Research on the Infrastructure Resilience System and Sustainable Development of Coastal Cities in the Bohai Sea, China: A Multi-Model and Spatiotemporal Heterogeneity Analysis Based on CAS
Abstract
1. Introduction
2. Literature Review
3. Characterization of Infrastructure System Resilience from a CAS Perspective and Elemental Components
3.1. Characterization of Infrastructure Resilience from a CAS Perspective
- (1)
- Diversity: The urban infrastructure system is a complex system that encompasses many aspects of the city and requires a diversity of resources, technologies and approaches to be integrated in order to reduce the level of urban risk. Interactions between the subsystems of transportation, energy, water supply and drainage, environment, and communication, as well as between the subsystem parts themselves, enable the system’s diversity. As time goes on, the elements that are shown in the sub-systems vary dynamically. System diversity evolves through the incorporation of new elements and the phasing out of obsolete ones.
- (2)
- Adaptability: The infrastructure system’s subsystems are comparatively independent and have the ability to modify their operational parameters in accordance with internal logic, creating an adaptive response mechanism to changes in the environment. Urban infrastructure systems continue to enhance their non-material level of resilience capacity, or “soft resilience,” as a result of the experience and information gained during the risk adaptation process. The self-adaptation of every component of the system contributes to its overall stability, which is achieved by the self-adaptation of all components.
- (3)
- Synergy: The multifaceted network of urban material bases that makes up the urban infrastructure system keeps the entire urban complex system operating steadily by facilitating resource sharing and connectivity amongst its constituent parts. The synergistic qualities of the urban infrastructure system are formed by the coupling relationship and interaction mechanism between the subsystems and their constituent pieces. This synergism is a crucial trait for the implementation of the system’s overall function. The resilience of urban infrastructure is positively connected with the degree of system synergy; a high degree of synergy not only improves the functional correlation between components but also increases resource allocation efficiency and the system’s overall risk-coping capacity.
3.2. Infrastructure Resilience System Components and Response Mechanisms
4. Urban Infrastructure Resilience Evaluation System and Model Construction
4.1. Selection of Infrastructure Resilience Evaluation Indicators
4.2. Data Sources
4.3. Infrastructure Resilience Evaluation Model
4.3.1. Entropy Weighting Method to Determine Weights
4.3.2. TOPSIS Modeling to Determine Resilience Levels
- (i)
- Optimal Euclidean distance :
- (ii)
- the worst Euclidean distance :
4.4. Obstacle Degree Model Exploring Infrastructure Resilience Barriers
4.5. Geographic Detector Probes Spatial Heterogeneity of Infrastructure Resilience
4.6. Time Geographically Weighted Regression Model to Explore Infrastructure Resilience Drivers
5. Results
5.1. Overview of Coastal Cities in the Bohai Rim Region
5.2. Comprehensive Evaluation of Infrastructure Resilience
5.3. Evaluation of Resilience of Different Subsystems of Infrastructure
5.4. Analysis of Spatial and Temporal Differences in Infrastructure Resilience
5.5. Barrier Factor Measurement
5.6. Geographic Detector Measurement
5.6.1. Divergence and Factor Detection
5.6.2. Interaction Detection
5.7. Analysis of Infrastructure Resilience Drivers in Bohai Rim Coastal Cities
5.7.1. Selection of Indicators
5.7.2. Model Testing
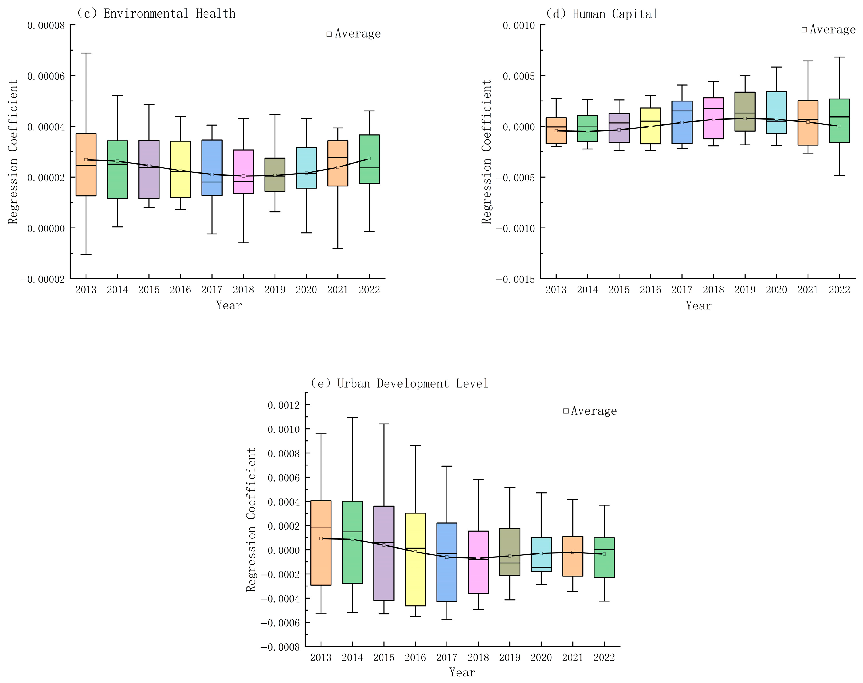
