Sequencing Batch Reactor: A Sustainable Wastewater Treatment Option for the Canned Vegetable Industry
Abstract
1. Introduction
2. Materials and Methods
2.1. Collection of Effluents
2.2. Characterization of Effluents
2.3. Load Reactor Description
2.4. Microbial Biomass: Origin and Treatment
2.5. Description of Sequencing Batch Reactors
2.6. Kinetic Constants and Organic Matter Fractionation of Effluents
2.7. Operational Strategies for Nutrient Removal During the Treatment of Effluents in the SBR
2.8. Effect of Macronutrient Addition on Treatability
2.9. Performance of the SBR at Different Operational Cycle Times (OCTs) and Sludge Retention Times (SRTs)
3. Results and Discussion
3.1. Characterization of Effluents
3.2. Biomass Adaptation Process to the Effluent
3.3. Organic Matter Fractionation
3.4. Effect of Macronutrient Addition on Effluent Treatability
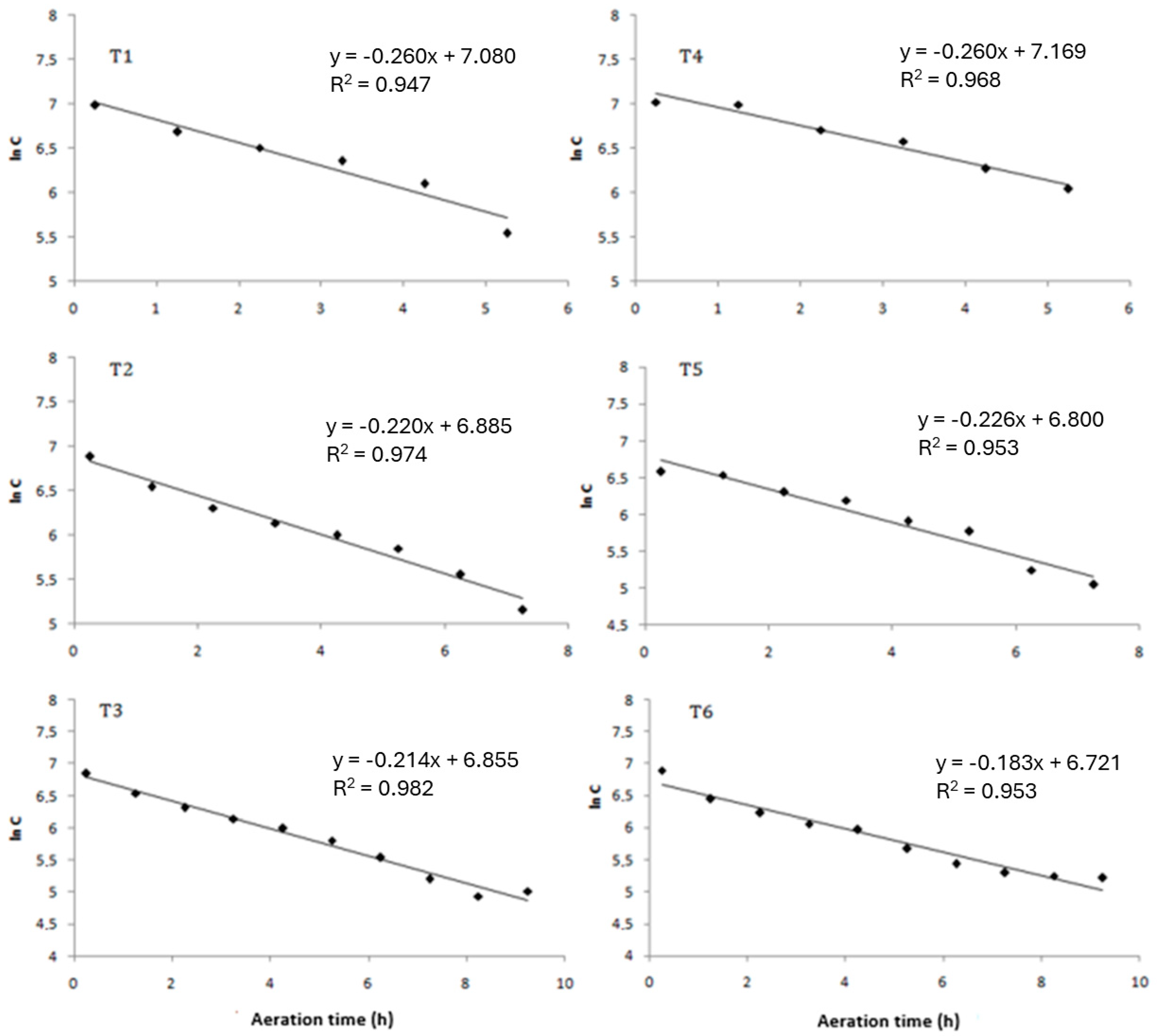
3.5. Performance of the SBR at Different OCTs and SRTs
3.6. Limitations
4. Conclusions
Author Contributions
Funding
Institutional Review Board Statement
Informed Consent Statement
Data Availability Statement
Conflicts of Interest
References
- Oki, T.; Qiocho, R. Economically challenged and water scarce: Identification of global populations most vulnerable to water crises. Int. J. Water Resour. Dev. 2020, 36, 416–428. [Google Scholar] [CrossRef]
- Asgharnejad, H.; Nazloo, E.; Larijani, M.; Hajinajaf, N.; Rashidi, H. Comprehensive review of water management and wastewater treatment in food processing industries in the framework of water-food-environment nexus. Compr. Rev. Food Sci. Food Saf. 2021, 20, 4779–4815. [Google Scholar] [CrossRef] [PubMed]
- Rani, S.; Satyannarayana, K.; Arthanareeswaran, G.; Raja, V. Treatment of food processing industries wastewaters using a new clay-based inorganic membrane: Performance evaluation and fouling analysis. J. Taiwan Inst. Chem. Eng. 2024, 166, 105439. [Google Scholar] [CrossRef]
- Saravanan, A.; Kumar, P.; Rangasamy, G.; Hariharan, R.; Hemavathy, R.; Deepika, P.; Anand, K.; Karthika, S. Strategies for enhancing the efficacy of anaerobic digestion of food industry wastewater: An insight into bioreactor types, challenges, and future scope. Chemosphere 2023, 310, 136856. [Google Scholar] [CrossRef]
- Ijanu, E.; Kamaruddin, M.; Norashiddin, F. Coffee processing wastewater treatment: A critical review on current treatment technologies with a proposed alternative. Appl. Water Sci. 2020, 10, 11. [Google Scholar] [CrossRef]
- Sengupta, B.; Priyadarshinee, R.; Roy, A.; Banerjee, A.; Malaviya, A.; Singha, S.; Mandal, T.; Kumar, A. Toward sustainable and eco-friendly production of coffee: Abatement of wastewater and evaluation of its potential valorization. Clean Technol. Environ. Policy 2020, 22, 995–1014. [Google Scholar] [CrossRef]
