Next Article in Journal
Date Palm (Phoenix dactylifera L.) Fruit: Strategic Crop for Food Security, Nutritional Benefits, Postharvest Quality, and Valorization into Emerging Functional Products
Next Article in Special Issue
Development of Evaluation Model for Building Energy Usage: Methodology Development and Case Study on Day-Care Centers in South Korea
Previous Article in Journal
Sustainable Management of Bottom Ash and Municipal Sewage Sludge as a Source of Micronutrients for Biomass Production
Previous Article in Special Issue
LEED v4 Adoption Patterns and Regional Variations Across US-Based Projects
 
 
Font Type:
Arial Georgia Verdana
Font Size:
Aa Aa Aa
Line Spacing:
Column Width:
Background:
Article

Microclimatic Effects of Retrofitting a Green Roof Beneath an East–West PV Array: A Two-Year Field Study in Austria

Research Unit of Ecological Building Technologies, Institute of Material Technology, Building Physics and Building Ecology, Faculty of Civil- and Environmental Engineering, Vienna University of Technology, Karlsplatz 13/207-3, 1040 Vienna, Austria
*
Author to whom correspondence should be addressed.
Sustainability 2025, 17(16), 7495; https://doi.org/10.3390/su17167495
Submission received: 3 July 2025 / Revised: 2 August 2025 / Accepted: 13 August 2025 / Published: 19 August 2025
(This article belongs to the Special Issue Building Sustainability within a Smart Built Environment)

Abstract

Integrating photovoltaic (PV) systems with green roofs presents a synergistic approach to urban sustainability. Many existing flat-roof PV installations, often east–west oriented with limited elevation, present integration challenges for green roofs and are therefore understudied. This study addresses this by investigating the microclimatic effects of retrofitting an extensive green roof beneath such an existing PV array. Over a two-year period, continuous measurements of sub-panel air temperature, relative humidity, and module surface temperature were conducted. Results show that the green roof reduced average midday sub-panel air temperatures by 1.7–2.2 °C, with peak reductions up to 8 °C during summer, while nighttime temperatures were higher above the green roof. Relative humidity increased by up to 8.1 percentage points and module surface temperatures beneath the green roof were lowered by 0.4–1.5 °C, though with greater variability. Computational fluid dynamics simulations confirmed that evaporative cooling was spatially confined beneath the panels and highlighted the influence of structural features on airflow and convective cooling. Despite limited vegetation beneath the panels, the green roof retained moisture longer than the gravel roof, resulting in particularly strong cooling effects in the days following rainfall. The study highlights the retrofitting potential for improving rooftop climates, while showing key design recommendations for enhanced system performance.

1. Introduction

Climate change poses one of the most pressing global challenges of the 21st century, necessitating transformative action across multiple sectors. The energy sector alone accounts for approximately 26% of global emissions, highlighting the urgent need for low-carbon technologies and systemic transitions toward sustainability [1]. Simultaneously, urbanization has intensified environmental stressors, resulting in extensive land sealing, a decline in biodiversity, and significant changes in urban microclimates [2].
Rooftop spaces represent a significant yet underutilized opportunity for multifunctional climate adaptation. In many cases, these surfaces are already occupied by PV systems, which contribute to renewable energy goals. However, conventional rooftop constructions—such as gravel-covered flat roofs—offer little to no contribution to local climate regulation. They tend to absorb and retain heat, thereby increasing surrounding air temperatures and contributing to localized heat accumulation known as the urban heat island (UHI) effect [3,4]. This not only poses a problem to human health and well-being, especially among the elderly [5], but also contributes to an augmentation of energy use in order to cool the affected buildings during warmer periods [6,7].
Green infrastructure offers promising pathways to mitigate these urban challenges [8,9,10,11]. Such installations offer various benefits to their surroundings, impacting social, economic, and environmental dynamics [12,13], especially in terms of an improved heat flux [14,15].

1.1. Green Roofs

Green roofs, which consist of vegetation-covered rooftop surfaces, are a valuable approach to incorporating green infrastructure into urbanized areas. By retaining rainfall within their substrate layers, they help regulate water flow and significantly reduce runoff, contributing to improved stormwater management [16,17,18]. The retained water is gradually released through evapotranspiration, a process in which moisture evaporates from the substrate and transpires from plants. This process removes heat from the surrounding environment, creating a cooling effect that helps regulate temperatures, particularly during warmer periods [19,20], helping to mitigate the UHI effect [21,22,23].
Additionally, green roofs provide insulation, reducing heat transfer into the building’s interior and enhancing energy efficiency [20,22,24,25,26]. They also contribute to improved air quality by capturing dust and pollutants [27,28]. Furthermore, green roofs enhance the aesthetic appeal of buildings and promote biodiversity by offering habitats for a variety of plant and animal species [29,30].
Green roofs are classified into two categories: intensive and extensive. Intensive green roofs have deeper soil layers that allow for a broader range of plants, including shrubs and small trees. However, they require more maintenance and structural support due to their weight and are often designed as accessible garden spaces. In contrast, extensive green roofs have shallower substrate depths, support low-maintenance vegetation such as Sedum and grasses, and are lighter and less expensive [19].

1.2. PVGR and State of the Art

The integration of photovoltaic systems with green roofs—resulting in photovoltaic green roofs (PVGRs)—has gained increasing attention as a multifunctional rooftop solution. PV modules are sensitive to heat, which leads to efficiency losses due to thermalization, an increase in the operating temperature of solar cells, and higher electron-hole recombination, ultimately reducing voltage output [31]. The evapotranspiration from vegetation beneath the panels creates a cooling microclimate, which can mitigate these thermal losses. At the same time, the PV panels offer partial shading that protects vegetation from direct sunlight and excessive dehydration [19,32]. While the conceptual benefits of PV green roofs are increasingly recognized, their real-world performance is influenced by a range of system-specific and environmental factors. Numerous studies have investigated various configurations, climates, and mounting strategies, with outcomes varying significantly depending on design and context [33,34,35,36,37,38,39,40].
One of the earliest large-scale investigations took place in Germany in 1999, where PV modules installed on a green roof generated 6.5% more energy in the first year; however, the study compared modules with different elevations and mountings. Additionally, the study found that biomass production was higher beneath the panels, and species richness increased over time, exceeding the levels observed on a green roof without panels [41,42].
In a 1.5-year study in Switzerland, Baumann et al. [39] evaluated thirteen test fields with various mounting angles, vegetation types, and irrigation levels, reporting an average energy-weighted module temperature variation of ±1.8 °C across the test fields.
In Kansas, Alshayeb and Chang [40] conducted a yearlong study, where half of the area beneath a PV system was retrofitted with Sedum-planted greening trays, while the other half remained a conventional black roof. Their results showed a 0.3 °C reduction in ambient air temperature and a 0.8 °C drop in PV module underside temperature over the greened section.
Fleck et al. [38] conducted an eight-month study in Sydney, Australia, observing average ambient temperature reductions of 1.00 °C (spring), 1.12 °C (summer), and 0.72 °C (autumn) compared to the reference roof. PV module surface temperatures were up to 5 °C lower under peak solar radiation, with seasonal averages ranging from 1.5 to 2.88 °C cooler than the reference system.
In addition to the large-scale studies, several smaller-scale or shorter-term studies have also compared conventional PV roofs with PVGR [43,44,45,46]. For instance in Malaysia, a four-panel PVGR system achieved an 8.6 °C reduction in PV backside temperature, with optimal performance at a 0.3 m panel elevation [47].
In summary, most studies demonstrate moderate to significant microclimatic benefits of PVGR systems, with panel surface cooling ranging from 0.8 to 8.6 °C and ambient air temperature reductions up to 3 °C. These effects are typically strongest under high solar irradiance and adequate moisture conditions but can vary substantially depending on system design and local climate. However, to the best of our knowledge, none of the existing studies have investigated green roofs in combination with east–west-oriented PV arrays. This configuration is increasingly prevalent on flat rooftops due to its lower space requirements, simplified installation procedures, and smoother power injection profiles [48]. Importantly, the more uniform and persistent shading characteristic of east–west systems, particularly when panels are mounted at low elevations, may present challenges for plant growth and evapotranspiration [49]. Therefore, it is essential to investigate how such configurations interact with green roofs, both in terms of thermal performance and vegetation development.

1.3. Study Objectives and Research Scope

This study addresses the research question: Does retrofitting a suboptimal PV system with an extensive green roof improve the microclimatic conditions beneath the panels, considering the constraints of the existing roof structure?
To explore this, we conducted a two-year field study involving continuous field data to assess sub-panel air temperature, relative humidity, and PV module underside temperature across both seasonal and diurnal timescales, while also monitoring vegetation development. To supplement the empirical observations and assess site-specific structural influences, computational fluid dynamics (CFD) simulations were carried out for a typical summer day. These simulations included different vegetation scenarios and enabled a more detailed understanding of airflow patterns and the spatial distribution of evaporative cooling effects beneath the array.
While PV module temperatures are known to affect electrical performance, this study does not attempt to quantify energy yield differences. PV performance is influenced by multiple factors, particularly shading, a fact making direct comparisons between test areas more complex. This challenge has been noted in previous PVGR studies [38,41,50] and was similarly observed at our site. Therefore, a separate paper will address the energy performance analysis and explore methods to isolate shading effects for a more accurate assessment of electrical output.

