Abstract
This study evaluated the response of two winter wheat lines: hypoallergenic wasko.gl− and control line wasko.gl+ to nitrogen (N) and sulfur (S) fertilization under field conditions in southern Poland during 2019–2021. A split-split-plot design with six N doses (0–120 kg ha−1) and three S doses (0, 20, 40 kg ha−1) was applied to assess grain yield, nitrogen agronomic efficiency (NAE), vegetation indices (LAI, NDVI), and grain protein content. Grain yields ranged from 3.92 to 6.08 Mg ha−1, with the hypoallergenic line producing on average 16.6% more than the control one. Nitrogen fertilization significantly increased yields up to 80–100 kg N ha−1, while sulfur application showed no consistent yield effect. The highest NAE was achieved at 80 kg N ha−1, reaching 13.7 kg grain kg−1 N for hypoallergenic and 19.6 kg grain kg−1 N for the control wheat line. Remote sensing indices correlated with fertilization intensity; LAI and NDVI increased up to 80–100 kg N ha−1, with optimal values differing between lines, confirming distinct nitrogen-use efficiencies. Grain protein content increased systematically with higher N inputs, exceeding 145.6 g kg−1 DM at 120 kg N ha−1; sulfur fertilization modified protein levels, with the optimal dose being 20 kg S ha−1 for the hypoallergenic line and 40 kg S ha−1 for the allergenic line. Results demonstrate that nitrogen supply strongly influences yield and quality traits, whereas sulfur plays a secondary role, particularly in modifying protein content in grains. Differences in genotype responses to fertilization emphasize the importance of taking an individualized approach to nitrogen and sulfur fertilization strategies, which are tailored to specific lines of wheat. This optimizes fertilization, yield, and quality, while maintaining environmental sustainability.
1. Introduction
Wheat (Triticum L.) was one of the first plants to be domesticated and has been a staple food for major civilizations in Europe, West Asia, and North Africa for many thousands of years [1]. Wheat yield has continued to increase over the last several decades, making wheat the most widely produced species and the most important food source for people worldwide. By 2020, it was the most widely grown commodity crop in the world, covering 220 million hectares (Mha). In order to alleviate global hunger, it is estimated that global wheat production will need to increase to 840 million tonnes by 2050 [2,3,4]. Scientific research clearly shows that wheat provides more protein and calories to the diet than any other agricultural food [5,6]. Wheat flour is a raw material primarily in the baking industry, and its use depends on the composition of proteins, which form gluten fractions that influence baking properties [7]. Gluten is composed of two groups of proteins, gliadins and glutenins, which constitute over 80% of its mass [8]. The chemical properties of gluten influence its rheological properties, primarily elasticity and extensibility [9]. Prolamin proteins are considered food allergens and can adversely affect human health [10,11]. Allergies, including food allergies, are a serious problem for many people around the world. It is well known that the prevalence of allergic conditions would follow economic development and urbanization in many countries or regions [12]. Lack of sustainable development may stimulate the development of allergic diseases. Literature data do not confirm that old wheat varieties contain less gluten. The main aim of cultivating old wheat varieties is to preserve genetic diversity, enhance sustainability in agriculture, and potentially improve the nutritional and functional properties of wheat-based products. These older varieties often exhibit greater resilience to environmental stressors, including climate change [13].
With human health in mind, research has been undertaken to reduce the allergenic properties of crop proteins. This goal can be achieved through technological modification of the raw material or the production of new plant genotypes with reduced allergenic properties, often using genetic engineering as a tool in genetic breeding work [14,15]. Research by Waga and Skoczowski [16] allowed the development of hybrid winter wheat lines (wasko.gl−) with a reduced number of allergenic gliadin proteins from the ω group and low-molecular-weight glutenins (so-called D-type LMW glutenin). As a result, wheat genotypes were obtained for the production of hypoallergenic food, with different functional properties and agrotechnical requirements compared to commercial cultivars [16,17].
Wheat yield efficiency depends on natural (climatic and soil conditions) and anthropogenic factors (variety selection and agrotechnical practices, including mineral fertilization) [1]. Mineral fertilizers, especially nitrogen fertilizers, play an important role in supplementing plant nutrient deficiencies, increasing quantity and quality of the yield [18,19]. They improve crop productivity [20]. Improper management of nitrogen fertilization can lead to losses of this nutrient due to leaching, atmospheric volatilization, or denitrification. Optimizing the use of nitrogen fertilizers is important because it ensures the economic stability of cropping systems and adequate plant production, while simultaneously reducing environmental risks caused by nitrogen inputs [20,21]. Not only nitrogen but also other macro- and micronutrients are essential for efficient nitrogen utilization [22]. Currently, the content of available sulfur in the soil is low; hence, in recent years, much attention has been paid to fertilizing not only brassica plants but also cereals with this element [21,23]. The effect of nitrogen (N) and sulfur (S) fertilizers on crop production has been widely studied, and these nutrients are usually considered key factors in cereal production. Plants well nourished with sulfur demonstrate greater nitrogen utilization efficiency. In plants well supplied with sulfur, approximately 80% of nitrogen and sulfur build the structure of true proteins. The increased accumulation of these compounds reduces the content of nitrates, amides, free amino acids, and low-molecular-weight protein nitrogen compounds, among other things. Providing plants with optimal amounts of sulfur leads to increased photosynthetic efficiency, carbohydrate, fat, and protein production, and plant immunity and, consequently, to increased yield and quality [24]. Nitrogen fertilization increases grain protein content, while sulfur fertilization affects grain protein composition [25,26]. Litke et al. [27] showed that wheat grain yield average increased significantly until the nitrogen fertilizer rate of 180 kg ha−1, whereas crude protein and gluten content in grain increased on average until a nitrogen fertilizer rate of 210 kg ha−1.
In sustainable agriculture, the aim is to limit the use of chemical inputs, which, if not utilized by plants, can threaten individual components of the natural environment. Remote sensing indicators can be used to monitor the natural environment and assess plant health. Vegetation indicators, such as LAI, correlate with biomass and plant physiological parameters [28]. The most commonly used vegetation index is the Normalized Difference Vegetation Index (NDVI), commonly known as the greenness index. Research has demonstrated a strong correlation between the LAI and vegetation indices [29,30]. The LAI value depends on the plant development stage and the agrotechnical practices used, particularly nitrogen and sulfur fertilization, which increases nitrogen use efficiency. Monitoring the values of these indices depending on the level of nitrogen and sulfur fertilization allows for determining plant fertilization needs and can be used in yield forecasting. The existing literature has described, to a limited extent, studies aimed at verifying the effect of nitrogen and sulfur fertilization on plant productivity and nutrient use efficiency in a hypoallergenic winter wheat line using physiological indicators (NDVI or LAI). Therefore, the research is highly original from a scientific point of view and has practical implications, as it verifies the usefulness of physiological indicators for assessing the productivity and nitrogen agronomic efficiency of a new wheat line.
The aim of this study was to determine the efficiency of two winter wheat lines fertilized with nitrogen and sulfur. Based on the results of a two-year field experiment, the following parameters were calculated: grain yield of winter wheat, nitrogen agronomic efficiency (NAE), vegetation indices (LAI and NDVI), and content of protein in grain.
We hypothesized that a winter wheat line containing a complete set of allergenic proteins and a line completely devoid of these proteins show (1) a similar response to a specific technological variant of cultivation and (2) similar values of vegetation indices.
2. Materials and Methods
2.1. Plant Material
In this study, two winter wheat (Triticum aestivum L.) lines were investigated. They originated from a cross between T. aestivum L. and T. spelta L., followed by backcrossing with T. aestivum L. to obtain sufficient uniformity [16]. One of the lines exhibits hypoallergenic properties due to the absence of omega-gliadin fractions in gluten (wasko.gl−, V1), while the other retains these proteins (wasko.gl+, V2) and thus serves as a comparative genotype [16,17].
2.2. Scheme of Experiment
This study was carried out in the field experiment located at the experimental station of the University of Agriculture in Krakow-Prusy, Poland (50°07′28′′ N, 20°05′34′′ E). The experiment was established on luvic chernozem with silt texture according to World Base for Soil Resource (WRB) [31]. The soil had a pH value measured in solution of 1 mol dm−3 KCL of 6.2 (digital pH meter) in accordance with ISO 10390 [32], an organic C content of 11.4 g kg−1 DM, a total N content of 1.26 g kg−1 DM, and a maximum water capacity of 26%. The content of sulfate sulfur was low (3.50 mg kg−1 DM) as well as of available phosphorus (68 mg kg−1 DM) and potassium (125 mg kg−1 DM). Soil phosphorus and potassium were determined using the Egner–Riehm method [33]. The sulfur content was quantitatively measured through inductively coupled plasma optical emission spectrometry (ICP-OES) using an Optima 7300 DV instrument (Perkin-Elmer, Waltham, MA, USA). The concentration of total nitrogen and organic carbon in the soil were determined, respectively, using the Kjeldahl method according to ISO 11261 [34] and the Thiurin method [35].
The experimental site was primarily used to produce annual crops.
Experiment was conducted during two vegetation seasons, 2019/2020 and 2020/2021. The experimental scheme was the same in both growing seasons and is presented in Table 1. The field experiment was conducted in the split-split-plot design with three factors and in three replications. Three factors were taken under consideration: I factor—two winter wheat lines as V1 (wasko.gl−, without allergic protein) and V2 (wasko.gl+, with allergic protein), II factor—three dose of sulfur: 0, 20, and 40 kg S ha−1, and III factor—six doses of nitrogen fertilization: 0, 40, 60, 80, 100, and 120 kg N ha−1. The size of small plots was 11.2 m2. The experiment included 108 objects.
Table 1.
Doses and forms of fertilizers used in the field experiment.
