Next Article in Journal
Towards Sustainable Parking: Analyzing the Characteristics of Periodic Off-Street Parking Lots and Their Application in Shared Parking
Next Article in Special Issue
Steering Sustainability: The Interplay of CEO Imprints, Organizational Performance, and Government Policies in Green Innovation
Previous Article in Journal
Development of a Benchmark Model for Residential Buildings with a Mediterranean Climate: The Aero-Habitat in Algiers City
Previous Article in Special Issue
Are Climate Change Strategies Effective in Managing Urban Water Resources? The Case of Portugal
 
 
Font Type:
Arial Georgia Verdana
Font Size:
Aa Aa Aa
Line Spacing:
Column Width:
Background:
Article

Promoting Green R&D to Allow Green Products to Outcompete Non-Green Products: Subsidize Consumers or Manufacturers?

1
School of Social Work, Columbia University, New York, NY 10027, USA
2
The Business School, Chengdu University of Technology, Chengdu 610059, China
*
Author to whom correspondence should be addressed.
Sustainability 2025, 17(3), 832; https://doi.org/10.3390/su17030832
Submission received: 21 November 2024 / Revised: 6 January 2025 / Accepted: 20 January 2025 / Published: 21 January 2025
(This article belongs to the Special Issue Ecosystem Services, Green Innovation and Sustainable Development)

Abstract

Although green R&D is recognized as an effective approach to achieving sustainability goals, the adoption of green technology has not been ideal. As such, many governments support green R&D by subsidizing manufacturers’ green R&D or consumers’ sustainable purchases. Accordingly, we develop two theoretic models, where a manufacturer engages in green R&D to compete with a competitor who focuses on producing non-green products, and the government promotes green R&D by either (a) subsidizing consumers (Model C) or (b) subsidizing manufacturers (Model M). Our analysis reveals that the implications of subsidizing consumers and manufacturers are quite different from each other. In particular, we find that although the incentive for green R&D in Model C is always lower than that in Model M, the former scenario enables the manufacturer to benefit more from the subsidy policy. As such, we suggest that if the government cares more about how green R&D affects environmental performance, it should pay more attention to subsidizing manufacturers. However, if the government cares more about manufacturers’ profits from green products, it should subsidize consumers. Finally, it should be noted that subsidizing consumers hurts the competitor more.

1. Introduction

The current economy is far from a green lifestyle: almost all products are made, used for only a short period of time, and eventually disposed of or sent to a landfill as waste. Over the past 50 years, resource use has more than tripled, with an average growth of more than 2.3% per year, which is higher than the world’s population growth [1]. Unsustainable lifestyles are a global issue that has not only increased resource use but also induced a series of problems, such as climate change, pollution, and waste. For example, since the mid-20th century, our activities, particularly burning fossil fuels, have resulted in an increase in the Earth’s average surface temperature of more than 0.2 degrees Celsius (0.36 degrees Fahrenheit) per decade, aggravating extreme weather such as hurricanes, heatwaves, wildfires, droughts, and floods [2]. From the consumption perspective, the transition toward sustainability is an inevitable result. Accordingly, from the manufacturing perspective, it is quite important for companies to reconsider transferring the traditional economic system toward sustainable production [3].
Green technology innovation is recognized as an effective approach to achieving green goals by reducing waste and pollution [4,5]. For example, to meet near-zero- or zero-emission targets, auto-makers usually adopt greener technologies that involve variable valve timing in engines, automatic transmissions with more gears, and aerodynamic drag reduction in vehicle designs [6]. Recently, Tesla has combined the generation of electrical energy through solar cells and other SolarCity products with its advanced powertrain efficiency. Green R&D can also be observed in various industries: Wal-Mart issued requests for its suppliers, such as Clorox, Mattel, and Kimberly-Clark, to transition their packaging materials to greener ones that are recyclable or reusable to conserve water and decrease greenhouse gas emissions [7,8]. Similarly, in the fashion business world, many pioneers, including Nike, M&S, and H&M, have introduced organic cotton into their fashion products [9].
However, it should be noted that although green R&D provides hope for the environment, from a functional perspective, non-green products can be substituted for green products and act as barriers to green product adoption [10]. To obtain a competitive advantage and accelerate the transition to zero emissions, in 2023, Tesla’s green R&D spending increased to USD 3.969 billion, a 29.07% increase from 2022 [11]. Similarly, General Motors is reportedly investing USD 35 billion into electric vehicle technology, including battery and fuel cell technology [12]. Further, to offer sustainable products to people who are concerned about the environment, Wal-Mart spends about USD 500 million annually on the development and implementation of green technologies [13]. Obviously, tremendous financial expenditures can bring economies of scale and lower the cost curve.
In spite of the fact that tremendous financial resources have been invested in green technologies, from the consumption perspective, the vast majority of consumers still do not buy green products [13]; that is, although some consumers are concerned about environmental issues, they usually do not purchase goods based on green technologies with the expected level of regularity [14,15]. More specifically, when a consumer considers a greener alternative to a common selection, they need to evaluate their green intentions and behavior carefully and must consider the possible sacrifices involved (cost, time, and risk) [15,16].
To improve green product adoption, many governments offer subsidy programs to provide incentives for manufacturers or consumers. The former mainly subsidizes manufacturers to support R&D related to green technologies (e.g., ethanol subsidy programs), while the latter intends to provide benefits for consumers associated with sustainable purchases (e.g., rebate subsidy programs). For example, the Chinese government enacted copious subsidy programs, which were launched in 2013 and are expected to end in 2027, to promote passenger EV uptake. On the one hand, the Chinese government encouraged several manufacturers (e.g., BYD, Geely, Chery, Ideal, etc.) to develop new technologies for EVs or EV charging facilities. Similarly, in 2018, the European Union launched a new subsidy system to provide EV owners between EUR 2000 and EUR 4000 per vehicle, depending on the buyer’s income [17]. On the other hand, in 2023, governments, including those of France, Italy, Spain, Austria, Belgium, Portugal, Slovenia, Germany, and Norway, provided EUR 7.99 million to support the manufacturers’ next-generation lithium battery R&D project [18]. Further, more than 30 countries have implemented similar subsidy policies to improve the rate of electric vehicle (EV) adoption [19].
The above motivations generate several interesting questions for R&D:
(1)
What are the implications of subsidizing consumers or manufacturers for equilibrium decisions?
(2)
How do different subsidy policies affect the profits of manufacturers and their competitors?
(3)
Which one is more effective for improving green product adoption?
To examine these research questions, we develop two theoretic models in which a manufacturer invests in green R&D to compete with a competitor who focuses on producing non-green products. However, governments promote the manufacturer’s green R&D through two possible subsidy options: (a) improving green product adoption by subsidizing consumers’ sustainable purchases (Model C) or (b) subsidizing the manufacturer to support its green R&D (Model M).
Our analysis indicates that the implications of subsidizing consumers and manufacturers are quite different from each other. Compared to subsidizing consumers, subsidizing the manufacturer enables it and the competitor to charge lower prices for both products. Furthermore, we find that although the incentive for green R&D in Model C is always lower than that in Model M, the former scenario enables the manufacturer to benefit more from the subsidy policy. As such, we suggest that if the government cares more about how green R&D affects environmental performance, it should pay more attention to subsidizing manufacturers. However, if the government cares more about manufacturers’ profits from green products, it should prefer subsidizing consumers over subsidizing manufacturers.
Our theoretical contributions are threefold. Firstly, in spite of the fact that there are many studies in the literature that address the impacts of competition on manufacturers’ green R&D decisions (see, e.g., Guo et al. [9], Zhu and He [20], and Du et al. [21]), almost all of them ignore how competition from non-green products impacts on the manufacturers’ green R&D decisions. In particular, little is known about, in facing competition from non-green products, which subsidy policy is more advantageous for green R&D. Then, we complement these studies by addressing the implications of subsidizing consumers or manufacturers on the strategic choice of green R&D under competition from non-green products. Secondly, although a great deal of research in the R&D literature highlights the impacts of different subsidy policies (see, e.g., Yu et al. [22], Shao et al. [23], and Xiao et al. [24]), we complement this stream of research by addressing the promotion of green R&D to allow green products to outcompete non-green products through different subsidy policies. Thirdly, although a few studies have recently addressed the green economy under the subsidy policies (see, e.g., Yang and Nie [25], Wang et al. [26], and Fang and Zhao [27]), unlike them, we focus on the implications of differentiated subsidy polices, such as subsidizing consumers or manufacturers, on green R&D under competition from non-green products.
The remainder of this paper is organized as follows: Section 2 details our contributions through a literature review. Section 3 formulates our models and introduces related notations. Section 4 reports our main findings. Section 5 concludes this paper.

