Degradation and Stabilization Degree of Municipal Solid Waste: The Case of Two Landfills in China
Abstract
1. Introduction
2. Materials and Methods
2.1. Test Materials
2.2. Data Collection
2.3. Test Method
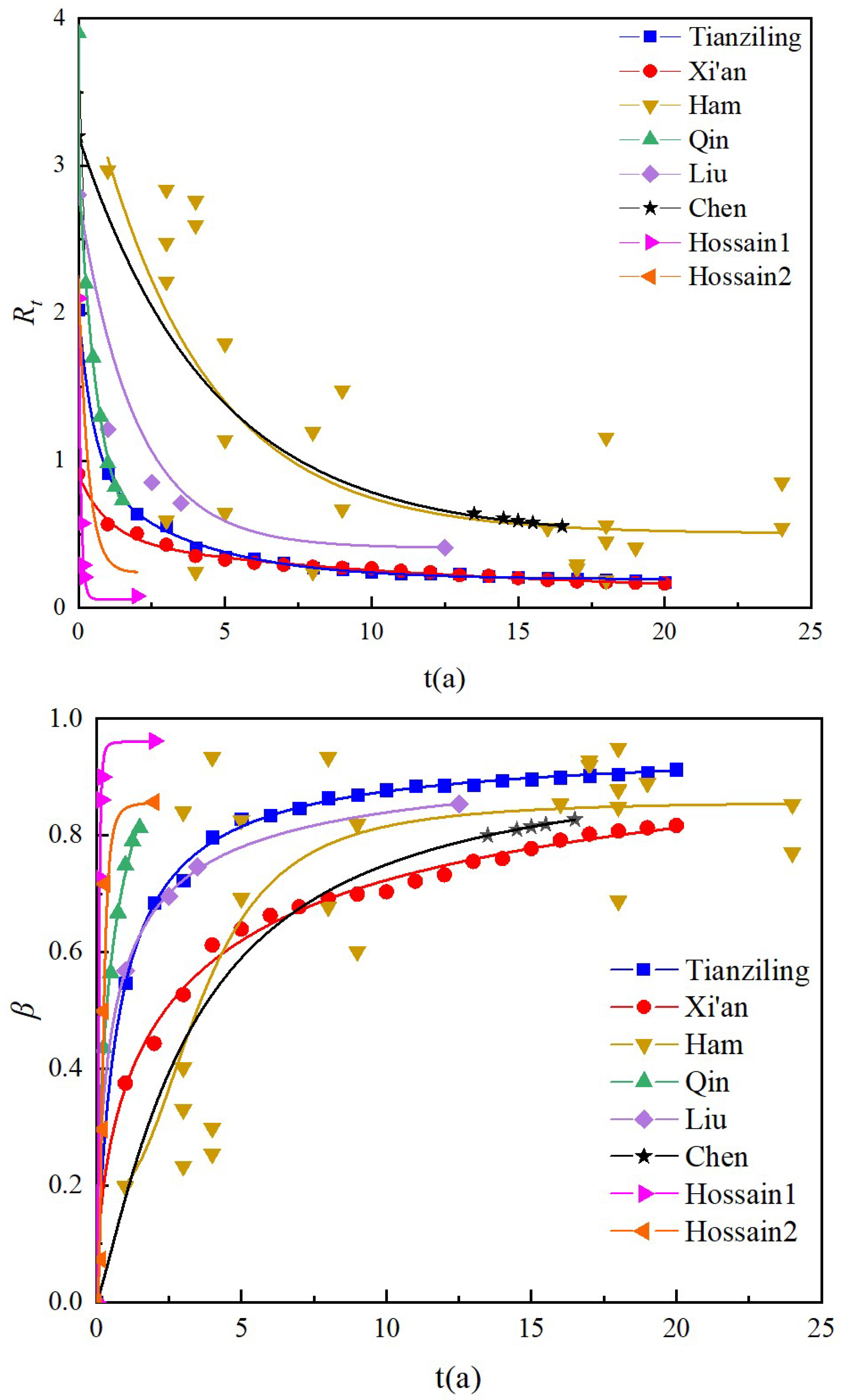
3. Results
3.1. Organic Matter Content
3.2. MSW Cellulose and Lignin Contents
3.3. Degradation Stabilization Degree Index (β)
4. Discussion
5. Conclusions
- (1)
- MSW organic matter content showed an exp-decay relationship with landfill age, and the analysis of consecutive experimental data corresponding to a period of 20 years verified this relationship. Specifically, organic matter content declined and reached a plateau with landfill aging, suggesting that the level of waste degradation and landfill stability progressively reached a state of equilibrium. This is crucial for the sustainable operation of the landfill. A stable waste degradation process reduces the generation of leachate and landfill gas, minimizing potential harm to the surrounding environment and facilitating long-term harmonious coexistence of the landfill and its surroundings. The C/L ratio of MSW also exhibited an exp-decay relationship with landfill age.