The previous crop for wheat was winter rape. The phosphorus and potassium fertilizers were sown before sowing wheat. Doses and forms of fertilizers used in the field experiment are shown in Table 1.
Both lines of winter wheat were sown on 4-10-2019 year. and 7-10-2020 year. in the amount of 350 grains per 1 m2. The row spacing was 0.14 m and the depth was 0.03 m. Weeds were controlled in autumn with diflufenican (100 g ha−1), chlorotoluron (625 g ha1), and pendimetalin (750 g ha−1) in BBCH stages 12–14. In BBCH stage 31, trinexapac-ethyl was applied at 100 g ha−1 to regulate plant growth. Insecticide was applied twice in BBCH 30 (10 g ha−1 deltamethrin) and 51–52 BBCH (5 g ha−1 lambda-cyhalotryne). Fungicides were applied twice: (i) 100 g ha−1 azoksystrobine (BBCH 35-37); (ii) 326 g ha−1 tiofanat metyl + 105 g ha−1 tetraconazol (BBCH 61-67).
Winter wheat was harvested at the full grain maturity stage.
2.3. Climatic Conditions
Weather conditions during the growing season of two winter wheat lines are shown in Figure 1. Winter wheat is a cereal with relatively high water requirements, meaning that it responds to low rainfall with a decrease in yield. Water demand is highest from the tillering stage to the end of the stem elongation stage. On the other hand, excessive water intake during the grain formation and maturation stages can reduce plant resistance to fungal diseases and lead to a decline in grain quality. The optimal temperature for wheat growth and development is 12–15 °C. During tillering, temperatures of 8–12 °C are preferred and, during the stem elongation and earing phase, 17–18 °C.
Figure 1.
Weather conditions (precipitation and temperature) for particular months of two seasons of winter wheat growth.
During the 2019/2020 growing season, rainfall in April was significantly lower than in the multi-year period, while, in May and June, it was slightly higher. In July and August, rainfall was lower than in the multi-year period, creating favorable conditions for grain ripening. The average monthly air temperature in autumn was lower than in the multi-year period and comparable in the spring and summer. In the 2020/2021 season, precipitation from April to August exceeded the multi-year average, particularly in June, July, and August, which was unfavorable. Average monthly temperatures were comparable to the multi-year period, with only June and July being higher. In both growing seasons, winter air temperatures did not threaten plant survival.
2.4. Wheat Grain Chemical Analyses
The protein content in seed yield was determined by near-infrared spectroscopy (NIRS). This physical method involves the analysis of the spectrum (electromagnetic radiation) in the near-infrared wavelength range (780 to 2500 nm). The principle of the NIRS method is based on the absorption properties of chemical components in the near-infrared (700–2500 nm range). The amount of NIR radiation absorbed is determined by the properties and number of bonds present in the tested material. Therefore, near-infrared spectra contain detailed information about the chemical composition of the tested substances. The use of a database of spectra present in given chemical compounds and multivariate calibrations allows for the identification of chemical compounds in the tested sample [36].
2.5. Vegetation Indices
The GreenSeeker Handheld Optical Sensor Unit (NTech Industries, Inc., Ukiah, CA, USA) was used to assess NDVI index, whereas the Sunscan System (Delta-T) was used to measure leaf area index (LAI). Both indices were calculated according to Klimek-Kopyra et al. [37] methodology.
2.6. Calculations
The curves of winter wheat response to N fertilization were determined based on the second-degree polynomial equation (the x-axis shows N doses and the y-axis shows the yield of winter wheat grain NDVI and LAI) [38]:
y = a + bx + cx2
The highest point on the graph of quadratic function shows the optimal N dose and maximum yield of winter wheat grain for that dose. The optimal N dose (Nop) was calculated as:
and maximum yield (Ymax) as:
Nop = −b/2c
Ymax = (a − b2)/4c
The nitrogen agronomic efficiency (NAE) for nitrogen fertilization was estimated according to Equation (4) [39]:
where
NAE = (YD − Y0)/D
- YD—yield at nitrogen fertilization dose;
- Y0—yield at unfertilized plots;
- D—N application rate.
2.7. Statistical Analyses
The collected data were analyzed using Excel and Statistica software. The Statistics (version 13) software (IBM Corporation, Armonk, NY, USA) was used to conduct the ANOVA. Tukey’s test was used to verify the level of significance at p ≤ 0.05. The production functions for the grain yield were determined using the 2nd-degree polynomials, based on the values received for the interaction of genotype × fertilization with N or S and years × fertilization and lines × fertilization for NDVI and LAI. These were determined separately for both winter lines.
3. Results