2. The Relevant Literature

Table 1 highlights the differences between this study and the existing literature, as well as their innovations.
Many researchers have focused on green R&D under competition. For example, Guo et al. [9] explored green product development in the fashion apparel industry under competition and found that the optimal greenness level of a fashion product decreases with the level of market competition. Meanwhile, Zhu and He [20] investigated green product design issues in supply chains under competition and showed that competition at the retailer level may positively influence the greenness equilibrium. Subsequently, Du et al. [21] examined the competition in a firm’s green production decisions and found that the cost conditions for green production are relaxed under competition. Recently, Tan et al. [28] studied the price mechanism of new power stations and suggested that it is necessary to strengthen market supervision in the new energy industry. More recently, Cong et al. [10] considered the green R&D of a traditional supplier and a green supplier under competition and indicated that the more dominant the green supplier, the more likely the green material price will be higher than the traditional material price. On the other hand, many empirical studies have recently addressed green R&D. For example, Zhang [29], using data from the Chinese Industrial Annual Survey, investigated the causal effect of a green credit regulation policy on green productivity. Shi et al. [30] examined the impact of low-carbon city pilot policies on the green innovation of enterprises and found that R&D investment plays a mediating role in the relationship between a low-carbon city pilot policy and green innovation. The reader is referred to Sheng et al. [31] and Li and He [32] for a complete literature review related to green R&D under competition. As mentioned earlier, although the above research addressed green R&D, it paid little attention to how different subsidy policies, such as subsidizing consumers and/or manufacturers, impact green product adoption to allow these products to outcompete non-green products. Therefore, we intend to complement the above research by developing two theoretic models in which a manufacturer invests in green R&D to compete with non-green products from a competitor, and the government promotes green R&D by subsidizing either the consumers or the manufacturers; that is, we complement these studies by addressing the implications of different subsidy policies, such as subsidizing consumers or manufacturers, for manufacturers’ equilibrium decisions related to green R&D under competition.
The R&D research stream has discussed the impacts of different subsidy policies. In particular, Shao et al. [23] investigated pricing incentives for competing retailers who distributed two variants of a manufacturer’s product and showed that price distortions decreased as consumers’ costs to travel between retailers increased due to less intense competition. Yu et al. [22] presented a parsimonious model to understand whether it is optimal for the government to subsidize consumers, manufacturers, or both and found that governments can improve consumer welfare by developing subsidy programs. Xiao et al. [24] considered a supply chain where a retailer is concerned about respective profits as well as consumer welfare and showed that a higher level of consumer concern does not necessarily lead to a higher consumer surplus. Khouja and Zhou [33] examined the use of consumer cash mail-in rebates offered by a manufacturer and indicated that rebates are profitable for manufacturers if consumers are inconsistent in their valuations of rebates. However, Wang et al. [34], analyzing the case of auto parts in China, explored the impact of subsidy policies on the development of the recycling and remanufacturing industry in China. Similarly, Li et al. [35], based on evidence from Chinese cities along the Yangtze River, evaluated the effectiveness of the subsidy policy for new energy vehicles in achieving sustainable governance. As a set, the above research mainly focused on the economic outcomes created by different subsidy policies. However, little is known about the implications of subsidizing consumers or manufacturers for the strategic choice of green R&D under competition. In contrast, besides the economic benefits, we also pay attention to the environmental benefits of green R&D under different subsidy policies; that is, we complement this stream of research by addressing the promotion of green R&D to allow green products to outcompete non-green products through different subsidy policies.
A few studies have recently addressed green R&D decisions under subsidy policies. In particular, Yang and Nie [25] considered the effects of a subsidy to improve clean innovation and found that firms without innovations benefit from technological spillover and that the subsidy promotes innovation. Wang et al. [26] considered a three-stage Stackelberg model that consisted of the government, the manufacturer, and the retailer and showed that the preferences of the manufacturer and the retailer for different subsidy policies depend on the levels of three subsidies. It should be noted that they ignored green R&D under competition from non-green products. However, from a functional perspective, non-green products can be substituted for green products and act as barriers to green product adoption [10]. Therefore, we complement these studies by addressing green R&D under competition. On the other hand, Fang and Zhao [27] investigated the impact of government subsidies on firms, consumers, and the environment in a (horizontally) differentiated duopoly market and showed that subsidies always benefit consumers. Further, this welfare improvement may come at the expense of firm profits and environmental benefits. They highlighted the impacts of subsidies for green R&D under competition from non-green products. However, to improve environmental sustainability, many governments have the flexibility of offering subsidy programs to provide incentives for manufacturers or consumers. In contrast to the previous research, we focus on the implications of different subsidy policies, such as subsidizing consumers or manufacturers, for green R&D under competition from non-green products.

3. Model Formulation

It is assumed that the manufacturer produces green units with support from the government, while the competitor provides non-green products without any subsidies. According to the government’s subsidy options, we develop two models: (a) the government supports green product adoption by subsidizing consumers’ sustainable purchases (Model C) or (b) the government supports green product adoption by subsidizing manufacturers to support their green R&D (Model M). As described in Figure 1, the sequence starts with the manufacturer deciding whether to introduce green versions of their products. Then, both the manufacturer and the competitor simultaneously choose the optimal prices for green and non-green products, i.e., p g and p n , respectively.
Consistent with [21,27], the consumers’ willingness to pay, v , is heterogeneous and uniformly distributed in the range [0, 1]. We assume that the manufacturer’s green R&D efforts increase the consumers’ valuation by a factor of δ = 1 + g , where g > 0 represents the green level. However, compared to the green products, all consumers’ willingness to pay for the non-green products is b v , where b denotes the consumer value discount for non-green products. Based on the above functions for consumers’ willingness to pay, the net utility functions for green and non-green products can be written as U g = ( 1 + g ) v P g and U n = b v P n , respectively.
Based on the above net utility functions, like Yin et al. [36] and He et al. [37], we can obtain the following demand functions:
q n = b p g p n g p n b 1 + g b q g = 1 + g + p n b p g 1 + g b
Like Xiao et al. [24] and Yin et al. [36], we assume that the manufacturer’s green R&D efforts are associated with a quadratic investment cost of c I = k ( δ 2 1 ) . Then, we can conclude that if the manufacturer does not provide greener versions of its products, i.e., g = 0 , this strategic choice does not generate any investment costs, i.e., c I = 0 ; however, if the manufacturer provides greener versions of its products, i.e., g > 0 , then the higher the green level, the higher the costs of c I that are generated. It is assumed that the unit cost of selling a green product is c g while the unit cost of selling a non-green product is c n . To reflect the fact that when a consumer considers a greener alternative to a common selection, they need to consider the possible sacrifices involved (cost, time, and risk) [15,16], like He et al. [37] and Yan et al. [38], we assume that c g = c > c n = 0 .
Based on the above model formulation, we present the related notations in Table 2.

