Next Article in Journal
Analysis of Risk Factors in the Renovation of Old Underground Commercial Spaces in Resource-Exhausted Cities: A Case Study of Fushun City
Previous Article in Journal
Exploring the Triple Dividend Effect and Threshold Effect of Environmental Protection Tax: Evidence from Chinese Listed Companies
 
 
Font Type:
Arial Georgia Verdana
Font Size:
Aa Aa Aa
Line Spacing:
Column Width:
Background:
Article

ESG Reporting in the Digital Era: Unveiling Public Sentiment and Engagement on YouTube

International Institute for Applied Systems Analysis, 2361 Laxenburg, Austria
Sustainability 2025, 17(15), 7039; https://doi.org/10.3390/su17157039
Submission received: 28 June 2025 / Revised: 1 August 2025 / Accepted: 1 August 2025 / Published: 3 August 2025

Abstract

This study examines how Environmental, Social, and Governance (ESG) reporting is communicated and perceived on YouTube. A dataset of 553 relevant videos and 5060 user comments was extracted on 2 April 2025 ranging between 2014 and 2025, and sentiment, topic, and stance analyses were applied to both transcripts and comments. The majority of video content strongly endorsed ESG reporting, emphasizing themes such as transparency, regulatory compliance, and financial performance. In contrast, viewer comments revealed diverse stances, including skepticism about methodological inconsistencies, accusations of greenwashing, and concerns over politicization. Notably, statistical analysis showed minimal correlation between video sentiment and audience sentiment, suggesting that user perceptions are shaped by factors beyond the tone of the videos themselves. These findings underscore the need for more rigorous ESG frameworks, enhanced standardization, and proactive stakeholder engagement strategies. The study highlights the value of online platforms for capturing stakeholder feedback in real time, offering practical insights for organizations and policymakers seeking to strengthen ESG disclosure and communication.

1. Introduction

The global landscape of accounting and finance has experienced profound changes driven by technological advancements and an increased focus on sustainability, with Environmental, Social, and Governance (ESG) factors gaining unprecedented attention [1,2]. ESG reporting has emerged as a crucial tool for transparency, accountability, and informed decision-making, spurred by stakeholder demands and regulatory imperatives [2,3]. Companies increasingly adopt ESG disclosures to highlight their commitment to environmental protection, social responsibility, and governance transparency, meeting the growing appetite for non-financial information [4]. Simultaneously, investors are integrating ESG metrics into investment decisions to mitigate risks and enhance long-term returns, reflecting broader societal shifts toward sustainable development [5,6].
Despite its growing prominence, ESG reporting faces challenges such as a lack of interdisciplinary expertise, inconsistent regulatory frameworks, and varying rating methodologies that can be exploited or misunderstood [7,8,9]. Greenwashing remains a key concern, often manifested through selective disclosures, vague claims, or irrelevant assertions, which erode the credibility of ESG efforts [8]. While some large companies have been voluntarily reporting on ESG performance for years, many more have begun to do so recently, particularly in response to mandatory governance-related requirements [2]. Researchers advocate for more robust frameworks, mandatory third-party verification, and the integration of emerging technologies like blockchain to enhance integrity, consistency, and trust in ESG disclosures [8,9].
The digital era has likewise transformed how information on ESG topics is disseminated and perceived. Social media platforms, in particular, have democratized access to information, enabling users to actively engage with content through comments and discussions [10,11]. Positive media narratives about Corporate Social Responsibility (CSR) improve a company’s reputation, while negative exposure can trigger unfavorable reactions [12]. Sentiment analysis often reveals neutral or positive attitudes toward ESG, yet negative sentiments persist due to perceived greenwashing, insufficient ESG knowledge, or opacity in rating methods [13,14]. Furthermore, social media discourse can be influenced by self-appointed elites, power imbalances, and the potential spread of disinformation [11,15].
In accounting and finance research, the use of digital media data and big data analytics has provided novel pathways for understanding public sentiment, identifying misinformation patterns, and complementing traditional quantitative metrics [16,17]. Social media platforms, predominantly Twitter and Facebook, have been employed to share both financial and non-financial information, primarily in North America and Europe [18]. Although some studies use social media merely as a data collection platform, there is growing acknowledgment that theories drawn from system-oriented perspectives (institutional, legitimacy, and stakeholder theories) and economic perspectives (economic theories) can help clarify how online interactions influence transparency, stakeholder engagement, and corporate disclosure practices [18].
Despite this growing body of work, a central question remains: How is ESG reporting communicated and received on video platforms like YouTube, and what does this reveal about public sentiment and engagement?
To address this research question, the study systematically investigates the dynamics of ESG reporting as discussed and perceived on YouTube and makes several important contributions to the literature. First, it provides one of the first empirical analyses of ESG communication and audience response on YouTube, applying advanced sentiment, stance, and topic modeling to both video content and user-generated comments. Second, the study extends the literature by systematically examining issues such as public skepticism, greenwashing, and the role of misinformation—areas rarely covered in prior ESG disclosure research. Third, by connecting empirical findings to underexplored theoretical debates, the paper helps to bridge the disconnect between digital public discourse and established frameworks in accounting and finance.
This study is informed by legitimacy theory, which holds that organizations continually seek to justify their actions and disclosures to gain societal approval and maintain access to critical resources [19,20]. Within the ESG reporting context, legitimacy theory helps explain why companies are motivated to craft positive narratives and why public scrutiny, particularly on social media, can significantly influence perceptions of organizational credibility and accountability.
The structure of the paper is organized as follows. The Literature Review critically synthesizes recent research on ESG communication through social and digital media, situating this study within the broader academic landscape. Section 3 details the advanced digital analytics and data extraction procedures used to capture both video content and user-generated comments, providing a robust foundation for sentiment and stance analysis. Section 4 presents key findings on the nature of ESG communication on YouTube, highlighting major themes, arguments, and patterns of engagement in both videos and audience comments. Section 5 interprets these findings in the context of broader academic debates around ESG credibility, greenwashing, and stakeholder trust, drawing out theoretical and practical implications. Finally, Section 6 summarizes the contributions and suggests future avenues for enhancing ESG disclosure and communication strategies in the digital era.

2. Literature Review

Recent studies confirm that corporate sustainability reporting has expanded onto social media platforms, enabling new forms of stakeholder dialogue around non-financial disclosures [19,21]. In accounting and CSR research, social networks are viewed as vital channels for ESG disclosure and legitimacy-building. For example, Ref. [19] found that while top companies’ use of Facebook, Twitter, and LinkedIn for sustainability reporting was limited, those firms actively engaging on social media achieved legitimacy through information-sharing and dialogue with stakeholders. Their social media posts emphasized social topics with an overwhelmingly positive tone, allowing companies to frame the conversation and closely control their public image. This led [19] to conclude that firms employ social media in symbolic legitimacy strategies, managing stakeholder impressions and reinforcing corporate CSR narratives. Similarly, Ref. [21] analyzed EU companies’ Twitter activity and performance and reported that firms with strong ESG orientations use Twitter primarily to bolster legitimacy and corporate CSR identity, rather than to manage substantive sustainability performance. In other words, social media engagement was positively associated with ESG performance but served more to construct a favorable image (a “CSR identity”) than to improve actual ESG outcomes. These findings underscore that online ESG communication is already an important research focus, highlighting how companies leverage social media to meet stakeholder expectations and enhance credibility [19,21].
Beyond corporate communication, researchers have explored how the public perceives and reacts to ESG messages on social platforms, with particular attention to trust, engagement, and skepticism. In corporate communication studies, interactive strategies are often emphasized as critical for effective messaging. In Ref. [22], for instance, the authors conducted a content analysis of Fortune 500 firms’ CSR videos on YouTube, along with their user comments, and found that two-way, dialogic communication strategies actively involving the audience were the most effective for CSR messaging on social media. One-way informational broadcasts were less engaging, and companies were advised to adopt more conversational, personalized messaging to satisfy users’ expectations of interaction. This underscores that public trust and engagement increase when firms facilitate dialogue. Likewise, [23] demonstrated the importance of platform features in shaping credibility on video platforms. Their experiment on YouTube CSR videos showed that enabling the user comment section (versus disabling it) significantly boosted viewers’ perceived trustworthiness of the organization. In other words, the presence of open commentary serves as an interactive cue that enhances audience trust in ESG content. These findings align with public relations research showing that transparency and openness to feedback can mitigate skepticism [22,23].
A further key theme in the literature is the risk of greenwashing and its impact on public perception. In Ref. [24], the authors address this directly, emphasizing that over-communication on social media can trigger accusations of greenwashing, whereas too little communication may be seen as negligence. Firms that flood social media with self-congratulatory ESG posts risk eroding stakeholder trust, so successful strategies involve consistent yet credible messaging that avoids bombast while still engaging stakeholders. In addition, empirical evidence shows how greenwashing perceptions manifest in social media commentary. Ref. [13], in a study of millions of posts and comments on China’s Sina Weibo platform, found that while most ESG discourse is neutral-to-positive, negative sentiment almost always arises from suspicions of greenwashing, insufficient ESG transparency, or low public understanding of ESG issues. In other words, when people react adversely to ESG communications online, it is often because they doubt the company’s sincerity or clarity. Such results confirm that stakeholders are actively scrutinizing ESG claims on social media and will voice skepticism if messaging lacks credibility [24].
While much of the existing research centers on text-based platforms such as Twitter and Facebook, scholars have begun turning attention to video-sharing media and their unique dynamics. YouTube, in particular, has been studied as a venue for corporate social responsibility communication. Apart from the [22] study noted earlier, Ref. [15] examined climate change discussions on YouTube and highlighted the platform’s potential for public deliberation. In Ref. [23], the authors further demonstrate scholarly efforts to understand how YouTube’s interactive features affect stakeholder perceptions of CSR information. Collectively, these works suggest that video platforms introduce new opportunities and challenges from the rich storytelling formats they offer (ads, documentaries, interviews) to the greater reach and visual impact of messages, and the volatility of open comment forums [15,23]. Nevertheless, the role of YouTube in ESG communication remains comparatively underexplored.
Building on this body of work on ESG messaging in video platforms, the present study systematically analyzes YouTube content and audience sentiment around ESG reporting. By leveraging advanced sentiment, stance, and topic modeling, it makes several important contributions to the literature on ESG communication and online stakeholder engagement:
  • It introduces a systematic computational approach for comparing the emotional tone, argumentative stance, and thematic focus of both institutional ESG communications (as expressed in video transcripts) and public responses (as seen in user comments) on YouTube.
  • The study utilizes a robust pipeline that combines engagement metrics (such as views, likes, and comments) with AI-powered content analysis, enabling nuanced quantitative and qualitative insight into the structure of ESG discourse within a highly interactive, video-centric social media environment.
  • It applies clustering methods to both video- and comment-level data to identify major discourse patterns and outlier groups, thereby providing a scalable template for analyzing online debates around corporate transparency and sustainability.
  • The research critically assesses methodological limitations such as keyword selection, representativeness, platform-specific engagement patterns, and the constraints of automated language models in order to inform best practices for future digital research on ESG or similar topics.
  • By focusing on YouTube, this study expands the scope of ESG communication research beyond traditional text-based platforms, highlighting the opportunities and challenges inherent to video-based public engagement and AI-driven discourse analysis.
In doing so, this paper responds to recent scholarly calls to examine understudied platforms like YouTube and contributes to broader debates on the co-production of legitimacy, stakeholder engagement, and authenticity in the digital era.

