Urban Ecological Quality Assessment Based on Google Earth Engine and Driving Factors Analysis: A Case Study of Wuhan City, China
Abstract
1. Introduction
2. Materials and Methods
2.1. Study Area
2.2. Data
2.3. Methods
2.3.1. Remote Sensing Ecological Index (RSEI)
- NDVI
- 2.
- WET
- 3.
- LST
- 4.
- NDBSI
- 5.
- Construction of the RSEI
2.3.2. Optimal Parameter-Based Geographical Detector
- Spatial Scale Optimization
- 2.
- Geographical Detector Model
3. Results
3.1. Factor Index Principal Component Analysis (PCA)
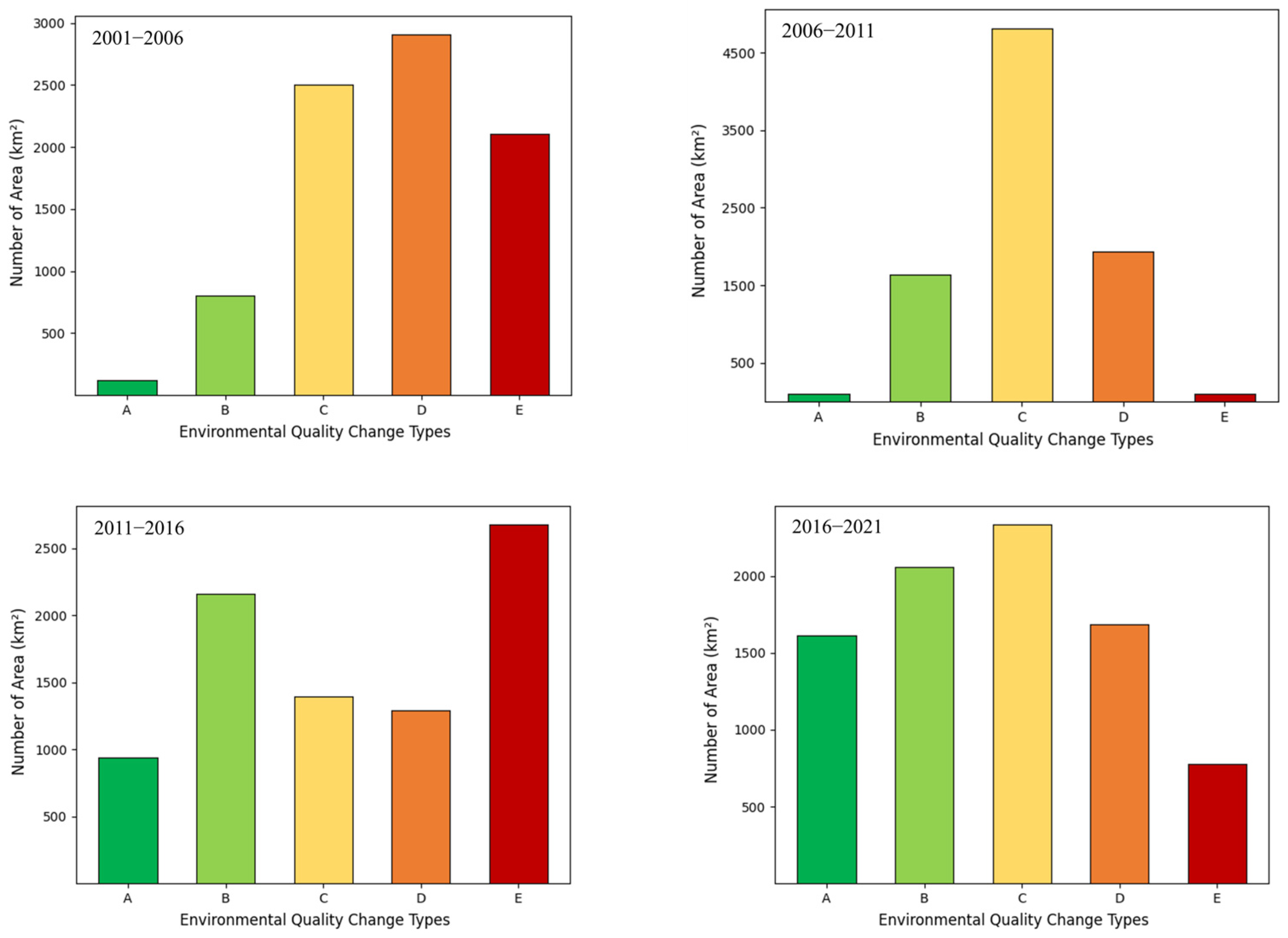
3.2. Spatiotemporal Distribution of EQ in Wuhan
3.3. Spatiotemporal Analysis of EQ Differences
3.4. Analysis of Driving Factors Affecting EQ in Wuhan
3.4.1. Identification of Optimal Spatial Scale
3.4.2. Analysis of Differentiation Factor Detection Results
3.4.3. Analysis of the Results from the Detection of Factor Interactions
3.4.4. Analysis of the Causative Factors of Natural Elements
4. Discussion
4.1. The Advantages of the GEE Platform for Constructing the RSEI Model
4.2. Temporal Changes of EQ and Causal Analysis
4.3. Spatial Patterns of EQ and Causal Analysis
4.4. Analysis of Influencing Factors and Recommendations
5. Conclusions
- (1)
- Trend of EQ: Between 2001 and 2021, Wuhan City experienced an initial decline followed by a subsequent increase in EQ. This trend is closely associated with the city’s rapid economic development, reduction in vegetation due to human activities, shrinkage of lake areas, and urban expansion. This finding underscores the importance of implementing effective environmental governance measures while pursuing economic growth. It also highlights the need for a balanced approach to urban development that prioritizes ecological sustainability alongside economic progress.
- (2)
- Spatial Distribution Differences: There is a significant difference in the ecological conditions between the core urban areas and the peripheral regions, which is related to the economic development level and strategic positioning of each district. Adjusting industrial layout and promoting industrial upgrading can provide new impetus for improving the urban ecology. This finding suggests that a spatially differentiated approach to ecological management, which takes into account the unique characteristics and challenges of different urban areas, may be more effective than a one-size-fits-all strategy.
