Research on Logistics Service Supply Chain Coordination in the Context of Green Innovation
Abstract
1. Introduction
- (1)
- How do the three contracts differ in their incentive effects on the green innovation levels of the LSI and LSP?
- (2)
- How do the three contracts impact the wholesale price and market price of logistics services?
- (3)
- From the perspective of the profits of the LSI and LSP, which contract achieves Pareto improvement for the supply chain? Which contract maximizes the total profit of the supply chain?
2. Literature Review
2.1. Logistics Service Supply Chain
2.2. Green Innovation in Logistics Services
| Reference | Definition of Green Innovation |
|---|---|
| Zhang et al. [5] | The logistics industry introduced numerous green innovation products and integrated application practices, such as new energy delivery vehicles, electronic waybills, shared courier boxes, green warehousing, and online freight platforms, effectively reducing resource consumption and environmental impact. |
| Nan et al. [7] | Key strategies for green innovation in the logistics industry include enhancing the recruitment and training of specialized logistics professionals and encouraging the industry to leverage talent for green transformation and innovation in regional logistics technologies. |
| Silva et al. [3] | Green innovation refers to the creation of new products, processes, or systems that minimize environmental harm while maintaining economic value. |
| Takalo et al. [4] | “Green innovation” or “eco-innovation” can be defined as the process that contributes to the creation of new products and technologies aimed at reducing environmental risks, such as pollution and the negative consequences of resource exploitation. |
| Shou et al. [17] | Logistics companies can enhance efficiency by developing green technologies, such as optimizing logistics processes, reducing resource waste, and upgrading energy-efficient transportation equipment. Many logistics companies adopted advanced technologies to leverage real-time congestion information and the latest traffic data, optimizing transportation routes and significantly improving logistics efficiency. |
2.3. Research on Stackelberg Game
2.4. Research on Supply Chain Coordination Contracts
3. Research Methodology and Model Construction
4. Basic Model Under Contract-Free Coordination
4.1. Model Under Centralized Decision Making
4.2. Model Under Decentralized Decision Making
5. Models Under Contractual Coordination
5.1. Model Under Cost-Sharing Contract Coordination
- 1.
- The LSI proposes to share a proportion of the green delivery innovation costs with the LSP. If the LSP accepts this cost-sharing proportion, the LSI’s shared delivery innovation cost is , while the LSP bears the remaining delivery innovation cost , .
- 2.
- The LSI determines the level of green design innovation and the market price of logistics services based on the cost-sharing ratio and its own circumstances.
- 3.
- The LSP determines its green delivery innovation level and the wholesale price of logistics services based on the cost-sharing ratio and the decisions made by the LSI.
5.2. Model Under Revenue-Sharing Contract Coordination
- 1.
- The LSI allocates a portion of its revenue to the LSP to incentivize the LSP to engage in green innovation. If the LSP accepts this revenue-sharing proportion, the LSP will receive additionally, that is to say, the LSP’s profit is , while the LSI receives the remainder of the profits .
- 2.
- The LSI determines the level of green design innovation and the wholesale price of logistics services based on its own revenues.
- 3.
- The LSP determines its green delivery innovation level and the wholesale price of logistics services based on the cost-sharing ratio and the decisions made by the LSI.
5.3. Model Under Cost-Sharing and Revenue-Sharing Contract Coordination
- 1.
- The LSI offers to help the LSP by sharing proportion of the green delivery innovation costs and proportion of the revenue to incentivize the LSP to engage in green innovation. If the LSP accepts, it will incur a green delivery innovation cost of and receive a shared revenue of from the LSI, while the LSI needs to bear a green delivery innovation cost of for the LSP while receiving the remaining revenue of .
- 2.
- The LSI determines the level of green design innovation and the market price of logistics services based on its own revenues and cost.
- 3.
- The LSP determines its green delivery innovation level and the wholesale price of logistics services based on the cost-sharing ratio, revenue-sharing ratio, and the decisions made by the LSI.