- Muhamad, S.; Idrus, S.; Ahsan, A.; Tuan Mohd, T.; Mahat, S. Treatment of Wastewater from a Food and Beverage Industry Using Conventional Wastewater Treatment Integrated with Membrane Bioreactor System: A Pilot-Scale Case Study. Membranes 2021, 11, 456. [Google Scholar] [CrossRef]
- Fagbohungbe, M.; Hursthouse, A.; Miller, J.; Morrison, G.; Stockwell, M.; Mclellan, I. Sustainable strategies for improved regulatory compliance within the food-processing sector. Waste Resour. Manag. 2021, 174, 47–58. [Google Scholar] [CrossRef]
- Tian, Z.; Xiong, Y.; Li, G.; Cao, X.; Li, X.; Du, C.; Zhang, L. Food wastewater treatment using a hybrid biofilm reactor: Nutrient removal performance and functional microorganisms on filler biofilm and suspended sludge. RSC Adv. 2024, 14, 22470–22479. [Google Scholar] [CrossRef]
- Pešević, D.; Knežević, N.; Marković, M. Quality assessment of vegetable oil effluent discharged into Sava river. Arch. Tech. Sci. 2019, 2, 85–93. [Google Scholar] [CrossRef]
- Haddaji, C.; Chatoui, M.; Rifi, S.K.; Ettaloui, Z.; Digua, K.; Pala, A.; Anouzla, A.; Souabi, S. Performance of simultaneous carbon, nitrogen, and phosphorus removal from vegetable oil refining wastewater in an aerobic-anoxic sequencing batch reactor (OA-SBR) System by alternating the cycle times. Environ. Nanotechnol. Monit. Manag. 2023, 20, 100827. [Google Scholar] [CrossRef]
- Yasin, N.; Hossain, M.; Zulkifli, M.; Al-Gheethi, A.; Asis, A.; Yahaya, A. Treatment of Palm Oil Refinery Effluent Using Tannin as a Polymeric Coagulant: Isotherm, Kinetics, and Thermodynamics Analyses. Polymers 2020, 12, 2353. [Google Scholar] [CrossRef] [PubMed]
- Preethi, V.; Ramesh, S.; Gandhimathi, R.; Nidheesh, P. Optimization of batch electrocoagulation process using Box-Behnken experimental design for the treatment of crude vegetable oil refinery wastewater. J. Dispers. Sci. Technol. 2019, 4, 592–599. [Google Scholar] [CrossRef]
- Sanghamitra, P.; Mazumder, D.; Mukherjee, S. Treatment of wastewater containing oil and grease by biological method- a review. J. Environ. Sci. Health Part A 2021, 56, 394–412. [Google Scholar] [CrossRef]
- Rai, D.; Sinha, S. Impact of different anode materials on electro-Fenton process and tannery wastewater treatment using sequential electro-Fenton and electrocoagulation. Chemosphere 2023, 336, 139225. [Google Scholar] [CrossRef]
- Comisión Nacional del Medio Ambiente (CONAMA). Guía Para el Control y Prevención de la Contaminación Industrial en la Industria Procesadora de Frutas y Hortalizas; Corporación de Investigación Tecnológica INTECCHILE: Santiago, Chile, 1998; p. 51. Available online: https://metadatos.mma.gob.cl/sinia/C2020GUI3.pdf (accessed on 16 May 2024).
