You are currently viewing a new version of our website. To view the old version click .
Sustainability
  • Article
  • Open Access

10 October 2025

Exploring Factors That Drive Millet Farmers to Join Millet FPOs for Sustainable Development: An ISM Approach

,
,
,
,
,
,
and
1
Indian Council of Agricultural Research (ICAR)–Indian Institute of Millets Research (IIMR), Hyderabad 500030, India
2
Agricultural Extension, College of Forestry, University of Agricultural Sciences Mandya, Ponnampet 571216, India
*
Authors to whom correspondence should be addressed.

Abstract

Agriculture and its allied activities contribute to the primary sector in India and act as the basis for the country’s economy. Available agricultural landholdings are scattered as multiple plots across the country. Land fragmentation has led to problems achieving economies of scale and economies of scope; lower productivity, efficiency, and modernization; loss of biodiversity; and little scope for mechanization and technology. FPOs are small clusters of farmers who collaborate to enhance their bargaining strength through collective procurement, processing, and marketing efforts. To enhance the performance of FPOs at the grassroots level, the engagement of cluster-based business organizations (CBBOs) is vital. Millet FPOs are similar to voluntary farmer groups that are involved in the cultivation and promotion of millets. IIMR-promoted millet FPOs were selected purposively for the present study as they are involved in millet cultivation and farming. A total of 450 millet farmers from 15 FPOs and 3 states were randomly chosen for this action research study. The present research identified 10 key factors and collected farmers’ opinions toward member participation in millet FPOs using interpretive structural modeling. The ISM approach provided a clear understanding of how the selected factors interconnect hierarchically with each other as foundational drivers and dependent outcomes. The results from the MICMAC analysis demonstrated that foundational interventions, such as post-harvest technology availability (V2) and knowledge transfer by KVKs (V5), directly support higher-level objectives. Intermediate factors like economies of scale (V1) and market and credit linkages (V3) transform these services into operational advantages, while the outcome factors of business planning (V8), FPO branding (V7), and bargaining power (V9) emerge as dependent variables. The model demonstrates that V2 catalyzes improvements across the production, market, and institutional domains, cascading through intermediate enablers (V1, V4, V5, V6) to strengthen outcomes (V3, V7, V8, V9, V10). This hierarchy demonstrates that investing in post-harvest technology and complementary extension services is critical for building resilient millet FPOs and enhancing member participation.

1. Introduction

Agriculture continues to be the primary source of livelihood for a substantial proportion of India’s rural population [1]. Agriculture and its allied activities contribute to the primary sector in India and act as the basis for the country’s economy [2]. According to the union budget 2025–26 report released by the Government of India, around 46.1% of the Indian population are dependent on agriculture and allied activities. The majority of the country’s total operational landholdings are managed by marginal and small farmers (89.4%) with an agricultural land area coverage of 47.3%, which is divided into single agricultural holdings as multiple scattered plots across the country [3,4]. Land fragmentation has led to problems achieving economies of scale and economies of scope; lower productivity, efficiency, and modernization; loss of biodiversity; and low scope for mechanization and technologies [5]. Consequently, farmers face numerous interrelated challenges that impede their income-generating potential and development prospects [6]. Smallholder farmers face a variety of challenges, such as limited access to quality inputs, no proper storage facilities, no individual transport facilities, inadequate post-harvest infrastructure, low bargaining power, poor credit availability, inefficient extension services, lack of fair and remunerative prices, poor market connectivity, and no access to direct markets [3,7]. These challenges are further aggravated by the presence of middlemen, high transportation costs, inadequate market identification mechanisms, and limited outreach. Together, these factors have eroded farmers’ bargaining power, stifled productivity, and contributed to declining farm incomes [8,9].
To address the ongoing issues encountered by small and marginal farmers, the Government of India (GoI) has introduced various initiatives, schemes, programs, and policies nationwide [10]. Among these, a significant initiative is the “Formation and Promotion of 10,000 Farmer Producer Organizations (10K FPO) under Scheme”, designed to strengthen the collective capacity of farmers and enhance their access to markets, inputs, and institutional support [10,11]. FPOs are small clusters of farmers collaborating to enhance their bargaining power through collective procurement, processing, and marketing efforts. To effectively build and sustain these organizations at the grassroots level, the involvement of cluster-based business organizations (CBBOs) plays a crucial role, as they act as technical support institutions, providing capacity building, business planning, and continuous monitoring for the holistic development of FPOs. [10]. CBBOs aid in the establishment of FPOs by registering them under the Companies Act 2013 or the Co-operative Act, with financial assistance from implementing organizations like NFSM, NABARD, SFAC, WDD, and agricultural and allied departments [10,11]. By forming collective associations, farmers empower themselves through improved access to essential services such as timely input supply, grain aggregation, credit facilities, capacity buildings, training programs, storage, transportation, and direct market linkages with local mandies [12,13].
Generally, FPOs operate specifically in relation to area and crop, based on the need requirement suggested by state departments through funding agencies, with the approvals of a District Monitoring Committee (DMC) [14]. Accordingly, CBBOs will be selected by the implementing agency based on the area of expertise and need requirement [15]. In alignment with the global initiative to support millets, ICAR-Indian Institute of Millets Research (IIMR) was elected as the CBBO in 2018 by the implementation agencies for the promotion of millets nationwide through millet FPOs [16]. Millet FPOs are similar to voluntary farmer groups that are involved in the cultivation and promotion of millets [12]. They are also involved in millet procurement, storage, processing, value addition, marketing, branding and the creation of livelihood opportunities [9]. They are involved in the promotion of sustainable agriculture practices and agricultural biodiversity. They act as bridging agents in empowering millet growers’ livelihoods [17]. Millet FPOs assist small, marginal, and landless farmers in uplifting their financial status by providing a platform to combine resources, share knowledge, access technology, and compete for improved pricing on their harvests [9,12]. Though millet FPOs enhance the shares of millet farmers in consumer’s rupee, strengthening millet’s value chain, creating jobs, and increasing demand for millets and their value-added products, their effectiveness relies on the participation of millet growers as member shareholders [18]. Member involvement in millet FPOs is vital for their sustainability [19]. It is crucial for millet farmers to be aware of the benefits of membership and to tackle issues like market access, price realization, aggregation, and risk management [16,20].
Despite government support, the sustainability and success of millet FPOs remain uncertain [21]. Many studies were conducted on the functioning mechanism, operational guidelines, performance, and marketing channels of FPOs. However, studies related to the participation of shareholders in millet FPOs were limited [8]. In this context, the present study was undertaken with the objective of analyzing the factors influencing farmers’ decisions to join millet-based Farmer Producer Organizations (FPOs) using the interpretive structural modeling (ISM) approach [22]. This approach was used in various agricultural studies and has increasingly been applied in agricultural economics to explore complex interrelationships among variables where both technical and social dimensions are involved. Previous studies have employed the ISM approach to analyze a variety of factors in the agricultural domain, including the adoption of sustainable farming practices, supply chain performance, technology diffusion, and the functioning of cooperative models. ISM has also been used to identify barriers to the adoption of conservation technologies, examine the drivers of value-chain development in horticulture, and map the determinants influencing farmers’ access to credit and markets. The ISM methodology was also applied to identify the constraints involved in agricultural supply chains [23,24]. ISM-MICMAC analysis was used to explore systemic challenges in millet and public distribution systems [25,26]. ISM has been effectively applied in modeling risks in manufacturing supply chain [25] evaluations of sustainability indicators, and to explore factors enabling farmers to participate in groups, making it an ideal framework for the analysis [27]. The ISM methodology was employed to identify, model, and analyze the complex inter-relationships between the factors that motivate the farmers to participate in millet FPOs. This approach facilitates understanding of how various components influence or drive one another, thereby deconstructing complex systems into a structured hierarchical model [28,29]. It is particularly effective in identifying the driving and dependence power among multiple interrelated variables. By determining the key driving factors, dependent elements, and feedback relationships, the ISM technique helps in simplifying system complexity. To gain a comprehensive understanding of the systemic interrelationships and to categorize the identified factors into independent, dependent, linkage, and autonomous clusters, the present study employed the ISM approach in conjunction with MICMAC analysis [29].

