Next Article in Journal
Harnessing Industry 4.0 for SMEs: Advancing Smart Manufacturing and Logistics for Sustainable Supply Chains
Previous Article in Journal
Research on Cooperation Strategy Between Owner and Contractor of Prefabricated Building Based on Evolutionary Game Theory
 
 
Font Type:
Arial Georgia Verdana
Font Size:
Aa Aa Aa
Line Spacing:
Column Width:
Background:
Article

Numerical Simulation Analysis and Prevention Measures of Dynamic Disaster Risk in Coal Seam Variation Areas During Deep Mining

1
College of Resources, Shandong University of Science and Technology, Taian 271019, China
2
College of Safety and Environmental Engineering (College of Safety and Emergency Management), Shandong University of Science and Technology, Qingdao 266590, China
3
National Engineering Laboratory for Coalmine Backfilling Mining, Shandong University of Science and Technology, Taian 271019, China
4
College of Energy and Mining Engineering, Shandong University of Science and Technology, Qingdao 266590, China
*
Authors to whom correspondence should be addressed.
Sustainability 2025, 17(3), 810; https://doi.org/10.3390/su17030810
Submission received: 13 December 2024 / Revised: 29 December 2024 / Accepted: 4 January 2025 / Published: 21 January 2025
(This article belongs to the Topic Advances in Coal Mine Disaster Prevention Technology)

Abstract

Deep coal mining is essential for energy use and sustainable development. In a situation where coal–rock–gas dynamic disasters are prone to occur in coal seam variation areas affected by different degrees of roof angle during deep coal seam mining, a disaster energy equation considering the influence of roof elastic energy is established, and the disaster energy criterion considering the influence of roof elastic energy is derived and introduced into COMSOL6.1 software for numerical simulation. The results show that, compared with the simple change of coal thickness and coal strength, the stress concentration degree of a thick coal belt with small structure is higher, and the maximum horizontal stress can reach 47.6 MPa. There is a short rise area of gas pressure in front of the working face, and the maximum gas pressure reaches 0.82 MPa. The plastic deformation of the coal body in a small-structure thick coal belt is the largest, and the maximum value is 18.04 m3. The simulated elastic energy of rock mass is about one third of that of coal mass, and the influence of the elastic energy of roof rock on a disaster cannot be ignored. When the coal seam is excavated from thin to thick with a small-structural thick coal belt, the peak value of the energy criterion in front of the excavation face is the largest, and the maximum value is 1.42, indicating that a dynamic disaster can occur and the harm degree will be the greatest. It is easy to cause a coal and gas outburst accident when the excavation face enters a soft coal seam from a hard coal seam and a small-structural thick coal belt from a thin coal belt. Practice shows that holistic prevention and control measures based on high-pressure water jet slit drilling technology make it possible to increase the average pure volume of gas extracted from the drilled holes by 4.5 times, and the stress peak is shifted to the deeper part of the coal wall. At the same time, the use of encrypted drilling in local small tectonic thick coal zones can effectively attenuate the concentrated stress in the coal seam and reduce the expansion energy of gas. This study enriches our understanding of the mechanism of coal–rock–gas dynamic disaster, provides methods and a basis for the prevention and control of dynamic disaster in deep coal seam variation areas, and promotes the sustainable development of energy.

1. Introduction

With the deepening of coal mining in China, the interaction between gas-bearing coal and rock is evident in deep high-stress environments, and the probability of coal–rock–gas dynamic disasters affected by mining disturbance increases significantly, which seriously threatens the economic benefits and safety of coal mining [1,2,3,4,5]. A coal and gas outburst refers to the phenomenon of a large amount of coal and gas being suddenly and instantly thrown out from the coal–rock body around the mining space [6,7], and it is a typical type of mine gas power disaster encountered in underground coal mine production [8,9,10]. The initial failure of the coal gives the elastic energy accumulated in the roof a chance to be released, and the elastic energy of the roof has a certain influence on the development of the disaster [11,12]. The occurrence of coal and gas outbursts is inextricably linked to the internal energy of the gas, the state of the ground stress, and the physical and mechanical properties of the gas-containing coal [13,14,15]. It has been found that coal and gas outbursts mostly occur in the geological tectonic zone [16,17], and this zone is often the area where both the thickness of the coal seam and the strength of the coal seam change, and the stress, gas, and energy in the interior of the region show uneven distribution, making it very prone to coal–rock–gas dynamic disaster accidents [18]. For example, of the 17 power disaster accidents that occurred in the east first and second mining areas of Panyi Coal Mine in Anhui Province, 14 were located in and around the coal thickness variation zone [19]; Henan Pingdingshan Thirteen Mine’s “8.16” coal and gas hazardous accident occurred in the coal thickness variation area [20,21]; and more than 56% of the outburst accidents in Shanxi Hancheng Mine occurred in the range of coal thickness change area [22].
With regard to the coal–rock–gas dynamic disasters induced by geological formations, experts at home and abroad have mainly studied the disaster mechanism through numerical simulation. Zhao et al. [23] used FLAC numerical simulation software to study the distribution of support pressure and elastic strain energy under the variation of length and thickness in different coal thickness variations; Hao et al. [24] revealed the outburst mechanism of coal and gas outbursts from the mechanical perspective; Liu et al. [25] studied the mechanism of induced coal and gas outbursts in coal thickness change areas based on COMSOL simulation software; An et al. [26] and Zhao et al. [27] investigated the importance of gas expansion energy in coal and gas herniation; Zhao et al. [28] investigated the coal and gas outburst mechanism by multi-field coupling of the coal stress field, damage field, and gas flow field; Xu et al. [29] studied and analyzed the permeability distribution characteristics of coal seams; Chen et al. [30] investigated the spatial distribution of coal–rock stress and gas pressure during the coal seam mining process; and Shu et al. [31] and Zhou et al. [32] investigated the pore pressure evolution characteristics of coal seams under the influence of mining action. In order to explore the energy characteristics of the combined structure of roof and floor, Ma et al. [33] studied combined structures of roof and floor having different coal thickness through numerical simulation. Soleimani et al. [34] and Lei et al. [35] studied the mechanism of coal–rock–gas dynamic disasters from the perspective of energy balance.
It can be seen from the above that in the early studies, researchers mostly used FLAC numerical simulation software to study the generation mechanism of rock bursts in the coal thickness variation area only from the perspective of the stress and elastic energy of the coal body. However, recent studies tend to focus more on the real excavation environment. Therefore, in order to restore the real excavation environment of the deep roadway, gas action analysis in the coal seam is essential. Currently, although COMSOL software can evolve the gas flow in the simulation process, there is no in-depth research on the stress field, damage field, gas flow field, and energy distribution in the coal thickness variation area. In the deep environment of high ground stress, some roof rocks can accumulate a lot of elastic energy, and the release of roof elastic energy can accelerate the failure of coal mass and produce a stronger dynamic effect. Therefore, it is necessary and more reasonable to consider the influence of roof elastic energy release on the degree of disaster when studying deep roadway excavation. Based on COMSOL software, a gas–solid coupling model of gas-bearing coal–rock structures having double holes and cracks is constructed. The energy equation of a coal and gas outburst considering the influence of elastic energy of the roof is established, and the energy criterion is put forward. The angles of excavation under three different scenarios are as follows: constant coal thickness—change of coal strength, change of coal thickness—constant coal strength, and change of coal thickness—change of coal strength. The stress field, gas flow field, plastic failure zone, and energy evolution law of a coal seam variation zone are deeply studied, the mechanism of coal–rock–gas dynamic disaster in a coal thickness variation zone is discussed, and technical measures are put forward to prevent and control dynamic disasters in coal thickness variation zones by using high-pressure water jet cutting and drilling technology. The aim of this study is to explain the outburst excitation phenomenon of coal seam variation zones in the process of coal seam mining and provide theoretical support for outburst prevention.