- (2)
- The normalized degradation–stabilization index, β, was proposed, and its use enabled the quantitative assessment of the degree of degradation and stability of MSW. Analysis further showed that the relationship between β, landfill age, and organic matter content could be described by a logistic expression, which showed that as the landfill aged, MSW organic matter content decreased, while β gradually increased. This relationship provides a powerful tool for the sustainable management of landfills. Based on the β index, we can more accurately assess the degradation degree and stability of MSW in landfills, thus providing a scientific basis for decisions on landfill expansion, closure, or redevelopment.
- (3)
- Use of the proposed exponential model to delineate the correlation between C/L ratio and landfill age, the observed data from Tianziling and Jianggou Village landfills exhibit mere 10.63% and 9.81% divergences from the projected figures, respectively. Employing the proposed secant model to illustrate the link between degradation rate and beta, the discrepancies between actual and anticipated data for the Tianziling and Jianggou Village landfills are minimal, at 1.71% and 2.67%, respectively. When employing the exponential model to depict the variance between beta and organic matter content, the divergences between measured and projected data for Tianziling and Jianggou Village landfills are similarly slight, at 1.43% and 4.14%, respectively. Lastly, employing the logarithmic model to capture the distinction between beta and landfill age alongside organic matter content, the deviations between measured and forecast data for Tianziling and Jianggou Village landfills are only 1.72% and 5.63%, respectively.
Author Contributions
Funding
Institutional Review Board Statement
Informed Consent Statement
Data Availability Statement
Acknowledgments
Conflicts of Interest
References
- Kaza, S.; Yao, L.C.; Bhada-Tata, P.; Van, W.F. What a Waste 2.0: A Global Snapshot of Solid Waste Management to 2050; World Bank Publications: Washington, DC, USA, 2018. [Google Scholar]
- Fan, G.; Zhang, Z.; Zhang, J.; Zhang, J.; Wang, Q.; Wang, M.; Wang, B.; Nie, C. Effect of loading rate on shear strength parameters of mechanically and biologically treated waste. Front. Environ. Sci. Eng. 2022, 16, 160. [Google Scholar] [CrossRef]
- Azevedo, B.D.; Scavarda, L.F.; Caiado, R.G.G.; Fuss, M. Improving urban household solid waste management in developing countries based on the German experience. Waste Manag. 2021, 120, 772–783. [Google Scholar] [CrossRef] [PubMed]
- Bhat, R.A.; Nazir, R.; Ashraf, S.; Ali, M.; Bandh, S.A.; Kamili, A.N. Municipal solid waste generation rates and its management at Yusmarg forest ecosystem, a tourist resort in Kashmir. Waste Manag. Res. 2014, 32, 165–169. [Google Scholar] [CrossRef]
- Gupta, N.; Yadav, K.K.; Kumar, V. A review on current status of municipal solid waste management in India. J. Environ. Sci. 2015, 37, 206–217. [Google Scholar] [CrossRef] [PubMed]
- Kaartinen, T.; Sormunen, K.; Rintala, J. Case study on sampling, processing and characterization of landfilled municipal solid waste in the view of landfill mining. J. Clean. Prod. 2013, 55, 56–66. [Google Scholar] [CrossRef]
