Next Article in Journal
A Study on the Evolutionary Game of the Four-Party Agricultural Product Supply Chain Based on Collaborative Governance and Sustainability
Next Article in Special Issue
Evaluating the Economic Performance of Park City Policy—Based on the Penalized Version of Synthetic Control Method
Previous Article in Journal
Measurement of New Quality Productivity Development Level and Factor Identification of Obstacle Factors Based on the Analysis of Provincial Panel Data in China
 
 
Font Type:
Arial Georgia Verdana
Font Size:
Aa Aa Aa
Line Spacing:
Column Width:
Background:
Article

The Impact of the National Civilized City Evaluation on Urban Resilience from the Perspective of Administrative Competition

1
School of Philosophy, Nanjing University, Nanjing 210093, China
2
School of Political Science and Public Administration, Soochow University, Suzhou 215006, China
*
Author to whom correspondence should be addressed.
Sustainability 2025, 17(4), 1763; https://doi.org/10.3390/su17041763
Submission received: 30 November 2024 / Revised: 15 February 2025 / Accepted: 17 February 2025 / Published: 19 February 2025
(This article belongs to the Special Issue Sustainable and Smart City: Planning for Resilience)

Abstract

Resilience refers to a city’s ability to withstand risks. Research into the impacts of Chinese urban governance models on urban resilience is limited; thus, in this study, we used a difference-in-differences approach and a spatial spillover model to examine the effects of the national civilized city evaluation on urban resilience based on data from 263 prefecture-level cities in China from 2009 to 2019. Data analysis results indicate that the national civilized city evaluation not only enhances urban resilience but also promotes the urban resilience levels of neighboring cities. Furthermore, a city’s digital economy can strengthen the effects of the national civilized city evaluation on its urban resilience. Our conclusions suggest that the government should refine the national civilized city evaluation system, coordinate digital economic development, optimize the spatial layouts of cities, and better utilize the urban governance efficacy of the evaluation.

1. Introduction

From 1978 to 2021, China’s urbanization ratio rose from 17.92% to 65.22%. Urbanization drives substantial population growth and resource concentration, resulting in complex and interconnected urban systems [1]. The increasing urbanization rate has also introduced various unpredictable safety risks to cities, including natural disasters, public threats, environmental pollution, and extreme weather events [2,3]. Furthermore, urban risks exhibit compound characteristics, such as overlap and interconnectedness [4], causing significant city losses [5,6]. Enhancing disaster resilience and reducing disaster-related risk and loss have become critical issues for contemporary cities [7]. Consequently, over the last decade, resilience has gained prominence in international policy and academic discourse, emerging as a pivotal concept in urban management [8] and attracting considerable attention, with researchers providing new ideas and approaches for cities to mitigate risks and address urban problems [9].
In 2021, China incorporated the concept of “building resilient cities” into its national development plan for the first time. Many cities have recognized the significance of resilience for sustainable urban development and have taken measures to enhance urban resilience; however, enhancing urban resilience is a complex process that involves multiple stakeholders, requires comprehensive planning, and must address a wide range of potential risks [10]. Although the general level of urban resilience in China is gradually improving [11], it remains relatively low [12], and a significant gap lies between urban resilience goals and implementation capacity [13].
In order to narrow the gap, a holistic approach is essential to handle diverse urban challenges, requiring government agencies to thoroughly assess the contributions of multiple stakeholders, build a networked collaborative governance framework, and augment cities’ capacities to withstand and recover from a spectrum of adversities [14,15]. Enhancing urban resilience involves addressing conflicts stemming from diverse perspectives on numerous issues, as well as interactions between policy networks and their stakeholders. A comprehensive approach is also essential to promoting urban resilience [16]; thus, in recent years, China has initiated the national civilized city evaluation as a model of urban governance, aiming to build a new type of city that is sustainable, harmonious, and environmentally friendly through the most influential urban governance model in China [17]. In order to meet the criteria of the evaluation, each city established a team, directed by key leaders, and set up committees—including urban management, economics, environmental protection, and other departments—to define sector responsibilities and objectives, strengthen coordination, and establish a co-building, co-governance, and co-sharing urban governance system.
The national civilized city evaluation is a holistic urban governance model prioritizing the integrated development of spiritual, material, political, and ecological aspects of cities [18]; however, studies examining the influences of these aspects on enhancing urban resilience are still limited. As a national civilized city evaluation represents a typical example of a competitive administrative system [19], studies indicate that it has spatial spillover effects on public service promotion [20]; thus, it is worthwhile to explore whether national civilized city evaluation can boost adjacent cities’ resilience levels. In addition, China’s cities have vigorously developed their digital economies in recent years, which has introduced new opportunities for urban management [21]. Many studies indicate that the digital economy greatly affects urban economic resilience [22], and the digital economy’s growth can provide valuable information, boost resource allocation efficiency, and support sustainable urban development [23]. It is also worth investigating whether the digital economy can strengthen the national civilized city assessment’s impact on urban resilience and aid in policy coordination with the evaluation.
Accordingly, drawing upon administrative competition and government competition theories, we primarily concentrate on examining the direct influences and spatial spillover effects of the national civilized city assessment on urban resilience, as well as exploring whether urban digital economy growth can strengthen the link between the assessment and urban resilience. The contributions of this research are as follows. First, the national civilized city evaluation is an urban governance model with distinct Chinese characteristics. Exploring its impact on urban resilience can not only enrich the research on antecedents but also deepen the study of urban resilience in the Chinese context. Second, drawing from the government competition theory, we explore the spatial spillover impacts of the national civilized city assessment on urban resilience, providing a novel viewpoint for boosting urban resilience. Third, we analyze the moderating role of the digital economy in the relationship between the city governance model and urban resilience, which can not only reveal the mechanism of the synergistic development of city governance models and digital economy on urban resilience but also deepen the understanding of the context for the effectiveness of urban governance models in the national civilized city evaluation.
This paper is organized as follows. Section 1 serves as the introduction, highlighting the research gap. Section 2 offers a literature review and theoretical framework. Section 3 introduces the core hypotheses. Section 4 outlines the research methodology. Section 5 details our test of the hypotheses. Section 6 summarizes our key findings, contributions, and limitations.

2. Literature Review and Theoretical Background

2.1. National Civilized City Evaluation

The national civilized city evaluation is a government-led initiative in China exemplifying administrative competition [24]. In 2003, China launched the first national civilized city evaluation, which initially introduced evaluation standards, scope, and procedures. Since then, the evaluation has been conducted every three years. The latest national civilized city evaluation included 180 indicators, covering 12 areas such as political, cultural, ecological, and economic environments, and the implementation of this governance model greatly influences the development and transformation of Chinese cities. The national civilized city evaluation motivates local governments to participate in the assessment process voluntarily, allowing cities to determine their participation for themselves based on their developmental progress. Despite its voluntary nature, local governments, spurred by both vertical incentives and horizontal competition, typically show strong interest in engaging in these evaluative and commendatory initiatives [25]. Research indicates that the national civilized city evaluation helps to improve urban environmental quality [26], optimize industrial structure, and promote urban green development [18]. Much of the existing research on national civilized city assessments centers on their effect on urban green development without considering the effects on urban risk prevention, crisis resistance, emergency management, post-disaster recovery, and other aspects, which is inconsistent with the complex and ever-changing urban governance background faced by cities, as well as the coexistence of disasters.

2.2. Urban Resilience

In 2002, the IRSDC introduced the concept of “urban resilience,” integrating it into urban and disaster prevention studies, thus sparking a research surge. Alberti and Marzluff defined urban resilience as the ability of cities to cope with process changes and restructuring [27]; Rizzi, Graziano, and Dallara stated that urban resilience is a city’s capacity to rebound from external disruptions [28], and Mou et al. proposed urban resilience as a tightly knit human–environment system, including urban economy, society, institutions, ecology, and infrastructure, indicating a city’s power to withstand, adjust, and evolve [29]. Despite the differences in definitions, the core of urban resilience is the city’s capacity to withstand, absorb, adjust to, and rebound from the impacts of disasters or disruptive events [30]. Questionnaires, interviews, comprehensive index evaluation, model simulation, and resilience function methods have been applied to evaluate urban resilience. Among these approaches, the development of a multidimensional composite index is the most commonly used method for evaluating resilience, typically encompassing economic, social, ecological, infrastructural, and institutional dimensions [31], as factors influencing urban resilience include industrial structure [23], social capital [32], and green infrastructure [33]. Some scholars have explored the impacts of smart cities and digital governance on urban resilience [23,34], but the impacts of government-led urban governance models on urban resilience have been relatively neglected [8], and even fewer studies have discussed the impacts of urban governance models with Chinese characteristics on urban resilience.