2. Theoretical Model Construction

2.1. Ontological Equations for Gas-Bearing Coal Bodies

The effective stress equation for a gas-bearing coal body is given by [36,37]:
σ i j = σ i j 0 α f p f δ i j α m p m δ i j
where σij, σij0, pm, pf denote the stress tensor, effective stress tensor, matrix, and gas pressure in the fissure, respectively, MPa; αf, αm indicate the effective stress coefficient of the fracture and matrix.
The parameters K, Km, Ks, αf, αm in Equation (1) can be expressed as [38]:
K = E c o a l 3 1 2 ν , K m = E m 3 1 2 ν K s = E m 3 1 2 ν 9 ϕ m 1 υ / 2 α f = 1 K K m , α m = K K m K K s
where Ecoal, Em, v denote the coal modulus of elasticity, coal matrix modulus of elasticity, and coal Poisson’s ratio, respectively; K, Km, Ks denote the bulk modulus of the coal body, coal matrix, and coal skeleton, respectively, MPa.
The deformation control equations for a gas-containing coal body are as follows [39]:
G u i , i j + G 1 2 ν u j , j i α f p f , i α m p m , i ε b , i max s p m K δ i j p m + p c + F i = 0
where G, Fi denote the shear modulus of coal and the volumetric stress in the i-direction, respectively, MPa; ν denotes Poisson’s ratio; ε b m a x s denotes the adsorbed maximum volumetric strain; pc indicates the adsorption deformation pressure.

2.2. Criterion Equation for Coal Seam Yield Damage

The yield criterion for gas-bearing coal bodies is determined using the Drucker–Prager criterion:
F = sin φ 3 3 + sin 2 φ I 1 + 3 C cos φ 3 3 + sin 2 φ J 2 I 1 = σ 1 + σ 2 + σ 3 J 2 = 1 3 I 1 2 I 2 I 2 = σ 1 σ 2 + σ 2 σ 3 + σ 3 σ 1
where σ1, σ2, σ3 are the three effective ground stresses of the coal body, MPa.

2.3. Equation of Control for Gas Transportation in Coal Seams

Coal is a porous medium composed of a pore–fracture matrix. The matrix is divided by fissures, and most of the gas in coal is adsorbed in the matrix, a small portion being free in the fissures. The transportation of gas can be mainly divided into three parts: desorption, diffusion, and seepage [40,41]. Firstly, the coal surface will desorb the adsorbed gas, under the influence of the concentration difference; the desorbed gas will diffuse from the pores of the coal matrix to the coal fissures, the diffusion of gas being in accordance with Fick’s law of diffusion; and finally, the gas will seep from the coal fissures into the roadway, the seepage of gas being in accordance with Darcy’s law of seepage [42]. The coal seam gas transportation mechanism is shown in Figure 1.

2.3.1. The State of Gas Accumulation in Coal Seams

Gas in coal seams consists of fissure free gas, matrix-pore free gas, and matrix adsorbed gas.
The free gas concentration in the fissure system is calculated from the ideal gas equation of state as:
c f = M c R T p f
where Mc denotes the molar mass of methane, kg/mol; R denotes the ideal gas constant, J/(mol∙K); T expresses the temperature, K.
The mass of free gas per unit volume of coal is:
m f = ϕ f c f = ϕ f M c R T p f
The mass of adsorbed gas per unit volume of coal pore space is:
m m 1 = V L p m p m + P L ρ a M c V M
The mass of free gas per unit volume of coal pore space is:
m m 2 = ϕ m M c R T p m
The total gas mass per unit volume of coal matrix is [43]:
m m = V L p m p m + P L ρ a M c V M + ϕ m M c R T p m
where VL indicates the maximum adsorption capacity of the monolayer, kg; PL indicates the adsorption equilibrium pressure at which the adsorption amount is half of the maximum adsorption amount, MPa; ρa is the apparent density of coal, kg/m3; VM is the molar volume of methane in the standardized state, m3/mol; φm indicates matrix porosity; φf indicates the fracture ratio.

2.3.2. Gas Diffusion Control Equation

The flux equation for mass exchange between the coal matrix and the fissure system can be expressed as follows [44]:
Q s = D 3 π 2 M c L 2 R T p m p f
where D denotes the diffusion coefficient of the gas, m2/s; L is the fracture spacing, m.
According to the law of conservation of mass, it is known that the rate of mass exchange between the matrix and the fissure is equal to the amount of change in the mass of the matrix with respect to time, i.e.,:
p m t = M R T τ p m p f
Substituting Equation (10) into Equation (12), the matrix gas pressure control equation can be obtained as [45]:
p m t = V M p m p f p m + P L 2 τ V L R T P L ρ a + τ ϕ m V M p m + P L 2

2.3.3. Equation of Control for Gas Seepage

Gas flows slowly in coal seam fissures, and gas seepage conforms to Darcy’s law. Its mass conservation equation is:
ϕ f ρ f t = ρ f υ + Q s 1 ϕ f υ = k e μ p f
where υ is the gas seepage rate in the fissure, m/s; ke is the effective permeability of the coal seam, Md; μ is the gas dynamic viscosity coefficient, Pa∙s.
After finishing the equation of fissure gas, pressure versus time can be obtained as [46,47]:
ϕ f p f t + p f ϕ f t k μ p f p f 1 ϕ f p m p f τ = 0

2.4. Energy Equation and Criterion of Coal and Gas Outburst

As coal is a heterogeneous anisotropic medium, it is not comprehensive to analyze the dynamic disaster mechanism of coal, rock, and gas only from the mechanical mechanism. In essence, the process of coal and gas outburst is actually a process of energy accumulation, then transfer, and finally, release. We can understand the disaster process from the perspective of energy accumulation and energy dissipation [48].
Considering the influence of roof elastic energy, the elastic energy of coal, roof accumulation, and gas expansion energy in coal are defined as outburst kinetic energy. Crushing work, ejection work, heat energy, kinetic energy, and roof plastic deformation energy are defined as outburst energy. Therefore, the energy balance equation of coal and gas outburst considering the elastic energy of the roof is as follows [49,50,51,52]:
W c o a l + W r o c k + N = W 1 + W 2 + W 3
where Wcoal is the elastic energy of the coal body; Wrock is the rock mass elasticity; N is the gas expansion energy; W1 is the crushing power; W2 is the throwing function; W3 is the heat energy, plastic deformation energy of the roof, etc.
In order to simplify the analysis and calculation, only the crushing work is considered in this outburst energy consumption. When the outstanding kinetic energy is greater than the outstanding energy consumption, the coal will present an unstable risk. Therefore, this paper defines the ratio of outburst kinetic energy to outburst energy consumption as an energy criterion, and the outburst energy criterion E of coal and gas is:
E = W c o a l + W r o c k + N W 1

2.4.1. Elastic Energy of the Coal Body

The elastic strain energy of the coal body is approximated as:
W c o a l = σ 1 2 + σ 2 2 + σ 3 2 V p 2 E c o a l 2 ν c o a l V p σ 1 σ 2 + σ 1 σ 3 + σ 2 σ 3 2 E c o a l
where Ecoal indicates the modulus of elasticity of coal, MPa; νcoal indicates the Poisson’s ratio of the coal; Vp indicates the volume of the plastic damage zone, m3.

2.4.2. Elastic Energy of the Rock Mass

The derivation process for the elastic strain energy of roof rock is as follows.
Assume the elastic energy per unit volume of coal:
U c o a l = σ 2 2 E c o a l
Elastic energy of coal and rock:
U c o a l + r o c k = σ z 2 2 E z
where σz is the strength of coal and rock mass, Mpa.
When gas effects are considered, Ecoal is substituted by ΠEcoal, σ by τσ, and n by n/Π, where 0 < τ < 1 and 0 < Π < 1; let σz = τAσ, so that A ≥ 1.
The elastic modulus Ez of a coal and rock mass and the elastic modulus Ecoal of a coal body meet the following requirements:
E z = n m + 1 m + n / Π E c o a l
where 0 < Π < 1; m is the ratio of coal–rock thickness; n is the ratio of the modulus of elasticity of rock and coal.
The contribution rate of roof elasticity is:
β = m m + n
By combining Formulas (18)~(21), we can obtain:
U c o a l + r o c k = A 2 τ 2 m + n / Π n / Π σ 2 2 Π E c o a l = A 2 m + n / Π n / Π U c o a l 1 + m n / Π U c o a l
It can be concluded that:
U c o a l + r o c k U c o a l Π m n U c o a l
In summary, the roof rock increases the elastic energy of the system at least Πm/n times that of pure coal.
The elastic strain energy of the rock mass is approximated as:
W r o c k = Π m n W c o a l