6. Numerical Analyses
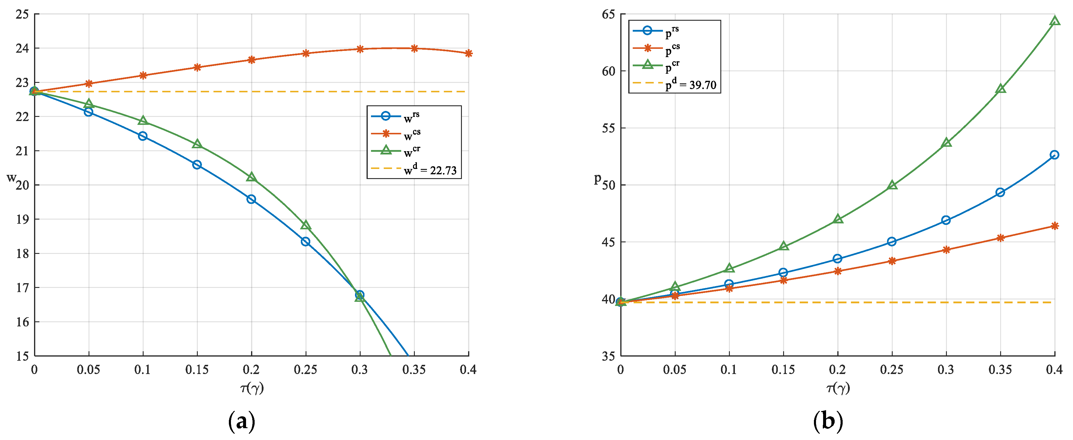
6.1. The Impact of Revenue-Sharing Ratio and Cost-Sharing Ratio
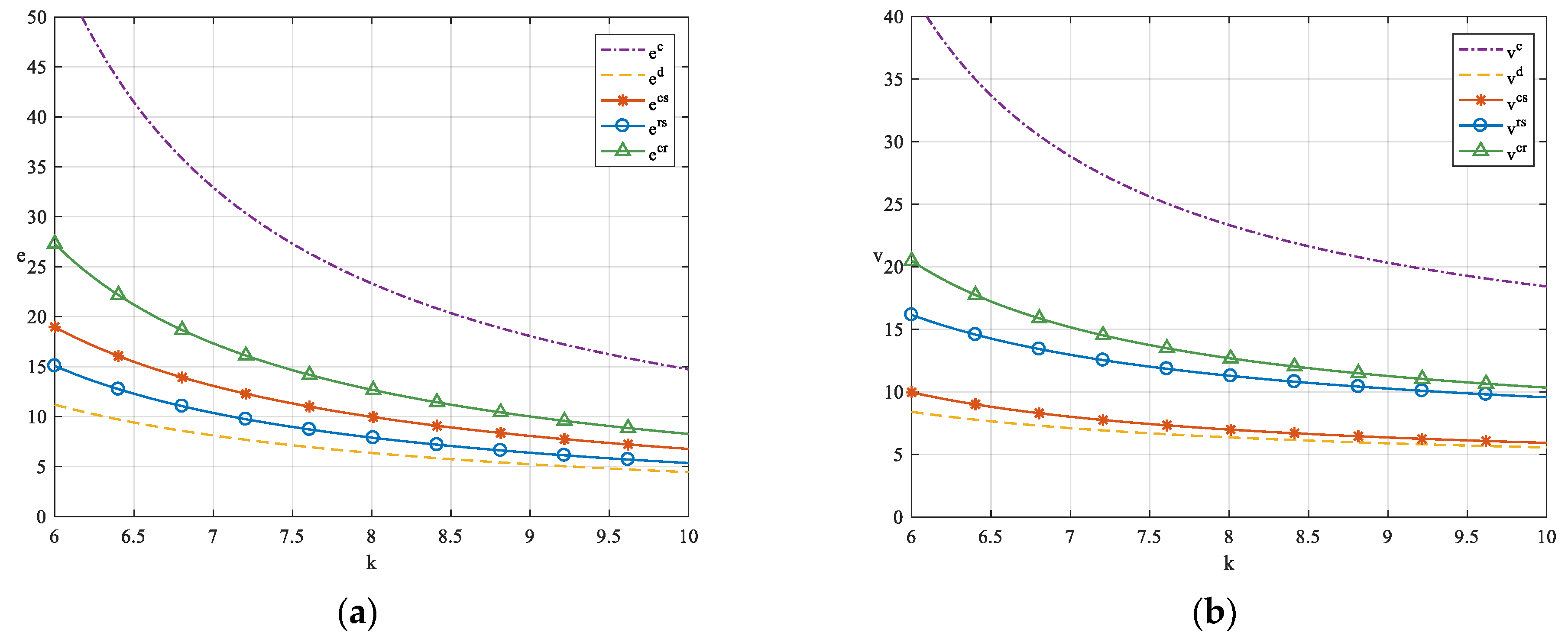
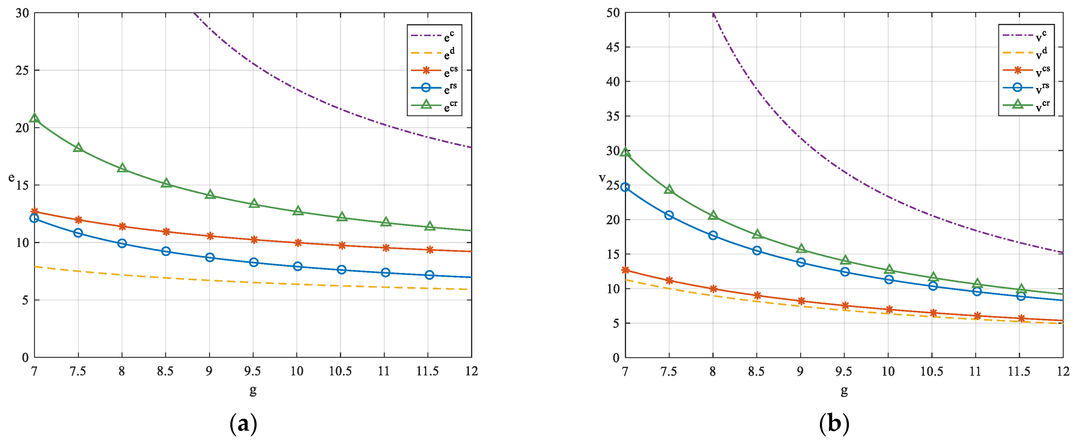
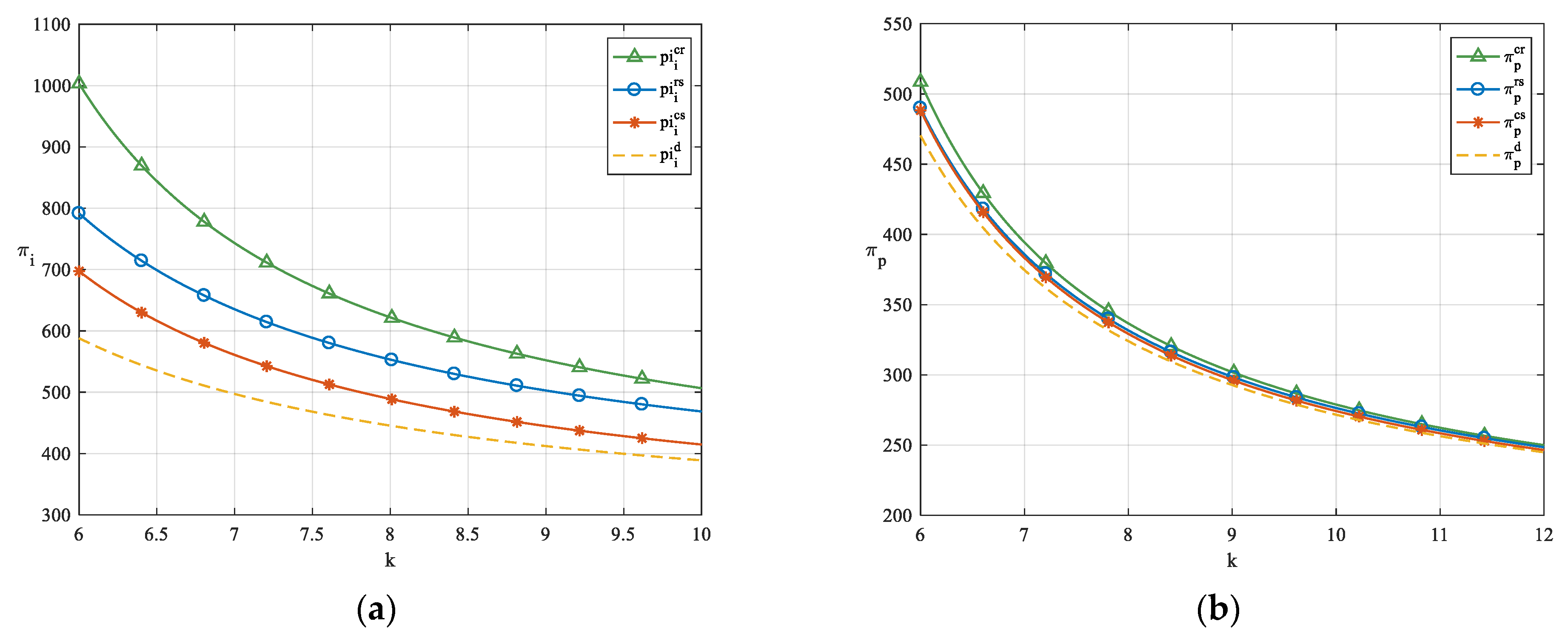
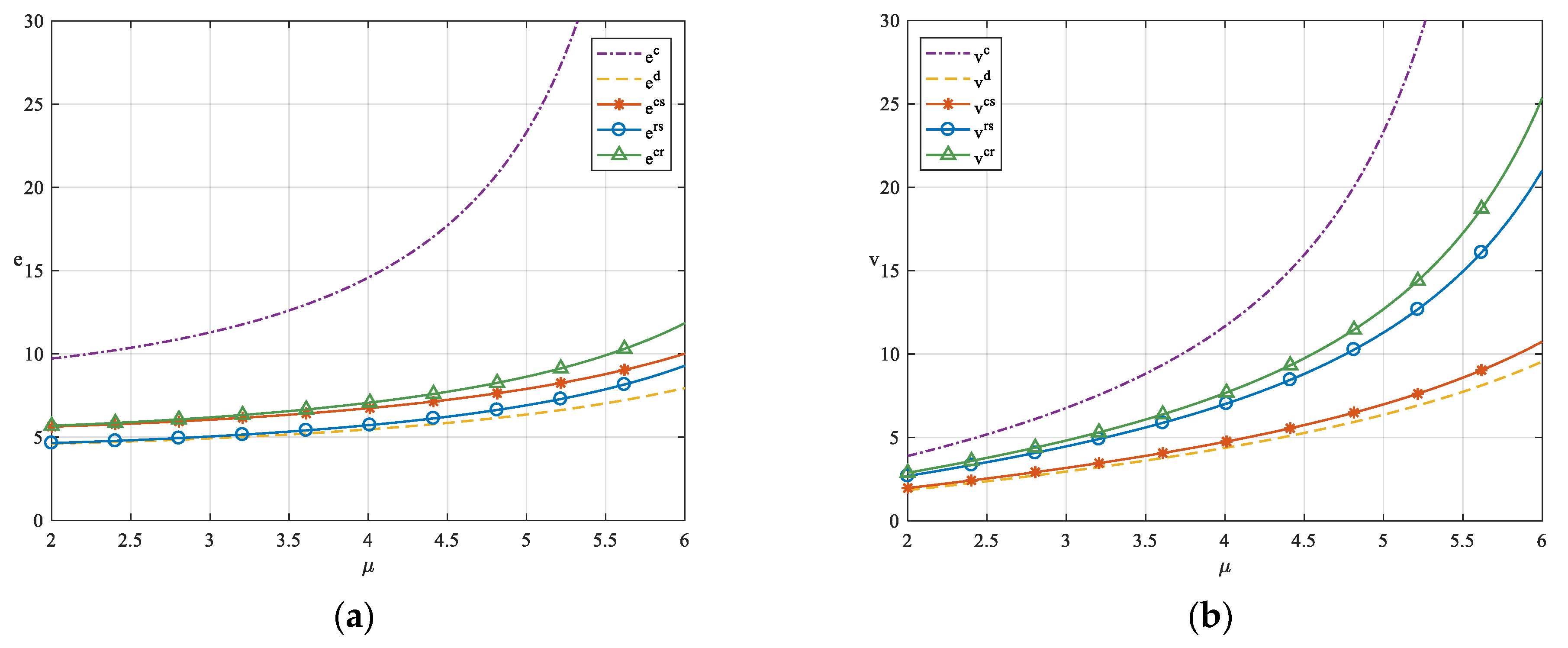
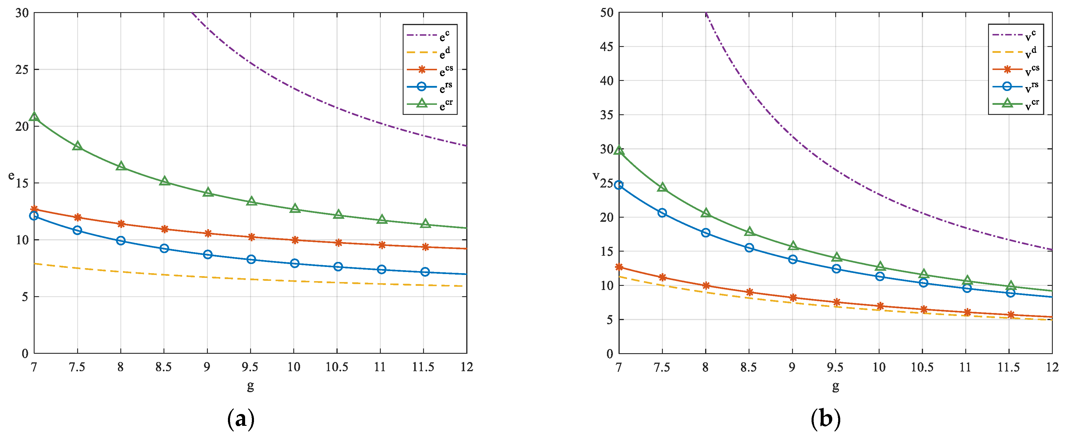
6.2. Sensitivity Analysis Results
7. Discussion
8. Conclusions and Future Research
8.1. Main Conclusions
8.2. Management Insights
8.3. Limitrations and Future Research
Author Contributions
Funding
Institutional Review Board Statement
Informed Consent Statement
Data Availability Statement
Conflicts of Interest
Appendix A
References
- Wang, S.N.; Hu, Z.H. Logistics Service Supply Chain Decision-Making Analysis Considering Impact of Environment and Service Level. Pol. J. Environ. Stud. 2022, 31, 5285–5297. [Google Scholar] [CrossRef] [PubMed]
- Huge-Brodin, M.; Sweeney, E.; Evangelista, P. Environmental alignment between logistics service providers and shippers—A supply chain perspective. Int. J. Logist. Manag. 2020, 31, 575–605. [Google Scholar] [CrossRef]
- Silva, G.M.; Gomes, P.J.; Sarkis, J. The role of innovation in the implementation of green supply chain management practices. Bus. Strategy Environ. 2019, 28, 819–832. [Google Scholar] [CrossRef]
- Takalo, S.K.; Tooranloo, H.S.; Parizi, Z.S. Green innovation: A systematic literature review. J. Clean. Prod. 2021, 279, 122474. [Google Scholar] [CrossRef]
- Zhang, H.; Sun, X.; Dong, K.L.; Sui, L.H.; Wang, M.; Hong, Q. Green Innovation in Regional Logistics: Level Evaluation and Spatial Analysis. Int. J. Environ. Res. Public Health 2023, 20, 735. [Google Scholar] [CrossRef]