2. Materials and Methods

This section describes the experimental site and PV system configurations, including the green roof retrofit. It details the microclimate monitoring setup, sensor locations, and data acquisition over two years. Additionally, it introduces the CFD simulations employed to analyze airflow and temperature, as well as the methods for assessing vegetation development on the green roof.

2.1. Experimental Site Description

The experimental site is located in Bruck an der Leitha, Austria, which is characterized by a humid continental climate with warm summers (Dfb) according to the Köppen–Geiger classification [51]. Figure 1 shows the roof with the reference area and the test area before the project began.

2.1.1. PV Array Configuration

Two PV systems had already been installed on the gravel roof in September 2021, prior to the start of the project. Both systems have an east–west mounting configuration with a 10° tilt and use LONGi Solar LR4-72HPH 450M (LONGi Solar Technology Co., Ltd., Xi’an, China) monocrystalline silicon modules. These modules have a nominal power rating of 450 Wp and a temperature coefficient for maximum power output of −0.35%/°C [52].
The reference area consists of 100 modules connected to the grid via a three-phase inverter, the SUN2000-40KTL-M3 (Huawei, Shenzhen, China). The test area contains only 74 modules and is equipped with a slightly lower-powered but otherwise similar inverter, the SUN2000-30KTL-M3 (Huawei, Shenzhen, China).

2.1.2. Green Roof Retrofitting Process

At the start of the project in September 2022, an extensive 200 m2 green roof was installed on the test site. This required dismantling the existing PV modules and removing the gravel substrate, after which the green roof was built using a layered system supplied by Optigrün international AG (Krauchenwies, Germany):
  • Base layer: Optigrün RMS 500 Roof Protection Mat, which shields the roofing membrane and acts as a separation and water storage layer.
  • Drainage layer: Optigrün FKD 20 drainage and storage sheet.
  • Filter layer: a filter fleece to prevent fine particles from being washed into the drainage layer.
  • Vegetation substrate: An 8 cm thick layer of Optigrün Extensive Multi-Layer Substrate E-light was added. This lightweight, structurally stable growing medium consists mainly of expanded shale, clay, lava, pumice, crushed brick, Porlith, and green waste compost.
The PV modules were reinstalled on 15 cm lightweight concrete blocks placed directly on the substrate. This increased the distance between the lower edge of the modules and the substrate by 15 cm, bringing the total distance to 20 cm.
Vegetation was established using 15 kg of an Optigrün’s extensive seed mix, specifically formulated for dry, low-maintenance environments. The mix included 23 herbaceous species and Sedum cuttings. Of the total 200 m2 test area, the PV array covers approximately 175 m2, leaving around 20 m2 as unshaded green roof. A photograph of the completed PVGR system is shown in Figure 2 (June 2024).

2.1.3. Structural Differences Between Greened Test and Reference Area

The two areas (see Figure 1) are geographically close and experience almost identical weather conditions and full solar radiation. However, certain structural differences may affect the local microclimate:
  • Mounting height: In the greened test area, the PV modules are mounted 20 cm above the green roof, while in the reference area, the distance between the gravel and the lowest point of the module is about 5 cm. This increased mounting height in the test area increases ventilation, which can improve airflow around the surface and therefore help to reduce module temperatures [53].
  • Building height: The reference area is structurally 90 cm higher, potentially influencing wind flow and thermal dynamics between the two areas.
  • Parapets: While both areas have parapets, the one surrounding the greened test area is considerably larger (0.85 m tall, 1.1 m wide) than the parapet at the reference area (0.35 m tall, 0.3 m wide). This variation in size could impact airflow around the structures, potentially altering cooling mechanisms and heat retention.
  • Fans: The reference area has a centrally located 2.3 m high fan, while the greened test area has smaller fans positioned at the western end. These objects might influence microclimate conditions, but due to a lack of operational data and no observed temperature influence, this factor was not considered in further analysis.

2.2. Vegetation Monitoring

Vegetation development was assessed over two growing seasons (2023–2024) using four plots within the PVGR system by DI Ilse Wrbka-Fuchsig. Two 1 m2 plots were in the open area without PV coverage and two were beneath the PV modules—one near the edge of the open roof and one at the opposite end of the installation to capture potential spatial variability. PV-covered plots were subdivided into three micro zones to reflect shading and precipitation differences: Zone A—directly beneath panels; Zone B—10 cm gaps between adjacent East–West-oriented modules; Zone C—30 cm spacing between PV rows. The positioning of the zones is also in Figure 3.
Vegetation in all plots was photographed and monitored using the Braun-Blanquet method [54] to estimate species abundance and coverage. Surveys were conducted three to four times per year.

2.3. Microclimate Monitoring Setup

From November 2022 to November 2024, microclimate measurements were carried out in both the reference and green roof. The setup included DataCollectorXP-R loggers (Driesen + Kern GmbH, Bad Bramstedt, Germany), enabling continuous data acquisition at 15 min intervals.
The monitoring focused on three parameters: air temperature, relative humidity beneath the PV modules, and surface temperature on the underside of selected east- and west-facing panels. The placement of these sensors, situated at the center of panel sets, is shown in Figure 4.
Surface temperature was measured using PT1000 sensors (Rotronic AG, Bassersdorf, Switzerland) affixed to the module backs with adhesive tape, which introduces an increased measurement uncertainty of ±1 °C.
HygroClip2 sensors (Rotronic AG, Bassersdorf, Switzerland) were used to record air temperature and relative humidity, offering measurement accuracies of ±0.1 °C and ±0.8% RH (within the 10–30 °C range), respectively. To ensure data reliability, these sensors were recalibrated each summer and installed within actively ventilated radiation shields to avoid effects of direct solar exposure.
In the reference area (Figure 5a) the surface temperature (ST) was measured in row 5 (R5) on two west-facing modules (W1, W2) and two east-facing modules (E1, E2). Temperature and relative humidity measurements were taken beneath the panels in row 5 at two positions (T1, H1 and T2, H2).
In the greened area (Figure 5b) the microclimate was assessed in two rows (G3 and G5). For each row, surface temperature (ST) was again measured on two west-facing panels (W1, W2) and two east-facing panels (E1, E2). Temperature and relative humidity beneath the panels were also recorded in both rows at two positions (T1, H1 and T2, H2).
To incorporate the influence of the local climate into the evaluations, a weather station (Davis Vantage Pro2 Active) was installed on the roof at the northern edge of the greened area to prevent shading of the modules. The station recorded key meteorological parameters, including
  • Solar radiation with a nominal accuracy of ±5% of full scale;
  • Air temperature with an accuracy of ±0.3 °C, plus an additional ±0.3 °C at solar noon due to radiation effects;
  • Relative humidity with an accuracy of ±2% RH;
  • Wind speed with an accuracy of ±3 km/h or ±5%;
  • Wind direction with an accuracy of ±3°;
  • Precipitation with an accuracy of the greater of ±3%.
During periods when the weather station was inoperative for more than an hour due to technical issues, data from the Bruckneudorf weather station of Geosphere Austria [18] was used as a substitute.

2.4. Computational Microclimate Simulations

To support the interpretation of the measured data, microclimate simulations were conducted by Rheologic GmbH (Vienna, Austria) using their uhiSolver [55] (version uhiSolver-v2212-0.21, a simulation tool based on the OpenFOAM library (OpenFOAM build: _66908158ae-221220). The tool models various environmental processes, including compressible air flow, buoyancy effects due to air density variations, heat conduction, solar radiation, and modifications of airflow influenced by vegetation zones and evapotranspiration. For further details on uhiSolver, see Teichmann et al. [56].
In this study, uhiSolver was used to simulate wind speed and air temperature distributions at various heights above the rooftop testbeds. The simulation scenario represented a typical summer condition—1 July at 15:00, under cloudless skies, with an ambient air temperature of 34 °C and westerly wind.
Additionally, three distinct vegetation scenarios were simulated to isolate the role of evapotranspiration and aerodynamic resistance:
  • Evap—with 15 cm vegetation and active evapotranspiration;
  • NoEvap—with vegetation but no evaporation (representing dead plants);
  • NoPlants—without vegetation.

3. Results

This chapter presents the key findings from the two-year monitoring campaign. It begins with an overview of vegetation development across different micro zones, followed by weather conditions during the study period. Subsequent sections detail the microclimatic measurements and conclude with simulation-based insights.

3.1. Vegetation Development

Vegetation patterns across the PV green roof system showed spatial and temporal variation over the two-year monitoring period.

3.1.1. Zone A—Directly Beneath Panels

As shown in Figure 6, plant growth directly beneath the PV modules was minimal. Growth was largely restricted to small edge areas where limited light and moisture penetration allowed some establishment of Sedum species and a few perennial herbs. By late 2024, sparse grass growth was also observed. In Figure 6b, vegetation appears to be present beneath the modules in the rear rows, but these plants were rooted beside the modules and merely extended underneath them.
From the start of 2023 to the end of 2024, mean vegetation cover increased from 1.1% to 3.72%. Species richness decreased slightly over time, with a maximum of six species recorded at the beginning of the study and four at the end.