- Krook, J.; Svensson, N.; Eklund, M. Landfill mining: A critical review of two decades of research. Waste Manag. 2012, 32, 513–520. [Google Scholar] [CrossRef] [PubMed]
- Kumar, S.; Bhattacharyya, J.K.; Vaidya, A.N.; Chakrabarti, T.; Devotta, S.; Akolkar, A.B. Assessment of the status of municipal solid waste management in metro cities, state capitals, class I cities, and class ii towns in India: An insight. Waste Manag. 2009, 29, 883–895. [Google Scholar] [CrossRef]
- Kumar, S.; Smith, S.R.; Fowler, G.; Velis, C.; Kumar, S.J.; Arya, S.; Rena; Kumar, R.; Cheeseman, C. Challenges and opportunities associated with waste management in India. R. Soc. Open Sci. 2017, 4, 160764. [Google Scholar] [CrossRef]
- Zhu, M.; Fan, X.; Rovetta, A.; He, Q.; Vicentini, F.; Liu, B.; Giusti, A.; Liu, Y. Municipal solid waste management in Pudong New Area, China. Waste Manag. 2009, 29, 1227–1233. [Google Scholar]
- Mushatq, B.; Raina, R.; Yaseen, T. Variations in the physico-chemical properties of Dal Lake, Srinagar, Kashmir. Afr. J. Environ. Sci. Technol. 2013, 7, 624–633. [Google Scholar]
- Parveen, N.; Singh, D.V.; Azam, R. Innovations in recycling for sustainable management of solid wastes. In Innovative Waste Management Technologies for Sustainable Development; IGI Global: Hershey, PA, USA, 2020; pp. 177–210. [Google Scholar]
- Zhang, Z.; Pan, X.; Fang, Y.; Wang, Y.; Zhang, Y.; Xu, H. Laboratory study on the hydraulic characteristics of mechanically and biologically treated waste in China. Waste Manag. 2020, 102, 686–697. [Google Scholar] [CrossRef]
- Zhang, Z.; Wang, Y.; Xu, H.; Fang, Y.; Wu, D. Influence of effective stress and dry density on the permeability of municipal solid waste. Waste Manag. Res. 2018, 36, 471–480. [Google Scholar] [CrossRef]
- Zhang, Z.; Zhang, Y.; Wu, D. Hybrid model for the prediction of municipal solid waste generation in Hangzhou, China. Waste Manag. Res. 2019, 37, 781–792. [Google Scholar] [CrossRef] [PubMed]
- Bhat, R.A.; Singh, D.V.; Qadri, H.; Dar, G.H.; Dervash, M.A.; Bhat, S.A.; Unal, B.T.; Ozturk, M.; Hakeem, K.R.; Yousaf, B. Vulnerability of municipal solid waste: An emerging threat to aquatic ecosystems. Chemosphere 2022, 287, 132223. [Google Scholar] [CrossRef] [PubMed]
- Jain, P.; Townsend, T.G.; Johnson, P. Case study of landfill reclamation at a Florida landfill site. Waste Manag. 2013, 33, 109–116. [Google Scholar] [CrossRef] [PubMed]
- Mönkäre, T.J.; Palmroth, M.R.; Rintala, J.A. Characterization of fine fraction mined from two Finnish landfills. Waste Manag. 2016, 47, 34–39. [Google Scholar] [CrossRef]
- Aryal, J.; Tamrakar, A.S. Domestic organic waste composting in Madhyapur Thimi, Bhaktapur. Nepal J. Sci. Technol. 2013, 14, 129–136. [Google Scholar] [CrossRef]
- Kumar, A.; Samadder, S.R. Performance evaluation of anaerobic digestion technology for energy recovery from organic fraction of municipal solid waste: A review. Energy 2020, 197, 117253. [Google Scholar] [CrossRef]
- Shao, Z.H.; He, P.J.; Zhang, D.Q.; Shao, L.M. Characterization of water-extractable organic matter during the biostabilization of municipal solid waste. J. Hazard. Mater. 2009, 164, 1191–1197. [Google Scholar] [CrossRef] [PubMed]