5.7.3. Analysis of the Time Evolution of Drivers
6. Conclusions and Suggestions
- (1)
- Improve the regional coordination and long-term governance mechanism. First, establish differentiated resilience standards. For high-resilience cities like Tianjin and Qingdao, explore higher resilience construction standards that align with international benchmarks. For cities with low resilience, develop basic improvement plans to address gaps. Second, establish a dynamic resilience assessment and feedback system, updating data annually and using tools like geographic detectors to continuously monitor changes in obstacle factors and drivers, enabling dynamic policy optimization and precise resource allocation. In the future, experiences from cross-sectoral collaborative governance can be drawn upon [55], and mechanisms for information disclosure and transparency should be strengthened [56], so as to enhance the overall effectiveness and social recognition of urban resilience building.
- (2)
- Focus on key shortcomings and implement a resilience enhancement plan for water supply and drainage systems. First, address high-obstacle issues by prioritizing the systematic renovation and upgrading of aging water supply and drainage networks in resilience-vulnerable cities such as Dandong, Rizhao, and Binzhou. Use corrosion-resistant materials and embed IoT sensors to establish real-time monitoring and early warning systems. Second, respond to coastal characteristics by piloting the integration of “blue-green-gray” infrastructure in cities such as Tianjin, Dalian, and Qingdao, including the construction of ecological seawalls, rain gardens, and underground storage tanks to effectively prevent and control seawater intrusion and waterlogging risks. Finally, establish a regional coordination mechanism by developing a water supply scheduling and drainage emergency linkage platform for the Bohai Rim urban agglomeration, enabling cross-city sharing and optimal allocation of water resources and emergency resources to break administrative barriers.
- (3)
- Implement dynamic and precise policy adjustments to stimulate multiple drivers. First, optimize the investment structure by establishing a resilience special fund, shifting investment from previously prioritized areas such as transportation and energy to areas with shortcomings such as environmental governance, water supply and drainage, and digitalization. Second, promote green industrial transformation by incorporating resilience indicators, such as rainwater recycling and low-carbon transformation, into the assessment of enterprises in industrial cities such as Tangshan and Dongying, ensuring coordinated development between industrial growth and resilience building. Finally, strengthen talent development and innovation by leveraging regional universities and research institutions to cultivate interdisciplinary talent proficient in infrastructure operation and digital technology, and establish “resilience labs” for policy simulation and impact assessment.
- (4)
- Enhance smart empowerment and build a digital twin-based collaborative management platform. First, promote multi-system data integration by developing a “city information model” that covers transportation, energy, environment, water supply and drainage, and communication systems. Use AI algorithms to simulate coupling risks under extreme scenarios, enabling intelligent scheduling and preventive maintenance of infrastructure. Second, emphasize communication resilience by enhancing redundant backups for communication infrastructure in resilience-vulnerable areas, such as underground optical cables and satellite communication links, to ensure unimpeded information channels during disasters and bridge the digital divide.