3.1. Model M

In this subsection, we consider a scenario where the manufacturer produces green units under a policy of subsidizing the manufacturer’s green R&D while the competitor provides non-green products without any subsidies.
We can obtain the manufacturer’s equation as follows:
max p g Π M = ( p g c + s ) q g k ( δ 2 1 )
Since the competitor provides non-green products without any subsidies, its equation is as follows:
max p n π M = p n q n
By substituting the demand function of equation (1) into the above profit functions, we can obtain the equilibrium decisions and profits in Model M, which are listed in Table 3 (a detailed proof can be found in Appendix A).
Note that like in a study by Yin et al. [36], the threshold value k M represents the cost below which the manufacturer will release a greener version and above which it will continue with the old one.
Based on the equilibrium decisions in Table 3, we provide the following proposition (a detailed proof can be found in Appendix B):
Proposition 1. 
(i) The optimal prices of both products decrease and increase with the subsidy levels ( s ) and costs ( c ); that is, p g M / s < 0 and p n M / s < 0 ( p g M / c > 0 and p n M / c > 0 ).
(ii) The optimal quantities of green products increase and decrease with the subsidy levels ( s ) and costs ( c ); that is, q g M / s > 0 ( q g M / c < 0 ). The opposite holds for non-green products; that is, q n M / s < 0 ( q n M / c > 0 ).
Proposition 1(i) reveals that the subsidy levels and selling costs lead both the manufacturer and the competitor to decrease and increase their selling prices. On the one hand, Proposition 1(i) confirms that the selling prices of both products increase with the selling costs ( c ); that is, p g M / c > 0 and p n M / c > 0 . This is quite intuitively consistent with traditional wisdom. However, Proposition 1(i) further reveals that the subsidy levels lead both the manufacturer and the competitor to decrease their selling prices. The reason behind this can be interpreted as follows: Subsidizing the manufacturer means that there is a decrease in the cost of green R&D because a portion of the cost is borne by the government. When the subsidy level increases, the manufacturer would like to decrease the price of green products. Observing decreases in the prices of green products, the competitor has no choice but to decrease its optimal prices as well.
Proposition 1(ii) first confirms that the optimal quantities of green products decrease with the costs ( c ); that is, q g M / c < 0 . Put differently, increases in the selling costs ( c ) lead to increases in the selling prices of green products, which result in decreases in the optimal quantities ( q g M ); that is, q g M / c < 0 . Proposition 1(ii) further confirms that decreases in the prices of green products naturally result in increases in their optimal quantities; that is, if the manufacturer decreases the prices of green products, as a response, the optimal quantities of green products naturally increase. In addition, Proposition 1(ii) also reveals that competition is a factor that cannot be ignored. In practice, although the competitor also decreases the market prices of its non-green products, such decreases do not result in increases in their optimal quantities. The reason behind this can be interpreted as follows: Subsidizing the manufacturer provides a competitive advantage by providing greater quantities of green products. As a result, such aggressive behavior leads the potential market for non-green products to decrease. Then, the competitor has no choice but to decrease the availability of non-green products.
Recall that in both our models, the manufacturer invests in green R&D to produce green products while the competitor focuses on producing non-green products. Since green technology innovation is recognized as an effective approach to meeting near-zero- or zero-emission targets [4,5,6], consistent with [37,39], we can use the quantities of non-green products to denote the impact on carbon emissions and pollution emissions. Based on q n M / s < 0 , we can conclude that the dynamic effects of subsidy policies under Model M are as follows: as the government subsidy levels increase, the impact on carbon emissions and pollution emissions decreases. It should be noted that this result is supported by Song et al. [40], who compared the effects of the industrial subsidy and the purchasing subsidy on the EV industry in China from 2015 to 2025. They argued that for an emerging industry, such as EVs, the industrial subsidy can help the industry to develop healthily.

3.2. Model C

We are now in a position to consider the scenario where the manufacturer produces green units under a policy of subsidizing consumers’ sustainable purchases while the competitor provides non-green products without any subsidies.
Since the government directly subsidizes the consumer, consumers take the subsidies into consideration when they purchase green products. As a result, we can write the demand function as follows:
q n = b ( p g s ) p n g p n b 1 + g b q g = 1 + g + p n b ( p g s ) 1 + g b
Under this scenario, the manufacturer aims to maximize profits.
max p g Π C = ( p g c ) q g k ( δ 2 1 )
However, the competitor’s equation can be written as follows:
max p n π C = p n q n
By substituting the demand function from Equation (4) into Equations (5) and (6), we can obtain the equilibrium decisions and profits in Model C, which are again listed in Table 3 (a detailed proof can be found in Appendix C).
Like before, based on the equilibrium decisions in Table 3, we provide the following proposition (a detailed proof can be found in Appendix D).
Proposition 2. 
(i) The optimal prices of both products increase with the parameters s and c ; that is, p g C / s > 0 , p n C / s > 0 , p g C / c > 0 , and p n C / c > 0 .
(ii) The optimal quantities of green products increase and decrease with the subsidy levels ( s ) and costs ( c ); that is, q g C / s > 0 and q g C / c < 0 . The opposite holds for non-green products; that is, q n C / s < 0 and q n C / c > 0 .
On the one hand, Proposition 2(i) confirms that the selling prices of both products increase with the selling costs ( c ); that is, p g C / c > 0 and p n C / c > 0 . This is quite intuitively consistent with traditional wisdom. However, Proposition 2(i) reveals that subsidizing the consumer leads both the manufacturer and the competitor to increase their selling prices. Note that subsidizing the consumer means that the actual transaction price is p g C s . Observing the portion of the selling price borne by the government, the manufacturer increases the optimal prices for its green products. As such, when the subsidy levels increase, the manufacturer likes to increase the prices of its green products. This result is consistent with the argument made by Yu et al. [22], who stated that “the manufacturer will charge a higher selling price because the manufacturer knows a portion of the increase will be borne by the government”. Similarly, observing the increases in the prices of green products, the competitor also likes to increase its optimal prices.
Proposition 2(ii) confirms that competition plays an important role in Model C; that is, subsidizing the manufacturer provides a competitive advantage to the manufacturer by providing greater quantities of green products. As a result, such aggressive behavior leads the potential market for non-green products to decrease. Then, the competitor has no choice but to decrease the availability of non-green products. Furthermore, like Proposition 1(ii), Proposition 2(ii) confirms that the dynamic effects of subsidy policies still hold in Model R: as the government subsidy levels increase, the impact on carbon emissions and pollution emissions decreases. It should be noted that this result is also supported by Song et al. [40], who compared the effect of the industrial subsidy and the purchasing subsidy on the EV industry in China from 2015 to 2025. They argued that increasing purchasing subsidies can help this industry reduce CO2 emissions.

