Influence of New-Type Industrialization on High-End Manufacturing Industry: Discussion Examining Threshold Effect of Industrial Chain Resilience
Abstract
1. Introduction
2. Theoretical Analysis and Hypotheses
2.1. The Underlying Logic of the Impact of New-Type Industrialization on High-End Manufacturing
2.2. Indirect Effect of New-Type Industrialization on High-End Manufacturing by Improving Human Capital Endowment
2.3. Nonlinear Transmission Mechanism of New-Type Industrialization in High-End Manufacturing Industry
3. Research Design
3.1. Data Source and Processing
3.2. Variable Descriptions
3.2.1. Dependent Variable
3.2.2. Core Independent Variable
3.2.3. Mechanism Variable
3.2.4. Threshold Variable
3.2.5. Control Variables
3.3. Model Setting
4. Empirical Analysis
4.1. Baseline Regression Results
4.2. Endogeneity Tests
4.3. Robustness Tests
4.4. Heterogeneity Analysis
4.5. Mechanism Tests
5. Threshold Effect Test
6. Conclusions and Implications of This Study
6.1. Conclusions of This Study
6.2. Management Inspiration
6.3. Research Limitations and Perspectives
Author Contributions
Funding
Data Availability Statement
Conflicts of Interest
Appendix A
Appendix B
| Variable | VIF | 1/VIF |
|---|---|---|
| ML | 4.48 | 0.223 |
| lnDLNI | 2.87 | 0.348 |
| REDL | 2.43 | 0.411 |
| TIL | 1.92 | 0.520 |
| GSI | 1.06 | 0.941 |
| Mean VIF | 2.55 |
Appendix C
| lnTA | 1 | |||||
| lnDLNI | 0.787 *** | 1 | ||||
| GSI | 0.034 | −0.088 * | 1 | |||
| ML | 0.846 *** | 0.788 *** | −0.147 *** | 1 | ||
| TIL | 0.265 *** | 0.335 *** | −0.196 *** | 0.533 *** | 1 | |
| REDL | 0.746 *** | 0.628 *** | 0.054 | 0.626 *** | −0.010 | 1 |
| Observations | 630 |
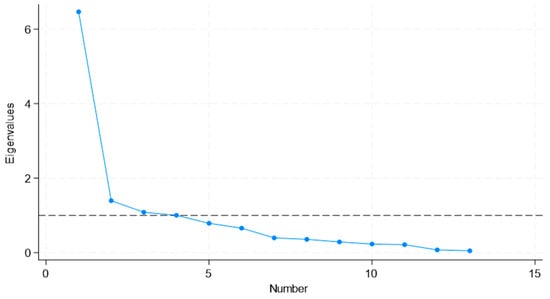
Appendix D
| Component | Eigenvalue | Difference | Proportion | Cumulative |
|---|---|---|---|---|
| Comp1 | 6.468 | 5.073 | 0.498 | 0.498 |
| Comp2 | 1.395 | 0.310 | 0.107 | 0.605 |
| Comp3 | 1.084 | 0.082 | 0.083 | 0.688 |
| Comp4 | 1.003 | 0.215 | 0.077 | 0.765 |
| Comp5 | 0.787 | 0.130 | 0.061 | 0.826 |
| Comp6 | 0.657 | 0.261 | 0.051 | 0.876 |
| Comp7 | 0.396 | 0.040 | 0.031 | 0.907 |
| Comp8 | 0.356 | 0.069 | 0.027 | 0.934 |
| Comp9 | 0.287 | 0.057 | 0.022 | 0.956 |
| Comp10 | 0.230 | 0.016 | 0.018 | 0.974 |
| Comp11 | 0.214 | 0.141 | 0.017 | 0.991 |
| Comp12 | 0.073 | 0.024 | 0.006 | 0.996 |
| Comp13 | 0.049 | — | 0.004 | 1.000 |
References
- Sawik, T. Economically viable reshoring of supply chains under ripple effect. Omega 2025, 131, 103228. [Google Scholar] [CrossRef]
- Ge, Y.; Yu, J.J. New industrialization, High-level Socialist Market Economy System, and Chinese-style Modernization. Soc. Sci. Front 2025, 6, 81–88. [Google Scholar]
- Pang, R.Z.; Li, P.; Lu, Y.G. Study on “New-type” Industrialization Growth Performance and Its Factors during the Transitional Period—Based on “New-type” Industrialization Total Factor Productivity. China Ind. Econ. 2011, 4, 64–73. [Google Scholar]
- Zhou, R.; Tang, D.; Da, D.; Chen, W.; Kong, L.; Boamah, V. Research on China’s Manufacturing Industry Moving towards the Middle and High-End of the GVC Driven by Digital Economy. Sustainability 2022, 14, 7717. [Google Scholar] [CrossRef]
- Zhou, Y.; Yin, X. Evolution of mid-to-high-end manufacturing industry global production network: Structural features and determinants analysis. Geogr. Res. 2025, 44, 905–924. [Google Scholar]
- Wang, Y.; Fan, S. Does the integrated development of high-end, intelligent, and green manufacturing in China influence regional dual control of carbon emissions?—An analysis based on impact mechanisms and spatial effects. Sustainability 2025, 17, 3659. [Google Scholar] [CrossRef]
- Yu, Y.J.; Du, D.B.; Li, Q.X. Spatio-temporal patterns and mechanisms of global S&T structural power: A perspective from high-end manufacturing value chains. Geogr. Res. 2024, 43, 3089–3109. [Google Scholar]