- Falcone, E.; Kent, J.; Fugate, B. Supply chain technologies, interorganizational network and firm performance A case study of Alibaba Group and Cainiao. Int. J. Phys. Distrib. Logist. Manag. 2020, 50, 333–354. [Google Scholar] [CrossRef]
- Nan, Y.A.; Tian, Y.; Xu, M.Q.; Wu, Y.P. Evaluation of green innovation capability and influencing factors in the logistics industry. Environ. Dev. Sustain. 2024. [Google Scholar] [CrossRef]
- Chu, Z.F.; Wang, L.L.; Lai, F.J. Customer pressure and green innovations at third party logistics providers in China: The moderation effect of organizational culture. Int. J. Logist. Manag. 2019, 30, 57–75. [Google Scholar] [CrossRef]
- Leng, M.M. Game theoretic applications in supply chain management: A review. Infor 2005, 43, 187–220. [Google Scholar] [CrossRef]
- Hu, Y.H.; Duan, Y.R.; Qu, S.N.; Huo, J.Z. Logistics Service Openness Strategy of Online Platforms with Vertical Differentiation and Endogenous Service Level. Asia-Pac. J. Oper. Res. 2024, 41. [Google Scholar] [CrossRef]
- Zhang, Y.J.; Rong, F.; Wang, Z. Research on cold chain logistic service pricing-based on tripartite Stackelberg game. Neural Comput. Appl. 2020, 32, 213–222. [Google Scholar] [CrossRef]
- Lou, Y.Q.; Feng, L.P.; He, S.G.; He, Z.; Zhao, X.K. Logistics service outsourcing choices in a retailer-led supply chain. Transp. Res. Part E-Logist. Transp. Rev. 2020, 141, 101944. [Google Scholar] [CrossRef]
- Liu, W.H.; Wang, M.L.; Zhu, D.L.; Zhou, L. Service capacity procurement of logistics service supply chain with demand updating and loss-averse preference. Appl. Math. Model. 2019, 66, 486–507. [Google Scholar] [CrossRef]