4. Analysis and Results

To understand the different roles played by policies that subsidize consumers and manufacturers, in this section, we compare the equilibrium decisions and profits of the two models.
We first focus on the difference between the optimal prices and provide the following result (a detailed proof can be found in Appendix E):
Proposition 3. 
(i) The optimal prices of both products under Model C are always lower than those under Model M; that is, p g M < p g C  and  p n M < p n C .
(ii) The optimal quantities of green and non-green products under Model C are always higher and lower than those under Model M that is, q g M < q g C and q n M > q n C .
To simulate the theoretical results, we pick electric vehicles as representative products. The US Department of Energy [41] established the markup costs for electric motors with larger than 50 horsepower are typically 10–40% higher than the manufacturing costs of traditional motors. Accordingly, although Tesla integrated die-casting technology forms, its markup cost still exceeds that of traditional vehicles, such as Ford Motor, with a premium of 27.5–32.5% [42]. Then, we assume a 30%, i.e., c = 0.3 , markup cost premium for the electric vehicles. As per [39,43], we also acknowledge that defining the green levels can be difficult. However, like Xiao et al. [24] and Yin et al. [36], we assume that the manufacturer’s green levels are associated with a quadratic investment cost of c I = k ( δ 2 1 ) ; we then adopt the R&D investment percentages to characterize the degree of product innovation. In particular, according to the surveys from [44,45], the leading electric vehicles firms’ R&D spending growth has averaged over 12–40% annually since 2021. On the other hand, in the market of USA, EU, and Japan, the consumers are willing to pay a 16.8% price premium for those green products [46]. Then, we pick g = 0.17 . Finally, like [37,39], we assume that, comparing the green products, the consumer value discount for non-green products and set it as b = 0.65 .
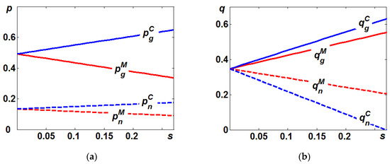
Then, as shown in Figure 2a, Proposition 3(i) further confirms the results in Propositions 1 and 2; that is, based on Figure 2a, we can conclude that p g M < p g C and p n M < p n C always hold. Therefore, subsidizing the manufacturer leads both the manufacturer and the competitor to set lower prices than subsidizing the consumer.
However, as shown in Figure 2b, we can conclude that q n M > q n C , meaning that the competitor confronts fiercer competitive pressure from the green products; that is, when confronting the fiercer competition from green products, i.e., q g M < q g C , the competitor has no choice but to provide fewer units of non-green products in Model C. The reason for this can be interpreted as follows. On the one hand, as shown in Proposition 2(i), in Model C, if the manufacturer increases the prices of green products, i.e., p g C / s > 0 , as a response, the optimal quantities of green products naturally increase ( p n C / s > 0 ). On the other hand, in Model M, if the manufacturer decreases the prices of green products, i.e., p g M / s < 0 , as a response, the optimal prices of green products naturally decrease ( p n M / s < 0 ). Furthermore, the different implications of the subsidy policies between Model M and Model C mean that the optimal prices of both products under Model C are always lower than those under Model M; that is, p g M < p g C  and  p n M < p n C .
Proposition 4. 
The incentive for green R&D in Model C is always lower than that in Model M; that is, k M > k C .
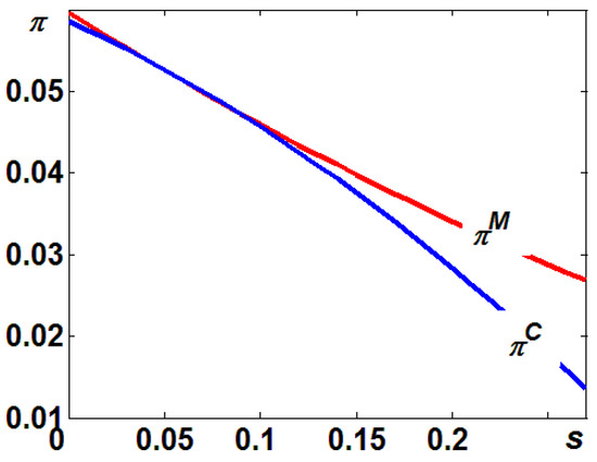
Note that manufacturers confronted with greater competitive pressure are more likely to make greater innovation efforts and that fiercer market competition generally leads to greater incentives for firms to invest in R&D [47,48]. On the one hand, we indeed find that subsidizing the manufacturer usually induces lower prices for green products in Model M (see p g M < p g C in Proposition 3(i)). On the other hand, subsidizing the manufacturer also induces lower quantities of green products in Model M (see q g M < q g C in Proposition 3(ii)). Therefore, as shown in Figure 3, there is an “escape competition” effect for the manufacturer’s green R&D when it faces competitive pressure from the competitor.
Proposition 4 indicates that the different subsidy policies result in differences in the incentive for green R&D. This is consistent with the empirical evidence provided by Song et al. [40], who argued that a feedback loop of different subsidy policies affects the scale and attractiveness of EVs through sales, which in turn affect the long-term uptake of this new technology.
We now focus on the difference in the manufacturer’s profits between the two models (see Figure 4; a detailed proof can be found in Appendix G).
Proposition 5. 
Subsidizing the consumers always results in higher profitability for the manufacturer than subsidizing the manufacturer ( Π M < Π C ).
Recall that subsidizing the consumers enables the manufacturer to set higher prices for the green product. Such higher prices do not hurt the demand for the green product due to the transaction price of p g C s but induce higher prices and lower quantities from the competitor. Therefore, this response creates higher profits for the manufacturer because p g M < p g C and q g M < q g C .
Our analysis provides insights for the government. If the government cares more about how green R&D affects environmental performance, it should pay more attention to subsidizing manufacturers. However, if the government cares more about manufacturers’ profits from green products, it should prefer subsidizing consumers over subsidizing manufacturers.
After comparing the manufacturer’s profits under both models, we finally focus our attention on the profitability of the competitor; that is, we compare the competitor’s profits (a detailed proof can be found in Appendix H).
Proposition 6. 
Subsidizing consumers results in lower profitability for the competitor than subsidizing the manufacturers; that is, π M > π C .
Based on Proposition 3, we can conclude that subsidizing consumers induces higher prices and lower quantities for non-green products (see p n M < p n C and q n M > q n C in Proposition 3). Put differently, although subsidizing consumers leads to a higher price premium effect for the competitor, compared with subsidizing manufacturers, the policy of subsidizing consumers induces fiercer competition between green and non-green products, with q n M > q n C . Therefore, as indicated in Figure 5, we can conclude that subsidizing consumers results in lower profitability for the competitor than subsidizing the manufacturers. The reasoning behind this can be found in Propositions 3–5, which we will not repeat here for the sake of space.
Based on Propositions 5 and 6, we further suggest that subsidizing consumers results in higher profitability for the manufacturer and hurts the competitor more.

5. Conclusions

Unsustainable lifestyles are a global issue that has not only increased resource use but also caused numerous problems, such as climate change, pollution, and waste. Undoubtedly, the transition toward sustainability is inevitable. Therefore, most companies must rethink the question of how to transfer the current non-green economic system toward green and sustainable production. Green technology is recognized as an effective approach to achieving sustainability goals by reducing waste and pollution [4,5]. In recent decades, many brand-name firms, including Tesla, Wal-Mart, Nike, M&S, and H&M, have spent tremendous financial resources on green R&D in various industries.
However, it should be noted that although green R&D provides hope for the environment, from a functional perspective, non-green products can be substituted for green products and act as barriers to green product adoption [10]. Specifically, if a consumer considers a greener alternative to a common selection, they need to evaluate their green intentions and behavior carefully and must consider the possible sacrifices involved (cost, time, and risk) [15,16]. As a result, although some consumers are concerned about environmental issues, they usually do not purchase goods based on green technologies with the expected level of regularity [14,15].
To remove the barriers to sustainable purchases, many governments improve the incentives to consume green products by subsidizing manufacturers’ green R&D or subsidizing consumers’ sustainable purchases. Accordingly, we developed two game-theoretic models in which a manufacturer invests in green R&D to compete with a competitor who focuses on producing non-green products, and the government promotes green R&D through one of two possible subsidy options: (a) subsidizing consumers’ sustainable purchases (Model C) or (b) subsidizing manufacturers to support their green R&D (Model M).
We now briefly discuss several interesting managerial questions that we posed at the beginning of this paper.
  • What are the implications of subsidizing consumers or manufacturers for equilibrium decisions?
Our analysis revealed that the implications of subsidizing consumers and manufacturers are quite different from each other. On the one hand, subsidizing the manufacturer means there is a decrease in the cost of green R&D because a portion of the cost is borne by the government. When the subsidy levels increase, the manufacturer likes to decrease the prices of green products. Observing a decrease in the prices of green products, the competitor has no choice but to decrease its optimal prices as well. On the other hand, observing the portion of the selling price to be borne by the government, the manufacturer increases its optimal prices for green products. As such, when the subsidy levels increase, the manufacturer likes to increase the prices of green products. As a result, the competitor likes to increase its optimal prices as well.
In addition, subsidizing the manufacturer leads both the manufacturer and the competitor to set lower selling prices, which results in optimal quantities of green and non-green products under Model C that are always higher and lower than those under Model M. Furthermore, we found that the incentive for green R&D in Model C is always lower than that in Model M due to the “escape competition” effect.
  • How do different subsidy policies affect the manufacturer’s and the competitor’s profits?
We found that subsidizing consumers always results in higher profitability for the manufacturer. However, our analysis revealed that compared with subsidizing the manufacturers, subsidizing consumers always results in lower profitability for the competitor.
  • Which one is more effective for improving green product adoption?
Our analysis provides insights for the government. Firstly, if the government cares more about how green R&D affects environmental performance, it should pay more attention to subsidizing manufacturers. However, if the government cares more about manufacturers’ profits from green products, it should prefer subsidizing consumers over subsidizing manufacturers. Secondly, we further suggest that subsidizing consumers is always beneficial for the manufacturer, and it always hurts the competitor more.
Our research can be extended in several directions. Firstly, following Yu et al. [22], we only considered government subsidy policies of subsidizing consumers or manufacturers. However, beyond the direct policy of offering subsidies, governments can implement various indirect regulations, such as carbon emission taxes, cap-and-trade regulations, the WEEE directive, etc. Secondly, in both our models, we only considered the strategic responses to the subsidies at the manufacturer level. However, in practice, retailers, especially dominant retailers such as Walmart, Tesco, etc., have also helped green product adoption. Therefore, we encourage future researchers to focus on the implications of subsidy policies for other players, such as retailers and third-party green innovators. Thirdly, we only considered promoting green R&D to allow green products to outcompete non-green products. However, in practice, manufacturers may also confront green R&D races. Fourthly, R&D, including green R&D, can be divided into incremental innovation with relatively minor improvements and discrete innovation with major improvements. Like Yin et al. [36], Zhu and He [20], and Ghosh et al. [49], we only highlighted green R&D with incremental innovation, but we encourage future researchers to highlight manufacturers’ green R&D involving discrete innovations under subsidy policies. Finally, we also acknowledge that future research can consider more complex models, such as those involving financial institutions and multiple stages.