- Li, Y.; Wei, Y.; Li, Y.; Lei, Z.; Ceriani, A. Connecting emerging industry and regional innovation system: Linkages, effect and paradigm in China. Technovation 2022, 111, 102388. [Google Scholar] [CrossRef]
- Li, M.; Liu, Y. The influence of digital innovation ecosystem of high-end equipment manufacturing on the intelligent maturity of enterprise—An empirical study on the configuration of the “three-layer core-periphery” structure. Bus. Process Manag. J. 2023, 30, 199–221. [Google Scholar] [CrossRef]
- da Silva, L.B.P.; Soltovski, R.; Pontes, J.; Treinta, F.T.; Leitão, P.; Mosconi, E.; de Resende, L.M.M.; Yoshino, R.T. Human resources management 4.0: Literature review and trends. Comput. Ind. Eng. 2022, 168, 108111. [Google Scholar] [CrossRef]
- Bena, J.; Ortiz-Molina, H.; Simintzi, E. Shielding firm value: Employment protection and process innovation. J. Financ. Econ. 2022, 146, 637–664. [Google Scholar] [CrossRef]
- Zhu, H.; Bao, W.; Yu, G. How can intelligent manufacturing lead enterprise low-carbon transformation? Based on China’s intelligent manufacturing demonstration projects. Energy 2024, 313, 134032. [Google Scholar] [CrossRef]
- Zheng, S.; Wen, J. Green public procurement and corporate environmental performance: An empirical analysis based on data from green procurement contracts. Int. Rev. Econ. Financ. 2024, 96, 103578. [Google Scholar] [CrossRef]
- Wei, X.; Jiang, F.; Chen, Y.; Hua, W. Towards green development: The role of intelligent manufacturing in promoting corporate environmental performance. Energy Econ. 2024, 131, 107375. [Google Scholar] [CrossRef]
- Lutz, W.; Crespo Cuaresma, J.; Kebede, E.; Prskawetz, A.; Sanderson, W.C.; Striessnig, E. Education rather than age structure brings demographic dividend. Proc. Natl. Acad. Sci. USA 2019, 116, 12798–12803. [Google Scholar] [CrossRef]
- Schultz, W. Investment in Human Capital. Am. Econ. Rev. 1961, 51, 1–17. [Google Scholar]
- Becker, G. Investment in Human Capital: A Theoretical Analysis. J. Political Econ. 1962, 70, 9–49. [Google Scholar] [CrossRef]
- Wan, J.X.; Wang, S.S.; Nie, C.T. Consumption Upgrading Breeds Human Capital Dividend. Contemp. Financ. Econ. 2024, 3, 17–29. [Google Scholar]
- Lin, Y.F.; Chen, B.K. Development Strategy, Industrial Structure and Income Distribution. China Econ. Q. 2013, 12, 1109–1140. [Google Scholar]
- Cheng, H.F.; Yu, P.; Hong, C.X. Impact of Human Capital Quality on Regional Innovation Performance from the Perspective of Intellectual Property Protection. J. Technol. Econ. 2023, 42, 13–25. [Google Scholar]
- Zhang, Y.; Xu, Y.M.; Peng, G. Research in Relation between Cooperation Network, Human Capital and Innovative Performance. J. Xinjiang Norm. Univ. (Ed. Philos. Soc. Sci.) 2017, 38, 116–127. [Google Scholar]
- RUC Research Group of Macroeconomic Analysis and Forecast; Liu, F.; Ze, Y.; Yin, Y. Construction of China’s New Economic Momentum of Economic Growth Under the Slowdown of Global Technological Progress. Econ. Theory Bus. Manag. 2016, 12, 5–20. [Google Scholar]
- Shi, J.X.; Lu, D.N. A Sound System to Enhance the Resilience and Security of the Industrial Supply Chain. Res. Financ. Econ. Issues 2024, 11, 3–17. [Google Scholar]
- Huang, Q.H.; Li, F.F. The Logic and Path of Promoting New-Type Industrialization in the Context of Chinese Modernization. Financ. Trade Econ. 2024, 45, 28–38. [Google Scholar]
- Zhang, L.; Xiong, K.; Gao, X.; Yang, Y. Factors influencing innovation performance of China’s high-end manufacturing clusters: Dual-perspective from the digital economy and the innovation networks. Front. Psychol. 2022, 13, 1012228. [Google Scholar] [CrossRef]