- (3)
- Analysis of Driving Forces: Through the analysis of nine driving factors, it was found that greenness and dryness have the most significant impact on the EQ, while the effects of slope and aspect are relatively minor. This insight provides guidance for urban planning and ecological restoration, emphasizing the importance of maintaining and enhancing vegetation cover and managing built-up areas to improve urban ecological quality. Moreover, the significant influence of socio-economic factors, such as population density and GDP, highlights the need for an integrated approach that addresses the complex interplay between the environmental, social, and economic dimensions of urban sustainability.
- (4)
- Areas of Focus: The EQ along the Yangtze and Han riversides and in the city center remains a concern. Urban planning and development strategies need to place greater emphasis on ecological protection to achieve harmonious coexistence between humans and nature. This finding underscores the importance of prioritizing the conservation and restoration of critical ecological assets, such as rivers, lakes, and wetlands, in urban development plans. It also calls for a more proactive and integrated approach to urban ecological management, which involves not only technical solutions but also policy and institutional reforms to promote sustainable land use and environmental stewardship.
- (5)
- Methodological Contributions: This study demonstrates the effectiveness of the RSEI model and the geographical detector method for assessing and analyzing urban ecological quality. The integration of multi-source remote sensing data and socio-economic data within the GEE platform enables a comprehensive and efficient assessment of the spatiotemporal patterns and driving factors of urban EQ. This approach offers a promising tool for monitoring and evaluating urban ecological conditions, which can inform evidence-based decision-making for sustainable urban management. The methodology developed in this study can be applied to other cities and regions, providing a valuable reference for comparative studies and global assessments of urban ecological quality.