Author Contributions

Writing—original draft, Q.Y.; supervision, L.S. All authors have read and agreed to the published version of the manuscript.

Funding

This research received no external funding.

Institutional Review Board Statement

Not applicable.

Informed Consent Statement

Not applicable.

Data Availability Statement

All data are contained within this article.

Conflicts of Interest

The authors declare no conflicts of interest.

Appendix A. Equilibrium Analysis of Model M

By substituting the inverse demand functions from Equation (1) into the manufacturer’s profit from Equation (2) and the competitor’s profits from Equation (3), we can obtain max p g Π M = p g c + s p n b + 1 + g p g 1 + g b k ( δ 2 1 ) and max p n Π M = p n b p g p n g p n b 1 + g b .
Maximizing the above profit functions provides
p n M = b   b 1 g c + s b 4 4   g ,   p g M = 2 ( b 1 2 g + s c + b g g 2 + g s g c ) b 4 4 g ,   q g M = b c 2 b 2 b g b s + 2 + 4 g + 2 g 2 + 2 s 2 c + 2 g s 2 g c ( 4 b + 4 g ) ( 1 b + g ) q n M = 1 + g   b 1 g c s b 4 4   g 1 + g b
Substituting them from Equation (2) into Equation (3) provides
Π M = ( 4 g 2 c 2 b + 2 2 b g + 2 g 2 + 2 s + 2 g s 2 g c + b c s b ) 2 ( b 4 4 g ) 2 ( 1 + g b ) k ( ( 1 + g ) 2 1 ) π M = ( b 1 g c + s ) 2 b ( 1 + g ) ( b 4 4 g ) 2 ( 1 + g b )
Based on the profit function of the manufacturer, we obtain
Π M ( g = 0 ) = ( 2 2 b 2 c + 2 s + b c b s ) 2 ( b 4 ) 2 ( 1 b ) . Solving Π M Π M ( g = 0 ) provides k M = 128 g c 2 64 472 b 2 g 128 b c 2 + 16 b 2 c 16 s b 2 192 g 272 b 2 g 2 + 8 b 5 + 96 b g 3 36 b 3 c + 36 s b 3 24 s b 4 + 160 b 3 + 192 b + 40 g s b 3 c + 64 c 2 64 g 3 216 g s b 2 c + 108 g c 2 b 2 + 108 s 2 b 2 60 b 4 g + 240 b 3 g 40 b 3 c 2 + 64 s 2 60 b 4 + 24 b 4 c + 108 b 2 c 2 + 384 g s b c 192 g s 2 b + 64 g 2 s 2 + 64 g 2 c 2 128 c s 128 s 2 b + 128 g s 2 32 g 2 s c b 2 12 b 4 g s + 128 g 2 s c b 40 s 2 b 3 + 5 b 4 c 2 + 88 b 3 g 2 + 4 b 3 g 3 36 b 2 g 3 + 5 s 2 b 4 8 b 4 g 2 + 12 b 4 g c 20 g c 2 b 3 10 b 4 c s 36 g b 3 c + 36 g s b 3 + 80 c s b 3 + 16 g 2 c 2 b 2 + 16 g 2 s 2 b 2 + 108 g s 2 b 2 20 g s 2 b 3 + 4 s b 5 + 4 b 5 g 4 b 5 c + 256 c s b 256 c g s 216 b 2 c s 192 g c 2 b 128 g 2 s c 24 b 2 g s + 24 b 2 g c 192 g 2 64 g 2 c 2 b 64 g 2 s 2 b 8 b 2 g 2 s + 8 b 3 g 2 s + 8 b 2 g 2 c 8 b 3 g 2 c 236 b 2 + 480 b g + 384 b g 2 ( b 4 4 g ) 2 ( 1 + g b ) ( b 4 ) 2 ( b 1 ) ( 2 + g )
If k < k M , the manufacturer prefers g > 0 over g = 0 , but it prefers g = 0 over g > 0 for k > k M .

Appendix B. Proof for Proposition 1

Based on the outcomes in Table 3, we find that
p g M / s = 2   1 + g 4 b + 4   g ,   p n M / s = b 4 b + 4   g p g M / c = 2   1 + g 4 b + 4   g ,   p n M / c = b 4 b + 4   g q g M / s = 2 b + 2   g 4 b + 4   g 1 b + g ,   q n M / s = 1 + g 4 b + 4   g 1 b + g q g M / c = b 2 2   g 4 b + 4   g 1 b + g ,   q n M / c = 1 + g 4 b + 4   g 1 b + g
It is easily shown that for any instance where 0 < b < 1 and g > 0 , the functions p g M / s < 0 , p n M / s < 0 , p g M / c > 0 , p n M / c > 0 , q g M / s > 0 , q n M / s < 0 , q g M / c < 0 , and q n M / c > 0 always hold.