3. Methods

The study employed advanced digital analytics to examine online discourse on ESG reporting with a focus on YouTube as the platform for public engagement. YouTube is the world’s largest video-sharing platform with extensive user participation, where viewers not only watch content but also express opinions and emotions through comments [25]. This makes YouTube a rich source of user-generated data for sentiment and discourse analysis. To capture relevant content, data was extracted on 2 April 2025 using the YouTube Data API v3. “ESG reporting” was used as the sole search keyword, aiming to directly retrieve videos and discussions centered on the topic. The API’s built-in relevance-ranking algorithm was relied upon to identify pertinent content, yielding an initial dataset of 553 videos presumed to be most visible for the query. It should be noted, however, that YouTube’s search algorithms tend to favor popular and highly engaged content [26]. Prior research has shown that the YouTube Search API may randomize or bias results towards shorter and more popular videos [26], which means the dataset could inherently emphasize mainstream viewpoints while potentially overlooking less-viewed videos offering alternative perspectives.
For each video returned, the associated textual data was collected. Video transcripts were retrieved when available, resulting in transcripts for 398 out of the 553 videos. These transcripts (either creator-provided or auto-generated) provide a direct textual representation of the spoken content in videos and thus form a critical basis for understanding what information viewers are exposed to. The importance of capturing this textual modality is underscored by multimedia research—the spoken words in a video often convey key context and emotional cues, and the transcript (textual modality) has been found to have the greatest impact in understanding a video’s topical content [27]. In parallel, user comments were comprehensively collected from videos where they were available.
Out of the 553 videos, 185 had comments enabled, yielding a total of 5060 individual comments in the dataset. The disparity in numbers (only 185 videos with comments) indicates that a large portion of videos either had no user comments or had commenting disabled by the uploader. (Indeed, some content creators choose to turn off comments, especially if they anticipate controversy or negative feedback [28,29]). The collected comments provide a valuable qualitative dimension to the analysis. Whereas transcripts show the information presented to the public, the comments reflect the public’s immediate reactions and opinions about that content. User comments are often an intuitive reflection of viewer needs, sentiments, and concerns regarding the video’s subject. In other words, comments offer direct insight into how audiences respond to and interpret ESG reporting discussions, complementing the thematic content from transcripts.
In addition to raw text, engagement metrics for both videos and comments were systematically collected and analyzed. For each video, these included view count, like count, and comment count. For each comment, the number of likes and replies was recorded. These metrics serve as proxies for engagement and agreement. For example, a high like count on a comment suggests that many viewers appreciated or agreed with that remark, while a high reply count indicates the comment sparked further discussion.
To analyze the interrelationships between engagement metrics (such as views, likes, and comments) and sentiment, Pearson correlation coefficients were calculated at both the video and comment levels. This statistical analysis allowed for the quantification of the association between different forms of engagement and sentiment, providing a clearer picture of how sentiment relates to audience interaction.
Furthermore, clustering algorithms were applied to both videos and comments. For videos, clustering was conducted using engagement metrics (view count, like count, and comment count) together with sentiment scores to group videos with similar patterns of interaction and tone. For comments, clustering was performed using like count, response count, and sentiment. The optimal number of clusters was determined using silhouette scores. This approach allowed the identification of dominant patterns and outlier groups within the data, such as highly engaging or highly polarized content.
Both the video transcripts and the user comments underwent in-depth textual analysis to extract structured insights about sentiment, stance, and key discussion points. OpenAI’s GPT-4o-mini model was utilized as the primary natural language processing tool for this task. This model was chosen for its state-of-the-art capability to interpret and analyze complex text with high accuracy. Notably, recent evaluations have shown that GPT-4o-mini can perform on par with human annotators in certain sentiment analysis tasks [30]. For example, one benchmarking study reported GPT-4o-mini’s average sentiment ratings to be almost identical to human averages on test data [30], highlighting the model’s effectiveness in capturing nuanced sentiment. This advanced model was leveraged in a zero-shot manner—without any fine-tuning or additional training on the specific dataset—to ensure an objective analysis based on its generalized language understanding.
Each textual element (whether a video transcript or an individual comment) was processed through the model to assess several attributes:
  • Sentiment analysis: The sentiment polarity of each text was determined, quantified on a continuous scale from −1 to +1. Here, −1 represents a strongly negative sentiment, +1 represents a strongly positive sentiment, and values around 0 indicate neutral or mixed sentiment. This sentiment score reflects the overall emotional valence of the text, for instance, whether a comment conveys criticism/anger (negative), praise/enthusiasm (positive), or a neutral informational tone. Using a numeric continuum allows fine-grained comparison of sentiment intensity across the dataset. It is important to note that sentiment in this context measures emotional tone and affect [31]. It is distinguished from stance, which is described next.
  • Stance detection: In addition to sentiment, each text was evaluated for its stance regarding ESG reporting. Stance analysis identifies the author’s position or attitude toward the topic (in this case, ESG reporting practices). Stance was categorized into four classes: supportive (expressing approval of or agreement with ESG reporting), oppositional (expressing disapproval or arguments against ESG reporting), neutral (neither clearly for nor against, possibly just descriptive or ambivalent), or irrelevant (the text does not actually address ESG reporting in a meaningful way). This follows the common approach in stance detection research, which aims to determine if a piece of text is in favor of, against, or neutral toward a given proposition [31]. Stance and sentiment are related but distinct dimensions. A comment might carry negative sentiment (e.g., frustration) but still be supportive of ESG reporting (for instance, “I’m frustrated that more companies aren’t doing ESG reporting”—negative affect, but pro-ESG stance). Conversely, a positive-sounding comment could be sarcastically opposing the topic. By analyzing stance, the alignment or contention in the discourse is captured that pure sentiment analysis might miss. The GPT-4o-mini model was tasked with inferring these stances based on context, phrasing, and keywords in the transcripts and comments.
  • Argument and topic extraction: GPT-4o-mini was also used to extract prominent arguments and themes present in the content. This involved identifying recurrent claims or reasoning in the discourse, for example, common arguments in favor of ESG reporting (such as “improves transparency for investors”) or arguments against it (such as “imposes undue burden on companies”). The model’s advanced comprehension ability makes it well-suited for summarizing and identifying key points from unstructured text. Recent work in computational argumentation has demonstrated that large language models like GPT-4 can feasibly extract argumentative structures from conversational or narrative text [32]. Following this approach, the model was prompted to highlight the main points of contention or agreement in each transcript and comment section. These extracted arguments were then collated to understand which points are most frequently raised or debated across the YouTube discourse on ESG reporting.
Throughout the analysis, no manual labeling was performed. All sentiment scores, stance labels, and extracted arguments were generated by the AI model. An independent human validation or inter-rater reliability check for these automated annotations was not conducted. Instead, the study relied on the robustness of the GPT-4o-mini model as reported by OpenAI and corroborated by external studies. OpenAI’s own performance metrics (as well as external benchmarks) suggest that GPT-4 class models achieve high accuracy on sentiment and language understanding tasks, though they are not infallible. By using a single consistent model for all analyses, the study ensured that the sentiment and stance evaluation criteria were applied uniformly across the entire dataset.
While this methodological approach is comprehensive and powerful, there are several important limitations and potential biases to acknowledge:
  • Sampling bias from YouTube’s API: Relying on the YouTube Data API’s search results may introduce algorithmic bias into our sample. The API’s relevance ranking (which factors in metadata, views, engagement, etc.) tends to prioritize content that is already popular or engaging [26]. Consequently, the 553-video dataset likely over-represents highly viewed videos and under-represents niche or dissenting content that did not surface in the top results. Recent research has shown that the YouTube search endpoint can behave inconsistently and may favor shorter, popular videos [26], meaning relevant videos that use different keywords or had lower initial visibility might be missing. Therefore, the generalizability of the findings is limited by the “filter bubble” imposed by YouTube’s search algorithm.
  • Keyword and query limitations: The exclusive use of the single keyword “ESG reporting” for data collection means that discussions phrased differently could have been omitted. Videos or comments that address ESG reporting using alternate terminology (e.g., “sustainability disclosure” or “corporate social responsibility reporting”) would not be captured by the search if they did not also tag or mention “ESG reporting”. This narrow query focus helped maintain relevance, but at the risk of missing content that is topically similar but not explicitly labeled with the chosen keywords.
  • Incomplete data: Not all videos yielded transcripts or had comment sections, which could skew the analysis. Out of 553 videos, transcripts were missing for 155 videos—likely those where transcripts were not available. Similarly, only 185 videos had user comments to analyze. The rest had either zero comments or disabled comment sections. This indicates a subset of ESG reporting content (potentially those from certain channels or with certain audience settings) is absent from the text analysis. Those missing pieces might represent different viewpoints or styles (for example, perhaps some highly critical videos had comments turned off by cautious creators, or very niche videos simply did not attract engagement).
  • Automated analysis accuracy: The use of an AI model (GPT-4o-mini) for sentiment, stance, and argument analysis introduces considerations about accuracy and nuance. Although GPT-4o-mini is a strong performer in general sentiment tasks [30], automated text analysis can sometimes misinterpret context, especially for subtleties like sarcasm, humor, or cultural references. For instance, a sarcastic comment might be labeled as negative sentiment even if the underlying stance is positive (or vice versa), if the model fails to catch the sarcasm. Prior studies highlight that AI still struggles with complex linguistic nuances such as sarcasm and subtle emotional cues [30]. Additionally, the model’s knowledge and biases (trained on data up to a certain point) could influence how it interprets ESG-related content. For example, the model might not fully capture very recent developments in ESG if those post-date its training data.
  • Single-platform focus: Finally, the analysis is confined to YouTube, which limits the scope of inference. Online discourse about ESG reporting is not exclusive to YouTube as it also takes place on platforms like X, LinkedIn, news commentaries, blogs, and other social media. User demographics and discourse norms vary by platform. Hence, sentiments and stances on YouTube might differ from those on, e.g., professional networks or forums. Focusing on one platform provides a deep dive into that community’s perspective, but it may not capture the overall public sentiment. Cross-platform research is needed for a more generalizable understanding [33].
  • Audience and commenter representativeness: Additionally, the audience engaging with ESG content on YouTube and especially those who choose to leave comments may not be representative of the general population or even of all viewers of these videos. Commenters tend to be more vocal, engaged, or motivated (whether positively or negatively), which could introduce further bias into the analysis of public sentiment and engagement. As such, the findings based on YouTube comments should be interpreted with caution, recognizing that they may reflect the perspectives of a particular subset of users rather than the broader public.