3.1. Wheat Grain Yield
This paper presents an analysis of the average yield of two winter wheat lines (with and without allergenic properties) from both years of the experiment against the background of differentiated nitrogen and sulfur fertilization (Table 2).
Table 2.
Mean squares from analysis of variance of split-split-plot design for two lines of winter wheat evaluated under three S and six N levels across 2020 and 2021 seasons.
Wheat grain yield ranged from 4.68 to 6.08 Mg ha−1 for the non-allergenic line (V1) and from 3.86 to 5.49 Mg ha−1 for the allergenic line (V2). The highest grain yield for the V1 line was observed as a result of nitrogen fertilization at a rate of 100 kg N ha−1 and sulfur fertilization at a rate of 20 kg S ha−1. Fertilization at a level of 80 kg N ha−1 without sulfur had the greatest effect on grain yield for the V2 wheat line. Significant differences in wheat grain yield were observed between the wheat lines. The grain yield of the V1 line was significantly higher. The average grain yield of the non-allergenic wheat line (5.27 Mg ha−1) was 16.6% higher than the average grain yield of the V2 wheat line (4.52 Mg ha−1) (Table 2 and Table 3).
Table 3.
Average two-year winter wheat grain yield depending on nitrogen and sulfur fertilization (Mg ha−1).
Both wheat lines responded similarly to nitrogen fertilization in terms of grain yield. This factor significantly influenced grain yield. Sulfur fertilization did not significantly affect grain yield.
The difference in grain yield between the control treatment (N0) and the treatment fertilized with 40 kg N ha−1 was statistically insignificant and amounted to only 2.0% of the yield increase. Therefore, grain yields of wheat fertilized with 40 kg N ha−1 were used for further analysis. A nitrogen dose of 60 kg N ha−1 increased grain yield by 15.8% compared to the control treatment, while, at 80 kg N ha−1, this increase was 18.3%. Subsequent nitrogen doses were less effective, causing grain yield increases of 14.9% and 12.2%, respectively.
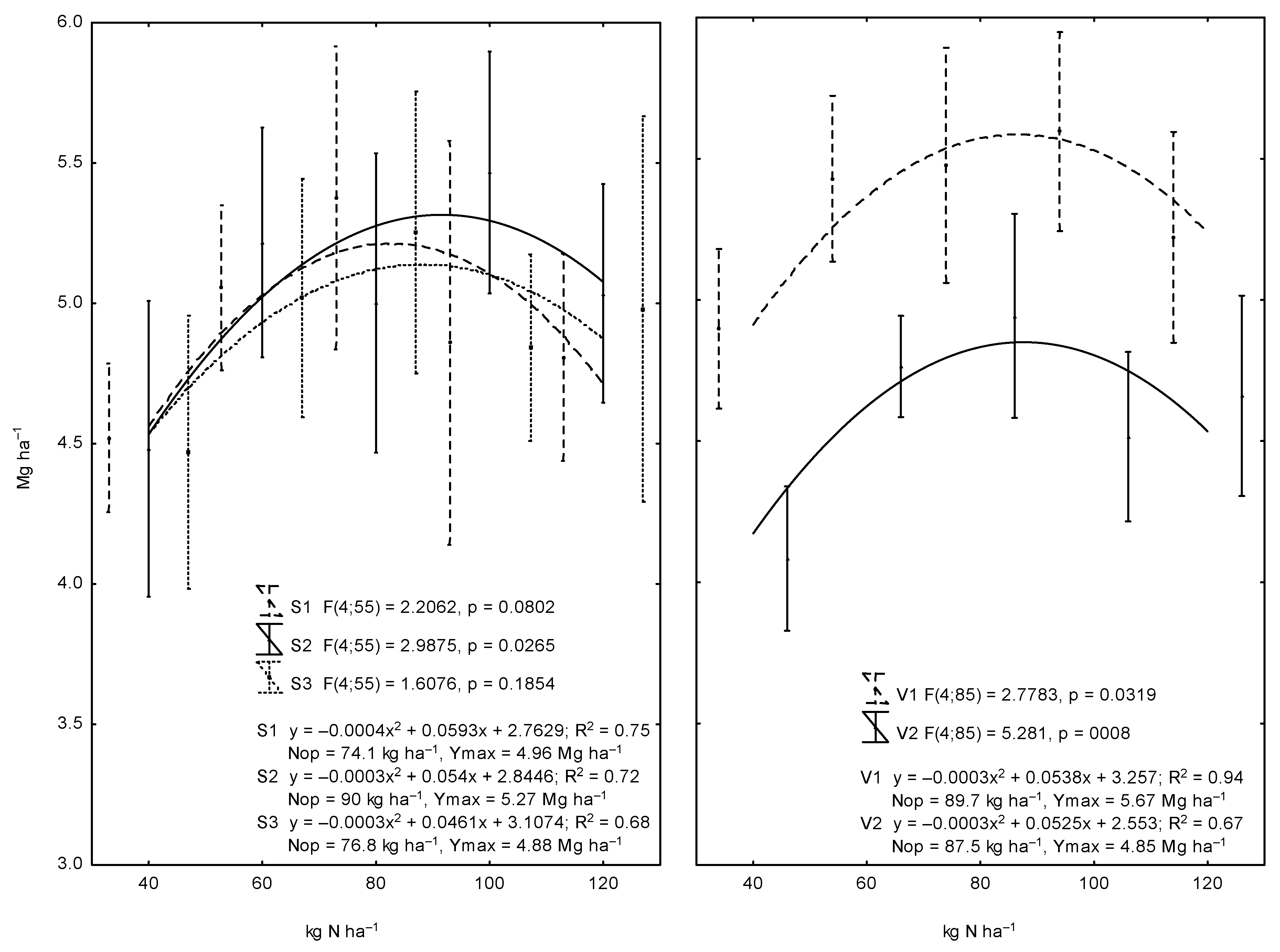
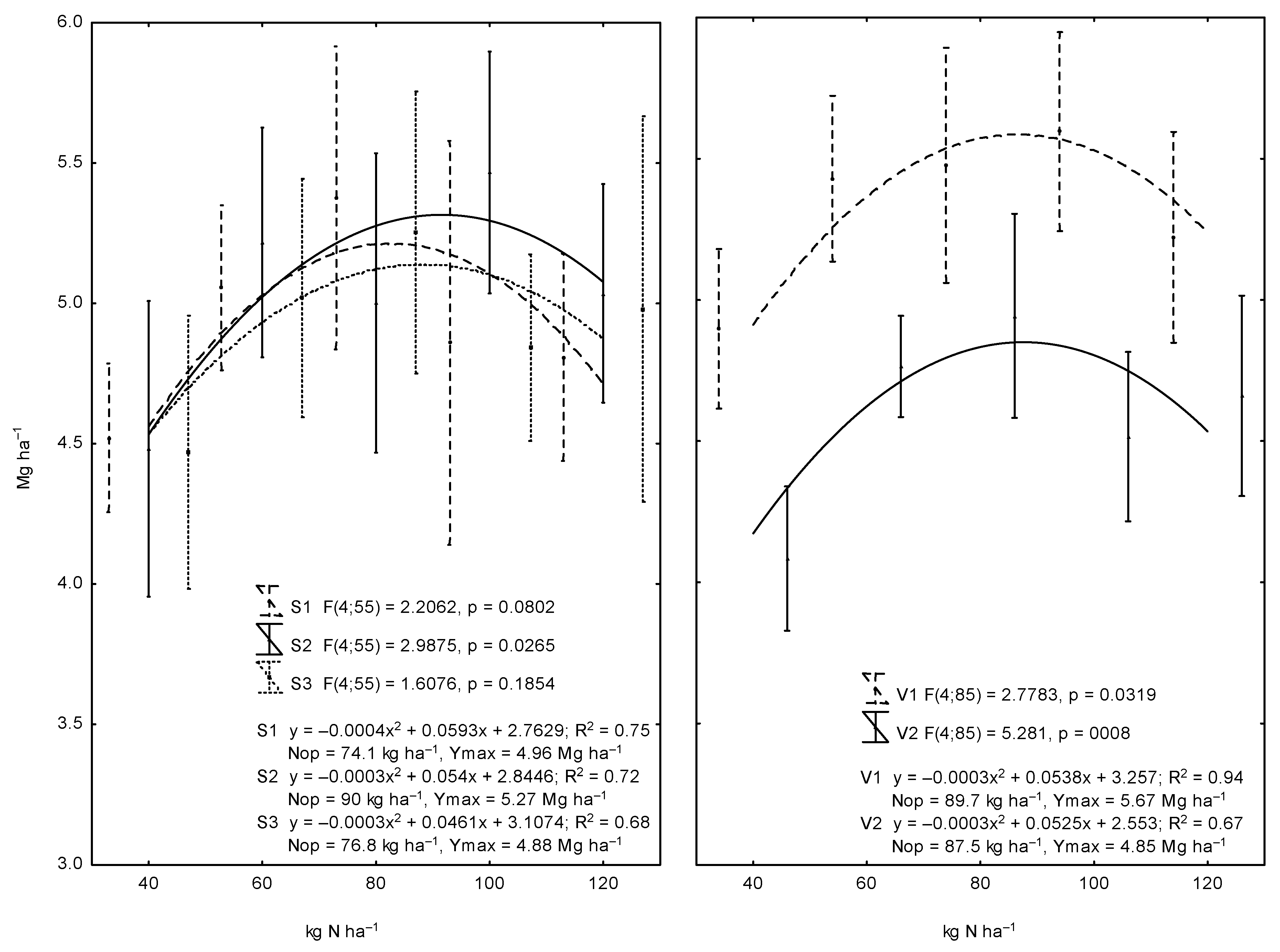
Based on the regression curves, it was found that the most favorable, from the point of view of the average wheat grain yield for the lines, was the sulfur dose of 20 kg S ha−1 applied against the background of nitrogen fertilization at a dose of 90 kg N ha−1. The potentially highest fertilization efficiency and maximum yield of 5.27 Mg ha−1 (R2 = 72) were obtained. No sulfur application or a dose of 40 kg S ha did not demonstrate such a favorable effect on wheat yield (Figure 2).
Figure 2.
Relationships between grain yield and nitrogen fertilization (sulfur dose: S1 = 0, S2 = 20, and S3 = 40 kg per ha; V1—line wasko.gl−; V2—line wasko.gl+; Nop—optimal N dose; Ymax—maximum yield of winter wheat grain for that optimal dose; F—calculated F value; p—probability; vertical lines indicate a 95% confidence interval).
3.2. Nitrogen Agronomic Efficiency
The average nitrogen agronomic efficiency was the highest at a nitrogen dose of 60 kg ha−1 and, depending on the line, amounted to 10.5 (V1) and 12.8 (V2) kg of grain per 1 kg of nitrogen, respectively. Sulfur and nitrogen doses varied the value of this indicator. The highest values were 13.7 kg of grain for the V1 line and 19.6 kg of grain for the V2 line (Table 4). The calculated optimal doses for these varieties were 89.7 and 87.5 kg N ha−1, respectively, with predicted yields of 5.67 and 4.85 t ha−1 (Figure 2). A negative value for nitrogen agronomic efficiency indicates that the fertilizer application resulted in a lower yield compared to the control plot.
Table 4.
Nitrogen agronomic efficiency (NAE).
3.3. Results of Vegetation Indices
The LAI in the second decade of April, i.e., in the BBCH 28-29 phase for the wheat lines discussed here, was 1.86 and 1.70 m2 m−2 for lines V1 and V2, respectively (Table 5). These values did not differ significantly, but sulfur and nitrogen fertilization significantly affected this trait. Among the sulfur-fertilized treatments, the 20 kg S ha−1 dose increased the LAI by 1.14% and the 40 kg S ha−1 dose by 2.27%, compared to the control dose (0 kg S ha−1). The difference between the 0 and 40 kg S ha−1 doses was statistically significant. Increasing nitrogen doses, ranging from 0 to 80 kg N ha−1, increased the LAI from 1.54 to 1.88 m2 of leaves per m2 of soil at the 80 kg N ha−1 dose. No increase in LAI was observed at higher doses. Significant interaction between wheat lines and sulfur and nitrogen fertilization was demonstrated. The V2 line responded with a systematic increase in leaf area to increasing sulfur doses, which was not observed in the V1 line (Table 5). The studied wheat lines did not respond uniformly to the optimal nitrogen dose of 80 kg N ha−1.
Table 5.
LAI value (second decade of April) of two lines of winter wheat depending on nitrogen and sulfur fertilization (two-year average value).