- Niu, B.Z.; Dai, Z.P.; Liu, Y.Q.; Jin, Y. The role of Physical Internet in building trackable and sustainable logistics service supply chains: A game analysis. Int. J. Prod. Econ. 2022, 247, 108438. [Google Scholar] [CrossRef]
- Chen, Y.J.; Yang, B. Analysis on the evolution of shipping logistics service supply chain market structure under the application of blockchain technology. Adv. Eng. Inform. 2022, 53, 101714. [Google Scholar] [CrossRef]
- Zhang, H.; He, J.; Shi, X.M.; Hong, Q.; Bao, J.; Xue, S.Q. Technology Characteristics, Stakeholder Pressure, Social Influence, and Green Innovation: Empirical Evidence from Chinese Express Companies. Sustainability 2020, 12, 2891. [Google Scholar] [CrossRef]
- Shou, Y.Y.; Wu, C.; Shao, J.A.; Hu, W.J.; Lai, K.H. Does green technology innovation contribute to logistics companies’ market value? The effects of stakeholder engagement and public attention. Transp. Res. Part E-Logist. Transp. Rev. 2023, 176, 103227. [Google Scholar] [CrossRef]
- Chen, G.; Chen, J.P. Reverse Logistics Network Model of Dual-Channel Recycling Boxes Based on Genetic Algorithm Optimization: A Multi-Objective and Uncertain Environment Perspective. Sustainability 2023, 15, 4408. [Google Scholar] [CrossRef]
- Wang, S.N.; Hu, Z.H. Green Logistics Service Supply Chain Games Considering Risk Preference in Fuzzy Environments. Sustainability 2021, 13, 8024. [Google Scholar] [CrossRef]
- He, C.; Xu, X. Research on Green Development Decision Making of Logistics Enterprises Based on Three-Party Game. Sustainability 2024, 16, 2822. [Google Scholar] [CrossRef]