2.4.3. Gas Expansion Energy

The gas stored in the coal seam mainly consists of free gas and adsorbed gas [53].
(1) Free state gas expansion energy
The expansion energy of free gas per unit volume of coal body is calculated by the following equation:
E g f r e = p a t m n 1 ϕ f p f p a t m n p f p a t m n 1 n 1 + p a t m n 1 ϕ m p m p a t m n p m p a t m n 1 n 1
where patm indicates atmospheric pressure, taking a value of 0.1 MPa; n retrieves a value 1.25.
(2) Expansion energy of gas in the adsorbed state
The adsorbed gas expansion per unit volume of the coal body can be:
E g a d s = ρ a p a t m n 1 6 D e π t a b p m 1 + b p m × p m p a t m n 1 n 1
So the total gas expansion energy is expressed as:
N = E g f r e + E g a d s V p

2.4.4. Work of Crushing Coal

The coal body crushing work equation can be expressed as:
W 1 = 84.57 f 0.86 s 1.22
where s indicates the new surface area of the coal body, m2; f indicates coefficient of robustness.
By substituting Equations (17), (24), (27), and (28) into Equation (16), the formula E of the coal and gas outburst energy criterion considering the elastic energy of the roof is as follows:
E = E g f r e + E g a d s V p + σ 1 2 + σ 2 2 + σ 3 2 V p 2 E c o a l 2 ν c o a l V p σ 1 σ 2 + σ 1 σ 3 + σ 2 σ 3 2 E c o a l 1 + Π m n 84.57 f 0.86 s 1.22
When the energy criterion E > 1, a coal outburst occurs in front of the roadway, and the greater the energy criterion E is, the greater the outburst damage is. When the energy criterion E < 1, the coal body in front of roadway does not protrude. When the energy criterion E = 1, the coal body in front of the roadway is in the limit equilibrium state, and the coal body is about to become unstable.

2.5. Multi-Physical Field Coupling Relations

In summary, Equations (3), (4), (12) and (14) can quantitatively characterize the spatio-temporal evolution law of the stress field, gas flow field, and plastic deformation field in the process of deep coal mining. These physical fields are coupled through the fracture rate and permeability governing equations, and the energy criterion governing Equation (29) is obtained by synthesizing various governing equations. The relevant parameters and governing equations were introduced into COMSOL software for numerical simulation, and the distribution of the leading abutment pressure, gas pressure, plastic failure zone, and law of energy evolution in the coal seam were discussed. The governing equations of each physical field and their mutual coupling relations are shown in Figure 2.

3. Numerical Simulation Analysis

3.1. Engineering Background

Dynamic disaster of coal–rock–gas in a coal mine in eastern China is taken as an example, and coal and gas outburst accidents mostly occur in the coal thickness variation area. In the 15-16-21110 working face, the coal seam thickness is 2.8–6.5 m, the gas pressure value is 1.4–1.7 MPa, the gas content is 6.5 m3/t~9.2 m3/t, and the coal seam inclination angle is 15° on average. The buried depth of the outburst site is about 625 m, the compressive strength of the coal body is 12.5 MPa, and the sandy mudstone above the coal seam is about 9.2 m thick.

3.2. Numerical Simulation Establishment

In this numerical simulation, the coal seam of the 15-16-21110 working face of a coal mine in eastern China is used as the prototype, and simplified modeling is carried out according to a certain proportion. The COMSOL multi-physics field coupling numerical software is used to numerically simulate the coal seam mining in the coal seam change zone, in which the solid mechanics module and the PDE module can solve the stress–strain relationship and the gas seepage and gas diffusion in the gas-containing coal–rock structure, respectively. Solid module: the top of the model applies a stress of 15 MPa; the bottom boundary is a fixed boundary; and the left-side, right-side, front-side, and back-side boundaries are roller boundaries. PDE module: the top, bottom, and right-side boundaries of the coal seam are zero-flow boundaries, and the roadway in the coal seam is a pressure boundary, having an absolute pressure of 0.1 MPa at atmospheric pressure and an initial gas pressure of 0.74 MPa in the coal seam. Monitoring lines are set in the center of the thin coal seam and in the rock at a distance of 1 m from the upper part of the coal seam, respectively, and the whole solving process adopts the steady state. Three different excavation scenario models were simulated. The geometric models and boundary conditions are shown in Figure 3 and Figure 4, and the model parameters were determined on the basis of ref. [47] and in combination with the engineering site, as shown in Table 1.
(1) Scenario 1: constant coal thickness—changing coal strength
The dimensions of the geometric model are x = 60 m, y = 22 m, z = 22 m; the top of the model is 8-meter-thick rock, the bottom of the model is 11.5-meter-thick rock, the middle of the model is 2.5-meter-thick coal seam, the deformed coal is 30 m~50 m, the height of the mining roadway is 2.5 m, the width is 3 m, and the horizontal cyclic excavation footage is 5 m.
(2) Scenario 2: changing coal thickness—constant coal strength
The dimensions of the geometric model are x = 60 m, y = 22 m, z = 22 m; the top of the model is 8-meter-thick rock, the bottom of the model is 8~11.5 m variable-thickness rock, the middle of the model is 2.5~6 m variable-thickness normal coal, the height of the mining roadway is 2.5 m, the width is 3 m, and the horizontal cyclic excavation footage is 5 m.
(3) Scenario 3: changing coal thickness—changing coal strength (referred to as the small-structural thick coal belt)
The dimensions of the geometric model are x = 60 m, y = 22 m, z = 22 m; the top of the model is 8-meter-thick rock, the bottom of the model is 8~11.5-meter-thick rock, the middle is 2.5~6-meter-thick coal seam, the deformed coal is 30 m~50 m, the height of the excavation roadway is 2.5 m, the width is 3 m, and the horizontal cyclic excavation footage is 5 m.

3.3. Numerical Simulation Results

3.3.1. Horizontal and Vertical Stress Distribution During Coal Seam Mining

Figure 5, Figure 6 and Figure 7 give the horizontal and vertical stress distribution patterns of the coal body in front of the face under three different excavation scenarios when the face is excavated to 5 m, 10 m, 20 m, 30 m, and 40 m. It can be seen from Figure 5 and Figure 7c that excavation will cause a stress concentration zone in a small area in front of the mining face, and the leading abutment pressure in this area is 15 MPa greater than the stress in the original rock. Before the stress concentration zone appears, it will pass through a pressure relief zone, where the leading abutment pressure is less than the stress in the original rock, and the stress after the stress concentration zone approaches to the stress in the original rock.
There is a certain vertical stress concentration area near the thin coal seam in the coal thickness variation zone. With the increase of the excavation distance, the vertical peak stress increases first and then decreases. When the coal seam is excavated from thin to thick to 30 m, the peak stress reaches the maximum value (32.2 MPa), and the maximum peak stress is located in the coal thickness variation area.
As can be seen from Figure 6 and Figure 7, horizontal stress has a similar distribution law to vertical stress and can also be divided into a pressure relief zone, stress concentration zone, and primary rock stress zone. It can be seen from Figure 7a,d that a sudden stress change occurs at the interface between normal coal and deformed coal. With the increase of the excavation distance, the horizontal peak stress under the three different working conditions shows a trend of first increase and then decrease, and the peak stress was the largest when the excavation reached 30 m. The maximum peak stress was 45.1 MPa in working condition 1, 42.5 MPa in working condition 2, and 47.6 MPa in working condition 3, the maximum peak stress being the largest in working condition 3.
The simulation results show that the closer the mining face is to the coal thickness variation area and the deformation area, the higher the peak value of horizontal and vertical stress is, and the outburst risk of working condition 3 is greater than that of working condition 1 and working condition 2.

3.3.2. Gas Pressure Distribution During Coal Seam Mining

For the distribution of gas pressure in cracks and in the matrix, the calculated results of the two models have little difference, but the matrix gas pressure is slightly higher than the fracture gas pressure. Due to the limited space, only the matrix gas pressure distribution cloud map as shown in Figure 8 is given. According to an analysis of Figure 8a–f, the distribution of the coal seam gas pressure in front of the working face is similar to that of the stress distribution, and it is also divided into a pressure relief area, concentration area, and original area. The gas pressure at the coal wall of the working face is much lower than the initial gas pressure due to the coal crushing and gas seepage in the matrix and cracks. With the increase of the distance between the coal body and the working face, the gas pressure increases and reaches the peak value of 0.82 MPa, exceeding the critical value of 0.74 MPa, and the more soft and thick the coal seams excavated, the larger the area of gas pressure above 0.74 MPa. The gas pressure in other areas in front of the mining face is the initial gas pressure. The matrix gas pressure did not change significantly except for a small area around the excavation face.

