Next Article in Journal
Piranha Foraging Optimization Algorithm with Deep Learning Enabled Fault Detection in Blockchain-Assisted Sustainable IoT Environment
Previous Article in Journal
A Critical Review of Consumer Perception and Environmental Impacts of Bioplastics in Sustainable Food Packaging
 
 
Font Type:
Arial Georgia Verdana
Font Size:
Aa Aa Aa
Line Spacing:
Column Width:
Background:
Article

Land-Use Land-Cover Dynamics and Future Projections Using GEE, ML, and QGIS-MOLUSCE: A Case Study in Manisa

by
Halil İbrahim Gündüz
Department of Geomatics Engineering, Aksaray University, 68100 Aksaray, Turkey
Sustainability 2025, 17(4), 1363; https://doi.org/10.3390/su17041363
Submission received: 19 December 2024 / Revised: 1 February 2025 / Accepted: 5 February 2025 / Published: 7 February 2025
(This article belongs to the Section Sustainable Urban and Rural Development)

Abstract

Urban expansion reshapes spatial patterns over time, leading to complex challenges such as environmental degradation, resource scarcity, and socio-economic inequality. It is critical to anticipate these transformations in order to devise proactive urban policies and implement sustainable planning practices that minimize negative impacts on ecosystems and human livelihoods. This study investigates LULC changes in the rapidly urbanizing Manisa metropolitan area of Turkey using Sentinel-2 satellite imagery and advanced machine learning algorithms. High-accuracy LULC maps were generated for 2018, 2021, and 2024 using Random Forest, Support Vector Machine, k-Nearest Neighbors, and Classification and Regression Trees algorithms. Among these, the Random Forest algorithm demonstrated superior accuracy and consistency in distinguishing complex land-cover classes. Future LULC scenarios for 2027 and 2030 were simulated using the Cellular Automata–Artificial Neural Network model and the QGIS MOLUSCE plugin. The results indicate significant urban growth, with built-up areas projected to increase by 23.67% between 2024 and 2030, accompanied by declines in natural resources such as bare land and water bodies. This study highlights the implications of urban expansion regarding ecological balance and demonstrates the importance of integrating machine learning and simulation models to forecast land use changes, enabling sustainable urban planning and resource management. Overall, effective policies must be developed to manage the negative environmental impacts of urbanization and conduct land use planning in a balanced manner.

1. Introduction

Urban sprawl, defined as the unplanned and irregular expansion of urban areas into rural regions, is accelerating, especially in developing countries, due to the migration of people toward cities that offer better health, education, and employment opportunities [1,2]. Although migrants provide flexible and inexpensive labor that supports economic growth in large cities, this economic growth also leads to urban overexpansion, population congestion, and rapid changes in land use (LU) and land cover (LC) [3]. Furthermore, the global population has surpassed 8.2 billion, and the rate of urbanization continues to rise rapidly; according to [4], increasing urban growth over the last 50 years has caused important changes in the global population distribution, revealing that as of 2018, most of the global population now lives in cities, and the rural population ratio is gradually decreasing. This proportion is expected to reach 60.5% by 2030. Under these circumstances, urban areas have experienced rapid expansion (urban sprawl), increasing fourfold from 1970 to 2000, and they are projected to triple from 2000 to 2030 [5,6]. This dramatic expansion has led to the rapid conversion of agricultural, wetlands, and other sensitive natural resources into areas of residential and economic activity, leading to fundamental changes in LULC [7].
LC represents natural surface features of the land, such as forests, agricultural areas, and bare land, whereas LU refers to the human use of land for purposes such as housing, agriculture, and infrastructure development [8]. Changes in LULC can have negative impacts on biodiversity [9], climate [10], air quality [11], land surface temperature [12], and the productivity of land [13], leading to long-term or irreversible environmental effects. Hence, the efficient and accurate detection of the current status of and future changes in LULC plays a substantial role in environmental management, urban planning, and the effective management of natural resources [14,15]. Conventionally, LULC change detection has relied on the use of empirical field data and analog mapping techniques, which are time-consuming, labor-intensive, and costly [16]. In contrast, modern approaches, such as remote sensing (RS), Geographic Information Systems (GISs), and machine learning (ML), offer faster, more accurate, and cost-effective alternatives.
RS is frequently used to detect LULC changes due to its low cost, ability to image large areas, and provision of images at various temporal, spatial, and spectral resolutions [17,18]. However, the accurate detection of changes in LULC using RS images requires suitable classification algorithms [19]. Numerous methods have been developed to detect LULC changes, including unsupervised (e.g., K-means), supervised parametric (e.g., minimum distance), and supervised non-parametric (e.g., Random Forest (RF)) ML algorithms. Each of these methods offers various advantages and disadvantages based on different data types and research objectives. Parametric classification methods are associated with several methodological difficulties, such as assumptions about the distribution of the data in the data analysis process, challenges in processing high-dimension data, and uncertainties in determining boundaries during classification. However, it has become possible to overcome these difficulties with the development of non-parametric algorithms such as RF, SVM, Classification and Regression Trees (CART), and k-Nearest Neighbors (kNN). These algorithms can better handle complex data structures without relying on a certain type of data distribution, providing higher accuracy. Additionally, their effectiveness on large datasets and flexibility during the feature extraction process contribute to their superior performance when compared with other methods for LULC detection [20,21,22,23]. Moreover, GISs facilitate the integration of spatial data obtained from RS, enabling the analysis, mapping, and prediction of LULC changes, whereas traditional methods do not offer the ability to project future LULC scenarios [24]. Different models have been developed and implemented to simulate the future state of LULC, including ANN Markov chain models, Dinamica, PLUS, and CA–Artificial Neural Networks (CA-ANN) [25,26,27]. The ability to forecast future LULC changes provides significant advantages over conventional techniques, offering tools with which urban planners and policymakers may anticipate and manage the impacts of urbanization. Additionally, the recently developed QGIS MOLUSCE plugin has become a widely used and effective tool for simulating future LULC scenarios by creating transition probability matrices based on the CA-ANN approach, utilizing various methods such as logistic regression, multi-criteria evaluation, ANN, and weights of evidence [28]. Ultimately, the combined application of RS, ML, and GIS has enabled the rapid, cost-effective, and accurate examination of both current and future states of LULC, which has successfully been implemented by many researchers worldwide, including those in India [29], Pakistan [30], Ethiopia [31], Bangladesh [32], China [33], Iran [34], Brazil [35], and Italy [36].
Turkey has a population of approximately 87 million and ranks 18th among the world’s countries in terms of population [37]. Since the 1960s, the increasing mechanization of agriculture has reduced the demand for labor in rural areas, thus accelerating the urbanization process. In 1960, 68% of the population lived in rural areas, whereas 32% resided in provincial and district centers; in contrast, at present, 93% of the population has settled in an urban area. This rapid urbanization has led to unplanned construction, the destruction of natural areas, and an increase in environmental issues [38,39,40]. A similar development trend has occurred in Manisa, Turkey, which achieved metropolitan status in 2012 as a result of accelerated industrialization and urbanization. Following this designation, the entire population was officially recorded as residing in an urban center. Therefore, to determine the actual rural and urban population distribution, data from 2011 were considered. Accordingly, in 2011, 66% of Manisa’s population lived in the city center, while 34% resided in a rural area [40]. This rapid urbanization process and population change in Manisa highlights need to identify both the current and future conditions of LULC alongside urban growth. This requirement must be taken into consideration for effective natural resource management, urban planning, and sustainable development. However, studies examining LULC dynamics in Manisa remain limited in number [41,42,43], which hinders a comprehensive understanding of the effects of urban sprawl in the region on the local ecological environment and socio-economic structure.
In this context, the present study aimed to generate high-accuracy LULC maps for the years 2018, 2021, and 2024 using Sentinel-2 satellite imagery and various ML algorithms within the Google Earth Engine (GEE), in addition evaluating the performance of these algorithms in terms of their accuracy and kappa statistics. Additionally, future LULC scenarios were simulated for the years 2027 and 2030 using the CA-ANN model in order to assess potential changes in LULC—particularly in terms of urban expansion and its impact on natural resources. Unlike traditional methods, this study employed an innovative approach integrating ML-based classification with advanced simulation modeling, allowing for a comprehensive analysis of both past and future LULC dynamics in the Manisa metropolitan area. The results are expected to offer critical insights for LU planning, urban development strategies, and resource management by identifying areas at risk of significant change and emphasizing the implications of these changes for sustainable development.