- Nancharaiah, Y.; Sarvajith, M.; Mohan, T. Aerobic Granular Sludge: The Future of Wastewater Treatment. Curr. Sci. 2019, 117, 395. [Google Scholar] [CrossRef]
- Setianingsih, N.; Hadiyanto, N.; Budihardjo, M.; Yuliasni, R.; Vistanty, H.; Budiono, N.; Sudarno, N.; Warsito, B. Effective Sludge Activation in A Sequencing Batch Reactor (SBR) Towards Aerobic Granular Sludge (AGS) Technology. Desalination Water Treat 2024, 320, 100774. [Google Scholar] [CrossRef]
- Benavides, J.; Vuono, M.; Dionisi, D. Model-based comparison of sequencing batch reactors and continuous-flow activated sludge processes for biological wastewater treatment. Comput. Chem. Eng. 2021, 144, 107–127. [Google Scholar]
- Nilesh, T.; Nitin, C.; Pavan, R. An Introduction to Biological Treatment and Successful Application of the Aqua EMBR System in Treating Effluent Generated from a Chemical Manufacturing Unit: A Case Study. In Industrial Wastewater Treatment, Recycling and Reuse; Ranade, V., Bhandari, V., Eds.; Butterworth-Heinemann: London, UK, 2014; pp. 1–560. [Google Scholar]
- Mahvi, A. Sequencing batch reactor: A promising technology in wastewater treatment. Iran. J. Environ. Health Sci. Eng. 2008, 5, 79–90. [Google Scholar]
- Askari, S.; Giri, B.; Basheer, F.; Izhar, T.; Ahmad, S.; Mumtaz, N. Enhancing Sequencing Batch Reactors for Efficient Wastewater Treatment across Diverse Applications: A Comprehensive Review. Environ. Res. 2024, 20, 119656. [Google Scholar] [CrossRef]
- Shahandeh, N.; Yengejeh, R. Efficiency of SBR Process with a Six Sequence Aerobic-Anaerobic Cycle for Phosphorus and Organic Material Removal from Municipal Wastewater. Iran. J. Toxicol. 2018, 12, 27–32. [Google Scholar] [CrossRef]
- Carrasquero, S.; Díaz, A. Tratamiento de efluentes de la matanza de cerdos por remoción de nitrógeno y fósforo usando reactores biológicos secuenciales. Tecnol. Cienc. Agua. 2025, 16. [Google Scholar] [CrossRef]
- Aziz, A.; Basheer, F.; Sengar, A.; Irfanullah, N.; Khan, S.; Farooqi, I. Biological wastewater treatment (anaerobic-aerobic) technologies for safe discharge of treated slaughterhouse and meat processing wastewater. Sci. Total Environ. 2019, 686, 681–708. [Google Scholar] [CrossRef]
- Carrasquero, S.; Núñez, D.; Piñango, L.; González, G. Eficiencia de un tratamiento aeróbico para la remoción de origen textil usando reactores biológicos. Rev. Gest. Socioambiental 2024, 18, e05506. [Google Scholar]
- Işık, M.; Sponza, D. Anaerobic/aerobic treatment of a simulated textile wastewater. Sep. Purif. Technol. 2008, 60, 64–72. [Google Scholar] [CrossRef]
- Zhao, C.; Chen, E. A review for tannery wastewater treatment: Some thoughts under stricter discharge requirements. Environ. Sci. Pollut. Res. 2019, 26, 102–111. [Google Scholar] [CrossRef]
- Rasheed, A.; Dionisi, D. Experimental Study on the Biotreatability of Wastewaters from Food Processing Industries in Aerobic Sequencing Batch Reactors. Niger. Res. J. Eng. Environ. Sci. 2020, 5, 15–28. [Google Scholar]
- Hemalatha, M.; Srava, J.; Kumar, D.; Mohan, S. Integrated ecotechnology approach towards treatment of complex wastewater with simultaneous bioenergy production. Bioresour. Technol. 2017, 242, 60–67. [Google Scholar] [CrossRef]
- Karaca, S.; Yagci, N.; Randall, C. Polyhydroxyalkanoate production using enriched biomass and acidogenic fermentation products of dairy wastewater and organic food waste. Desalination Water Treat. 2020, 215, 388–397. [Google Scholar] [CrossRef]
- Conley, K.; Clum, A.; Deepe, J.; Lane, H.; Beckingham, B. Wastewater treatment plants as a source of microplastics to an urban estuary: Removal efficiencies and loading per capita over one year. Water Res. X 2019, 3, 100030. [Google Scholar] [CrossRef]
- American Public Health Association (APHA); American Water Works Association (AWWA); Water Environment Federation (WEF). Standard Methods for the Examination of Water and Wastewater, 24th ed.; American Public Health Association Press: Washington, DC, USA, 2022; pp. 1–1516. [Google Scholar]
- Dindaş, G.; Çalışkan, Y.; Çelebi, E.; Tekbaş, M.; Bektaş, N.; Yatmaz, H. Sequential Treatment of Food Industry Wastewater by Electro-Fenton and Electrocoagulation Processes. Int. J. Electrochem. Sci. 2018, 13, 12349–12359. [Google Scholar] [CrossRef]
- Freytez, E.; Romance, A.; Pire, M.; Guevara, E. Calibration of model for the utilization rate of organic and nitrogenated substrates by the microorganism in a sequencing batch reactor. Environ. Qual. Manag. 2021, 31, 355–368. [Google Scholar] [CrossRef]
- DiIaconi, C.; Lopez, A.; Ramadorai, R.; Di Pinto, R. Combined Chemical and Biological Degradation of Tannery Wastewater by a Periodic Submerged Filter (SBBR). Water Res. 2002, 36, 2205–2214. [Google Scholar] [CrossRef] [PubMed]
- Uygur, A. Specific nutrient removal rates in saline wastewater treatment using sequencing batch reactor. Process Biochem. 2006, 41, 61–66. [Google Scholar] [CrossRef]
- Park, J.; Wang, J.; Novotny, G. Wastewater characterization for evaluation of biological phosphorus removal. Res. Rep. 1997, 174, 1–26. [Google Scholar]
- Puig, S.; Corominas, L.; Balaguer, M.; Colprim, J. Biological nutrient removal by applying SBR technology in small wastewater treatment plants: Carbon source and C/N/P ratio effects. Water Sci. Technol. 2007, 55, 135–141. [Google Scholar] [CrossRef]
- Carrasquero, S.; González, A.; Colina, G.; Díaz, A. Efecto de la adición de macronutrientes sobre la tratabilidad de un efluente de una procesadora de hortalizas. Rev. Arbitr. Venez. Núcleo LUZ-Costa Orient. Lago 2018, 13, 91–103. [Google Scholar]
- Mekonnen, A.; Leta, S. Effects of cycle and fill period length on the performance of a single sequencing batch reactor in the treatment of composite tannery wastewater. Nat. Sci. 2011, 9, 1–8. [Google Scholar]
- Louvet, J.; Homeky, B.; Casellas, M.; Pons, M.; Dagot, C. Monitoring of slaughterhouse wastewater biodegrada- tion in an SBR using fluorescence and UV–Visible absorbance. Chemosphere 2013, 91, 648–655. [Google Scholar] [CrossRef]
- Sun, L.; Wan, S.; Yu, Z.; Wang, Y.; Wang, S. Anaerobic biological treatment of high strength cassava starch wastewater in a new type up-flow multistage anaerobic reactor. Bioresour. Technol. 2012, 104, 208–288. [Google Scholar] [CrossRef]
- Leifeld, V.; Takashina, T.; Zeni, J.; Ribeiro, M.; Igarashi, L. Sequential coagulation treatment and processes based on ozone (O3, O3/UV, O3/UV/H2O2) for remediation of agrofood industrial wastewater. Desalination Water Treat. 2018, 106, 80–89. [Google Scholar] [CrossRef]
- Ma, J.; Wu, S.; Shekhar, N.; Biswas, S.; Sahu, A. Determination of Physicochemical Parameters and Levels of Heavy Metals in Food Wastewater with Environmental Effects. Bioinorg. Chem. Appl. 2020, 8886093. [Google Scholar] [CrossRef] [PubMed]
- Decree 883. Normas Para la Clasificación y el Control de la Calidad de los Cuerpos de Agua y Vertidos o Efluentes Líquidos. 1995. Available online: https://www.fao.org/faolex/results/details/es/c/LEX-FAOC174040/ (accessed on 12 April 2024).