2.3. Digital Economy

The digital economy, a new economic model rooted in digital technology, stems from the industrial and market expansion of the IT revolution [35]. Prior studies have centered on examining how digital economy growth affects the urban economy, society, technology, culture, etc., but more recently, the impact of the digital economy on urban governance has garnered growing interest, with scholars noting that digital transformation is an inescapable trajectory for the urban future. Leveraging the digital economy to integrate urban governance resources can help to enrich urban governance tools, achieve the participation of multiple stakeholders, enhance the urban governance system, and modernize governance capabilities [36], thereby positively impacting urban governance efficiency and sophistication levels, reforming government management informatization, enhancing government emergency management capabilities, and achieving the intelligent development of emergency management [37]. Several studies have underscored that urban digital economy expansion can beneficially affect urban resilience via technological innovation [21], offering both technical and social environmental support for enhancing resilience; however, a research gap persists concerning the digital economy’s effect on urban resilience, especially empirical research delineating the context of this relationship.

2.4. Administrative Competition Theory

The administrative competition system entails central ministries and commissions pursuing specific governance goals by establishing honorary titles, creating evaluation standards, and setting assessment thresholds, a system that prompts cities to willingly engage in applications and assessments for these titles considering their political, economic, cultural, and other attributes. Once one city meets the established standards, the central ministries and commissions award the corresponding honorary title; however, the title is not indefinite, as it is under dynamic management and cities failing re-assessment forfeit their honorary status [38]. The administrative competition system is characterized by its broad applicability, emphasis on positive incentives, and dynamic management. While local governments are not mandated to participate in these recognition projects, the significant political incentives they offer have led to considerable attention [39]. It is crucial to recognize that the administrative bidding system fosters a competitive urban landscape, inducing spatial spillover effects [17].
In summary, the theory of administrative competition encompasses two core mechanisms, the first of which is the dynamic benchmarking mechanism, whereby cities align their efforts with evaluation criteria and strive to meet the requirements set by higher-level governments in order to gain recognition, while the second is the competition mechanism by which cities compare themselves to neighboring cities and aim to achieve superior rankings in performance evaluations, thereby triggering spatial spillover effects. The national civilized city evaluation represents a typical design for an administrative competition system, and its impacts on cities are primarily realized through these two pathways.

3. Hypothesis Development

3.1. National Civilized City Evaluation and Urban Resilience: The Dynamic Benchmarking Pathway

Administrative competition is the fundamental driving force and institutional guarantee for the national civilized city evaluation to enhance urban resilience. To obtain the title of “national civilized city,” local governments often take the initiative to construct their cities in accordance with the evaluation indicators and assessment requirements. To ensure the achievement of honorific titles in the national civilized city competition, local governments often set higher governance targets beyond the basic indicators released by the central government, implementing a “race to the top” model to gain a greater advantage during inspections and acceptance. Moreover, due to the dynamic management and regular review system implemented in the national civilized city evaluation, local governments often establish normalized and long-term governance mechanisms to prevent being deprived of honorary titles when facing the central government’s dynamic review, potentially harming the city’s image and impeding key officials’ promotion chances. The national civilized city initiative strengthens urban resilience by meeting assessment standards, addressing developmental gaps, improving urban planning, enhancing environmental quality, and reinforcing functional capabilities, urging cities to go beyond merely meeting the required benchmarks by establishing sustainable and effective governance systems.
Specifically, the national civilized city evaluation primarily enhances urban resilience through five types of effects. The first such effect is the environmental regulation effect: the national civilized city evaluation index emphasizes ecological environment indicators, such as the urban sewage treatment rate, air quality index, and smoke control coverage, among others; therefore, local governments will strengthen environmental regulation, which can enhance the tolerance, adaptation, and recovery ability of urban systems in the face of extreme weather, such as floods and droughts. The second effect is the economic transformation effect: the national civilized city evaluation introduces new demands for the impetus and approach of urban economic growth, necessitating the adoption of an innovation-driven developmental strategy, which facilitates cities’ abilities to withstand external economic shocks [20]. The third effect is the municipal construction effect: urban infrastructure serves as the cornerstone of urban resilience [40], and the national civilized city evaluation presents specific requirements for urban renewal, block road network structure, infrastructural integrity, and traffic convenience, which helps to improve the coverage of urban infrastructure, improve the quality of municipal facilities, and provide hardware support for urban resilience. The fourth effect is the social security effect: social security is a mechanism of risk dispersion or sharing and is the stabilizer of society, so the national civilized city evaluation sets higher requirements for medical treatment, education, pensions, employment, and other aspects, helping to create a stable social environment, promote the development of the city, and improve society’s ability to withstand and adapt to various unexpected disasters. The fifth effect is the consciousness-shaping effect: national civilized cities pay attention to the construction of spiritual civilization and cultivate citizens’ sense of responsibility, which helps them to shape the quality of response to adversity and improve the overall risk awareness and psychological toughness of cities. Therefore, we propose the following hypothesis:
H1: 
The national civilized city evaluation positively relates to urban resilience.

3.2. The Spatial Spillover Effect of the National Civilized City Evaluation in Enhancing Urban Resilience: The Competition Pathway

Government competition serves as a crucial lens for comprehending China’s urban governance model, as well as the primary theoretical framework for understanding the behavior and developmental impetus of local governments in China [41]. The motivations behind officials’ actions play crucial roles in government competition and can be categorized into the three following types: credit claiming, pursuing good policies, and avoiding blame [42]. For government officials seeking promotion, the governance behavior of soliciting credit is often the first choice, and the national civilized city evaluation, a top–down public policy, carries significant honorary and political incentives for local government officials. Achieving the honor often signifies standing out among similar administrative levels of government, thus earning recognition from higher-level authorities for governance capabilities, and subsequently claiming credit for the success, which can lead to greater promotion opportunities for the government officials in charge [24]. The existing research shows that there is fierce urban competition during the process of the national civilized city evaluation, especially among cities with similar geographical locations or economic development levels. If a neighboring city or a city with a similar economic status successfully obtains the national civilized city title while the local city fails to do so, local officials will face pressure from various sources, including the superior government and the local populace, which motivates local officials to persistently enhance the level of urban governance in alignment with the evaluation criteria for creating a national civilized city, thereby indirectly elevating the city’s resilience level. Hence, a city’s successful designation as a national civilized city can create driving and modeling effects regionally and among cities of the same level. Therefore, we propose the following hypothesis:
H2: 
The impact of the national civilized city evaluation on urban resilience has a spatial spillover effect.

3.3. Moderating Role of Digital Economy

As an institutional framework targeting urban civilization enhancement, the national civilized city assessment rarely incorporates the intelligence, informational, and digital facets of urban governance; however, as the digital economy progresses, their impact on urban governance expands, presenting new avenues through which to bolster urban resilience [21], as they foster entrepreneurial activities, enhance technological innovation capabilities, and elevate human capital levels. On the one hand, in cities with robust digital economies, the efficient allocation of digital resources can enhance urban risk-alert systems, foster cooperation among emergency responders, and establish a collaborative framework with which to fortify urban resilience. On the other hand, pivotal digital economy technologies, including big data, the IoT, and AI, facilitate real-time data collection on urban facets such as traffic, environment, communication, and public safety via cameras and mobile internet, the data from which are then stored and analyzed through data platforms and data centers, enabling a comprehensive understanding of all facets of urban operations [36].
The aforementioned digital enhancements will help cities to improve their abilities to predict risks, monitor risks in real-time and prevent secondary risks, and detect post-disaster recovery efforts, thereby enhancing urban resilience. In this context, the digital economy can assist local governments in addressing issues identified during the national civilized city assessment, thereby amplifying the assessment’s positive impacts on urban resilience. Conversely, in cases where the digital economy is underdeveloped and the digital technology is not broadly utilized, the resolution of issues identified during the national civilized city evaluation process tends to be slower, and the enhancement of urban resilience will be constrained accordingly. Therefore, we propose the following hypothesis:
H3: 
The digital economy positively moderates the relationship between the national civilized city evaluation and urban resilience; that is, the higher the level of the urban digital economy, the greater the positive impacts of the national civilized city assessment on urban resilience, and vice versa.
Combining the above hypotheses, our research framework is shown in Figure 1.

