Surface Deformation Monitoring and Spatiotemporal Evolution Analysis of Open-Pit Mines Using Small-Baseline Subset and Distributed-Scatterer InSAR to Support Sustainable Mine Operations
Abstract
1. Introduction
2. Methods
2.1. Small-Baseline Subset and Distributed-Scatterer Interferometric Synthetic Aperture Radar
2.2. Trend-Periodic-Residual-Subspace-Constrained Regression Method
3. Study Area and Dataset
4. Results and Discussion
4.1. Time-Series Deformation Monitoring Results
4.2. Time-Series Deformation Decomposition Results
4.3. Correlation Analysis Between Periodic Deformation and Precipitation
4.4. Comparison with Existing Methods
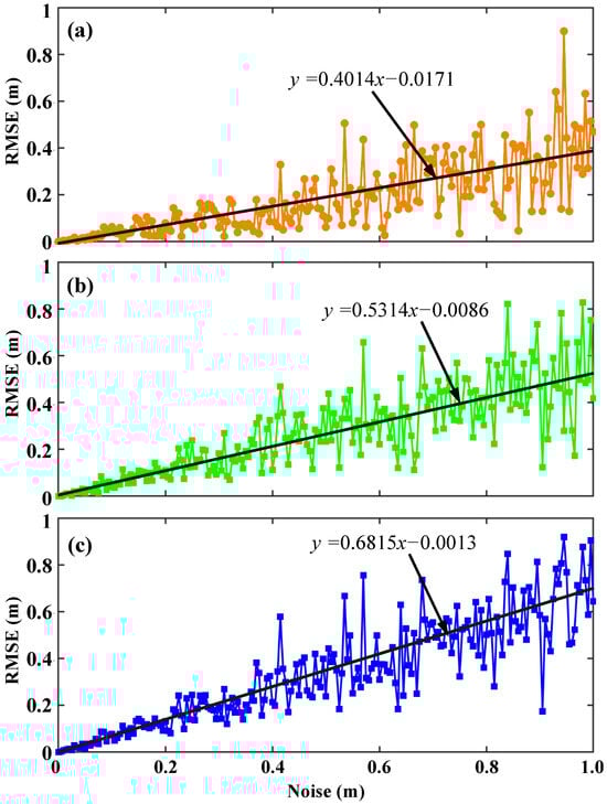
4.5. Sensitivity Analysis
5. Conclusions
Author Contributions
Funding
Institutional Review Board Statement
Informed Consent Statement
Data Availability Statement
Conflicts of Interest
References
- Yeh, C.T.; Huang, S.L. Global Urbanization and Demand for Natural Resources. In Carbon Sequestration in Urban Ecosystems; Lal, R., Augustin, B., Eds.; Springer: Dordrecht, The Netherlands, 2012; pp. 355–371. [Google Scholar] [CrossRef]
- Zhang, L.; Zhai, Z.; Zhou, Y.; Liu, S.; Wang, L. The landscape pattern evolution of typical open-pit coal mines based on land use in Inner Mongolia of China during 20 years. Sustainability 2022, 14, 9590. [Google Scholar] [CrossRef]
- Hryhoriev, Y.; Lutsenko, S.; Kuttybayev, A.; Ermekkali, A.; Shamrai, V. Study of the impact of the open pit productivity on the economic indicators of mining development. IOP Conf. Ser. Earth Environ. Sci. 2023, 1254, 012050. [Google Scholar] [CrossRef]
- Ben-Awuah, E.; Richter, O.; Elkington, T.; Pourrahimian, Y. Strategic mining options optimization: Open pit mining, underground mining or both. Int. J. Min. Sci. Technol. 2016, 26, 1065–1071. [Google Scholar] [CrossRef]
- Gong, C.; Lei, S.; Bian, Z.; Tian, Y.; Zhang, Z.; Guo, H.; Zhang, H.; Cheng, W. Using time series InSAR to assess the deformation activity of open-pit mine dump site in severe cold area. J. Soils Sediments 2021, 21, 3717–3732. [Google Scholar] [CrossRef]
- Zhou, J.; Li, F.; Wang, J.; Gao, A.; He, C. Stability control of slopes in open-pit mines and resilience methods for disaster prevention in urban areas: A case study of Fushun west open pit mine. Front. Earth Sci. 2022, 10, 879387. [Google Scholar] [CrossRef]
- Ren, J.; Kang, X.; Tang, M.; Gao, L.; Hu, J.; Zhou, C. Coal mining surface damage characteristics and restoration technology. Sustainability 2022, 14, 9745. [Google Scholar] [CrossRef]
- Chang, F.; Li, H.; Dong, S.; Yin, H. Pre-, co-, and post-failure deformation analysis of the catastrophic Xinjing Open-Pit Coal Mine Landslide, China, from optical and radar remote sensing observations. Remote Sens. 2024, 17, 19. [Google Scholar] [CrossRef]
- Sun, D.; Deng, W.; Yang, T.; Li, J.; Zhao, Y. A case study integrating numerical simulation and InSAR monitoring to analyze bedding-controlled landslide in Nanfen open-pit mine. Sustainability 2023, 15, 11158. [Google Scholar] [CrossRef]