4. Results

This section presents key findings derived from the comprehensive examination of ESG-related YouTube videos and their corresponding user comments. Spanning data from 2014 through 2025, the analysis evaluates various engagement metrics (views, likes, and comments), explores sentiment toward ESG reporting, and probes thematic content discussed by video creators and audiences. By integrating sentiment scores, engagement levels, and clustering techniques, the results illuminate not only the overall prevalence of ESG support but also the nuanced perspectives ranging from enthusiastic endorsement to skepticism that shaped online discourse.

4.1. Video Analysis

Figure 1 shows how the collected videos are distributed over time from 2014 through 2025, broken down by day, week, and month. While some videos date back to 2014, the majority of the analyzed videos were published from around 2021 onward, as reflected by the sharp uptick in the charts closer to 2025.
The videos analyzed showed a notable spread in engagement across several metrics. In terms of views, the dataset ranged from 0 to 1,633,618, with an average of about 13,653 and a rather high standard deviation of roughly 94,040, indicating substantial variability in audience reach. Likes demonstrated a similar disparity, varying from 0 to 48,765 and averaging around 198 likes, accompanied by a standard deviation of approximately 2193. Meanwhile, comment counts ranged from none at all to as many as 2271, averaging roughly 13 comments per video with a standard deviation of about 109.
Among the 398 videos analyzed (where transcripts were available), the overwhelming majority (about 90.45 percent) were supportive of ESG reporting. A smaller portion, approximately 4.77 percent, was deemed irrelevant to ESG, while 3.27 percent presented neutral perspectives. Notably, the minority viewpoint stood at around 1.51 percent, consisting of videos expressing opposition to ESG reporting. This distribution suggests a broad favorability or alignment with ESG themes, contrasted with only limited neutral or opposing views.
Among the supportive videos, regulatory compliance and mandatory ESG reporting are the most prominent themes, appearing in 41.9% of cases (see Table 1; categorization in this and further tables was performed using the OpenAI API gpt-4o-model; some of the categories may overlap). These disclosures ensure organizations meet legal requirements and provide transparent information to stakeholders. Environmental sustainability and climate action (26.4%) are also widely featured, with companies highlighting efforts to reduce emissions, improve resource efficiency, and support climate initiatives. Transparency, adherence to standards, and use of recognized frameworks (12.5%) further reinforce the credibility of disclosures, promoting alignment with best practices.
Corporate responsibility and ethical governance (5.6%) remain an important focus, with businesses emphasizing accountable decision-making and ethical conduct. Social impact and community engagement (3.3%) highlight activities such as community investment, diversity and inclusion, and stakeholder collaboration. Efforts in education and professional development (1.9%) showcase the integration of ESG topics into corporate strategies and stakeholder education.
A smaller proportion of videos discuss financial performance and investment (0.3%), reflecting the role of ESG frameworks in supporting sustainable financial decisions. General support and positive sentiment (0.6%) express broader commitments to sustainability, transparency, and social responsibility. Other themes (7.5%) include materiality assessments, stakeholder engagement, and the integration of ESG factors into strategy and investment. Technology continues to play a supporting role, streamlining ESG data collection and enhancing the reliability and timeliness of disclosures.
Among the critical perspectives (see Table 2), concerns about transparency and subjectivity are most prominent, cited in 50% of the videos. Critical videos argue that ESG metrics often rely on inconsistent standards and subjective judgments, which can undermine the credibility and reliability of reported scores. These concerns also extend to the influence of external pressures and the imposition of norms that may not align with every business context.
Regulatory burden and compliance costs represent another significant theme (33.3%). Detractors contend that expanding ESG requirements introduce unnecessary complexity and expenses, especially for smaller firms, while the lack of standardized reporting methods and unregulated ratings can result in misleading assessments. This, in turn, can erode investor confidence and complicate compliance without delivering meaningful improvements in business performance.
Questions regarding the effectiveness and sincerity of ESG initiatives account for 16.7% of the critical perspectives. Skeptics question whether ESG efforts truly drive sustainable change or simply amount to performative actions with limited real-world impact. There is also concern that ESG frameworks may overlook broader issues such as economic viability and qualitative social outcomes, as well as the practical challenges of implementing robust governance and accurately measuring social impact.
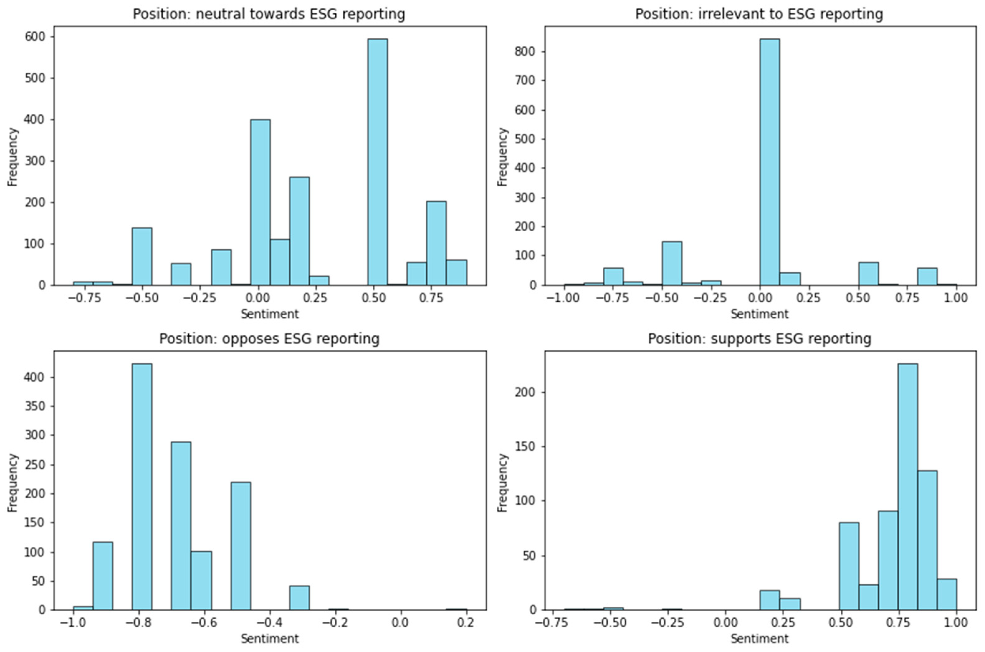
Based on the mean sentiment scores by position (see Figure 2 for more details), videos supporting ESG reporting exhibited the highest average sentiment at about 0.71, suggesting a predominantly positive tone. In contrast, those opposing ESG reporting had a negative mean sentiment of approximately −0.38, reflecting a more critical viewpoint. Videos categorized as neutral to ESG reporting displayed a modestly positive mean sentiment of about 0.11, whereas those deemed irrelevant to ESG reporting had a neutral mean sentiment of 0.0.
The pairwise Pearson correlations highlight strong relationships among engagement metrics and minimal links to sentiment. View count shows a relatively high positive correlation with both likes (0.7955) and comments (0.8457), suggesting that more views are generally associated with higher engagement. The strongest correlation is between likes and comments (0.9819), underscoring the interdependence of these two metrics. However, sentiment appears largely unrelated to any of the engagement indicators, with correlation coefficients near zero and high p-values indicating no statistically significant relationship.
The video clustering analysis, based on sentiment, view count, like count, and comment count, determined an optimal solution of five clusters using silhouette score evaluation (see Table 3). In this solution, Cluster 0 comprises the vast majority of videos (89.83%, or 309 videos) and is characterized by relatively positive sentiment (average of 0.709), moderate view counts (approximately 6973 views), around 81 likes, and roughly 6 comments per video. This dominant cluster suggests that most ESG-related content on YouTube receives a positive reception, but remains within moderate engagement levels, indicating that while supportive content is prevalent, it does not necessarily spark high audience interaction or viral spread. Cluster 1, although representing only 0.29% of videos (1 video), stands out with extremely high engagement, boasting an average sentiment of 0.900, exceptionally high view counts (about 564,536), 48,765 likes, and 2271 comments. This outlier cluster likely reflects content that either went viral or addressed particularly controversial or widely relevant ESG topics, generating not only positive sentiment but also intense user participation and debate. Cluster 2 (1.74%, or 6 videos) has a more negative average sentiment (approximately –0.383) and moderate engagement metrics with roughly 64,768 views, 1604 likes, and 129 comments. Videos in this cluster appear to attract a specific audience that is more critical of ESG reporting, resulting in higher-than-average engagement relative to most clusters, possibly due to controversy or polarizing perspectives. Cluster 3 (4.65%, or 16 videos) displays a neutral sentiment (0.000) and lower engagement figures, averaging around 4298 views, 30 likes, and 1.56 comments per video. This group likely includes informational or news-style content that neither strongly supports nor opposes ESG reporting, thus eliciting minimal emotional response or interaction from viewers. Finally, Cluster 4 (3.49%, or 12 videos) shows a mildly positive sentiment (0.100) alongside a similar level of engagement to Cluster 3, with about 5003 views, 30.5 likes, and 4.67 comments on average. These videos may present balanced or moderately favorable views on ESG, but their impact remains limited, perhaps due to less compelling content or narrower audience appeal. These results indicate that while most videos tend to cluster together with moderate to low engagement and positive sentiment, a small number of videos exhibit distinctly higher interaction rates and more polarized sentiment profiles.