4. Research Design

4.1. Measurement

Dependent variable: Urban resilience (UR). Referring to references [43,44] and considering data availability, we selected 24 indicators across the following four dimensions: economy, society, infrastructure, and ecology. The specific indicators are presented in Table 1. We applied the entropy weight method to calculate urban resilience.
Independent variable: The national civilized city evaluation (DID), serving as an exogenous shock in a quasi-natural experiment. We followed the approach of Li (2024) by treating the national civilized city evaluation as a form of government intervention and policy implementation [45]. If a city was selected as a national civilized city, the value of the dummy variable was set to 1; otherwise, it was set to 0. The dummy variable for time was set to 1 after selection as a civilized city and 0 before selection. The interaction term of the national civilized city and time was taken as the policy variable of the national civilized city evaluation. If a city lost its “national civilized city” title during re-evaluation, the DID value was reset to 0 until it reacquired the status.
Moderator: The digital economy (DigE). Referring to [46], we evaluated the digital economy across the following five aspects: internet penetration, the number of internet professionals, internet output, the number of mobile internet users, and the development of digital inclusive finance. The specific indicators and measurements included in each dimension are shown in Table 1.
Table 1. Evaluation index system of urban resilience.
Table 1. Evaluation index system of urban resilience.
First-Order IndexSecond-Order IndexIndicatorPropertyReference
Urban resilienceEconomic ResiliencePer capita GDP+Sisi Zhang [47]
General public budget revenue+Sisi Zhang [47]
Year-end savings balance of urban and rural residents+Sisi Zhang [47]
Proportion of value added from the secondary and tertiary industries+Sisi Zhang [47]
Per capita disposable income+Yufang Shi [21]
Practical per capita amount of foreign capital+Chenchen Shi [48]
Social ResilienceUrban unemployment rate-Ke-Liang Wang [49]
Number of hospital beds per 10,000 people+Sisi Zhang [47]
Proportion of population in non-agricultural employment+Sisi Zhang [47]
Number of middle school students in school+Sisi Zhang [47]
Total retail sales of consumer goods+Yufang Shi [21]
Public management and social organization personnel+Sisi Zhang [47]
Ecological ResilienceIndustrial wastewater discharge-Sisi Zhang [47]
Utilization rate of general industrial solid waste+Sisi Zhang [47]
Harmless treatment rate of domestic waste+Sisi Zhang [47]
Greening coverage rate of built-up area+Sisi Zhang [47]
Per capita park green space area+Sisi Zhang [47]
Urban sewage treatment rate+Yufang Shi [21]
Infrastructure ResiliencePer capita road area+Sisi Zhang [47]
Drainage pipe density+Sisi Zhang [47]
Electricity for the whole of society+Sisi Zhang [47]
Total urban gas supply+Sisi Zhang [47]
Road freight volume+Chenchen Shi [48]
Number of public buses available per 10,000 people at year’s end+Chenchen Shi [48]
Development level of digital economyInternet penetration rateNumber of internet users per 100 people+Yufang Shi [21]
Number of employees in internet-related industriesProportion of computer service and software employees+Yufang Shi [21]
Internet-related industries outputPer capita telecom business volume+Yufang Shi [21]
Number of mobile internet usersNumber of mobile phone users per 100 people+Yufang Shi [21]
Inclusive development of digital financeChina Digital Inclusive Finance Index+Yufang Shi [21]
Notes: A positive sign for an attribute indicates that the larger the value of the indicator in the indicator layer, the better the criterion layer. A negative sign indicates that the larger the value of the indicator at the indicator level, the lower the criterion level.
Controls: The choice of control variables mainly depended on their connections to urban resilience. Specifically, these variables were closely related to major economic, demographic, and infrastructural characteristics. We also drew upon prior research, including reference [49] and others, whose authors identified the chosen factors as significant determinants of urban resilience. Therefore, we included control variables that potentially influence urban resilience, including the following: the urbanization level (city 1), measured as the urban population’s share of the total population; the population density, measured as the logarithm of the population per square kilometer in the urban area; the average wage of on-the-job employees, denoted as the logarithm of the average wage for all urban employees in the relevant year; and the scientific and educational development (SED) level, measured as the logarithm of the city’s per capita spending on science and education for that year. Descriptive statistics for each variable appear in Table 2.

4.2. Model Design

In this research, we aimed to test whether the national civilized city evaluation can improve urban resilience, treating the assessment as a quasi-natural experiment and using the DID method to gauge its primary effect. In this study, cities with the national civilized city title formed the treatment group, whereas those without the title constituted the control group, with the net impact of the national civilized city assessment on urban resilience being evaluated through comparison of the two groups. Since each city had received the national civilized city title at different times, we developed a multi-period DID model with which to gauge its impact. The baseline model is specified as follows:
U R i t = α 0 + α 1 D I D i t + μ i + δ t + α 2 X i t + ε i t
In the model, DIDit represents whether city i was elected as a civilized city in year t; URit denotes the level of urban resilience, serving as the dependent variable; Xit represents the control variables; μi is the individual fixed effect; δt is the time fixed effect; and ε i t is the random error term. The coefficient α1, obtained from the estimation of Model 1, indicates the impact of being selected as a civilized city on the level of urban resilience: when it is significantly positive, the national civilized city evaluation has a positive effect on urban resilience.

4.3. Sample

China has released seven rounds of national civilized city awardees, in 2005, 2009, 2011, 2015, 2017, 2019, and 2021; however, considering the data availability and the representativeness of the research conclusions, we excluded the first two batches for the purposes of this study due to the immaturity of the selection system and the relatively small number of awarded cities, as well as the sixth and seventh batches due to missing data issues. A quasi-natural experiment was constructed using the third, fourth, and fifth rounds of national civilized city assessments. In addition, cities with significant data missing, such as Linzhi and Sansha, as well as the four directly controlled municipalities of Beijing, Shanghai, Chongqing, and Tianjin, were excluded, and a small amount of missing data were filled using linear interpolation. Ultimately, a balanced panel dataset of 263 prefecture-level cities in China from 2009 to 2019 was obtained. It should be noted here that due to the limitation of published data, the time span of urban digital economy data ranged from 2011 to 2019. The list of national civilized cities was taken from the China Civilization Network; urban resilience data were retrieved from the China City Statistical Yearbook, China Urban–Rural Construction Statistical Yearbook, and EPS database; and digital economy data originated from the China City Statistical Yearbook and National Digital Inclusive Finance Index, released by Peking University’s Digital Finance Research Center.

5. Data Analysis and Hypothesis Tests

5.1. The Direct Effect Test

The estimation results of the baseline regression are shown in Table 3, while Model 1 shows the results without control variables or fixed effects. It can be seen that the DID coefficient is significantly positive at the 1% confidence level. Model 2 adds control variables to the baseline regression; Model 3 is a two-way fixed-effect model without control variables; and Model 4 is a two-way fixed-effect model with control variables included. Our data analysis shows that regardless of whether control variables, individual effects, and time effects are included, the coefficient is significantly positive at the 1% confidence level; thus, Hypothesis 1 is supported.