Author Contributions
Funding
Institutional Review Board Statement
Informed Consent Statement
Data Availability Statement
Conflicts of Interest
References
- Wang, W.; Wei, H.; Hassan, H.; He, X. Research progress and prospects of urban resilience in the perspective of climate change. Front. Earth Sci. 2024, 12, 1247360. [Google Scholar] [CrossRef]
- Babson, A.L.; Bennett, R.O.; Adamowicz, S.; Stevens, S. Coastal impacts, recovery, and resilience post-hurricane sandy in the North-eastern US. Estuaries Coasts 2020, 43, 1603–1609. [Google Scholar] [CrossRef]
- Ding, Z.X. Simulation, Inversion Analysis and Reflections on the “23.7” Flood in Zhuozhou City, Hebei Province. J. China Inst. Water Resour. Hydropower Res. (Chin. Engl. Ed.) 2024, 22, 121–128. (In Chinese) [Google Scholar]
- Jefferson, T.; Harrald, J.; Fiedrich, F. Linking infrastructure resilience to response requirements: The New Madrid Seismic Zone case. Int. J. Crit. Infrastruct. 2012, 8, 22–46. [Google Scholar] [CrossRef]
- Ouyang, M.; Dueñas-Osorio, L.; Min, X. A three-stage resilience analysis framework for urban infrastructure systems. Struct. Saf. 2012, 36, 23–31. [Google Scholar] [CrossRef]
- Wu, S.L.; Liu, S.Y. Research status and development trend of infrastructure resilience—An analysis based on international literature review. Int. Urban Plan. 2023, 38, 31–38. (In Chinese) [Google Scholar]
- Holling, C.S. Resilience and stability of ecological systems. Annu. Rev. Ecol. Syst. 1973, 4, 1–23. [Google Scholar] [CrossRef]
- Shao, Y.W.; Xu, J. Urban resilience: A conceptual analysis based on international literature review. Int. Urban Plan. 2015, 30, 48–54. (In Chinese) [Google Scholar]
- Jiang, J.; Zhang, X.Q.; Huang, C.H. Influence of population agglomeration on urban economic resilience in China. Sustainability 2022, 14, 10407. [Google Scholar] [CrossRef]
- Bacchi, S.; Licinio, J. Resilience and psychological distress in psychology and medical students. Acad. Psychiatr. 2016, 41, 185–188. [Google Scholar] [CrossRef]
- Bozza, A.; Asprone, D.; Fabbrocino, F. Urban resilience: A civil engineering perspective. Sustainability 2017, 9, 103. [Google Scholar] [CrossRef]
- Department of Homeland Security. National Infrastructure Protection Plan: Partnering to Enhance Protection and Resiliency; Department of Homeland Security: Washington, DC, USA, 2009.
- Chokhachian, A.; Santucci, D.; Auer, T. A human-centered approach to enhance urban resilience, implications and application to improve outdoor comfort in dense urban spaces. Buildings 2017, 7, 113. [Google Scholar] [CrossRef]
- Cutts, M.; Wang, Y.; Yu, Q.K. New perspectives on building resilience into infrastructure systems. Nat. Hazards Rev. 2017, 18, B4015004. [Google Scholar] [CrossRef]
- Chester, M.; Asmar, M.E.I.; Hayes, S.; Desha, C. Post-Disaster Infrastructure Delivery for Resilience. Sustainability 2021, 13, 3458. [Google Scholar] [CrossRef]
- Zhu, J.; Manandhar, B.; Truong, J.; Ganapati, N.E.; Pradhananga, N.; Davidson, R.A.; Mostafavi, A. Assessment of infrastructure resilience in the 2015 Gorkha, Nepal, earthquake. Earthq. Spectra 2017, 33 (Suppl. S1), 147–165. [Google Scholar] [CrossRef]
- Rehak, D.; Senovsky, P.; Slivkova, S. Resilience of critical infrastructure elements and its main factors. Systems 2018, 6, 21. [Google Scholar] [CrossRef]
- Chen, M.; Jiang, Y.; Wang, E.; Wang, Y.; Zhang, J. Measuring urban infrastructure resilience via pressure-state-response framework in four Chinese Cities. Appl. Sci. 2022, 12, 2819. [Google Scholar] [CrossRef]
- Jin, J.C.; Huang, W.Q.; Zhang, Y. Evaluation of infrastructure in Chinese cities above prefecture level. Econ. Geogr. 2011, 31, 47–54. (In Chinese) [Google Scholar]