These patterns suggest that corporations aiming to shape public perceptions of ESG may need to rethink their strategies for content creation and engagement, focusing not just on positive messaging but also on addressing potential sources of skepticism. For platform governance, the small subset of videos with intense polarization points to the value of tools that facilitate nuanced discussion or highlight credible sources. Policymakers could draw on such analyses to identify where regulation or public education about ESG reporting is most needed to counter misinformation or confusion.

4.2. Comment Analysis

Figure 3 displays how the volume of published comments evolved from 2019 to 2025 at different time scales (daily, weekly, and monthly). Although a relatively low or steady flow of comments appears early on, noticeable spikes occur closer to 2022 and beyond, indicating periods of heightened engagement. In particular, the monthly view highlights significant peaks, suggesting that overall comment activity in the analyzed videos becomes especially concentrated in certain months after 2022.
The most substantial engagement occurred on 3 August 2022, with 486 comments, followed by 219 comments on 4 August 2022, all related to a company’s ESG report video. A separate cluster of activity was observed with 189 comments on 24 August 2023, and an additional 62 on 25 August 2023, both tied to a Bitcoin ESG report video. Further, 52 comments on 5 August 2022 also pertained to the ESG report video. Engagement on educational content is evident from the 50 and 49 comments on 30 March and 29 March 2024, respectively, which were linked to a teaching course on SDG and ESG assurance, and another teaching video on the same topic generated 46 comments on 2 September 2024. Lastly, 102 comments on 31 March 2025 were mostly associated with a teaching video and a market review, while 49 comments on 29 March 2025 were primarily related to an interview.
The analysis of engagement metrics across videos reveals notable variations in user interaction. Comments per video averaged 27.50, but the high standard deviation of 95.42 and a range spanning from 1 to 1090 comments indicate significant disparities, with a small number of videos attracting exceptionally high engagement. Similarly, the average number of likes per video (2.78) was overshadowed by a substantial standard deviation of 16.62 and a range from 0 to 596, highlighting that while most videos received minimal likes, a few outliers garnered hundreds. Responses to comments followed a comparable pattern, with a mean of 0.45, a standard deviation of 1.54, and a range from 0 to 27, suggesting that direct interactions were rare overall but occasionally spiked.
The correlation matrix reveals a moderate positive relationship between likes and responses (r = 0.48, p < 0.001), indicating these engagement metrics tend to increase together. However, sentiment shows negligible correlations with likes, responses, and comments per author (all |r| < 0.04), though some weak negative associations are statistically significant (p < 0.05). This suggests sentiment has minimal practical influence on engagement. Similarly, comments per author have near-zero correlations with likes and responses (p > 0.05), implying no meaningful link. Notably, the lack of strong multicollinearity (except between likes/responses) highlights distinct dynamics: engagement metrics (likes/responses) may share drivers, while sentiment and comment behavior operate independently.
Comments were clustered based on three key features—like count, response count, and sentiment. The optimal number of clusters was determined using silhouette scores, which indicated that a two-cluster solution was most appropriate. In the resulting clusters, Cluster 0 encompasses the vast majority of comments (98.79% of total, corresponding to 3671 comments) and is characterized by low engagement, with an average of approximately 2.08 likes and 0.33 responses per comment, along with a slightly positive sentiment (approximately +0.023). Conversely, Cluster 1, which accounts for a small fraction of the data (1.21% of total, or 45 comments), shows much higher engagement, with an average of roughly 116.82 likes and 10.58 responses per comment, and these comments exhibit a moderately negative sentiment (approximately −0.236).
Sentiment analysis by stance on ESG reporting revealed stark contrasts (see Figure 4): supports ESG reporting had the highest positivity (0.73), while opposes ESG reporting was strongly negative (−0.69). Neutral and irrelevant positions averaged 0.26 and −0.03, respectively, contributing to an overall near-neutral average sentiment (0.016).
Among the comments analyzed, 39.2% expressed a neutral stance on ESG reporting, 12% were in support, 23.7% opposed it, and 25.1% were unrelated.
Among those expressing support for ESG reporting (see Table 4), the largest portion (37.9%) reflected general positive sentiment, with many commenters voicing broad appreciation for efforts toward sustainability and ethical business practices. Environmental sustainability and climate action were highlighted by 18% of comments, focusing on emissions reduction, renewable energy, and conservation initiatives.
Education and professional development accounted for 12.1% of supportive comments, underscoring the importance of investing in employee growth and lifelong learning. Unique or innovative ESG practices (16%) were also frequently mentioned, including discussions on new methodologies, industry-specific metrics, and the role of external auditors in ensuring data accuracy.
Social impact and community engagement made up 5.2% of responses, recognizing company efforts to invest in local communities, education, and overall well-being. Corporate responsibility and ethical governance were noted in 4.4% of comments, highlighting the value of ethical decision-making, accountability, and the move toward sustainable finance.
Smaller proportions focused on regulatory compliance and mandatory reporting (2.1%), transparency and the use of standardized frameworks (2.8%), and financial performance and investment (1.5%). Each of these reflects a particular aspect of ESG value, whether through meeting compliance requirements, improving the quality of disclosures, or factoring sustainability into investment decisions.
Among those opposing ESG reporting (see Table 5), ideological resistance was the most common theme, making up 25.1% of comments. Critics in this group dismissed ESG as an ideological imposition, often describing related initiatives as cult-like or profit-driven distractions from core business priorities.
The “Other” category (15.4%) captured concerns that ESG is a politically motivated distraction, arguing that it diverts resources away from profitability and serves corporate or financial interests rather than those of investors. Political influence and agenda (14.1%) was also a significant theme, with many viewing ESG as a tool for advancing the interests or political agendas of powerful organizations such as BlackRock, resulting in distrust and frustration.
Skepticism about the effectiveness and sincerity of ESG (12.7%) reflected doubts about whether these initiatives are genuinely improving sustainability or simply masking profit motives and leadership hypocrisy. Meanwhile, 9% of critics focused on corporate greed, suggesting that companies use ESG for competitive advantage or capital, rather than out of genuine social responsibility.
Environmental and climate skepticism made up 6% of opposition, often portraying ESG as a means of government or ideological control and comparing it to communism or other authoritarian models. Some specifically framed ESG as a form of authoritarian or socialist control (5.7%), expressing concerns about manipulation, loss of individual freedoms, and coercive conformity.
Financial and economic concerns (5.7%) included worries about ESG creating market distortions, profit losses, and added financial burdens for companies. A small portion (1.8%) criticized specific organizations, highlighting the negative financial consequences for companies perceived as overly invested in ESG. Concerns about transparency and subjectivity (1.6%) focused on the lack of clear standards and the potential for biased or ideological assessments.
Regulatory burden and compliance costs (1.2%) were also mentioned, emphasizing fears of excessive red tape and harm to shareholder interests. Other concerns included historical and ideological comparisons (0.9%), with critics arguing that ESG shifts priorities away from financial performance, and practical implementation challenges (0.8%), with doubts about the feasibility and economic impact of ESG frameworks.
The diversity and intensity of oppositional comments signal the need for corporations to engage more directly with critics, possibly through FAQ responses or open forums. For public policy, these findings underscore the importance of clear, accessible standards and guidelines that address widespread concerns. YouTube and similar platforms could explore ways to surface authoritative information or moderate especially contentious threads, supporting a more informed debate around ESG topics.