5.2. Robustness Test

Parallel trend test. A key prerequisite for the DID model is fulfilling the parallel trend assumption; otherwise, endogeneity issues may happen. The event study method was used to test the assumption, the process of which is as follows. First, the dummy variable pre_1 was constructed. If a city was one year away from being selected as a national civilized city in that year, the value of pre_1 was 1; otherwise, it was 0. In the same way, the dummy variables pre_2, pre_3, and pre_4 were constructed. The dummy variable post was constructed such that if a city was selected as a national civilized city for one year, the value was 1; otherwise, it was 0. If a city was rated as a national civilized city for 2 years, the post1 value was 1; otherwise, it was 0. Post2, post3, and post4 were constructed in the same way. Moreover, a dummy variable, current, was also constructed similarly such that if a city was selected as a national civilized city in that year, the value was 1; otherwise, the value was 0.
Subsequently, urban resilience acted as the dependent variable, with the aforementioned dummy variables as the independent variables. After including control variables in the regression analysis, to prevent multicollinearity, which can arise due to the strict linear relationship between the dummy variables as defined, pre_1 was excluded from the regression model. If the dummy variables pre_4 to pre_2, which represented the years leading up to a national civilized city designation, did not show significant differences from 0, there was no discernible change in the trend of urban resilience between the treatment group and the control group before selection. The regression results, shown in Figure 2, fail to reject the hypothesis that the coefficients of these dummy variables were equal to 0, thus passing the parallel trend test. Additionally, it can be observed that the national civilized city designation had a sustained impact on urban resilience, with a promotional effect that tended to strengthen year by year.
In a placebo test, accounting for the varying times cities were designated as national civilized cities, we randomly generated pseudo-control and pseudo-policy impact dummy variables simultaneously. In other words, for each sample city, a random sample period was selected as the time it was designated as a national civilized city. Referring to the practices of reference [50], the following placebo test was conducted. Stata 24 was used to construct 500 random impacts of the pseudo-national civilized city selection on 263 cities, and 81 cities were randomly selected as the experimental group each time. In this way, 500 groups of dummy variables were obtained, and their urban resilience levels were regressed to obtain random regression coefficients. The kernel density and its p-value distribution are shown in Figure 3. The results indicate that the 500 random regression coefficients were predominantly centered around 0, with most p-values exceeding 0.1. In contrast, the estimated coefficient of the actual policy was 0.0165 (represented by the vertical dotted line in Figure 3), which significantly deviates from the placebo test outcomes, thereby confirming the robustness of the baseline regression results.
In order to better avoid selective bias in the research data, the robustness test was further carried out based on the multi-time-point PSM-DID model. Following the approach of reference [51], period-by-period matching was conducted, with the urbanization level, population density, average wage of on-post employees, and levels of scientific and educational development set as matching variables. A 1:2 nearest-neighbor matching method was used, and the propensity scores of sample cities to be selected as national civilized cities were calculated using a logit model, with city samples matched annually. After conducting a balance test on the matched data and analyzing the matching effects, the multi-time-point DID method was applied to re-estimate the impact of the national civilized city evaluation on urban resilience. The comparison of the propensity score kernel density distributions for the treatment and control groups before and after matching is shown in Figure 4. Before matching, the two kernel density curves diverged notably; however, post-matching, the gap between the mean lines narrowed, bringing the curves closer together, which indicates that the annual propensity score matching (PSM) had a certain effect on reducing the selection bias in the sample. Table 4 (Model 1) gives the results of the multi-time-point PSM-DID, indicating that the DID coefficient stayed significantly positive at the 1% level following period-by-period matching, aligning closely with the baseline regression results and thus confirming the baseline regression’s robustness.
Additionally, we aimed to eliminate other policy disturbances from affecting the results. During the research period, other urban pilot policies issued by China may also have impacted urban resilience, including smart city pilot, low-carbon city pilot, and sponge city pilot policies, which aimed to achieve sustainable urban development through smart governance, carbon and emission reduction, and enhancing the disaster resistance of urban hardware systems, which correlate to some extent with urban resilience. To further accurately examine the net effect of the national civilized city evaluation on urban resilience, the dummy variables for the year of implementation for the three policies—smart city, carbon city, and spongy city—were added to the baseline regression model. The results are shown in Models 2–4 in Table 4. After sequentially adding the three pilot policies, the coefficient for the national civilized city assessment remained significantly positive, suggesting a positive effect of the assessment on urban resilience.
Considering that the selection of national civilized cities may be influenced by their geographical locations and regional characteristics, it is noteworthy that China’s provincial capital cities and sub-provincial cities possess certain location advantages and superior resource endowments compared with ordinary prefecture-level cities, factors that could potentially impact the empirical results of this study. Therefore, in order to ensure the robustness of our findings, we further excluded them from the sample of prefecture-level cities and conducted a baseline regression analysis once again. The results are presented in Model 5 in Table 4. The findings from this analysis once again confirm the robustness of our results, indicating that the empirical conclusions drawn from the present study remain valid, even after excluding the potentially more influential cities.

5.3. Spatial Effect Tests

Referring to the research of reference [52], a spatial double-DID model (SDID) was used to evaluate the spatial spillover effect of the national civilized city evaluation on urban resilience. The model is shown in Formula (2), as follows:
U R i t = β 0 + β 1 D I D i t + β 2 W × D I D i t + β 3 W × U R i t + β 4 X i t + β 4 W × X i t + μ i + δ t + ε i t
W denotes the spatial weight matrix. To test the regional driving force and model effect of the national civilized city evaluation, the following two types of spatial weight matrices were constructed: the geographical distance matrix and the economic distance matrix. The elements of the geographical distance spatial weight matrix were computed as the reciprocal of the square of the centroid distance between two locations, the specific calculation for which is Formula (3), as follows:
W 1 = 1 d i j 2 ,    l ˙ j 0 ,   l ˙ = j
W 2 = 1 p e r g d p i p e r g d p j   ,    l ˙ j 0 ,   l ˙ ˙ = j
d i j is the centroid distance between the two cities. Economic distance is the absolute difference in per capita GDP between the two cities. The smaller the economic distance between the two cities, the stronger the interaction, which is calculated with Formula (4), in which p e r g d p i and p e r g d p j are the average per capita GDPs of prefecture-level cities I and j, respectively, from t 0 to t 1 . The two spatial weight matrices were standardized before calculation.
In Formula (2), i represents one city and t represents the other city, W is the spatial weight matrix, U R i t represents urban resilience, D I D i t is the national civilized city selection, X i t represents control variables, μ i is the individual effect, δ t is the time effect, and ε i t is the random disturbance term. The regression results are shown in Table 5, where the weight matrix represents the geographical and economic distance matrices. The estimated coefficients of D I D i t are significantly positive at the 1% level, consistent with the baseline regression results, suggesting that the national civilized city evaluation continues to enhance urban resilience, even after accounting for spatial spillover effects.
In addition, from the comparison of the results in columns 1, 2, 3, and 4, the spatial spillover effect of W × D I D i t is significantly positive at the 1% level based on both the geographical and economic distance weight matrices, regardless of whether control variables were included, suggesting that the national civilized city evaluation significantly enhances urban resilience in cities with similar economic levels and geographical proximity; thus, Hypothesis 2 is supported.

5.4. Moderation Effect Test

In order to test the moderating effect of the digital economy on the relationship between the national civilized city evaluation and urban resilience, based on Formula (1), an interaction term of urban digital economic development level (DigE) and the national civilized city, ( D I D i t × D i g E ), was added, with the moderation effect model represented as Formula (5), as follows:
U R i t = φ o + φ 1 D I D i t + φ 2 D i g E + φ 3 D I D i t × D i g E + μ i + δ t + α 2 X i t + ε i t
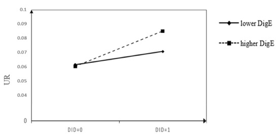
Table 6 shows the test results, in which columns 1 and 2 give the regression results of the main and moderation effects, respectively, after deleting the missing samples of digital economy data. The results show that the coefficients of the interactive terms are significantly positive at a significance level of 1%. As shown in Table 3, the digital economy positively moderates the effect of the national civilized city evaluation on urban resilience, significantly enhancing its impact. Figure 5 shows that the effect of the national civilized city evaluation on urban resilience is stronger in regions with higher levels of digital economy.