2. Materials and Methods

2.1. Study Area

The city of Manisa is located in Turkey’s Aegean region and covers an area of approximately 13,810 km2. It is situated between 27°08′ and 29°05′ east longitude and 38°04′ and 39°58′ north latitudes, at an elevation ranging from 50 to 1550 m above sea level (Figure 1). Manisa is bordered by İzmir to the west, Uşak and Kütahya to the east, Balıkesir to the north, and Aydın and Denizli to the south. The city’s population, which was approximately 750,000 in 1965, grew to around 1.5 million by 2023, reflecting an 8.55% growth rate over the last decade (2013–2023) [40]. This study area specifically focused on the Yunusemre and Şehzadeler districts of Manisa Province, covering approximately 1335 km2. This region comprises a mix of urban, agricultural, wetland, and forested lands, including parts of Spil Mountain National Park, which is renowned for its rich biodiversity, featuring diverse flora with endemic species, as well as significant archaeological and cultural significance [44]. Despite its protected status, rapid urbanization occurring around the park and LU changes that may be caused by human activities require monitoring and effective management.

2.2. Dataset

LULC changes in the metropolitan area of Manisa were detected from Sentinel-2 satellite images. The Sentinel-2 Multispectral Instrument is a twin satellite system consisting of Sentinel-2A and Sentinel-2B, which were launched on 23 June 2015, and 7 March 2017, respectively, operating in a sun-synchronous orbit. Both Sentinel-2 satellites have a swath width of 290 km and comprise a total of 13 bands with three different spatial resolutions: 10 m (visible and near-infrared bands), 20 m (vegetation red-edge and shortwave infrared (SWIR) bands), and 60 m (other bands) [45]. The sensitivity of the red-edge and SWIR bands to chlorophyll content, along with their high spatial resolution, provides significant advantages for LULC classification [46]. Therefore, bands 2–8 and 11–12 of the Sentinel-2 images were utilized in this study (Table 1). Sentinel-2 images can be accessed free of charge through the Copernicus Open Access Hub (https://dataspace.copernicus.eu/, accessed on 10 November 2024) and GEE. Sentinel-2 images can be obtained at two different levels: Level-1C (the top of the atmosphere reflectance) and Level-2A (the bottom of the atmosphere reflectance). Considering the need for atmospheric correction of Level-1C, Level-2A images obtained through the atmospheric correction of Level-1C for three different periods (2018, 2021, and 2024) were used in this study.

2.3. Methods

The overall workflow comprised a five-stage process (Figure 2): pre-processing the Sentinel-2 images, creating training and test samples, LULC classification, accuracy assessment, and predicting future LULC using the open-source QGIS 3.34.15 version MOLUSCE plugin. Each step is detailed in the following subsections.

2.3.1. Image Preprocessing

In this study, Sentinel-2 Level-2A surface reflectance products from the COPERNICUS/S2_SR dataset were obtained using the GEE. All images were initially filtered based on the study area, period of interest, and a cloud cover threshold of less than 5%. Next, the clouds and cloud shadows were masked using the QA60 band in the images. Finally, a composite image was created from the masked and filtered images, and six indices were derived from the DEM, slope, and bands to enhance classification accuracy—an approach widely used in remote sensing studies [48,49]. These indices included the enhanced vegetation index (EVI) [50], developed to improve vegetation signals by reducing atmospheric noise; the land surface water index (LSWI) [51], used to distinguish water bodies; the Modified Normalized Difference Water Index (MNDWI) [52], designed to detect water bodies and moist soils; the normalized difference building index (NDBI) [53], used to distinguish natural and artificial surfaces; the normalized difference tillage index (NDTI) [54], used to distinguish agricultural land; and the normalized difference vegetation index (NDVI) [55], used to distinguish vegetation from other classes. The mathematical expressions for each index is given below:
E V I = 2.5 × N I R R E D N I R + 6 × R E D 7.5 × B L U E + 1
L S W I = N I R S W I R 1 N I R + S W I R 1
M N D W I = G R E E N S W I R 1 G R E E N + S W I R 1
N D B I = S W I R 1 N I R S W I R 1 + N I R
N D T I = S W I R 1 S W I R 2 S W I R 1 + S W I R 2
N D V I = N I R R E D N I R + R E D

2.3.2. Creation of Training and Test Samples

After completing the image pre-processing step, training and test datasets were prepared based on six LULC classes (water bodies, built-up, cultivated land, fallow land, forest, and bare land) for use in the ML algorithms for LULC classification. The LULC classes are defined as follows: water bodies are areas such as lakes, rivers, and dams that are covered by water; built-up is an area densely covered with human-made structures and infrastructures; cultivated land is used for growing crops; fallow land consists of uncultivated agricultural lands; forests are covered by dense trees; and bare land consists of terrain with no vegetation, such as sandy or rocky surfaces. These six classes were obtained by visually analyzing historical high-resolution satellite imagery available on the Google Earth platform—a method widely used for defining LULC classes [56,57,58]. For these classes to be accurately defined and for the classification process to be successful, a sufficient number of accurate training samples were required. Therefore, approximately 18,000 samples were randomly collected for each period of interest (2018, 2021, and 2024), of which 70% were used as training data, while the remaining 30% were used to evaluate the performance of the algorithms. The test dataset was selected to be representative of the same spatial and temporal extent as the training data. Test samples were not included in the training process, allowing for an independent assessment of the model’s performance. Further details regarding the performance evaluation can be found in Section 2.3.4, where the confusion matrix method, which was used to assess the accuracy of the LULC classification results, is described.

2.3.3. Classification Algorithms

Four different ML algorithms (CART, kNN, RF, and SVM) were applied to derive the LULC maps. The selection of these algorithms aligned with the primary purpose of this study: to effectively classify LULC maps using widely adopted ML algorithms available on the GEE. The working principles of each algorithm utilized in this study are detailed below.
CART, proposed in [59], is a non-parametric ML algorithm based on binary decision trees. This method facilitates a simple decision-making process for if–then logic scenarios. The CART algorithm works by continuously splitting nodes based on a pre-defined threshold until it reaches terminal nodes. The maximum number of terminal nodes is one of the parameters that can affect the accuracy and efficiency of the CART algorithm: a high number of terminal nodes tends to lead to overfitting of the training data, whereas a lower value may be insufficient to detect small changes in the data, thus decreasing the classification accuracy. Furthermore, the incoming input data are divided into subsets, and trees are constructed using all but one of these subsets. The trees are validated for each excluded subset condition, and the tree with the lowest bias is selected. The algorithm’s efficiency is dependent on the sample size used for each class, and high-dimensional data can further reduce its effectiveness, resulting in a more complex tree structure. CART is advantageous due to its simplicity and interpretability; however, it exhibits significant sensitivity to small variations in the data and tends to overfit when tree structures become complex [60,61]. In this study, the CART algorithm was implement in GEE with the ‘classifier.smileCart’ function for the classification of satellite images.
Proposed in [62], kNN is a supervised non-parametric ML method used for classification and regression. The method determines which class a data point belongs to by looking at the k nearest neighbors of that data point. The label of unknown classes is determined based on the majority vote among these k neighbors, and proximity is assessed using metrics such as the Euclidean, Mahalanobis, and Manhattan distances. As no prior distribution of the data is assumed, kNN is useful for complex and high-dimensional datasets. Moreover, its robustness to noise and ability to learn continuously with new data make this method flexible and useful in various data analyses. However, when considering large datasets, the need to review the entire dataset for each prediction can lead to a high computational cost [63,64]. In this study, the kNN algorithm was implement in GEE with the ‘ee.Classifier.smileKNN’ function for the classification of satellite images.
RF, proposed in [65], is a powerful ensemble model that performs classification by creating a “forest” of multiple decision trees. Each tree is constructed using different subsets of the data and variables to enhance the overall performance of the model. In this process, the bagging technique is employed to randomly sample from the existing dataset, which is achieved through the bootstrapping method. The bagging technique enables the selected data subsets for each tree to become unique, thereby allowing the model to enhance its performance through increased diversity. Another important feature of RF is the random selection of variables used in the decision-making phase at each node. This allows each tree to follow a different decision-making process, thereby reducing overfitting and improving the overall performance of the model. As a result, class membership and model outputs are determined based on the majority vote of all trees, making the method more reliable and accurate. Additionally, one of the main advantages of this algorithm—along with considering interactions between variables—is that it does not require any assumptions about the data distribution and produces efficient results by evaluating a large number of variables [66,67,68]. However, a disadvantage is that the effects of variables are harder to interpret when compared to other methods, making them more difficult to understand in classification tasks [69]. In this study, the RF algorithm was implement in GEE with the ‘ee.Classifier.smileRandomForest’ function for the classification of satellite images.
SVM, proposed in [70], is a widely used ML method for classification and regression. Based on statistical learning theory, this method adopts a structured risk-minimization approach to minimize the overall error rate. A hyperplane is created from the data to provide the best separation between two classes, which is positioned to leave the widest possible margin between classes, thereby ensuring better generalization capabilities when determining class boundaries. The success of SVM relies on the critical data points used for this separation, known as support vectors. SVM provides an effective solution not only for binary classification problems but also for multi-class classification problems. Typically, a “one-vs.-one” or “one-vs.-all” approach is used for multi-class classification, which improves the classification performance for each class and involves the use of a voting mechanism to determine the correct class. As a result, SVMs exhibit strong generalization capabilities and perform well with a small amount of training data. However, when used with high-dimensional data, the generalization ability of the model may decrease due to an insufficient number of samples, and the technique may not yield accurate results [19,71,72,73,74]. In this study, the SVM algorithm was implemented in GEE with the ‘ee.Classifier.libsvm’ function for the classification of satellite images.
Adjustments to various hyperparameters were made to enforce the classification success of the ML algorithms used in this study. The hyperparameters were determined through an iterative testing process using pre-defined combinations within a specific range of values. For each algorithm, a range of potential values for key hyperparameters was defined based on prior knowledge and the existing literature, and the models were trained and validated using these values. The accuracy values obtained from these tests were compared, and the combination of hyperparameters providing the highest accuracy for each algorithm was determined to be optimal; these values are listed in Table 2. The parameters used in this process are outlined as follows: for CART, the maximum number of leaf nodes (maxNodes) and minimum number of samples per leaf (minLeafPopulation) were optimized; for kNN, the number of nearest neighbors (k), search method (searchMethod), and distance metric (metric) were optimized; for RF, the number of trees (numberOfTrees), minimum number of samples per leaf (minLeafPopulation), and bagging fraction (bagFraction) were optimized; and, for SVM, the cost (c) and decision procedure (decisionProcedure) were optimized.