2. Materials and Methods

The respondents selected for this study were millet farmers who were members of IIMR-promoted millet FPOs. IIMR-promoted FPOs were chosen purposively according to their experience in millet cultivation and farming as their prime focus. This study covered three states, namely, Andhra Pradesh, Telangana, and Karnataka. From each state, five millet FPOs were purposively selected based on the following criteria: (i) active involvement in the millet business, (ii) a minimum shareholder base of 750 farmers, and (iii) millet cultivation in both cropping seasons. All the shareholder members of the millet FPOs in the 3 selected states were considered as the study population. Within each of the 15 FPOs, 30 shareholder farmers were randomly selected, constituting 150 respondents from each state and making up a total sample of 450 respondents. Thus, the sampling followed a two-stage process [30]: purposive selection of FPOs and random selection of farmer respondents within each FPO. This study was carried out under an action research design, ensuring participatory engagement and practical relevance. The present study initially identified 40 key factors influencing farmers’ participation in millet FPOs. The identification and refinement of factors were carried out in two stages. In the first stage, 40 factors were identified through an extensive review of the literature and field experiences using both primary and secondary data sources. These factors were then finalized through expert consultation and validated by collecting responses from 40 farmers, which helped ensure that the list reflected field-level realities. In the second stage, expert validation was undertaken with 20 experts, including subject experts, extension personnel, domain specialists, IIMR scientists, and NABARD officials. Based on farmer feedback and expert consensus, the 40 factors were systematically refined to 15 and finally narrowed to 10, which were then used in the ISM process. Farmers were directly involved in this process through structured interview schedules, where their perspectives and experiences regarding member participation were systematically collected by a field coordinator from January 2025 to July 2025. The schedule was pre-tested with responses from 40 farmers to ensure clarity and content validity before large-scale administration. Reliability was assessed using Cronbach’s alpha, which yielded a value of 0.867, confirming strong internal consistency, while construct validity was established through expert review, which verified the appropriateness of the survey items.
The ISM approach was employed in the present study to analyze the reciprocal relationships among factors influencing farmers’ decision-making processes [28,29]. The ISM enabled a structured understanding of how the selected factors are hierarchically interconnected, distinguishing foundational drivers from dependent outcomes [31]. The insights derived from this analysis helped to identify the key motivational factors that encourage farmers to join millet-based FPOs. Furthermore, the MICMAC analysis framework was applied to classify and validate these factors based on their driving and dependence power, thereby enhancing the interpretability of the overall system structure [28,29].

2.1. ISM Methodology

The ISM approach is analytical in nature and relies on the collective appraisals of a group for determining the presence and nature of relationships between factors. It derives the overall framework based on mutual interconnections among factors, as shown in Figure 1. As a modeling approach, it visually represents associations between the elements through a structured digraph. This helped to clarify relationships that exists between the factors that influenced members to join in millet FPOs and the directions of these relationships. In order to create a directed graph and hierarchical structure for the selected factors, the methodologies developed by Warfield for graph theory and Boole for algebra were adopted. These methodologies were implemented in a man–machine interaction mode, utilizing theoretical, conceptual, and computational leverage [32,33]. The operational procedure of ISM employed for this study is as below:
Figure 1. Flowchart for preparing an ISM for the selected factors.
  • The factors that are pertinent to the joining of millet FPOs were determined. A group-based problem-solving approach was used.
  • The contextual relationship between the factors for analyzing element pairings was determined.
  • A factor-based structural self-interaction matrix (SSIM) was created. This matrix showed the system factors related to one another pairwise. The transitivity of this matrix was examined.
  • A reachability matrix was created by using the SSIM.
  • The reachability matrix was divided into multiple levels.
  • A conical form was created from the reachability matrix.
  • Transitive linkages were removed and a digraph was created based on the relationships shown in the reachability matrix.
  • The factor nodes in the resulting digraph were replaced and an ISM-based model was created.
  • A model for conceptual inconsistencies was examined and the required adjustments were made.

2.2. Structural Self-Interaction Matrix (SSIM)

The opinions of experts and shareholders were considered to ascertain the nature of the contextual links among the factors. To examine the factors and their contextual relationships, phrases like “influences” or “leads to” were used. This suggested that one factor influenced another and was the starting point for creating a contextual relationship between the listed factors [34]. In this way, we questioned whether there existed a relationship between two factors (i and j) and what the contextual relationship was for each of the factors. The following four symbols [35] were used to denote the direction of relationship between two factors (i and j).
  • ‘V’ denoted the relation of factor i to factor j (i.e., factor i will influence factor j);
  • ‘A’ denoted the relation of factor j to factor i (i.e., factor i will be influenced by factor j);
  • ‘X’ denoted a relation in both directions (i.e., factors i and j will influence each other);
  • ‘O’ denoted for no relation between the factors (i.e., i and j are unrelated).