5.5. Heterogeneity Analysis

We further examined the heterogeneity in the impact of the national civilized city evaluation on urban resilience.
In order to further study urban location heterogeneity, the sample cities were categorized into eastern, central, and western regions based on China’s geographical divisions. The grouped regression results are shown in columns 1 and 2 of Table 7. The regression coefficients for both groups were significantly positive at the 1% level; however, in the eastern city group (ur1), the coefficient was slightly higher than in the central and western city groups (ur2), indicating a stronger impact of the national civilized city evaluation on urban resilience in eastern cities, possibly due to better urban elements, developmental environments, and policy support in the eastern region, which facilitate national civilized city selection and enhance its impact on urban resilience. In contrast, limitations in technology, talent, infrastructure, and capital in the central and western regions may restrict the evaluation’s effect on urban resilience.
Regarding the heterogeneity of urban resource endowment, previous studies have examined the important role of urban resource endowment in the process of improving urban resilience [53]. Based on the 2013 National Sustainable Development Plan for Resource-Dependent Cities, the sample cities were categorized into resource-dependent and non-resource-dependent cities. Resource-dependent cities are primarily focused on the mining and processing of mineral resources, with a high reliance on traditional resources. The grouped regression results are presented in columns 3 and 4 of Table 7. The coefficients for both groups were significantly positive, but the regression coefficient for resource-dependent cities (ur3) was slightly smaller than that for non-resource-dependent cities (ur4), possibly because resource-dependent cities have relatively singular industrial structures, a weak ability to recruit talent and capital, and low levels of innovation, which cause the overexploitation of resources, as well as imbalance and disharmony among economic development, social governance, and ecological protection. Hence, the national civilized city evaluation has limited effects on improving urban resilience.

6. Discussion and Conclusions

Drawing upon administrative and government competition theories, the current research focused on the three batches of national civilized cities from 2011, 2015, and 2017 as samples. Panel data on urban resilience from 263 prefecture-level cities in China from 2009 to 2019 were applied, multi-period difference-in-differences (DID) and spatial DID methods were employed, and the effects of the national civilized city selection on urban resilience and its spatial spillover effects were examined.

6.1. Major Findings

Firstly, the findings of our study demonstrated that the national civilized city evaluation enhances urban resilience. A governance model with distinct Chinese characteristics, the national civilized city evaluation creates strong political incentives, prompting cities to improve their economic, cultural, and infrastructural attributes, thereby strengthening urban resilience [20], a conclusion that aligns with findings from previous studies [34,54,55]. However, our research differs in its scope and approach: while previous studies focused separately on the effects of smart cities, urban competition, and other individual factors on urban resilience, the national civilized city evaluation integrates multiple factors, including smart city development, urban competition, infrastructure, and economic growth, and thus our work expands on previous research, providing a more comprehensive perspective on the drivers of urban resilience.
Secondly, the results of our study revealed that the national civilized city evaluation has significant positive impacts on the urban resilience of geographically and economically neighboring cities, highlighting an associated spatial spillover effect. This finding supports the arguments made in references [20,56,57], whose authors suggest that the national civilized city evaluation exerts both spatial spillover and competitive effects on urban governance. However, our conclusion contrasts with that of reference [54], whose authors argue that local competition may reduce urban resilience due to the market segmentation it causes. The divergence in conclusions can be attributed to their focus on market segmentation’s spatial spillover effects, while our research emphasizes the broader competitive dynamics fostered in the national civilized city evaluation system; thus, our study offers a novel perspective by extending the discussion beyond market competition to consider the integrated impact of various competitive factors in the urban governance framework.
Thirdly, the outcomes of our study identified the digital economy as a positive moderator in the relationship between the national civilized city evaluation and urban resilience. Specifically, as the level of urban digital economic development increases, the impact of the national civilized city evaluation on enhancing urban resilience becomes more pronounced. Previous research shows that the digital economy strengthens urban resilience [21,23,36]; however, unlike prior studies, the results of our research emphasize that the coordinated development of the digital economy and the national civilized city evaluation system more effectively enhances urban resilience, a distinction that allows us to advance the understanding of how the digital economy, in conjunction with urban governance frameworks, acts as a boundary condition that shapes the impact on urban resilience; thus, our findings provide a novel contribution by highlighting the synergistic effect between digital economic development and urban governance systems.

6.2. Theoretical Implications

Firstly, urban resilience is a multifaceted concept with the following four key pillars: resistance, recovery, adaptation, and transformation [31]. From a macro perspective, scholars in the West identify three main approaches to implementing public policies that aim to enhance urban resilience, namely, top–down, bottom–up, and mixed approaches. Regardless of the approach, promoting urban resilience presents numerous challenges, such as coordination among diverse organizations; adaptation to social, political, economic, and environmental changes; and management of various measurement indices [58]. On a micro level, initiatives such as smart city development [34], crisis management [59], and network governance [60] are seen as beneficial for strengthening urban resilience. However, previous studies tend to either be overly macro-focused or excessively micro-oriented, often lacking practical applicability and a strong theoretical framework. In contrast, the national civilized city evaluation combines macro-level policy strategies with specific micro-level assessment indicators, an integrated approach that not only motivates cities to improve their resilience but also enhances policy implementability, offering valuable insights from China’s experience in advancing urban resilience.
Secondly, the conclusions drawn from this study offer fresh evidence supporting the effectiveness of the administrative competition system with Chinese characteristics in the realm of urban governance [24]. Enhancing urban resilience is a multifaceted and systematic endeavor [61], and the urban resilience governance system necessitates transcending the conventional public management paradigm [62], establishing a nimble management process [59], bridging the gaps in horizontal government departmental management [63], and constructing a comprehensive urban management system capable of addressing both internal and external risks. The national civilized city evaluation stands out as a quintessential example of urban governance with Chinese characteristics: initiated by the central government, it prompts local governments to form specialized working committees tasked with coordinating and advancing urban governance strategies that clarify the management responsibilities of government departments, foster collaborative urban governance networks, and enhance the efficiency of urban governance. Consequently, this evaluation mechanism contributes to bolstering urban resilience and furnishes additional evidence supporting the efficacy of the administrative competition system.
Thirdly, competition is an important perspective through which to understand the behavior of local government policies in China [41]; however, previous studies on government competition theory mainly focused on the competition between cities in terms of economic development, promotion, and innovation of government officials, with less emphasis on competition within the realm of urban governance. We suggest that there is also fierce competition for national civilized city designation due to the presence of honor and political incentive effects [20], which in turn leads to neighboring cities strengthening their urban resilience development. Our study enhances the academic discourse on government competition theory by exploring the motivations behind and consequences of non-economic competitive dynamics within the public sector [54].

6.3. Practical Implications

Given the complexity and interconnectivity of urban governance, policy designers face challenges in formulating and implementing policies to enhance urban resilience [55]. In order to address these challenges and strengthen urban resilience, governments can adopt the following measures.
First, the government should adopt a systematic approach to comprehend the intricacies of various urban resilience elements; optimize the national civilized city evaluation indicator system; increase the weights of indicators pertaining to urban resilience, such as economic resilience and safety production; establish a closer link between evaluation outcomes and the assessment of city officials and government departments; construct a cooperative network governance system; enhance the policy guidance efficacy of the national civilized city evaluation policy; and ultimately enhance urban resilience.
Second, the intercity competition sparked by the national civilized city evaluation serves as a primary catalyst for enhancing the resilience of neighboring municipalities; therefore, the government should optimize the spatial layout of national civilized cities to better utilize the competitive dynamics of the evaluation, which will improve urban resilience in a larger spatial range, transitioning from a point-based approach to an area-based one.
Third, local governments should holistically advance the management of the digital economy alongside the national civilized city evaluation. During the evaluation process, they should improve data infrastructure, promote technologies such as big data, facilitate the flow and optimal allocation of urban digital elements, and align the national civilized city evaluation with the digital economy to enhance urban resilience.