3.3.3. Distribution of Plastic Damage Zones During Coal Seam Mining

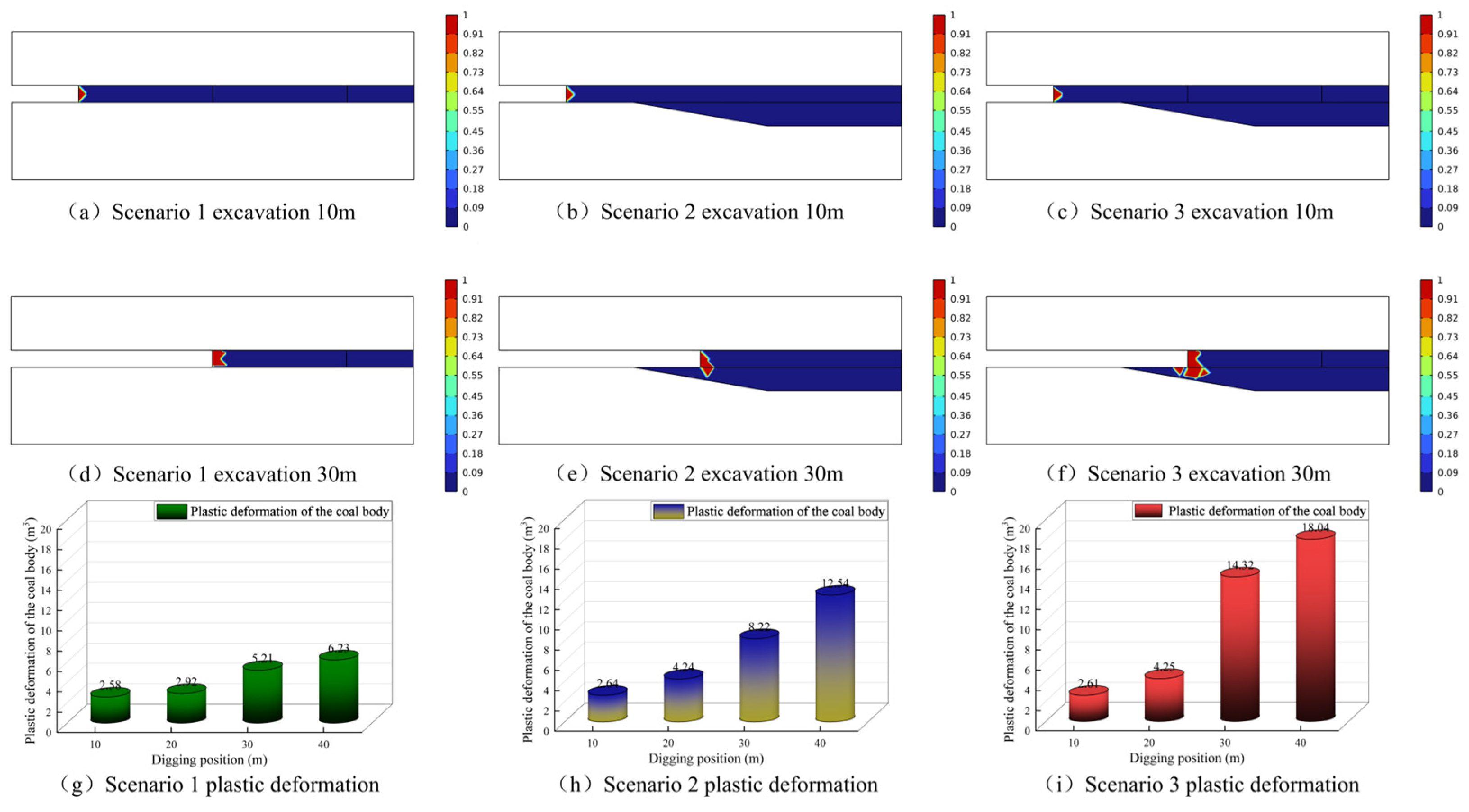
The plastic deformation volume of coal is obtained through numerical simulation by calculating the volume fraction of the damage variable greater than zero, and the distribution of plastic damage zones in three different excavation scenarios when the excavation reaches different positions is given in Figure 9. The plastic zone in the coal thickness change zone and the deformed coal area is unevenly distributed, and the plastic deformation amount of the coal body excavated from thin to thick is constantly increasing. In scenario 1, the plastic deformation amount of the coal body increases from 2.58 m3 to 6.23 m3, and the plastic deformation amount of the coal body in the deformed coal area is larger than that in the common coal area. In scenario 2, the plastic deformation of the coal body increases from 2.64 m3 to 12.54 m3, and the plastic deformation of the coal body is larger in the area of coal thickness change. In scenario 3, the plastic deformation of the coal body increases from 2.61 m3 to 18.04 m3, and the plastic deformation of the coal body in the deformed coal region is the largest. The results show that the plastic deformation of the coal body in scenario 3 from thin to thick coal excavation to deformed coal is the largest, which is more likely to cause coal and gas outburst accidents.

3.3.4. Characteristics of Protruding Energy Evolution During Coal Seam Mining

The elastic energy of coal and rock mass and the gas expansion energy are the main energy of coal and rock gas dynamic disasters. As can be seen from Figure 10a–f, the elastic energy contained in rock mass is about 1/3 of the elastic energy contained in coal body. The elastic energy contained in rock mass is relatively large, and the impact of the elastic energy of roof rock on a disaster cannot be ignored. The accumulation of elastic energy will occur in the area near the thin coal seam in the coal thickness variation zone, and the accumulation of elastic energy and gas expansion energy will occur in the deformed coal area. When the roadway is driven to 30 m, the peak value of elastic energy and gas expansion energy of the coal and rock mass at the working face is larger. The simulated gas expansion energy per unit volume of coal is more than 6 times the elastic energy per unit volume of coal–rock, and the gas expansion energy plays a leading role in the outburst.

3.3.5. Regional Distribution of Dynamic Catastrophes in the Coal Seam Mining Process

The energy criterion is coupled with multiple physical fields such as the advance abutment pressure, gas pressure, and plastic failure zone. The disaster energy criterion (Equation (29)), which considers the influence of roof elastic energy, is imported into COMSOL software. Through numerical simulation, the change curve of the energy criterion of coal seam excavation under three scenarios is obtained, and the possibility and risk of disaster are analyzed.
According to Figure 11, Figure 12 and Figure 13, in scenario 1, when the coal seam is excavated to the normal coal area of 10 m and 20 m, the peak value of the energy criterion in front of the working face is less than 1, and there is no outburst risk in front of the roadway; when the coal seam is excavated to the deformed coal area of 30 m and 40 m, the peak value of the energy criterion in front of the working face is greater than 1, and there is an outburst risk in the coal seam. The closer the coal seam is to the deformed coal area, the larger the peak value of the energy criterion is, and the maximum value is 1.34 when the excavation reaches 40 m. In scenario 2, when the coal seam is excavated from thin to thick to the normal coal area of 10 m, 20 m, 30 m, and 40 m, the peak value of the energy criterion in front of the working face is less than 1, and there is no outburst risk in front of the roadway, but the peak value of the energy criterion in the coal thickness variation area is larger, the maximum value being 0.82 when the excavation reaches 40 m. In scenario 3, when the coal seam is excavated to the normal coal area of 10 m and 20 m, the peak value of the energy criterion in front of the working face is less than 1, and there is no outburst risk in front of the roadway; when the coal seam is excavated to the deformed coal area of 30 m and 40 m, the peak value of the energy criterion in front of the working face is greater than 1, and there is an outburst risk; the more the coal seam is excavated to the deformed coal area, the greater the peak value of the energy criterion, the maximum value being 1.42 when the excavation reaches 40 m.
The simulation results show that coal and gas outburst accidents are easily caused when the excavation face enters a soft coal seam from a hard coal seam and a small-structural thick coal belt from a thin coal belt. Compared with scenario 1 and scenario 2, the dynamic disaster degree of coal and rock gas in scenario 3 is the largest.