3.1.2. Zones B and C—Between Modules

Zone B (10 cm inter-panel gaps) was dominated by Sedum species, which established quickly and maintained relatively high coverage. In 2023, cover ranged between 70 and 90%, with some decline observed in autumn, as seen in Table 1. These trends persisted into 2024, though B2 showed greater seasonal variability than B1. Species richness declined over time from a maximum of ten species to five.
Zone C (30 cm spacing between module rows) initially exhibited lower vegetation cover but higher species richness compared to other zones, with a maximum of 14 species recorded in 2023. However, a noticeable decline occurred in 2024, with the maximum number of species dropping to six.
Notably, higher and more consistent vegetation coverage was observed in monitored areas A1 and B1, which were adjacent to the open green roof section, compared to B2 and C2, located on the opposite side of the PV array.

3.1.3. Open Areas

In the unshaded sections of the green roof, vegetation developed strongly during spring, but signs of summer stress were evident—many species dried out under intense heat and drought mid-season. Nonetheless, these species successfully completed their reproductive cycles before senescence. By autumn, Sedum became the dominant cover, as most forbs and grasses declined. However, due to heavy rainfall in September 2024, a second growth phase was observed.
Over the full study period, species richness declined from a maximum of fifteen species to eleven, while mean cover increased from 39.7% to 63%, reaching a peak of 99% in some plots.

3.2. Weather Conditions

During the study period in Bruck an der Leitha, Austria, air temperatures ranged from –8 °C in January to 38 °C in July, with an average annual temperature of 13.1 °C. Wind speeds averaged 3.25 m/s, with observed maxima reaching 29 m/s. Peak solar irradiance approached 1000 W/m2 under clear-sky conditions and annual global irradiation was higher in 2024 (1243.1 kWh/m2) than in 2023 (1128.6 kWh/m2). In contrast, total precipitation was higher in 2023, totaling 971.6 mm, compared to 812.7 mm in 2024. The heaviest rainfall in 2023 were in April, May, August, and December, with each month bringing around 130–140 mm of rain. In contrast, 2024 experienced substantial rainfall in May (152 mm) and an exceptional peak in September, with 190.7 mm.
On an average summer day (June to August), the highest solar radiation typically occurred between 13:00 and 14:00, reaching around 650 W/m2 in 2023 and 700 W/m2 in 2024. This increase can partly be attributed to August, which was significantly warmer and sunnier in 2024. Midday ambient temperatures peaked at 29 °C in 2024 and 26 °C in 2023, with the lowest temperatures occurring in the early morning at around 16 °C at 06:00 in both years. Relative humidity followed a typical diurnal pattern, with afternoon minima of 46% and nighttime peaks of 81% in 2023 and 73% in 2024. Wind speeds were higher during the day, reaching average daily maxima at 15:00 of about 4 m/s in 2023 and 2 m/s in 2024.

3.3. Seasonal and Diurnal Microclimate Patterns

This section presents seasonal diurnal profiles of relative humidity, air temperature, and PV module underside surface temperature for both the green and reference (gravel) roofs during 2023 and 2024. Sensor data were averaged hourly, then aggregated by meteorological seasons—spring (21 March–20 June), summer (21 June–22 September), autumn (23 September–20 December), and winter (21 December–20 March). Variability was quantified using the standard error of the mean (SEM). For each season and year, the maximum absolute difference between roof types is highlighted.

3.3.1. Relative Humidity Beneath the PV Modules

Figure 7 shows the average relative humidity beneath PV panels, with SEM and daily maximum differences between green and reference roofs. Across all seasons and both years, average relative humidity was consistently higher during daytime on the green roof compared to the reference. The largest differences appeared between 12:00 and 15:00, while nighttime values for both roof types tended to converge.
Differences were generally larger in 2024, except for summer, which was drier than 2023. In 2023, maximum differences in relative humidity ranged from 4.2 percentage points (pp) in winter to 6.6 pp in summer, whereas in 2024 the pattern reversed: the largest increase occurred in winter (8.1 pp) and the smallest in summer (3.4 pp).

3.3.2. Air Temperature Beneath the PV Modules

Figure 8 presents seasonal diurnal air temperatures beneath PV modules, which followed typical daily cycles—lowest in early morning, peaking at midday, then declining. The green roof moderated daytime heating, with peak temperatures consistently lower than those over the reference roof. At night, especially during winter and autumn, temperatures under the green roof were slightly warmer.
In 2023, daytime temperatures at the green roof were lower by 2.1 °C in summer, 1.9 °C in spring, 0.5 °C in autumn, and 0.9 °C in winter. In 2024, differences were 1.7 °C in summer, 2.2 °C in spring, and 0.9 °C in both autumn and winter. On particularly hot days, the difference reached up to 8 °C.

3.3.3. Surface Temperature of PV Modules

Figure 9 shows the seasonal average surface temperatures of PV module undersides, averaged across east- and west-facing modules. The surface temperature pattern mirrored that of the air temperature but with a time lag and a smaller difference. Divergence between the two roofs began shortly before midday, with differences peaking around 14:00. Unlike air temperature, surface temperatures remained lower on the green roof well into the evening.
In 2023, surface temperature reductions under the green roof were most notable in spring (1.5 °C), followed by summer (1.2 °C), winter (1.0 °C), and were least so in autumn (0.4 °C). A similar cooling trend persisted in 2024, with differences of 1.2 °C in spring, 0.8 °C in both summer and winter, and 0.7 °C in autumn.
The magnitude of surface temperature differences varied with module orientation, with west-facing modules generally exhibiting less pronounced cooling effects compared to east-facing ones. This orientation-dependent variation is explored in more detail at the sensor level in Section 3.6.

3.4. Hourly Sub-Panel Temperature Differences

To complement the seasonal diurnal profiles, Figure 10 and Figure 11 display heatmaps of hourly air temperature differences beneath the PV modules (reference roof minus green roof) across the full annual cycles of 2023 and 2024. The x-axis represents calendar days, and the y-axis shows hours of the day (0–23). Color intensity indicates the magnitude and direction of temperature difference: green shades denote cooler conditions under the green roof, orange under the reference roof, and white indicates no difference or missing data (e.g., sensor calibration gaps in late May 2023 and late June–early July 2024). Meteorological context is provided by the daily maximum and average temperature, as well as precipitation, above each heatmap.
From March to September, especially between 09:00 and 17:00, the green roof consistently maintained lower temperatures beneath the PV modules. This effect peaked between June and August, with midday differences often reaching 2–7 °C and occasionally persisting into the evening. In the early morning hours, the temperature pattern is reversed, with the gravel roof often being cooler than the green roof. During the winter months, the period during which the green roof is cooler than the reference roof is clearly shorter.
Comparing the years, 2023 exhibited a stronger and more consistent cooling effect than 2024, as there was more frequent rainfall. This is especially evident in August, where the hotter and drier conditions of 2024 led to a less pronounced temperature difference compared to the cooler, wetter conditions in 2023.
The influence of precipitation events is clearly visible in both years. On rainy days, temperature differences between the roof types were minimal. However, post-rainfall periods often showed stronger cooling under the green roof. A notable example is seen in mid-September 2024, where sustained rainfall over several days was followed by an unusual peak in cooling intensity, a deviation from the typical seasonal trend for that time of year.

3.5. Microclimatic Dynamics During a Mid-Summer Rainfall Event

Figure 12 presents microclimatic data collected between 6 and 16 July 2024, encompassing a period of drought, high solar irradiance, and two rainfall events. The upper panel shows solar irradiance and ambient air temperature; the middle and lower panels display air temperature and surface temperature for each roof type, along with precipitation.
The period began under dry conditions, with no rainfall observed for several days beforehand, and then, two rainfall events occurred: a minor 2.75 mm rainfall during the night of 8–9 July, and a more substantial 14.47 mm event on 12 July. Notably in the days preceding these events (6–7 July), the green roof exhibited slightly lower air temperatures compared to the reference roof, even under the sustained drought conditions. However, surface temperature differences remained within the ±1 °C margin of measurement uncertainty, indicating no statistically significant differences during this period.
Temperature differences (reference-greened) during peak irradiance hours (13:00–15:00) ranged from −0.5 to 5 °C beneath the panels, and from −4.5 to 5.5 °C at the panel surfaces, indicating greater variability at the surface level.
Following the rainfall events, a brief convergence in air and surface temperatures between the two roofs was observed. However, this effect was short-lived and the cooling advantage of the green roof intensified on the days following precipitation. This was particularly evident on 15 July, when the highest temperature difference in both air and surface measurements was recorded during this period, despite similar weather conditions to those on 14 July. While temperatures on the green roof remained relatively stable across both days, the reference roof experienced a more significant increase, likely due to residual moisture having completely evaporated from its surface by 15 July.