6.4. Limitations and Future Research Directions

This study also has limitations. First, the connotation of urban resilience is quite complex and extensive. Due to data availability, we primarily selected 24 indicators with which to measure urban resilience using the entropy weight method, a method that has certain limitations. Future studies can adopt more comprehensive indicators to measure urban resilience. Second, we examined the impacts of the national civilized city evaluation on urban resilience, but we did not analyze the mediating variables between the two. In the future, we can examine these from multiple perspectives, such as social governance. Third, the relationship between the national civilized city evaluation and urban resilience is also influenced by factors such as the government’s focus on emergency management and the level of urban innovation, and the boundary conditions between the two require further exploration.

Author Contributions

Conceptualization, Y.J. and D.S.; Methodology, Y.J. and D.S.; Software, Q.M.; Investigation, Y.J. and Q.M.; Data curation, Q.M.; Writing—original draft, Y.J., D.S. and Q.M.; Writing—review & editing, D.S.; Visualization, Q.M. All authors have read and agreed to the published version of the manuscript.

Funding

This research received no external funding.

Data Availability Statement

The original contributions presented in this study are included in the article. Further inquiries can be directed to the corresponding author.

Conflicts of Interest

The authors declare no conflict of interest.

References

  1. Botequilha-Leitão, A.; Díaz-Varela, E.R. Performance-based planning of complex urban social-ecological systems: The quest for sustainability through the promotion of resilience. Sustain. Cities Soc. 2020, 56, 102089. [Google Scholar] [CrossRef]
  2. Zhao, R.; Fang, C.; Liu, H.; Liu, X. Evaluating urban ecosystem resilience using the DPSIR framework and the ENA model: A case study of 35 cities in China. Sustain. Cities Soc. 2021, 72, 102997. [Google Scholar] [CrossRef]
  3. Lu, H.; Lu, X.; Jiao, L.; Zhang, Y. Evaluating urban agglomeration resilience to disaster in the Yangtze Delta city group in China. Sustain. Cities Soc. 2022, 76, 103464. [Google Scholar] [CrossRef]
  4. Zhu, Z.; Liu, Y.; Yang, Y. Resilience governance: Practice and exploration of urban resilience building in China. Public Adm. Policy Rev. 2021, 10, 22–31. [Google Scholar]
  5. Wu, Q.; Han, J.; Lei, C.; Ding, W.; Li, B.; Zhang, L. The challenges and countermeasures in emergency management after the establishment of the Ministry of Emergency Management of China: A case study. Int. J. Disaster Risk Reduct. 2021, 55, 102075. [Google Scholar] [CrossRef]
  6. Zhu, S.; Li, D.; Feng, H.; Gu, T.; Hewage, K.; Sadiq, R. Smart city and resilient city: Differences and connections. WIREs Data Min. Knowl. Discov. 2020, 10, e1388. [Google Scholar] [CrossRef]
  7. Hernantes, J.; Maraña, P.; Gimenez, R.; Sarriegi, J.M.; Labaka, L. Towards resilient cities: A maturity model for operationalizing resilience. Cities 2019, 84, 96–103. [Google Scholar] [CrossRef]
  8. Coaffee, J.; Therrien, M.C.; Chelleri, L.; Henstra, D.; Aldrich, D.P.; Mitchell, C.L.; Tsenkova, S.; Rigaud, É. Urban resilience implementation: A policy challenge and research agenda for the 21st century. J. Contingencies Crisis Manag. 2018, 26, 403–410. [Google Scholar] [CrossRef]
  9. Roberts, D.; Douwes, J.; Sutherland, C.; Sim, V. Durban’s 100 resilient cities journey: Governing resilience from within. Environ. Urban. 2020, 32, 547–568. [Google Scholar] [CrossRef]
  10. Mera, A.P.; Balijepalli, C. Towards improving resilience of cities: An optimisation approach to minimising vulnerability to disruption due to natural disasters under budgetary constraints. Transportation 2019, 47, 1809–1842. [Google Scholar] [CrossRef]
  11. Shi, T.; Qiao, Y.; Zhou, Q. Spatiotemporal evolution and spatial relevance of urban resilience: Evidence from cities of China. Growth Change 2021, 52, 2364–2390. [Google Scholar] [CrossRef]
  12. Luo, X.; Liu, Q.; Song, X. China’s strategies for promoting differentiated urban resilience measurement from the social ecosystem perspective. Syst. Res. Behav. Sci. 2023, 40, 235–249. [Google Scholar] [CrossRef]
  13. Coaffee, J.; Clarke, J. On securing the generational challenge of urban resilience. Town Plan. Rev. 2015, 86, 249–255. [Google Scholar] [CrossRef]
  14. McClymont, K.; Fernandes Cunha, D.G.; Maidment, C.; Ashagre, B.; Vasconcelos, A.F.; Batalini de Macedo, M.; Nóbrega dos Santos, M.F.; Gomes Júnior, M.N.; Mendiondo, E.M.; Barbassa, A.P.; et al. Towards urban resilience through sustainable drainage systems: A multi-objective optimisation problem. J. Environ. Manag. 2020, 275, 111173. [Google Scholar] [CrossRef]
  15. Kapucu, N.; Ge, Y.; Rott, E.; Isgandar, H. Urban resilience: Multidimensional perspectives, challenges and prospects for future research. Urban Gov. 2024, 4, 162–179. [Google Scholar] [CrossRef]
  16. Sanchez, A.X.; van der Heijden, J.; Osmond, P. The city politics of an urban age: Urban resilience conceptualisations and policies. Palgrave Commun. 2018, 4, 25. [Google Scholar] [CrossRef]
  17. Shi, R.; Song, D.; Rui, G.; Wu, H. How the establishment of the national civilized city promotes urban green development: From the perspective of administrative competing theory: A quasi-experiment study in China. Int. J. Environ. Res. Public Health 2022, 19, 11103. [Google Scholar] [CrossRef]
  18. Yu, W.; Dong, P.; Lei, N. Does national civilized city selection improve the green total factor productivity? Based on quasi-natural experiment in China. Environ. Impact Assess. Rev. 2023, 99, 106983. [Google Scholar] [CrossRef]
  19. Liu, Z.; Gao, J.; Ma, L. Demonstration: The instrument of policy implementation for top-level institutions: An empirical study based on the departments of the State Council (2008—2019). CASS J. Political Sci. 2022, 63–75+158. [Google Scholar]
  20. Song, D.; Shi, R.; Rui, G. Administrative competing and competition: Research on the mechanisms of national civilized city selection to promote the equalization of urban public services. J. Shanghai Adm. Inst. 2023, 24, 85–96. [Google Scholar]
  21. Shi, Y.; Zhang, T.; Jiang, Y. Digital economy, technological innovation and urban Resilience. Sustainability 2023, 15, 9250. [Google Scholar] [CrossRef]
  22. Zou, Y. Urban resilience, digital technologies, and the economic recovery of a city from the pandemic. Public Adm. Rev. 2024, 84, 637–650. [Google Scholar] [CrossRef]
  23. Tang, L.; Jiang, H.; Zhang, Z.; Hou, S.; Liu, B.; Jiménez Macías, E. The driving path of China’s urban resilience enhancement in the digital economy era. Discret. Dyn. Nat. Soc. 2023, 2023, 9992474. [Google Scholar] [CrossRef]
  24. Rui, G.; Hu, W.; Song, D. Internal logic and successful experience of administrative competing system within urban governance view: A case study based on the establishment of national civilized cities. J. Soochow Univ. Philos. Soc. Sci. Ed. 2022, 43, 52–59. [Google Scholar] [CrossRef]