- Zheng, S.Q.; Song, Z.D.; Sun, Z.W.; Wu, J. Place-based Policies and High-quality Employment: The Empirical Study on the Establishment of SEZs in China. J. East China Norm. Univ. (Humanit. Soc. Sci.) 2020, 52, 157–171+188. [Google Scholar]
- Xu, Q.Y. Reshaping of Global Industrial Chain and China’s Choice. J. Mod. Financ. 2021, 26, 3–7+38. [Google Scholar]
- Li, S.H.; Rong, F.Y. The Progressive Logic of Industrial Chain Modernization: Breaking Locks and Improving Resilience. Soc. Sci. Guangdong 2022, 5, 37–47. [Google Scholar]
- Cao, X.H.; Chen, Z.C. Impact of Global Value Chain Participation on Industrial Chain Resilience—An Empirical Test Based on Taiwan’s Manufacturing Industry. Taiwan Stud. 2024, 4, 53–67. [Google Scholar]
- Chen, X.D.; Yang, X.X. Does the Digital Transformation Improve the Independent and Controllable Ability of Industrial Chain? Bus. Manag. J. 2022, 44, 23–39. [Google Scholar]
- Wang, H.; Yang, L.; Feng, Y. How does digital economy affect the industry chain resilience in China? Humanit. Soc. Sci. Commun. 2024, 11, 1–14. [Google Scholar] [CrossRef]
- Han, X.F.; Song, W.F.; Li, B.X. Can the Internet Become a New Momentum to Improve the Efficiency of Regional Innovation in China. China Ind. Econ. 2019, 7, 119–136. [Google Scholar]
- Tang, B.; Zhang, L.F. A Research on the Impacts of Tax Informatization on Corporate Tax Compliance. Tax. Res. 2019, 7, 62–69. [Google Scholar]
- Chen, J.Z.; Liu, Y.C.; Song, L. Beyond Market Imperfections: Efficiency Paradox of Upstream State owned Enterprises under Vertical Structure. J. Manag. World 2024, 40, 111–136. [Google Scholar]
- Mialeshka, Y. New industrialization and trends in modernization of belarusian industry. Sci. Tech. 2021, 20, 357–364. [Google Scholar] [CrossRef]
- Guo, X.B. A Doctrinal Analysis on Industrialization Path Theories of the Communist Party of China. China Ind. Econ. 2022, 1, 19–33. [Google Scholar]
- Romanova, O.A.; Korovin, G.B.; Kuzmin, E.A. Analysis of the development prospects for the high-tech sector of the economy in the context of industrialization. Espacios 2017, 38, 25. [Google Scholar]
- Zhu, X.A.; Wei, G.D. Exploration of Excellent Standards for Non dimensionalization Methods in Entropy Method. Stat. Decis. 2015, 2, 12–15. [Google Scholar]
- Zhu, D.; Ye, X.L. Agricultural New Quality Productive Force in China: Level Measurement and Dynamic Evolution. Stat. Decis. 2024, 40, 24–30. [Google Scholar]
- Ren, Y.; Wu, Y.; He, Z.C. The Impact of Industrial Integration Cluster Development on the Resilience of Industrial Chain. Sci. Decis. Mak. 2024, 5, 64–78. [Google Scholar]
- Pires Ribeiro, J.; Barbosa-Povoa, A. Supply Chain Resilience: Definitions and quantitative modelling approaches—A literature review. Comput. Ind. Eng. 2018, 115, 109–122. [Google Scholar] [CrossRef]
- Wieland, A.; Durach, C.F. Two perspectives on supply chain resilience. J. Bus. Logist. 2021, 42, 315–322. [Google Scholar] [CrossRef]
- Jinag, T. Sensitivity analysis in empirical research on causal inference. Soc. Sci. Guangdong 2023, 5, 36–50. [Google Scholar]
- Cinelli, C.; Hazlett, C. Making sense of sensitivity: Extending omitted variable bias. J. R. Stat. Soc. Ser. B 2020, 82, 39–67. [Google Scholar] [CrossRef]
- Wei, M.; Li, S.H. Study on the Measurement of Economic High-Quality Development Level in China in the New Era. J. Quant. Technol. Econ. 2018, 35, 3–20. [Google Scholar]
- Nie, R.; Sun, H.; Tuo, C.J.; Lu, Y. Can digital-green policy synergies empower the development of new quality productivity? Empirical Evidence from the Comprehensive Big Data Pilot Zone and Low-Carbon City Dual Pilots. Soft Sci. 2025, 1–15. Available online: https://link.cnki.net/urlid/51.1268.G3.20250530.1011.012 (accessed on 20 June 2025).