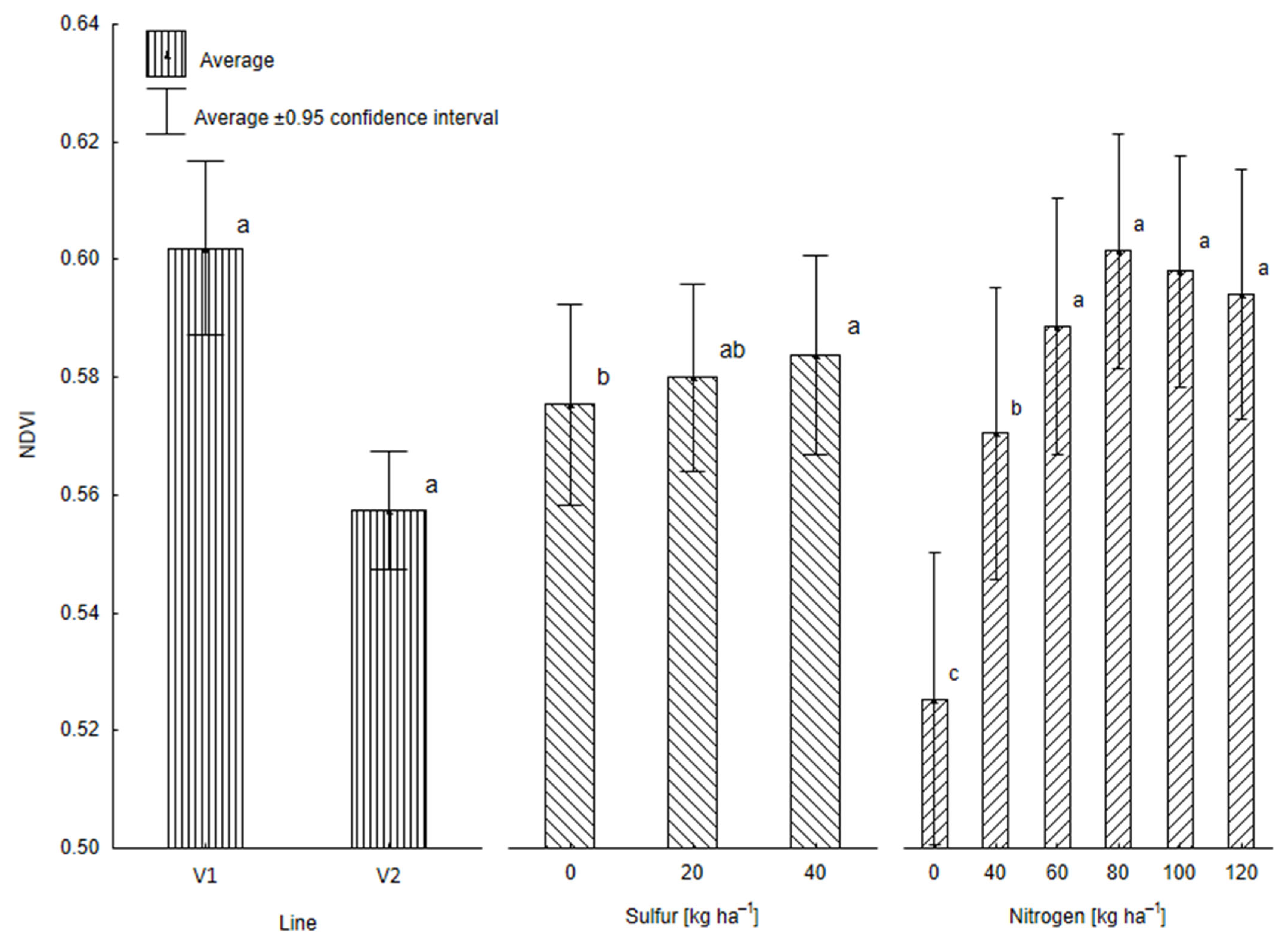
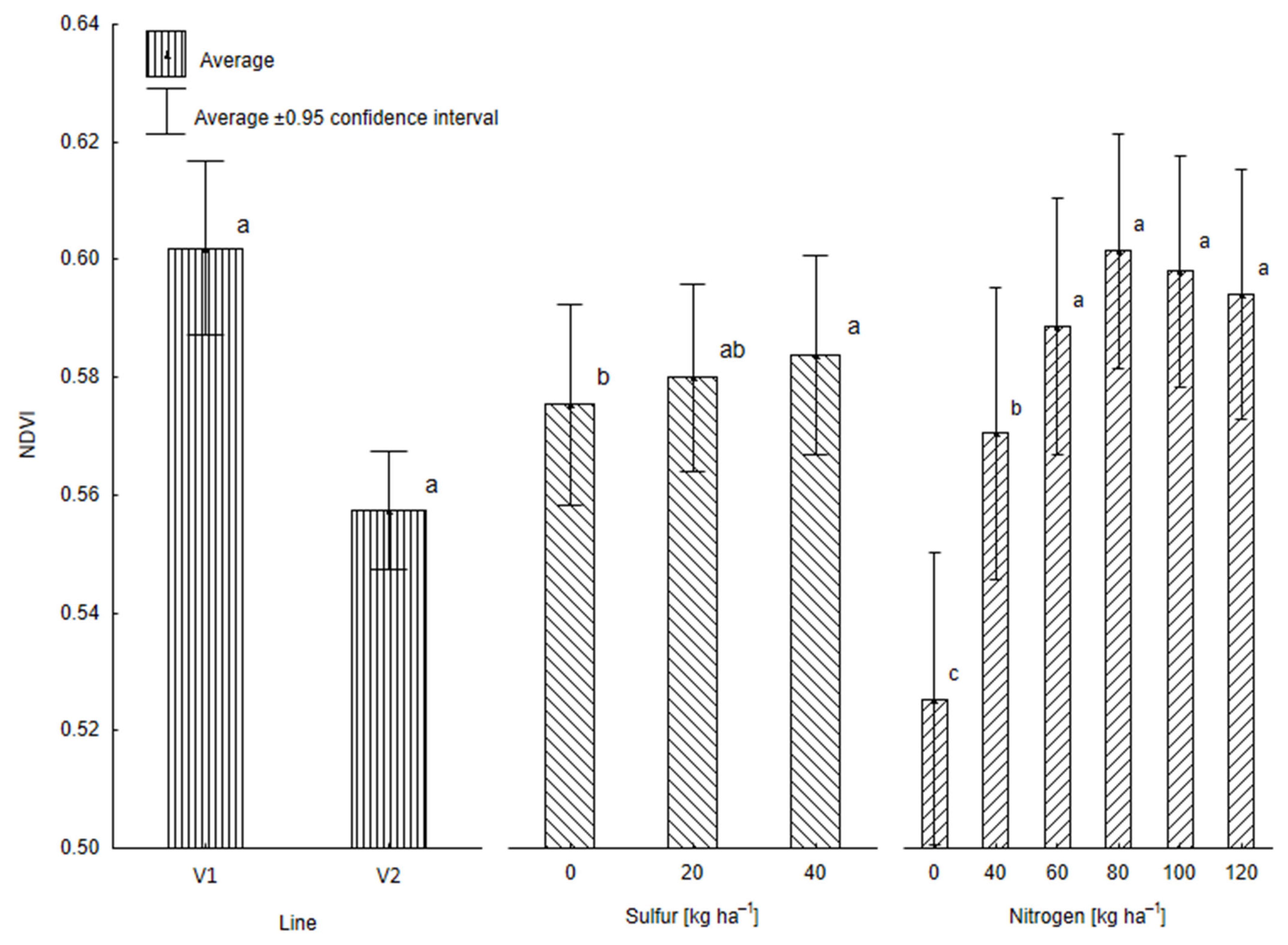
In the BBCH 28-29 phase, the range of NDVI values for the wheat lines was between 0.558 and 0.602. Average values for the wheat lines varied slightly. Higher NDVI values were recorded for the V1 line. Increasing doses of nitrogen and sulfur had a similar effect on this index as on the LAI. The NDVI increased linearly with increasing sulfur doses. A different relationship was observed for objects fertilized with nitrogen. Applying 80 kg N ha−1 resulted in a significant increase in the NDVI value (Figure 3).
Figure 3.
NDVI values for the main effects of the experiment—averages for the years 2020–2021, BBCH 28-29 (bars marked with the same letters not statistically different at 0.05 level of probability, vertical lines indicate a 95% confidence interval, V1—line wasko.gl−, and V2—line wasko.gl+).
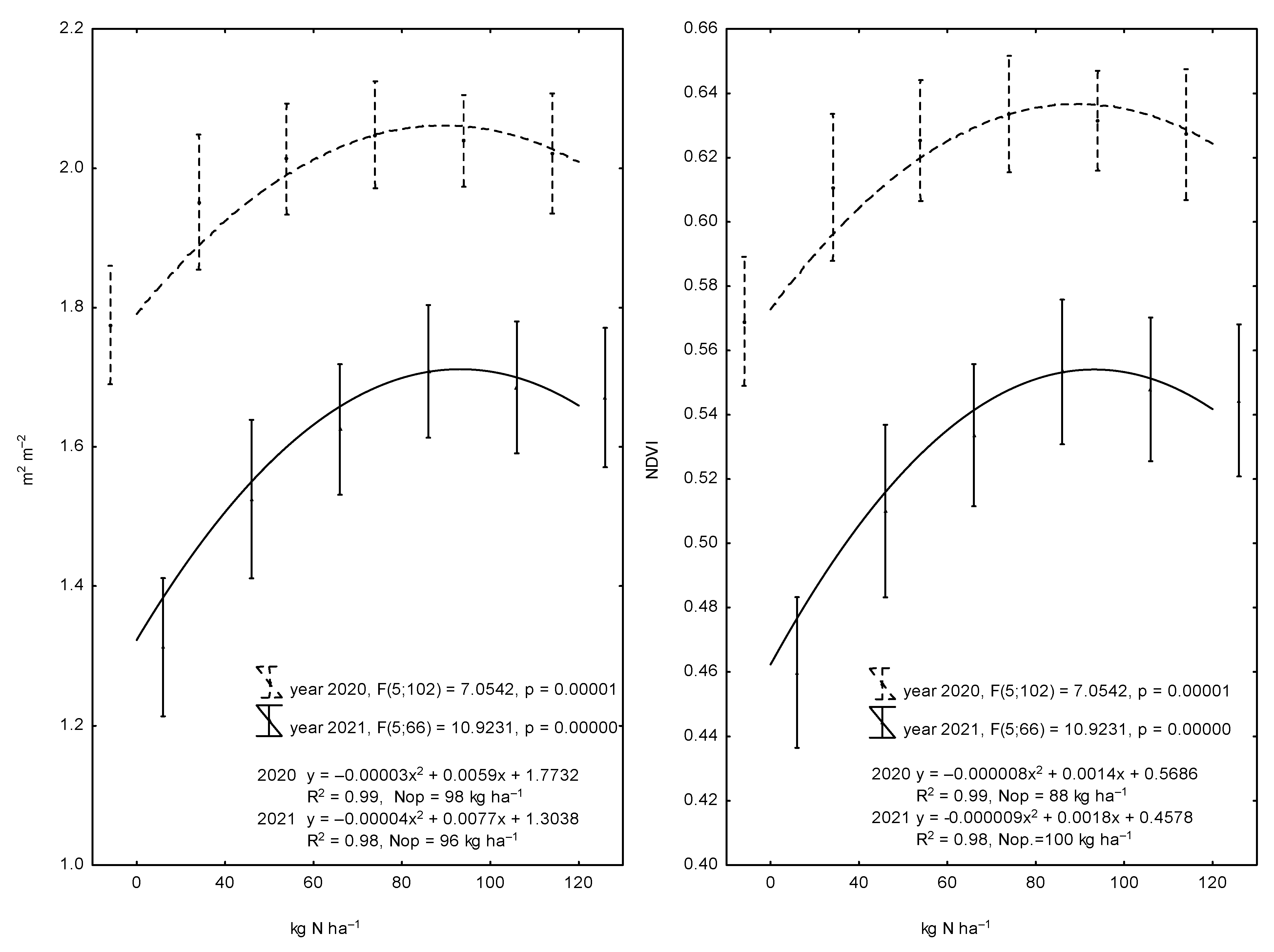
Figure 4 shows the results of NDVI and LAI measurements from the 2019/20 and 2020/21 seasons. These illustrate how winter wheat lines respond to different nitrogen doses, as described by second-degree polynomial models. A strong positive response of the NDVI to increasing nitrogen doses was observed in both years of the study, with a very high correlation (R2 = 0.99 in 2020 and R2 = 0.98 in 2021). The curves were parabolic in nature, reaching a maximum after which the NDVI decreased (Figure 4).