4.3. Videos and Comments Linkage

The correlation (0.1659) between transcript sentiment and average comment sentiment is modest and borderline in terms of statistical significance (p = 0.055), suggesting only a slight linear relationship. The chi-square results (χ2 = 9.254; p = 0.414; Cramer’s V = 0.152) likewise indicate no strong or statistically significant association among the categories of ESG stance (irrelevant, neutral, opposes, supports). Together, these findings suggest that while there is a small positive trend in how transcript sentiment might relate to commenters’ sentiments, the effect is weak and not definitively significant.
This weak linkage between video tone and public reaction has practical consequences. Corporations cannot assume that positive ESG communication will automatically generate support. Instead, ongoing two-way engagement and transparent responses to skepticism may be needed. Policymakers might consider digital feedback loops when designing ESG disclosure requirements, and platforms could experiment with features that foster productive exchanges between content creators and viewers.
Moreover, although a few videos are dominated entirely by supportive or opposing comments (see Figure 5), most exhibit a blend of different comment positions, suggesting that discussions around ESG reporting are often multifaceted.

5. Discussion

The analysis of YouTube ESG-related content and commentary reveals a complex interplay between overwhelmingly positive corporate narratives and a more skeptical public reception. On the one hand, the video transcripts indicate that content creators largely promote ESG reporting’s benefits, with about 90% of sampled videos endorsing or supporting ESG practices. On the other hand, user engagement metrics and comment sentiments paint a different picture. Although interest in ESG content is evident, a significant portion of the audience responds with neutrality or outright opposition. This contrast—enthusiastic ESG advocacy in videos versus prevalent skepticism in comments—is a key insight of the study, highlighting a dissonance between institutional ESG communication and public sentiment. This disconnect between messaging and reception is not just an academic observation. It holds practical implications for how corporations, policymakers, and platforms strategize ESG communication and stakeholder engagement in the digital era.
These results hold important implications for the broader academic debates on ESG communication and stakeholder engagement. First, the prevalence of critical and oppositional comments underscores ongoing concerns about greenwashing, inconsistent standards, and ESG’s credibility. The public skepticism observed aligns with documented criticisms that ESG reporting can lack standardized benchmarks and sometimes serves more as a marketing or compliance exercise than a substantively informative disclosure [34].
The findings give empirical weight to these concerns: when audiences perceive ESG reports as overly positive, they may respond with cynicism, often voicing doubts about the sincerity or reliability of the information. This reflects concepts in legitimacy theory and stakeholder theory—companies seek legitimacy through ESG disclosures, but legitimacy is granted by stakeholders. If stakeholders (in this case, online viewers and commenters) detect dissonance between corporate ESG claims and reality, they may withdraw trust, echoing the study’s evidence of mistrust and misconception in digital discourse [19,35,36,37]. Legitimacy theory thus provides a critical interpretive lens for these results. ESG reporting is not simply an exercise in compliance or communication, but a dynamic process of seeking societal approval, which is constantly tested in the court of public opinion online. The observed gap between optimistic corporate narratives and skeptical public responses highlights that legitimacy is never fully secured, but must be continually earned through transparent, consistent, and responsive engagement with stakeholders across digital platforms.
In academic terms, the interactive Web 2.0 environment exposes the performance of ESG reporting to public scrutiny in real-time, offering scholars a lens to observe how accounting disclosures are received, contested, or endorsed outside traditional channels. The weak correlation found between a video’s sentiment and its comment sentiment suggests that public reaction is not passively shaped by corporate messaging. Rather, it is influenced by broader narratives and predispositions that viewers bring with them. This nuanced dynamic contributes to theory by highlighting the role of external discourse (including misinformation and political ideology) in mediating the relationship between corporate disclosure and stakeholder response, an area that intersects accounting communication research and media studies on misinformation.
The sentiment dynamics observed also deepen the theoretical understanding of digital stakeholder engagement. The largest segment of commenters was neutral, indicating many viewers neither blindly accept nor immediately reject ESG information, but may be processing it or seeking further clarity. This neutrality, coupled with pockets of intense opposition, suggests a spectrum of engagement levels consistent with the idea of an engagement gap: only a minority engage vocally (often the more polarized voices), while a silent majority remains observant [38,39].
For researchers in accounting and finance, this underscores the importance of incorporating social media analytics into assessments of disclosure effectiveness. Traditional measures of ESG report success (e.g., investor reactions or compliance scores) might overlook the less formal yet influential realm of public sentiment [13,40].
From a practical perspective, the insights offer several lessons for organizations aiming to improve ESG communication strategies. Corporate communicators should recognize that ESG disclosures and optimistic videos are only the start of a conversation—not the end. The substantial volume of oppositional comments indicates that simply publishing an ESG report or promotional video will likely trigger scrutiny and debate. Companies would benefit from engaging more proactively with their stakeholders in the digital sphere. This could include monitoring common misconceptions or critiques that appear in comments and addressing them in follow-up communications or Q&A sessions. For example, if viewers frequently question the credibility of ESG metrics as this analysis suggests, firms might preemptively disclose more about their data verification and use of standards to mitigate opaque metrics concerns.
Similarly, the finding that some commenters frame ESG as authoritarian control or a politicized tool indicates a need for organizations to contextualize ESG initiatives in apolitical, practical terms, emphasizing problem-solving and business value rather than ideology. Organizations should also internalize that negative sentiment online does not solely equate to failure; it can be an opportunity.
Critiques raised (e.g., accusations of greenwashing or questions about cost implications) provide valuable feedback on stakeholder priorities and fears. By constructively responding, for instance, publishing clarifications, case studies of ESG’s tangible impacts, or independent third-party attestations, companies can transform skeptical audiences into informed skeptics, potentially reducing misinformation.
Furthermore, the analysis showed that certain educational videos on ESG (such as explainers on standards or assurance) garnered positive engagement. This suggests a practical strategy: focus on educational content to raise the baseline knowledge level in the audience. An informed audience is less susceptible to rumors or politicized distortions and more likely to appreciate genuine ESG efforts. Companies and industry groups might invest in creating accessible content (short videos, infographics, interactive webinars) to explain ESG concepts, reporting frameworks, and progress updates in a way that resonates with the general public.
In sum, the findings of this study offer actionable insights for multiple audiences. Corporate ESG strategies should evolve to treat digital engagement as an ongoing dialogue, responding to skepticism and using public feedback to improve disclosures. Policymakers can leverage these insights to update ESG reporting standards and encourage transparency, while digital platform operators may need to consider new governance mechanisms to ensure that online ESG debates remain constructive and evidence-based.