- Zhang, Q.; Huang, X.; Ahmed Bhuiyan, M.; Huang, Z. Influence of Economic and Financial Openness in Urban Agglomerations of Major Bay Areas. Emerg. Mark. Financ. Trade 2022, 58, 3689–3710. [Google Scholar] [CrossRef]
- Jiang, T. Mediating Effects and Moderating Effects in Causal Inference. China Ind. Econ. 2022, 5, 100–120. [Google Scholar]
- Li, L. Reskilling and Upskilling the Future-ready Workforce for Industry 4.0 and Beyond. Inf. Syst. Front. 2024, 26, 1697–1712. [Google Scholar] [CrossRef]
- Wang, Q. Fixed-effect panel threshold model using stata. Stata J. 2015, 15, 121–134. [Google Scholar] [CrossRef]
- Xie, H.Q.; Zhang, F.; Wu, X.D. Can Virtual Agglomeration Enhance the Resilience of the Industrial Chain? Empirical Test Based on Panel Data of Cities in China. Mod. Financ. Econ.-J. Tianjin Univ. Financ. Econ. 2024, 44, 3–17. [Google Scholar]



| Independent Variable | Primary Indicator | Indicator Definition | Attribute |
|---|---|---|---|
| New-type industrialization | Scientific and technological innovation | Logarithm of turnover in technology market | + |
| Internal expenditure of R&D funds and regions Ratio of gross domestic product | + | ||
| Ratio of local fiscal expenditure on science and technology to the general budget expenditure of local finance | + | ||
| R&D personnel in industrial enterprises above a designated size Equivalent logarithm of full-time staff | + | ||
| Green circulation power | Ratio of energy consumption to gross domestic product | − | |
| Ratio of local fiscal expenditure on environmental protection to the general budget expenditure of local finance | + | ||
| Logarithm of industrial wastewater treatment capacity | + | ||
| Ratio of comprehensive utilization to production of general industrial solid waste | + | ||
| Digital driving capability | Logarithm of software product revenue | + | |
| Logarithm of telecom service revenue | + | ||
| Logarithm of the total number of various express delivery services received and sent by express delivery companies | + | ||
| Logarithm of the total number of broadband network ports used to access the Internet | + | ||
| Logarithm of fixed asset investment in information transmission, software, and information technology services | + |
| Symbol | Variables | Measurements | Obs | Mean | SD | Min | Max |
|---|---|---|---|---|---|---|---|
| lnTA | Development level of high-end manufacturing industry | Total assets of high-end manufacturing enterprises | 630 | 6.072 | 1.696 | 1.432 | 10.376 |
| DLNI | New-type industrialization | Calculate the score by the entropy method | 630 | 0.074 | 0.045 | 0.007 | 0.890 |
| WQ | Human capital endowment | Calculate the score by the entropy method | 630 | 0.497 | 0.139 | 0.116 | 0.855 |
| ICR | Resilience of industrial chain | Measurement of internal fracture resilience and external impact resilience | 630 | 0.534 | 0.159 | 0.183 | 0.897 |
| GSI | Strength of government support | Proportion of government funds in the internal expenditure of regional R&D funds | 630 | 0.208 | 0.139 | 0.000 | 0.608 |