4. Mechanism Analysis of Coal–Rock–Gas Dynamic Disasters in Coal Seam Variation Areas

4.1. Analysis of Disaster Process in Coal Thickness Variation Area

The key to further understanding the mechanism of a coal–rock–gas dynamic disaster is to clarify each stage and understand the characteristics of each stage. A dynamic disaster of coal, rock, and gas can be divided into four stages: gestation, motivation, progression, and termination, as well as the causes, conditions, and processes of the disaster. A coal thickness variation area disaster stage division diagram is shown in Figure 14.
Cataclysmic gestation stage: the coal seam forms a thickness change zone of small structure under the action of geological structure movement, and the earth stress is carried by coal and rock, which are in a state of equilibrium before an outburst. Under the action of high earth stress, a large amount of elastic potential energy and gas internal energy will be stored in the coal and rock mass with an outburst tendency, and a stress concentration area will be formed in front of the coal wall. This quasi-static deformation failure provides the mechanical failure conditions for the subsequent catastrophe excitation in the coal thickness variation region.
Cataclysmic motivation stage: under the action of earth stress and gas pressure, a large amount of coal and rock mass is broken and thrown out, and the failure of the coal and rock mass provides a channel for the release of roof elastic energy and gas internal energy. When it becomes difficult for the coal and rock mass in the coal thickness variation area to resist the combined action of coal, rock elastic energy, and gas internal energy, the coal body in the coal thickness variation area is unstable, the roof elastic energy accelerates the failure of the coal body, and the effect of the roof elastic energy cannot be ignored.
Cataclysmic progression stage: with the further expansion of the protruding holes, the coal and rock mass will produce the failure forms of roof breaking, stratification failure, and pulverization failure, and the disaster will be suspended and re-excited in the middle.
Cataclysmic termination stage: when the energy released by the disaster is less than the energy dissipated by the disaster, the disaster stops.

4.2. Analysis of Disaster Mechanism in Coal Thickness Variation Area

In the coal thickness variation zone, the stress, plastic failure zone, gas, and energy all show uneven distribution. Combined with the numerical simulation results and Figure 15, the occurrence of coal–rock–gas dynamic disaster accidents under three working conditions is analyzed.
Scenario 1: it can be seen from Figure 7a that when the excavation face is excavated to 10 m, it is far away from the soft coal seam, and the peak horizontal stress is 27.5 MPa, which is relatively small. The hard coal seam can withstand large horizontal normal stress and shear stress at the same time, and when the soft coal seam extrudes outward, the hard coal seam can provide greater resistance. With the continuous advancement of the excavation face, the thickness of the hard coal seam becomes smaller and smaller, and its carrying capacity also becomes smaller and smaller. When the working face is excavated to 30 m, the peak of horizontal stress reaches 45.1 MPa, and it is difficult for the hard coal seam to bear the bearing pressure of the roof and the thrust of the soft coal seam. In addition, due to the low permeability of hard coal seams, the hard coal seam will form a low permeability zone, blocking the migration of gas from the soft coal seam and making the soft coal seam form an abnormally gas-rich area, and the soft coal seam will accumulate a large amount of gas expansion energy. When the working face is excavated to 30 m in the soft coal seam, the peak value of the energy criterion in front of the working face is greater than 1, and the coal seam will protrude.
Scenario 2: as can be seen from Figure 7c, a stress concentration zone will be formed in the area near the thin coal seam in the coal thickness variation zone, resulting in a decrease in permeability in this area and a low permeability zone, which will block gas migration in the thick coal zone, resulting in an abnormal gas accumulation zone in the thick coal zone. With the excavation of the thick coal seam, the peak value of the energy criterion increases to 0.82, but because only the thickness of the coal seam changes, the accumulated gas expansion energy cannot stimulate coal and gas outburst.
Scenario 3: on the basis of scenario 2, a section of structural soft coal is added, resulting in the accumulation of a large amount of gas expansion energy in this area. When the working face is excavated to 30 m in the small-structural thick coal belt, the peak value of the energy criterion near the mining face will exceed 1, resulting in a coal and gas outburst. Moreover, with the excavation of the thick coal seam, the greater the peak value of the energy criterion, the greater will be the dynamic disaster risk of coal–rock–gas.
By comprehensive analysis, it is easy to cause a coal and gas outburst accident when the excavation face enters a soft coal seam from a hard coal seam and a small-structural thick coal belt from a thin coal belt.

5. Dynamic Disaster Prevention and Control in Coal Seam Variation Areas

5.1. Prevention and Control Measures

The focus of coal–rock–gas dynamic disaster prevention and control is to reduce the elastic and gas expansion energy of coal–rock assemblages. Gas expansion energy dominates the catastrophe in this study, so reducing the content of gas in the coal seam is the focus of this catastrophe prevention and control. Reducing the gas content in the coal seam mainly adopts a combination of regional and local control measures based on high-pressure water jet slit drilling technology.
High-pressure water jet cut-seam drilling technology [54] can depressurize coal seams with low permeability and effectively reduce the gas expansion energy in coal seams, and it is highly efficient and cost-effective. The control measures for gas expansion energy in coal seams in Scenario 3, for example, are shown in Figure 16.
Regional prevention measures are mainly to construct the main borehole along the center of a thin coal seam and then evenly construct branch boreholes along the main borehole on both sides every 70 m. Branch boreholes can play a role in detecting the thickness of the coal seam and assisting gas extraction. Regional prevention measures can eliminate the risk of coal seam outburst to a large extent.
Since the regional control measures are less effective in extracting gas in a small-structural thick coal belt, it is necessary to increase local control measures to improve the accuracy of herniation prevention and control. The local control measures are mainly to increase the number of branch drill holes in the small tectonic coal thickness change zone, to extract gas in large quantity and with high efficiency, and to increase the permeability of the coal seam, in order to reduce the expansion energy of the gas.

5.2. Analysis of Prevention and Control Effect

In the 15-16-21110 working face of a coal mine in the east, 50 boreholes were constructed to carry out high-pressure water jet slit drilling tests, while 50 ordinary drill holes were constructed as a comparison, and branch drill holes were constructed in the small-structural thick coal belt, so as to investigate and analyze the effect of the combined regional and local prevention and control measures based on the high-pressure water jet slit drilling technology on the decompression of the coal beds as well as on the extraction of the gas.

5.2.1. Analysis of Pressure Relief Effect of Coal Seam

Figure 17 gives a schematic diagram of the coal seam pressure unloading effect of the encrypted construction drill holes, ordinary drill holes, and high-pressure water jet slit drill holes in the small-structural thick coal belt in front of the roadway mining work. From the figure, it can be seen that the ordinary drill holes and high-pressure water jet slit drill holes both have a certain degree of depressurization effect, and increasing the branch drill holes in the small-structural thick coal belt can unload more vertical stresses; the peak stress concentration coefficients of the unpressurized, unpressurized ordinary drill holes, and unpressurized high-pressure water jet slit drill holes are 2.2, 1.8, and 1.5, respectively, and the peak stress concentration coefficients of the unpressurized ordinary drill holes are reduced by about 18.2%, while the peak stress concentration coefficients of the high-pressure water jet slit drill holes are reduced by about 31.8%. The distance from the working face corresponding to the peak stress is 4.5 m, 7 m, and 10 m, respectively, and the peak stress is gradually shifted to the deeper part of the hole. The use of high-pressure water jet cutting and drilling technology has a more pronounced depressurization effect.

5.2.2. Analysis of Gas Extraction Effect

Figure 18 gives the change curve of the average pure amount of gas extracted from ordinary drilling holes and high-pressure water jet slit drilling holes within 60 days of coal seam extraction, from which we can see that more gas can be extracted from encrypted construction of branch drilling holes in the small-structural thick coal belt, the average pure amount of gas extracted from high-pressure water jet slit drilling holes in the thin coal zone with uniform thickness is 0.089 m3/min, and the average pure amount of gas extracted from ordinary drilling holes is 0.02 m3/min. High-pressure water jet slit drilling holes pumped an average of 4.5 times as much pure volume as ordinary drilling holes.
The experimental results proved that the combination of regional and local prevention and control measures using high-pressure water jet slit drilling technology can effectively unload the concentrated stress in the coal seam, reduce the gas expansion energy in the coal seam, and at the same time, fulfil an anti-punching and anti-surge purpose.