2.3.4. Accuracy Assessment

Accuracy assessment was regarded as a critical step in evaluating the LULC maps produced by the models. In this study, the confusion matrix method—a widely recognized approach for performance evaluation—was utilized to analyze the accuracy of the LULC classification results derived from the different ML algorithms for the years 2018, 2021, and 2023. This method allowed for the acquisition of four fundamental error metrics by comparing the classified maps with test data: true positive—TP—refers to the correct classification of positive pixels; true negative—TN—represents the correct classification of negative pixels; false positive—FP—indicates the classification of negative pixels as positive; and false negative—FN—denotes the classification of positive pixels as negative. Based on these four classification outcomes, the most commonly used metrics for evaluating classification performance include overall accuracy—OA, user accuracy—UA, producer accuracy—PA, and the kappa coefficient—κ. These metrics can be calculated using the equations provided below, enabling a comprehensive analysis of the classification results. OA is a ratio that shows how accurately each pixel in the image is classified. UA is a metric that indicates how accurately a classifier predicts a particular class and is defined as the ratio of TP to TP + FP. PA is a measure of how well a classifier predicts a given class and shows the ratio of TP to TP + FN in that class [75]. Meanwhile, κ indicates the agreement between model predictions and test data, with value ranging from −1 to 1, where 1 represents perfect agreement, −1 indicates complete disagreement, and 0 denotes random agreement [76].
O A = T P + T N T P + F P + T N + F N
U A = T P T P + F N
P A = T P T P + F P
κ = ρ o ρ e 1 ρ e
In Equation (4), ρ o and ρ e refer to the observed and expected agreement rate by chance, respectively.

2.3.5. MOLUSCE

In this study, the QGIS MOLUSCE plugin was used to model LULC changes and simulate their future states. This tool has been leveraged by many researchers to predict current and possible future scenarios of LULC changes [29,30,31,32,33,34,35,36]. MOLUSCE consists of a process with five main steps: input phase, spatial change analysis, modeling, CA simulation, and validation. In the first step, the dependent and independent variables necessary for constructing the model are loaded. The dependent variables include the DEM, slope, aspect, and distance from roads, whereas the independent variables include the LULC maps for times T1 and T2. In this study, agricultural land was initially classified into two categories (cultivated and uncultivated) in order to capture spatial and temporal variations in agricultural activities. However, for the prediction phase, these categories were combined into a single agricultural land class, aiming to reduce model complexity and improve the stability of transition probabilities, given that cultivated and uncultivated areas share similar environmental characteristics. By unifying these classes, the model can more accurately identify potential transitions between LC types, enhancing prediction accuracy and contributing to higher κ values. Multiple dependent variables can be used to analyze the impact of independent variables on the modeling process and determine the most suitable variables, examining the correlations and linear relationships among the independent variables via Pearson’s correlation analysis. In the next step, an analysis of the spatial change between times T1 and T2 was performed to identify the LULC changes that occurred between the two different periods, revealing what types of changes took place in which classes. In the third step, an ANN was used to determine the transition probabilities between different classes, thus identifying potential areas for future LULC changes. In the fourth step, a CA simulation was conducted, in which future LULC conditions were simulated using the transition potential models identified by the ANN. In the ANN learning process, the parameters used to simulate LULC for the year 2024 are presented in Table 3, where neighborhood represents the number of pixels around a given pixel, learning rate defines the model’s learning speed during training, momentum indicates the change in weights, hidden layers determine the model’s capacity to learn complex patterns, and maximum iterations refer to the number of loops. Finally, in the fifth step, the simulated LULC maps were compared with reference LULC maps to assess the accuracy of the simulation results. In this phase, different metrics—such as the accuracy rate; overall kappa, κo; kappa histogram, κh; kappa location, κl; and percentage of correctness—were used to evaluate the model’s performance [28,29,32].