2.3. Reachability Matrix

The next important step in the ISM process was the creation of an initial reachability matrix from the SSIM. For this, the SSIM was transformed into an initial reachability matrix by coding the four SSIM symbols V, A, X, and O with 1 or 0 in the original reachability matrix [35]. The following guidelines was used for this substitution:
  • The reachability matrix (i, j) and (j, i) was coded with 1 and 0 for the ‘V’ entries (i, j) of SSIM;
  • The entry (i, j) in the SSIM was A, the entry (i, j) in the matrix was coded with 0, and the (j, i) entry with 1;
  • The entry (i, j) in the SSIM was X, the entry (i, j) in the matrix was coded with 1, and the (j, i) entry with 1;
  • The entry (i, j) in the SSIM was O, the entry (i, j) in the matrix was coded with 0, and the (j, i) entry with 0.
Based on the above points, the initial reachability matrix was prepared. The entries of 1* were included to incorporate transitivity and to fill the gap. After transitivity incorporation, the final reachability matrix was obtained.

2.4. Level Partitions

The final reachability matrix was used to determine the reachability set and antecedent sets for each factor. The antecedent set consisted of the factor itself and the other factor that made an impact, whereas the reachability set consisted of the factor itself and the other factor that had an affect. The levels of all the factors were determined, and for each factor, the intersection set was obtained. The factors for which reachability and intersection sets were equivalent occupied the highest level of the ISM hierarchy [36]. The factors that will not drive the others higher were at the top of the hierarchy, and then removed from consideration. A similar process was repeated to ascertain the factors at the subsequent level. The digraph and the ISM were constructed with the help of these levels.

2.5. Conical Matrix

A conical matrix was produced when the factors in the final reachability matrix were clustered in the same level across the rows and columns. A total of ‘1’ in the factor rows was used to determine its drive power, while a total of ‘1’ in its columns was used to determine its dependence power [37]. The drive power and reliance power rankings were then determined by allocating the highest ranks to the components with the highest values in its rows and columns, respectively.

2.6. Digraph

The conical form of the reachability matrix was used to derive the preliminary digraph with transitive links. It was created using nodes and edge lines. Indirect ties were removed for the preparation of final digraph. The digraph provided a visual representation of the constituents and their interdependencies [37]. The top-level component was placed at the top of the digraph, followed by the second-level factor in second position. The digraph was converted into an ISM by replacing nodes of factors with factors.

3. Results

The initial set of factors related to member participation in millet FPOs was examined for overlaps and similarities [38]. Based on their significance and contextual relevance, ten key factors were identified and finalized, as presented in Table 1. The table also outlines the supporting literature drawn from previous studies.
Table 1. Set of factors that influence member participation in millet FPOs.
The selected factors regarding the membership participation of millet FPOs were then considered as variables [42] and coded into V1, V2, V3, V4, V5, V6, V7, V8, V9, and V10. The variables mentioned in Table 2 were subsequently used for further analysis and results.
Table 2. Variable set for ISM.

3.1. Interpretive Structural Modeling for Factor Variables for the Joining of Millet FPOs

Table 3 shows the SSIM developed to analyze the contextual relationships among ten critical factors influencing member participation in millet-based Farmer Producer Organizations (FPOs) [43]. Using directional symbols (V, A, X, O), the SSIM was constructed to determine how each factor influenced the others. Farmers played a central role in this stage by expressing their perspectives on the contextual linkages among the identified factors. Data were collected from 450 farmer respondents through personal interviews using a structured schedule. To ensure accuracy and consistency, these responses were subsequently reviewed and validated by 20 experts, including subject matter specialists, extension personnel, domain experts, scientists from ICAR-IIMR, and officials from NABARD. This two-stage process, combining grassroots insights with expert validation, enhanced the credibility and reliability of the contextual relationships established for the ISM. The analysis revealed that foundational elements such as custom hiring centers (V10), bargaining power (V9), better business plans (V8), and millet FPO branding (V7) exert strong driving influence on other variables. Factors like economies of scale (V1) and availability of post-harvest technology (V2) showed greater dependence on other variables, indicating they were more outcome-oriented. The SSIM thus established a foundation for structural modeling by categorizing the interactions of all ten variables [44].
Table 3. SSIM for the factors that influence member participation in millet FPOs.

3.2. Reachability Matrix for Factor Variables for the Joining of Millet FPOs

The obtained SSIM was then converted into the initial reachability matrix by replacing the VAXO symbols with binary values (1 or 0). Transitivity checks were applied, following the principle that if factor A leads to B and factor B leads to C, then factor A must lead to C. This yielded the final reachability matrix, ensuring logical consistency of relationships. The initial reachability matrix for the selected variables is shown in Table 4, and it forms a basis for the assessment of relationships between the variables [16]. Factors that influenced members to participate in millet FPOs were incorporated for transitive linkages for the refined assessment of each variable’s reachability and dependency [41]. Through this assessment, the final reachability matrix was designed and is shown in Table 5. Post-transitivity, variables such as V2 (post-harvest technology), V4 (market and credit linkages), and V5 (knowledge transfer by KVKs) emerged as the most interconnected drivers with maximum driving power (9 or 10). Variables like V6 (living standards), V7 (branding), V8 (business plans), V9 (bargaining power), and V10 (CHCs) demonstrated strong dependence, confirming their position as systemic outcomes or impact factors. This matrix serves as a prerequisite for level partitioning and digraph development in ISM [45].
Table 4. Initial reachability matrix for the factors that influence member participation in millet FPOs.
Table 5. Final reachability matrix for the factors that influence member participation in millet FPOs.