- Liu, Z.G.; Anderson, T.D.; Cruz, J.M. Consumer environmental awareness and competition in two-stage supply chains. Eur. J. Oper. Res. 2012, 218, 602–613. [Google Scholar] [CrossRef]
- Barman, H.; Pervin, M.; Roy, S.K.; Weber, G.W. Analysis of a dual-channel green supply chain game-theoretical model under carbon policy. Int. J. Syst. Sci.-Oper. Logist. 2023, 10, 2242770. [Google Scholar] [CrossRef]
- Khan, S.A.R.; Tabish, M.; Yu, Z. Investigating recycling decisions of internet recyclers: A step towards zero waste economy. J. Environ. Manag. 2023, 340, 117968. [Google Scholar] [CrossRef]
- Cerqueti, R.; Correani, L.; Di Dio, F. Environmental policies in a Stackelberg differential game. Nav. Res. Logist. 2023, 70, 358–375. [Google Scholar] [CrossRef]
- Ghalehkhondabi, I.; Maihami, R.; Ahmadi, E.; Fallahtafti, A. Saving money and the environment: Studying pricing problem in sustainable third-party logistics with green and marketing initiatives using game theory. Int. J. Syst. Sci.-Oper. Logist. 2024, 11, 2314543. [Google Scholar] [CrossRef]
- He, P.; He, Y.; Shi, C.M.; Xu, H.; Zhou, L. Cost-sharing contract design in a low-carbon service supply chain. Comput. Ind. Eng. 2020, 139, 106160. [Google Scholar] [CrossRef]
- Guo, Y.H.; Yu, J.Y.; Allaoui, H.; Choudhary, A. Lateral collaboration with cost-sharing in sustainable supply chain optimisation: A combinatorial framework. Transp. Res. Part E-Logist. Transp. Rev. 2022, 157, 102593. [Google Scholar] [CrossRef]
- Ghosh, D.; Shah, J. Supply chain analysis under green sensitive consumer demand and cost sharing contract. Int. J. Prod. Econ. 2015, 164, 319–329. [Google Scholar] [CrossRef]