Appendix C. Equilibrium Analysis of Model C

By substituting the inverse demand functions from Equation (4) into the manufacturer’s profit from Equation (5) and the competitor’s profits from Equation (6), we can obtain max p g Π C = p g c 1 + g + p n b ( p g s ) 1 + g b k ( δ 2 1 ) and max p n Π C = p n b ( p g s ) p n g p n b 1 + g b .
Maximizing the above profit functions provides
p n C = b   b 1 g c s b 4 4   g ,   p g C = 2 ( 2 g + c b + 1 b g + g 2 + s + g s + g c ) b 4 4 g ,   q g C = b c 2 b 2 b g + 2 + 4 g + 2 g 2 2 c + 2 s + 2 g s 2 g c ( 4 b + 4 g ) ( 1 b + g ) q n C = 2 g + c b + 1 b g + g 2 3 s 3 g s + g c + s b ( 4 b + 4 g ) ( 1 b + g )
Substituting them from Equation (2) into Equation (3) provides
Π M = ( 4 g 2 c 2 b + 2 2 b g + 2 g 2 + 2 s + 2 g s 2 g c + b c ) 2 ( b 4 4 g ) 2 ( 1 + g b ) k ( ( 1 + g ) 2 1 ) π M = ( b 1 g c s ) ( b 2 g c 1 + b g g 2 + 3 s + 3 g s g c s b ) b ( b 4 4 g ) 2 ( 1 + g b )
Based on the profit function of the manufacturer, we obtain
Π M ( g = 0 ) = ( 2 2 c 2 b + 2 s + b c ) 2 ( b 4 ) 2 ( 1 b ) . Solving Π M Π M ( g = 0 ) provides k C = 64 + 128 g c 2 472 b 2 g 128 b c 2 + 16 b 2 c 144 s b 2 + 384 b g 2 + 64 c 2 + 192 b + 64 s b 192 g + 96 b g 3 36 b 3 c + 96 s b 3 16 s b 4 + 160 b 3 60 b 4 g 128 c s + 64 g 2 s 2 + 24 b 4 c 24 g s b 2 c + 108 g c 2 b 2 36 s 2 b 2 + 240 b 3 g 40 b 3 c 2 + 108 b 2 c 2 272 b 2 g 2 8 g s b 3 c + 192 g s b c + 64 g 2 c 2 + 128 g s 2 + 64 g 2 s c b 8 b 4 g s 60 b 4 + 8 s 2 b 3 + 5 b 4 c 2 4 b 5 c + 88 b 3 g 2 + 4 b 3 g 3 36 b 2 g 3 8 b 4 g 2 + 12 b 4 g c 20 g c 2 b 3 + 4 b 4 c s 36 g b 3 c + 64 s 2 + 96 g s b 3 16 c s b 3 + 16 g 2 c 2 b 2 36 g s 2 b 2 + 4 g s 2 b 3 + 4 b 5 g + 128 c s b 256 c g s + 128 g s b 24 b 2 c s 192 g c 2 b 128 g 2 s c 216 b 2 g s + 24 b 2 g c + 64 b g 2 s + 8 b 5 64 g 2 c 2 b 72 b 2 g 2 s + 8 b 3 g 2 s + 8 b 2 g 2 c 8 b 3 g 2 c 236 b 2 192 g 2 + 480 b g 64 g 3 ( 4 b + 4 g ) 2 ( 1 b + g ) ( b 4 ) 2 ( b 1 ) ( 2 + g )
If k < k C , the manufacturer prefers g > 0 over g = 0 , but it prefers g = 0 over g > 0 for k > k C .
To ensure all the above equilibrium outcomes are positive, s < s ¯ = b 2 g c 1 + b g g 2 g c b 3 3 g .

Appendix D. Proof for Proposition 2

Based on the outcomes in Table 3, we find that
p g C / s = 2 1 + g 4 b + 4 g ,   p n C / s = b 4 b + 4 g p g C / c = 2 1 + g 4 b + 4 g ,   p n C / c = b 4 b + 4 g q g C / s = 2 + 2 g 4 b + 4 g 1 b + g ,   q n C / s = b 3 3   g 4 b + 4   g 1 b + g q g C / c = b 2 2 g 4 b + 4 g 1 b + g ,   q n C / c = 1 + g 4 b + 4   g 1 b + g
It is easily shown that for any instance where 0 < b < 1 and g > 0 , the functions p g C / s > 0 , p g C / c > 0 , p n C / s > 0 , p n C / c > 0 , q g C / s > 0 , q g C / c < 0 , q n C / s < 0 , and q n C / c > 0 always hold.

Appendix E. Proof for Proposition 3

Based on the outcomes in Table 3, we find that
p g M p g C = 4 s 1 + g 4 b + 4   g ,   p n M p n C = 2 b s 4 b + 4   g q g M q g C = b s 4 b + 4   g 1 b + g ,   q n M q n C = s 2 + 2 g b 4 b + 4   g 1 b + g
It is easily shown that for any instance where 0 < b < 1 and g > 0 , the functions p g M < p g C , p n M < p n C , q g M < q g C , and q n M > q n C always hold.

Appendix F. Proof for Proposition 4

Based on the outcomes in Table 3, we find that
k M k C = s b ( 64 60 b 2 g + 96 b 2 c 48 s b 2 128 s 128 g 14 b 3 c + 5 s b 3 8 b 3 + 128 b 4 b 3 g + 128 c 64 g 2 s + 4 b 4 24 b 2 g s + 48 b 2 g c + 144 g s b + 16 b g 2 s 60 b 2 64 g 2 + 192 b g 192 b c + 192 g c 192 g b c 32 g 2 c b + 64 g 2 c + 64 b g 2 + 144 s b 192 g s ) ( 4 b + 4 g ) 2 ( 1 b + g ) ( b 4 ) 2 ( b 1 ) / ( 2 + g )
Solving the above function, we find that
s ¯ ¯ = 2 ( 24 b 2 g c 32 32 g 2 4 b 3 96 b g c 30 b 2 + 2 b 4 96 b c 2 b 3 g 30 b 2 g + 48 b 2 c + 32 b g 2 + 96 b g + 96 g c + 32 g 2 c 16 g 2 c b + 64 c 64 g + 64 b 7 b 3 c ) 16 b g 2 192 g 24 b 2 g 48 b 2 64 g 2 128 + 144 b + 5 b 3 + 144 b g ,
Comparing s ¯ with s ¯ ¯ , we find that s ¯ < s ¯ ¯ . Therefore, we can conclude that when s < s ¯ , 0 < b < 1 , and g > 0 , k M k C > 0 .

Appendix G. Proof for Proposition 5

Based on the outcomes in Table 3, we find that
Π M Π C = ( s b 4 s 8 g + 4 c + 4 g c + 4 b + 4 b g 4 g 2 2 b c 4 g s 4 ) s b ( 4 b + 4 g ) 2 ( 1 b + g )
Solving the above function, we find that
s < s ¯ ¯ ¯ = 2 ( 4 g 2 c 2 g c 2 b 2 b g + 2 g 2 + b c + 2 ) b 4 4 g and Π M < Π C .
Comparing s ¯ with s ¯ ¯ ¯ , we find that s ¯ < s ¯ ¯ ¯ . Therefore, we can conclude that when s < s ¯ , 0 < b < 1 , and g > 0 , Π M Π C < 0 .

Appendix H. Proof for Proposition 6

Based on the outcomes in Table 3, we find that
π M π C = b s ( 4 s s b b g b c + 4 g s + b 2 b ) ( 4 b + 4 g ) 2 ( 1 b + g )
Solving the above function, we find that for any instance where g > 0 , 0 < b < 1 , and s < s ^ , π M > π C .