6. Conclusions

Changes of coal seam hardness and thickness have an important impact on the stress, gas pressure, plastic failure zone, and distribution of various energies in the coal body in front of the driving face. Based on COMSOL software, a gas–solid coupling model of the gas-bearing coal–rock structure having double holes and cracks was constructed, and the occurrence mechanism of coal–rock–gas dynamic disaster in the coal seam variation zone was analyzed from the perspective of excavation under three different scenarios. The main conclusions are as follows:
(1) The distribution law of horizontal stress is similar to that of vertical stress, which can be divided into three regions: a depressurization zone, a stress concentration zone, and a primary rock stress zone. There is a vertical stress concentration area near the thin coal seam in the coal thickness variation zone. In scenario 2, the peak value of vertical stress is 32.2 MPa in the region where the coal seam is driven to 30 m thick. In scenario 3, the peak value of horizontal stress in the thick coal belt with small structure is the largest, reaching 47.6 MPa, and the risk of coal, rock, and gas dynamic disaster is the largest.
(2) The plastic zone in the coal thickness change area and the deformed coal area is unevenly distributed, and the coal body is excavated from thin to thick to the deformed coal area with the maximum plastic deformation, which is 18.04 m3. Therefore, the disaster probability caused by coal body instability in scenario 3 is relatively increased. Roof rock can accumulate large elastic energy, the simulated elastic energy of rock mass being about one third of coal body elastic energy, so the impact of roof rock elastic energy on the disaster cannot be ignored. The gas expansion energy per unit volume of coal is more than six times the elastic energy per unit volume of coal–rock mass. The gas expansion energy plays a dominant role in the dynamic disaster.
(3) The energy equation of coal and gas outburst considering the influence of roof elastic energy is established, and the disaster energy criterion considering the influence of roof elastic energy is derived. The research shows that in scenario 1, when the coal seam is excavated to 30 m and 40 m, the energy criterion of the area near the working face is greater than 1, and the coal seam protrudes, indicating that it is easy for the working face to cause coal and gas outburst from the hard coal seam into the soft coal seam. In scenario 2, the energy criterion of the area near the working face is always less than 1, indicating that the coal seam has no outburst risk. Scenario 3: when the coal seam is excavated from thin to thick to 30 m and 40 m in the deformed coal seam, the energy criterion in the area near the working face is greater than 1, and the peak value of the energy criterion is the largest among the three excavation scenarios, with the maximum value being 1.42, indicating that the working face is more likely to cause coal and gas outburst from the thin coal belt into the thick coal belt of small structure.
(4) The coal–rock–gas dynamic disaster prevention measures based on high-pressure water jet cutting and drilling technology can effectively reduce the concentrated stress and gas expansion energy in a coal seam. The practice shows that the gas extraction volume increases significantly and the pressure relief effect is obvious after drilling in the tight branch of a thick coal belt with small structure. Compared with ordinary drilling, the average gas extraction volume increases by 4.5 times, and the stress peak value is further reduced. The stress peak value is transferred from 7 m away from the coal wall to 10 m away from the coal wall, and it further transfers to the depth of the coal seam.
In the future, we can further reveal the controlling mechanism of complex geological structures on coal and gas outburst based on the analysis of geometrical parameters and stress distribution of geological structures, combined with an experimental system of large-scale physical simulation.

Author Contributions

C.T.: conceptualization, writing—original draft, funding acquisition. X.W.: conceptualization, formal analysis, writing—original draft, writing—review and editing, software. Y.S.: supervision, funding acquisition. Q.W.: conceptualization. X.L.: formal analysis. Z.S.: conceptualization. K.W.: supervision, funding acquisition, validation. All authors have read and agreed to the published version of the manuscript.

Funding

The authors would like to thank the Shandong Postdoctoral Innovation Project (SDCX-ZG-202400203), Qingdao Postdoctoral Funding Program (QDBSH20230202074), National Natural Science Foundation of China (NSFC) (52278359), Taishan Scholars Project (tsqnz20221140), National Natural Science Foundation of China (52104204), Natural Science Foundation of Shandong Province (ZR2024ME097), and the Project Funded by Open Fund of State Key Laboratory of Coal Mine Disaster Dynamics and Control (2011DA105287-FW202203) for funding provided to this work.

Institutional Review Board Statement

Not applicable.

Informed Consent Statement

Not applicable.

Data Availability Statement

Data available on request due to restrictions (e.g., privacy, legal, or ethical reasons).

Conflicts of Interest

The authors declare no conflicts of interest.