- Leifeld, V.; Dos Santos, T.P.M.; Zelinski, D.W.; Igarashi-Mafra, L. Ferrous ions reused as catalysts in Fenton-like reactions for remediation of agro-food industrial wastewater. J. Environ. Manag. 2018, 222, 284–292. [Google Scholar] [CrossRef]
- Ganesh, R.; Balaji, G.; Ramanujam, A. Biodegradation of tannery wastewater using sequencing batch reactor—Respirometric assessment. Bioresour. Technol. 2006, 97, 1815–1821. [Google Scholar] [CrossRef]
- Yong, Z.; Bashir, M.; Ng, C.; Sethupathi, S.; Lim, J. A sequential treatment of intermediate tropical landfill leachate using a sequencing batch reactor (SBR) and coagulation. J. Environ. Manag. 2018, 205, 244–252. [Google Scholar] [CrossRef]
- Rashid, N.; Pradhan, S.; Mackey, H. Sustainability of wastewater treatment. In Petroleum Industry Wastewater Advanced and Sustainable Treatment Methods; El-Naas, M., Banerjee, A., Eds.; Elsevier: Amsterdam, The Netherlands, 2022; pp. 223–248. [Google Scholar]
- Boursier, H.; Béline, F.; Paul, E. Piggery wastewater characterization for biological nitrogen removal process design. Bioresour. Technol. 2005, 96, 351–358. [Google Scholar] [CrossRef]
- Andreottola, G.; Bortone, G.; Tilche, A. Experimental validation of a simulation and design model for nitrogen removal in sequencing batch reactors. Water Sci. Technol. 1997, 35, 113–120. [Google Scholar] [CrossRef]
- Xu, Y.; Chen, T.; Cui, F.; Shi, W. Effect of reused alum-humic-flocs on coagulation performance and floc characteristics formed by aluminum salt coagulants in humic-acid water. Chem. Eng. J. 2006, 287, 225–232. [Google Scholar] [CrossRef]
- Durruty, I.; Zaritzky, N.; González, J. Kinetic studies on the anaerobic degradation of soluble and particulate matter in potato wastewater. Biosyst. Eng. 2012, 111, 195–205. [Google Scholar] [CrossRef]
- Senturk, E.; Ince, M.; Onkal, G. Treatment efficiency and VFA composition of a thermophilic anaerobic contact reactor treating food industry wastewater. J. Hazard. Mater. 2009, 176, 843–848. [Google Scholar] [CrossRef]
- Vavilin, V.A.; Fernandez, B.; Palatsi, J.; Flotats, X. Hydrolysis kinetics in anaerobic degradation of particulate organic material: An overview. Waste Manag. 2008, 28, 939–951. [Google Scholar] [CrossRef] [PubMed]
- Płuciennik, E.; Jakubaszek, A.; Myszograj, S.; Uszakiewicz, S. COD Fractions in Mechanical-Biological Wastewater Treatment Plant. Civ. Environ. Eng. Rep. 2017, 24, 207–217. [Google Scholar] [CrossRef]
- Adel, S.; Ibrahim, W.; Fayed, M.; Aly, S. Evaluation of the performance of sequencing batch reactor and bio-film sequencing batch reactor for pulp and paper wastewater treatment. Desalination Water Treat. 2020, 208, 136–147. [Google Scholar] [CrossRef]
- Struk, J.; Rodziewicz, J.; Mielcarek, A. Effect of dairy wastewater on changes in COD fractions in technical-scale SBR type reactors. Water Sci. Technol. 2017, 1, 156–169. [Google Scholar]
- Palmero, J.; Pire, M.; Hernández, J.; López, F.; Rincón, N.; Díaz, A. Fraccionamiento de la materia orgánica de un agua residual de la industria avícola para la remoción biológica de nutrientes. Bol. Cent. Investig. Biol. 2009, 43, 211–224. [Google Scholar]
- Palma, M.; Manga, J. Simulación de un Sistema de fangos activados en discontinuo (SBR) para el tratamiento de aguas residuales con altos contenidos de nitrógeno. Ing. Desarro. 2005, 2, 61–71. [Google Scholar]
- Contreras, E.; Bertola, N.; Zaritzky, N. The application of different techniques to determine activated sludge kinetic parameters in a food industry wastewater. Water SA 2001, 27, 169–176. [Google Scholar] [CrossRef]
- Van Loosdrecht, M.; Ekama, G.; López, C.; Meijer, S.; Hooimans, C.; Brdjanovic, D. Modelling activated sludge processes. In Biological Wastewater Treatment Principles, Modelling and Design, 2nd ed.; Chen, G., Van Loosdrecht, M., Ekama, G., Brdjanovic, D., Eds.; IWA Publishing: London, UK, 2023; pp. 613–652. [Google Scholar]