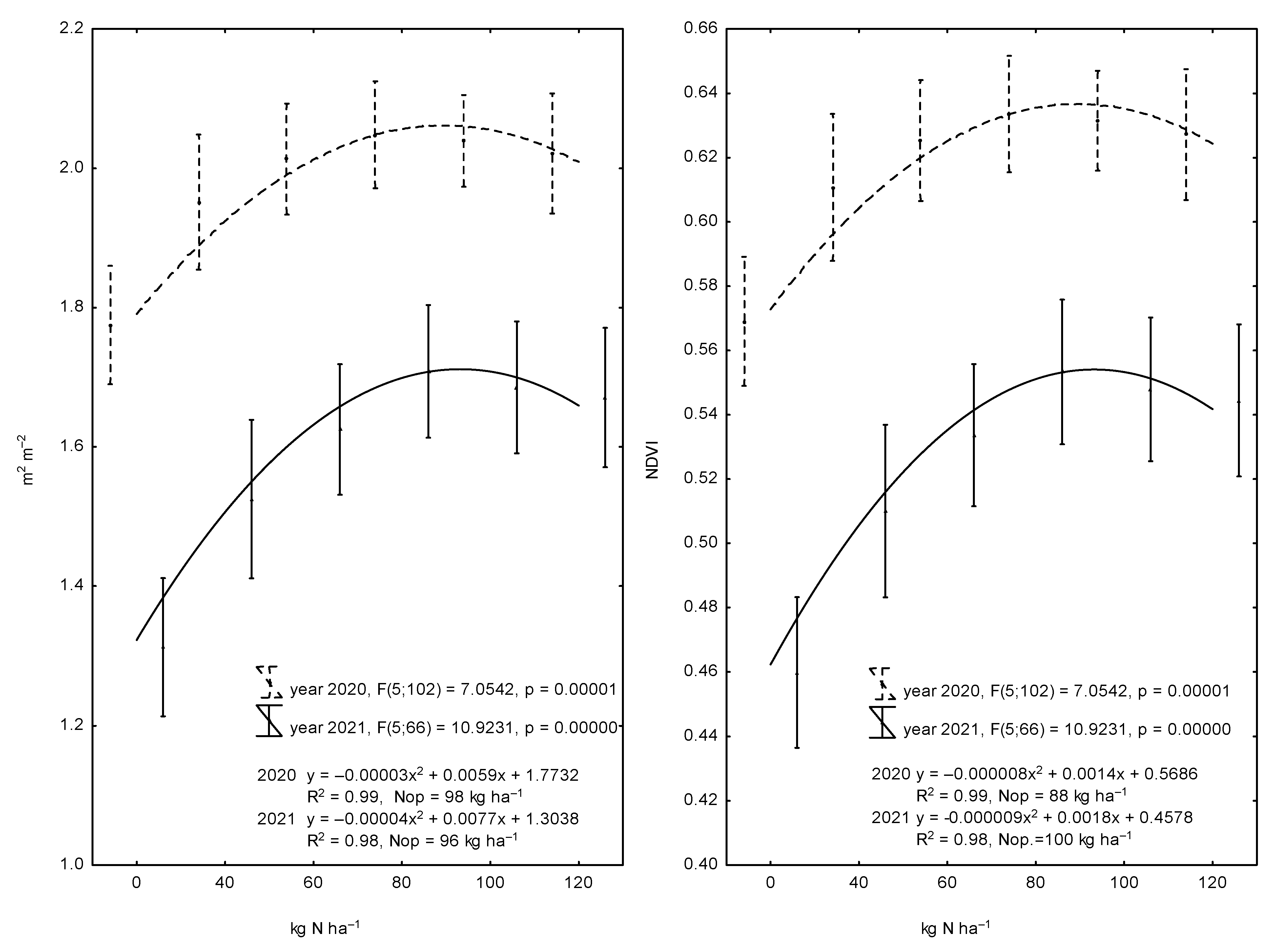
Figure 4.
The effect of N dose on leaf area index (LAI) and NDVI during the stem elongation phase [BBCH 28-29] (Nop—optimal N dose for maximal yield, vertical lines indicate a 95% confidence interval, F—calculated F value, and p—probability).
In 2020, the maximum NDVI value (0.63) was obtained at a dose of 88 kg N ha−1. In 2021, it was lower (0.55) and the optimum was achieved at a higher dose of 100 kg N ha−1. Differences in NDVI values and optimal doses between years are typical and result from the modifying influence of environmental conditions. The lower maximum NDVI in 2021 with a higher optimal dose is due to the weather conditions prevailing during the measurement period—below-average temperatures and above-average precipitation (Figure 1). Lower temperatures slowed down plant metabolism, including chlorophyll biosynthesis, resulting in lower NDVI values compared to the previous year (2020).
At the same time, this slowdown in the rate of nutrient uptake and possible nitrogen losses due to leaching during above-average rainfall required the use of a higher dose of N to achieve the same effect as in the previous year, which was characterized by opposite weather conditions during the same period. Similar to NDVI, the relationship between the N dose and the LAI was described by second-degree polynomial models (R2 = 0.99 and 0.98).
The results confirm a strong positive but decreasing effect of nitrogen on the development of plant assimilation area (Figure 4). In 2020, the maximum theoretical LAI value (2.06 m2·m−2) was obtained at a dose of 98 kg N ha−1, while, in 2021, the maximum LAI value was lower (1.67 m2 m−2) and was achieved at a similar dose of 96 kg N ha−1. An increase in the N dose resulted in intensive leaf area development but only up to the optimum point. The lower LAI values in 2021 indicate the impact of weather conditions; a cooler April slowed the growth rate of vegetative organs, including leaves. The results indicate a discrepancy between the optimal nitrogen dose for maximizing NDVI and the optimal dose for maximizing LAI. In 2021, the optimal nitrogen dose for LAI was higher than for NDVI, suggesting that the NDVI may reach saturation earlier, becoming less sensitive to increases in leaf biomass. Once a certain level of nitrogen nutrition has been reached (as reflected by the NDVI), plants continue to increase their leaf area (LAI). However, this does not necessarily result in an increase in chlorophyll content (or crop greenness index).
The results presented in Figure 5 show the varied response of the tested winter wheat lines (V1 and V2) to nitrogen fertilization, expressed as changes in NDVI and LAI values. In both lines, a strong positive response of the LAI to increasing nitrogen doses was observed, described by a second-degree polynomial model with a very high fit (R2 = 0.97 for V1 and R2 = 0.99 for V2). For line V1, the maximum theoretical LAI value (2.03 m2 m−2) was obtained at a dose of 110 kg N ha−1 and, for V2, the maximum value (1.79 m2 m−2) was obtained at a lower dose of 84 kg N ha−1. For line V1, the maximum theoretical NDVI value (0.634) was obtained at a dose of 114 kg N ha−1 and, for line V2 (0.577), at a dose of 89 kg N ha−1.
Figure 5.
LAI and NDVI values depending on the N dose in the studied winter wheat lines in the stem elongation phase [BBCH 28-29] (V1—line wasko.gl−, V2—line wasko.gl+, Nop—optimal N dose for maximal yield, vertical lines indicate a 95% confidence interval, F—calculated F value, and p—probability).
The results clearly indicate significant genetic variation among the studied wheat lines in response to nitrogen fertilization. Line V1 required higher doses (110–114 kg N ha−1) to achieve maximum LAI and NDVI. In contrast, line V2 was characterized by greater nitrogen use efficiency (Table 2), reaching optimum levels at significantly lower fertilizer doses (84–89 kg N ha−1). The V1 line not only required a higher nitrogen dose but also had higher maximum values for both LAI and NDVI compared to the V2 line. This indicates a greater yield potential under optimal nitrogen supply conditions for the V1 line, which is very often associated with a genetically determined ability to build a larger assimilation apparatus.
The differences between wheat lines are significant for agricultural practice. Applying uniform fertilizer recommendations for different varieties would lead to overfertilization of line V2—the optimal dose for line V1 (114 kg N ha−1) applied to line V2 would cause LAI and NDVI values to fall below the optimum, thereby increasing fertilization costs and the risk of negative environmental impact. On the other hand, not adjusting the dose for line V1—the optimal dose for line V2 (89 kg N·ha−1)—would not allow line V1 to fully express its yield potential.
3.4. Content of Protein in Winter Wheat Grain
The protein content in grain of two winter wheat lines is presented in Table 6. In both cases, the highest average protein content was found in wheat grain fertilized with a nitrogen dose of 120 kg ha−1, at 145.6 g kg−1 DM for the non-allergenic line (V1), and 146.3 g kg−1 DM for the comparative line (V2). The lowest was found in grain from the control treatment at 131.4 g kg−1 (V1) and 132.5 g kg−1 DM (V2), respectively. Increasing nitrogen rates systematically increased the protein content in grain of both wheat lines. The applied sulfur rates also modified the protein content in grain. For the non-allergenic line (V1), the most favorable rate was 20 kg S ha−1, while, for the comparative line (V2), the most favorable rate was 40 kg S ha−1. A significant increase in grain protein content was observed as a result of nitrogen fertilization above a dose of 60 kg N ha−1. A tendency towards a beneficial effect of increasing sulfur doses on this grain quality parameter was observed but without significant differentiation.