- (6)
- Implications for Sustainable Urban Development: The findings of this study have important implications for sustainable urban development in Wuhan and beyond. They highlight the need for a multi-dimensional and integrative approach to urban ecological management, which takes into account the complex interactions between environmental, social, and economic factors. By adopting a more holistic and adaptive approach, cities can strive to achieve a balance between human well-being and ecological sustainability and contribute to the global goals of sustainable development. This requires not only technical solutions, such as ecological restoration and green infrastructure but also policy and institutional reforms, such as strengthening environmental regulations, promoting public participation, and fostering cross-sectoral collaboration.
Author Contributions
Funding
Institutional Review Board Statement
Informed Consent Statement
Data Availability Statement
Acknowledgments
Conflicts of Interest
Appendix A
| Year | Parameter | PC1 | PC2 | PC3 | PC4 |
| 2001 | NDVI | 0.323 | 0.665 | −0.269 | −0.616 |
| WET | 0.689 | −0.133 | −0.680 | −0.207 | |
| LTS | −0.586 | 0.189 | 0.678 | −0.399 | |
| NDBSI | −0.275 | −0.709 | 0.056 | 0.646 | |
| Eigenvalue | 0.178 | 0.102 | 0.026 | 0.003 | |
| Contribution Rate/% | 58 | 33 | 8 | 1 | |
| 2006 | NDVI | 0.327 | 0.712 | 0.161 | 0.598 |
| WET | 0.688 | 0.098 | 0.642 | 0.321 | |
| LTS | −0.515 | 0.060 | 0.748 | 0.412 | |
| NDBSI | −0.391 | −0.691 | −0.008 | −0.607 | |
| Eigenvalue | 0.154 | 0.118 | 0.020 | 0.003 | |
| Contribution Rate/% | 53 | 40 | 6 | 1 | |
| 2011 | NDVI | 0.306 | −0.692 | 0.222 | 0.613 |
| WET | 0.704 | 0.116 | 0.655 | 0.247 | |
| LTS | −0.563 | 0.148 | 0.720 | −0.374 | |
| NDBSI | −0.303 | −0.695 | 0.043 | −0.649 | |
| Eigenvalue | 0.153 | 0.116 | 0.021 | 0.003 | |
| Contribution Rate/% | 52 | 39 | 8 | 1 | |
| 2016 | NDVI | 0.361 | 0.468 | −0.485 | −0.644 |
| WET | 0.532 | 0.678 | 478 | −0.165 | |
| LTS | −0.668 | −0.028 | 0.719 | −0.188 | |
| NDBSI | −0.373 | 0.565 | −135 | 722 | |
| Eigenvalue | 0.120 | 0.019 | 0.008 | 0.002 | |
| Contribution Rate/% | 80 | 13 | 6 | 1 | |
| 2021 | NDVI | 0.370 | 0.472 | −0.453 | −0.658 |
| WET | 0.537 | 0.691 | 0.464 | −0.126 | |
| LTS | −0.641 | −0.033 | 0.745 | −0.176 | |
| NDBSI | −0.401 | 0.544 | −0.150 | 0.720 | |
| Eigenvalue | 0.125 | 0.019 | 0.011 | 0.002 | |
| Contribution Rate/% | 80 | 12 | 7 | 1 |
References
- Xie, H.L.; Zhang, Y.W.; Choi, Y.; Li, F.Q. A scientometrics review on land ecosystem service research. Sustainability 2020, 12, 2959. [Google Scholar] [CrossRef]
- Grimm, N.B.; Faeth, S.H.; Golubiewski, N.E.; Redman, C.L.; Wu, J.; Bai, X.; Briggs, J.M. Global change and the ecology of cities. Science 2008, 319, 756–760. [Google Scholar] [CrossRef]
- Seto, K.C.; Güneralp, B.; Hutyra, L.R. Global forecasts of urban expansion to 2030 and direct impacts on biodiversity and carbon pools. Proc. Natl. Acad. Sci. USA 2012, 109, 16083–16088. [Google Scholar] [CrossRef]