6. Conclusions

The analysis presented in this study underscores YouTube’s role as a forum for public debate on ESG reporting, where both enthusiastic support and measured skepticism coexist. The overall positive sentiment evident in the majority of the videos aligns with an increasing recognition among stakeholders that robust ESG practices are essential for promoting transparency, accountability, and long-term corporate sustainability. However, the presence of highly engaged clusters of content and user comments that voice strong criticisms ranging from accusations of greenwashing to concerns over regulatory complexity and data integrity illustrates that the journey toward universally credible ESG reporting is fraught with challenges. These divergent viewpoints suggest that while many see ESG disclosures as instrumental in holding corporations accountable and informing investment decisions, others remain wary of potential abuse and the risk of misleading stakeholders.
The findings empirically support calls for enhanced standardization and regulatory oversight in ESG reporting. The lack of a strong relationship between engagement metrics and sentiment points to the complex nature of digital discourse, in which viewers may be drawn to content based as much on its presentation and entertainment value as on its informational content. This complexity reinforces the need for policymakers and corporate leaders to adopt verification mechanisms such as mandatory third-party audits in the reporting process. Such measures could help mitigate issues related to data inconsistency and greenwashing while ensuring that ESG disclosures are both comprehensive and transparent.
Theoretically, these results deepen our understanding of how digital platforms mediate stakeholder perceptions, highlighting the limits of corporate control over narrative and the crucial role of public skepticism and discourse in shaping ESG’s legitimacy. By foregrounding legitimacy theory, this study demonstrates the need for organizations to understand the risks and opportunities inherent in digital ESG communication. As legitimacy is increasingly co-produced by both firms and online publics, organizations must engage not only in information provision but in ongoing dialogue, responding to challenges and criticisms as part of a broader legitimacy management strategy.
Incorporating these findings, corporate leaders, policymakers, and platform administrators should recognize the power of online discourse to shape public trust in ESG. Embedding feedback from digital engagement into reporting, regulatory design, and platform governance can foster a more transparent, responsive, and effective ESG ecosystem.
While this study provides valuable insights into ESG reporting and public engagement on YouTube, several limitations should be acknowledged when interpreting the results. First, the reliance on YouTube’s API and its search algorithms may introduce selection bias, favoring more popular or mainstream content and potentially overlooking dissenting or niche viewpoints. Second, the exclusive focus on the keyword “ESG reporting” and a single platform (YouTube) limits the generalizability of the findings across other social media environments or different terminologies. Third, the absence of human validation for the AI-generated sentiment and stance analyses may affect the nuance and accuracy of some interpretations, especially in cases involving sarcasm or complex context. Fourth, the representativeness of both the YouTube audience and the subset of users who choose to comment should be considered. The population engaging with ESG content on YouTube may not reflect the broader public, and those who leave comments may differ systematically from viewers in general, potentially skewing the results towards more engaged, vocal, or ideologically motivated individuals. As a result, findings based on comments may not be fully generalizable to the wider public or all viewers of the videos analyzed. Lastly, incomplete transcript and comment data, as well as the potential for disabled comment sections, might have excluded certain perspectives from analysis.
To overcome these limitations, future research should consider using multi-platform and multi-keyword sampling strategies to ensure broader coverage of ESG discourse. Incorporating manual annotation or mixed-methods validation can enhance the reliability of sentiment and stance detection, especially for ambiguous cases. Moreover, expanding the study to include longitudinal tracking and qualitative interviews with content creators, commenters, and ESG professionals could provide deeper insights into evolving public attitudes and the real-world effects of online discourse. Such approaches would offer a more comprehensive understanding of ESG communication and its impact, ultimately informing more effective corporate, policy, and platform strategies.

Funding

This research received no external funding.

Institutional Review Board Statement

Ethical review and approval were waived for this study due to the use of fully anonymized data, with no identifiable personal information collected or analyzed.

Informed Consent Statement

Not applicable.

Data Availability Statement

The data used in this study were extracted via the YouTube API and analyzed using the OpenAI API. Due to the platforms’ terms of service and API usage restrictions, the datasets cannot be shared publicly.

Conflicts of Interest

The author declares no conflicts of interest.