- Gojković, Z.; Kilibarda, M.; Brajović, L.; Marjanović, M.; Milutinović, A.; Ganić, A. Ground surface subsidence monitoring using Sentinel-1 in the “Kostolac” open pit coal mine. Remote Sens. 2023, 15, 2519. [Google Scholar] [CrossRef]
- Kim, D.; Langley, R.B.; Bond, J.; Chrzanowski, A. Local deformation monitoring using GPS in an open pit mine: Initial study. GPS Solut. 2003, 7, 176–185. [Google Scholar] [CrossRef]
- Yan, Y.; Li, M.; Dai, L.; Guo, J.; Dai, H.; Tang, W. Construction of “Space-Sky-Ground” integrated collaborative monitoring framework for surface deformation in mining area. Remote Sens. 2022, 14, 840. [Google Scholar] [CrossRef]
- Singh, V.K.; Masood, M.M.; Verma, T. Slope Monitoring Techniques in Opencast Mines: A Review of Recent Advances. J. Mines Met. Fuels 2024, 72, 83–92. [Google Scholar] [CrossRef]
- Arif, A.; Zhang, C.; Feng, M.; Sajib, M.H.; Habibullah, M.; Hasan, S.; Rana, M.S.; Mohammadamini, K.; Alip, M.; Zhang, Y. Mining-Induced Subsidence Predicting and Monitoring: A Comprehensive Review of Methods and Technologies. Geotech. Geol. Eng. 2025, 43, 314. [Google Scholar] [CrossRef]
- Teunissen, P.J.; Montenbruck, O. Springer Handbook of Global Navigation Satellite Systems; Springer: Berlin/Heidelberg, Germany, 2017; Volume 10. [Google Scholar]
- Rahnamayiezekavat, P.; Mourad, M.; Mostafa, S.; Moon, S.; Senaratne, S. Enriching BIM with unmanned aerial systems data for enhancing construction management operations. Sustainability 2022, 14, 11362. [Google Scholar] [CrossRef]
- Bamford, T.; Medinac, F.; Esmaeili, K. Continuous monitoring and improvement of the blasting process in open pit mines using unmanned aerial vehicle techniques. Remote Sens. 2020, 12, 2801. [Google Scholar] [CrossRef]
- Osasan, K.S.; Afeni, T.B. Review of surface mine slope monitoring techniques. J. Min. Sci. 2010, 46, 177–186. [Google Scholar] [CrossRef]
- Le Roux, R.; Sepehri, M.; Khaksar, S.; Murray, I. Slope Stability Monitoring Methods and Technologies for Open-Pit Mining: A Systematic Review. Mining 2025, 5, 32. [Google Scholar] [CrossRef]
- Yang, Z.; Li, Z.; Zhu, J.; Wang, Y.; Wu, L. Use of SAR/InSAR in mining deformation monitoring, parameter inversion, and forward predictions: A review. IEEE Geosci. Remote Sens. Mag. 2020, 8, 71–90. [Google Scholar] [CrossRef]
- Li, H.; Li, H.; Chen, Y.; Yuan, Y.; Gao, Y.; Li, S.; Guo, G. Surface Deformation Time-Series Monitoring and Stability Analysis of Elevated Bridge Sites in a Coal Resource-Based City. Sustainability 2024, 16, 6115. [Google Scholar] [CrossRef]
- Herrera, G.; Tomás, R.; Vicente, F.; Lopez-Sanchez, J.; Mallorquí, J.; Mulas, J. Mapping ground movements in open pit mining areas using differential SAR interferometry. Int. J. Rock Mech. Min. Sci. 2010, 47, 1114–1125. [Google Scholar] [CrossRef]
- He, L.; Wu, L.; Liu, S.; Wang, Z.; Su, C.; Liu, S.N. Mapping Two-Dimensional Deformation Field Time-Series of Large Slope by Coupling DInSAR-SBAS with MAI-SBAS. Remote Sens. 2015, 7, 12440–12458. [Google Scholar] [CrossRef]
- Zhang, N.; Wang, Y.; Zhao, F.; Wang, T.; Zhang, K.; Fan, H.; Zhou, D.; Zhang, L.; Yan, S.; Diao, X.; et al. Monitoring and Analysis of the Collapse at Xinjing Open-Pit Mine, Inner Mongolia, China, Using Multi-Source Remote Sensing. Remote Sens. 2024, 16, 993. [Google Scholar] [CrossRef]