- Cesaro, A.; Conte, A.; Belgiorno, V.; Siciliano, A.; Guida, M. The evolution of compost stability and maturity during the full-scale treatment of the organic fraction of municipal solid waste. J. Environ. Manag. 2019, 232, 264–270. [Google Scholar] [CrossRef]
- Tremier, A.; De Guardia, A.; Massiani, C.; Paul, E.; Martel, J.L. A respirometric method for characterising the organic composition and biodegradation kinetics and the temperature influence on the biodegradation kinetics, for a mixture of sludge and bulking agent to be co-composted. Bioresour. Technol. 2005, 96, 169–180. [Google Scholar] [CrossRef]
- Chen, X.Q.; Shang, J.; Song, H.F. Comparison of several determination methods of cellulose/hemicellulose and lignin in straw. In Proceedings of the Annual Academic Conference of the Chinese Society of Agricultural Engineering, Chongqing, China, 22 October 2011. (In Chinese). [Google Scholar]
- Zhang, H.M.; Zheng, H.P.; Chen, J.W. Determination of the content of lignocellulose raw materials by NREL method. Chin. J. Anal. Lab. 2010, 29, 15–18. (In Chinese) [Google Scholar]
- Huang, D.H. Determination of cellulose content by high-pressure hydrolysis method. J. Ningde Norm. Univ. Nat. Sci. 1995, 17, 70–72. (In Chinese) [Google Scholar]
- Wang, Y.W.; Xu, W.Y. Procedures for quantitative analysis of hemicellulose, cellulose and lignin in lignocellulose solid substrate fermentation products. Microbiol. Bull. 1987, 2, 81–84. [Google Scholar]
- Hu, W.R.; Fan, L.; Xie, L.X. Changes in lignin deposition in cotton fibers at different developmental stages. Xinjiang Agric. Sci. 2016, 53, 467–472. (In Chinese) [Google Scholar]
- Rowland, A.P.; Roberts, J.D. Lignin and cellulose fractionation in decomposition studies using acid-detergent fibre methods. Commun. Soil Sci. Plant Anal. 1994, 25, 269–277. [Google Scholar] [CrossRef]
- Kong, L.F.; Hou, Y.; Pan, C.X. Determination of cellulose content in tobacco by potassium dichromate oxidation continuous flow method. Acta Agric. Univ. Jiangxi 2018, 30, 71–74. (In Chinese) [Google Scholar]
- Wang, L.F.; Cheng, Y.C. Determination of cellulose content using nitrate ethanol method. Chem. Res. 2011, 22, 52–55. (In Chinese) [Google Scholar]
- Fu, L.; McCallum, S.A.; Miao, J.; Hart, C.; Tudryn, G.J.; Zhang, F.; Linhardt, R.J. Rapid and accurate determination of the lignin content of lignocellulosic biomass by solid-state NMR. Fuel 2015, 141, 39–45. [Google Scholar] [CrossRef] [PubMed]
- Tang, J.; Hai, W.Y.; Qiu, Z.P. Optimization of determination method for lignin content in municipal solid waste. J. Anhui Agric. Sci. 2010, 38, 15206–15207. (In Chinese) [Google Scholar]
- Liu, Y.G.; Ran, Y.J.; Gao, M.Z. Determination of cellulose and lignin content in mulberry leaves. Feed Res. 2019, 42, 58–60. (In Chinese) [Google Scholar]
- Berkun, M.; Aras, E.; Nemlioglu, S. Disposal of solid waste in Istanbul and along the Black Sea coast of Turkey. Waste Manag. 2005, 25, 847–855. [Google Scholar] [CrossRef] [PubMed]
- Logan, M.; Visvanathan, C. Management strategies for anaerobic digestate of organic fraction of municipal solid waste: Current status and future prospects. Waste Manag. Res. 2019, 37, 27–39. [Google Scholar] [CrossRef] [PubMed]