3. Results

In this study, LULC maps of the Manisa metropolitan area for the years 2018, 2021 and 2024 were produced using the GEE and four different ML algorithms. A morphological operation based on the focal mode was applied to reduce the “salt-and-pepper” effect in the generated LULC maps, and the results are presented in Figure 3. The performance of the algorithms was evaluated according to the performance criteria described in Section 2.3.4, and the results are presented in Table 4.
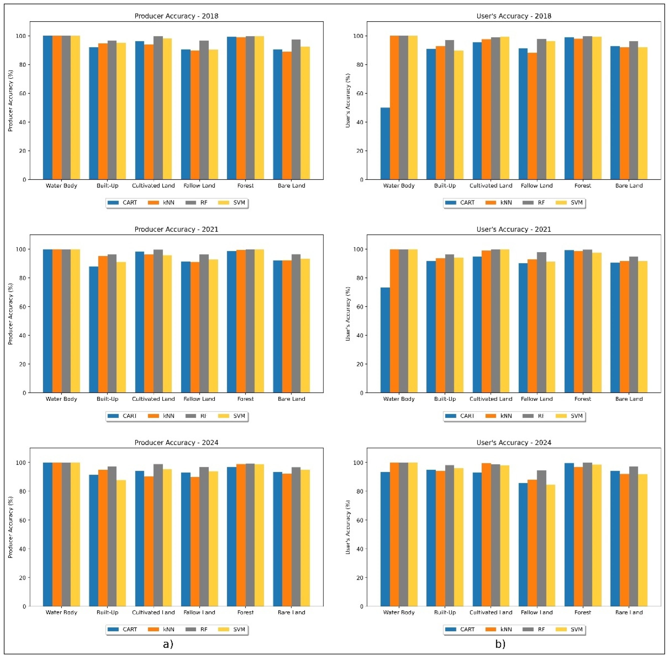
According to the OA values in Table 3, better accuracy was achieved in 2018 using the RF algorithm (98%), followed by SVM (95%), whereas CART and kNN both achieved an accuracy of 93%. In 2021, the RF algorithm again demonstrated the highest accuracy (98%), followed by kNN and SVM (both of which reached 95%), with CART achieving 93%. Similarly, in 2024, the RF algorithm maintained its top performance (98% accuracy), whereas CART, kNN, and SVM all achieved 94%. A similar pattern was observed for the κ values, with the RF algorithm exhibiting the better values in all three years (0.97 in 2018, 0.97 in 2021, and 0.97 in 2024), demonstrating better agreement than the other algorithms. According to [77], a κ value lower than 0.4 indicates poor agreement, a κ value between 0.4 and 0.8 indicates good agreement, and a κ value above 0.8 represents excellent agreement. Therefore, Table 3 shows that all the LULC maps produced using the different ML algorithms for the Manisa metropolitan area had excellent agreement, with RF showing higher accuracy and agreement than the other algorithms. In addition, to enable a more detailed analysis, the PA and UA values for each class were calculated and are shown in Figure 4.
Figure 4 reveals that the RF algorithm generally outperformed the other algorithms in terms of UA and PA. Specifically, the RF algorithm achieved accuracy values close to 100% across all three years for the water and forest classes, indicating its effectiveness in distinguishing complex LC classes. The SVM algorithm also yielded accuracies close to those of RF; however, decreases in UA were observed in certain years and classes. Additionally, all algorithms showed misclassifications in bare and fallow land areas due to the spectral similarity among pixels in these classes; notably, the CART and kNN algorithms demonstrated lower accuracy in these areas than the other algorithms, exhibiting greater confusion. Consequently, based on all performance criteria (κ, OA, PA, and UA), the RF algorithm was identified as the most effective method for LULC classification and, thus, the final LULC maps for 2018, 202, and 2024 were generated using the RF algorithm.
After these final LULC maps were generated, urban growth modeling for 2024 was initially performed using the QGIS MOLUSCE plugin to simulate the future LULC state. Prior to the simulation, the agricultural land classes in the LULC maps (cultivated and bare land) were merged into a single “Agricultural Land” class in order to account for the possibility that uncultivated areas may be cultivated in future years. Furthermore, this simplified the definition of the model’s transition matrices. The accuracy of the resulting simulation map (Figure 5b) was evaluated by comparing it with the classified map for the same year (Figure 5a), and the kappa statistics (% accuracy, κo, κh, and κl) were calculated. The κh value of 0.99, κo value of 0.88, κl value of 0.88, and proportional correctness of 92% indicate significantly high agreement between the actual and simulated LULC maps, demonstrating the model’s reliability in forecasting LU dynamics. The actual and simulated LULC maps for 2024 are shown in Figure 5. In addition, the areal coverage of LULC classes between these two maps is presented in Table 5.
Based on the model’s success in predicting future LU changes, LULC simulations were performed for the years 2027 and 2030. The 2027 simulation was conducted using the transition probability matrix and spatial variables derived from the 2021 and 2024 LULC maps. Similarly, the 2030 simulation was carried out considering the transition probability matrix and spatial variables produced from the 2024 and 2027 LULC maps. The simulated LULC maps for 2027 and 2030, along with their spatial extents, are presented in Figure 6 and Table 6.
An analysis of the simulation maps for 2027 and 2030 is presented in Figure 6, revealing transformations in the LULC. Built-up areas emerge as the most notable transition class during this period. In 2030, built-up areas are expected to increase by 23.67% compared with 2024, clearly reflecting the impact of urban growth and highlighting the increasing influence of urbanization on LU. Additionally, forest areas are projected to increase by 8.17% in the future. This growth can be attributed to reforestation projects, natural forest regeneration processes, and a decline in agricultural activities. However, during the same period, significant reductions in agricultural areas and bare land are anticipated. Agricultural areas are expected to decrease by 1.12%, while bare land is simulated to shrink by 6.29%. Furthermore, water bodies are forecasted to decrease by 3.16%, raising concerns about the sustainability of water resources in the face of urban expansion. By 2030, the highest increase is expected in the built-up class, and the most significant decrease is projected in the bare land class. The reduction in agricultural areas and water resources underscores the changing trend in LU and specifically the decline in natural areas.

4. Discussion

In this study, LULC maps were created for the years 2018, 2021, and 2024 using four different ML algorithms (RF, SVM, KNN, and CART), which are available on the GEE, and the results of these maps were evaluated within the scope of the metrics described in Section 2.3.4. The analyses revealed that the RF algorithm offered superior accuracy when compared with the other methods, which can be attributed to its robustness against noise and overfitting, ability to handle high-dimensional datasets effectively, and low sensitivity to parameter tuning [66,67,68]. However, the performance of the ML algorithms—and, consequently, the accuracy of the produced LULC maps—can vary depending on the quality of the input and training samples and parameter optimization [78]. Nonetheless, the high accuracy achieved by the RF algorithm in this study is consistent with previous findings in the literature [29,79,80]. Additionally, the results not only reflect the performance of the algorithms in terms of OA but also reveal their detailed ability to distinguish between different LC classes. Specifically, the RF algorithm made fewer classification errors in transitional zones, such as between forest and agricultural areas, when compared with the other algorithms. In contrast, the CART and kNN algorithms exhibited confusion in classifying transitional zones, mainly due to limited parameter optimization and their weaknesses in distinguishing complex classes. This was particularly evident in classification errors between bare land and built-up areas and agricultural and forest areas. Given the limited set of hyperparameters available on the GEE for both of these algorithms, further performance improvements could be achieved by refining the training dataset. Expanding the dataset to include more diverse samples—particularly from transitional zones—could allow the algorithms to better capture subtle class boundaries and improve their overall classification accuracy. In contrast to CART and kNN, the SVM algorithm demonstrated more balanced overall performance, although it showed lower accuracy—particularly for the bare land class—when compared to the RF algorithm.
After the final LULC maps were produced using the RF algorithm, simulation studies were conducted to model future LULC changes with respect to 2024. The accuracy of the obtained simulation map was evaluated through a comparison with the classified map for the same year. Additionally, when the simulation results were compared with similar studies in the literature [30,31,32], they exhibited similar accuracy levels, further validating the applied method. Thus, the simulation results were considered effective for predicting LULC changes in the study area, and simulation maps for 2027 and 2030 were produced using the QGIS MOLUSCE plugin, which revealed that settlement areas are expected to become more concentrated around existing urban regions while pressures on natural areas continue to increase. Similar trends have been observed in studies conducted on a global scale, such as Odisha, India [29]; Islamabad, Pakistan [30]; Upper Omo–Gibe River Basin, Ethiopia [31]; Chattogram, Bangladesh [32]; and in various regions of Turkey, including Mersin [81] and Eskişehir [82]. These findings are crucial for assessing the impact of urban expansion on water resources, agricultural lands, and ecosystems. As built-up areas increase, the reduction in surface permeability significantly disrupts the natural water cycle. This situation prevents rainwater from infiltrating the soil, increasing surface runoff, leading to a decline in groundwater levels and intensifying the urban heat island effect. Furthermore, decreased surface permeability raises the risk of floods and inundations in urban areas, resulting in potential loss of life and property. Another significant consequence of urban expansion is the reduction in natural and agricultural lands, which negatively affects food security and local economic stability. The decline in agricultural lands reduces regional food production and livelihoods, while the loss of natural areas weakens ecosystem services and leads to biodiversity loss. Additionally, although the increase in forested areas suggests that reforestation projects have been successful, the long-term sustainability of this gain remains uncertain due to the growing urbanization pressure on natural lands. As a result, decision-makers must manage urban expansion in alignment with sustainable development strategies, considering its impacts on water resources, agricultural lands, natural areas, and ecosystems. In this context, long-term urban planning processes should include regulations to protect agricultural lands, the widespread implementation of green infrastructure projects, and the development of policies that support the sustainable management of natural resources.