| ML | Marketization level | Sum and logarithm of the number of private enterprises and self-employed persons | 630 | 6.211 | 1.001 | 3.844 | 8.431 |
| TIL | Transport infrastructure level | Logarithm of highway mileage | 630 | 2.264 | 0.891 | 0.039 | 3.478 |
| REDL | Level of economic development | Logarithm of per capita GDP | 630 | 10.054 | 0.684 | 8.596 | 11.509 |
| VARIABLES | (1) TA | (2) TA | (3) TA | (4) WQ |
|---|---|---|---|---|
| lnDLNI | 3.240 *** | 0.838 *** | 0.163 ** | 0.038 ** |
| (0.101) | (0.116) | (0.063) | (0.019) | |
| GSI | 1.334 *** | −0.538 *** | −0.122 ** | |
| (0.209) | (0.182) | (0.056) | ||
| ML | 1.059 *** | −0.050 | 0.046 ** | |
| (0.060) | (0.066) | (0.020) | ||
| TIL | −0.215 *** | −0.492 *** | 0.152 *** | |
| (0.044) | (0.090) | (0.027) | ||
| REDL | 0.545 *** | 0.018 | 0.032 | |
| (0.064) | (0.084) | (0.026) | ||
| Constant | 14.775 *** | −3.529 *** | 7.864 *** | −1.618 *** |
| (0.276) | (0.812) | (0.870) | (0.266) | |
| Province FE | No | No | Yes | Yes |
| Year FE | No | No | Yes | Yes |
| Observations | 630 | 630 | 630 | 630 |
| R2 | 0.619 | 0.827 | 0.972 | 0.929 |
| Adj-R2 | 0.618 | 0.825 | 0.970 | 0.922 |
| Prob > F | 0.000 | 0.000 | 0.000 | 0.000 |
| VARIABLES | RV_q | RV_qa | Coefficient | t-Value |
|---|---|---|---|---|
| DLNI | 0.250 | 0.189 | 0.838 | 7.201 |
| Strength | R2DZ | R2YZ | Coefficient | t-value |
| GSI1 | 0.001 | 0.065 | 0.831 | 7.380 |
| GSI2 | 0.002 | 0.130 | 0.823 | 7.587 |
| GSI3 | 0.003 | 0.195 | 0.817 | 7.821 |
| TIL1 | 0.001 | 0.038 | 0.825 | 7.221 |
| TIL2 | 0.001 | 0.077 | 0.812 | 7.251 |
| TIL3 | 0.002 | 0.115 | 0.798 | 7.285 |
| Variables | (1) System GMM | (2) Difference GMM |
|---|---|---|
| L.TA | 1.029 *** | 0.928 *** |
| (0.090) | (0.111) | |
| LnDLNI | 0.349 ** | 0.274 * |
| (0.152) | (0.172) | |
| Controls | Yes | Yes |
| Province FE | Yes | Yes |
| Year FE | Yes | Yes |
| AR(1) | 0.000 | 0.001 |
| AR(2) | 0.653 | 0.648 |
| Hansen test | 0.276 | 0.168 |
| Variables | (1) TA | (2) TA | (3) TA | (4) TA | (5) TA |
|---|---|---|---|---|---|
| lnDLNI | 0.194 ** | 0.203 * | 0.171 ** | 0.741 ** | 0.163 ** |
| (0.083) | (0.104) | (0.065) | (0.360) | (0.063) | |
| GSI | −0.478 | −0.471 | −0.572 | 0.064 | −0.538 |
| (0.494) | (0.507) | (0.555) | (0.364) | (0.524) | |
| ML | −0.053 | −0.094 | −0.044 | −0.165 * | −0.050 |
| (0.130) | (0.132) | (0.142) | (0.086) | (0.129) | |
| TIL | −0.493 ** | −0.533 ** | −0.044 | −0.832 *** | −0.492 ** |
| (0.233) | (0.233) | (0.142) | (0.243) | (0.231) | |
| REDL | 0.027 | 0.066 | 0.035 | 0.494 | 0.018 |
| (0.119) | (0.126) | (0.134) | (0.473) | (0.117) | |
| Constant | 8.050 *** | 7.298 *** | 7.492 *** | 6.888 | 7.864 *** |
| (1.284) | (1.313) | (1.777) | (5.312) | (1.242) | |
| Province FE | Yes | Yes | Yes | Yes | Yes |
| Year FE | Yes | Yes | Yes | Yes | Yes |
| Observations | 630 | 630 | 546 | 240 | 630 |
| R2 | 0.973 | 0.973 | 0.968 | 0.991 | 0.972 |
| Adj-R2 | 0.970 | 0.970 | 0.964 | 0.989 | 0.970 |
| Prob > F | 0.000 | 0.000 | 0.000 | 0.002 | 0.028 |
| VARIABLES | (1) Old Industrial Base | (2) Non-Old Industrial Base | (3) High Opening-Up | (4) Low Opening-Up | (5) Dense Development Zones | (6) Sparse Development Zones |