- Qu, X.; He, J.J.; Shao, L.M. Preliminary degradation patterns of biomass components in waste under bioreactor landfill conditions. J. Environ. Sci. 2005, 9, 1219–1225. (In Chinese) [Google Scholar]
- Barlaz, M.A. Forest products decomposition in municipal solid waste landfills. Waste Manag. 2006, 26, 321–333. [Google Scholar] [CrossRef] [PubMed]
- Sun, X.L.; Kong, X.J.; Zou, D.G. Study on the degradation law of degradable organic compounds in municipal solid waste. J. Saf. Environ. 2010, 10, 46–49. (In Chinese) [Google Scholar]
- Ham, R.K.; Norman, M.R.; Fritschel, P.R. Chemical characterization of fresh kills landfill refuse and extracts. J. Environ. Eng. 1993, 119, 1176–1195. [Google Scholar] [CrossRef]
- Hossain, M.S.; Gabr, M.A.; Barlaz, M.A. Relationship of compressibility parameters to municipal solid waste decomposition. J. Geotech. Geoenviron. Eng. 2003, 129, 1151–1158. [Google Scholar] [CrossRef]
- Kim, H. Comparative Studies of Aerobic and Anaerobic Landfills Using Simulated Landfill Lysimeters. Ph.D. Thesis, University of Florida, Gainesville, FL, USA, 2005. [Google Scholar]
- Sluiter, A.D.; Hames, B.; Ruiz, R.; Scarlata, C.; Sluiter, J.; Templeton, D.; Crocker, D.P. Determination of Structural Carbohydrates and Lignin in Biomass; National Renewable Energy Laboratory: Golden, CO, USA, 2008; Volume 1617, pp. 1–16. [Google Scholar]
- Wuhan Institute of Geotechnical Mechanics. CJJ/T 204-2013 Technical Specification for Soil Testing of Solid Waste; China Construction Industry Press: Beijing, China, 2014. (In Chinese) [Google Scholar]
- Liu, H.L.; Zhou, J.W.; Chen, Y.M. Stability assessment of municipal solid waste landfills. J. Zhejiang Univ. Eng. Sci. 2016, 50, 2336–2342. (In Chinese) [Google Scholar]
- Qin, R. Study on the Structure and Priority Flow Infiltration Characteristics of Waste at Different Aging Stages. Master’s Dissertation, Zhejiang University, Hangzhou, China, 2019. (In Chinese). [Google Scholar]
- Chen, Y.; Liu, X.; Xu, W.; Li, Y.; Lan, J.; Zhan, L.-T.; Li, H.; Li, C. Analysis on stabilization characteristics and exploitability of landfilled municipal solid waste: Case of a typical landfill in China. Sci. Sin. Technol. 2019, 49, 199–211. [Google Scholar] [CrossRef]







| Test Serial Number | Test Number | Age (Years) | Landfill Depth (m) |
|---|---|---|---|
| 1 | Tianziling Fresh Waste | 0 | 0.00 |
| 2 | Tianziling 0.25–0.5 | 1 | 0.25–0.5 |
| 3 | Tianziling 1.75–2 | 2 | 1.75–2 |
| 4 | Tianziling 6.25–6.5 | 3 | 6.25–6.5 |
| 5 | Tianziling 6.75–7 | 4 | 6.75–7 |
| 6 | Tianziling 11.75–12 | 5 | 11.75–12 |
| 7 | Tianziling 16.25–16.5 | 6 | 16.25–16.5 |
| 8 | Tianziling 16.75–17 | 7 | 16.75–17 |
| 9 | Tianziling 20.75–21 | 8 | 20.75–21 |
| 10 | Tianziling 23.25–23.5 | 9 | 23.25–23.5 |
| 11 | Tianziling 27.25–27.5 | 10 | 27.25–27.5 |
| 12 | Tianziling 28.75–29 | 11 | 28.75–29 |
| 13 | Tianziling 31.75–32 | 12 | 31.75–32 |
| 14 | Tianziling 33.25–33.5 | 13 | 33.25–33.5 |
| 15 | Tianziling 37.25–37.5 | 14 | 37.25–37.5 |
| 16 | Tianziling 42.25–42.5 | 15 | 42.25–42.5 |
| 17 | Tianziling 43.25–43.5 | 16 | 43.25–43.5 |
| 18 | Tianziling 46.75–47 | 17 | 46.75–47 |
| 19 | Tianziling 48.25–48.5 | 18 | 48.25–48.5 |
| 20 | Tianziling 50.25–50.5 | 19 | 50.25–50.5 |
| 21 | Tianziling 51.75–52 | 20 | 51.75–52 |
| 22 | Xi’an Fresh Waste | 0 | 0.00 |