5. Conclusions

This study demonstrated the effective use of Sentinel-2 data and ML algorithms for LULC classification and the future prediction of LC dynamics. The integration of pre-processing techniques, feature extraction, and optimized ML methods, including RF, SVM, CART, and kNN, ensured high-accuracy LULC mapping for the years 2018, 2021, and 2024. Among these algorithms, RF consistently outperformed the others in terms of OA and κ values, achieving near-perfect classification for complex classes such as forests and water bodies. The MOLUSCE plugin allowed for the robust modeling and simulation of LULC changes, projecting significant trends up to 2030. Notably, urban growth emerged as a dominant change, with built-up areas expected to increase by 23.67% from 2024 to 2030. Simultaneously, a decline in environmental resources, such as water bodies and bare land, highlights the impact of urban expansion on ecological balance. The findings of this study provide actionable insights for urban planners and decision-makers, emphasizing the importance of sustainable land management strategies to balance urbanization with environmental conservation. The LULC analyses conducted for the Manisa metropolitan area offer critical insights for sustainable development, particularly the identification of areas under significant pressure from urban growth. Local administrations can leverage these results to implement policy tools for the preservation of green spaces and to incorporate sensitive areas into planning processes, thereby protecting natural areas from urban sprawl. Additionally, the scenarios provided by the QGIS-MOLUSCE model serve as a strategic guide for long-term urban planning, helping decision-makers direct urbanization and sustainably manage natural resources. Projected LU trends, derived from a data-driven framework, can inform zoning regulations, green infrastructure projects, and urban growth boundaries, offering a replicable model for integrating LULC insights into strategic planning processes. This approach not only addresses the immediate challenges posed by urban expansion but also supports the development of integrated management strategies to tackle broader environmental concerns such as water resource depletion and biodiversity loss. However, this study’s results reflect future changes based solely on the current situation and the spatial variables considered. Incorporating additional variables, such as hillshade, population data, and distance to water bodies and urban centers, may enable more accurate predictions of potential LU changes. Nevertheless, there are various sources of uncertainty in the modeling process. The temporal and spatial resolution limitations of RS data, spectral similarities between LC types, parameter optimization of the ML algorithms, and the quality of training samples are the primary uncertainty factors. In order to minimize the impact of these uncertainties, integrating higher-resolution satellite imagery, the application of data fusion techniques (multispectral and radar), the provision of up-to-date training data supported by field studies, and the careful determination of model parameters using methods such as grid search or Bayesian optimization may enhance the classification accuracy and reduce errors in transition areas. Additionally, future research could build upon the findings reported in this study by incorporating more advanced LU change models, such as the landscape-driven patch-based cellular automaton (LP-CA) model. The LP-CA model, which simulates LU transitions based on local interactions, has the potential to provide a more detailed understanding of LC dynamics, particularly in heterogeneous and fragmented landscapes. By combining LP-CA with ML algorithms, future studies could achieve improved predictive accuracy, offering more robust tools for urban planning and resource management. Furthermore, integrating LP-CA with remote sensing data could enable the real-time monitoring of LULC changes, providing valuable insights that could enable policymakers to implement adaptive management strategies and ensure sustainable development.

Funding

This research received no external funding.

Institutional Review Board Statement

Not applicable.

Informed Consent Statement

Not applicable.

Data Availability Statement

The original contributions presented in the study are included in the article; further inquiries can be directed to the author.

Acknowledgments

The author expresses their sincere gratitude to the academic editors and reviewers for their valuable comments and constructive suggestions.

Conflicts of Interest

The author declares no conflicts of interest.