Table 6.
Protein content of two lines of winter wheat depending on nitrogen and sulfur fertilization (two-year average value)—g kg−1 DM.
4. Discussion
Taking into account that fertilization is one major creator of plant productivity, we assessed the response of two winter wheat lines (V1, non-allergenic line; V2, allergenic line) to nitrogen and sulfur fertilization. The advantage of the proposed studies is clear, as they identified the response of ω-gliadin-free wheat line, in comparison to the traditional one, to N–S fertilization using selected vegetative indices (NDVI and LAI). The available literature lacks this knowledge. Based on current research, we rejected the hypothesis that winter wheat lines (V1 line containing a complete set of allergenic proteins and V2 line completely devoid of these proteins) show a similar response to a specific technological variant of cultivation or similar vegetation indices values.
In current research nitrogen fertilization (from 0 to 120 kg N ha−1) significantly influenced grain yield of both varietes. Significant differences in wheat grain yield were observed between the lines. The yield of grain without allergenic properties was significantly higher than the yield with allergenic properties. Litke et al. [27] observed a significant wheat grain yield increase up to the rate 180 kg N ha−1, but Walsh et al. [40] did not find any significant differences in wheat grain yield under two levels of N fertilization, 90 and 123 kg N ha−1.
Proper plant supply not only with nitrogen but also with other nutrients is important for effective nitrogen fertilization. The unsuitable management of nitrogen fertilization can reduce yield of the cutivation plant and lead to losses of this element [21,41,42]. The effect of nitrogen and sulfur fertilizetion on crop production has been investigated by much reaserch [22,43,44]. Cereal crops and grasses (e.g., wheat) have the lowest sulfur requirement. This requirement ranges from 12 to 25 kg S ha−1 rok−1 [45]. It was found that wheat needs about 3 kg S ha−1 to produce 1 ton of grain with an equivalent amount of straw [46]. In the experiment, whose results are disccused in this article, as a rule, sulfur fertilization did not significantly affect grain yield.
Nitrogen agronomic efficiency (NAE) is crucial for global food security due to its important role in determining crop yields. Previous studies found that NAE can be altered by N fertilizer management strategies (type of input, time, method, and amount of application), crop rotation, crop type, and initial soil N availability [2,47,48,49,50,51]. NAE mean ranged from 14.1 kg kg−1 to 68.8 kg kg−1, and the mean was 20.8 kg kg−1 ± 1.1 [52]. Liang et al. [52] proved a negative correlation between NAE and nitrogen application rate. Additionally it was found out that N should be applied as NH4NO3 or NH4 with P and K fertilizers for sustained NAE. In current research N was applied as NH4NO3 with PK and sulfur. The highest values were 13.7 kg of grain for the V1 line and 19.6 kg of grain for the V2 line. The calculated optimal doses for these lines were 89.7 and 87.5 kg N ha−1, respectively, with predicted yields of 5.67 and 5.55 t ha−1. Fertilization with sulfur, especially as an additional fertilizer, increases the nitrogen agronomic efficiency of N fertilization of winter wheat, which was previously proved by Tabak et al. [21].
Integration of remote sensing data into cereal crop technology is the most promising method for optimization fertilization. Guo et al. [53] collected canopy spectral information received from multi-spectral sensors used to monitor the winter wheat (Triticum aestivum L.) crop in order to establish a yield prediction model under slow-release nitrogen fertilizer condition. They also proposed optimal fertilization strategies to increase wheat yield. The authors proved that the leaf area index (LAI) provides the necessary link between remote sensing observation data and the canopy state variables that are used to predict crop yield. The same authors also highlighted that applying different types of nitrogen fertilizer can significantly affect the relationship between leaf area index (LAI) and yield. Similar results were obtained by Ram et al. [54], who proved that the application of sulfur can effectively increase the resulting growth parameters such as dry matter accumulation, leaf area index (LAI), chlorophyll content, and crop growth rate (CGR) over the control. In addition, the authors proved that a high dose of sulfur (30 kg S ha−1) increased the yield attributes efficiently. The number of tillers, spike weight, and filled grains per spike were higher with 30 kg S ha−1 compared to 15 kg S ha−1. In our studies, sulfur was not very effective in forming yield parameters. Better results were obtained for treatments fertilized with nitrogen. Among the nitrogen-fertilized treatments, a dose of 80 kg N ha−1 caused an increase in the LAI from 1.54 to 1.88 m2 of leaves per m2 of soil. No increase in LAI values was observed at higher doses. A significant interaction between lines and sulfur and nitrogen fertilization has been demonstrated. Our studies proved that lines did not respond uniformly to the optimal nitrogen dose of 80 kg N ha−1. Line V2 (winter wheat with allergic protein) responded with a systematic increase in leaf area under the influence of increasing sulfur doses, which was not observed in line V1 (winter wheat without allergic protein).
Remote sensing tool such as the Normalized Difference Vegetation Index (NDVI) is widely used to assess crop nutritional status [29]. However, as Tuoku et al. [55] say, variability in plant growth period of cereals, such as rainfall distribution, solar radiation, temperature, and agronomic practices, can affect the values of NDVI. The farmer might decide to apply more N where NDVI is higher to maximize crop production in high productivity areas or apply less N where NDVI is higher to homogenize grain yield [56,57]. Currently, greater attention is being paid to benefit the environment; hence, NDVI and LAI are used to stabilize and optimize crop production. Current results proved that fertilization estimation based on NDVI or LAI indices is a very efficient tool because it reflects well crop productivity depending on the specific technological variant such as fertilization level and genotype. The application of 40 kg of sulfur and 80 kg of nitrogen per ha resulted in a significant increase in the NDVI value for line V1 (winter wheat without allergic protein). The same phenomenon was confirmed using the nitrogen agronomic efficiency index (NAE). However, for V2 line (winter wheat with allergic protein), more sustainable fertilization was applying 40 kg of sulfur and 60 kg of nitrogen per ha. Bronson et al. [58] observed strong N effects on NDVI value. Treatments with no N applied resulted in the lowest NDVI, and the high-N treatments had the highest NDVI values.
Cereal grains are a major source of energy, carbohydrates, and dietary proteins. Wheat grain protein content is considered the main source of vegetable protein in human diets, particularly in regions where animal protein is scarce or expensive [59]. Wheat proteins, particularly gluten, play a significant role in determining the dough’s strength, elasticity, and extensibility, which ultimately determine the quality of baked products [60]. Protein content above 125 g ha−1 in wheat provides sufficient gluten to form good dough for bread making, while wheat with protein content under 110 g ha−1 is suitable for making cookies [61]. Genetic and environmental factors as well as fertilization management highly influence grain protein concentration and composition [62]. In current research the protein content in the grain of two lines of winter wheat, V1 without allergic protein and V2 with allergic protein, was compared. Increasing nitrogen doses systematically increased the protein content in both wheat lines. The sulfur doses also modified the protein content in the grain. The observed protein content enabled the grain to be used in the baking industry. There is still no consensus on the effect of nitrogen application on the content of grain protein and its composition in wheat under different experimental conditions. Temperature and precipitation regulate the accumulation of protein in wheat by affecting photosynthesis, growth rate, nutrient use efficiency, and the transfer of nutrients [63]. Several studies [64,65] indicated that the application of sulfur-containing fertilizers increased the yield and the protein content of grain. In our own research we found such a relationship but without statistical significance, in relation to sulfur only up to the dose 20 kg S ha−1.
5. Conclusions
This study demonstrated that nitrogen fertilization had a significant but varied impact on grain yield, agronomic efficiency, vegetation indices, and protein content of the two winter wheat lines. In contrast, the influence of sulfur was more limited, primarily affecting protein composition. This led to the rejection of the research hypothesis. The dose of nitrogen calculated based on the regression analysis of seed yield in relation to nitrogen application for the winter lines was about 20 kg/ha lower than the doses calculated for the maximum LAI and NDVI values. The hypoallergenic line (wasko.gl−) showed significantly higher yield potential and required greater nitrogen inputs to reach optimal values of LAI and NDVI, whereas the allergenic line (wasko.gl+) exhibited higher nitrogen-use efficiency and achieved comparable physiological responses at lower nitrogen doses. These results indicate that genotype-specific fertilization strategies are necessary to optimize yield and quality, particularly when cultivating hypoallergenic wheat intended for gluten-sensitive consumers. Remote sensing indicators such as LAI and NDVI proved useful tools for monitoring plant nitrogen status and could support precision fertilization practices. Overall, the findings highlight that efficient nitrogen management remains the key factor for sustainable production of both conventional and hypoallergenic wheat, ensuring high-quality grain while minimizing environmental risks.
Author Contributions
Conceptualization, M.R. and B.K.; methodology, B.K. and A.O.; software, A.O. and A.K.-K.; validation, M.R., A.L. and B.F.-M.; formal analysis, A.O. and B.K.; investigation, B.K., A.K.-K. and A.O.; resources, B.K.; data curation, B.K. and A.O.; writing—original draft preparation, B.F.-M.; writing—review and editing, A.K.-K.; visualization, A.O. and B.K.; supervision, M.R.; project administration, B.K. and M.R.; funding acquisition, M.R. and B.K. All authors have read and agreed to the published version of the manuscript.
Funding
The research received financial support from the National Centre for Research and Development (NCBR) grant POIR.04.01.04-00-0051/18-00, acronym HYPFLO.
Institutional Review Board Statement
Not applicable.
Informed Consent Statement
Not applicable.
Data Availability Statement
The data presented in this study are available on request from the corresponding author.
Conflicts of Interest
The authors declare no conflict of interest.