3.3. Level Partitions for Factor Variables for the Joining of Millet FPOs

The final reachability matrix was used for level partitioning, where factors were grouped hierarchically into different levels based on their reachability and antecedent sets. This step ensured the identification of foundational drivers and dependent outcomes. Table 6 shows the level partitions for the variables that influence member participation in millet FPOs [12]. The level partitioning process organized the factors into four distinct levels based on their reachability and antecedent sets [12]. At Level I, the most dependent variables, V3 (production/productivity), V7 (branding), V8 (business plans), V9 (bargaining power), and V10 (CHCs), were identified as ultimate outcomes. Level II included V6 (living standards) as an important but slightly less dependent factor. Level III acted as an intermediate enabler with the factor variables V1 (economies of scale), V4 (market linkages), and V5 (KVK knowledge transfer). Level IV stood out solely with V2 (post-harvest technology), indicating it was a foundational factor with the highest driving and lowest dependence power.
Table 6. Level partitions for the factors that influence member participation in millet FPOs.

3.4. MICMAC Analysis for Factor Variables for the Joining of Millet FPOs

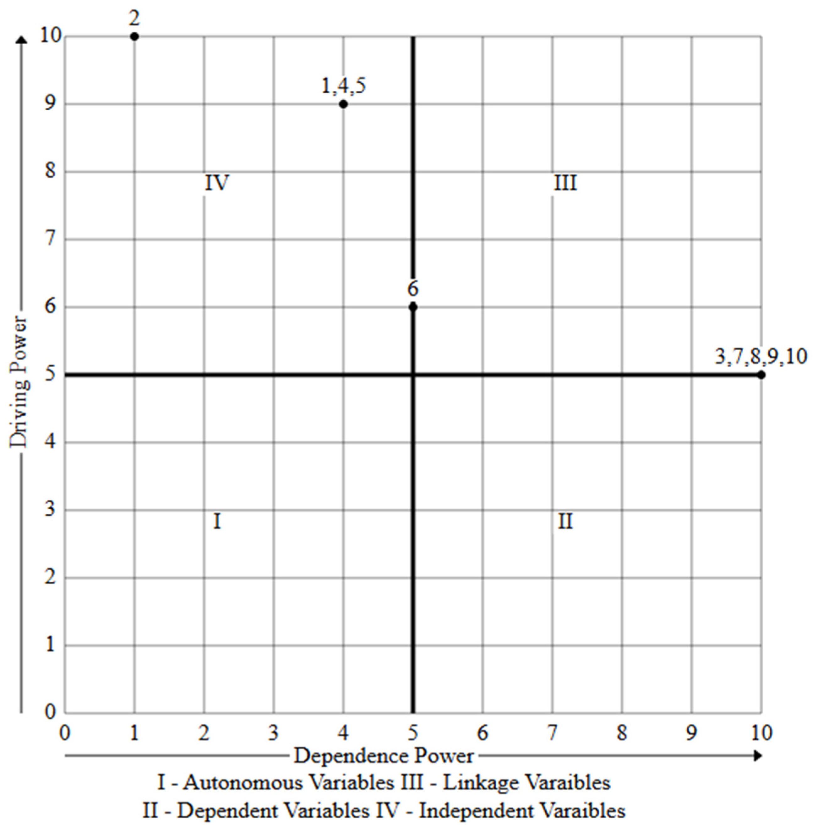
MICMAC analysis was performed to classify the ten identified factors that influence member participation in millet Farmer Producer Organizations (FPOs) based on their driving power and dependence power. The MICMAC analysis provided a strategic understanding of how each factor performed inside the system by clustering the factors into four categories, viz., independent, dependent, linkage, and autonomous variables [46]. The results demonstrated in Figure 2 state that the post-harvest technology availability (V2), market and credit linkage (V4), economies of scale (V1), and knowledge transfer by KVKs (V5) were categorized into independent factors. They have substantial driving power but little reliance power, which can have favorable outcomes if appropriately targeted. Among these, V2 (post-harvest technology availability) was the “key factor” due to its primary role and strongest motivator [47]. The factor variables like production and productivity (V3), branding (V7), better business plans (V8), bargaining power (V9), and custom hiring centers (V10) were under the linkage category with high driving and high dependence power. The inherent instability of these variables were essential for system feedback and responsiveness because any changes to these factors will affect each other. There are no factors that fall under the dependent or autonomous categories [47]. All ten factors were essential for the operation of millet FPOs. It was also confirmed that none of the autonomous factors which have low drive and dependence were observed [39]. The absence of dependent variables characterized by a high degree of dependence but low degree of drive supported the ecosystem’s proactive, interconnected character.
Figure 2. MICMAC analysis for the factors that influence member participation in millet FPOs.

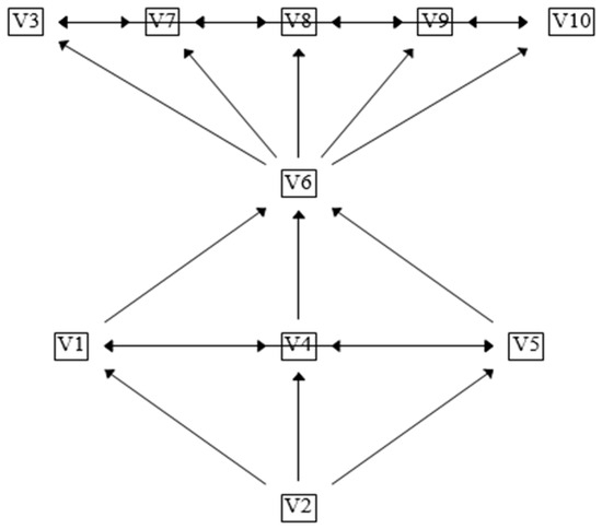
3.5. ISM Digraph for Factor Variables for the Joining of Millet FPOs