References

  1. Raghavan, K. ESG reporting impact on accounting, finance. J. Glob. Awareness 2022, 3, 9. [Google Scholar] [CrossRef]
  2. Gupta, R.; Motwani, A. ESG reporting in India: Current scenario. Corp. Gov. Insight 2022, 4, 88–104. [Google Scholar] [CrossRef]
  3. Huang, J. The environmental, social and governance (ESG) in accounting: A review. J. Glob. Econ. Bus. Financ. 2024, 6, 8. [Google Scholar] [CrossRef] [PubMed]
  4. Tsang, A.; Frost, T.; Cao, H. Environmental, social, and governance (ESG) disclosure: A literature review. Br. Account. Rev. 2023, 55, 101149. [Google Scholar] [CrossRef]
  5. Sridharan, V. Bridging the Disclosure Gap: Investor Perspectives on Environmental, Social, & Governance (ESG) Disclosures. Ph.D. Thesis, University of Pennsylvania, Philadelphia, PA, USA, 2018. [Google Scholar] [CrossRef]
  6. Chopra, S.S.; Senadheera, S.S.; Dissanayake, P.D.; Withana, P.A.; Chib, R.; Rhee, J.H.; Ok, Y.S. Navigating the challenges of environmental, social, and governance (ESG) reporting: The path to broader sustainable development. Sustainability 2024, 16, 606. [Google Scholar] [CrossRef]
  7. Jámbor, A.; Zanócz, A. The diversity of environmental, social, and governance aspects in sustainability: A systematic literature review. Sustainability 2023, 15, 13958. [Google Scholar] [CrossRef]
  8. Hassan, S.M. Greenwashing in ESG: Identifying and addressing false claims of sustainability. J. Bus. Strat. Manag. 2024, 9, 90–105. [Google Scholar] [CrossRef]
  9. Tian, L.; Niu, J. Mitigating greenwashing in listed companies: A comprehensive study on strengthening integrity in ESG disclosure and governance. Pol. J. Environ. Stud. 2024, 33, 6363–6372. [Google Scholar] [CrossRef]
  10. Galeano, K.; Galeano, R.; Agarwal, N. An evolving (dis)information environment—How an engaging audience can spread narratives and shape perception: A Trident Juncture 2018 case study. In Disinformation, Misinformation, and Fake News in Social Media: Emerging Research Challenges and Opportunities; Springer: Cham, Switzerland, 2020; pp. 253–265. [Google Scholar] [CrossRef]
  11. Castello, I. Challenges and opportunities in using social media to promote corporate social responsibility. In The Routledge Companion to Corporate Social Responsibility; Routledge: London, UK, 2021; pp. 319–328. [Google Scholar] [CrossRef]
  12. Muhtar, M.; Amir, A.S.; Karnay, S. Analyzing media impact on public engagement with CSR practices. Int. J. Integr. Sci. 2024, 3, 4. [Google Scholar] [CrossRef]
  13. Liu, M.; Luo, X.; Lu, W.Z. Public perceptions of environmental, social, and governance (ESG) based on social media data: Evidence from China. J. Clean. Prod. 2023, 387, 135840. [Google Scholar] [CrossRef]
  14. Park, J.; Choi, W.; Jung, S.U. Exploring trends in environmental, social, and governance themes and their sentimental value over time. Front. Psychol. 2022, 13, 890435. [Google Scholar] [CrossRef] [PubMed]
  15. Shapiro, M.A.; Park, H.W. Climate change and YouTube: Deliberation potential in post-video discussions. Environ. Commun. 2018, 12, 115–131. [Google Scholar] [CrossRef]
  16. Arnaboldi, M.; Busco, C.; Cuganesan, S. Accounting, accountability, social media and big data: Revolution or hype? Account. Audit. Account. J. 2017, 30, 762–776. [Google Scholar] [CrossRef]
  17. Gandía, J.L.; Huguet, D. Textual analysis and sentiment analysis in accounting: Análisis textual y del sentimiento en contabilidad. Rev. Contab. Span. Account. Rev. 2021, 24, 168–183. [Google Scholar] [CrossRef]
  18. Nerantzidis, M.; Tampakoudis, I.; She, C. Social media in accounting research: A review and future research agenda. J. Int. Account. Audit. Tax. 2024, 54, 100595. [Google Scholar] [CrossRef]
  19. Lodhia, S.; Kaur, A.; Stone, G. The use of social media as a legitimation tool for sustainability reporting: A study of the top 50 Australian Stock Exchange (ASX) listed companies. Meditari Account. Res. 2020, 28, 613–632. [Google Scholar] [CrossRef]
  20. Deegan, C. Introduction: The legitimising effect of social and environmental disclosures–a theoretical foundation. Account. Audit. Account. J. 2002, 15, 282–311. [Google Scholar] [CrossRef]
  21. Russo, S.; Schimperna, F.; Lombardi, R.; Ruggiero, P. Sustainability performance and social media: An explorative analysis. Meditari Account. Res. 2022, 30, 1118–1140. [Google Scholar] [CrossRef]
  22. Wen, J.T.; Song, B. Corporate ethical branding on YouTube: CSR communication strategies and brand anthropomorphism. J. Interact. Advert. 2017, 17, 28–40. [Google Scholar] [CrossRef]
  23. Liao, M.Q.; Mak, A.K.Y. “Comments are disabled for this video”: A technological affordances approach to understanding source credibility assessment of CSR information on YouTube. Public Relat. Rev. 2019, 45, 101840. [Google Scholar] [CrossRef]
  24. Casalegno, C.; Chiaudano, V.; Tamiazzo, M.; Kitchen, P.J. Navigating the challenges of ESG communication on social media. J. Emerg. Perspect. 2024, 1, 33–42. [Google Scholar] [CrossRef]
  25. Burgess, J.; Green, J. YouTube: Online Video and Participatory Culture; John Wiley & Sons: Chichester, UK, 2018; Available online: https://www.wiley.com/en-us/YouTube%3A+Online+Video+and+Participatory+Culture%2C+2nd+Edition-p-9780745660196 (accessed on 15 July 2025).
  26. Efstratiou, A. I’m sorry Dave, I’m afraid I can’t return that: On YouTube search API use in research. arXiv 2025, arXiv:2506.04422. [Google Scholar] [CrossRef]
  27. Stappen, L.; Baird, A.; Cambria, E.; Schuller, B.W. Sentiment analysis and topic recognition in video transcriptions. IEEE Intell. Syst. 2021, 36, 88–95. [Google Scholar] [CrossRef]
  28. Trinkle, B.S.; Crossler, R.E.; Bélanger, F. Voluntary disclosures via social media and the role of comments. J. Inf. Syst. 2015, 29, 101–121. [Google Scholar] [CrossRef]
  29. Lutz, S.; Schneider, F.M. Is receiving dislikes in social media still better than being ignored? The effects of ostracism and rejection on need threat and coping responses online. Media Psychol. 2021, 24, 741–765. [Google Scholar] [CrossRef]
  30. Bojić, L.; Zagovora, O.; Zelenkauskaite, A.; Vuković, V.; Čabarkapa, M.; Veseljević Jerković, S.; Jovančević, A. Comparing large language models and human annotators in latent content analysis of sentiment, political leaning, emotional intensity and sarcasm. Sci. Rep. 2025, 15, 11477. [Google Scholar] [CrossRef]
  31. Chiusano, F. Two minutes NLP—Quick intro to stance detection on social media. Medium. 17 August 2022. Available online: https://medium.com/nlplanet/two-minutes-nlp-quick-intro-to-stance-detection-on-social-media-5782ce54c701 (accessed on 15 July 2025).
  32. Pojoni, M.L.; Dumani, L.; Schenkel, R. Argument-mining from podcasts using ChatGPT. In Proceedings of the Workshop on Text Mining and Generation at ICCBR2023, Aberdeen, Scotland, 17–20 July 2023; pp. 129–144. Available online: https://ceur-ws.org/Vol-3438/paper_10.pdf (accessed on 15 July 2025).
  33. Zhang, B.; Dai, G.; Niu, F.; Yin, N.; Fan, X.; Wang, S.; Cao, X.; Huang, H. A survey of stance detection on social media: New directions and perspectives. arXiv 2024, arXiv:2409.15690. [Google Scholar] [CrossRef]
  34. Kotsantonis, S.; Serafeim, G. Four things no one will tell you about ESG data. J. Appl. Corp. Finance 2019, 31, 50–58. [Google Scholar] [CrossRef]
  35. Del Gesso, C.; Lodhi, R.N. Theories underlying environmental, social and governance (ESG) disclosure: A systematic review of accounting studies. J. Account. Lit. 2025, 47, 433–461. [Google Scholar] [CrossRef]
  36. Torelli, R.; Balluchi, F.; Lazzini, A. Greenwashing and environmental communication: Effects on stakeholders’ perceptions. Bus. Strategy Environ. 2020, 29, 407–421. [Google Scholar] [CrossRef]
  37. Omran, M.A.; Ramdhony, D. Theoretical perspectives on corporate social responsibility disclosure: A critical review. Int. J. Account. Financ. Rep. 2015, 5, 38–55. [Google Scholar] [CrossRef]
  38. Fleming, C.S.; Gonyo, S.B.; Freitag, A.; Goedeke, T.L. Engaged minority or quiet majority? Social intentions and actions related to offshore wind energy development in the United States. Energy Res. Soc. Sci. 2022, 84, 102440. [Google Scholar] [CrossRef]
  39. Bull, R.; Janda, K.B. Beyond feedback: Introducing the ‘engagement gap’ in organizational energy management. Build. Res. Inf. 2018, 46, 300–315. [Google Scholar] [CrossRef]
  40. Bryl, L.; Supino, E. Sustainability disclosure in social media—Substitutionary or complementary to traditional reporting? J. Intercult. Manag. 2022, 14, 41–62. [Google Scholar] [CrossRef]
Figure 1. Video distribution over time.
Figure 1. Video distribution over time.
Sustainability 17 07039 g001
Figure 2. Video sentiment score distribution by position.
Figure 2. Video sentiment score distribution by position.
Sustainability 17 07039 g002
Figure 3. Comment distribution over time.
Figure 3. Comment distribution over time.
Sustainability 17 07039 g003
Figure 4. Comment sentiment by stance on ESG reporting.
Figure 4. Comment sentiment by stance on ESG reporting.
Sustainability 17 07039 g004
Figure 5. Comment position distribution per video.
Figure 5. Comment position distribution per video.
Sustainability 17 07039 g005
Table 1. Arguments in supportive ESG reporting videos.
Table 1. Arguments in supportive ESG reporting videos.
Topic (% of Videos)Description
Regulatory compliance & mandatory reporting (41.9)Encompasses the disclosure of a company’s environmental, social, and governance performance, addressing compliance with regulatory requirements and stakeholder expectations, particularly for public companies. It highlights the importance of transparency and accountability in reporting practices, as well as the growing attention from investors and regulators on ESG metrics and frameworks.
Environmental sustainability & climate action (26.4)Encompasses initiatives and practices aimed at reducing carbon emissions, promoting resource efficiency, and ensuring sustainable supply chains, as illustrated by companies focusing on carbon reduction strategies, traceability in agriculture, and compliance with environmental regulations. It emphasizes the importance of transparent reporting and stakeholder engagement to assess and enhance a company’s environmental impact.
Transparency, standards & frameworks (12.5)Encompasses the practices and guidelines that organizations must follow to accurately disclose their sustainability performance, ensuring accountability to stakeholders while adhering to recognized frameworks such as GRI and BRSR. It emphasizes the importance of transparency, stakeholder engagement, and the inclusion of both positive and negative impacts in sustainability reports to enhance credibility and foster trust.
Other (7.5)Encompasses discussions around materiality assessments, the importance of stakeholder engagement, and the integration of ESG factors into corporate strategy and investment decisions, highlighting the need for reliable disclosures and commitments to sustainability standards to enhance accountability and performance.
Corporate responsibility & ethical governance (5.6)Encompasses the assessment of a company’s sustainable and ethical impacts, focusing on environmental factors like resource protection, social factors related to community and employee treatment, and governance factors concerning internal controls and compliance practices. This framework aims to ensure accountability and transparency in corporate operations, ultimately influencing investment decisions.
Social impact & community engagement (3.3)Encompasses a company’s efforts to disclose information related to its social responsibilities, including diversity and inclusion, community involvement, and stakeholder engagement, while navigating various frameworks and standards to ensure transparency and accountability. This category emphasizes the importance of cross-functional collaboration within organizations to accurately report on social metrics and respond to stakeholder expectations.
Education & professional development (1.9)Encompasses the integration of environmental, social, and governance factors into corporate strategies, emphasizing the need for transparency, accountability, and measurable progress through consistent metrics and innovative technologies like AI and geospatial data. This category highlights the importance of educating stakeholders on ESG initiatives and ensuring companies can effectively prove their commitments to sustainability and social responsibility.
