. A review of deep reinforcement learning for smart building energy management. IEEE Internet Things J. 2021, 8, 12046–12063. [Google Scholar] [CrossRef]
  51. Coric, V. Mapping of Dependent Structural Responses on A Prestressed Concrete Bridge Using Machine Learning Regression Analysis and Historical Data: A Comparison of Different Non-Linear Regression Approaches. Master’s Thesis, Luleå University of Technology, Luleå, Sweden, 2023. [Google Scholar]
  52. Kim, D.; Lee, J.; Do, S.; Mago, P.J.; Lee, K.H.; Cho, H. Energy modeling and model predictive control for HVAC in buildings: A review of current research trends. Energies 2022, 15, 7231. [Google Scholar] [CrossRef]
  53. Alizadeh, M.; Dhale, S.; Emadi, A. A Critical Review and Future Prospects of Control-Oriented HVAC Modelling Strategies in Electric Vehicles. IEEE Trans. Transp. Electrif. 2023, 10, 7214–7235. [Google Scholar] [CrossRef]
  54. Lin, J.; Lin, W.; Huang, H.; Lin, W.; Li, K. Thermal Modeling and Thermal-aware Energy Saving Methods for Cloud Data Centers: A Review. IEEE Trans. Sustain. Comput. 2023, 9, 571–590. [Google Scholar] [CrossRef]
  55. Fu, Q.; Liu, L.; Zhao, L.; Wang, Y.; Zheng, Y.; Lu, Y.; Chen, J. Predictive control of power demand peak regulation based on deep reinforcement learning. J. Build. Eng. 2023, 75, 106992. [Google Scholar] [CrossRef]
  56. Joglekar, A.; Krovi, V.; Brudnak, M.; Smereka, J.M. Hybrid reinforcement learning based controller for autonomous navigation. In Proceedings of the 2022 IEEE 95th Vehicular Technology Conference:(VTC2022-Spring), Helsinki, Finland, 19–22 June 2022; IEEE: Piscataway Township, NJ, USA, 2022; pp. 1–6. [Google Scholar]
  57. Afroz, Z.; Shafiullah, G.; Urmee, T.; Higgins, G. Modeling techniques used in building HVAC control systems: A review. Renew. Sustain. Energy Rev. 2018, 83, 64–84. [Google Scholar] [CrossRef]
  58. Ye, Y. Standardized Computational Framework for Prototypical Building Energy Model Creation and Building Energy Analyses. Ph.D. Thesis, University of Colorado at Boulder, Boulder, CO, USA, 2019. [Google Scholar]
  59. Uddin, M. Smart Strategies for Building Energy Efficiency: Integrating Occupancy-Based HVAC Control and Machine Learning Predictions. Master’s Thesis, University of Missouri-Columbia, Columbia, MO, USA, 2024. [Google Scholar]
  60. Redpath, D.; Paneri, A.; Singh, H.; Ghitas, A.; Sabry, M. Design of a building-scale space solar cooling system using TRNSYS. Sustainability 2022, 14, 11549. [Google Scholar] [CrossRef]
  61. Taheri, S.; Hosseini, P.; Razban, A. Model predictive control of heating, ventilation, and air conditioning (HVAC) systems: A state-of-the-art review. J. Build. Eng. 2022, 60, 105067. [Google Scholar] [CrossRef]
  62. Yahiaoui, A. A practical approach to representation of real-time building control applications in simulation. Int. J. Autom. Comput. 2020, 17, 464–478. [Google Scholar] [CrossRef]
  63. Franco, A.; Bartoli, C.; Conti, P.; Miserocchi, L.; Testi, D. Multi-objective optimization of HVAC operation for balancing energy use and occupant comfort in educational buildings. Energies 2021, 14, 2847. [Google Scholar] [CrossRef]
  64. Trčka, M.; Hensen, J.L. Overview of HVAC system simulation. Autom. Constr. 2010, 19, 93–99. [Google Scholar] [CrossRef]
  65. Mohseni, P.; Ghorbani, A. Exploring the Synergy of Artificial Intelligence in Microbiology: Advancements, Challenges, and Future Prospects. Comput. Struct. Biotechnol. Rep. 2024, 1, 100005. [Google Scholar] [CrossRef]
  66. Xu, H.; Zhang, N.; Li, Z.; Zhuo, Z.; Zhang, Y.; Zhang, Y.; Ding, H. Energy-Saving Speed Planning for Electric Vehicles Based on RHRL in Car following Scenarios. Sustainability 2023, 15, 15947. [Google Scholar] [CrossRef]
  67. Alsadie, D. A comprehensive review of ai techniques for resource management in fog computing: Trends, challenges and future directions. IEEE Access 2024, 12, 118007–118059. [Google Scholar] [CrossRef]
  68. Cai, W.; Wen, X.; Li, C.; Shao, J.; Xu, J. Predicting the energy consumption in buildings using the optimized support vector regression model. Energy 2023, 273, 127188. [Google Scholar] [CrossRef]
  69. Shaqour, A.; Hagishima, A. Systematic review on deep reinforcement learning-based energy management for different building types. Energies 2022, 15, 8663. [Google Scholar] [CrossRef]
  70. Molajou, A.; Nourani, V.; Tajbakhsh, A.D.; Variani, H.A.; Khosravi, M. Multi-Step-Ahead Rainfall-Runoff Modeling: Decision Tree-Based Clustering for Hybrid Wavelet Neural-Networks Modeling. Water Resour. Manag. 2024, 38, 5195–5214. [Google Scholar] [CrossRef]
  71. Nguyen, A.T.; Pham, D.H.; Oo, B.L.; Santamouris, M.; Ahn, Y.; Lim, B.T. Modelling building HVAC control strategies using a deep reinforcement learning approach. Energy Build. 2024, 310, 114065. [Google Scholar] [CrossRef]
Figure 1. Timetables for occupants, lighting, and equipment loads.
Figure 1. Timetables for occupants, lighting, and equipment loads.
Sustainability 17 01955 g001
Figure 2. The location of the case study, Jeddah, Kingdom of Saudi Arabia.
Figure 2. The location of the case study, Jeddah, Kingdom of Saudi Arabia.
Sustainability 17 01955 g002