- Munz, G.; Gori, R.; Cammilli, L.; Lubello, C. Characterization of tannery wastewater and biomass in a membrane bioreactor using respirometric analysis. Bioresour. Technol. 2008, 99, 8612–8618. [Google Scholar] [CrossRef]
- Herrera, L.; Flores, P.; Mejías, P.; Vargas, L.; Cardenas, C.; Araujo, I.; Del Villar, N.; Delgado, J. Tratamiento de aguas residuales domésticas para su potencial reutilización industrial. Bol. Cent. Investig. Biol. 2014, 48, 101–114. [Google Scholar]
- Gürtekin, E. Effect of influent c/p ratio on biological phosphorus removal in anaerobic/anoxic sequencing batch reactor. Int. J. Acad. Res. 2011, 3, 89–92. [Google Scholar]
- Kargi, F.; Uygur, A. Nutrient removal performance of a five-step sequencing batch reactor as a function of wastewater composition. Process Biochem. 2003, 38, 1039–1045. [Google Scholar] [CrossRef]
- Roy, D.; Hassan, K.; Boopathy, R. Effect of carbon to nitrogen (C:N) ratio on nitrogen removal from shrimp production waste water using sequencing batch reactor. J. Ind. Microbiol. Biotechnol. 2010, 37, 1105–1110. [Google Scholar] [CrossRef] [PubMed]
- Garzón, M. Mecanismos no convencionales de transformación y remoción del nitrógeno en sistemas de tratamiento de aguas residuales. Ing. Hidraul. Méx. 2005, 20, 137–149. [Google Scholar]
- Pire, M.; Palmero, J.; Araujo, I.; Díaz, A. Tratabilidad del efluente de una tenería usando un reactor por carga secuencial (SBR). Rev. Científica 2010, 20, 284–292. [Google Scholar]
- Lefebvre, O.; Vasudevan, N.; Torrijos, M.; Thanasekaran, K.; Moletta, R. Halophilic biological treatment of tannery soak liquor in a sequencing batch reactor. Water Res. 2005, 39, 1471–1480. [Google Scholar] [CrossRef]
- Louzeiro, N.; Mavinic, D.; Oldham, W.; Meisen, A.; Gardner, I. Methanol induced biological nutrient removal kinetics in a full scale sequenting bact reactor. Water Res. 2002, 36, 2721–2732. [Google Scholar] [CrossRef]
- Niero, L.; Morgan-Sagastume, F.; Pelkonen, M.; Lagerkvist, A. Short hydraulic retention time in methane production from sewage sludge hydrolysate using anaerobic moving-bed biofilm reactors (AnMBBR) under thermophilic and mesophilic conditions. J. Environ. Chem. Eng. 2024, 12, 113766. [Google Scholar] [CrossRef]
- Díaz, A.; Peña, M.; Escalera, M.; Carrasquero, S.; López, F. Remoción de nitrógeno en efluentes de una industria camaronera utilizando un reactor por carga secuencial. Ciencia 2012, 20, 79–89. [Google Scholar]
- Budiastuti, H.; Nurazizah, A.; Apriyanti, F.; Sudarman, R.; Ramadhani, L.; Pullammanappalil, P. Treatment and Handling of Hydraulic Shock Load of Urea Fertilizer Wastewater in Sequencing Batch Reactor. Curr. J. Int. J. Appl. Technol. Res 2024, 5, 18–30. [Google Scholar] [CrossRef]
- Tewari, P.; Singh, R.; Batra, V.; Balakrishnan, M. Membrane bioreactor (MBR) for wastewater treatment: Filtration performance evaluation of low cost polymeric and ceramic membranes. Sep. Purif. Technol. 2010, 71, 200–204. [Google Scholar] [CrossRef]
- Valderrama, C.; Ribera, G.; Bahí, N.; Rovira, M.; Giménez, T.; Nomen, R.; Lluch, S. Winery wastewater treatment for water reuse purpose: Conventional activated sludge versus membrane bioreactor (MBR). A comparative case study. Desalination 2012, 306, 1–7. [Google Scholar] [CrossRef]
- Khan, N.; Khan, S.; Islam, D.; Ahmed, S.; Farooqi, I.; Isa, M.; Hussain, A.; Changani, F.; Dhingra, A. Performance evaluation of column-SBR in paper and pulp wastewater treatment: Optimization and bio-kinetics. Desalination Water Treat. 2019, 156, 204–219. [Google Scholar] [CrossRef]
- Vázquez, C.; Méndez, G.; García, H.; Carrillo, F. Tratamiento biológico de aguas residuales: Principios, modelación y diseño. Water Intell. Online 2017, 16, 9781780409146. [Google Scholar] [CrossRef]