An interpretive structural modeling (ISM) digraph was constructed by translating the final reachability matrix and level partitions into a hierarchical structure that visually depicts the flow of influence among the ten factors (Figure 3). At the base level (Level IV), the availability of post-harvest technology (V2) stands alone with a strong foundational driver, the highest driving power, and minimal dependence. The availability of post-harvest technology was not the key factor that influenced most members to join millet FPOs. Level III includes economies of scale (V1), market and credit linkages (V4), and knowledge transfer by KVKs (V5). These elements operationalized the foundational infrastructure and knowledge systems by providing a platform for productivity and service expansion. Level II contains improved living standards (V6), which represented a transitional goal impacted by systemic improvements in productivity, income, and institutional support.
Figure 3. ISM digraph for the factors that influence member participation in millet FPOs.
At the top of Level I, the factor production and productivity (V3), millet FPO branding (V7), business planning (V8), bargaining power (V9), and custom hiring centers (V10) were marked as the key outcome-oriented and highly dependent factors. These variables manifest only when the foundational and intermediate factors are effectively aligned and executed. The ISM digraph clearly illustrated that enhancing millet FPO participation requires a bottom-up approach starting from strengthening post-harvest technologies and knowledge systems, progressing through enabling scale and market access, and finally culminating in improved organizational planning, market power, and livelihoods (Figure 4). This systemic view offered a roadmap for FPO developers, policymakers, and supporting agencies to prioritize resources and interventions for the sustainable existence of millet FPOs.
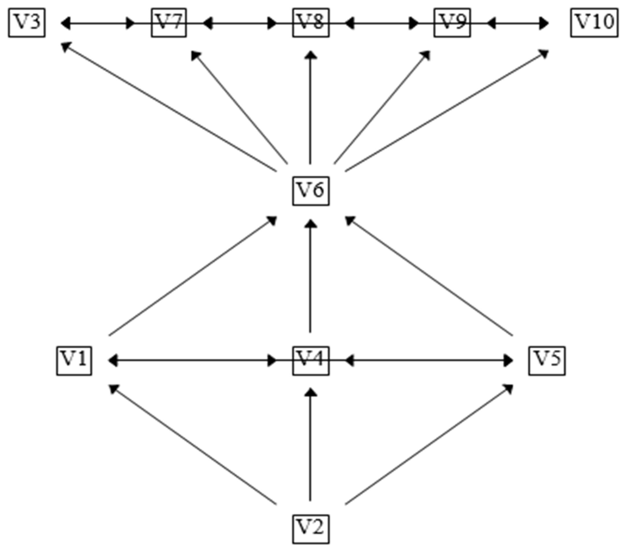
Figure 4. Final model for the factors that influence member participation in millet FPOs.

4. Discussion

The SSIM results highlighted a clear driver-dependent hierarchy within the system of factors that affects millet growers to participate in millet FPO. Foundational drivers like CHCs, business planning, and branding provided the necessary push to enhance institutional performance and service delivery. Their frequent appearance as the influencing variables across the matrix points highlighted their pivotal role in enabling millet FPO functionality. In contrast, dependent variables such as economies of scale and post-harvest infrastructure reflected the outcomes of systemic success and showed the requirement of foundational and intermediate-level drivers to function optimally. The reachability matrix enhanced our understanding of factor interaction by evaluating their influence and dependency. The factors with driving power such as V2 (availability of post-harvest technology) and V1 (economies of scale) served as levers for systemic change. They are identified as important links because of their high dependence power and dual nature, in which they both influence and are influenced by the system. High dependence power factors, such as V10 (CHCs) and V9 (better bargaining power), resulted for institutional and infrastructure maturity. Millet FPO ecosystem intervention points were strategically identified by these findings [48].
By the incorporation of transitive influences, the final reachability matrix deepened the analysis and revealed the indirect relationships between the variables. Some of the factors, like V4 and V5, were rearranged into stronger driving roles than previously with refinement. Additionally, it showed that foundational and intermediate factors must work together to support the desired outcomes, such as improved bargaining power, CHC services, and branding [3,27].
Finally, the hierarchical structure was used to construct the ISM-based model diagram, which illustrates the interrelationships among the ten critical factors influencing farmer participation in millet FPOs. A millet FPO system structural hierarchy was made simpler by the level partitioning. The ISM digraph highlighted the hierarchical structure of factors influencing farmer participation in millet FPOs, with availability of post-harvest technology (V2) emerging as the foundational driver. The position of V2 at the base signifies its enabling role in shaping upstream and outcome variables. At the first level, V2 directly influenced economies of scale (V1), better market and credit linkages (V4), and knowledge transfer by KVKs (V5). Post-harvest technologies such as storage, grading, and processing equipment minimized quantitative and qualitative losses, thereby allowing farmers to aggregate higher-quality produce. This facilitated economies of scale (V1) as larger uniform volumes became available for collective marketing. Similarly, buyers and financial institutions are more inclined to engage with FPOs for procuring standardized-quality and large volumes of millet grains, ensuring a strengthened market and credit linkages (V4). Moreover, V2 interacts with knowledge transfer by KVKs (V5), since the adoption and effective utilization of technologies require complementary training, extension, and capacity-building support.
The second level highlighted improved living standards (V6) as a mediating factor. FPO members achieve higher productivity, reduced post-harvest losses, and improved access to markets with stronger market linkages, economies of scale, and effective knowledge dissemination. These outcomes were translated into improved income, nutrition, and social well-being, thereby raising household living standards contributing to the member participation in millet FPOs.
At the third level, increase in production and productivity (V3), branding by FPOs (V7), better business plans (V8), bargaining power (V9), and custom hiring centers (V10) were realized as outcome factors. The combined effects of post-harvest technology (V2) and knowledge dissemination through KVKs (V5) directly contributed to improving productivity (V3) by minimizing losses and enhancing farm practices. Strategic outcomes such as branding (V7) and better business plans (V8) were enabled through stronger market linkages (V4) and organizational confidence derived from economies of scale (V1). With larger and higher-quality aggregated volumes, FPOs were able to strengthen their bargaining power (V9) and negotiate more favorable terms with buyers. In addition, the establishment of custom hiring centers (CHCs, V10) facilitated mechanization, reduced production costs, and ensured timely operations, thereby reinforcing efficiency and long-term sustainability in the FPO ecosystem.
Prioritizing foundational interventions such as post-harvest technology availability (V2) and knowledge transfer by KVKs (V5) was necessary because these elements directly supported higher-level objectives [38]. Fundamental services were transformed into useful operational advantages by intermediate-level elements like economies of scale (V1) and credit and market connections (V3). Lastly, lower-level systems appeared as dependent outcomes from selected variable factors, viz., enhanced business planning (V8), millet FPO branding (V7), and increased bargaining power (V9). To optimize the performance of millet FPOs and the satisfaction of FPO members, these findings were essential for the sustainable existence of millet FPOs. Overall, the model illustrated how a foundational factor like post-harvest technology (V2) catalyzed structural improvements across production, market, and institutional domains. Its influence cascades through intermediate enablers (V1, V4, V5, V6) and eventually strengthens outcome-oriented factors (V3, V7, V8, V9, V10). This hierarchy confirms that investment in post-harvest technology and complementary extension services is crucial for building resilient millet-based FPOs and improving member participation. Findings from previous studies applying ISM to women’s empowerment showed similar patterns, where the adoption of new production technologies by self-help groups enabled women to explore new business opportunities, ultimately increasing their income share and economic participation [49]. Further, studies on rice and wheat FPOs emphasize access to inputs, irrigation, and credit as primary drivers [50], whereas our findings highlight post-harvest technology, market linkages, and knowledge dissemination as critical for millet growers. Results with studies on maize collection from Africa showed similar emphasis on aggregation, branding, and extension of support reinforcing the validity of our findings [51].