References
- Curtis, T.; Halford, N.G. Food security: The challenge of increasing wheat yield and the importance of not compromising food safety. Ann. Appl. Biol. 2014, 164, 354–372. [Google Scholar] [CrossRef]
- Asseng, S.; Martre, P.; Maiorano, A.; Rötter, R.P.; O’Leary, G.J.; Fitzgerald, G.; Girousse, C.; Motzo, R.; Giunta, F.; Babar, M.A.; et al. Climate change impact and adaptation for wheat protein. Glob. Change Biol. 2019, 25, 155–173. [Google Scholar] [CrossRef]
- Erenstein, O.; Jaleta, M.; Mottaleb, K.A.; Sonder, K.; Donovan, J.; Braun, H.J. Global Trends in Wheat Production, Consumption and Trade; Springer International Publishing: Cham, Switzerland, 2022; pp. 47–66. [Google Scholar]
- FAOSTAT. Agricultural Production Statistics 2000–2022; FAOSTAT Analytical Brief 79; FAOSTAT: Rome, Italy, 2023. [Google Scholar]
- Shewry, P.R.; Hey, S.J. The contribution of wheat to human diet and health. Food Energy Secur. 2015, 4, 178–202. [Google Scholar] [CrossRef]
- Peña-Bautista, R.J.; Hernandez-Espinosa, N.; Jones, J.M.; Guzman, C.G.; Braun, H.J. CIMMYT series on carbohydrates, wheat, grains, and health: Wheat-based foods: Their global and regional importance in the food supply, nutrition, and health. Cereal Foods World 2017, 62, 231–249. [Google Scholar] [CrossRef]
- Bailey, C.H. A translation of Beccari’s lecture “Concerning grains” (1728). Cereal Chem. 1941, 18, 555–561. [Google Scholar]
- Wrigley, C.W.; Bietz, J.A. Proteins and Amino Acids. In Wheat: Chemistry and Technology; Pomeranz, Y., Ed.; AACC: Saint Paul, MN, USA, 1988; pp. 159–275. [Google Scholar]
- Seilmeier, W.; Belitz, H.D.; Wieser, H. Separation and quantitative determination of high-molecular-weight subunits of glutenin from different wheat varieties and genetic variants of the variety. Z. Lebensm. Unters. Forsch. 1991, 192, 124–129. [Google Scholar] [CrossRef]
- Sapone, A.; Bai, J.C.; Ciacci, C.; Dolinsek, J.; Green, P.; Hadjivassiliou, M.; Kaukinen, K.; Rostami, K.; Sanders, D.S.; Schumann, M.; et al. Spectrum of gluten-related disorders: Consensus on new nomenclature and classification. BMC Med. 2012, 10, 13. [Google Scholar] [CrossRef] [PubMed]
- Piboonpocanun, S.; Thongngarm, T.; Wongsa, C.H.; Pacharn, P.; Reamtong, O. Omega-5 and Gamma Gliadin are the Major Allergens in Adult-Onset IgE-Mediated Wheat Allergy: Results from Thai Cohort with Oral Food Challenge. J. Asthma Allergy 2021, 14, 907–917. [Google Scholar] [CrossRef] [PubMed]
- Wing-Kin Wong, G. Food allergies around the world. Front. Nutr. 2024, 11, 1373110. [Google Scholar] [CrossRef]
- Brouns, F.; Geisslitz, S.; Guzman, C.; Ikeda, T.M.; Arzani, A.; Latella, G.; Simsek, S.; Colomba, M.; Gregorini, A.; Zevallos, V.; et al. Do ancient wheats contain less gluten than modern bread wheat, in favour of better health? Nutr. Bull. 2022, 47, 157–167. [Google Scholar] [CrossRef]
- Herman, E.M.; Helm, R.M.; Jung, R.; Kinney, A.J. Genetic modification removes an immunodominant allergen from soybean. Plant Physiol. 2003, 132, 36–43. [Google Scholar] [CrossRef]
- Rogers, W.J.; Sayers, E.J.; Ru, K.L. Deficiency of individual high molecular glutenin subunits affords flexibility in breeding strategies for bread-making quality in wheat Triticum aestivum L. Euphytica 2001, 117, 99–109. [Google Scholar] [CrossRef]
- Waga, J.; Skoczowski, A. Development and characteristics of ω-gliadin-free wheat genotypes. Euphytica 2014, 195, 105–116. [Google Scholar] [CrossRef]
- Skoczowski, A.; Obtułowicz, K.; Czarnobilska, E.; Dyga, W.; Mazur, M.; Stawoska, I.; Waga, J. Antibody reactivity in patients with IgE-mediated wheat allergy to various subunits and fractions of gluten and non-gluten proteins from omega-gliadin-free wheat genotypes. Ann. Agric. Environ. Med. 2017, 24, 29–236. [Google Scholar] [CrossRef] [PubMed]
- Lu, C.; Tian, H. Global nitrogen and phosphorus fertilizer use for agriculture production in the past half century: Shifted hot spots and nutrient imbalance. Earth Syst. Sci. Data 2017, 9, 181–192. [Google Scholar] [CrossRef]
- Carvalho, J.M.G.; Bonfim-Silva, E.M.; Da Silva, T.J.A.; Sousa, H.H.D.F.; Guimarães, S.L.; Pacheco, A.B. Nitrogen and potassium in production, nutrition and water use efficiency in wheat plants. Cienc. Investig. Agrar. 2016, 43, 442–451. [Google Scholar] [CrossRef]
- Rossini, F.; Provenzano, M.E.; Sestili, F.; Ruggeri, R. Synergistic effect of sulfur and nitrogen in the organic and mineral fertilization of durum wheat: Grain yield and quality traits in the mediterranean environment. Agronomy 2018, 8, 189. [Google Scholar] [CrossRef]
- Tabak, M.; Lepiarczyk, A.; Filipek-Mazur, B.; Lisowska, A. Efficiency of Nitrogen Fertilization of Winter Wheat Depending on Sulfur Fertilization. Agronomy 2020, 10, 1304. [Google Scholar] [CrossRef]
- Tabak, M.; Filipek-Mazur, B. Influence of sulfur and iron fertilization on nutrient utilization by plants. Infrastrukt. Ekol. Teren. Wiej. 2019, II/1, 53–65. [Google Scholar] [CrossRef]
- Engardt, M.; Simpson, D.; Schwikowski, M.; Granat, L. Deposition of sulphur and nitrogen in Europe 1900-2015. Model calculations and comparison to historicl observations. Tellus B Chem. Phys. Meteorol. 2017, 69, 1328945. [Google Scholar] [CrossRef]
- Pompa, M.; Giuliani, M.M.; Giuzio, L.; Gagliardi, A.; Di Fonzo, N.; Flagella, Z. Effect of Sulphur Fertilization on Grain Quality and Protein Composition of Durum Wheat (Triticum durum Desf.). Ital. J. Agron. 2009, 4, 159–170. [Google Scholar] [CrossRef]
- Dostálová, Y.; Hřivna, L.; Kotková, B.; Buresova, I.; Janeçková, M.; Šottníková, V. Effect of nitrogen and sulphur fertilization on the quality of barley protein. Plant Soil Environ. 2015, 61, 399–404. [Google Scholar] [CrossRef]
- Lisowska, A.; Tabak, M.; Filipek-Mazur, B.; Gorczyca, O. Effect of sulfur-containing fertilizers on the quantity and quality of spring oilseed rape and winter wheat yield. J. Elem. 2019, 24, 1383–1394. [Google Scholar] [CrossRef]
- Litke, L.; Gaile, Z.; Ruža, A. Effect of nitrogen fertilization on winter wheat yield and yield quality. Agron. Res. 2018, 16, 500–509. [Google Scholar] [CrossRef]
- Huete, A.; Justice, C.; Leeuwen, W.V. Modis Vegetation Index (MOD 13) Algorithm Theoretical Basis Document Version 3; EOS Project Office: Singapore, 1999; Version-3. Available online: https://modis.gsfc.nasa.gov/data/atbd/atbd_mod13.pdf (accessed on 20 August 2025).
- Zhou, X.; Haikarainen, I.; Haikarainen, I.P.; Mäkelä, P.; Mõttus, M.; Pellikka, P. Effects of Crop Leaf Angle on LAI-Sensitive Narrow-Band Vegetation Indices Derived from Imaging Spectroscopy. Appl. Sci. 2018, 8, 1435. [Google Scholar] [CrossRef]
- Tian, X.; Jia, X.; Da, Y.; Liu, J.; Ge, W. Evaluating the sensitivity of vegetation indices to leaf area index variability at individual tree level using multispectral drone acquisitions. Agric. For. Meteorol. 2025, 364, 110441. [Google Scholar] [CrossRef]
- FAO. World Reference Base for Soil Resources 2014, Update 2015; World Soil Resources Reports; FAO: Rome, Italy, 2015; p. 1006. ISBN 978-92-5-108370-3. [Google Scholar]
- ISO10390; Soil Quality—Determination of pH. ISO: Geneva, Switzerland, 2005. Available online: https://www.iso.org/standard/40879.html (accessed on 8 September 2022).
- Egnér, H. Neue Beiträge zur chemischen Bodenuntersuchung unter besonderer Berücksichtigung der Laktatmethode. Landwirtsch. Forsch. 1954, 6, 28–32. [Google Scholar]
- ISO 11261; Soil Quality—Determination of Total Nitrogen—Modified Kjeldahl Method. ISO: Geneva, Switzerland, 1995. Available online: https://www.iso.org/standard/19239.html (accessed on 8 September 2022).