3.6. Sensor-Level Surface Temperature Variability

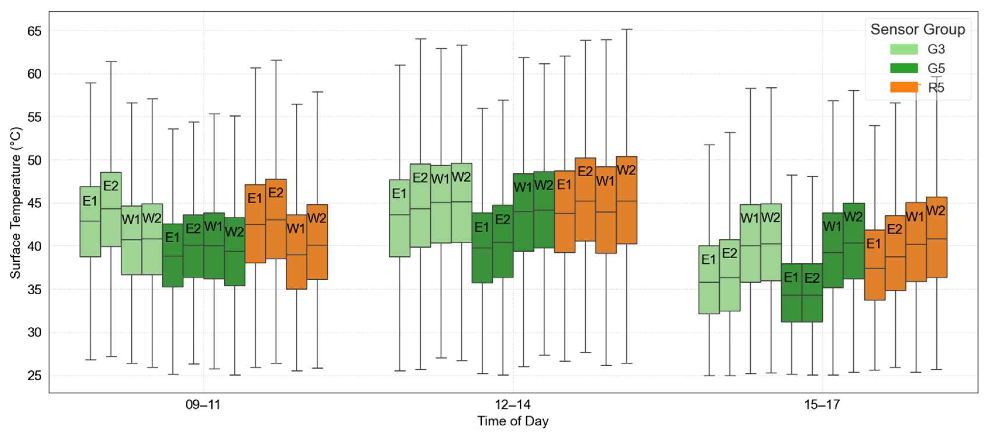
Figure 13 shows the distribution of PV module underside surface temperatures recorded at sensor locations G3 and G5 (green roof) and R5 (reference roof), grouped by time of day: morning (09:00–11:59), midday (12:00–14:59), and afternoon (15:00–17:59). Only times with ambient temperatures > 25 °C were included. Sensor labels E1/E2 and W1/W2 denote east- and west-facing modules. The positioning of these sensors is in Figure 5.
Across all time periods, R5 sensors on the gravel roof record notably higher temperatures than those on the green roof. Median temperatures at R5 often exceeded those at G3/G5 by 4–6 °C, particularly during midday and afternoon.
Panel orientation had a clear impact on temperature. In the morning, east-facing modules (E1, E2) exhibited higher median temperatures, while in the afternoon, west-facing panels recorded the highest temperatures due to prolonged solar exposure later in the day. This effect was more pronounced at G3 and R5 in the morning, and at G3 and G5 in the afternoon.
Interestingly, at both morning and midday, east-facing modules at G5 recorded unexpectedly lower surface temperatures than the corresponding east-facing sensors. This difference was not reflected in sub-panel air temperatures. A complementary analysis of wind direction, conducted under comparable thermal and wind conditions (ambient temperature > 25 °C; wind speed 3–6 m/s), also revealed that this difference remains consistent across all wind directions.

3.7. CFD Simulation

Microclimate simulations were performed using the uhiSolver software as detailed in Section 2.3, to analyze airflow and temperature patterns over the roof test areas.

3.7.1. Wind Speed Distribution

Figure 14 illustrates simulated wind speeds at 10 cm above the roof surface, which is close to the height at which air temperature and humidity were measured beneath the PV panels. The transparent rendering of PV modules allows insight into airflow beneath the arrays. Measurement points for air temperature and humidity on rows R5, G3, and G5 are marked in purple.
In the reference area (left side), the panels are mounted at 5 cm, so the 10 cm cross-section cuts through the module level, producing sharp edges in the figure. Panels on the green roof (right side) are mounted at 20 cm, allowing for increased airflow beneath them.
Despite this restricted airflow under the panels in the reference area, the green roof shows darker zones directly beneath the panels, indicating even less wind movement.
Nonetheless, it is apparent that the reference roof generally experiences higher wind speeds than the green roof, as the area surrounding the PV array is brighter. This is primarily because the parapet’s height is lower. Furthermore, the missing panels in the reference setup allow for greater wind flow. This effect is particularly noticeable near row R10, where a 2.3 m object is located within the PV area.

3.7.2. Effect of Evaporation and Vegetation-Induced Airflow Resistance

To isolate the cooling contribution of vegetation, simulated temperature differences between the Evap, NoEvap, and NoPlants scenarios are presented in Figure 15 at three heights above the green roof surface—10 cm, 20 cm, and 30 cm—under west wind conditions (from left to right). Blue areas indicate zones cooled by evapotranspiration, with temperature reductions of up to −1.6 °C, while red areas indicate no change.
The top row of Figure 15 shows the temperature difference between T Evap and T NoEvap , highlighting the cooling effect caused purely by evaporation, while keeping the same aerodynamic resistance from the vegetation. The bottom row compares T Evap with T NoPlants , showing how the presence of vegetation affects temperature compared to a scenario where air can flow freely beneath the panels.
The stripe-like pattern of alternating cool and neutral zones aligns with the layout of PV panel rows and gaps in between. This suggests that evaporative cooling is spatially limited to areas beneath the east–west-oriented panels and is being advected toward the east side due to the westerly wind.
The largest temperature differences appear at 10 cm, indicating that evapotranspiration mainly affects the near-surface microclimate. The cooling effect weakens with height and becomes minimal at 30 cm, especially in regions where the panel structure disrupts airflow. In the first PV row on the west side (which only consists of two panels), cooling is almost nonexistent.
In the bottom row, the pattern is more asymmetric and complex. Cooling is mostly concentrated along the eastern edges of the PV rows, while the western sides show little to no effect, especially in the upwind (first few) rows. Interestingly, the areas between the panel rows show virtually no temperature difference, whereas in the Evap–NoEvap case, there is at least some slight cooling. This suggests that evaporated moisture tends to accumulate and cool the space directly beneath the PV panels, but outside of these zones, wind-driven airflow is just as effective in distributing heat in the absence of vegetation. At 30 cm height, at module level, the cooling effect is even weaker than in the scenario with dead vegetation.

4. Discussion

While east–west orientation is often favored for maximizing energy yield per unit area [55], integrating an extensive green roof beneath such arrays introduces challenges for microclimate regulation, biodiversity, and maintenance. Nevertheless, even under these suboptimal conditions, the PVGR showed clear benefits, while also highlighting opportunities for design improvements to further enhance both thermal performance and ecological value.

4.1. Sub-Panel Air Temperature and Humidity

Throughout the study, the green roof consistently moderated sub-panel conditions. Daytime air temperatures beneath the PV modules were on average 1.7–2.2 °C lower than on the gravel roof, with peak differences reaching up to 8 °C on hot days. Relative humidity was elevated by 3.4–8.1 percentage points (see Figure 7 and Figure 8). These effects exceed those reported in previous studies [38,39,40,46,47,50]. A key factor contributing to the enhanced cooling observed in this study appears to be the east–west orientation and low elevation (20 cm) of the PV array. This configuration created a confined sub-panel microclimate where the cooling was trapped beneath the panels. This is confirmed by the evaporation simulations, which showed that the cooling effect was localized beneath the panels in a stripe-like pattern, while evaporative cooling was almost non-existent between rows (see Figure 15).
At night, this trend reversed, with the reference roof typically exhibiting lower temperatures than the green roof. CFD simulation showed that the lower parapet walls and sparser PV layout of the reference roof facilitated greater airflow, particularly around the outer edges and in areas with missing modules, such as near row R10 (see Figure 14). This likely enabled more convective cooling, allowing accumulated heat to dissipate more quickly. Additionally, the green roof’s substrate likely contributed to higher nighttime temperatures due to its thermal inertia-retaining daytime heat into the evening. This behavior is consistent with findings from prior research on extensive green roofs [57].
This buffering capacity also shaped the diurnal temperature curve, which was notably damped on the green roof. Morning warm-up and evening cool-down occurred more gradually, reducing midday peaks and slightly elevating nighttime temperatures.
Seasonally, daytime cooling was most pronounced during spring, when the combination of solar radiation and high moisture supported effective evaporative cooling. Summer cooling, while generally strong, diminished during drier periods, particularly in 2024, highlighting the importance of rainfall in sustaining performance. In winter and autumn, the cooling effect narrowed to midday hours. These diurnal and seasonal trends largely align with findings from other climate contexts, including studies in Sydney [38] and Kansas [40].

4.2. PV Module Surface Temperature and Environmental Influences

While air cooling beneath the modules was substantial, surface temperature reductions were more modest, averaging 0.4–1.5 °C in 2023 and 0.7–1.2 °C in 2024 (Figure 9). This is in contrast to several other studies, which reported greater temperature reductions at the module surface than in the surrounding air [38,40,46,47]. However, it aligns with our microclimate simulations, which showed that evapotranspiration effects were strongest near the substrate (~10 cm above surface) but became negligible at the panel height (~30 cm) (Figure 15). This vertical gradient in cooling efficacy has also been reported by Solcerova et al. [57]. As the module surface is exposed directly to solar radiation and the cooling capacity is limited at this height, this explains the less pronounced temperature reductions. It is plausible that the differing results in other studies were due to greater airflow beneath the panels, which would have more effectively delivered the cooled air from the substrate to the module surface.
The diurnal patterns of surface temperatures also differed from that of the air beneath the panels and were influenced by the specific mounting of the modules. As expected, temperatures were higher on the east-facing panels in the morning and on the west-facing panels in the afternoon due to direct solar exposure. However, when compared to the reference roof, the west-facing panels did not exhibit substantially lower temperatures. This suggests that the intense solar irradiation received in the afternoon may have largely offset any evaporative cooling effect at the module surface. Similarly, during the morning hours, when the west-facing panels were not directly exposed to sunlight, the cooling effect was not particularly pronounced. In contrast, the east-facing panels showed a more noticeable temperature reduction relative to the reference roof, likely because they were out of direct irradiance in the afternoon, which is when evaporative cooling under the panels was at its highest.
Additionally, sensor level analysis revealed a consistent and unexpected pattern at the east-facing panels, especially at midday: the panels in row G5 exhibited significantly lower surface temperatures than those in row G3. This difference was not reflected in the air temperatures beneath the panels and did not appear to be related to wind direction, as confirmed by additional analysis. Since both sensors recorded similar values, a systematic measurement error appears unlikely, though it cannot be entirely ruled out. Possibly, the fans which are on the east side of the plant (nearer to row G3), could have played a role, though further analysis did not validate it.
Overall, surface temperatures exhibited greater fluctuations throughout the day, showing sensitivity to a broader set of factors such as irradiance, wind exposure, and localized shading factors that influence surface conditions more strongly than the relatively stable microclimate below the modules.