References

  1. Bagheri, B.; Tousi, S.N. An Explanation of Urban Sprawl Phenomenon in Shiraz Metropolitan Area (SMA). Cities 2018, 73, 71–90. [Google Scholar] [CrossRef]
  2. Singh, B.; Venkatramanan, V.; Deshmukh, B. Monitoring of Land Use Land Cover Dynamics and Prediction of Urban Growth Using Land Change Modeler in Delhi and Its Environs, India. Environ. Sci. Pollut. Res. 2022, 29, 71534–71554. [Google Scholar] [CrossRef]
  3. Surya, B.; Ahmad, D.N.A.; Sakti, H.H.; Sahban, H. Land Use Change, Spatial Interaction, and Sustainable Development in the Metropolitan Urban Areas, South Sulawesi Province, Indonesia. Land 2020, 9, 95. [Google Scholar] [CrossRef]
  4. UNDESA, 2018: World Urbanization Prospects: The 2018 Revision. United Nations Department of Economic and Social Affairs, Population Division. Available online: https://population.un.org/wup/assets/WUP2018-Report.pdf (accessed on 6 November 2024).
  5. Seto, K.C.; Fragkias, M.; Güneralp, B.; Reilly, M.K. A Meta-Analysis of Global Urban Land Expansion. PLoS ONE 2011, 6, e23777. [Google Scholar] [CrossRef]
  6. Seto, K.C.; Guneralp, B.; Hutyra, L.R. Global Forecasts of Urban Expansion to 2030 and Direct Impacts on Biodiversity and Carbon Pools. Proc. Natl. Acad. Sci. USA 2012, 109, 16083–16088. [Google Scholar] [CrossRef] [PubMed]
  7. Lambin, E.F.; Turner, B.L.; Geist, H.J.; Agbola, S.B.; Angelsen, A.; Bruce, J.W.; Coomes, O.T.; Dirzo, R.; Fischer, G.; Folke, C.; et al. The Causes of Land-Use and Land-Cover Change: Moving beyond the Myths. Glob. Environ. Change 2001, 11, 261–269. [Google Scholar] [CrossRef]
  8. Ahmad, M.N.; Shao, Z.; Javed, A. Modelling Land Use/Land Cover (LULC) Change Dynamics, Future Prospects, and Its Environmental Impacts Based on Geospatial Data Models and Remote Sensing Data. Environ. Sci. Pollut. Res. 2022, 30, 32985–33001. [Google Scholar] [CrossRef] [PubMed]
  9. Sharma, R.; Nehren, U.; Rahman, S.; Meyer, M.; Rimal, B.; Aria Seta, G.; Baral, H. Modeling Land Use and Land Cover Changes and Their Effects on Biodiversity in Central Kalimantan, Indonesia. Land 2018, 7, 57. [Google Scholar] [CrossRef]
  10. Wu, M.; Schurgers, G.; Ahlström, A.; Rummukainen, M.; Miller, P.A.; Smith, B.; May, W. Impacts of Land Use on Climate and Ecosystem Productivity over the Amazon and the South American Continent. Environ. Res. Lett. 2017, 12, 054016. [Google Scholar] [CrossRef]
  11. Zarin, T.; Esraz-Ul-Zannat, M. Assessing the Potential Impacts of LULC Change on Urban Air Quality in Dhaka City. Ecol. Indic. 2023, 154, 110746. [Google Scholar] [CrossRef]
  12. Sekertekin, A.; Kutoglu, S.H.; Kaya, S. Evaluation of Spatio-Temporal Variability in Land Surface Temperature: A Case Study of Zonguldak, Turkey. Environ. Monit. Assess. 2015, 30, 188. [Google Scholar] [CrossRef]
  13. Dong, G.; Bai, J.; Yang, S.; Wu, L.; Cai, M.; Zhang, Y.; Luo, Y.; Wang, Z. The Impact of Land Use and Land Cover Change on Net Primary Productivity on China’s Sanjiang Plain. Environ. Earth Sci. 2015, 74, 2907–2917. [Google Scholar] [CrossRef]
  14. Selmy, S.A.H.; Kucher, D.E.; Mozgeris, G.; Moursy, A.R.; Jimenez-Ballesta, R.; Kucher, O.D.; Fadl, M.E.; Mustafa, A.R. Detecting, Analyzing, and Predicting Land Use/Land Cover (LULC) Changes in Arid Regions Using Landsat Images, CA-Markov Hybrid Model, and GIS Techniques. Remote Sens. 2023, 15, 5522. [Google Scholar] [CrossRef]
  15. Wang, Q.; Guan, Q.; Sun, Y.; Du, Q.; Xiao, X.; Luo, H.; Zhang, J.; Mi, J. Simulation of Future Land Use/Cover Change (LUCC) in Typical Watersheds of Arid Regions under Multiple Scenarios. J. Environ. Manag. 2023, 335, 117543. [Google Scholar] [CrossRef] [PubMed]
  16. Chaturvedi, V.; de Vries, W.T. Machine Learning Algorithms for Urban Land Use Planning: A Review. Urban Sci. 2021, 5, 68. [Google Scholar] [CrossRef]
  17. Chen, X.; Vierling, L.; Deering, D. A Simple and Effective Radiometric Correction Method to Improve Landscape Change Detection across Sensors and across Time. Remote Sens. Environ. 2005, 98, 63–79. [Google Scholar] [CrossRef]
  18. Abd El-Kawy, O.R.; Rød, J.K.; Ismail, H.A.; Suliman, A.S. Land Use and Land Cover Change Detection in the Western Nile Delta of Egypt Using Remote Sensing Data. Appl. Geogr. 2011, 31, 483–494. [Google Scholar] [CrossRef]
  19. Adam, E.; Mutanga, O.; Odindi, J.; Abdel-Rahman, E.M. Land-Use/Cover Classification in a Heterogeneous Coastal Landscape Using RapidEye Imagery: Evaluating the Performance of Random Forest and Support Vector Machines Classifiers. Int. J. Remote Sens. 2014, 35, 3440–3458. [Google Scholar] [CrossRef]
  20. Lu, D.; Weng, Q. A Survey of Image Classification Methods and Techniques for Improving Classification Performance. Int. J. Remote Sens. 2007, 28, 823–870. [Google Scholar] [CrossRef]
  21. Chachondhia, P.; Shakya, A.; Kumar, G. Performance Evaluation of Machine Learning Algorithms Using Optical and Microwave Data for LULC Classification. Remote Sens. Appl. Soc. Environ. 2021, 23, 100599. [Google Scholar] [CrossRef]
  22. Pan, X.; Wang, Z.; Gao, Y.; Dang, X.; Han, Y. Detailed and Automated Classification of Land Use/Land Cover Using Machine Learning Algorithms in Google Earth Engine. Geocarto Int. 2021, 37, 5415–5432. [Google Scholar] [CrossRef]
  23. Basheer, S.; Wang, X.; Farooque, A.A.; Nawaz, R.A.; Liu, K.; Adekanmbi, T.; Liu, S. Comparison of Land Use Land Cover Classifiers Using Different Satellite Imagery and Machine Learning Techniques. Remote Sens. 2022, 14, 4978. [Google Scholar] [CrossRef]
  24. Corner, R.J.; Dewan, A.M.; Chakma, S. Monitoring and Prediction of Land-Use and Land-Cover (LULC) Change. In Dhaka Megacity: Geospatial Perspectives on Urbanisation, Environment and Health; Robert Corner, A.D., Ed.; Springer: Dordrecht, The Netherland, 2013; pp. 75–97. ISBN 9789400767348. [Google Scholar]
  25. Berberoğlu, S.; Akın, A.; Clarke, K.C. Cellular Automata Modeling Approaches to Forecast Urban Growth for Adana, Turkey: A Comparative Approach. Landsc. Urban Plan. 2016, 153, 11–27. [Google Scholar] [CrossRef]
  26. Lin, J.; Chen, Q. Analyzing and Simulating the Influence of a Water Conveyance Project on Land Use Conditions in the Tarim River Region. Land 2023, 12, 2073. [Google Scholar] [CrossRef]
  27. Chen, G.; Long, X.; Wu, C.; Zhao, J. Urban Spatial Pattern Optimization Based on “Double Evaluation”: A Case Study of Urban Agglomeration in Central Yunnan, China. Sustainability 2024, 16, 11031. [Google Scholar] [CrossRef]
  28. Baghel, S.; Kothari, M.K.; Tripathi, M.P.; Singh, P.K.; Jain, S.K. Spatiotemporal LULC Change Detection and Future Prediction for the Mand Catchment Using MOLUSCE Tool. Environ. Earth Sci. 2024, 83, 1–15. [Google Scholar] [CrossRef]
  29. Bathe, K.D.; Patil, N.S. Assessment of Land Use-Land Cover Dynamics and Its Future Projection through Google Earth Engine, Machine Learning and QGIS-MOLUSCE: A Case Study in Jagatsinghpur District, Odisha, India. J. Earth Syst. Sci. 2024, 133, 111. [Google Scholar] [CrossRef]
  30. Khan, A.; Sudheer, M. Machine Learning-Based Monitoring and Modeling for Spatio-Temporal Urban Growth of Islamabad. Egypt. J. Remote Sens. Space Sci. 2022, 25, 541–550. [Google Scholar] [CrossRef]
  31. Lukas, P.; Melesse, A.M. Tadesse Tujuba Kenea Prediction of Future Land Use/Land Cover Changes Using a Coupled CA-ANN Model in the Upper Omo–Gibe River Basin, Ethiopia. Remote Sens. 2023, 15, 1148. [Google Scholar] [CrossRef]
  32. Kafy, A.-A.; Faisal, A.-A.; Shuvo, R.M.; Naim, M.N.H.; Sikdar, M.S.; Chowdhury, R.R.; Islam, M.A.; Sarker, M.H.S.; Khan, M.H.H.; Kona, M.A. Remote Sensing Approach to Simulate the Land Use/Land Cover and Seasonal Land Surface Temperature Change Using Machine Learning Algorithms in a Fastest-Growing Megacity of Bangladesh. Remote Sens. Appl. Soc. Environ. 2021, 21, 100463. [Google Scholar] [CrossRef]
  33. Zhang, M.; Zhang, C.; Kafy, A.-A.; Tan, S. Simulating the Relationship between Land Use/Cover Change and Urban Thermal Environment Using Machine Learning Algorithms in Wuhan City, China. Land 2021, 11, 14. [Google Scholar] [CrossRef]