References

  1. Global Resources Outlook 2024. Global Resources Dwindling as Demand Rises. Available online: https://populationmatters.org/news/2024/03/global-resources-dwindling-as-demand-rises/ (accessed on 11 November 2024).
  2. NASA. What Is Climate Change? Available online: https://science.nasa.gov/climate-change/what-is-climate-change/ (accessed on 11 November 2024).
  3. Ameer, F.; Khan, N.R. Green entrepreneurial orientation and corporate environmental performance: A systematic literature review. Eur. Manag. J. 2023, 41, 755–778. [Google Scholar] [CrossRef]
  4. Fahimnia, B.; Sarkis, J.; Davarzani, H. Green supply chain management: A review and bibliometric analysis. Int. J. Prod. Econ. 2015, 162, 101–114. [Google Scholar] [CrossRef]
  5. Geng, R.Q.; Lin, S.; Dai, J. Examining customer pressure and green supply chain management in emerging market: An institutional logics perspective. Int. J. Prod. Econ. 2024, 278, 109431. [Google Scholar] [CrossRef]
  6. Board, T.R.; Council, N.R. Effectiveness and Impact of Corporate Average Fuel Economy (CAFE) Standards; The National Academies Press: Washington, DC, USA, 2002; p. 180. [Google Scholar]
  7. Gielens, K.; Geyskens, I.; Deleersnyder, B.; Nohe, M. The New Regulator in Town: The Effect of Walmart’s Sustainability Mandate on Supplier Shareholder Value. J. Mark. 2018, 82, 124–141. [Google Scholar] [CrossRef]
  8. Walmart. Product Supply Chain Sustainability. Available online: https://corporate.walmart.com/purpose/esgreport/environmental/product-supply-chain-sustainability (accessed on 3 October 2024).
  9. Guo, S.; Choi, T.-M.; Shen, B. Green product development under competition: A study of the fashion apparel industry. Eur. J. Oper. Res. 2020, 280, 523–538. [Google Scholar] [CrossRef]
  10. Cong, J.; Pang, T.; Peng, H.J. Optimal strategies for green supply chains with competition between green and traditional suppliers. Rairo-Oper. Res. 2024, 58, 511–534. [Google Scholar] [CrossRef]
  11. Statista. Tesla’s Research and Development Expenses from FY 2010 to FY 2023. Available online: https://www.statista.com/statistics/314863/research-and-development-expenses-of-tesla/ (accessed on 19 October 2024).
  12. Motor, G. Leadership in Fuel Cell Development Brings New Revenue Potential. Available online: https://www.gm.com/innovation/hydrotec (accessed on 19 September 2024).
  13. Gleim, M.R.; Smith, J.S.; Andrews, D.; Cronin, J.J. Against the Green: A Multi-method Examination of the Barriers to Green Consumption. J. Retail. 2013, 89, 44–61. [Google Scholar] [CrossRef]
  14. Park, H.J.; Lin, L.M. Exploring attitude–behavior gap in sustainable consumption: Comparison of recycled and upcycled fashion products. J. Bus. Res. 2020, 117, 623–628. [Google Scholar] [CrossRef]
  15. ElHaffar, G.; Durif, F.; Dubé, L. Towards closing the attitude-intention-behavior gap in green consumption: A narrative review of the literature and an overview of future research directions. J. Clean. Prod. 2020, 275, 122556. [Google Scholar] [CrossRef]
  16. Liobikienė, G.; Bernatonienė, J. Why determinants of green purchase cannot be treated equally? The case of green cosmetics: Literature review. J. Clean. Prod. 2017, 162, 109–120. [Google Scholar] [CrossRef]
  17. eCarsTrade. Electric Cars EU: Tax Benefits and Incentives in 2025. Available online: https://ecarstrade.com/blog/tax-benefits-and-incentives-for-electric-vehicles-in-eu (accessed on 12 December 2024).
  18. Chinadaily. The EU ‘New Trio’ Industrial Subsidy Policy in the Name of Green Transition. Available online: https://www.chinadaily.com.cn/a/202408/27/WS66cd79fea31060630b925345_2.html (accessed on 10 November 2024).
  19. IEA. Explore Key Policies and Measures for EV Deployment. Available online: https://www.iea.org/data-and-statistics/data-tools/global-ev-policy-explorer (accessed on 27 September 2014).
  20. Zhu, W.G.; He, Y.J. Green product design in supply chains under competition. Eur. J. Oper. Res. 2017, 258, 165–180. [Google Scholar] [CrossRef]
  21. Du, S.F.; Tang, W.Z.; Zhao, J.J.; Nie, T.F. Sell to whom? Firm’s green production in competition facing market segmentation. Ann. Oper. Res. 2018, 270, 125–154. [Google Scholar] [CrossRef]
  22. Yu, J.J.; Tang, C.S.; Shen, Z.-J.M. Improving Consumer Welfare and Manufacturer Profit via Government Subsidy Programs: Subsidizing Consumers or Manufacturers? Manuf. Serv. Oper. Manag. 2018, 20, 752–766. [Google Scholar] [CrossRef]
  23. Shao, J.; Krishnan, H.; McCormick, S.T. Price Incentives and Coordination in a Two-Product Decentralized Supply Chain. Decis. Sci. 2014, 45, 507–533. [Google Scholar] [CrossRef]
  24. Xiao, Y.; Zhang, X.; Wu, X. Firm decisions and government subsidies in a supply chain with consumer surplus consideration. Nav. Res. Logist. 2024, 71, 1113–1132. [Google Scholar] [CrossRef]
  25. Yang, Y.-C.; Nie, P.-Y. Subsidy for clean innovation considered technological spillover. Technol. Forecast. Soc. Change 2022, 184, 121941. [Google Scholar] [CrossRef]
  26. Wang, Y.; Wang, Z.; Li, B.; Cheng, Y. The choice of subsidy policy for incentivizing product design for environment. Comput. Ind. Eng. 2023, 175, 108883. [Google Scholar] [CrossRef]
  27. Fang, L.; Zhao, S. On the green subsidies in a differentiated market. Int. J. Prod. Econ. 2023, 257, 108758. [Google Scholar] [CrossRef]
  28. Tan, C.X.; Tan, Z.F.; Yin, Z.; Wang, Y.J.; Geng, S.P.; Pu, L. Study on grid price mechanism of new energy power stations considering market environment. Renew. Energy 2023, 203, 177–193. [Google Scholar] [CrossRef]
  29. Zhang, D. Green credit regulation, induced R&D and green productivity: Revisiting the Porter Hypothesis. Int. Rev. Financ. Anal. 2021, 75, 101723. [Google Scholar] [CrossRef]
  30. Shi, L.; Wang, Y.; Jing, L. Low-carbon city pilot, external governance, and green innovation. Financ. Res. Lett. 2024, 67, 105768. [Google Scholar] [CrossRef]
  31. Sheng, X.; Chen, L.; Yuan, X.; Tang, Y.; Yuan, Q.; Chen, R.; Wang, Q.; Ma, Q.; Zuo, J.; Liu, H. Green supply chain management for a more sustainable manufacturing industry in China: A critical review. Environ. Dev. Sustain. 2023, 25, 1151–1183. [Google Scholar] [CrossRef]
  32. Li, X.; He, J. Mechanism of the green supply chain profit of building materials considering the duopoly competition model and consumer green preference. Int. J. Syst. Sci.-Oper. Logist. 2024, 11, 2311283. [Google Scholar] [CrossRef]
  33. Khouja, M.; Zhou, J. The Effect of Delayed Incentives on Supply Chain Profits and Consumer Surplus. Prod. Oper. Manag. 2010, 19, 172–197. [Google Scholar] [CrossRef]
  34. Wang, Y.X.; Chang, X.Y.; Chen, Z.G.; Zhong, Y.G.; Fan, T.J. Impact of subsidy policies on recycling and remanufacturing using system dynamics methodology: A case of auto parts in China. J. Clean. Prod. 2014, 74, 161–171. [Google Scholar] [CrossRef]
  35. Li, J.C.; Jiang, M.R.; Li, G. Does the new energy vehicles subsidy policy decrease the carbon emissions of the urban transport industry? Evidence from Chinese cities in Yangtze River Delta. Energy 2024, 298, 131322. [Google Scholar] [CrossRef]
  36. Yin, S.; Ray, S.; Gurnani, H.; Animesh, A. Durable Products with Multiple Used Goods Markets: Product Upgrade and Retail Pricing Implications. Mark. Sci. 2010, 29, 540–560. [Google Scholar] [CrossRef]
  37. He, J.; Yan, W.; Li, Y.; Lu, D. Recycling and/or reusing: When product innovation meets the recast of WEEE direct. Int. J. Prod. Res. 2024, 62, 7018–7029. [Google Scholar] [CrossRef]