4.3. Impact of Precipitation on Temperature Differences

Rain events significantly amplified the cooling effect of the green roof. This trend is clearly visible in the annual heatmap plots (see Figure 10 and Figure 11), where, for example, in September 2024, heavy rainfall led to unusually high cooling efficiency in the following days.
A more detailed view is provided by the July 2024 excerpt (see Figure 12). Prior to the rainfall, temperatures beneath the green roof were already slightly lower than those beneath the gravel roof, likely due to residual evapotranspiration or improved airflow resulting from the higher panel elevation. However, as previous research has shown, the cooling effect disappears under extremely dry conditions [57]. Following precipitation, temperatures briefly converged, as the wetted gravel temporarily reduced surface heating. However, within a few days, the gravel dried out and sub-panel temperatures on the reference roof rose sharply, while the green roof retained moisture and continued to provide evaporative cooling.
These observations confirm that substrate water retention is critical for prolonging both the duration and magnitude of the cooling effect after rainfall.

4.4. Plant Development and Maintainance

After sowing, species richness decreased slightly across all zones, while overall vegetation coverage increased—an expected outcome given the broad-spectrum seed mix tailored to site-specific conditions.
Growth patterns varied notably depending on the position relative to the PV panels. Beneath the panels, vegetation was sparse due to the persistent shading, with only a limited presence of Sedum and a few perennials at the edges. Similar effects have been reported in other studies [58,59,60,61]; however, the east–west orientation of the panels likely exacerbated this issue [62].
In contrast, zones between the PV panels, particularly the inter-row spaces, exhibited higher plant coverage and greater species diversity. This was probably due to higher levels of solar radiation compared to fully shaded areas [49], as well as extra moisture from runoff from the panels. Notably, although species richness was highest in the fully open, PV-free green roof areas, summer heat stress was significantly reduced near the panels. Interestingly, plant coverage increased with proximity to the PV-free zones, indicating a transitional gradient of vegetation development. This spatial pattern suggests that integrating PVGRs with traditional green roofs can be ecologically beneficial, promoting greater heterogeneity and potentially enhancing overall system resilience.
In the first year, tall species such as Anthemis tinctoria grew excessively and began to overshadow the PV modules, interfering with system performance. Although maintenance was conducted three times in 2023, this proved insufficient. Consequently, maintenance was intensified in 2024 and conducted monthly during the vegetation period. While these efforts successfully reduced shading-related performance issues, they also negatively impacted plant diversity. The frequent removal of tall species, such as Anthemis tinctoria, Silene vulgaris, Dianthus carthusianorum, and Achillea millefolium, favored the spread of low-growing, stress-tolerant plants, particularly Sedum, resulting in a more homogeneous and ecologically simplified vegetation structure over time.

4.5. Limitations of the Study

While this study provides valuable long-term empirical data, its findings must be interpreted within the context of several limitations inherent to field studies and the specific design of this research. These limitations may influence the generalizability and interpretation of the results and highlight areas for future investigation.
First, structural differences between the reference and green roof were present including differences in parapet wall heights (0.35 m vs. 0.85 m), a minor variation in building height (reference area 90 cm higher), and differing panel-to-surface clearances (5 cm vs. 20 cm). CFD simulations qualitatively addressed the potential impact of these variables and indicated higher wind speeds in the reference area, due to the lower parapet and more open PV layout. However, their individual contributions could not be quantitatively isolated. Future studies should aim to systematically control or isolate such structural factors to improve comparability and the precise attribution of observed microclimatic effects.
Second, the CFD simulations were based on simplifications necessary for computational feasibility. Vegetation was modeled at a uniform 15 cm height, which likely overestimated aerodynamic resistance, given the sparse and uneven plant coverage observed beneath the panels. Moreover, the simulations represented a static snapshot under idealized conditions and did not account for the dynamic influence of other rooftop features, especially the ventilation fans, limiting their direct comparability to the field data.
Third, the study did not differentiate the individual contributions of plant transpiration and substrate evaporation from the overall cooling effect. Given the low vegetation cover under the modules, it is plausible that substrate-driven evaporation played a dominant role. Future research could focus on the roles of substrate, plant type and coverage, and water retention capacity in driving evaporative cooling in PVGR systems.
A further limitation concerns the unexplained anomaly of lower surface temperatures observed on east-facing panels in row G5. This finding, together with CFD results showing strong edge effects and spatial variability in cooling and airflow, underscores the challenge of capturing rooftop microclimatic heterogeneity using a limited number of sensors.
Finally, while sub-panel cooling has well-known implications for PV performance, this study did not include a direct analysis of energy output. Theoretical gains are suggested by the average 1.7–2.2 °C temperature reductions and the PV modules’ temperature coefficient (−0.35%/°C), but the complexity of shading made yield comparisons difficult, and will therefore be discussed in a later paper.

4.6. Implications for System Design

The findings of this study offer several practical insights for optimizing future PVGR retrofits. While structural limitations are common in retrofit scenarios, small design adjustments can still enhance performance: for instance, if wind load allows, raising PV modules to a height above 20 cm [45] for increased ventilation, but not too much over 30 cm in order to still utilize the evaporative cooling effect, as our simulation but also other studies [47,63] showed.
Wider spacing between panel rows is also advisable and would facilitate access for maintenance and reduce shading risks from vegetation, an issue we encountered, which is common in PVGR systems. From a biodiversity perspective, having wider gaps between panels and incorporating PV-free areas can significantly enhance species richness and plant diversity. Our vegetation monitoring revealed that areas with more light and space supported greater ecological diversity. The use of mixed-height substrate layers could further contribute to habitat heterogeneity, creating microenvironments that support a broader range of species.
Lastly, it would be valuable to investigate the effects of plant growth beneath the panels, particularly taller vegetation, which may impede air circulation and reduce convective cooling efficiency. Our simulation showed that the difference in air cooling between the rows of the east–west panels was greater in scenarios with no plants compared to those with vegetation, indicating the drag effect exerted by the plants on airflow. This highlights the delicate balance between promoting evapotranspiration through vegetation and ensuring adequate airflow for cooling, particularly in low-clearance PVGR configurations. This aligns with findings by Osma-Pinto and Ordóñez-Plata, who emphasized that air velocity plays a more decisive role than roof type in cooling outcomes, especially in warm and tropical climates [44].

5. Conclusions

This study presents, to our knowledge, the first long-term empirical study of a low-clearance, east–west-oriented PV system integrated with an extensive green roof. Our two-year monitoring in Austria demonstrates that such PVGRs significantly improve rooftop microclimates. Compared to a conventional gravel roof, the green roof reduced daytime air temperatures beneath the PV panels by an average of 1.7–2.2 °C (up to 8 °C in summer) and raised relative humidity by 3.4–8.1 percentage points. While the green roof was notably cooler than the gravel roof during periods of high solar radiation, at night, and particularly in winter, sub-panel temperatures on the green roof were often slightly higher than those on the reference roof. Surface temperature reductions on the underside of the PV modules were more modest, averaging 0.4–1.5 °C during midday, but lasted longer into the evening.
The distinctive low-clearance, east–west configuration played a crucial role in these microclimatic effects. Simulations revealed that this configuration creates a confined space where evaporative cooling remained localized beneath the panels and diminished with height. This likely accounts for the more pronounced sub-panel air temperature reductions observed here compared to studies involving higher-clearance or differently oriented systems. Furthermore, the east–west panels demonstrated varying cooling efficiencies based on their orientation. Vegetation growth beneath the panels remained sparse compared to the inter-row and open roof areas, likely limiting evapotranspiration but potentially enhancing sub-panel airflow. Structural differences—such as parapet height, mounting elevation, and module spacing—likely also have influenced wind and thermal behavior, complicating direct comparisons with the reference area.
This research underscores the considerable potential of PVGR systems to enhance rooftop thermal conditions, leading to cooler panels and likely improved efficiency. However, optimizing their design necessitates a deeper understanding of the long-term interactions between structural parameters, vegetation characteristics, and climate. Future research should explore these interactions systematically across diverse climates and building types, ideally through larger-scale and longer-term studies. In parallel, policy frameworks must evolve to recognize the multifunctional benefits of PVGR systems. Incentives should explicitly include such configurations, and technical standards, especially regarding panel height and spacing, are needed to ensure ecological performance and energy efficiency.

Author Contributions

Conceptualization, E.S., A.K. and A.S.; methodology, L.M., E.S., A.K. and A.S.; software, A.S.; validation, L.M., E.S. and A.S.; formal analysis, L.M.; investigation, L.M., E.S. and A.S.; resources, A.K.; data curation, L.M. and A.S.; writing—original draft preparation, L.M.; writing—review and editing, L.M., E.S., A.K. and A.S.; visualization, L.M.; supervision, A.K.; project administration, E.S. and A.K.; funding acquisition, E.S. and A.K.; All authors have read and agreed to the published version of the manuscript.

Funding

This research was funded by ASFINAG GmbH, Austria.

Institutional Review Board Statement

Not applicable.