  34. Sakizadeh, M.; Milewski, A. Quantifying LULC Changes in Urmia Lake Basin Using Machine Learning Techniques, Intensity Analysis and a Combined Method of Cellular Automata (CA) and Artificial Neural Networks (ANN) (CA-ANN). Model. Earth Syst. Environ. 2023, 10, 2011–2030. [Google Scholar] [CrossRef]
  35. Fontana, A.G.; Nascimento, V.F.; Ometto, J.P.; do Amaral, F.H.F. Analysis of Past and Future Urban Growth on a Regional Scale Using Remote Sensing and Machine Learning. Front. Remote Sens. 2023, 4, 1123254. [Google Scholar] [CrossRef]
  36. Parracciani, C.; Gigante, D.; Mutanga, O.; Bonafoni, S.; Vizzari, M. Land Cover Changes in Grassland Landscapes: Combining Enhanced Landsat Data Composition, LandTrendr, and Machine Learning Classification in Google Earth Engine with MLP-ANN Scenario Forecasting. Giscience Remote Sens. 2024, 61, 2302221. [Google Scholar] [CrossRef]
  37. UNDESA. World Population Prospects, the 2024 Revision; Population Division, Department of Economic and Social Affairs: New York, NY, USA, 2024; Available online: http://population.un.org/wpp (accessed on 10 December 2024).
  38. Öztürk, M.; Topaloğlu, B.; Hilton, A.; Jongerden, J. Rural-Urban Mobilities in Turkey: Socio-Spatial Perspectives on Migration and Return Movements. J. Balk. Near East. Stud. 2017, 20, 513–530. [Google Scholar] [CrossRef]
  39. Iban, M.C. Lessons from Approaches to Informal Housing and Non-Compliant Development in Turkey: An In-Depth Policy Analysis with a Historical Framework. Land Use Policy 2020, 99, 105104. [Google Scholar] [CrossRef]
  40. The Turkish Statistical Institute Database. Available online: https://data.tuik.gov.tr/kategori/getkategori?p=nufus-ve-demografi-109&dil=1 (accessed on 12 December 2024).
  41. Gülersoy, A.E. Farklı Uzaktan Algılama Teknikleri Kullanılarak Arazi Örtüsü/Kullanımında Meydana Gelen Değişimlerin. J. Turk. Stud. 2013, 8, 1915. [Google Scholar] [CrossRef]
  42. Işık, F.; Çağatay, U. Uzaktan Algılama ve Coğrafi Bilgi Sistemi Teknolojilerinin Kentsel Büyümenin İzlenmesi Süreçlerinde Kullanımı: Manisa Örneği. Yerel Polit. 2014, 6, 49–64. [Google Scholar]
  43. Gül, A.; Döker, M.F.; Arslan, F. Manisa’da Şehirsel Büyüme Sürecinin Izlenmesi (1990–2022). Lnternational J. Geogr. Geogr. Educ. 2024, 52, 96–121. [Google Scholar] [CrossRef]
  44. Hepcan, Ş. A Methodological Approach for Designating Management Zones in Mount Spil National Park, Turkey. Environ. Manag. 2000, 26, 329–338. [Google Scholar] [CrossRef] [PubMed]
  45. Drusch, M.; Del Bello, U.; Carlier, S.; Colin, O.; Fernandez, V.; Gascon, F.; Hoersch, B.; Isola, C.; Laberinti, P.; Martimort, P.; et al. Sentinel-2: ESA’s Optical High-Resolution Mission for GMES Operational Services. Remote Sens. Environ. 2012, 120, 25–36. [Google Scholar] [CrossRef]
  46. Sánchez-Espinosa, A.; Schröder, C. Land Use and Land Cover Mapping in Wetlands One Step Closer to the Ground: Sentinel-2 versus Landsat 8. J. Environ. Manag. 2019, 247, 484–498. [Google Scholar] [CrossRef]
  47. European Space Agency (ESA). Available online: https://sentiwiki.copernicus.eu/web/s2-mission (accessed on 10 December 2024).
  48. Luo, J.; Ma, X.; Chu, Q.; Xie, M.; Cao, Y. Characterizing the Up-To-Date Land-Use and Land-Cover Change in Xiong’an New Area from 2017 to 2020 Using the Multi-Temporal Sentinel-2 Images on Google Earth Engine. ISPRS Int. J. Geo-Inf. 2021, 10, 464. [Google Scholar] [CrossRef]
  49. Barboza, E.; Turpo, E.Y.; Lopez, R.S.; Silva-López, J.O.; Cruz, J.; Vásquez, H.V.; Purohit, S.; Aslam, M.; Tariq, A. Analyzing Urban Expansion and Land Use Dynamics in Bagua Grande and Chachapoyas Using Cloud Computing and Predictive Modeling. Earth Syst. Environ. 2024, 1–17. [Google Scholar] [CrossRef]
  50. Huete, A. A Comparison of Vegetation Indices over a Global Set of TM Images for EOS-MODIS. Remote Sens. Environ. 1997, 59, 440–451. [Google Scholar] [CrossRef]
  51. Xiao, X.; Boles, S.; Liu, J.; Zhuang, D.; Frolking, S.; Li, C.; Salas, W.; Moore, B. Mapping Paddy Rice Agriculture in Southern China Using Multi-Temporal MODIS Images. Remote Sens. Environ. 2005, 95, 480–492. [Google Scholar] [CrossRef]
  52. Xu, H. Modification of Normalised Difference Water Index (NDWI) to Enhance Open Water Features in Remotely Sensed Imagery. Int. J. Remote Sens. 2006, 27, 3025–3033. [Google Scholar] [CrossRef]
  53. Zha, Y.; Gao, J.; Ni, S. Use of Normalized Difference Built-up Index in Automatically Mapping Urban Areas from TM Imagery. Int. J. Remote Sens. 2003, 24, 583–594. [Google Scholar] [CrossRef]
  54. Van Deventer, A.; Ward, A.; Gowda, P.; Lyon, J. Using thematic mapper data to identify contrasting soil plains and tillage practices. Photogramm. Eng. Remote Sens. 1997, 63, 87–93. [Google Scholar]
  55. Tucker, C.J. Red and Photographic Infrared Linear Combinations for Monitoring Vegetation. Remote Sens. Environ. 1979, 8, 127–150. [Google Scholar] [CrossRef]
  56. Li, W.; Dong, R.; Fu, H.; Wang, J.; Yu, L.; Gong, P. Integrating Google Earth Imagery with Landsat Data to Improve 30-m Resolution Land Cover Mapping. Remote Sens. Environ. 2020, 237, 111563. [Google Scholar] [CrossRef]
  57. Nasiri, V.; Deljouei, A.; Moradi, F.; Sadeghi, S.M.M.; Borz, S.A. Land Use and Land Cover Mapping Using Sentinel-2, Landsat-8 Satellite Images, and Google Earth Engine: A Comparison of Two Composition Methods. Remote Sens. 2022, 14, 1977. [Google Scholar] [CrossRef]
  58. Osman, M.A.; Abdel-Rahman, E.M.; Onono, J.O.; Olaka, L.A.; Elhag, M.M.; Adan, M.; Tonnang, H.E. Mapping, Intensities and Future Prediction of Land Use/Land Cover Dynamics Using Google Earth Engine and CA- Artificial Neural Network Model. PLoS ONE 2023, 18, e0288694. [Google Scholar] [CrossRef]
  59. Breiman, L.; Friedman, J.H.; Olshen, R.A.; Stone, C.J. Classification and Regression Trees; Wadsworth and Brooks/Cole: Monterey, CA, USA, 1984. [Google Scholar]
  60. Arpitha, M.; Ahmed, S.A.; Harishnaika, N. Land Use and Land Cover Classification Using Machine Learning Algorithms in Google Earth Engine. Earth Sci. Inform. 2023, 16, 3057–3073. [Google Scholar] [CrossRef]
  61. Abdelsamie, E.A.; Mustafa, A.A.; El-Sorogy, A.S.; Maswada, H.F.; Almadani, S.A.; Shokr, M.S.; El-Desoky, A.I.; Meroño de Larriva, J.E. Current and Potential Land Use/Land Cover (LULC) Scenarios in Dry Lands Using a CA-Markov Simulation Model and the Classification and Regression Tree (CART) Method: A Cloud-Based Google Earth Engine (GEE) Approach. Sustainability 2024, 16, 11130. [Google Scholar] [CrossRef]
  62. Fix, E.; Hodges, J.L. Discriminatory Analysis. Nonparametric Discrimination: Consistency Properties. Int. Stat. Rev. Rev. Int. Stat. 1989, 57, 238–247. [Google Scholar] [CrossRef]
  63. Triguero, I.; García-Gil, D.; Maillo, J.; Luengo, J.; García, S.; Herrera, F. Transforming Big Data into Smart Data: An Insight on the Use of the K-Nearest Neighbors Algorithm to Obtain Quality Data. Wiley Interdiscip. Rev. Data Min. Knowl. Discov. 2018, 9, e1289. [Google Scholar] [CrossRef]
  64. Jombo, S.; Adelabu, S. Evaluating Landsat-8, Landsat-9 and Sentinel-2 Imageries in Land Use and Land Cover (LULC) Classification in a Heterogeneous Urban Area. Geo J. 2023, 88, 377–399. [Google Scholar] [CrossRef]
  65. Breiman, L. Bagging predictors. Mach. Learn. 1996, 24, 123–140. [Google Scholar] [CrossRef]
  66. Micheletti, N.; Foresti, L.; Robert, S.; Leuenberger, M.; Pedrazzini, A.; Jaboyedoff, M.; Kanevski, M. Machine Learning Feature Selection Methods for Landslide Susceptibility Mapping. Math. Geosci. 2013, 46, 33–57. [Google Scholar] [CrossRef]
  67. Teluguntla, P.; Thenkabail, P.S.; Oliphant, A.J.; Xiong, J.; Gumma, M.K.; Congalton, R.G.; Yadav, K.; Huete, A. A 30-m Landsat-Derived Cropland Extent Product of Australia and China Using Random Forest Machine Learning Algorithm on Google Earth Engine Cloud Computing Platform. Isprs J. Photogramm. Remote Sens. 2018, 144, 325–340. [Google Scholar] [CrossRef]