- Carrasquero, S.; Pire, M.; Rincón, N.; Mas y Rubí, M.; Colina, G.; Díaz, A. Remoción de nutrientes en efluentes de tenerías utilizando un reactor por carga secuencial (SBR). Ciencia 2013, 21, 131–142. [Google Scholar]
- Akin, B.; Ugurlu, A. Monitoring and control of biological nutrient removal in a Sequencing Batch Reactor. Process Biochem. 2005, 40, 2873–2878. [Google Scholar] [CrossRef]
- He, Y.; Xu, P.; Li, C.; Zhang, B. High-concentration food wastewater treatment by anaerobic membrane bioreactor. Water Res. 2005, 39, 4110–4118. [Google Scholar] [CrossRef]
- Li, B.; Irvin, S. The comparison of alkalinity and ORP as indicators for nitrification and denitrification in a sequencing batch reactor (SBR). Biochem. Eng. J. 2007, 34, 248–255. [Google Scholar] [CrossRef]
- Carrasquero, S.; Pire, M.; Rincón, N.; Díaz, A. Monitoreo de la remoción biológica de nitrógeno en efluentes de tenerías usando un reactor por carga secuencial. Ing. Investig. Tecnol. 2017, 15, 287–298. [Google Scholar]










| Parameter | Method No. (APHA et al.) [33] | Method Type |
|---|---|---|
| BOD | 5210 | Potentiometric |
| TCOD | 5220 | Volumetric method (closed reflux) for chloride concentrations ≤ 2000 mg/L |
| SCOD 1 | 5220 | Volumetric method (closed reflux) for chloride concentrations ≤ 2000 mg/L |
| PCOD 2 | --- | --- |
| TKN | 4500-Norg-B | Volumetric |
| N-NH4+ | 4500-NH3-D | Volumetric |
| Organic N 3 | --- | --- |
| NO2− | 4500-NO2−-B | Colorimetric |
| NO3− | 4500-NO3−-B | Colorimetric |
| TN 4 | --- | --- |
| TP | 4500-P-C | Colorimetric |
| P-PO43− | 4500-P-C | Colorimetric |
| Cl− | 4500 Cl−-B | Argentometric |
| pH | 4500 H+-B | Potentiometric |
| Total alkalinity | 2320-B | Volumetric |
| Total acidity | 2310-B | Volumetric |
| Color | 2120-C | Colorimetric |
| Turbidity | 2130-B | Nephelometric |
| TSSs (total suspended solids) | 2540-D | Gravimetric |
| VSSs (volatile suspended solids) | 2540-E | Gravimetric |
| SSs (settleable solids) | 2540-F | Volumetric |
| Parameter | SBR |
|---|---|
| Operational Cycle Time (OCT) (h) | 8 |
| Filling Time (h) | 0.25 |
| Operational Sequence (OS) | Ae 1 |
| Filling Type | Static |
| Sedimentation (h) | 0.5 |
| Discharge (h) | 0.25 |
| Sludge Retention Time (SRT) (d) | 15 |
| Hydraulic Retention Time (HRT) (h) | 11.4 |
| Parameter | T1 | T2 | T3 | T4 | T5 | T6 |
|---|---|---|---|---|---|---|
| SRT (d) | 15 | 15 | 15 | 25 | 25 | 25 |
| OCT (h) | 6 | 8 | 10 | 6 | 8 | 10 |
| HRT (h) | 8.6 | 11.4 | 14.3 | 8.6 | 11.4 | 14.3 |
| Parameter | Unit of Expression | Value (Mean ± SD) | Maximum Established Limits 1 [46] |
|---|---|---|---|
| BOD | mg/L | 819 ± 325 | 60 |
| TCOD | mg/L | 1197 ± 326 | 350 |
| SCOD | mg/L | 695 ± 123 | - |
| PCOD | mg/L | 502 ± 215 | - |
| Total Kjeldahl Nitrogen (TKN) | mg/L | 13.1 ± 3.9 | - |
| N-NH4+ | mg/L | 8.4 ± 2.1 | - |
| N-NO2− + N-NO3− | mg/L | ND | 10 |
| Total Nitrogen (TN) | mg/L | 13.1 ± 3.9 | 40 |
| Total Phosphorus (TP) | mg/L | 6.3 ± 1.9 | 10 |
| P-PO43− | mg/L | 4.8 ± 0.2 | - |
| Chloride (Cl−) | mg/L | 138 ± 0.72 | 1000 |
| pH | - | 5.48 ± 0.54 | 6–9 |
| Total Alkalinity | mg CaCO3/L | 44 ± 7 | - |
| Total Acidity | mg/L | 854 ± 200 | - |
| Color | UC Pt-Co | 113 ± 71 | 500 |
| Turbidity | NTU | 83 ± 23 | - |
| Sedimentable Solids (SSs) | mL/L | 2.87 ± 1.33 | 1 |
| Total Suspended Solids (TSSs) | mg/L | 828 ± 153 | 80 |
| Volatile Suspended Solids (VSSs) | mg/L | 245 ± 10 | - |
| Total Solids (TSs) | mg/L | 3182 ± 857 | - |
| BOD/TCOD | - | 0.68 | - |
| TCOD/N-NH4+/P-PO43− | - | 100/0.67/0.40 | - |
| TBCOD | TNBCOD | EBCOD | SBCOD | SNBCOD | PNBCOD | TCOD | |
|---|---|---|---|---|---|---|---|
| TNBCOD | 0.359 | ||||||
| p | 0.279 | ||||||
| EBCOD | 0.913 ** | 0.351 | |||||
| p | 0.001 | 0.29 | |||||
| SBCOD | 0.635 * | 0.139 | 0.272 | ||||