- Erlwein, A. Exploring Ecosystems Health: Effects of Increments of Biodiversity and Trophic Complexity on the Stability of a Simple Gaian Ecosystem Model. Agro. Sur. 2022, 50, 192–204. [Google Scholar] [CrossRef]
- Gong, P.; Li, X.; Zhang, W. 40-Year (1978–2017) human settlement changes in China reflected by impervious surfaces from satellite remote sensing. Sci. Bull. 2019, 64, 756–763. [Google Scholar] [CrossRef] [PubMed]
- Lopez, R. Urban sprawl and risk for being overweight or obese. Am. J. Public Health 2004, 94, 1574–1579. [Google Scholar] [CrossRef]
- European Environment Agency. Urban Sprawl in Europe—The Ignored Challenge; EEA Report No. 10/2006; European Environment Agency: Copenhagen, Denmark, 2006. [Google Scholar]
- United Nations. World Urbanization Prospects: The 2018 Revision; United Nations: New York, NY, USA, 2019. [Google Scholar]
- Hao, L.; Sun, G.; Liu, Y.; Wan, J.; Qin, M.; Qian, H.; Liu, C.; Zheng, J.; John, R.; Fan, P.; et al. Urbanization dramatically altered the water balances of a paddy field-dominated basin in southern China. Hydrol. Earth Syst. Sci. 2015, 19, 3319–3331. [Google Scholar] [CrossRef]
- Angel, S.; Parent, J.; Civco, D.L.; Blei, A.; Potere, D. The dimensions of global urban expansion: Estimates and projections for all countries, 2000–2050. Prog. Plann. 2011, 75, 53–107. [Google Scholar] [CrossRef]
- Long, H. Analysis of the Key Factors of Ecological Environment Protection in the National Economic Sustainable Development Goals. J. Environ. Public Health 2022, 2022, 3593587. [Google Scholar] [CrossRef]
- Blasi, S.; Ganzaroli, A.; De Noni, I. Smartening sustainable development in cities: Strengthening the theoretical linkage between smart cities and SDGs. Sustain. Cities Soc. 2022, 80, 103793. [Google Scholar] [CrossRef]
- Dickens, C.; McCartney, M.; Tickner, D.; Harrison, I.J.; Pacheco, P.; Ndhlovu, B. Evaluating the global state of ecosystems and natural resources: Within and beyond the SDGs. Sustainability 2020, 12, 7381. [Google Scholar] [CrossRef]
- Haas, J.; Ban, Y. Urban growth and environmental impacts in Jing-Jin-Ji, the Yangtze, River Delta and the Pearl River Delta. Int. J. Appl. Earth Obs. Geoinf. 2014, 30, 42–55. [Google Scholar] [CrossRef]
- Sopandi, A.S.; Gustian, D.; Sembiring, F.; Muslih, M.; Arianti, N.D.; Setiawatif, A.; Kurniawan. Sistem pendukung keputusan penerima bantuan sosial tunai dengan metode technique for order preference by similarity to ideal solution. J. Rekayasa Nusa Putra 2022, 8, 268. [Google Scholar]
- Lillesand, T.; Kiefer, R.W.; Chipman, J. Remote Sensing and Image Interpretation; John Wiley & Sons: Hoboken, NJ, USA, 2015. [Google Scholar]
- Jensen, J.R. Remote Sensing of the Environment: An Earth Resource Perspective; Pearson Prentice Hall: Upper Saddle River, NJ, USA, 2007. [Google Scholar]
- Weng, Q. Remote sensing of impervious surfaces in the urban areas: Requirements, methods, and trends. Remote Sens. Environ. 2012, 117, 34–49. [Google Scholar] [CrossRef]