- Li, S.S.; Li, J.N.; Song, Y.Q.; Li, G.J. The impact of unbalanced development of information infrastructure on the performance gap of urban agglomerations—An empirical study based on national-level urban agglomerations. Urban Dev. Res. 2024, 31, 99–107. (In Chinese) [Google Scholar]
- Garefalakis, A.; Dimitras, A. Looking back and forging ahead: The weighting of ESG factors. Ann. Oper. Res. 2020, 294, 151–189. [Google Scholar] [CrossRef]
- Alkebsee, R.; Alhebry, A.; Tian, G.; Garefalakis, A. Audit committee’s cash compensation and earnings management: The moderating effects of institutional factors. Span. J. Financ. Account./Rev. Española De Financ. Y Contab. 2022, 51, 389–416. [Google Scholar] [CrossRef]
- Xu, W.P.; Cong, J.T.; Proverbs, D.G. Evaluation of infrastructure resilience. Int. J. Build. Pathol. Adapt. 2023, 41, 378–400. [Google Scholar] [CrossRef]
- Joyce, J.; Chang, N.B.; Harji, R.; Ruppert, T. Coupling infrastructure resilience and flood risk assessment via copulas analyses for a coastal green-grey-blue drainage system under extreme weather events. Environ. Model. Softw. 2018, 100, 82–103. [Google Scholar] [CrossRef]
- Yang, H.Y.; Luo, Q.D.; Sun, X.B.; Wang, Z. Comprehensive evaluation of urban waterlogging prevention resilience based on the fuzzy VIKOR method: A case study of the Beijing-Tianjing-Hebei urban agglomeration. Environ. Sci. Pollut. Res. 2023, 30, 112773–112787. [Google Scholar] [CrossRef] [PubMed]
- Zhou, R.; Yu, Y.; Wu, B.; Luo, X. Quantitative evaluation of urban resilience in underdeveloped regions: A study of six cities in Sichuan & Tibet, China. Front. Environ. Sci. 2023, 11, 1133595. [Google Scholar]
- Wang, K.; Wang, Z.; Deng, J.; Feng, Y.; Li, Q. Study on the evaluation of emergency management capacity of resilient communities by the AHP-TOPSIS method. Int. J. Environ. Res. Public Health 2022, 19, 16201. [Google Scholar] [CrossRef]
- Xun, X.; Yuan, Y. Research on the urban resilience evaluation with hybrid multiple attribute TOPSIS method: An example in China. Nat. Hazards 2020, 103, 557–577. [Google Scholar] [CrossRef]
- Lu, H.; Zhang, C.; Jiao, L.D.; Wei, Y.; Zhang, Y. Analysis on the spatial-temporal evolution of urban agglomeration resilience: A case study in Chengdu-Chongqing Urban Agglomeration, China. Int. J. Disaster Risk Reduct. 2022, 79, 103167. [Google Scholar] [CrossRef]
- Chen, Y.; Su, X.Y.; Zhou, Q. Study on the spatiotemporal evolution and influencing factors of urban resilience in the Yellow River Basin. Int. J. Environ. Res. Public Health 2021, 18, 10231. [Google Scholar] [CrossRef]
- Wu, P.; Duan, Q.X.; Zhou, L.G.; Wu, Q.; Deveci, M. Spatial-temporal evaluation of urban resilience in the Yangtze River Delta from the perspective of the coupling coordination degree. Environ. Dev. Sustain. 2025, 27, 409–431. [Google Scholar] [CrossRef]
- Guo, X.J.; Li, J.Q.; Ma, Y.J.; Chen, X.; Li, Y. Study on the coupling and coordination between urban resilience and low-carbon development of central plains urban agglomeration. Sustainability 2023, 15, 16748. [Google Scholar] [CrossRef]
- Wang, H.H.; Du, S.; Zhong, Y.H.; Liu, S.; Xu, T.; Zhao, Y.; He, W.; Xue, H.; He, Y.; Gao, X.; et al. Unveiling the impact mechanism of urban resilience on carbon dioxide emissions of the Pearl River Delta urban agglomeration in China. Environ. Impact Assess. Rev. 2024, 105, 107422. [Google Scholar] [CrossRef]
- Yang, L.; Yang, H.; Zhao, X.; Yang, Y. Study on urban resilience from the perspective of the complex adaptive system theory: A case study of the Lanzhou-Xining urban agglomeration. Int. J. Environ. Res. Public Health 2022, 19, 13667. [Google Scholar] [CrossRef] [PubMed]