- Bai, Z.; Zhao, F.; Wang, J.; Li, J.; Wang, Y.; Li, Y.; Lin, Y.; Shen, W. Revealing Long-Term Displacement and Evolution of Open-Pit Coal Mines Using SBAS-InSAR and DS-InSAR. Remote Sens. 2025, 17, 1821. [Google Scholar] [CrossRef]
- Gül, Y.; Poyraz, B.; Poyraz, F. Comparison of the monitoring of surface deformations in open-pit mines with Sentinel-1A and TerraSAR-X satellite radar data. Environ. Monit. Assess. 2024, 196, 581. [Google Scholar] [CrossRef] [PubMed]
- Xiao, H.; Xia, Y.; Fan, Y.; Chen, L.; Duan, R. Identification and Prediction Inversion of Mining Area Subsidence by Integrating SBAS-InSAR and EMD-ARIMA Model. IEEE Access 2024, 12, 85822–85835. [Google Scholar] [CrossRef]
- Cleveland, R.B.; Cleveland, W.S.; McRae, J.E.; Terpenning, I. STL: A Seasonal-Trend Decomposition Procedure Based on Loess. J. Off. Stat. 1990, 6, 3–73. [Google Scholar]
- Zhang, P.; Li, Y.; Dong, X.; Yang, T.; Liu, H. Displacement Patterns and Predictive Modeling of Slopes in the Bayan Obo Open-Pit Iron Mine. Appl. Sci. 2025, 15, 6068. [Google Scholar] [CrossRef]
- Hastaoglu, K.; Poyraz, F.; Erdogan, H.; Tiryakioglu, I.; Ozkaymak, C.; Duman, H.; Gül, Y.; Guler, S.; Dogan, A.; Gul, Y. Determination of periodic deformation from InSAR results using the FFT time series analysis method in Gediz Graben. Nat. Hazards 2023, 117, 491–517. [Google Scholar] [CrossRef]
- Li, R.; Li, M.; Sha, Z.; Su, Y.; Wang, Y. Exploring land subsidence changes and its driving factors in mine areas: A case study in the Dagushan open-pit mine. Geosci. J. 2025, 29, 644–665. [Google Scholar] [CrossRef]
- Morishita, Y.; Hanssen, R.F. Deformation parameter estimation in low coherence areas using a multisatellite InSAR approach. IEEE Trans. Geosci. Remote Sens. 2015, 53, 4275–4283. [Google Scholar] [CrossRef]
- Wang, T.; Wang, Y.; Zhao, F.; Zou, G.; Du, S.; Zhang, L.; Zhang, K.; Zhang, N.; Ma, Z.; Fernández, J. In-DMU: Modeling Uncertainty in Interferometric SAR-Based Deformation Monitoring. IEEE Trans. Geosci. Remote Sens. 2025, 63, 5217116. [Google Scholar] [CrossRef]
- Li, S.; Xu, W.; Li, Z. Review of the SBAS InSAR Time-series algorithms, applications, and challenges. Geod. Geodyn. 2022, 13, 114–126. [Google Scholar] [CrossRef]
- Peng, K.; Zhao, F.; Wang, Y.; Shiyong, Y.; Feng, H. DS-InSAR phase optimization based on singular value decomposition. J. Remote Sens. 2023, 27, 533–542. [Google Scholar] [CrossRef]
- Berardino, P.; Fornaro, G.; Lanari, R.; Sansosti, E. A new algorithm for surface deformation monitoring based on small baseline differential SAR interferograms. IEEE Trans. Geosci. Remote Sens. 2003, 40, 2375–2383. [Google Scholar] [CrossRef]
- Jiang, M.; Miao, Z.; Gamba, P.; Yong, B. Application of multitemporal InSAR covariance and information fusion to robust road extraction. IEEE Trans. Geosci. Remote Sens. 2017, 55, 3611–3622. [Google Scholar] [CrossRef]
- Abdi, H.; Williams, L.J. Principal component analysis. Wiley Interdiscip. Rev. Comput. Stat. 2010, 2, 433–459. [Google Scholar] [CrossRef]