General support & positive sentiment (0.6)Encompasses companies’ commitments to sustainability, transparency, and social responsibility, highlighting their efforts to reduce environmental impacts, promote equity, and strengthen governance practices while fostering trust among stakeholders. This includes initiatives like carbon footprint assessments, gender pay equity, and adherence to global sustainability frameworks.
Financial performance & investment (0.3)Encompasses various frameworks and standards, such as GRI, CDP, TCFD, SASB, and CSRD, which guide organizations in disclosing their sustainability impacts and climate-related financial risks to inform investors and enhance transparency in their financial performance. These frameworks help businesses communicate the financial implications of sustainability issues, enabling better investment decisions.
Table 2. Arguments in opposing ESG reporting videos.
Table 2. Arguments in opposing ESG reporting videos.
Topic (% of Videos)Description
Transparency & subjectivity concerns (50.0)Highlights skepticism about the validity and objectivity of ESG metrics, suggesting that they are often based on subjective opinions rather than concrete standards, and raises concerns about the potential for unnecessary reporting and compliance burdens that do not enhance business performance. Additionally, it criticizes the influence of external pressures and norms imposed by governments and organizations on corporate decision-making.
Regulatory burden & compliance costs (33.3)Highlights the methodological issues and lack of standardization in ESG data reporting, which undermine investor confidence and decision-making, while also emphasizing the unregulated nature of ESG ratings that can lead to misleading assessments of companies’ environmental and social impacts. Additionally, there are concerns about the potential for increased regulatory scrutiny to complicate compliance for businesses, raising questions about the true effectiveness of ESG investments in driving meaningful change.
Effectiveness & sincerity issues (16.7)Highlights concerns about the limitations of the ESG framework, emphasizing that it often fails to encompass the broader aspects of sustainability, such as economic viability and the qualitative impacts on society, while also pointing out the challenges companies face in implementing effective governance structures and measuring social impacts.
Table 3. Clusters of videos.
Table 3. Clusters of videos.
Cluster% of Videos# of VideosAvg. SentimentAvg. View CountAvg. Like CountAvg. Comment CountCluster Characteristics
089.83%3090.7096973816Positive sentiment, moderate engagement
10.29%10.900564,53648,7652271Extremely high engagement, highly positive sentiment
21.74%6−0.38364,7681604129Negative sentiment, moderate engagement
34.65%160.0004298301.56Neutral sentiment, low engagement
43.49%120.100500330.54.67Mildly positive sentiment, low engagement
Table 4. Arguments in supportive ESG reporting comments.
Table 4. Arguments in supportive ESG reporting comments.
Topic (% of Comment)Description
General support & positive sentiment (37.9)Encompasses expressions of appreciation for efforts towards social and environmental responsibility, as well as calls for the protection of the planet and future generations. It reflects a supportive attitude towards initiatives that prioritize sustainability and ethical practices over profit.
Environmental sustainability & climate action (18)Reflects a positive reception towards content related to environmental sustainability and climate action within the ESG framework, highlighting appreciation for informative resources and a desire for more educational materials on the topic.
Other (16)Encompasses discussions on the methodologies and regulations surrounding ESG ratings, the importance of industry-specific metrics as outlined by frameworks like IFRS S1 and SASB, and the role of external auditors in ensuring the accuracy of reported data.
Education & professional development (12.1)Emphasizes the importance of employee welfare, sustainable growth, and the long-term impact of corporate practices on future generations, highlighting the need for governance, integrity, and investment in sustainability initiatives. It reflects a commitment to balancing profit with social and environmental responsibilities.
Social impact & community engagement (5.2)Reflects a strong consensus among individuals who appreciate informative content that aids in understanding and addressing issues related to energy management, climate change, and sustainability. Comments indicate that viewers find the material valuable for their professional development and practical applications in their fields.
Corporate responsibility & ethical governance (4.4)Encompasses discussions on the importance of sustainable finance, the future of investments in ESG stocks, and the urgent need to address climate change, highlighting both individual investment choices and broader societal implications. It reflects a strong belief in the necessity of transitioning to sustainable practices and the financial opportunities associated with them.
Transparency, standards & frameworks (2.8)Encompasses discussions on the importance of understanding ESG principles, particularly in relation to climate change and corporate impact, as well as the potential for utilizing technology and data to enhance the accuracy and efficiency of measuring and managing emissions, especially Scope 3 emissions.
Regulatory compliance & mandatory reporting (2.1)Encompasses feedback that highlights the clarity and helpfulness of information related to compliance with environmental regulations, as well as positive sentiments towards eco-friendly initiatives.
Financial performance & investment (1.5)Highlights the importance of ethical considerations in evaluating financial performance and investment decisions within the ESG framework, emphasizing that management integrity and public perception can significantly influence investment choices. Additionally, they reflect a recognition of the complexity of measuring ESG metrics and the value of straightforward approaches.
Table 5. Arguments in opposing ESG reporting comments.
Table 5. Arguments in opposing ESG reporting comments.
Topic (% of comments)Description
Ideological resistance (25.1)Reflects a backlash against ESG initiatives, characterized by perceptions of them as cult-like or driven by greed, and includes dismissive attitudes towards the motivations behind these movements. Critics often view such initiatives as misguided or a waste of time, emphasizing a resistance to what they see as ideological imposition.
Other (15.4)Encompasses criticisms that label ESG initiatives as politically motivated distractions that detract from a company’s primary focus on profitability, arguing that they serve corporate and financial interests rather than investors and may lead to anti-competitive practices. Critics express concern that resources allocated to ESG and DEI efforts do not contribute to the bottom line, viewing these initiatives as detrimental to the economy.
Political influence & agenda (14.1)Reflects concerns that organizations like BlackRock are perceived as promoting a political agenda that may be seen as exploitative or ineffective, leading to frustration and distrust among critics.
Effectiveness & sincerity issues (12.7)Highlights skepticism about the genuine intentions behind ESG initiatives, questioning their financial motivations and the credibility of leadership within ESG organizations. Critics express frustration over perceived hypocrisy and the inadequacy of human governance in addressing environmental concerns.
Corporate greed & profit motives (9.0)Encompasses criticisms that argue ESG initiatives are often driven by a desire for financial gain rather than genuine social responsibility, suggesting that companies may exploit these programs to enhance their competitive advantage and secure capital while potentially misleading stakeholders about their true motivations.
Environmental & climate skepticism (6.0)Encompasses extreme opposition to environmental initiatives, often framing them as tools of government control or ideologies akin to communism, and expressing distrust towards organizations, suggesting they pose a threat to individual freedoms and national security.
ESG as authoritarian/socialist control (5.7)Encompasses criticisms that portray ESG initiatives as manipulative and oppressive, suggesting they mislead consumers about their responsibilities while promoting a collectivist agenda that undermines individual freedoms. Commenters express strong disdain for what they perceive as a coercive push towards conformity and environmentalism, likening it to Orwellian tactics.
Financial & economic concerns (5.7)Reflects a skepticism towards ESG initiatives, viewing them as intrusive and potentially harmful to individual financial interests, with critics arguing that such measures prioritize ideological agendas over economic stability and personal freedom.
Criticism of specific organizations (1.8)Highlights the financial losses and negative impacts that some companies have faced due to their ESG initiatives, while also expressing broader concerns about the implications of ESG as a mechanism for global control and governance.
Transparency & subjectivity concerns (1.6)Highlights fears that ESG principles are rooted in socialist ideologies, likening them to propaganda and warning that they could lead to societal control and resource scarcity, reminiscent of dystopian scenarios. Critics express distrust in the subjective nature of ESG assessments, suggesting they may undermine individual freedoms and economic stability.
Regulatory burden & compliance costs (1.2)Highlights concerns that ESG demands impose excessive regulatory requirements and compliance costs on companies, potentially harming their brand and shareholder interests, as illustrated by critiques of major corporations prioritizing ESG scores over their core business values.
Historical/ideological comparisons (0.9)Highlights concerns that ESG initiatives are driven by ideological agendas rather than a focus on profitability and shareholder returns, suggesting that such practices should be prohibited. Critics question the relevance and necessity of ESG, arguing that companies should prioritize financial performance over social or environmental considerations.
Implementation & practicality issues (0.8)Encompasses concerns about excessive bureaucracy and regulatory burdens associated with ESG initiatives, skepticism about the validity of climate-related claims, and a belief that such frameworks may lead to negative economic consequences.
Disclaimer/Publisher’s Note: The statements, opinions and data contained in all publications are solely those of the individual author(s) and contributor(s) and not of MDPI and/or the editor(s). MDPI and/or the editor(s) disclaim responsibility for any injury to people or property resulting from any ideas, methods, instructions or products referred to in the content.

Share and Cite

MDPI and ACS Style

Erokhin, D. ESG Reporting in the Digital Era: Unveiling Public Sentiment and Engagement on YouTube. Sustainability 2025, 17, 7039. https://doi.org/10.3390/su17157039

AMA Style

Erokhin D. ESG Reporting in the Digital Era: Unveiling Public Sentiment and Engagement on YouTube. Sustainability. 2025; 17(15):7039. https://doi.org/10.3390/su17157039

Chicago/Turabian Style

Erokhin, Dmitry. 2025. "ESG Reporting in the Digital Era: Unveiling Public Sentiment and Engagement on YouTube" Sustainability 17, no. 15: 7039. https://doi.org/10.3390/su17157039

APA Style

Erokhin, D. (2025). ESG Reporting in the Digital Era: Unveiling Public Sentiment and Engagement on YouTube. Sustainability, 17(15), 7039. https://doi.org/10.3390/su17157039

Note that from the first issue of 2016, this journal uses article numbers instead of page numbers. See further details here.

Article Metrics

Back to TopTop