  68. Arabameri, A.; Roy, J.; Saha, S.; Blaschke, T.; Ghorbanzadeh, O.; Tien Bui, D. Application of Probabilistic and Machine Learning Models for Groundwater Potentiality Mapping in Damghan Sedimentary Plain, Iran. Remote Sens. 2019, 11, 3015. [Google Scholar] [CrossRef]
  69. Cánovas-García, F.; Alonso-Sarría, F.; Gomariz-Castillo, F.; Oñate-Valdivieso, F. Modification of the Random Forest Algorithm to Avoid Statistical Dependence Problems When Classifying Remote Sensing Imagery. Comput. Geosci. 2017, 103, 1–11. [Google Scholar] [CrossRef]
  70. Cortes, C.; Vapnik, V. Support-Vector Networks. Mach. Learn. 1995, 20, 273–297. [Google Scholar] [CrossRef]
  71. Jozdani, S.E.; Johnson, B.A.; Chen, D. Comparing Deep Neural Networks, Ensemble Classifiers, and Support Vector Machine Algorithms for Object-Based Urban Land Use/Land Cover Classification. Remote Sens. 2019, 11, 1713. [Google Scholar] [CrossRef]
  72. Rana, V.K.; Suryanarayana, T.M.V. Performance Evaluation of MLE, RF and SVM Classification Algorithms for Watershed Scale Land Use/Land Cover Mapping Using Sentinel 2 Bands. Remote Sens. Appl. Soc. Environ. 2020, 19, 100351. [Google Scholar] [CrossRef]
  73. Xie, G.; Niculescu, S. Mapping and Monitoring of Land Cover/Land Use (LCLU) Changes in the Crozon Peninsula (Brittany, France) from 2007 to 2018 by Machine Learning Algorithms (Support Vector Machine, Random Forest, and Convolutional Neural Network) and by Post-Classification Comparison (PCC). Remote Sens. 2021, 13, 3899. [Google Scholar] [CrossRef]
  74. Halder, S.; Das, S.; Basu, S. Use of Support Vector Machine and Cellular Automata Methods to Evaluate Impact of Irrigation Project on LULC. Environ. Monit. Assess. 2022, 195, 3. [Google Scholar] [CrossRef] [PubMed]
  75. Asokan, A.; Anitha, J.; Ciobanu, M.; Gabor, A.; Naaji, A.; Hemanth, D.J. Image Processing Techniques for Analysis of Satellite Images for Historical Maps Classification—An Overview. Appl. Sci. 2020, 10, 4207. [Google Scholar] [CrossRef]
  76. Cohen, J. A Coefficient of Agreement for Nominal Scales. Educ. Psychol. Meas. 1960, 20, 37–46. [Google Scholar] [CrossRef]
  77. Landis, J.R.; Koch, G.G. The Measurement of Observer Agreement for Categorical Data. Biometrics 1977, 33, 159–174. [Google Scholar] [CrossRef]
  78. Talukdar, S.; Singha, P.; Mahato, S.; Shahfahad, P.; Pal, S.; Liou, Y.-A.; Rahman, A. Land-Use Land-Cover Classification by Machine Learning Classifiers for Satellite Observations—A Review. Remote Sens. 2020, 12, 1135. [Google Scholar] [CrossRef]
  79. Aryal, J.; Sitaula, C.; Frery, A.C. Land Use and Land Cover (LULC) Performance Modeling Using Machine Learning Algorithms: A Case Study of the City of Melbourne, Australia. Sci. Rep. 2023, 13, 13510. [Google Scholar] [CrossRef]
  80. Bhungeni, O.; Ramjatan, A.; Gebreslasie, M. Evaluating Machine-Learning Algorithms for Mapping LULC of the UMngeni Catchment Area, KwaZulu-Natal. Remote Sens. 2024, 16, 2219. [Google Scholar] [CrossRef]
  81. Sahin, E.; Iban, M.C.; Bilgilioglu, S.S. Remote Sensing-Enabled Urban Growth Simulation Overlaid with AHP-GIS-Based Urban Land Suitability for Potential Development in Mersin Metropolitan Area, Türkiye. Appl. Sci. 2024, 14, 3484. [Google Scholar] [CrossRef]
  82. Isinkaralar, O. A Methodological Benchmark in Determining the Urban Growth: Spatiotemporal Projections for Eskişehir, Türkiye. Appl. Spat. Anal. Policy 2024, 17, 1485–1495. [Google Scholar] [CrossRef]
Figure 1. Overview of study area.
Figure 1. Overview of study area.
Sustainability 17 01363 g001
Figure 2. Workflow chart for LULC classification and future LULC prediction (The boxes contain the process steps, while the arrows show the flow direction).
Figure 2. Workflow chart for LULC classification and future LULC prediction (The boxes contain the process steps, while the arrows show the flow direction).
Sustainability 17 01363 g002
Figure 3. ML-produced LULC maps for the years 2018, 2021, and 2024.
Figure 3. ML-produced LULC maps for the years 2018, 2021, and 2024.
Sustainability 17 01363 g003
Figure 4. (a) The PA for each terrain class calculated using different ML algorithms. (b) The UA for each terrain class calculated using different ML algorithms.
Figure 4. (a) The PA for each terrain class calculated using different ML algorithms. (b) The UA for each terrain class calculated using different ML algorithms.
Sustainability 17 01363 g004
Figure 5. (a) ActualLULC of 2024. (b) simulated LULC of 2024.
Figure 5. (a) ActualLULC of 2024. (b) simulated LULC of 2024.
Sustainability 17 01363 g005
Figure 6. (a) Simulated LULC maps for 2027. (b) simulated LULC maps for 2030.
Figure 6. (a) Simulated LULC maps for 2027. (b) simulated LULC maps for 2030.
Sustainability 17 01363 g006
Table 1. The Sentinel-2 band information used in this study [47].
Table 1. The Sentinel-2 band information used in this study [47].
BandsBandwidth
(2A/2B, nm)
Central Wavelength
(2A/2B, nm)
Resolution
(m)
265/65492.7/492.310
335/35559.8/558.910
430/31664.6/664.910
514/15704.1/703.820
614/13740.5/739.120
719/19782.8/779.720
8105/104832.8/832.910
1190/941613.7/1610.420
Table 2. Hyperparameters used in this study.
Table 2. Hyperparameters used in this study.
ML AlgorithmHyperparameters2018 Values2021 Values2024 Values
CARTMaxNodes150150150
minLeafPopulation5105
kNNk333
searchMethodLinear_SearchLinear_SearchLinear_Search
metricEuclideanEuclideanEuclidean
RFnumberOfTrees150150150
minLeafPopulation111
bagFraction0.711
SVMkernelTypeLinearLinearLinear
cost101010
decisionProcedureVotingVotingVoting
Table 3. ANN parameters for LULC simulation.
Table 3. ANN parameters for LULC simulation.
ParameterValue
Neighborhood3 × 3 pixel
Learning Rate0.01
Momentum0.001
Hidden layers10
Maximum iterations1000
Table 4. κ and OA of the LULC classification for the years 2018, 2021, and 2024.
Table 4. κ and OA of the LULC classification for the years 2018, 2021, and 2024.
YearParameterCARTkNN RFSVM
2018κ0.920.920.970.93
OA0.930.930.980.95
2021κ0.910.930.970.93
OA0.930.950.980.95
2024κ0.920.920.970.92
OA0.940.940.980.94
Table 5. Actual and simulated LULC areal coverage for 2024.
Table 5. Actual and simulated LULC areal coverage for 2024.
LULCClassified LULC Area
(km2)
%Simulated LULC Area
(km2)
%
Water Body6.020.455.990.45
Built-Up52.043.9047.693.57
Agricultural Land460.8134.50461.1234.52
Forest307.1923.00308.9923.13
Bare Land509.6638.16511.9338.33
Table 6. Simulated LULC change between 2024 and 2030.
Table 6. Simulated LULC change between 2024 and 2030.
LULC202420272030
km2%km2%km2%
Water Body6.020.455.890.445.830.44
Built-Up52.043.9058.704.3964.364.82
Agricultural Land460.8134.50460.4234.47455.6634.11
Forest307.1923.00323.2624.20332.2824.88
Bare Land509.6638.16487.4536.49477.5935.76
Disclaimer/Publisher’s Note: The statements, opinions and data contained in all publications are solely those of the individual author(s) and contributor(s) and not of MDPI and/or the editor(s). MDPI and/or the editor(s) disclaim responsibility for any injury to people or property resulting from any ideas, methods, instructions or products referred to in the content.

Share and Cite

MDPI and ACS Style

Gündüz, H.İ. Land-Use Land-Cover Dynamics and Future Projections Using GEE, ML, and QGIS-MOLUSCE: A Case Study in Manisa. Sustainability 2025, 17, 1363. https://doi.org/10.3390/su17041363

AMA Style

Gündüz Hİ. Land-Use Land-Cover Dynamics and Future Projections Using GEE, ML, and QGIS-MOLUSCE: A Case Study in Manisa. Sustainability. 2025; 17(4):1363. https://doi.org/10.3390/su17041363

Chicago/Turabian Style

Gündüz, Halil İbrahim. 2025. "Land-Use Land-Cover Dynamics and Future Projections Using GEE, ML, and QGIS-MOLUSCE: A Case Study in Manisa" Sustainability 17, no. 4: 1363. https://doi.org/10.3390/su17041363

APA Style

Gündüz, H. İ. (2025). Land-Use Land-Cover Dynamics and Future Projections Using GEE, ML, and QGIS-MOLUSCE: A Case Study in Manisa. Sustainability, 17(4), 1363. https://doi.org/10.3390/su17041363

Note that from the first issue of 2016, this journal uses article numbers instead of page numbers. See further details here.

Article Metrics

Back to TopTop