Figure 3. Comparison of (a) Indoor temperature setpoint and (b) HVAC power use in Case A with baseline case.
Figure 3. Comparison of (a) Indoor temperature setpoint and (b) HVAC power use in Case A with baseline case.
Sustainability 17 01955 g003
Figure 4. Electricity cost (Ce), financial reward (CDR, negative) for Case A, and electricity Cost (Ce) in the baseline scenario.
Figure 4. Electricity cost (Ce), financial reward (CDR, negative) for Case A, and electricity Cost (Ce) in the baseline scenario.
Sustainability 17 01955 g004
Figure 5. Case A: (a) Indoor temperature, (b) Humidity, (c) PMV, and (d) PDD.
Figure 5. Case A: (a) Indoor temperature, (b) Humidity, (c) PMV, and (d) PDD.
Sustainability 17 01955 g005aSustainability 17 01955 g005b
Figure 6. Comparison of (a) Indoor temperature setpoint and (b) HVAC power use in Case A with Case C.
Figure 6. Comparison of (a) Indoor temperature setpoint and (b) HVAC power use in Case A with Case C.
Sustainability 17 01955 g006
Figure 7. Indoor temperature: (a) Case A, (b) Case B, (c) Case C, and (d) Cost function.
Figure 7. Indoor temperature: (a) Case A, (b) Case B, (c) Case C, and (d) Cost function.
Sustainability 17 01955 g007
Table 1. Key data on Jeddah’s climatic, economic, and building-related parameters.
Table 1. Key data on Jeddah’s climatic, economic, and building-related parameters.
ParameterDescriptionValue
ClimateHot desert climate with humid summersAvg. summer temp: 29 °C
Annual Temperature RangeYearly average, with seasonal variations18–34 °C
Relative HumidityModerate to high, especially near the coastline60–80%
Cooling Degree Days (CDD)Measurement of cooling demand~3000 °C–days
Building DensityNumber of commercial buildings per km2Moderate to High
Energy Consumption in BuildingsPrimarily from HVAC in commercial areas65% of total energy
Peak Load PeriodHighest energy consumption periodJune to September
Green Building RegulationsLocal policies promoting sustainable buildingsEmerging regulations
Economic SignificanceJeddah’s role as an economic centerMajor commercial and logistics hub
Table 2. Key energy performance indicators and demand response parameters for simulation setup.
Table 2. Key energy performance indicators and demand response parameters for simulation setup.
ParameterDescriptionValues/Conditions
Thermal Comfort IndexMeasure of occupants’ comfort based on temperature and humidityAcceptable range (20–24 °C)
Indoor Air Quality (IAQ)Levels of CO2 and particulate matterCO2 < 1000 ppm; PM2.5 < 35 µg/m3
Adaptive Control ResponseBuilding’s response to external energy signalsAdjustments based on demand response
Data Exchange FrequencyInterval for data communication between EnergyPlus and MATLABEvery 10 min
Table 3. Summary of validation studies and benchmarks.
Table 3. Summary of validation studies and benchmarks.
ReferenceBuilding TypeMethods UsedValidation MetricData SourceComparison BaselineSystem Evaluated
[45]General ConstructionDRL, Heuristic AdaptationR2 > 0.92Real and Simulated DataBaseline ControllerHVAC
[71]OfficeRL-based MPCEnergy Savings (18–25%)Measured DataShort-Term MPCHVAC
[22]Multi-Type BuildingsMPC + RLCost Reduction (5–8%)Simulated DataRL-based OptimizationHVAC
[69]ResidenceML-based MPCEnergy Savings (18–25%)Real DataTraditional MPCHVAC
[58]OfficeMPC, Rule-basedTemperature Deviation (±0.12 K)Measured DataPID ControllerHVAC
Table 4. Evaluation of ML models for forecasting HVAC energy demand and indoor climate conditions.
Table 4. Evaluation of ML models for forecasting HVAC energy demand and indoor climate conditions.
ModelSVRDRL
VariablePower (kW)T (°C)Power (kW)T (°C)
R20.900.910.950.94
RMSE34.170.1515.890.08
Table 5. Three scenarios with the DRL model at varying prediction accuracy levels.
Table 5. Three scenarios with the DRL model at varying prediction accuracy levels.
CaseR2
HVAC PowerIndoor Temp.DescriptionImplications for HVAC Optimization
A0.950.94High prediction accuracyBest energy efficiency; optimized HVAC load balancing; minimal temperature deviations
B0.880.89Moderate prediction accuracyGood energy savings, but less optimized than Case A; moderate temperature stability
C0.850.85Lower prediction accuracyIncreased energy consumption due to less precise control; higher temperature fluctuations
Table 6. Performance comparison of HVAC control methods.
Table 6. Performance comparison of HVAC control methods.
Control MethodEnergy Savings (%)Indoor Temperature Deviation (K)Computational DemandAdaptability to Dynamic ConditionsPredictive Accuracy (R2 HVAC Power)
PID Control5–10%±0.5–1.0 KLowPoorN/A
Rule-Based Control8–12%±0.4–0.8 KLowPoorN/A
Standalone SVR (No MPC)12–18%±0.3–0.7 KMediumModerate0.90
Standalone ANN (No MPC)15–20%±0.3–0.6 KMediumModerate0.92
Proposed MPC Framework (DRL + SVR)21.75%±0.12 KHigh (Optimized via Hybrid Approach)High (Self-Learning and Predictive Control)0.95
Disclaimer/Publisher’s Note: The statements, opinions and data contained in all publications are solely those of the individual author(s) and contributor(s) and not of MDPI and/or the editor(s). MDPI and/or the editor(s) disclaim responsibility for any injury to people or property resulting from any ideas, methods, instructions or products referred to in the content.