Informed Consent Statement

Not applicable.

Data Availability Statement

The data presented in this study are available on request from the corresponding authors.

Acknowledgments

The authors acknowledge TU Wien Bibliothek for financial support through its Open Access Funding Program. We also extend our sincere thanks to the team at Rheologic for conducting the simulations, and to our research partner, DI Ilse Wrbka-Fuchsig, for conducting the vegetation monitoring.

Conflicts of Interest

The authors declare no conflicts of interest. The funders had no role in the design of the study; in the collection, analyses, or interpretation of data; in the writing of the manuscript; or in the decision to publish the results.

Abbreviations

The following abbreviations are used in this manuscript:
PVPhotovoltaic
PVGRPhotovoltaic Green Roofs
UHIUrban Heat Island effect
CFDComputational Fluid Dynamics
ppPercentage points

References

  1. UN Environment Programme. Emissions Gap Report 2024|UNEP—UN Environment Programme. Available online: https://www.unep.org/resources/emissions-gap-report-2024 (accessed on 10 December 2024).
  2. United Nations Human Settlements Programme (UN-Habitat). Envisaging the Future of Cities: World Cities Report; UN-Habitat: Nairobi, Kenya, 2022; ISBN 978-92-1-132894-3. Available online: https://unhabitat.org/sites/default/files/2022/06/wcr_2022.pdf (accessed on 18 August 2025).
  3. Mohajerani, A.; Bakaric, J.; Jeffrey-Bailey, T. The Urban Heat Island Effect, Its Causes, and Mitigation, with Reference to the Thermal Properties of Asphalt Concrete. J. Environ. Manag. 2017, 197, 522–538. [Google Scholar] [CrossRef]
  4. Bindajam, A.A.; Hang, H.T.; Alshayeb, M.J.; Shohan, A.A.A.; Mallick, J. Evaluating the Impact of Urbanization on the Urban Heat Islands through Integrated Radius and Non-Linear Regression Approach. Environ. Sci. Pollut. Res. 2024, 31, 44120–44135. [Google Scholar] [CrossRef]
  5. Paravantis, J.; Santamouris, M.; Cartalis, C.; Efthymiou, C.; Kontoulis, N. Mortality Associated with High Ambient Temperatures, Heatwaves, and the Urban Heat Island in Athens, Greece. Sustainability 2017, 9, 606. [Google Scholar] [CrossRef]
  6. Skelhorn, C.P.; Levermore, G.; Lindley, S.J. Impacts on Cooling Energy Consumption Due to the UHI and Vegetation Changes in Manchester, UK. Energy Build. 2016, 122, 150–159. [Google Scholar] [CrossRef]
  7. Litardo, J.; Palme, M.; Borbor-Cordova, M.; Caiza, R.; Macias, J.; Hidalgo-Leon, R.; Soriano, G. Urban Heat Island Intensity and Buildings’ Energy Needs in Duran, Ecuador: Simulation Studies and Proposal of Mitigation Strategies. Sustain. Cities Soc. 2020, 62, 102387. [Google Scholar] [CrossRef]
  8. Detommaso, M.; Gagliano, A.; Marletta, L.; Nocera, F. Sustainable Urban Greening and Cooling Strategies for Thermal Comfort at Pedestrian Level. Sustainability 2021, 13, 3138. [Google Scholar] [CrossRef]
  9. Marando, F.; Heris, M.P.; Zulian, G.; Udías, A.; Mentaschi, L.; Chrysoulakis, N.; Parastatidis, D.; Maes, J. Urban Heat Island Mitigation by Green Infrastructure in European Functional Urban Areas. Sustain. Cities Soc. 2022, 77, 103564. [Google Scholar] [CrossRef]
  10. Soydan, O. Effects of Landscape Composition and Patterns on Land Surface Temperature: Urban Heat Island Case Study for Nigde, Turkey. Urban Clim. 2020, 34, 100688. [Google Scholar] [CrossRef]
  11. Farrag, B.; Azmy, N.; Mehanna, W. The Impact of Green Infrastructure on Urban Heat Island Phenomenon in Existing Cities. J. Eng. Res. 2024, 8, 35. [Google Scholar]
  12. Macháč, J.; Brabec, J.; Arnberger, A. Exploring Public Preferences and Preference Heterogeneity for Green and Blue Infrastructure in Urban Green Spaces. Urban For. Urban Green. 2022, 75, 127695. [Google Scholar] [CrossRef]
  13. Thapa, P.; Torralba, M.; Nölke, N.; Chowdhury, K.; Nagendra, H.; Plieninger, T. Disentangling Associations of Human Wellbeing with Green Infrastructure, Degree of Urbanity, and Social Factors around an Asian Megacity. Landsc. Ecol. 2024, 39, 152. [Google Scholar] [CrossRef]
  14. Pichlhöfer, A.; Korjenic, A.; Sulejmanovski, A.; Streit, E. Influence of Facade Greening with Ivy on Thermal Performance of Masonry Walls. Sustainability 2023, 15, 9546. [Google Scholar] [CrossRef]
  15. Tseliou, A.; Melas, E.; Mela, A.; Tsiros, I. Evaluating the Effects of Green Roofs and Green Façade as an Urban Heat Island Adaptation Strategy. E3S Web Conf. 2023, 436, 01018. [Google Scholar] [CrossRef]
  16. Sysoeva, E.; Bogachev, A. The Influence of Green Roofs on Reducing Storm Runoff. E3S Web Conf. 2023, 410, 04010. [Google Scholar] [CrossRef]
  17. Briga Sá, A.; Monteiro, C.; Santos, C.; Matos, C. The Impact of Green Roofs on Energy and Water Efficient Management at the Urban Scale. In Proceedings of the 2nd International Conference on Circular Economy in the Construction Sector—From Vision to Reality: Building Circular, Building Sustainable, São Miguel, Azores, Portugal, 7 June 2024. [Google Scholar]
  18. Mentens, J.; Raes, D.; Hermy, M. Green Roofs as a Tool for Solving the Rainwater Runoff Problem in the Urbanized 21st Century? Landsc. Urban Plan. 2006, 77, 217–226. [Google Scholar] [CrossRef]
  19. Pitha, U.; Zluwa, I.; Scharf, B.; Lapin, K.; Besener, I.; Virgolini, J.; Kapus, S.; Preiss, J.; Enzi, V.; Jesner, L.; et al. Leitfaden Dachbegrünung; Stadt Wien: Vienna, Austria, 2021. [Google Scholar]
  20. İokhim, P.; Ekşi, M. Thermal Regulation Capacity of a Green Roof in the Mediterranean Climate of Istanbul. Build. Serv. Eng. Res. Technol. 2024, 45, 185–201. [Google Scholar] [CrossRef]
  21. Kolokotsa, D.; Santamouris, M.; Zerefos, S.C. Green and Cool Roofs’ Urban Heat Island Mitigation Potential in European Climates for Office Buildings under Free Floating Conditions. Sol. Energy 2013, 95, 118–130. [Google Scholar] [CrossRef]
  22. Susca, T. Green Roofs to Reduce Building Energy Use? A Review on Key Structural Factors of Green Roofs and Their Effects on Urban Climate. Build. Environ. 2019, 162, 106273. [Google Scholar] [CrossRef]
  23. Köhler, M.; Schmidt, M.; Laar, M. Green Roofs as a Contribution to Reduce Urban Heat Islands. In Proceedings of the RIO 3—World Climate Energy Event, Rio de Janeiro, Brazil, 1–5 December 2003. [Google Scholar]
  24. Seo, Y.; Kwon, Y.; Hwang, J.S.; Woo, D.K. A Comparative Experimental Study of Green Roofs Based on Radiation Budget and Surface Energy Balance. KSCE J. Civ. Eng. 2023, 27, 1866–1880. [Google Scholar] [CrossRef]
  25. Jaffal, I.; Ouldboukhitine, S.-E.; Belarbi, R. A Comprehensive Study of the Impact of Green Roofs on Building Energy Performance. Renew. Energy 2012, 43, 157–164. [Google Scholar] [CrossRef]
  26. Berardi, U. The Outdoor Microclimate Benefits and Energy Saving Resulting from Green Roofs Retrofits. Energy Build. 2016, 121, 217–229. [Google Scholar] [CrossRef]
  27. Yang, J.; Yu, Q.; Gong, P. Quantifying Air Pollution Removal by Green Roofs in Chicago. Atmos. Environ. 2008, 42, 7266–7273. [Google Scholar] [CrossRef]
  28. Rowe, D.B. Green Roofs as a Means of Pollution Abatement. Environ. Pollut. 2011, 159, 2100–2110. [Google Scholar] [CrossRef]
  29. Brenneisen, S. The Benefits of Biodiversity from Green Roofs—Key Design Consequences. In Proceedings of the Conference Proceedings of Greening Rooftops for Sustainable Communities, Chicago, IL, USA, 29–30 May 2003. [Google Scholar]
  30. Wooster, E.I.F.; Fleck, R.; Torpy, F.; Ramp, D.; Irga, P.J. Urban Green Roofs Promote Metropolitan Biodiversity: A Comparative Case Study. Build. Environ. 2022, 207, 108458. [Google Scholar] [CrossRef]
  31. Mertens, K. Photovoltaik: Lehrbuch zu Grundlagen, Technologie und Praxis; Carl Hanser Verlag: Munich, Germany, 2022; ISBN 978-3-446-47194-8. [Google Scholar]
  32. Hickey, T.; Chavez, M.; Bousselot, J. A Rooftop Agrivoltaic System: Pollinator Plant Establishment. J. Living Archit. 2024, 11, 41–55. [Google Scholar] [CrossRef]
  33. Zluwa, I.; Pitha, U. The Combination of Building Greenery and Photovoltaic Energy Production—A Discussion of Challenges and Opportunities in Design. Sustainability 2021, 13, 1537. [Google Scholar] [CrossRef]
  34. Talwar, P.; Verma, N.; Khatri, H.; Ahire, P.D.; Chaudhary, G.; Lindenberger, C.; Vivekanand, V. A Systematic Review of Photovoltaic-Green Roof Systems in Different Climatic Conditions Focusing on Sustainable Cities and Societies. Sustain. Cities Soc. 2023, 98, 104813. [Google Scholar] [CrossRef]
  35. Lamnatou, C.; Chemisana, D. A Critical Analysis of Factors Affecting Photovoltaic-Green Roof Performance. Renew. Sustain. Energy Rev. 2015, 43, 264–280. [Google Scholar] [CrossRef]
  36. Dvorak, B.; Volder, A. Green Roof Vegetation for North American Ecoregions: A Literature Review. Landsc. Urban Plan. 2010, 96, 197–213. [Google Scholar] [CrossRef]
  37. Shafique, M.; Luo, X.; Zuo, J. Photovoltaic-Green Roofs: A Review of Benefits, Limitations, and Trends. Sol. Energy 2020, 202, 485–497. [Google Scholar] [CrossRef]
  38. Fleck, R.; Gill, R.; Pettit, T.J.; Torpy, F.R.; Irga, P.J. Bio-Solar Green Roofs Increase Solar Energy Output: The Sunny Side of Integrating Sustainable Technologies. Build. Environ. 2022, 226, 109703. [Google Scholar] [CrossRef]
  39. Baumann, T.; Schär, D.; Carigiet, F.; Baumgartner, F.P.; Dreisiebner, A.; Baumgartner, F.P. Performance Analysis of PV Green Roof Systems. In Proceedings of the 32nd European Photovoltaic Solar Energy Conference and Exhibition (EU PVSEC 2016), Munich, Germany, 21–24 June 2016. [Google Scholar] [CrossRef]
  40. Alshayeb, M.J.; Chang, J.D. Variations of PV Panel Performance Installed over a Vegetated Roof and a Conventional Black Roof. Energies 2018, 11, 1110. [Google Scholar] [CrossRef]
  41. Köhler, M.; Wiartalla, W.; Feige, R. Interaction between PV-Systems and Extensive Green Roofs. In Proceedings of the 5th Annual International Greening Rooftops for Sustainable Communities Conference, Awards and Trade Show, Minneapolis, MN, USA, 29 April–1 May 2007; p. 16. [Google Scholar]
  42. Köhler, M.; Schmidt, M.; Laar, M.; Wachsmann, U.; Krauter, S. Photovoltaic Panels on Greened Roofs: Positive Interaction between Two Architectures. In Proceedings of the RIO 02—World Climate & Energy Event, Rio de Janeiro, Brazil, 6–11 January 2002; p. 9. [Google Scholar]
  43. Chemisana, D.; Lamnatou, C. Photovoltaic-Green Roofs: An Experimental Evaluation of System Performance. Appl. Energy 2014, 119, 246–256. [Google Scholar] [CrossRef]
  44. Osma-Pinto, G.; Ordóñez-Plata, G. Measuring Factors Influencing Performance of Rooftop PV Panels in Warm Tropical Climates. Sol. Energy 2019, 185, 112–123. [Google Scholar] [CrossRef]
  45. Ogaili, H.; Sailor, D.J. Measuring the Effect of Vegetated Roofs on the Performance of Photovoltaic Panels in a Combined System. J. Sol. Energy Eng. 2016, 138, 061009. [Google Scholar] [CrossRef]
  46. Garcia-Gutierrez, L.; Aillerie, M.; Sawicki, J.P.; Zheng, Z.; Claverie, R. Evaluation of Solar Photovoltaic Efficiency on Green and Flat Roofs: Experimental and Comprehensive Numerical Analysis. Sol. Energy 2024, 278, 112750. [Google Scholar] [CrossRef]
  47. Arenandan, V.; Wong, J.K.; Ahmed, A.N.; Chow, M.F. Efficiency Enhancement in Energy Production of Photovoltaic Modules through Green Roof Installation under Tropical Climates. Ain Shams Eng. J. 2022, 13, 101741. [Google Scholar] [CrossRef]
  48. Khatib, T.; Deria, R. East-West Oriented Photovoltaic Power Systems: Model, Benefits and Technical Evaluation. Energy Convers. Manag. 2022, 266, 115810. [Google Scholar] [CrossRef]
  49. He, Y.; Tan, C.L.; Lu, Y.; Qu, Y.; Liu, J. Solar Radiation and Daily Light Integral Characteristics of Photovoltaic-Green Roof System in Tropical Area: A Case Study in Singapore. Sol. Energy 2024, 279, 112807. [Google Scholar] [CrossRef]