- Shi, Y.; Zhai, G.; Xu, L.; Zhou, S.; Lu, Y.; Liu, H.; Huang, W. Assessment methods of urban system resilience: From the perspective of complex adaptive system theory. Cities 2021, 112, 103141. [Google Scholar] [CrossRef]
- Qiu, B.X. Resilience-Oriented Urban Design Methods and Principles Based on Complex Adaptive System Theory. Urban Dev. Stud. 2018, 25, 1–3. (In Chinese) [Google Scholar]
- Datola, G. Implementing urban resilience in urban planning: A comprehensive framework for urban resilience evaluation. Sustain. Cities Soc. 2023, 98, 104821. [Google Scholar] [CrossRef]
- Zhang, M.D.; Feng, X.Q. Comprehensive Evaluation of Urban Resilience in China. Urban Probl. 2018, 10, 27–36. (In Chinese) [Google Scholar]
- Zhang, J.; Yang, X.; Lu, D. Evaluation of urban resilience based on trio spaces: An empirical study in northeast China. Buildings 2023, 13, 1695. [Google Scholar] [CrossRef]
- Sharma, D.; Sridhar, S.; Claudio, D. Comparison of AHP-TOPSIS and AHP-AHP methods in multi-criteria decision-making problems. Int. J. Ind. Syst. Eng. 2020, 34, 203–223. [Google Scholar] [CrossRef]
- Liu, J.; Zhang, S.; Liu, Y.; Zheng, W.; Hu, X. Evaluation and Improvement of Construction Safety for Prefabricated Buildings Under the Concept of Resilience. Buildings 2024, 14, 3459. [Google Scholar] [CrossRef]
- Wang, J.F.; Xu, C.D. Geographic Detector: Principles and Prospects. Geogr. J. 2017, 72, 116–134. (In Chinese) [Google Scholar]
- Brunsdon, C.; Fotheringham, A.S.; Charlton, M. Some Notes on Parametric Significance Tests for Geographically Weighted Regression. J. Reg. Sci. 1999, 39, 497–524. [Google Scholar] [CrossRef]
- Li, B.; Jin, X. Spatio-temporal evolution of marine fishery industry ecosystem vulnerability in the Bohai rim region. Chin. Geogr. Sci. 2019, 29, 1052–1064. [Google Scholar] [CrossRef]
- Taylor, F.E.; Millington, J.D.A.; Jacob, E.; Malamud, B.D.; Pelling, M. Messy maps: Qualitative GIS representations of resilience. Landsc. Urban Plan. 2020, 198, 103771. [Google Scholar] [CrossRef]
- Lan, X.; Wang, J.; Pei, Z.; Li, Y.; Via, B.K.; Peng, X.; Ma, Y. Ecological Suitability Evaluation of Chinese Pearleaf Crabapples in Horqin Right Wing Front Banner Based on GIS. Sustainability 2024, 16, 4316. [Google Scholar] [CrossRef]
- Huck, A.; Monstadt, J.; Driessen, P.P.J.; Rudolph-Cleff, A. Towards Resilient Rotterdam? Key conditions for a networked approach to managing urban infrastructure risks. J. Contingencies Crisis Manag. 2021, 29, 12–22. [Google Scholar] [CrossRef]
- Fontenelle, A.L.; Kamigauti, L.Y.; Perez, G.M.P.; Hidalgo, I.G.; Uvo, C.B. From scarcity to surplus: The water dichotomy affecting global communities. Discov. Water 2025, 5, 25. [Google Scholar] [CrossRef]
- Lopes, A.C.R.; Rezende, O.M.; Miguez, M.G. Urban resilience to floods in the context of the disaster risk management cycle: A literature review. J. Hydrol. 2025, 662, 133827. [Google Scholar] [CrossRef]
- Raub, K.B.; Stepenuck, K.F.; Panikkar, B.; Stephens, J.C. An analysis of resilience planning at the nexus of food, energy, water, and transportation in coastal US cities. Sustainability 2021, 13, 6316. [Google Scholar] [CrossRef]
- Özerol, G.; Dolman, N.; Bormann, H.; Bressers, H.; Lulofs, K.; Böge, M. Urban water management and climate change adaptation: A self-assessment study by seven midsize cities in the North Sea Region. Sustain. Cities Soc. 2020, 55, 102066. [Google Scholar] [CrossRef]
- Huang, J.; Geng, H. Investigating of Spatiotemporal Correlation between Urban Spatial Form and Urban Ecological Resilience: A Case Study of the City Cluster in the Yangzi River Midstream, China. Buildings 2024, 14, 274. [Google Scholar] [CrossRef]