References

  1. Wang, D.; Cheng, Y.; Yuan, L.; Wang, L.; Zhou, H. Experimental Study of Multiple Physical Properties of Tectonic Coal near a Minor Fault: Implications for Coal and Gas Outburst. Energy Fuels 2023, 37, 5878–5894. [Google Scholar] [CrossRef]
  2. Fan, C.; Li, S.; Luo, M.; Du, W.; Yang, Z. Coal and gas outburst dynamic system. Int. J. Min. Sci. Technol. 2017, 27, 49–55. [Google Scholar] [CrossRef]
  3. Wang, C.; Cheng, Y. Role of coal deformation energy in coal and gas outburst: A review. Fuel 2023, 332, 126019. [Google Scholar] [CrossRef]
  4. Hu, B.; Nie, B.; Li, X.; Zhao, D.; Kong, F.; Xin, M.; Hou, Y. Experimental and Numerical Study on the Impact of Coal and Gas Two-Phase Flow on the Antioutburst Door. Energy Fuels 2024, 38, 9425–9437. [Google Scholar] [CrossRef]
  5. Zhang, C.; Jin, G.; Liu, C.; Li, S.; Xue, J.; Cheng, R.; Wang, X.; Zeng, X. Prediction of rockbursts in a typical island working face of a coal mine through microseismic monitoring technology. Tunn. Undergr. Space Technol. 2021, 113, 103972. [Google Scholar] [CrossRef]
  6. Wang, J.; Hou, Q.; Zeng, F.; Guo, G.J. Stress Sensitivity for the Occurrence of Coalbed Gas Outbursts: A Reactive Force Field Molecular Dynamics Study. Energy Fuels 2021, 35, 5801–5807. [Google Scholar] [CrossRef]
  7. Tu, Q.; Cheng, Y.; Guo, P.; Jiang, J.; Wang, L.; Zhang, R. Experimental Study of Coal and Gas Outbursts Related to Gas-Enriched Areas. Rock Mech. Rock Eng. 2016, 49, 3769–3781. [Google Scholar] [CrossRef]
  8. Wang, H.; Zhang, B.; Yuan, L.; Wang, S.; Yu, G.; Liu, Z. Analysis of precursor information for coal and gas outbursts induced by roadway tunneling: A simulation test study for the whole process. Tunn. Undergr. Space Technol. 2022, 122, 104349. [Google Scholar] [CrossRef]
  9. Zhang, B.; Wang, H.; Wang, P.; Li, M.; Yu, X. Macro- and microdamage characteristics and multiscale damage constitutive model of gas-bearing coal under loading. J. Pet. Sci. Eng. 2022, 217, 110848. [Google Scholar] [CrossRef]
  10. Zhang, X.; Tang, J.; Yu, H.; Pan, Y. Gas pressure evolution characteristics of deep true triaxial coal and gas outburst based on acoustic emission monitoring. Sci. Rep. 2022, 12, 21738. [Google Scholar] [CrossRef]
  11. Hao, Y.; Li, M.; Wang, W.; Zhang, Z.; Li, Z. Study on the stress distribution and stability control of surrounding rock of reserved roadway with hard roof. Sustainability 2023, 15, 14111. [Google Scholar] [CrossRef]
  12. Xie, Z.; Zhang, N.; Yuan, Y.; Xu, G.; Wei, Q. Study on safety control of composite roof in deep roadway based on energy balance theory. Sustainability 2019, 11, 3688. [Google Scholar] [CrossRef]
  13. Xue, Y.; Ranjith, P.G.; Gao, F.; Zhang, Z.; Wang, S. Experimental investigations on effects of gas pressure on mechanical behaviors and failure characteristic of coals. J. Rock Mech. Geotech. Eng. 2023, 15, 412–428. [Google Scholar] [CrossRef]
  14. Zhang, X.; Tang, J.; Pan, Y.; Yu, H. Experimental study on intensity and energy evolution of deep coal and gas outburst. Fuel 2022, 324, 124484. [Google Scholar] [CrossRef]
  15. Zhou, B.; Xu, J.; Peng, S.; Yan, F.; Yang, W.; Cheng, L.; Ni, G. Influence of Geo-stress on Dynamic Response Characteristics of Coal and Gas Outburst. Rock Mech. Rock Eng. 2020, 53, 4819–4837. [Google Scholar] [CrossRef]
  16. Tu, Q.; Xue, S.; Cheng, Y.; Zhang, W.; Shi, G.; Zhang, G. Experimental study on the guiding effect of tectonic coal for coal and gas outburst. Fuel 2022, 309, 122087. [Google Scholar] [CrossRef]
  17. Yan, J.; Feng, X.; Guo, Y.; Jia, T.; Tan, Z. Discussion on the Main Control Effect of Geological Structures on Coal and Gas Outburst. ACS Omega 2023, 8, 835–845. [Google Scholar] [CrossRef]
  18. Zhang, K.; Wang, L.; Cheng, Y.; Li, W.; Kan, J.; Tu, Q.; Jiang, J. Geological Control of Fold Structure on Gas Occurrence and Its Implication for Coalbed Gas Outburst: Case Study in the Qinan Coal Mine, Huaibei Coalfield, China. Nat. Resour. Res. 2020, 29, 1375–1395. [Google Scholar] [CrossRef]
  19. Chen, Y.; Li, X.; Tang, J.; Yang, D.; Jiang, C. A rapid prediction technology for the outburst risk of coal uncovered in crosscuts and shafts and its application in the Panyi Coal Mine in Huainan, China. Min. Technol. 2018, 127, 92–102. [Google Scholar] [CrossRef]
  20. Yang, M.; Wang, M.; Wang, Y.; Zhang, J.; Zhang, L.; Wang, Z. Coal pore structure changes in upper protective seam after mining: Pingdingshan Shenma Group, Henan Province, China. J. Pet. Sci. Eng. 2022, 218, 111045. [Google Scholar] [CrossRef]
  21. Zhai, C.; Xiang, X.; Xu, J.; Wu, S. The characteristics and main influencing factors affecting coal and gas outbursts in Chinese Pingdingshan mining region. Nat. Hazards 2016, 82, 507–530. [Google Scholar] [CrossRef]
  22. Shi, X.; He, F. The Environmental Pollution Perception of Residents in Coal Mining Areas: A Case Study in the Hancheng Mine Area, Shaanxi Province, China. Environ. Manag. 2012, 50, 505–513. [Google Scholar] [CrossRef]
  23. Zhao, T.; Guo, W.; Tan, Y.; Zhang, Z.; Cheng, K. Mechanics mechanism of rock burst caused by mining in the variable region of coal thickness. J. China Coal Soc. 2016, 41, 1659–1666. (In Chinese) [Google Scholar]
  24. Hao, Z.; Jian, K.; Peng, S.; Xu, J. Numerical Investigation of Coal and Gas Outbursts under Different In Situ Stresses and Gas Pressures and the Physical Characteristics of Coal. ACS Omega 2021, 6, 13260–13274. [Google Scholar] [CrossRef]
  25. Liu, Z.; Shu, L.; Huo, Z.; Fan, Y. Numerical Study on the mechanism of coal and gas outburst in the coal seam thickening area during mining. Energies 2023, 16, 3288. [Google Scholar] [CrossRef]
  26. An, F.; Yuan, Y.; Chen, X.; Li, Z.; Li, L. Expansion energy of coal gas for the initiation of coal and gas outbursts. Fuel 2019, 235, 551–557. [Google Scholar] [CrossRef]
  27. Zhao, Y.; Niu, X. Experimental Study on Work of Adsorption Gas Expansion After Coal and Gas Outburst Excitation. Front. Earth Sci. 2022, 10, 886309. [Google Scholar] [CrossRef]
  28. Zhao, Y.; Lin, B.; Liu, T.; Zheng, Y.; Kong, J.; Li, Q.; Song, H. Mechanism of multifield coupling-induced outburst in mining-disturbed coal seam. Fuel 2020, 272, 117716. [Google Scholar] [CrossRef]
  29. Xu, C.; Yang, G.; Wang, K.; Fu, Q. Uneven stress and permeability variation of mining-disturbed coal seam for targeted CBM drainage: A case study in Baode coal mine, eastern Ordos Basin, China. Fuel 2021, 289, 119911. [Google Scholar] [CrossRef]
  30. Chen, Y.; Chu, T.; Chen, X.; Chen, P. Coupling of stress and gas pressure in dual porosity medium during coal seam mining. Powder Technol. 2020, 367, 390–398. [Google Scholar] [CrossRef]
  31. Shu, L.; Yuan, L.; Li, Q.; Xue, W.; Zhu, N.; Liu, Z. Response characteristics of gas pressure under simultaneous static and dynamic load: Implication for coal and gas outburst mechanism. Int. J. Min. Sci. Technol. 2023, 33, 155–171. [Google Scholar] [CrossRef]
  32. Zhou, A.; Hu, J.; Wang, K.; Du, C. Analysis of fault orientation and gas migration characteristics in front of coal mining face: Implications for coal-gas outbursts. Process Saf. Environ. Prot. 2023, 177, 232–245. [Google Scholar] [CrossRef]
  33. Ma, Q.; Tan, Y.; Liu, X.; Gu, Q.; Li, X. Effect of coal thicknesses on energy evolution characteristics of roof rock-coal-floor rock sandwich composite structure and its damage constitutive model. Compos. Part B Eng. 2020, 198, 108086. [Google Scholar] [CrossRef]
  34. Soleimani, F.; Si, G.; Roshan, H.; Zhang, Z. Numerical modelling of coal and gas outburst initiation using energy balance principles. Fuel 2023, 334, 126687. [Google Scholar] [CrossRef]
  35. Lei, Y.; Cheng, Y.; Wang, L.; Ren, T.; Tu, Q. Mechanisms of Coal and Gas Outburst Experiments: Implications for the Energy Principle of Natural Outbursts. Rock Mech. Rock Eng. 2023, 56, 363–377. [Google Scholar] [CrossRef]
  36. Hosking, L.J.; Chen, M.; Thomas, H.R. Numerical analysis of dual porosity coupled thermo-hydro-mechanical behaviour during CO2 sequestration in coal. Int. J. Rock Mech. Min. Sci. 2020, 135, 104473. [Google Scholar] [CrossRef]
  37. Wu, Y.; Liu, J.; Elsworth, D.; Chen, Z.; Connell, L.; Pan, Z. Dual poroelastic response of a coal seam to CO2 injection. Int. J. Greenh. Gas Control 2010, 4, 668–678. [Google Scholar] [CrossRef]
  38. Li, W.; Liu, J.; Zeng, J.; Leong, Y.K.; Elsworth, D.; Tian, J. A fully coupled multidomain and multiphysics model considering stimulation patterns and thermal effects for evaluation of coalbed methane (CBM) extraction. J. Pet. Sci. Eng. 2022, 214, 110506. [Google Scholar] [CrossRef]
  39. Ye, D.; Liu, G.; Gao, F.; Hu, Y.; Yue, F. A fractal model of thermal–hydrological–mechanical interaction on coal seam. Int. J. Therm. Sci. 2021, 168, 107048. [Google Scholar] [CrossRef]
  40. Si, L.; Li, Z.; Yang, Y.; Gao, R. The stage evolution characteristics of gas transport during mine gas extraction: Its application in borehole layout for improving gas production. Fuel 2019, 241, 164–175. [Google Scholar] [CrossRef]
  41. Zhang, B.; Wang, H.; Wang, P.; Yu, G.; Gu, S. Experimental and theoretical study on the dynamic effective stress of loaded gassy coal during gas release. Int. J. Min. Sci. Technol. 2023, 33, 339–349. [Google Scholar] [CrossRef]
  42. Xu, C.; Qin, L.; Wang, K.; Sun, H.; Cao, M. Gas seepage laws based on dual porosity and dual permeability: Numerical simulation and coalbed methane extraction practice. Energy Sci. Eng. 2021, 9, 509–519. [Google Scholar] [CrossRef]
  43. Langmuir, I. The adsorption of gases on plane surfaces of glass, mica and platinum. J. Am. Chem. Soc. 1918, 40, 1361–1403. [Google Scholar] [CrossRef]
  44. Lim, K.T.; Aziz, K. Matrix-fracture transfer shape factors for dual-porosity simulators. J. Pet. Sci. Eng. 1995, 13, 169–178. [Google Scholar] [CrossRef]
  45. Fan, Y.; Shu, L.; Huo, Z.; Hao, J.; Li, Y. Numerical simulation of sectional hydraulic reaming for methane extraction from coal seams. J. Nat. Gas Sci. Eng. 2021, 95, 104180. [Google Scholar] [CrossRef]
  46. Cui, G.; Liu, J.; Wei, M.; Shi, R.; Elsworth, D. Why shale permeability changes under variable effective stresses: New insights. Fuel 2018, 213, 55–71. [Google Scholar] [CrossRef]
  47. Lu, S.; Wang, C.; Liu, Q.; Zhang, Y.; Liu, J.; Sa, Z.; Wang, L. Numerical assessment of the energy instability of gas outburst of deformed and normal coal combinations during mining. Process Saf. Environ. Prot. 2019, 132, 351–366. [Google Scholar] [CrossRef]
  48. Wu, K.; Chen, F.; Lin, J.; Zhao, J.; Zheng, H. Experimental study on the interfacial bond strength and energy dissipation capacity of steel and steel fibre reinforced concrete (SSFRC) structures. Eng. Struct. 2021, 235, 112094. [Google Scholar] [CrossRef]
  49. Hanak, D.P.; Biliyok, C.; Yeung, H.; Białecki, R. Heat integration and exergy analysis for a supercritical high-ash coal-fired power plant integrated with a post-combustion carbon capture process. Fuel 2014, 134, 126–139. [Google Scholar] [CrossRef]
  50. He, H.; Dou, L.; Gong, S.; He, J.; Zheng, Y.; Zhang, X. Microseismic and electromagnetic coupling method for coal bump risk assessment based on dynamic static energy principles. Saf. Sci. 2019, 114, 30–39. [Google Scholar] [CrossRef]
  51. Meng, X.; Chang, H.; Wang, X. Methane Concentration Prediction Method Based on Deep Learning and Classical Time Series Analysis. Energies 2022, 15, 2262. [Google Scholar] [CrossRef]
  52. Tu, Q.; Cheng, Y.; Xue, S.; Ren, T.; Cheng, X. Energy-limiting factor for coal and gas outburst occurrence in intact coal seam. Int. J. Min. Sci. Technol. 2021, 31, 729–742. [Google Scholar] [CrossRef]
  53. Lu, S.; Zhang, Y.; Sa, Z.; Si, S.; Shu, L.; Wang, L. Damage-induced permeability model of coal and its application to gas predrainage in combination of soft coal and hard coal. Energy Sci. Eng. 2019, 7, 1352–1367. [Google Scholar] [CrossRef]
  54. Sun, Z.; Liu, Y.; Qi, Q.; Chai, J.; Gu, B. The Influence of High-Pressure Water Jet Cutting Parameters on the Relief of Pressure around the Coal Slot. Processes 2023, 11, 2071. [Google Scholar] [CrossRef]
Figure 1. Schematic diagram of coal seam gas transportation mechanism.
Figure 1. Schematic diagram of coal seam gas transportation mechanism.
Sustainability 17 00810 g001
Figure 2. The equations of control of each physical field and the mutual coupling relationship.
Figure 2. The equations of control of each physical field and the mutual coupling relationship.
Sustainability 17 00810 g002
Figure 3. Scenario 1 schematic of geometric model and boundary conditions.
Figure 3. Scenario 1 schematic of geometric model and boundary conditions.
Sustainability 17 00810 g003
Figure 4. Scenarios 2 and 3 schematics of geometric model and boundary conditions.
Figure 4. Scenarios 2 and 3 schematics of geometric model and boundary conditions.
Sustainability 17 00810 g004
Figure 5. Vertical stress distribution cloud map of coal body in front of the roadway.
Figure 5. Vertical stress distribution cloud map of coal body in front of the roadway.
Sustainability 17 00810 g005
Figure 6. Horizontal stress distribution cloud map of the coal body in front of the roadway.
Figure 6. Horizontal stress distribution cloud map of the coal body in front of the roadway.
Sustainability 17 00810 g006
Figure 7. Stress distribution line of coal body in front of the roadway.
Figure 7. Stress distribution line of coal body in front of the roadway.
Sustainability 17 00810 g007
Figure 8. Gas pressure distribution in the coal body in front of the roadway.
Figure 8. Gas pressure distribution in the coal body in front of the roadway.
Sustainability 17 00810 g008
Figure 9. Distribution of plastic damage zones at different digging positions.
Figure 9. Distribution of plastic damage zones at different digging positions.
Sustainability 17 00810 g009
Figure 10. Gas expansion energy and elastic energy distribution.
Figure 10. Gas expansion energy and elastic energy distribution.
Sustainability 17 00810 g010
Figure 11. Scenario 1 energy criteria schematic.
Figure 11. Scenario 1 energy criteria schematic.
Sustainability 17 00810 g011
Figure 12. Scenario 2 energy criteria schematic.
Figure 12. Scenario 2 energy criteria schematic.
Sustainability 17 00810 g012
Figure 13. Scenario 3 energy criteria schematic.
Figure 13. Scenario 3 energy criteria schematic.
Sustainability 17 00810 g013
Figure 14. Schematic diagram of the occurrence process of coal–rock–gas complex dynamic disaster.
Figure 14. Schematic diagram of the occurrence process of coal–rock–gas complex dynamic disaster.
Sustainability 17 00810 g014
Figure 15. Schematic diagram of coal–rock–gas dynamic disaster mechanism in coal seam alteration area.
Figure 15. Schematic diagram of coal–rock–gas dynamic disaster mechanism in coal seam alteration area.
Sustainability 17 00810 g015
Figure 16. Gas expansion energy control measures.
Figure 16. Gas expansion energy control measures.
Sustainability 17 00810 g016
Figure 17. Measured diagram of coal seam pressure relief effect.
Figure 17. Measured diagram of coal seam pressure relief effect.
Sustainability 17 00810 g017
Figure 18. Measured map of coal seam gas extraction effect.
Figure 18. Measured map of coal seam gas extraction effect.
Sustainability 17 00810 g018
Table 1. Model parameter.
Table 1. Model parameter.
Parameter NameParameter Value
Normal CoalDeformed CoalRock
Modulus of elasticity/(GPa)2.7130.813.8
Poisson’s ratio0.320.350.25
Initial cohesion/(MPa)2.50.4415
Angle of internal friction/(°)353440
Bulk density/(kg/m3)140013002500
Plastic flow stage cohesion/(MPa)0.50.4420
Initial penetration rate/(md)1.250.55
Penetration rate surge factor10015
Initial fracture rate0.010.007
Matrix porosity0.0450.06
Maximum adsorption strain/(m)0.0110.03
Adsorption of deformation stress/(MPa)5.144.125
Ultimate adsorption of gas a/(mL/g)42.7832.12
Substrate expansion deformation rate0.10.1
Fracture compression coefficient/MPa−10.13950.063
Substrate adsorption time/(d)11.75.85
Adsorption constant b/(MPa−1)1.321.28
Coal firmness factor0.760.37
Effective diffusion coefficient/(s−1)2.26 × 10−63.79 × 10−5
Gas viscosity factor/(Pa·s)1.84 × 10−51.84 × 10−5
Coal matrix bulk modulus/(MPa)12.41.07
Ideal gas constant j/(mol∙K)8.318.31
Molar mass of methane/(kg/mol)1616
Temperature (K)327.5327.5
Disclaimer/Publisher’s Note: The statements, opinions and data contained in all publications are solely those of the individual author(s) and contributor(s) and not of MDPI and/or the editor(s). MDPI and/or the editor(s) disclaim responsibility for any injury to people or property resulting from any ideas, methods, instructions or products referred to in the content.