- Lanari, R.; Mora, O.; Manunta, M.; Mallorquí, J.J.; Berardino, P.; Sansosti, E. A small-baseline approach for investigating deformations on full-resolution differential SAR interferograms. IEEE Trans. Geosci. Remote Sens. 2004, 42, 1377–1386. [Google Scholar] [CrossRef]
- Golub, G.H.; Van Loan, C.F. Matrix Computations; JHU Press: Baltimore, MD, USA, 2013. [Google Scholar]
- Martinsson, P.G.; Tropp, J.A. Randomized numerical linear algebra: Foundations and algorithms. Acta Numer. 2020, 29, 403–572. [Google Scholar] [CrossRef]
- Wang, J.; Zhou, Z.; Dou, W.; Chen, Z. Unloading damage patterns of rock slopes in open pit mines and analyses of their mechanisms. J. Mt. Sci. 2023, 20, 3648–3664. [Google Scholar] [CrossRef]
- Li, Q.; Wang, Y.; Li, X.; Gong, B. Rainfall–mining coupling effects on slope failure mechanism and evolution process: A case study of open-pit to underground mining. Water 2024, 16, 740. [Google Scholar] [CrossRef]
- Lu, Y.; Jin, C.; Wang, Q.; Li, G.; Han, T. Deformation and failure characteristic of open-pit slope subjected to combined effects of mining blasting and rainfall infiltration. Eng. Geol. 2024, 331, 107437. [Google Scholar] [CrossRef]
- Siddique, A.; Tan, Z.; Tan, N.; Ahmad, H.; Li, J.; Liu, J.; Khurram, S.H.; Jiang, Y.; Zeng, N. Remote Sensing and Numerical Simulation for Slope Stability in Open-Pit Mining: Case Study of Sijiaying Iron Ore Mine, China. Geotech. Geol. Eng. 2025, 43, 290. [Google Scholar] [CrossRef]
- Wang, H.; Qi, Y.; Zhang, J.; Zhang, J.; Yang, R.; Guo, J.; Luo, D.; Wu, J.; Zhou, S. Influence of Open-Pit Coal Mining on Ground Surface Deformation of Permafrost in the Muli Region in the Qinghai-Tibet Plateau, China. Remote Sens. 2022, 14, 2352. [Google Scholar] [CrossRef]
- Durbin, J.; Koopman, S.J. Time Series Analysis by State Space Methods; Oxford University Press: Oxford, UK, 2012. [Google Scholar]
- Trefethen, L.N. Approximation Theory and Approximation Practice, Extended Edition; SIAM: Philadelphia, PA, USA, 2019. [Google Scholar]
- Hyndman, R.J.; Athanasopoulos, G. Forecasting: Principles and Practice; OTexts: Melbourne, Australia, 2018. [Google Scholar]
- Taylor, S.J.; Letham, B. Forecasting at scale. Am. Stat. 2018, 72, 37–45. [Google Scholar] [CrossRef]
- Eldén, L. Matrix Methods in Data Mining and Pattern Recognition; SIAM: Philadelphia, PA, USA, 2019. [Google Scholar]
- Maronna, R.A.; Martin, R.D.; Yohai, V.J.; Salibián-Barrera, M. Robust Statistics: Theory and Methods (with R); John Wiley & Sons: Hoboken, NJ, USA, 2019. [Google Scholar]
- Du, W.; Chen, L.; He, Y.; Wang, Q.; Gao, P.; Li, Q. Spatial and Temporal Distribution of Groundwater in Open-Pit Coal Mining: A Case Study from Baorixile Coal Mine, Hailaer Basin, China. Geofluids 2022, 2022, 8753217. [Google Scholar] [CrossRef]
- Torres, R.; Snoeij, P.; Geudtner, D.; Bibby, D.; Davidson, M.; Attema, E.; Potin, P.; Rommen, B.; Floury, N.; Brown, M.; et al. GMES Sentinel-1 mission. Remote Sens. Environ. 2012, 120, 9–24. [Google Scholar] [CrossRef]