- Han, S.; Wang, H.; Ao, Y.; Wang, B.; Chen, B.; Martek, I. Resilient city construction efficiency and its influencing factors in China’s Chengdu-Chongqing Economic Circle: Considering both construction input and resilience level of the city. Sustain. Cities Soc. 2024, 114, 105726. [Google Scholar] [CrossRef]
- Wang, L.Q.; Li, G.Z. Analysis of spatiotemporal characteristics and influencing factors of urban ecological resilience in China. Arid. Land Geogr. 2025, 48, 893–904. (In Chinese) [Google Scholar]
- Petelos, E.; Antonaki, D.; Angelaki, E.; Lemonakis, C.; Alexandros, G. Enhancing Public Health and SDG 3 Through Sustainable Agriculture and Tourism. Sustainability 2025, 17, 6253. [Google Scholar] [CrossRef]
- Dimitras, A. The contribution of management commentary index (Ma. Co. I) in annual banking reports (ABR) and the chronicle of the great Greek crisis. Theor. Econ. Lett. 2016, 6, 1060–1087. [Google Scholar]







| Target | Standard | Indicator | Attribute |
|---|---|---|---|
| Level of resilience of urban infrastructure | Energy system resilience | Per capita natural gas use (m3/person) | + |
| LPG supply per capita (t/million people) | + | ||
| Per capita heat supply (GJ/person) | + | ||
| Transportation system resilience | Road area per capita (m2/person) | + | |
| Cabs per 10,000 people (units/10,000 people) | + | ||
| Road passenger traffic per capita (persons) | + | ||
| Bus ownership per 10,000 people (vehicles per 10,000 people) | + | ||
| Road freight per capita (t/person) | + | ||
| Environmental system resilience | Greening coverage of built-up areas (%) | + | |
| Sewage discharge (t) | − | ||
| Green space per capita (m2/person) | + | ||
| Area of green space in parks (hectares) | + | ||
| Sewage treatment (t) | + | ||
| Resilience of water supply and drainage systems | Per capita daily domestic water consumption (liters/person) | + | |
| Per capita water supply (m3/person) | + | ||
| Length of drainage pipes per capita (km/ten thousand people) | + | ||
| Length of water supply pipes per capita (km/ten thousand people) | + | ||
| Communication system resilience | Internet users per 100 population (households/100 population) | + | |
| Cell phone subscribers per 100 population (households/100 population) | + | ||
| Postal operations per capita (yuan/person) | + | ||
| Telecommunications per capita (yuan/person) | + |
| Target | Standard | Weights | Indicator | Weights |
|---|---|---|---|---|
| Level of resilience of urban infrastructure | Energy system resilience | 0.166 | Per capita natural gas use (m3/person) | 0.048 |
| LPG supply per capita (t/million people) | 0.077 | |||
| Per capita heat supply (GJ/person) | 0.041 | |||
| Transportation system resilience | 0.224 | Road area per capita (m2/person) | 0.033 | |
| Cabs per 10,000 people (units/10,000 people) | 0.047 | |||
| Road passenger traffic per capita (persons) | 0.037 | |||
| Bus ownership per 10,000 people (vehicles per 10,000 people) | 0.052 | |||
| Road freight per capita (t/person) | 0.055 | |||
| Environmental system resilience | 0.279 | Greening coverage of built-up areas (%) | 0.028 | |
| Sewage discharge (t) | 0.010 | |||
| Green space per capita (m2/person) | 0.043 | |||
| Area of green space in parks (hectares) | 0.085 | |||
| Sewage treatment (t) | 0.112 | |||
| Resilience of water supply and drainage systems | 0.132 | Per capita daily domestic water consumption (liters/person) | 0.041 | |
| Per capita water supply (m3/person) | 0.018 | |||
| Length of drainage pipes per capita (km/ten thousand people) | 0.042 | |||