| 23 | Xi’an ZK1-7-5 | 1 | 8.00 |
| 24 | Xi’an ZK1-7-9 | 2 | 14.00 |
| 25 | Xi’an ZK1-7-15 | 3 | 22.00 |
| 26 | Xi’an ZK1-7-17 | 4 | 24.00 |
| 27 | Xi’an ZK1-7-23 | 5 | 27.00 |
| 28 | Xi’an ZK1-7-30 | 6 | 36.00 |
| 29 | Xi’an ZK1-7-37 | 7 | 47.00 |
| 30 | Xi’an ZK1-7-39 | 8 | 51.00 |
| 31 | Xi’an ZK1-7-44 | 9 | 54.00 |
| 32 | Xi’an ZK1-7-44-1 | 10 | 58.00 |
| 33 | Xi’an ZK1-7-45 | 11 | 61.00 |
| 34 | Xi’an ZK1-7-47 | 12 | 63.00 |
| 35 | Xi’an ZK1-7-49 | 13 | 67.00 |
| 36 | Xi’an ZK1-7-50 | 14 | 68.00 |
| 37 | Xi’an ZK1-7-51 | 15 | 71.00 |
| 38 | Xi’an ZK1-7-52 | 16 | 73.00 |
| 39 | Xi’an ZK1-7-53 | 17 | 74.00 |
| 40 | Xi’an ZK1-7-54 | 18 | 76.00 |
| 41 | Xi’an ZK1-7-56 | 19 | 78.00 |
| 42 | Xi’an ZK1-7-57 | 20 | 81.00 |
| Location | a | b | c | Average Degree of Deviation |
|---|---|---|---|---|
| Tianziling Landfill | 0.18 | 0.72 | 4.05 | 4.80% |
| Jiangcungou Landfill | 0.12 | 0.58 | 4.41 | 5.08% |
| Location | f | g | h | i | Average Degree of Deviation |
|---|---|---|---|---|---|
| Tianziling Landfill | 0.23 | 1.98 | −0.15 | 1.76 | 10.63% |
| Jiangcungou Landfill | 0.21 | 0.72 | −0.35 | 2.81 | 9.81% |
| Location | k | Average Degree of Deviation |
|---|---|---|
| Tianziling landfill | −0.235 | 1.71% |
| Jiangcungou Landfill | −0.405 | 2.67%. |
| Location | Average Degree of Deviation | |||
|---|---|---|---|---|
| Tianziling Landfill | 0.025 | 0.988 | 3.878 | 1.39% |
| Jiangcungou Landfill | 0.269 | 1.220 | 1.992 | 4.14% |
| Location | m | n | Average Degree of Deviation |
|---|---|---|---|
| Tianziling Landfill | 0.01 | 0.06 | 1.72% |
| Jiangcungou Landfill | 0.02 | 0.21 | 5.63% |
Disclaimer/Publisher’s Note: The statements, opinions and data contained in all publications are solely those of the individual author(s) and contributor(s) and not of MDPI and/or the editor(s). MDPI and/or the editor(s) disclaim responsibility for any injury to people or property resulting from any ideas, methods, instructions or products referred to in the content. |
© 2025 by the authors. Licensee MDPI, Basel, Switzerland. This article is an open access article distributed under the terms and conditions of the Creative Commons Attribution (CC BY) license (https://creativecommons.org/licenses/by/4.0/).
Share and Cite
Wang, C.; Zhang, Z.; Ma, Z.; Zhang, Y.; Zhu, H.; Lu, B.; Chen, W. Degradation and Stabilization Degree of Municipal Solid Waste: The Case of Two Landfills in China. Sustainability 2025, 17, 307. https://doi.org/10.3390/su17010307
Wang C, Zhang Z, Ma Z, Zhang Y, Zhu H, Lu B, Chen W. Degradation and Stabilization Degree of Municipal Solid Waste: The Case of Two Landfills in China. Sustainability. 2025; 17(1):307. https://doi.org/10.3390/su17010307
Chicago/Turabian StyleWang, Chenghao, Zhenying Zhang, Zheheng Ma, Youwen Zhang, Hui Zhu, Bingke Lu, and Wenjie Chen. 2025. "Degradation and Stabilization Degree of Municipal Solid Waste: The Case of Two Landfills in China" Sustainability 17, no. 1: 307. https://doi.org/10.3390/su17010307
APA StyleWang, C., Zhang, Z., Ma, Z., Zhang, Y., Zhu, H., Lu, B., & Chen, W. (2025). Degradation and Stabilization Degree of Municipal Solid Waste: The Case of Two Landfills in China. Sustainability, 17(1), 307. https://doi.org/10.3390/su17010307