Share and Cite

MDPI and ACS Style

Tian, C.; Wang, X.; Sun, Y.; Wang, Q.; Li, X.; Shi, Z.; Wang, K. Numerical Simulation Analysis and Prevention Measures of Dynamic Disaster Risk in Coal Seam Variation Areas During Deep Mining. Sustainability 2025, 17, 810. https://doi.org/10.3390/su17030810

AMA Style

Tian C, Wang X, Sun Y, Wang Q, Li X, Shi Z, Wang K. Numerical Simulation Analysis and Prevention Measures of Dynamic Disaster Risk in Coal Seam Variation Areas During Deep Mining. Sustainability. 2025; 17(3):810. https://doi.org/10.3390/su17030810

Chicago/Turabian Style

Tian, Chenglin, Xu Wang, Yong Sun, Qingbiao Wang, Xuelong Li, Zhenyue Shi, and Keyong Wang. 2025. "Numerical Simulation Analysis and Prevention Measures of Dynamic Disaster Risk in Coal Seam Variation Areas During Deep Mining" Sustainability 17, no. 3: 810. https://doi.org/10.3390/su17030810

APA Style

Tian, C., Wang, X., Sun, Y., Wang, Q., Li, X., Shi, Z., & Wang, K. (2025). Numerical Simulation Analysis and Prevention Measures of Dynamic Disaster Risk in Coal Seam Variation Areas During Deep Mining. Sustainability, 17(3), 810. https://doi.org/10.3390/su17030810

Note that from the first issue of 2016, this journal uses article numbers instead of page numbers. See further details here.

Article Metrics

Back to TopTop