| Length of water supply pipes per capita (km/ten thousand people) | 0.031 | |||
| Communication system resilience | 0.199 | Internet users per 100 population (households/100 population) | 0.050 | |
| Cell phone subscribers per 100 population (households/100 population) | 0.036 | |||
| Postal operations per capita (yuan/person) | 0.065 | |||
| Telecommunications per capita (yuan/person) | 0.049 |
| Cities | Year | |||||||||
|---|---|---|---|---|---|---|---|---|---|---|
| 2013 | 2014 | 2015 | 2016 | 2017 | 2018 | 2019 | 2020 | 2021 | 2022 | |
| Dandong | 0.14 | 0.20 | 0.25 | 0.19 | 0.23 | 0.21 | 0.21 | 0.10 | 0.16 | 0.15 |
| Dalian | 0.51 | 0.48 | 0.46 | 0.44 | 0.47 | 0.53 | 0.46 | 0.49 | 0.48 | 0.51 |
| Yingkou | 0.20 | 0.20 | 0.21 | 0.25 | 0.30 | 0.30 | 0.28 | 0.32 | 0.33 | 0.32 |
| Panjin | 0.32 | 0.33 | 0.31 | 0.32 | 0.32 | 0.34 | 0.35 | 0.32 | 0.29 | 0.36 |
| Jinzhou | 0.19 | 0.23 | 0.22 | 0.22 | 0.26 | 0.25 | 0.29 | 0.31 | 0.30 | 0.22 |
| Huludao | 0.21 | 0.17 | 0.23 | 0.26 | 0.31 | 0.22 | 0.26 | 0.34 | 0.27 | 0.28 |
| Qinhuangdao | 0.29 | 0.30 | 0.23 | 0.28 | 0.29 | 0.30 | 0.30 | 0.28 | 0.29 | 0.28 |
| Tangshan | 0.30 | 0.23 | 0.23 | 0.28 | 0.27 | 0.27 | 0.26 | 0.28 | 0.28 | 0.27 |
| Tianjin | 0.58 | 0.57 | 0.60 | 0.59 | 0.63 | 0.60 | 0.57 | 0.58 | 0.59 | 0.59 |
| Cangzhou | 0.28 | 0.26 | 0.28 | 0.27 | 0.26 | 0.30 | 0.30 | 0.27 | 0.29 | 0.31 |
| Binzhou | 0.23 | 0.19 | 0.20 | 0.21 | 0.29 | 0.28 | 0.26 | 0.28 | 0.29 | 0.25 |
| Dongying | 0.37 | 0.31 | 0.34 | 0.34 | 0.37 | 0.39 | 0.38 | 0.37 | 0.39 | 0.41 |
| Weifang | 0.27 | 0.22 | 0.21 | 0.21 | 0.25 | 0.22 | 0.25 | 0.24 | 0.24 | 0.26 |
| Yantai | 0.33 | 0.29 | 0.31 | 0.30 | 0.32 | 0.29 | 0.30 | 0.27 | 0.29 | 0.31 |
| Weihai | 0.36 | 0.31 | 0.34 | 0.36 | 0.39 | 0.38 | 0.38 | 0.35 | 0.35 | 0.38 |
| Qingdao | 0.45 | 0.51 | 0.45 | 0.47 | 0.43 | 0.52 | 0.48 | 0.49 | 0.51 | 0.54 |
| Rizhao | 0.21 | 0.20 | 0.22 | 0.20 | 0.23 | 0.21 | 0.22 | 0.18 | 0.22 | 0.24 |
| Year | Average Subsystem Resilience Level | ||||
|---|---|---|---|---|---|
| Communication System | Water Supply and Drainage | Environmental Systems | Transportation System | Energy System | |
| 2013 | 0.31 | 0.37 | 0.23 | 0.32 | 0.31 |
| 2014 | 0.28 | 0.35 | 0.24 | 0.32 | 0.28 |
| 2015 | 0.25 | 0.35 | 0.25 | 0.36 | 0.32 |
| 2016 | 0.28 | 0.37 | 0.25 | 0.35 | 0.33 |
| 2017 | 0.29 | 0.46 | 0.23 | 0.39 | 0.33 |
| 2018 | 0.36 | 0.38 | 0.25 | 0.40 | 0.27 |
| 2019 | 0.34 | 0.40 | 0.26 | 0.39 | 0.24 |
| 2020 | 0.33 | 0.41 | 0.27 | 0.37 | 0.26 |
| 2021 | 0.34 | 0.40 | 0.26 | 0.39 | 0.26 |
| 2022 | 0.39 | 0.41 | 0.26 | 0.39 | 0.27 |
| Year | Average Subsystem Handicap | ||||
|---|---|---|---|---|---|
| Communication System | Water Supply and Drainage | Environmental Systems | Transportation System | Energy System | |
| 2013 | 0.09 | 0.59 | 0.22 | 0.24 | 0.18 |
| 2014 | 0.12 | 0.69 | 0.16 | 0.20 | 0.19 |
| 2015 | 0.11 | 0.61 | 0.19 | 0.19 | 0.21 |
| 2016 | 0.17 | 0.53 | 0.20 | 0.18 | 0.21 |
| 2017 | 0.12 | 0.61 | 0.17 | 0.17 | 0.26 |
| 2018 | 0.09 | 0.69 | 0.20 | 0.18 | 0.20 |
| 2019 | 0.10 | 0.74 | 0.16 | 0.22 | 0.17 |
| 2020 | 0.11 | 0.70 | 0.21 | 0.20 | 0.16 |
| 2021 | 0.10 | 0.73 | 0.20 | 0.18 | 0.17 |
| 2022 | 0.17 | 0.32 | 0.30 | 0.22 | 0.19 |
| Variant | 2013 | 2016 | 2019 | 2022 | Average |
|---|---|---|---|---|---|
| ×1 | 0.42880 | 0.33289 | 0.40044 | 0.40822 | 0.39259 |
| ×2 | 0.57308 | 0.25886 | 0.32718 | 0.29813 | 0.36431 |
| ×3 | 0.18363 | 0.27807 | 0.23289 | 0.11414 | 0.20219 |
| ×4 | 0.08128 | 0.19201 | 0.17155 | 0.04610 | 0.12273 |
| ×5 | 0.15587 | 0.06412 | 0.47673 | 0.19088 | 0.22190 |
| ×6 | 0.18291 | 0.15690 | 0.37022 | 0.25002 | 0.24001 |