  50. El Helow, D. Performance of Green Roof Integrated Solar Photovoltaics in Toronto; University of Toronto: Toronto, ON, Canada, 2018. [Google Scholar]
  51. Peel, M.C.; Finlayson, B.L.; McMahon, T.A. Updated World Map of the Köppen-Geiger Climate Classification. Hydrol. Earth Syst. Sci. 2007, 11, 1633–1644. [Google Scholar] [CrossRef]
  52. LONGi Solar. Hi-MO 4m LR 4-72 HPH 445–465 M Datasheet; LONGi: Shanghai, China; Available online: https://natec.com/wp-content/uploads/2020/04/Datasheet-Longi-Solar-Mono-Silver-Frame-LR4-72HPH-425-455M-Hi-Mo4.pdf (accessed on 18 August 2025).
  53. Smith, S.E.; Viggiano, B.; Ali, N.; Silverman, T.J.; Obligado, M.; Calaf, M.; Cal, R.B. Increased Panel Height Enhances Cooling for Photovoltaic Solar Farms. Appl. Energy 2022, 325, 119819. [Google Scholar] [CrossRef]
  54. Braun-Blanquet, J. Pflanzensoziologie; Springer: Vienna, Austria, 1964; ISBN 978-3-7091-8111-9. [Google Scholar]
  55. Rheologic GmbH. Rheologic Home. Available online: https://rheologic.net/ (accessed on 1 April 2025).
  56. Teichmann, F.; Baumgartner, C.M.; Horvath, A.; Luisser, M.; Korjenic, A. Simulation of Urban Microclimate with uhiSolver: Software Validation Using Simplified Material Data. Ecol. Process. 2021, 10, 67. [Google Scholar] [CrossRef]
  57. Solcerova, A.; van de Ven, F.; Wang, M.; Rijsdijk, M.; van de Giesen, N. Do Green Roofs Cool the Air? Build. Environ. 2017, 111, 249–255. [Google Scholar] [CrossRef]
  58. Schindler, B.Y.; Blaustein, L.; Lotan, R.; Shalom, H.; Kadas, G.J.; Seifan, M. Green Roof and Photovoltaic Panel Integration: Effects on Plant and Arthropod Diversity and Electricity Production. J. Environ. Manag. 2018, 225, 288–299. [Google Scholar] [CrossRef] [PubMed]
  59. Bousselot, J.; Slabe, T.; Klett, J.; Koski, R. Photovoltaic Array Influences the Growth of Green Roof Plants. J. Living Archit. 2017, 4, 9–18. [Google Scholar] [CrossRef]
  60. Nash, C.; Clough, J.; Gedge, D.; Lindsay, R.; Newport, D.; Ciupala, M.; Connop, S. Initial Insights on the Biodiversity Potential of Biosolar Roofs: A London Olympic Park Green Roof Case Study. Isr. J. Ecol. Evol. 2016, 62, 74–87. [Google Scholar] [CrossRef]
  61. van der Roest, E.; Voeten, J.G.W.F.; Cirkel, D.G. Increasing Solar Panel Output with Blue-Green Roofs in Water-Circular and Nature Inclusive Urban Development. Build. Environ. 2023, 244, 110704. [Google Scholar] [CrossRef]
  62. Brenneisen, S. Strategien zur Klimaanpassung: Dachbegrünungen als ökologische Ausgleichsmaßnahme. Available online: https://neuelandschaft.de/artikel/dachbegruenungen-als-oekologische-ausgleichsmassnahme-11703 (accessed on 31 March 2025).
  63. Jahanfar, A.; Drake, J.; Sleep, B.; Margolis, L. Evaluating the Shading Effect of Photovoltaic Panels on Green Roof Discharge Reduction and Plant Growth. J. Hydrol. 2019, 568, 919–928. [Google Scholar] [CrossRef]
Figure 1. Aerial view of the experimental rooftop site in Bruck an der Leitha, Austria, showing the site of the reference area (orange) and test area (green) prior to the start of the project. Image © ASFINAG.
Figure 1. Aerial view of the experimental rooftop site in Bruck an der Leitha, Austria, showing the site of the reference area (orange) and test area (green) prior to the start of the project. Image © ASFINAG.
Sustainability 17 07495 g001
Figure 2. Photograph of the established PVGR taken in June 2024.
Figure 2. Photograph of the established PVGR taken in June 2024.
Sustainability 17 07495 g002
Figure 3. Schematic illustration of Zones A, B, and C within the two vegetation monitoring plots located beneath the PV panels.
Figure 3. Schematic illustration of Zones A, B, and C within the two vegetation monitoring plots located beneath the PV panels.
Sustainability 17 07495 g003
Figure 4. Schematic overview of microclimate sensor placement in the PV systems. Air temperature (T) and relative humidity (H) sensors beneath adjacent panels; surface temperature (ST) sensors on the underside of both east- and west-facing panels.
Figure 4. Schematic overview of microclimate sensor placement in the PV systems. Air temperature (T) and relative humidity (H) sensors beneath adjacent panels; surface temperature (ST) sensors on the underside of both east- and west-facing panels.
Sustainability 17 07495 g004
Figure 5. Layout of microclimate sensors in the (a) reference PV area (row R5) and (b) greened PV area (rows G3 and G5). Each row containing two positions of surface temperature (ST) sensors on east- and west-facing modules and air temperature (T) and relative humidity (H) sensors beneath panels, as detailed in Figure 4. Green rectangles indicate the positions of vegetation monitoring plots. Note: not drawn to scale.
Figure 5. Layout of microclimate sensors in the (a) reference PV area (row R5) and (b) greened PV area (rows G3 and G5). Each row containing two positions of surface temperature (ST) sensors on east- and west-facing modules and air temperature (T) and relative humidity (H) sensors beneath panels, as detailed in Figure 4. Green rectangles indicate the positions of vegetation monitoring plots. Note: not drawn to scale.
Sustainability 17 07495 g005
Figure 6. Vegetation development beneath the PV panels (Zone A) in: (a) September 2023; (b) July 2024.
Figure 6. Vegetation development beneath the PV panels (Zone A) in: (a) September 2023; (b) July 2024.
Sustainability 17 07495 g006
Figure 7. Seasonal diurnal profiles of relative humidity beneath PV modules on the green roof and reference roof in 2023 (left) and 2024 (right). Values represent hourly averages ± standard error of the mean (SEM).
Figure 7. Seasonal diurnal profiles of relative humidity beneath PV modules on the green roof and reference roof in 2023 (left) and 2024 (right). Values represent hourly averages ± standard error of the mean (SEM).
Sustainability 17 07495 g007
Figure 8. Seasonal diurnal profiles of air temperature beneath photovoltaic modules on the green roof and reference roof in 2023 (left) and 2024 (right). Values represent hourly averages ± standard error of the mean (SEM).
Figure 8. Seasonal diurnal profiles of air temperature beneath photovoltaic modules on the green roof and reference roof in 2023 (left) and 2024 (right). Values represent hourly averages ± standard error of the mean (SEM).
Sustainability 17 07495 g008
Figure 9. Seasonal diurnal profiles of underside surface temperature of PV modules on the green roof and reference roof in 2023 (left) and 2024 (right). Values represent hourly averages ± standard error of the mean (SEM).
Figure 9. Seasonal diurnal profiles of underside surface temperature of PV modules on the green roof and reference roof in 2023 (left) and 2024 (right). Values represent hourly averages ± standard error of the mean (SEM).
Sustainability 17 07495 g009
Figure 10. Weather conditions and sub-panel air temperature differences in 2023: Top: daily mean and maximum ambient temperature with precipitation total. Middle: hourly air temperature differences beneath PV modules for each day. Bottom: color scale for temperature differences (reference minus green roof).
Figure 10. Weather conditions and sub-panel air temperature differences in 2023: Top: daily mean and maximum ambient temperature with precipitation total. Middle: hourly air temperature differences beneath PV modules for each day. Bottom: color scale for temperature differences (reference minus green roof).
Sustainability 17 07495 g010
Figure 11. Weather conditions and sub-panel air temperature differences in 2024: Top: daily mean and maximum ambient temperature with precipitation total. Middle: hourly air temperature differences beneath PV modules for each day. Bottom: color scale for temperature differences (reference minus green roof).
Figure 11. Weather conditions and sub-panel air temperature differences in 2024: Top: daily mean and maximum ambient temperature with precipitation total. Middle: hourly air temperature differences beneath PV modules for each day. Bottom: color scale for temperature differences (reference minus green roof).
Sustainability 17 07495 g011
Figure 12. Microclimatic and weather conditions from 6 to 16 July 2024 (15 min intervals): Top: solar irradiance (yellow) and ambient air temperature (red). Middle: mean air temperature beneath the PV modules on both roofs with precipitation. Bottom: mean underside surface temperature of the PV modules on both roofs with precipitation.
Figure 12. Microclimatic and weather conditions from 6 to 16 July 2024 (15 min intervals): Top: solar irradiance (yellow) and ambient air temperature (red). Middle: mean air temperature beneath the PV modules on both roofs with precipitation. Bottom: mean underside surface temperature of the PV modules on both roofs with precipitation.
Sustainability 17 07495 g012
Figure 13. Distribution of surface temperatures on the underside of PV modules on green (G3, G5) and reference (R5) roof over the full study period, grouped by time of day. Data shown for east-facing (E1, E2) and west-facing (W1, W2) modules under ambient temperatures > 25 °C.
Figure 13. Distribution of surface temperatures on the underside of PV modules on green (G3, G5) and reference (R5) roof over the full study period, grouped by time of day. Data shown for east-facing (E1, E2) and west-facing (W1, W2) modules under ambient temperatures > 25 °C.
Sustainability 17 07495 g013
Figure 14. Simulated wind speed distribution at 10 cm above the roof surface for the reference area (left) and the greened test area (right). Wind speeds range from 0 m/s (blue) to 1.6 m/s (red), represented by a continuous color gradient. Purple markers indicate the locations of air temperature and humidity measurements on rows R5, G3, and G5.
Figure 14. Simulated wind speed distribution at 10 cm above the roof surface for the reference area (left) and the greened test area (right). Wind speeds range from 0 m/s (blue) to 1.6 m/s (red), represented by a continuous color gradient. Purple markers indicate the locations of air temperature and humidity measurements on rows R5, G3, and G5.
Sustainability 17 07495 g014
Figure 15. Simulated temperature differences between the scenario with live plants ( T Evap ) and two reference cases: non-evaporating vegetation ( T NoEvap , top row) or no plants at all ( T NoPlants , bottom row). Results are shown at 10 cm, 20 cm, and 30 cm above the surface (left to right). Color scale ranges from 0.0 °C (red) to −1.6 °C (blue). Purple markers indicate the locations of air temperature and humidity measurements on rows R5, G3, and G5.
Figure 15. Simulated temperature differences between the scenario with live plants ( T Evap ) and two reference cases: non-evaporating vegetation ( T NoEvap , top row) or no plants at all ( T NoPlants , bottom row). Results are shown at 10 cm, 20 cm, and 30 cm above the surface (left to right). Color scale ranges from 0.0 °C (red) to −1.6 °C (blue). Purple markers indicate the locations of air temperature and humidity measurements on rows R5, G3, and G5.
Sustainability 17 07495 g015
Table 1. Seasonal vegetation cover (%) in monitored plots B1, B2 (10 cm inter-panel gaps) and C1, C2 (30 cm row spacing).
Table 1. Seasonal vegetation cover (%) in monitored plots B1, B2 (10 cm inter-panel gaps) and C1, C2 (30 cm row spacing).
YearSeasonB1B2C1C2
2023Spring75804050
Summer90854560
Autumn80705570
2024Spring95809050
Summer80609525
Autumn95609075
Disclaimer/Publisher’s Note: The statements, opinions and data contained in all publications are solely those of the individual author(s) and contributor(s) and not of MDPI and/or the editor(s). MDPI and/or the editor(s) disclaim responsibility for any injury to people or property resulting from any ideas, methods, instructions or products referred to in the content.