- Rimal, B.; Baral, H.; Stork, N.E.; Paudyal, K.; Rijal, S. Growing city and rapid land use transition: Assessing multiple hazards in the Kathmandu Valley, Nepal. Land 2018, 7, 10. [Google Scholar]
- Estoque, R.C.; Murayama, Y. Monitoring surface urban heat island formation in a tropical mountain city using Landsat data (1987–2015). ISPRS J. Photogramm. Remote Sens. 2017, 133, 18–29. [Google Scholar] [CrossRef]
- Ranagalage, M.; Estoque, R.C.; Murayama, Y. An urban heat island study of the Colombo metropolitan area, Sri Lanka, based on Landsat data (1997–2017). ISPRS Int. J. Geo-Inf. 2017, 6, 189. [Google Scholar] [CrossRef]
- Du, S.; Xiong, Z.; Wang, Y.C.; Guo, L. Quantifying the multilevel effects of landscape composition and configuration on land surface temperature. Remote Sens. Environ. 2016, 178, 84–92. [Google Scholar] [CrossRef]
- Turner, M.G.; Gardner, R.H. Landscape Ecology in Theory and Practice; Springer: New York, NY, USA, 2015. [Google Scholar]
- Xu, H.Q. A remote sensing urban ecological index and its application. Acta Ecol. Sin. 2013, 33, 7853–7862. [Google Scholar]
- Li, X.; Meng, Q.; Gu, X.; Jancso, T.; Yu, T.; Wang, K.; Mavromatis, S. A hybrid method combining pixel-based and object-oriented methods and its application in Hungary using Chinese HJ-1 satellite images. Int. J. Remote Sens. 2013, 34, 4655–4668. [Google Scholar] [CrossRef]
- Gu, H.; Singh, A.; Townsend, P.A. Detection of gradients of forest composition in an urban area using imaging spectroscopy. Remote Sens. Environ. 2015, 167, 168–180. [Google Scholar] [CrossRef]
- Zhao, S.; Zhu, W.; Shen, W.; Zhang, J.; He, B.; Li, Q. Gauging the ecological and environmental influences of the guangdong-hong kong-macao greater bay area on the pearl river estuary using the remote sensing ecological index. Water 2021, 13, 2256. [Google Scholar]
- Zhou, M. Evaluation of ecological environment quality of Dongjiang River headwaters based on remote sensing ecological index during 2000–2019. Bull Soil Water Conserv. 2021, 4, 231. [Google Scholar]
- Paudel, B.; Andersen, P. Monitoring ecological conditions at multiple scales using the Remote Sensing Ecological Index (RSEI) in the Middle Hills of Western Nepal. Remote Sens. 2020, 12, 1543. [Google Scholar]
- Gorelick, N.; Hancher, M.; Dixon, M.; Ilyushchenko, S.; Thau, D.; Moore, R. Google Earth Engine: Planetary-scale geospatial analysis for everyone. Remote Sens. Environ. 2017, 202, 18–27. [Google Scholar] [CrossRef]
- Zhou, J.; Menenti, M.; Jia, L.; Gao, B.; Zhao, F.; Cui, Y.; Xiong, X.; Liu, X.; Li, D. A scalable software package for time series reconstruction of remote sensing datasets on the Google Earth Engine platform. Int. J. Digit. Earth 2023, 16, 988–1007. [Google Scholar] [CrossRef]
- de Raus Maure, E.; Ilyushchenko, S.; Terauchi, G. A Simple Procedure to Preprocess and Ingest Level-2 Ocean Color Data into Google Earth Engine. Remote Sens. 2022, 14, 4906. [Google Scholar] [CrossRef]
- Habibie, M.I. The application of machine learning using google earth engine for remote sensing analysis. J. Teknoinfo 2022, 16, 1872. [Google Scholar] [CrossRef]