  25. Mang, H.; Biao, C. The local government’s action logic of “Rating and Commendation Project” in policy implementation: Based on the perspective of organizational analysis. Chin. Public Adm. 2020, 11, 133–139. [Google Scholar] [CrossRef]
  26. Xu, H. How does evaluation and recognition promote pollution control? Empirical evidence from the evaluation of civilized cities. J. Public Adm. 2020, 13, 151–169+213. [Google Scholar]
  27. Alberti, M.; Marzluff, J.M. Ecological resilience in urban ecosystems: Linking urban patterns to human and ecological functions. Urban Ecosyst. 2004, 7, 241–265. [Google Scholar] [CrossRef]
  28. Rizzi, P.; Graziano, P.; Dallara, A. A capacity approach to territorial resilience: The case of European regions. Ann. Reg. Sci. 2017, 60, 285–328. [Google Scholar] [CrossRef]
  29. Mou, Y.; Luo, Y.; Su, Z.; Wang, J.; Liu, T. Evaluating the dynamic sustainability and resilience of a hybrid urban system: Case of Chengdu, China. J. Clean. Prod. 2021, 291, 125719. [Google Scholar] [CrossRef]
  30. Meerow, S.; Newell, J.P.; Stults, M. Defining urban resilience: A review. Landsc. Urban Plan. 2016, 147, 38–49. [Google Scholar] [CrossRef]
  31. Ribeiro, P.J.G.; Gonçalves, L. Urban resilience: A conceptual framework. Sustain. Cities Soc. 2019, 50, 101625. [Google Scholar] [CrossRef]
  32. Liu, L.; Lei, Y.; Fath, B.D.; Hubacek, K.; Yao, H.; Liu, W. The spatio-temporal dynamics of urban resilience in China’s capital cities. J. Clean. Prod. 2022, 379, 134400. [Google Scholar] [CrossRef]
  33. Liu, Z.; Xiu, C.; Ye, C. Improving urban resilience through green infrastructure: An integrated approach for connectivity conservation in the central city of Shenyang, China. Complexity 2020, 2020, 1653493. [Google Scholar] [CrossRef]
  34. Zhou, Q.; Zhu, M.; Qiao, Y.; Zhang, X.; Chen, J. Achieving resilience through smart cities? Evidence from China. Habitat Int. 2021, 111, 102348. [Google Scholar] [CrossRef]
  35. Goldfarb, A.; Tucker, C. Digital economics. J. Econ. Lit. 2019, 57, 3–43. [Google Scholar] [CrossRef]
  36. Xu, Q.; Zhong, M.; Dong, Y. Digital economy and risk response: How the digital economy affects urban resilience. Cities 2024, 155, 105397. [Google Scholar] [CrossRef]
  37. Wang, H.H.; Peng, G.; Du, H.M. Digital economy development boosts urban resilience-evidence from China. Sci. Rep. 2024, 14, 2925. [Google Scholar] [CrossRef]
  38. Liu, S.; Wang, H.; Xi, T. Administrative bidding, performance, and political incentives: Evidence from national health cities. J. Public Manag. 2020, 17, 10–20+164. [Google Scholar] [CrossRef]
  39. Wang, L.; Wang, L. “National Civilized City” policy and expansion of municipal investment debt size: An analysis from “Rating & Praise” scheme. J. Cent. Univ. Financ. Econ. 2022, 74–88. [Google Scholar]
  40. Rehak, D.; Senovsky, P.; Hromada, M.; Lovecek, T. Complex approach to assessing resilience of critical infrastructure elements. Int. J. Crit. Infrastruct. Prot. 2019, 25, 125–138. [Google Scholar] [CrossRef]
  41. Guo, D.; Hu, Y. Local government competition: A literature review. J. Public Adm. 2019, 12, 156–173+193–194. [Google Scholar]
  42. Weaver, R.K. The politics of blame avoidance. J. Public Policy 1986, 6, 371–398. [Google Scholar] [CrossRef]
  43. Cutter, S.L.; Barnes, L.; Berry, M.; Burton, C.; Evans, E.; Tate, E.; Webb, J. A place-based model for understanding community resilience to natural disasters. Glob. Environ. Change 2008, 18, 598–606. [Google Scholar] [CrossRef]
  44. Wang, H.; Liu, Z.; Zhou, Y. Assessing urban resilience in China from the perspective of socioeconomic and ecological sustainability. Environ. Impact Assess. Rev. 2023, 102, 107163. [Google Scholar] [CrossRef]
  45. Li, X.; Ma, Y.; Zhang, W. Enhancing urban public service efficiency through the national civilized city policy: An empirical analysis of 282 cities in China from 2005 to 2019. J. Asian Public Policy 2024, 1–30. [Google Scholar] [CrossRef]
  46. Zhao, T.; Zhang, Z.; Liang, S. Digital economy, entrepreneurship, and high-quality economic development: Empirical evidence from urban China. J. Manag. World 2020, 36, 65–76. [Google Scholar] [CrossRef]
  47. Zhang, S.; Ma, X.; Cui, Q.; Liu, J. Digitalization and urban resilience: How does the allocation of digital factors affect urban resilience under energy constraints in China? Environ. Dev. Sustain. 2023. [Google Scholar] [CrossRef]
  48. Shi, C.; Guo, N.; Gao, X.; Wu, F. How carbon emission reduction is going to affect urban resilience. J. Clean. Prod. 2022, 372. [Google Scholar] [CrossRef]
  49. Wang, K.-L.; Jiang, W.; Miao, Z. Impact of high-speed railway on urban resilience in China: Does urban innovation matter? Socio-Econ. Plan. Sci. 2023, 87, 101607. [Google Scholar] [CrossRef]
  50. Bai, J.; Zhang, Y.; Yuanchao, B. Does innovation-driven policy increase entrepreneurial activity in cities: Evidence from the national innovative city pilot policy. China Ind. Econ. 2022, 6, 61–78. [Google Scholar] [CrossRef]
  51. Bockerman, P.; Ilmakunnas, P. Unemployment and self-assessed health: Evidence from panel data. Health Econ. 2009, 18, 161–179. [Google Scholar] [CrossRef] [PubMed]
  52. Diao, M.; Leonard, D.; Sing, T.F. Spatial-difference-in-differences models for impact of new mass rapid transit line on private housing values. Reg. Sci. Urban Econ. 2017, 67, 64–77. [Google Scholar] [CrossRef]
  53. Wang, Y.; Lin, M.; Gao, J.; Zhou, Z. Fading attraction of the shrinking city: An empirical study from an urban resource perspective. Sustainability 2021, 13, 11550. [Google Scholar] [CrossRef]
  54. Meng, X.; Ding, T.; Wang, H. Urban resilience under local government competition: A new perspective on industrial resilience. Cities 2024, 155, 105409. [Google Scholar] [CrossRef]
  55. Zhang, J.; Wang, T.; Goh, Y.M.; He, P.; Hua, L. The effects of long-term policies on urban resilience: A dynamic assessment framework. Cities 2024, 153, 105294. [Google Scholar] [CrossRef]
  56. Jiang, L.; Zhang, Z.N.; Zhang, B.; He, S.X. Does “National Civilized City” policy mitigate air pollution in China? A spatial Durbin difference-in-differences analysis. BMC Public Health 2024, 24, 1234. [Google Scholar] [CrossRef]
  57. Wang, Z.; Fu, H.; Zhou, L. Multiple urban resilience evaluation of resource-based cities’ sustainable transformation effect. Resour. Conserv. Recycl. 2023, 191, 106912. [Google Scholar] [CrossRef]
  58. Shamsuddin, S. Resilience resistance: The challenges and implications of urban resilience implementation. Cities 2020, 103, 102763. [Google Scholar] [CrossRef]
  59. Stark, A. Bureaucratic values and resilience: An exploration of crisis management adaption. Public Adm. 2014, 92, 692–706. [Google Scholar] [CrossRef]
  60. Therrien, M.-C.; Normandin, J.-M. From policy challenge to implementation strategy: Enabling strategies for network governance of urban resilience. Risk Hazards Crisis Public Policy 2020, 11, 320–341. [Google Scholar] [CrossRef]
  61. Kapucu, N.; Ge, Y.G.; Martín, Y.; Williamson, Z. Urban resilience for building a sustainable and safe environment. Urban Gov. 2021, 1, 10–16. [Google Scholar] [CrossRef]
  62. Duit, A. Resilience thinking: Lessons for public administration. Public Adm. 2016, 94, 364–380. [Google Scholar] [CrossRef]