Share and Cite

MDPI and ACS Style

Möslinger, L.; Streit, E.; Korjenic, A.; Sulejmanoski, A. Microclimatic Effects of Retrofitting a Green Roof Beneath an East–West PV Array: A Two-Year Field Study in Austria. Sustainability 2025, 17, 7495. https://doi.org/10.3390/su17167495

AMA Style

Möslinger L, Streit E, Korjenic A, Sulejmanoski A. Microclimatic Effects of Retrofitting a Green Roof Beneath an East–West PV Array: A Two-Year Field Study in Austria. Sustainability. 2025; 17(16):7495. https://doi.org/10.3390/su17167495

Chicago/Turabian Style

Möslinger, Leonie, Erich Streit, Azra Korjenic, and Abdulah Sulejmanoski. 2025. "Microclimatic Effects of Retrofitting a Green Roof Beneath an East–West PV Array: A Two-Year Field Study in Austria" Sustainability 17, no. 16: 7495. https://doi.org/10.3390/su17167495

APA Style

Möslinger, L., Streit, E., Korjenic, A., & Sulejmanoski, A. (2025). Microclimatic Effects of Retrofitting a Green Roof Beneath an East–West PV Array: A Two-Year Field Study in Austria. Sustainability, 17(16), 7495. https://doi.org/10.3390/su17167495

Note that from the first issue of 2016, this journal uses article numbers instead of page numbers. See further details here.

Article Metrics

Back to TopTop