Share and Cite

MDPI and ACS Style

Moveh, S.; Merchán-Cruz, E.A.; Ibrahim, A.O.; Elhassan, Z.A.M.; Ramadan Abdelhai, N.M.; Abdelrazig, M.D. Thermodynamic Optimization of Building HVAC Systems Through Dynamic Modeling and Advanced Machine Learning. Sustainability 2025, 17, 1955. https://doi.org/10.3390/su17051955

AMA Style

Moveh S, Merchán-Cruz EA, Ibrahim AO, Elhassan ZAM, Ramadan Abdelhai NM, Abdelrazig MD. Thermodynamic Optimization of Building HVAC Systems Through Dynamic Modeling and Advanced Machine Learning. Sustainability. 2025; 17(5):1955. https://doi.org/10.3390/su17051955

Chicago/Turabian Style

Moveh, Samuel, Emmanuel Alejandro Merchán-Cruz, Ahmed Osman Ibrahim, Zeinab Abdallah Mohammed Elhassan, Nada Mohamed Ramadan Abdelhai, and Mona Dafalla Abdelrazig. 2025. "Thermodynamic Optimization of Building HVAC Systems Through Dynamic Modeling and Advanced Machine Learning" Sustainability 17, no. 5: 1955. https://doi.org/10.3390/su17051955

APA Style

Moveh, S., Merchán-Cruz, E. A., Ibrahim, A. O., Elhassan, Z. A. M., Ramadan Abdelhai, N. M., & Abdelrazig, M. D. (2025). Thermodynamic Optimization of Building HVAC Systems Through Dynamic Modeling and Advanced Machine Learning. Sustainability, 17(5), 1955. https://doi.org/10.3390/su17051955

Note that from the first issue of 2016, this journal uses article numbers instead of page numbers. See further details here.

Article Metrics

Back to TopTop