  63. Matyas, D.; Pelling, M. Positioning resilience for 2015: The role of resistance, incremental adjustment and transformation in disaster risk management policy. Disasters 2015, 39, s1–s18. [Google Scholar] [CrossRef] [PubMed]
Figure 1. Conceptual framework.
Figure 1. Conceptual framework.
Sustainability 17 01763 g001
Figure 2. Parallel trend test.
Figure 2. Parallel trend test.
Sustainability 17 01763 g002
Figure 3. Placebo test.
Figure 3. Placebo test.
Sustainability 17 01763 g003
Figure 4. Comparison of nuclear density distribution before and after matching.
Figure 4. Comparison of nuclear density distribution before and after matching.
Sustainability 17 01763 g004
Figure 5. The moderation effect of the digital economy.
Figure 5. The moderation effect of the digital economy.
Sustainability 17 01763 g005
Table 2. Descriptive statistics.
Table 2. Descriptive statistics.
VariableObsMeanStd. Dev.Min.Max.
UR28930.0800.0470.0200.433
DID28930.1460.35301
DigE23310.1100.0700.0190.756
Wage289310.7930.3688.47513.265
Sed28937.1100.5353.6189.351
Cityl28930.5180.1450.1851
Density28935.7621.1321.59714.478
Note: DID represents the National Civilized City Evaluation, UR represents urban resilience, Cityl denotes urbanization level, Density represents population density, Wage represents the average wage of employees, Sed represents the level of scientific and educational development and DigE represents the level of digital economy.
Table 3. Baseline regression results.
Table 3. Baseline regression results.
Variable(1)(2)(3)(4)
URURURUR
DID0.073 ***0.029 ***0.017 ***0.017 ***
(0.004)(0.002)(0.002)(0.002)
Wage −0.008 ** −0.007 *
(0.003) (0.004)
Sed 0.042 *** 0.016 ***
(0.003) (0.005)
Cityl 0.103 *** −0.021
(0.005) (0.033)
Density 0.008 *** −0.004 ***
(0.001) (0.001)
Constant0.069 ***−0.239 ***0.053 ***0.059
(0.001)(0.017)(0.001)(0.043)
CityNoNoYesYes
YearNoNoYesYes
N2893289328932893
R-squared0.2970.7180.7190.735
Note: *** p < 0.01, ** p < 0.05, * p < 0.1. DID represents the National Civilized City Evaluation, UR represents urban resilience, Cityl denotes urbanization level, Density represents population density, Wage represents the average wage of employees, Sed represents the level of scientific and educational development.
Table 4. Robustness tests.
Table 4. Robustness tests.
Variable12345
DID0.014 ***0.016 ***0.016 ***0.016 ***0.014 ***
(7.780)(0.002)(0.002)(0.002)(0.002)
Cityl−0.007−0.021−0.015−0.0160.006
(−0.243)(0.033)(0.032)(0.032)(0.029)
Density0.039 ***0.004 ***0.004 ***0.004 ***−0.0004
(2.661)(0.001)(0.000711)(0.001)(0.031)
Wage−0.010 **−0.007 *−0.006−0.007 *−0.004
(−2.426)(0.00415)(0.00401)(0.004)(0.004)
Sed0.017 ***0.016 ***0.015 ***0.014 ***0.008**
(4.310)(0.005)(0.005)(0.005)(0.004)
smartcity 0.0030.0030.003
(0.002)(0.002(0.002)
lcarboncity 0.005 **0.005 **
(0.002)(0.002)
spongycity 0.013 **
(0.006)
ControlYesYesYesYesYes
CityYesYesYesYesYes
YearYesYesYesYesYes
N 2893289328932640
R-squared0.7770.7360.7390.7450.760
Note: *** p < 0.01, ** p < 0.05, * p < 0.1. DID represents the National Civilized City Evaluation, Cityl denotes urbanization level, Density represents population density, Wage represents the average wage of employees, Sed represents the level of scientific and educational development.
Table 5. Spatial dual DID tests.
Table 5. Spatial dual DID tests.
VariableModel 1
(Economic Distance)
UR
Model 2
(Geographical Distance)
UR
Model 3
(Economic Weight)
UR
Model 4
(Geographical Weight)
UR
DID0.016 ***0.014 ***0.014 ***0.007 ***
(0.001)(0.001)(0.001)(0.001)
W × D I D i t 0.079 ***0.039 ***0.021 ***0.011 ***
(0.012)(0.011)(0.002)(0.002)
W × U R i t 0.858 ***0.846 ***0.329 ***0.386 ***
(0.061)(0.065)(0.312)(0.029)
ControlsNoYesNoYes
CityYesYesYesYes
YearYesYesYesYes
N2893289328932893
R-squared0.6420.6510.5320.479
Note: *** p < 0.01. DID represents the National Civilized City Evaluation, UR represents urban resilience, and W represents the spatial weight matrix.
Table 6. Moderation effect of the digital economy.
Table 6. Moderation effect of the digital economy.
Variable12
URUR
DID0.009 ***0.005 ***
(0.002)(0.002)
DigE 0.015
(0.039)
DIDit × DigE 0.131 ***
(0.044)
Cityl0.0040.012
(0.029)(0.027)
Density−0.005 ***−0.002 ***
(0.001)(0.001)
Wage−0.002−0.002
(0.003)(0.003)
Sed0.014 **0.012 **
(0.006)(0.005)
Constant0.0130.0149
(0.042)(0.041)
N23312331
R-squared0.6920.717
Note: *** p < 0.01, ** p < 0.05. DID represents the National Civilized City Evaluation, UR represents urban resilience, Cityl denotes urbanization level, Density represents population density, Wage represents the average wage of employees, Sed represents the level of scientific and educational development and DigE represents the level of digital economy.
Table 7. Heterogeneity analysis results.
Table 7. Heterogeneity analysis results.
Variable1234
Eastern CityEastern CityResource-Dependent CityNon-Resource-Dependent City
DID0.017 ***0.013 ***0.012 ***0.019 ***
(0.0037)(0.002)(0.003)(0.003)
Wage−0.006−0.005−7.00 × 10−6−0.010 *
(0.018)(0.003)(0.004)(0.006)
Sed0.0130.012 **0.0050.026 ***
(0.012)(0.005)(0.003)(0.007)
Cityl−0.129 *0.0060.055 **−0.115 ***
(0.071)(0.030)(0.022)(0.040)
Density0.087−0.006 ***−0.040−0.003 ***
(0.057)(0.001)(0.029)(0.001)
Constant−0.4230.0470.2080.065
(0.348)(0.032)(0.133)(0.069)
N803209012101683
R-squared0.7620.7630.7950.757
Note: *** p < 0.01, ** p < 0.05, * p < 0.1. DID represents the National Civilized City Evaluation, Cityl represents the level of urbanization, Density represents population density, Wage represents the average wage of employed workers, and Sed represents the level of scientific and educational development.
Disclaimer/Publisher’s Note: The statements, opinions and data contained in all publications are solely those of the individual author(s) and contributor(s) and not of MDPI and/or the editor(s). MDPI and/or the editor(s) disclaim responsibility for any injury to people or property resulting from any ideas, methods, instructions or products referred to in the content.

Share and Cite

MDPI and ACS Style

Jiao, Y.; Song, D.; Meng, Q. The Impact of the National Civilized City Evaluation on Urban Resilience from the Perspective of Administrative Competition. Sustainability 2025, 17, 1763. https://doi.org/10.3390/su17041763

AMA Style

Jiao Y, Song D, Meng Q. The Impact of the National Civilized City Evaluation on Urban Resilience from the Perspective of Administrative Competition. Sustainability. 2025; 17(4):1763. https://doi.org/10.3390/su17041763

Chicago/Turabian Style

Jiao, Yafei, Dian Song, and Qiuming Meng. 2025. "The Impact of the National Civilized City Evaluation on Urban Resilience from the Perspective of Administrative Competition" Sustainability 17, no. 4: 1763. https://doi.org/10.3390/su17041763

APA Style

Jiao, Y., Song, D., & Meng, Q. (2025). The Impact of the National Civilized City Evaluation on Urban Resilience from the Perspective of Administrative Competition. Sustainability, 17(4), 1763. https://doi.org/10.3390/su17041763

Note that from the first issue of 2016, this journal uses article numbers instead of page numbers. See further details here.

Article Metrics

Back to TopTop