| ×7 | 0.35934 | 0.26725 | 0.25665 | 0.56203 | 0.36132 |
| ×8 | 0.22466 | 0.07854 | 0.22969 | 0.08580 | 0.15467 |
| ×9 | 0.42654 | 0.02455 | 0.13838 | 0.55355 | 0.28575 |
| ×10 | 0.30240 | 0.81327 | 0.79513 | 0.74140 | 0.66305 |
| ×11 | 0.47722 | 0.41763 | 0.27158 | 0.13872 | 0.32629 |
| ×12 | 0.63003 | 0.76116 ** | 0.70728 | 0.52472 | 0.65580 |
| ×13 | 0.74677 ** | 0.83392 * | 0.79513 | 0.75818 | 0.78350 |
| ×14 | 0.22830 | 0.17162 | 0.33784 | 0.17596 | 0.22843 |
| ×15 | 0.48112 | 0.25459 | 0.24095 | 0.40561 | 0.34557 |
| ×16 | 0.16182 | 0.23323 | 0.14860 | 0.19337 | 0.18425 |
| ×17 | 0.15735 | 0.07255 | 0.02158 | 0.14156 | 0.09826 |
| ×18 | 0.62941 * | 0.48545 | 0.54729 * | 0.42194 | 0.52102 |
| ×19 | 0.83401 *** | 0.75906 * | 0.74932 *** | 0.66801 * | 0.75260 |
| ×20 | 0.51987 | 0.80915 * | 0.74932 * | 0.47183 | 0.63755 |
| ×21 | 0.75658 ** | 0.82665 * | 0.85655 *** | 0.86197 *** | 0.82544 |
| Basis of Judgment | Interaction Type |
|---|---|
| q (e1 ∩ e2) < Min(q(e1), q(e2)) | nonlinear weakening |
| Min(q(e1), q(e2)) < q (e1 ∩ e2) < Max(q(e1), q(e2)) | Single-factor nonlinear attenuation |
| q (e1 ∩ e2) > Max(q(e1), q(e2)) | two-factor enhancement |
| q (e1 ∩ e2) = q(e1) + q(e2) | stand alone |
| q (e1 ∩ e2) > q(e1) + q(e2) | nonlinear enhancement |
| Driving Force | Norm | VIF |
|---|---|---|
| economic level | GDP per capita (person/million dollars) | 2.044 |
| industrial structure | Share of secondary sector in GDP (%) | 1.857 |
| environmental health | Road sweeping and cleaning area (10,000 square meters) | 3.665 |
| human capital | University students per 10,000 population (persons per 10,000) | 1.979 |
| urban level | Population density (persons/km2) | 2.637 |
| Parameters | OLS | GTWR |
|---|---|---|
| AICc | −454.317 | −540.261 |
| R2 | 0.688 | 0.934 |
| Adjusted R2 | 0.641 | 0.932 |
Disclaimer/Publisher’s Note: The statements, opinions and data contained in all publications are solely those of the individual author(s) and contributor(s) and not of MDPI and/or the editor(s). MDPI and/or the editor(s) disclaim responsibility for any injury to people or property resulting from any ideas, methods, instructions or products referred to in the content. |
© 2025 by the authors. Licensee MDPI, Basel, Switzerland. This article is an open access article distributed under the terms and conditions of the Creative Commons Attribution (CC BY) license (https://creativecommons.org/licenses/by/4.0/).
Share and Cite
Zhu, D.; Li, X.; Li, H. Research on the Infrastructure Resilience System and Sustainable Development of Coastal Cities in the Bohai Sea, China: A Multi-Model and Spatiotemporal Heterogeneity Analysis Based on CAS. Sustainability 2025, 17, 8232. https://doi.org/10.3390/su17188232
Zhu D, Li X, Li H. Research on the Infrastructure Resilience System and Sustainable Development of Coastal Cities in the Bohai Sea, China: A Multi-Model and Spatiotemporal Heterogeneity Analysis Based on CAS. Sustainability. 2025; 17(18):8232. https://doi.org/10.3390/su17188232
Chicago/Turabian StyleZhu, Dan, Xinhang Li, and Hongchang Li. 2025. "Research on the Infrastructure Resilience System and Sustainable Development of Coastal Cities in the Bohai Sea, China: A Multi-Model and Spatiotemporal Heterogeneity Analysis Based on CAS" Sustainability 17, no. 18: 8232. https://doi.org/10.3390/su17188232
APA StyleZhu, D., Li, X., & Li, H. (2025). Research on the Infrastructure Resilience System and Sustainable Development of Coastal Cities in the Bohai Sea, China: A Multi-Model and Spatiotemporal Heterogeneity Analysis Based on CAS. Sustainability, 17(18), 8232. https://doi.org/10.3390/su17188232