5. Conclusions

Interpretive structural modeling (ISM) and MICMAC analysis were effectively applied to analyze the complex interrelationships among ten key factors that influence farmers’ participation in millet FPOs. Findings revealed that foundational elements such as post-harvest technology (V2), economies of scale (V1), market linkages (V4), and knowledge dissemination by KVKs (V5) were crucial drivers that significantly impacted the structure and functioning of millet FPOs for the member participation. Hierarchical modeling demonstrated that higher-level outcomes like improved productivity (V3), better bargaining power (V9), and branding support (V7) depended heavily on strengthening the foundational and intermediate factors that influenced members to join in millet FPOs. Furthermore, the MICMAC classification highlighted the systemic interdependence of all variables, confirming the need for an integrated and sequenced policy approach. Results also confirmed that no autonomous or dependent factors strengthened the member participation, but all the ten factor variables were crucial for the member participation in millet FPOs for sustainable functioning of the FPO ecosystem. To enhance millet FPO performance, it is recommended to improve market access through aggregation centers and buyer linkages, provide technical training on post-harvest handling and value addition, strengthening governance and access to credit, and disseminate knowledge via KVKs, extension services, and digital platforms. Overall, this structured analysis offered a practical roadmap for implementing agencies, FPO promoters, and technical departments to understand the key parameters for the member participation and to optimize the resources accordingly for the livelihood improvement of small and marginal millet farms in India.
  • Novel Contribution:
This study is one of the first attempts to apply the ISM–MIC MAC methodology in the context of millet-based FPOs, an area that has received limited attention in the literature. By systematically mapping the hierarchical interrelationships among factors influencing member participation, the study contributes a new analytical framework for understanding farmer engagement in collectivization. The findings provide actionable insights for policymakers, implementing agencies, and FPO promoters to strengthen the millet FPO ecosystem and improve smallholder livelihoods.
  • Limitations and Future Scope:
Despite its contributions, this study has several limitations. First, the sample was restricted to 15 millet FPOs across three states, which may limit the generalizability of the findings to other regions or types of FPOs. Second, the cross-sectional research design captures a single point in time; future longitudinal studies could better reflect the dynamic and evolving nature of farmer participation. Third, the ISM–MICMAC method, while providing a structured framework for analyzing interrelationships among factors, is inherently subjective, relying on expert and farmer judgments. Fourth, regional cultural differences may influence farmers’ willingness to join FPOs, and variations in FPO governance structures (e.g., decision-making mechanisms, profit distribution) may moderate the effects of identified drivers. Future studies could combine ISM with complementary quantitative techniques, such as structural equation modeling (SEM), to validate causal pathways and address these limitations, thereby strengthening the evidence base for FPO development.

Author Contributions

Conceptualization, R.D. and S.S.; methodology, R.D. and C.E.; validation, R.D. and C.E.; formal analysis, R.D. and L.B.; investigation, R.D. and S.S.; resources, S.B.K. and A.B.; data curation, R.D. and S.S.; writing—original draft preparation, R.D. and C.E.; writing—review and editing, R.D. and S.S.; visualization, A.N. and A.B.; supervision, R.D., C.E. and L.B.; project administration, T.S.C.; funding acquisition, S.S., S.B.K. and T.S.C. All authors have read and agreed to the published version of the manuscript.

Funding

This work was funded by Indian Council of Agriculture Research—Indian Institute of Millet Research, Hyderabad, at millet FPOs promoted by IIMR in states through the FPO project and OMM project.

Institutional Review Board Statement

The study was conducted according to the guidelines of the Declaration of Helsinki, and approved by the ICAR-INDIAN INSTITUTE OF MILLETS RESEARCH (Orderno.fns/2025/FPO-18 and 21 January 2025).

Data Availability Statement

The data presented in this study are available on request from the corresponding author.

Acknowledgments

The authors extend their appreciation to the Director, ICAR-IIMR, Hyderabad, and the PIs of FPO and OMM projects.

Conflicts of Interest

The authors declare no conflicts of interest.

Abbreviations

The following abbreviations are used in this manuscript:
FPOFarmer producer organizations
CBBOCluster based business organization
ISMInterpretive structural modeling
CHCCustom hiring center
KVKKrishi vignan kendras
SSIMStructural self-interaction matrix
MICMACMatrice d’impacts croisés multiplication appliquée á un classment
Reachability setThe reachability set of a factor consists of the factor itself and all other factors that it can influence, either directly or indirectly, according to the final reachability matrix.
Antecedent setThe antecedent set of a factor consists of the factor itself and all other factors that can influence it, either directly or indirectly, as indicated in the final reachability matrix.
Intersection SetThe intersection of the reachability and antecedent sets contains factors that are common to both sets, which is used to determine the level of the factor in the ISM hierarchy.