  38. Yan, W.; Xiong, Y.; Xiong, Z.; Guo, N. Bricks vs. clicks: Which is better for marketing remanufactured products? Eur. J. Oper. Res. 2015, 242, 434–444. [Google Scholar] [CrossRef]
  39. Zhang, F.; Chen, H.; Xiong, Y.; Yan, W.; Liu, M. Managing collecting or remarketing channels: Different choice for cannibalisation in remanufacturing outsourcing. Int. J. Prod. Res. 2021, 59, 5944–5959. [Google Scholar] [CrossRef]
  40. Song, Y.; Li, G.; Wang, Q.; Meng, X.; Wang, H. Scenario analysis on subsidy policies for the uptake of electric vehicles industry in China. Resour. Conserv. Recycl. 2020, 161, 104927. [Google Scholar] [CrossRef]
  41. The US Department of Energy. Markups Analysis. Available online: https://www1.eere.energy.gov/buildings/appliance_standards/pdfs/em_preanalysis_tsdch06.pdf (accessed on 1 January 2025).
  42. Huangfu, J.; Tang, Z.; Wang, X. Comparison of the Financing Approaches for New Energy Vehicle Industry. BCP Bus. Manag. 2023, 38, 889–896. [Google Scholar] [CrossRef]
  43. Rothenberg, S. Sustainability Through Servicizing. Available online: https://sloanreview.mit.edu/article/sustainability-through-servicizing/ (accessed on 6 January 2025).
  44. SDC. Tesla Research and Development (R&D) Versus General Motors. Available online: https://stockdividendscreener.com/auto-manufacturers/gm-vs-tesla-in-research-and-development-costs/ (accessed on 5 January 2025).
  45. qianzhan.com. Report of Market Demand and Invstment Strategy Planning on China Motor and Controller for New Energy Vehicles Industry (2024–2029). Available online: https://bg.qianzhan.com/report/detail/1901081850123172.html (accessed on 3 January 2025).
  46. Tully, S.M.; Winer, R.S. The Role of the Beneficiary in Willingness to Pay for Socially Responsible Products: A Meta-analysis. J. Retail. 2014, 90, 255–274. [Google Scholar] [CrossRef]
  47. Arrow, K.J. Economic Welfare and the Allocation of Resources for Invention. In Readings in Industrial Economics: Volume Two: Private Enterprise and State Intervention; Rowley, C.K., Ed.; Macmillan Education: London, UK, 1972; pp. 219–236. [Google Scholar]
  48. Negassi, S.; Hung, T.-Y. The nature of market competition and innovation: Does competition improve innovation output? Econ. Innov. New Technol. 2014, 23, 63–91. [Google Scholar] [CrossRef]
  49. Ghosh, A.; Kato, T.; Morita, H. Incremental innovation and competitive pressure in the presence of discrete innovation. J. Econ. Behav. Organ. 2017, 135, 1–14. [Google Scholar] [CrossRef]
Figure 1. Sequence of events.
Figure 1. Sequence of events.
Sustainability 17 00832 g001
Figure 2. Impacts of s on equilibrium prices/quantities with b = 0.65 , g = 0.17 , and c = 0.3 : (a) impacts of s on p g i and p n i ; (b) impacts of s on q g i and q n i . Proposition 3(i) reveals that subsidizing consumers leads to higher prices for green products ( p g M < p g C ). One may expect that higher prices for green products would stimulate the manufacturer’s green R&D. In fact, this is not always true (a detailed proof can be found in Appendix F).
Figure 2. Impacts of s on equilibrium prices/quantities with b = 0.65 , g = 0.17 , and c = 0.3 : (a) impacts of s on p g i and p n i ; (b) impacts of s on q g i and q n i . Proposition 3(i) reveals that subsidizing consumers leads to higher prices for green products ( p g M < p g C ). One may expect that higher prices for green products would stimulate the manufacturer’s green R&D. In fact, this is not always true (a detailed proof can be found in Appendix F).
Sustainability 17 00832 g002
Figure 3. Impacts of s on k with b = 0.65 , g = 0.17 , and c = 0.3 .
Figure 3. Impacts of s on k with b = 0.65 , g = 0.17 , and c = 0.3 .
Sustainability 17 00832 g003
Figure 4. Impacts of s on Π i with b = 0.65 , g = 0.17 , and c = 0.3 .
Figure 4. Impacts of s on Π i with b = 0.65 , g = 0.17 , and c = 0.3 .
Sustainability 17 00832 g004
Figure 5. Impacts of s on π i with b = 0.65 , g = 0.17 , and c = 0.3 .
Figure 5. Impacts of s on π i with b = 0.65 , g = 0.17 , and c = 0.3 .
Sustainability 17 00832 g005
Table 1. Differences between this study and the existing literature.
Table 1. Differences between this study and the existing literature.
Author(s)Green R&DCompetition from Non-Green ProductsSubsidy Policies
Zhu and He [20], Du et al. [21], Tan et al. [28], etc.N/A
Shao et al. [23], Yu et al. [22], Xiao et al. [24], etc.N/AN/A
Yang and Nie [25], Wang et al. [26], Fang and Zhao [27], etc.N/A
This paper
Table 2. Notations related to the models.
Table 2. Notations related to the models.
NotationsDefinition
i i { C , M } refers to Model C and Model M
g The green level of the green product
b The discount factor for the willingness to pay for non-green products
c The unit cost of selling a green product
s The government’s subsidy level
k The incentive to invest in green R&D
p g i / p n i Prices of green/non-green products under Model i
q g i / q n i Quantities of green/non-green products under Model i
Π i / π i Profits for the manufacturer/competitor under Model i
Table 3. Optimal equilibriums for two models.
Table 3. Optimal equilibriums for two models.
Optimal equilibriums for Model M:
p n M = b   b 1 g c + s b 4 4   g , p g M = 2 ( b 1 2 g + s c + b g g 2 + g s g c ) b 4 4 g , q g M = b c 2 b 2 b g b s + 2 + 4 g + 2 g 2 + 2 s 2 c + 2 g s 2 g c ( 4 b + 4 g ) ( 1 b + g )
q n M = 1 + g   b 1 g c s b 4 4   g 1 + g b
Π M = ( 4 g 2 c 2 b + 2 2 b g + 2 g 2 + 2 s + 2 g s 2 g c + b c s b ) 2 ( b 4 4 g ) 2 ( 1 + g b ) k ( ( 1 + g ) 2 1 )
π M = ( b 1 g c + s ) 2 b ( 1 + g ) ( b 4 4 g ) 2 ( 1 + g b )
k M = Π M ( g > 0 ) Π M ( g = 0 ) , which are listed in Appendix A.
Optimal equilibriums for Model C:
p n C = b   b 1 g c s b 4 4   g , p g C = 2 ( 2 g + c b + 1 b g + g 2 + s + g s + g c ) b 4 4 g , q g C = b c 2 b 2 b g + 2 + 4 g + 2 g 2 2 c + 2 s + 2 g s 2 g c ( 4 b + 4 g ) ( 1 b + g )
q n C = 2 g + c b + 1 b g + g 2 3 s 3 g s + g c + s b ( 4 b + 4 g ) ( 1 b + g )
Π M = ( 4 g 2 c 2 b + 2 2 b g + 2 g 2 + 2 s + 2 g s 2 g c + b c ) 2 ( b 4 4 g ) 2 ( 1 + g b ) k ( ( 1 + g ) 2 1 )
π M = ( b 1 g c s ) ( b 2 g c 1 + b g g 2 + 3 s + 3 g s g c s b ) b ( b 4 4 g ) 2 ( 1 + g b )
k C = Π C ( g > 0 ) Π C ( g = 0 ) , which are listed in Appendix C.
Disclaimer/Publisher’s Note: The statements, opinions and data contained in all publications are solely those of the individual author(s) and contributor(s) and not of MDPI and/or the editor(s). MDPI and/or the editor(s) disclaim responsibility for any injury to people or property resulting from any ideas, methods, instructions or products referred to in the content.

Share and Cite

MDPI and ACS Style

Yuan, Q.; Sun, L. Promoting Green R&D to Allow Green Products to Outcompete Non-Green Products: Subsidize Consumers or Manufacturers? Sustainability 2025, 17, 832. https://doi.org/10.3390/su17030832

AMA Style

Yuan Q, Sun L. Promoting Green R&D to Allow Green Products to Outcompete Non-Green Products: Subsidize Consumers or Manufacturers? Sustainability. 2025; 17(3):832. https://doi.org/10.3390/su17030832

Chicago/Turabian Style

Yuan, Qixiang, and Lin Sun. 2025. "Promoting Green R&D to Allow Green Products to Outcompete Non-Green Products: Subsidize Consumers or Manufacturers?" Sustainability 17, no. 3: 832. https://doi.org/10.3390/su17030832

APA Style

Yuan, Q., & Sun, L. (2025). Promoting Green R&D to Allow Green Products to Outcompete Non-Green Products: Subsidize Consumers or Manufacturers? Sustainability, 17(3), 832. https://doi.org/10.3390/su17030832

Note that from the first issue of 2016, this journal uses article numbers instead of page numbers. See further details here.

Article Metrics

Back to TopTop