| p | 0.036 | 0.684 | 0.418 | ||||
| SNBCOD | −0.005 | 0.283 | −0.364 | 0.650 * | |||
| p | 0.989 | 0.4 | 0.271 | 0.031 | |||
| PNBCOD | 0.391 | 0.713 * | 0.611 * | −0.29 | −0.427 | ||
| p | 0.253 | 0.014 | 0.046 | 0.388 | 0.19 | ||
| TCOD | 0.984 ** | 0.518 | 0.903 ** | 0.608 * | 0.049 | 0.493 | |
| p | 0.001 | 0.103 | 0.001 | 0.047 | 0.887 | 0.123 | |
| SCOD | 0.582 | 0.486 | 0.591 | 0.244 | 0.134 | 0.352 | 0.625 * |
| p | 0.061 | 0.13 | 0.056 | 0.469 | 0.694 | 0.288 | 0.04 |
| Variable (mg/L) | Phase | T1 (Mean ± SD) | T2 (Mean ± SD) |
|---|---|---|---|
| TCOD | Input | 1158 ± 160 | 955 ± 181 |
| Output | 232 ± 31.0 | 265 ± 54.0 | |
| SCOD | Input | 764 ± 95.0 | 626 ± 122 |
| Output | 174 ± 24.0 | 149 ± 42.0 | |
| BOD | Input | 719 ± 160 | 764 ± 146 |
| Output | 66 ± 14.0 | 84 ± 27 | |
| TCOD Removal (%) | 79.6 ± 3.50 a | 78.7 ± 6.30 a | |
| SCOD Removal (%) | 77.3 ± 1.20 a | 76.3 ± 6.70 a | |
| BOD Removal (%) | 90.5 ± 2.60 a | 88.9 ± 3.30 a | |
| Variable (mg/L) | Phase | T1 (Mean ± SD) | T2 (Mean ± SD) |
|---|---|---|---|
| TKK | Input | 10.0 ± 1.5 | 20.8 ± 2.2 |
| Output | 7.5 ± 0.9 | 8.5 ± 5.1 | |
| N-NH4+ | Input | 7.5 ± 1.1 | 15.6 ± 3.03 |
| Output | 5.4 ± 0.6 | 5.6± 3.4 | |
| N-NO2− | Input | ND | ND |
| Output | ND | 0.84 ± 0.57 | |
| N-NO3− | Input | ND | ND |
| Output | ND | 5.50 ± 3.10 | |
| NTK removal (%) | 23.0 ± 15.6 b | 60.2 ± 21.9 a | |
| N-NH4+ removal (%) | 25.2 ± 15.7 b | 63.3 ± 21.4 a | |
| Tr | pH | T (°C) | OVL | MLSST | MLVSS | DO | |
|---|---|---|---|---|---|---|---|
| Input | Output | Kg COD/(m3.day) | (mg/L) | (mg/L) | (mg/L) | ||
| T1 | 7.37 ± 0.19 | 8.32 ± 0.12 | 27.5 ± 0.5 | 3.59 a ± 0.51 | 3340 ± 590 | 2270 ± 480 | 3.1 ± 0.5 |
| T2 | 7.31 ± 0.56 | 8.00 ± 0.39 | 28.5 ± 0.9 | 2.16 c ± 0.06 | 3630 ± 184 | 2930 ± 184 | 3.5 ± 0.8 |
| T3 | 7.58 ± 0.10 | 8.12 ± 0.47 | 29.2 ± 0.7 | 1.94 c,d ± 0.15 | 3930 ± 387 | 2750 ± 332 | 3.2 ± 0.4 |
| T4 | 7.02 ± 0.08 | 6.73 ± 0.10 | 28.2 ± 0.3 | 2.50 b ± 0.14 | 3813 ± 580 | 2740 ± 258 | 3.7 ± 0.3 |
| T5 | 7.57 ± 0.15 | 6.60 ± 0.12 | 28.5 ± 0.3 | 2.15 c ± 0.10 | 3630 ± 484 | 2670 ± 221 | 3.5 ± 0.2 |
| T6 | 7.08 ± 0.18 | 6.63 ± 0.15 | 28.7 ± 0.7 | 1.83 d ± 0.11 | 2940 ± 532 | 2600 ± 201 | 3.1 ± 0.9 |
| Treatment | TCOD (mg/L) | % COD Removal (%) | Organic Matter Removal Rate (mg COD/(L.h)) | Specific Organic Matter Removal Rate | ||
|---|---|---|---|---|---|---|
| Inlet | End of Filling | Outlet | (mg COD/mg VSS.h) | |||
| T1 | 1283 ± 83 | 898 ± 178 | 278 ± 60 | 77.9 ± 5.7 b,c | 167.5 ± 32.7 a | 0.074 ± 0.015 a |
| T2 | 1028 ± 29 | 999 ± 28 | 171 ± 54 | 83.4 ± 5.3 a,b | 107.2 ± 7.9 b,c | 0.037 ± 0.003 b |
| T3 | 1156 ± 88 | 1077 ± 82 | 174 ± 53 | 84.8 ± 4.9 a | 98.2 ± 10.6 b,c | 0.036 ± 0.004 b |
| T4 | 894 ± 50 | 831 ± 65 | 217 ± 22 | 75.9 ± 6.4 c | 112.8 ± 9.3 b | 0.041 ± 0.004 b |
| T5 | 1025 ± 50 | 953 ± 78 | 173 ± 52 | 83.2 ± 5.1 a,b | 106.5 ± 8.1 b,c | 0.040 ± 0.003 b |
| T6 | 1087 ± 67 | 1010 ± 51 | 184 ± 35 | 83.1 ± 4.7 a,b | 90.6 ± 7.9 c | 0.035 ± 0.003 b |
| Variable (mg/L) | Phase | T1 | T2 | T3 | T4 | T5 | T6 |
|---|---|---|---|---|---|---|---|
| Inlet | 669 ± 203 | 649 ± 175 | 659 ± 155 | 754 ± 200 | 707 ± 142 | 683 ± 155 | |
| BOD | End of filling | 549 ± 165 | 506 ± 136 | 527 ± 124 | 603 ± 52 | 625 ± 90 | 560 ± 58 |
| Outlet | 82 ± 14 | 49 ± 9 | 50 ± 14 | 81 ± 28 | 48 ± 10 | 55 ± 8 | |
| BOD removal (%) | 87.0 ± 3.2 c | 92.0 ± 2.3 a,b | 91.9 ± 3.1 a,b | 88.6 ± 3.1 b,c | 92.19 ± 2.0 a | 91.7 ± 1.7 a,b | |
| Variable (mg/L) | Phase | T1 | T2 | T3 | T4 | T5 | T6 |
|---|---|---|---|---|---|---|---|
| TN | Inlet | 11.5 ± 1.1 | 11.5 ± 0.4 | 11.4 ± 0.6 | 11.7 ± 1.1 | 11.9 ± 1.4 | 11.8 ± 1.2 |
| Outlet | 8.3 ± 0.4 | 9.8 ± 0.8 | 8.4 ± 1.1 | 7.8 ± 0.2 | 7.9 ± 0.5 | 7.4 ± 0.7 | |
| TKN | Inlet | 11. 4 ± 1.1 | 11.5 ± 0.4 | 11.4 ± 0.6 | 11.7 ± 1.1 | 11.9 ± 1.4 | 11.8 ± 1.2 |