- Mebius, L.J. A rapid method for the determination of organic carbon in soil. Anal. Chim. Acta 1960, 22, 120–124. [Google Scholar] [CrossRef]
- Magwaza, L.S.; Opara, U.L.; Nieuwoudt, H.; Cronje, P.J.R.; Saeys, W.; Nicolaï, B. NIR Spectroscopy Applications for Internal and External QualityAnalysis of Citrus Fruit—A Review. Food Bioprocess Technol. 2012, 5, 425–444. [Google Scholar] [CrossRef]
- Klimek-Kopyra, A.; Zając, T.; Oleksy, A.; Kulig, B.; Ślizowska, A. The value of different vegetative indices (NDVI, GAI) for the assessment of yield potential of pea (Pisum sativum L.) at different growth stages and under varying management practices. Acta Agrobot. 2018, 71, 1733. [Google Scholar] [CrossRef]
- Cuong, T.X.; Ullah, H.; Datta, A.; Hanh, T.C. Effects of silicon-based fertilizer on growth, yield and nutrient uptake of rice in tropical zone of Vietnam. Rice Sci. 2017, 24, 283–290. [Google Scholar] [CrossRef]
- Fixen, P.; Brentrup, F.; Bruulsema, T.; Garcia, F.; Norton, R.; Zingore, S. Nutrient/fertilizer use efficiency: Measurement, current situation and trends. In Managing Water and Fertilizer for Sustainable Agricultural Intensification, 1st ed.; Drechsel, P., Heffer, P., Magen, H., Mikkelsen, R., Wichelns, D., Eds.; International Fertilizer Industry Association (IFA): Paris, France; International Water Management Institute (IWMI): Colombo, Sri Lanka; International Plant Nutrition Institute (IPNI): Peachtree Corners, GA, USA; International Potash Institute (IPI): Basel, Switzerland, 2015; pp. 8–38. ISBN 979-10-92366-02-0. [Google Scholar]
- Walsh, O.S.; Shafian, S.; Christiaens, R.J. Nitrogen fertilizer management in dryland wheat cropping systems. Plants 2018, 7, 9. [Google Scholar] [CrossRef] [PubMed]
- Jahan, M.; Amiri, M.B. Optimizing application rate of nitrogen, phosphorus and cattle manure in wheat production: An approach to determine optimum scenario using response-surface methodology. J. Soil Sci. Plant Nutr. 2018, 18, 13–26. [Google Scholar] [CrossRef]
- Pan, W.L.; Kidwell, K.K.; McCracken, V.A.; Bolton, R.P.; Allen, M. Economically optimal wheat yield, protein and nitrogen use component responses to varying N supply and genotype. Front. Plant Sci. 2020, 10, 1790. [Google Scholar] [CrossRef]
- Hřivna, L.; Kotková, B.; Burešová, I. Effect of sulphur fertilization on yield and quality of wheat grain. Cereal Res. Commun. 2015, 43, 344–352. [Google Scholar] [CrossRef]
- Klikocka, H.; Cybulska, M.; Nowak, A. Efficiency of fertilization and utilization of nitrogen and sulphur by spring wheat. Pol. J. Environ. Stud. 2017, 26, 2029–2036. [Google Scholar] [CrossRef]
- Podleśna, A. Studies on role of sulfur at forming of mineral management and height and quality of chosen crops yield. In Monografie i Rozprawy Naukowe—Rozprawa Habilitacyjna; Wyd. IUNG-Puławy: Kraków, Poland, 2013; p. 141. ISBN 978-83-7562-133-4. (In Polish + Summary in English). [Google Scholar]
- Zhao, F.J.; Hawkesford, M.J.; McGrath, S.P. Sulphur assimilation and effects on yield and quality of wheat. J. Cereal Sci. 1999, 30, 1–17. [Google Scholar] [CrossRef]
- He, P.; Li, S.; Jin, J.; Wang, H.; Li, C.; Wang, Y.; Cui, R. Performance of an optimized nutrient management system for double-cropped wheat-maize rotations in North-Central China. Agron. J. 2009, 101, 1489–1496. [Google Scholar] [CrossRef]
- Jin, L.; Cui, H.; Li, B.; Zhang, J.; Dong, S.; Liu, P. Effects of integrated agronomic management practices on yield and nitrogen efficiency of summer maize in North China. Field Crops Res. 2012, 134, 30–35. [Google Scholar] [CrossRef]
- Montemurro, F.; Diacono, M. Towards a Better Understanding of Agronomic Efficiency of Nitrogen: Assessment and Improvement Strategies. Agronomy 2016, 6, 31. [Google Scholar] [CrossRef]
- Saudy, H.S.; Abd El–Momen, W.R.; El–Khouly, N.S. Diversified nitrogen rates influence nitrogen agronomic efficiency and seed yield response index of sesame (Sesamum indicum L.) cultivars. Commun. Soil Sci. Plant Anal. 2018, 49, 2387–2395. [Google Scholar] [CrossRef]
- Zavattaro, L.; Costamagna, C.; Grignani, C.; Bechini, L.; Spiegel, A.; Lehtinen, T.; Guzman, G.; Krüger, J.; D’Pose, T.; Pecio, A.; et al. Long-term effects of best management practices on crop yield nitrogen surplus. Ital. J. Agron. 2015, 10, 47–50. [Google Scholar] [CrossRef]
- Liang, G.; Sun, P.; Waring, B.G. Nitrogen agronomic efficiency under nitrogen fertilization does not change over time in the long term: Evidence from 477 global studies. Soil Tillage Res. 2022, 223, 105468. [Google Scholar] [CrossRef]
- Guo, J.; Zeng, X.; Ma, Q.; Yuan, Y.; Zhang, N.; Lin, Z.; Yin, P.; Yang, H.; Liu, X.; Zhang, F. UAV-Based Yield Prediction Based on LAI Estimation in Winter Wheat (Triticum aestivum L.) Under Different Nitrogen Fertilizer Types and Rates. Plants 2025, 14, 1986. [Google Scholar] [CrossRef]
- Ram, A.; Kumar, D.; Shivay, Y.S.; Anand, A.; Singh, N.; Dev, I. Effect of sulphur on growth, productivity, and economics of wheat (Triticum aestivum) and residual soil fertility under aerobic rice (Oryza sativa)–wheat cropping system in Inceptisols. Indian J. Agron. 2024, 63, 271–277. [Google Scholar] [CrossRef]
- Tuoku, L.; Wu, Z.; Men, B. Impacts of climate factors and human activities on NDVI change in China. Ecol. Inform. 2024, 81, 102555. [Google Scholar] [CrossRef]
- Basso, B.; Ritchie, J.T.; Cammarano, D.; Sartori, L. A strategic and tactical management approach to select optimal N fertilizer rates for wheat in a spatially variable field. Eur. J. Agron. 2011, 35, 215–222. [Google Scholar] [CrossRef]
- Fabbri, C.; Mancini, M.; dalla Marta, A.; Orlandini, S.; Napoli, M. Integrating satellite data with a Nitrogen Nutrition Curve for precision top-dress fertilization of durum wheat. Eur. J. Agron. 2020, 120, 126148. [Google Scholar] [CrossRef]
- Bronson, K.F.; White, J.W.; Conley, M.M.; Hunsaker, D.J.; Thorp, K.R.; French, A.N.; Mackey, B.E.; Holland, K.H. Active optical sensors in irrigated durum wheat, nitrogen and water effects. Agron. J. 2017, 109, 1060–1071. [Google Scholar] [CrossRef]
- Poutanen, K.S.; Kårlund, A.O.; Gómez-Gallego, C.; Johansson, D.P.; Scheers, N.M.; Marklinder, I.M.; Eriksen, A.K.; Silventoinen, P.C.; Nordlund, E.; Sozer, N.; et al. Grains—A major source of sustainable protein for health. Nutr. Rev. 2022, 80, 1648–1663. [Google Scholar] [CrossRef]
- Ooms, N.; Delcour, J.A. How to Impact Gluten Protein Network Formation during Wheat Flour Dough Making. Curr. Opin. Food Sci. 2019, 25, 88–97. [Google Scholar] [CrossRef]
- Wang, Y.F.; Jiang, D.; Yu, Z.W.; Cao, W.X. Effects of nitrogen rates on grain yield and protein content of wheat and its physiological basis. Sci. Agric. Sin. 2003, 36, 513–520, (In Chinese with English abstract). [Google Scholar]
- Delcour, J.A.; Joye, I.J.; Pereyt, B.; Wilderjans, E.; Brijs, K.; Lagrain, B. Wheat gluten functionality as a quality determinant in cereal-based food products. Annu. Rev. Food Sci. Technol. 2012, 3, 469–492. [Google Scholar] [CrossRef]
- Wang, C.; Qi, Z.M.; Zhao, J.C.; Gao, Z.Z.; Zhao, J.; Chen, F.; Chu, Q.Q. Sustainable water and nitrogen optimization to adapt to different temperature variations and rainfall patterns for a trade-off between winter wheat yield and N2O emissions. Sci. Total Environ. 2022, 854, 158822. [Google Scholar] [CrossRef]
- Podleśna, A.; Cacak-Pietrzak, G. Effects of fertilization with sulfur on quality of winter wheat. In Sulfur Assimilation and Abiotic Stress in Plants; Khan, A.N., Singh, S., Umar, S., Eds.; Springer: Berlin/Heidelberg, Germany, 2008; pp. 355–365. [Google Scholar]
- Habtegebrial, K.; Singh, B.R. Response of wheat cultivars to nitrogen and sulfur for crop yield, nitrogen use efficiency, and protein quality in the semiarid region. J. Plant Nutr. 2009, 32, 1768–1787. [Google Scholar] [CrossRef]
Disclaimer/Publisher’s Note: The statements, opinions and data contained in all publications are solely those of the individual author(s) and contributor(s) and not of MDPI and/or the editor(s). MDPI and/or the editor(s) disclaim responsibility for any injury to people or property resulting from any ideas, methods, instructions or products referred to in the content. |
© 2025 by the authors. Licensee MDPI, Basel, Switzerland. This article is an open access article distributed under the terms and conditions of the Creative Commons Attribution (CC BY) license (https://creativecommons.org/licenses/by/4.0/).