- Chen, H.T.; Dong, Z.H.; Li, G.D.; He, K.Q. Remanufacturing process innovation in closed-loop supply chain under cost-sharing mechanism and different power structures. Comput. Ind. Eng. 2021, 162, 107743. [Google Scholar] [CrossRef]
- Rezayat, M.R.; Yaghoubi, S.; Fander, A. A hierarchical revenue-sharing contract in electronic waste closed-loop supply chain. Waste Manag. 2020, 115, 121–135. [Google Scholar] [CrossRef]
- Liu, H.; Chen, H.D.; Zhang, H.Y.; Liu, H.B.; Yu, X.W.; Zhang, S.Q. Contract Design of Logistics Service Supply Chain Based on Smart Transformation. Sustainability 2022, 14, 6261. [Google Scholar] [CrossRef]
- Wang, D.; Liu, W.H.; Liang, Y.J. Green innovation in logistics service supply chain: The impacts of relationship strength and overconfidence. Ann. Oper. Res. 2022, 343, 949–979. [Google Scholar] [CrossRef]
- Liu, W.H.; Liu, X.Y.; Shi, X.R.; Hou, J.H.; Shi, V.; Dong, J.X. Collaborative adoption of blockchain technology: A supply chain contract perspective. Front. Eng. Manag. 2023, 10, 121–142. [Google Scholar] [CrossRef]
- Wang, D.; Liu, W.H.; Shen, X.R.; Wei, W.Y. Service order allocation under uncertain demand: Risk aversion, peer competition, and relationship strength. Transp. Res. Part E-Logist. Transp. Rev. 2019, 130, 293–311. [Google Scholar] [CrossRef]
- Nair, R.B.; Abraham, A.; Kumar, K.R.; Sridharan, R. Optimal pricing decisions of centralized dual-channel supply chains in a duopoly: A study on the influence of competition structure. Sadhana-Acad. Proc. Eng. Sci. 2023, 49, 1–20. [Google Scholar] [CrossRef]