- Farkas, P.; Hevér, R.; Grenerczy, G. Geodetic integration of Sentinel-1A IW data using PSInSAR in Hungary. In Proceedings of the EGU General Assembly Conference Abstracts, Vienna, Austria, 27 April–2 May 2025; p. 13483. [Google Scholar]
- Alaska Satellite Facility Distributed Active Archive Center (ASF DAAC). Sentinel-1 SAR Data Search (IW SLC); Alaska Satellite Facility Distributed Active Archive Center: Fairbanks, AK, USA, 2021. [Google Scholar]
- European Space Agency (ESA). Sentinel-1 Precise Orbit Ephemerides (POEORB/RESORB); ESA: Paris, France, 2021. [Google Scholar]
- Farr, T.G.; Rosen, P.A.; Caro, E.; Crippen, R.; Duren, R.; Hensley, S.; Kobrick, M.; Paller, M.; Rodriguez, E.; Roth, L.; et al. The shuttle radar topography mission. Rev. Geophys. 2007, 45. [Google Scholar] [CrossRef]
- NASA Jet Propulsion Laboratory (JPL). SRTM 1 Arc-Second Global (SRTMGL1); Version 3; JPL: Flintridge, CA, USA, 2013.













| Parameter | Value |
|---|---|
| Path | 149 |
| Frame | 428 |
| Azimuth angle | 194.80 (degrees) |
| Incidence angle | 39.21 (degrees) |
| Pixel spacing in slant range | 2.33 (m) |
| Pixel spacing in azimuth | 13.90 (m) |
| Wavelength | 5.55 (cm) |
| Acquisition time | 22:09 UTC |
| Method | Total | Trend | Periodic | Residual |
|---|---|---|---|---|
| TPRSCR | 4.9 | 0.65 | 12.9 | 1.35 |
| STL | 9.6 | 9.74 | 12.54 | 9.37 |
Disclaimer/Publisher’s Note: The statements, opinions and data contained in all publications are solely those of the individual author(s) and contributor(s) and not of MDPI and/or the editor(s). MDPI and/or the editor(s) disclaim responsibility for any injury to people or property resulting from any ideas, methods, instructions or products referred to in the content. |
© 2025 by the authors. Licensee MDPI, Basel, Switzerland. This article is an open access article distributed under the terms and conditions of the Creative Commons Attribution (CC BY) license (https://creativecommons.org/licenses/by/4.0/).
Share and Cite
Zhang, Z.; Li, Y.; Gao, S. Surface Deformation Monitoring and Spatiotemporal Evolution Analysis of Open-Pit Mines Using Small-Baseline Subset and Distributed-Scatterer InSAR to Support Sustainable Mine Operations. Sustainability 2025, 17, 8834. https://doi.org/10.3390/su17198834
Zhang Z, Li Y, Gao S. Surface Deformation Monitoring and Spatiotemporal Evolution Analysis of Open-Pit Mines Using Small-Baseline Subset and Distributed-Scatterer InSAR to Support Sustainable Mine Operations. Sustainability. 2025; 17(19):8834. https://doi.org/10.3390/su17198834
Chicago/Turabian StyleZhang, Zhouai, Yongfeng Li, and Sihua Gao. 2025. "Surface Deformation Monitoring and Spatiotemporal Evolution Analysis of Open-Pit Mines Using Small-Baseline Subset and Distributed-Scatterer InSAR to Support Sustainable Mine Operations" Sustainability 17, no. 19: 8834. https://doi.org/10.3390/su17198834
APA StyleZhang, Z., Li, Y., & Gao, S. (2025). Surface Deformation Monitoring and Spatiotemporal Evolution Analysis of Open-Pit Mines Using Small-Baseline Subset and Distributed-Scatterer InSAR to Support Sustainable Mine Operations. Sustainability, 17(19), 8834. https://doi.org/10.3390/su17198834