References

  1. Deshpande, T. State of Agriculture Census in India. PRS Legis. Res. J. 2022, 53, 13–31. [Google Scholar]
  2. Chaudhary, N. Challenges faced by farm enterprises and current status of Fpo’S in India: A review. Madhya Bharti Hum. Soc. Sci. 2023, 83, 169–176. [Google Scholar]
  3. Mpandeli, S.; Sylvester, H.; Phokele, M. Constraints and challenges facing the small scale farmers in Limpopo Province, South Africa. J. Agri. Sci. 2014, 6, 135–141. [Google Scholar] [CrossRef]
  4. Selvaraj, K.N.; Karunakaran, K.R. Agricultural marketing reforms in India–future challenges and opportunities Agricultural Marketing Reforms in India–Future Challenges and Opportunities. FFTC Agric. Policy Platf. 2022, 2, 18–29. [Google Scholar]
  5. Shrivastava, S.; Jat, M.; Shrivastava, K. Present status, role and challenges of Farmer Producer Organization. Asian J. Agric. Ext. Econ. Sociol. 2022, 40, 39–47. [Google Scholar] [CrossRef]
  6. Dhakshana, J.A.; Rajandran, K.V.R. A study on challenges faced by the farmers in direct marketing, the rural business series. Indian J. Sci. Res. 2017, 14, 91–97. [Google Scholar]
  7. Babu, T.M.; Lakshmi, T.; Prasad, S.V.; Sumathi, V.; Murthy, B.R. Constraints of Farmer Producer Organizations (FPOs) members in Rayalaseema region of Andhra Pradesh. AATCC Rev. 2022, 14, 105–110. [Google Scholar]
  8. Sasikanth, R.; Ravichandran, S. Comprehensive evaluation of functional and financial performance: A study on selected farmer producer organizations (FPOs) in Tamil Nadu, India. J. Sci. Res. Rep. 2024, 30, 585–597. [Google Scholar] [CrossRef]
  9. Logeshwari, N.; Hema, M.; Prema, A.; Neetha Rose, C.D.; Sumiya, K.V. Constraints in Production and Marketing of Organic Millets in Rainfed Tribal Tract of Attapady Hills, Kerala. Bio For. Int. J. 2024, 12, 115–118. [Google Scholar]
  10. Nikam, V.; Veesam, H.; Kiran Kumara, T.M.; Chand, P. Farmer Producer Organizations in India: Challenges and Prospects; ICAR-NIAP: New Delhi, India, 2023. [Google Scholar]
  11. Trebbin, A.; Hassler, M. Farmers’ producer companies in India: A new concept for collective action? Environ. Plan. A 2012, 44, 411–427. [Google Scholar] [CrossRef]
  12. Das, S. Supply chain of millets: An FPO perspective (With a Special Reference to Odisha). J. Glob. Values 2020, 11, 234–257. [Google Scholar]
  13. Gautam, S.; Mallaiah, L.C. Enhancing farmer’s income and farmer producer organizations’(FPOs) in India. Saudi J. Econ. Financ. 2024, 8, 91–101. [Google Scholar] [CrossRef]
  14. Khan, M.A.; Pratap, J.; Siddique, R.A.; Gedam, P.M. Farmers producer organization (FPO): Empowering Indian farming community. Int. J. Curr. Microbiol. Appl. Sci. 2020, 8, 2089–2099. [Google Scholar]
  15. Mukopadhyoy, B.G. Farmer Producer Organizations under 10k FPO scheme National Bank for Agriculture Mumbai and Rural Development Nabard. Rural Dev. 2019, 4, 1–197. [Google Scholar]
  16. Sangappa, D.; Laxmi, B.; Tengli, M.B.; Ravi, S.C. Determinants of Managerial Abilities of Farmers: Insights from Millet Based Farmer Producer Organizations (FPOs) of Karnataka. Indian Res. J. Ext. Edu. 2023, 23, 117–121. [Google Scholar]
  17. Kumar, H.; Jha, R.K.; Shukla, O.J.; Kumar, V.; Ramtiyal, B. Analysis of risk factors in millets supply chain using interpretive structural modeling approach. Risk Reliab. Resil. Oper. Manag. 2025, 10, 155–182. [Google Scholar]
  18. Pani, S.K.; Jena, D.; Dibiat, N.; Mishra, A.; Jain, P.; Sahoo, P.K. Millet-based Enterprises and Sustainability: Evidences from Farmer Producers Company in Kalahandi District, Odisha. Indian J. Agric. Econ. 2023, 78, 462–472. [Google Scholar] [CrossRef]
  19. Mandala, G.N.; Sangode, P.B.; Devi, S.A.; Rao Gandreti, V.R. Problems and constraints faced by farmers in financing and marketing of agricultural produce in India. Univ. J. Account. Financ. 2021, 9, 139–144. [Google Scholar] [CrossRef]
  20. Niwas, R.; Kumar, V.; Sheoran, O.P.; Chaudary, S. Modelling relationships between grain yield and traits in pearl millet. Forage Res. 2024, 49, 383–389. [Google Scholar]
  21. Bikkina, N.; Turaga, R.M.R.; Bhamoriya, V. Farmer producer organizations as farmer collectives: A case study from India. Dev. Policy Rev. 2018, 36, 669–687. [Google Scholar] [CrossRef]
  22. Attri, R.; Dev, N.; Sharma, V. Interpretive structural modelling (ISM) approach: An overview. Res. J. Manag. Sci. 2013, 2319, 1171–1178. [Google Scholar]
  23. Shah, P.; Mehta, N.; Bist, S.S. What are the barriers to the consumption of millet-based foods in India? An innovation resistance theory (IRT) perspective. J. Int. Food Agribus. Mark. 2025, 37, 348–378. [Google Scholar] [CrossRef]
  24. Jagota, V.; Kler, R.; Ray, S.; Vohra, R. Interpretive Structural Modeling Approach for Sustainable Supply Chain Planning. Green Technol. Smart Mater. Eng. Appl. 2025, 15, 368–384. [Google Scholar]
  25. Babu, H.; Bhardwaj, P.; Agrawal, A.K. Modelling the supply chain risk variables using ISM: A case study on Indian manufacturing SMEs. J. Model. Manag. 2021, 16, 215–239. [Google Scholar] [CrossRef]
  26. Vishnu, C.R.; Chatterjee, P.; Maddali, S.P.; Akenroye, T.O. Characterizing the critical success factors influencing blockchain technology adoption in Indian public distribution system: An exploratory approach. Benchmark. Int. J. 2025, 32, 1410–1433. [Google Scholar] [CrossRef]
  27. Kumar, S.; Kumar, R.; Meena, P.C.; Kumar, A. Determinants of performance and constraints faced by Farmer Producer Organizations (FPOs) in India. Indian J. Ext. Educ. 2023, 59, 1–5. [Google Scholar] [CrossRef]