- Rached, M.; Bahroun, Z.; Campagne, J.P. Decentralised decision-making with information sharing vs. centralised decision-making in supply chains. Int. J. Prod. Res. 2016, 54, 7274–7295. [Google Scholar] [CrossRef]
- Lan, C.F.; Yu, X.Y. Revenue sharing-commission coordination contract for community group buying supply chain considering promotion effort. Alex. Eng. J. 2022, 61, 2739–2748. [Google Scholar] [CrossRef]
- Song, H.H.; Gao, X.X. Green supply chain game model and analysis under revenue-sharing contract. J. Clean. Prod. 2018, 170, 183–192. [Google Scholar] [CrossRef]
- Wang, D.; Liu, W.H.; Liang, Y.J.; Wei, S. Decision optimization in service supply chain: The impact of demand and supply-driven data value and altruistic behavior. Ann. Oper. Res. 2023, 324, 971–992. [Google Scholar] [CrossRef]












| Notation | Description |
|---|---|
| Potential market demand | |
| Sensitivity coefficient of demand to price | |
| Market price per unit of green logistics service | |
| Wholesale price per unit of green logistics services | |
| Cost of Service for LSPs | |
| Level of design innovation | |
| Level of delivery innovation | |
| Sensitivity coefficient of demand to the level of design innovation | |
| Sensitivity coefficient of demand to the level of delivery innovation | |
| Cost coefficients for design innovation | |
| Cost coefficients for delivery innovation | |
| Proportionality factor in cost-sharing contract | |
| Proportionality factor in revenue-sharing contract | |
| The unit profit of the LSI | |
| LSI’s profits | |
| LSP’s profits |