|---|---|---|---|---|---|---|
| lnDLNI | −0.069 | 0.183 ** | 0.642 * | 0.184 *** | 0.149 ** | 0.253 ** |
| (0.128) | (0.056) | (0.336) | (0.071) | (0.054) | (0.089) | |
| GSI | −1.566 * | 0.666 * | −1.317 *** | −0.565 *** | −0.668 | −0.199 |
| (0.890) | (0.333) | (0.430) | (0.209) | (0.508) | (0.584) | |
| ML | −0.002 | −0.299 ** | 0.017 | −0.072 | 0.030 | −0.116 |
| (0.166) | (0.094) | (0.080) | (0.085) | (0.192) | (0.278) | |
| TIL | 0.034 | −0.876 ** | −0.658 *** | −0.216 * | −0.598 | −0.627 |
| (0.330) | (0.345) | (0.149) | (0.126) | (0.372) | (0.371) | |
| REDL | 0.024 | 0.737 | 0.366 | 0.057 | 0.011 | 0.247 |
| (0.139) | (0.515) | (0.229) | (0.096) | (0.113) | (0.501) | |
| Constant | 5.814 *** | 2.089 | 6.324 ** | 6.571 *** | 8.283 *** | 5.458 |
| (1.624) | (4.628) | (2.722) | (1.039) | (2.008) | (4.856) | |
| Province FE | Yes | Yes | Yes | Yes | Yes | Yes |
| Year FE | Yes | Yes | Yes | Yes | Yes | Yes |
| Observations | 441 | 189 | 187 | 442 | 378 | 252 |
| R2 | 0.988 | 0.988 | 0.990 | 0.957 | 0.973 | 0.972 |
| Adj-R2 | 0.964 | 0.988 | 0.988 | 0.952 | 0.969 | 0.967 |
| Prob > F | 0.000 | 0.000 | 0.000 | 0.000 | 0.000 | 0.000 |
| Variable | Threshold Type | p-Value | Bootstrap Times | Critical Value | ||
|---|---|---|---|---|---|---|
| 1% | 5% | 10% | ||||
| ICR | Single | 0.004 | 500 | 61.940 | 43.684 | 37.344 |
| ICR | Double | 0.100 | 500 | 41.237 | 30.203 | 26.238 |
Disclaimer/Publisher’s Note: The statements, opinions and data contained in all publications are solely those of the individual author(s) and contributor(s) and not of MDPI and/or the editor(s). MDPI and/or the editor(s) disclaim responsibility for any injury to people or property resulting from any ideas, methods, instructions or products referred to in the content. |
© 2025 by the authors. Licensee MDPI, Basel, Switzerland. This article is an open access article distributed under the terms and conditions of the Creative Commons Attribution (CC BY) license (https://creativecommons.org/licenses/by/4.0/).
Share and Cite
Na, H.; Luo, C.; Jiang, A. Influence of New-Type Industrialization on High-End Manufacturing Industry: Discussion Examining Threshold Effect of Industrial Chain Resilience. Sustainability 2025, 17, 9294. https://doi.org/10.3390/su17209294
Na H, Luo C, Jiang A. Influence of New-Type Industrialization on High-End Manufacturing Industry: Discussion Examining Threshold Effect of Industrial Chain Resilience. Sustainability. 2025; 17(20):9294. https://doi.org/10.3390/su17209294
Chicago/Turabian StyleNa, Hui, Conghui Luo, and Anyin Jiang. 2025. "Influence of New-Type Industrialization on High-End Manufacturing Industry: Discussion Examining Threshold Effect of Industrial Chain Resilience" Sustainability 17, no. 20: 9294. https://doi.org/10.3390/su17209294
APA StyleNa, H., Luo, C., & Jiang, A. (2025). Influence of New-Type Industrialization on High-End Manufacturing Industry: Discussion Examining Threshold Effect of Industrial Chain Resilience. Sustainability, 17(20), 9294. https://doi.org/10.3390/su17209294