  28. Ahmad, N. SmartISM 2.0: A Roadmap and System to Implement Fuzzy ISM and Fuzzy MICMAC. Sustainability 2024, 16, 8873. [Google Scholar] [CrossRef]
  29. Shaik, A.S.; Dhir, S. What drives organisational performance: Strategic thinking, technological change, strategic risks? A modified total interpretive structural modelling approach and MICMAC analysis. J. Indian Bus. Res. 2021, 13, 533–563. [Google Scholar] [CrossRef]
  30. Singh, M.D.; Kant, R. Knowledge management barriers: An interpretive structural modeling approach. Int. J. Manag. Sci. Eng. Manag. 2008, 3, 141–150. [Google Scholar] [CrossRef]
  31. Farris, D.R.; Sage, A.P. On the use of interpretive structural modeling for worth assessment. Comput. Electr. Eng. 1975, 2, 149–174. [Google Scholar] [CrossRef]
  32. Raj, T.; Shankar, R.; Suhaib, M. An ISM approach for modelling the enablers of flexible manufacturing system: The case for India. Int. J. Prod. Res. 2008, 46, 6883–6912. [Google Scholar] [CrossRef]
  33. Singh, R.K.; Garg, S.K.; Deshmukh, S.G. Global Journal of Flexible Systems Management and IIMB Management Review and Productivity. Singap. Manag. Rev. 2007, 2, 423–440. [Google Scholar]
  34. Bakurov, I.; Buzzelli, M.; Schettini, R.; Castelli, M.; Vanneschi, L. Structural similarity index (SSIM) revisited: A data-driven approach. Expert Syst. Appl. 2022, 4, 189–202. [Google Scholar] [CrossRef]
  35. Yamamoto, K.; Togami, T.; Yamaguchi, N. Super-resolution of plant disease images for the acceleration of image-based phenotyping and vigor diagnosis in agriculture. Sensors 2017, 17, 2557. [Google Scholar] [CrossRef]
  36. Kumar, R.; Goel, P. Exploring the domain of interpretive structural modelling (ISM) for sustainable future panorama: A bibliometric and content analysis. Arch. Comput. Methods Eng. 2022, 29, 2781–2810. [Google Scholar] [CrossRef]
  37. Cai, Y.; Xia, C. Interpretive structural analysis of interrelationships among the elements of characteristic agriculture development in Chinese rural poverty alleviation. Sustainability 2018, 10, 786. [Google Scholar] [CrossRef]
  38. Sangappa; Charishma, E.; Babu, K.S.; Rafi, D.; Laxmi, B. Strengthening Millet Value Chain through Farmer Producer Organizations. Indian J. Ext. Educ. 2023, 59, 26–31. [Google Scholar] [CrossRef]
  39. Luo, Z.; Dubey, R.; Papadopoulos, T.; Hazen, B.; Roubaud, D. Explaining environmental sustainability in supply chains using graph theory. Comput. Econ. 2018, 52, 1257–1275. [Google Scholar] [CrossRef]
  40. Jayashree, V.; Rani, A.J.; Karthikeyan, C.; Malarkodi, M.; Selvi, R.G. Sustainability of Farmer Producer Organisation’s–Major constraints in functioning of FPO in Tamil Nadu, India. Asian J. Agric. Ext. Econ. Soc. 2023, 41, 861–868. [Google Scholar] [CrossRef]
  41. Prabhavathi, Y.; Ganapathy, M.S.; Girish, M.R. An Economic Analysis of FPOs in the State of Andhra Pradesh: A Comparative Study Based on Business Strategy. Indian J. Agric. Econ. 2024, 79, 187–197. [Google Scholar] [CrossRef]
  42. Rani, C.R.; Reddy, A.A.; Mohan, G. From formation to transformation of FPOs. Econ. Polit. Wkly. 2023, 58, 15. [Google Scholar]
  43. Shah, P.; Joshi, R.; Tripathy, N.P.; Mehta, N. What are the drivers of millet-based food consumption in India? A Theory of Consumption Values (TCV) perspective. J. Int. Food Agribus. Mark. 2024, 14, 1–24. [Google Scholar] [CrossRef]
  44. Krishna, D.K. Farmer producer organizations: Implications for agricultural extension. Agric. Ext. J. 2018, 18, 24–37. [Google Scholar]
  45. Alora, A.; Barua, M.K. An integrated structural modelling and MICMAC analysis for supply chain disruption risk classification and prioritisation in India. Int. J. Value Chain Manag. 2019, 10, 1–25. [Google Scholar] [CrossRef]
  46. Ramos, E.; Pettit, T.; Habib, M.; Chavez, M. A model ISM-MICMAC for managing risk in agri-food supply chain: An investigation from the Andean region of Peru. Int. J. Value Chain Manag. 2021, 12, 62–85. [Google Scholar] [CrossRef]
  47. Hong, J.; Quan, Y.; Tong, X.; Lau, K.H. A hybrid ISM and fuzzy MICMAC approach to modeling risk analysis of imported fresh millet supply chain. J. Bus. Ind. Mark. 2024, 39, 121–141. [Google Scholar] [CrossRef]
  48. Sun, L.L.; Li, Y.Y.; Wang, Y.Z.; Shi, W.J.; Zhang, W.P.; Zhang, X.Y.; Zhao, H.M.; Li, F.Z. Study on phenotypic characteristics of millet based on 3D ISM model. Agric. Eng. 2023, 69, 579–588. [Google Scholar]
  49. Singh, A.; Hamsa, S. Kudumbashree and women empowerment in Kerala—An overview and theoretical framework. Indian J. Commer. Manag. Stud. 2017, 8, 16–22. [Google Scholar] [CrossRef]
  50. Franco, D.S.; Jayme, G.; Sabrina, L.; Fernando, G. Proposal for a framework to manage the barriers of rice and wheat farmer groups that hinder the development of agriculture in the agricultural production chain. Comput. Electron. Agric. 2023, 214, 47–68. [Google Scholar]
  51. Fola, M.; Tsegaye, G.; Zawde, S.; Matsalo, M. Effect of maize cluster farming on smallholder farmers’ technical efficiency: Evidence from Southern Ethiopia. BMC Agric. 2025, 1, 4. [Google Scholar] [CrossRef]
Disclaimer/Publisher’s Note: The statements, opinions and data contained in all publications are solely those of the individual author(s) and contributor(s) and not of MDPI and/or the editor(s). MDPI and/or the editor(s) disclaim responsibility for any injury to people or property resulting from any ideas, methods, instructions or products referred to in the content.

Article Metrics

Citations

Article Access Statistics

Multiple requests from the same IP address are counted as one view.