| Centralized decision model | 64.90 1 | / | 21.96 | 34.31 | / | / | 1921.60 |
| Decentralized decision model | 43.03 | 26.87 | 6.75 | 10.54 | 590.36 | 408.99 | 999.35 |
Disclaimer/Publisher’s Note: The statements, opinions and data contained in all publications are solely those of the individual author(s) and contributor(s) and not of MDPI and/or the editor(s). MDPI and/or the editor(s) disclaim responsibility for any injury to people or property resulting from any ideas, methods, instructions or products referred to in the content. |
© 2025 by the authors. Licensee MDPI, Basel, Switzerland. This article is an open access article distributed under the terms and conditions of the Creative Commons Attribution (CC BY) license (https://creativecommons.org/licenses/by/4.0/).
Share and Cite
Sun, Y.; Zhang, X.; Huang, X.; Cao, W. Research on Logistics Service Supply Chain Coordination in the Context of Green Innovation. Sustainability 2025, 17, 646. https://doi.org/10.3390/su17020646
Sun Y, Zhang X, Huang X, Cao W. Research on Logistics Service Supply Chain Coordination in the Context of Green Innovation. Sustainability. 2025; 17(2):646. https://doi.org/10.3390/su17020646
Chicago/Turabian StyleSun, Yuxiang, Xiaopu Zhang, Xirou Huang, and Wenbin Cao. 2025. "Research on Logistics Service Supply Chain Coordination in the Context of Green Innovation" Sustainability 17, no. 2: 646. https://doi.org/10.3390/su17020646
APA StyleSun, Y., Zhang, X., Huang, X., & Cao, W. (2025). Research on Logistics Service Supply Chain Coordination in the Context of Green Innovation. Sustainability, 17(2), 646. https://doi.org/10.3390/su17020646