| Oulet | 8.3 ± 0.4 | 9.0 ± 0.8 | 9.7 ± 0.4 | 5.2 ± 0.7 | 4.2 ± 0.5 | 4.8 ± 0.7 | |
| N-NH4+ | Inlet | 9.1 ± 0.7 | 10.3 ± 0.2 | 9.8 ± 0.8 | 9.8 ± 0.5 | 10.5 ± 0.3 | 9.2 ± 0.4 |
| Oulet | 7.3± 0.6 | 8.0 ± 0.5 | 7.9 ± 0.3 | 4.4 ± 1.0 | 4.0 ± 1.0 | 3.8 ± 0.5 | |
| N-NOx− | Inlet | ND | ND | ND | ND | ND | ND |
| Outlet | ND | ND | ND | 2.60 ± 0.13 | 3.68 ± 0.65 | 2.63 ± 1.1 | |
| TKN removal (%) | 28.0± 5.9 c,d | 21.9 ± 5.4 d | 26.3 ± 7.0 c,d | 55.3 ± 2.3 b | 64.6± 4.7 a | 59.6 ± 6.4 a | |
| N-NH4+ removal (%) | 20.0± 6.7 c | 22.1 ± 3.2 c | 19.30 ± 4.8 c | 55.1 ± 1.8 b | 61.5± 3.0 a | 58.4 ± 5.6 a | |
| TN removal (%) | 28.0 ± 5.9 b,c | 21.9 ± 5.4 c | 26.3± 7.0 b,c | 33.1± 6.8 a,b | 33.6± 4.7 a,b | 37.2 ± 5.4 a | |
| Variable (mg/L) | Fase | T1 | T2 | T3 | T4 | T5 | T6 |
|---|---|---|---|---|---|---|---|
| TP | Inlet | 8.68 ± 0.68 | 8.29 ± 0.40 | 5.01 ± 0.31 | 4.69 ± 0.52 | 4.88 ± 0.58 | 4.89 ± 0.44 |
| Outlet | 6.61 ± 0.70 | 6.18 ± 0.24 | 3.61 ± 0.36 | 3.69 ± 0.32 | 3.81 ± 0.34 | 3.71 ± 0.24 | |
| Color (Pt-Co Units) | Inlet | 167 ± 22 | 134 ± 32 | 155 ± 26 | 91 ± 13 | 113 ± 17 | 89 ± 21 |
| Outlet | 47 ± 10 | 38 ± 15 | 43 ± 11 | 36 ± 13 | 35 ± 13 | 25 ± 9 | |
| Turbidity (NTU) | Inlet | 122.0 ± 25.60 | 75.8 ± 3.9 | 96.8 ± 27.9 | 91.6 ± 21.3 | 88.1 ± 16.9 | 87.6 ± 17.6 |
| Outlet | 19.4 ± 7.60 | 21.0 ± 4.24 | 31.4 ± 2.80 | 27.3 ± 2.80 | 18.5 ± 2.90 | 16.0 ± 3.40 | |
| TP removal (%) | 23.6 ± 7.0 a,b | 25.2 ± 5.1 a,b | 28.1 ± 3.4 a | 21.1 ± 6.5 b | 21.8 ± 5.1 a,b | 24.0 ± 3.8 a,b | |
| Color removal (%) | 71.6 ± 6.50 a | 70.6 ± 11.9 a | 72.3 ± 6.10 a | 60.1 ± 15.0 a | 68.6a ± 11.2 a | 70.5 ± 10.7 a | |
| Turbidity removal (%) | 83.3 ± 9.20 a | 72.2 ± 5.90 b,c,d | 64.4 ± 13.4 d | 67.7 ± 9.80 c,d | 78.3 ± 5.50 a,b,c | 81.1 ± 6.10 a,b | |
| Variable | Phase | T1 | T2 | T3 | T4 | T5 | T6 |
|---|---|---|---|---|---|---|---|
| pH | Inlet | 7.37 ± 0.19 | 7.31 ± 0.56 | 7.58 ± 0.10 | 7.02 ± 0.08 | 6.57 ± 0.15 | 7.08 ± 0.18 |
| Outlet | 8.32 ± 0.12 | 8.00 ± 0.39 | 8.12 ± 0.47 | 6.73 ± 0.10 | 6.60 ± 0.12 | 6.63 ± 0.15 | |
| Total alkalinity (mg CaCO3/L) | Inlet | 390 ± 83 | 204 ± 39 | 217 ± 61 | 211 ± 34 | 164 ± 16 | 189 ± 25 |
| Outlet | 402 ± 159 | 208 ± 40 | 290 ± 99 | 171 ± 38 | 115 ± 24 | 143 ± 31 |
Disclaimer/Publisher’s Note: The statements, opinions and data contained in all publications are solely those of the individual author(s) and contributor(s) and not of MDPI and/or the editor(s). MDPI and/or the editor(s) disclaim responsibility for any injury to people or property resulting from any ideas, methods, instructions or products referred to in the content. |
© 2025 by the authors. Licensee MDPI, Basel, Switzerland. This article is an open access article distributed under the terms and conditions of the Creative Commons Attribution (CC BY) license (https://creativecommons.org/licenses/by/4.0/).
Share and Cite
Carrasquero-Ferrer, S.; Pino-Rodríguez, J.; Díaz-Montiel, A. Sequencing Batch Reactor: A Sustainable Wastewater Treatment Option for the Canned Vegetable Industry. Sustainability 2025, 17, 818. https://doi.org/10.3390/su17030818
Carrasquero-Ferrer S, Pino-Rodríguez J, Díaz-Montiel A. Sequencing Batch Reactor: A Sustainable Wastewater Treatment Option for the Canned Vegetable Industry. Sustainability. 2025; 17(3):818. https://doi.org/10.3390/su17030818
Chicago/Turabian StyleCarrasquero-Ferrer, Sedolfo, Jean Pino-Rodríguez, and Altamira Díaz-Montiel. 2025. "Sequencing Batch Reactor: A Sustainable Wastewater Treatment Option for the Canned Vegetable Industry" Sustainability 17, no. 3: 818. https://doi.org/10.3390/su17030818
APA StyleCarrasquero-Ferrer, S., Pino-Rodríguez, J., & Díaz-Montiel, A. (2025). Sequencing Batch Reactor: A Sustainable Wastewater Treatment Option for the Canned Vegetable Industry. Sustainability, 17(3), 818. https://doi.org/10.3390/su17030818