- Zhai, H.M.; Xie, W.Q.; Li, S.Q.; Zhang, Q. Evaluation of urban ecological environment based on remote sensing based ecological index model. Fresen. Environ. Bull. 2021, 30, 2527–2535. [Google Scholar]
- Wang, J.F.; Xu, C.D. Geodetector: Principle and prospective. Acta Geogr. Sinica. 2017, 72, 116–134. [Google Scholar]
- Wang, J.F.; Zhang, T.L.; Fu, B.J. A measure of spatial stratified heterogeneity. Ecol. Indic. 2016, 67, 250–256. [Google Scholar] [CrossRef]
- Ma, J.; Chen, F.; Liu, Y.; Xu, Y.; Chen, K.; Liu, M. The analysis of global ecological regionalization factors based on geographical detector models. Sci. Rep. 2020, 10, 16443. [Google Scholar]
- Song, Y.Z.; Wang, J.F.; Ge, Y.; Xu, C.D. An optimal parameters-based geographical detector model enhances geographic characteristics of explanatory variables for spatial heterogeneity analysis: Cases with different types of spatial data. GISci. Remote Sens. 2020, 57, 593–610. [Google Scholar] [CrossRef]
- Meng, X.; Gao, X.; Lei, J.; Li, S. Development of a multiscale discretization method for the geographical detector model. Int. J. Geogr. Inf. Sci. 2021, 35, 1650–1675. [Google Scholar] [CrossRef]
- Zheng, S.; Tang, Y.; Chan, F.K.S.; Cao, L.Y.; Song, R.X. The demographic implication for promoting sponge city initiatives in the Chinese megacities: A case of Wuhan. Water 2022, 14, 883. [Google Scholar] [CrossRef]
- Xu, L.; Zhang, Z.; Tan, G.M.; Zhou, J.; Wang, Y. Analysis on the Evolution and Resilience of Ecological Network Structure in Wuhan Metropolitan Area. Sustainability 2022, 14, 8580. [Google Scholar] [CrossRef]
- Ehrlich, D.; Freire, S.; Melchiorri, M.; Kemper, T. Open and Consistent Geospatial Data on Population Density, Built-Up and Settlements to Analyse Human Presence, Societal Impact and Sustainability: A Review of GHSL Applications. Sustainability 2021, 13, 7851. [Google Scholar] [CrossRef]
- Yang, J.; El-Kassaby, Y.; Guan, W. The Effect of Slope Aspect on Vegetation Attributes in a Mountainous Dry Valley, Southwest China. Sci. Rep. 2020, 10, 16465. [Google Scholar] [CrossRef]
- Eisfelder, C.; Asam, S.; Hirner, A.; Reiners, P.; Holzwarth, S.; Bachmann, M.F.; Gessner, U.; Dietz, A.; Huth, J.; Bachofer, F.; et al. Seasonal Vegetation Trends for Europe over 30 Years from a Novel Normalised Difference Vegetation Index (NDVI) Time-Series—The TIMELINE NDVI Product. Remote Sens. 2023, 15, 3616. [Google Scholar] [CrossRef]
- Stoyanov, A. Application of Tasseled Cap Transformation of Sentinel-2—MSI Data for Forest Monitoring and Change Detection on Territory of Natural Park “BLUE STONES”. Environ. Sci. Proc. 2022, 22, 42. [Google Scholar] [CrossRef]
- Han, W.; Duan, S.-B.; Tian, H.; Lian, Y. Estimation of land surface temperature from AMSR2 microwave brightness temperature using machine learning methods. Int. J. Remote Sens. 2023, 1–22. [Google Scholar] [CrossRef]
- Azad, R.; Balzter, H.; Rasul, G.R.F.I.; Hameed, H.M.; Wheeler, J.; Adamu, B.; Ibrahim, S.; Najmaddin, P.M. Applying Built-Up and Bare-Soil Indices from Landsat 8 to Cities in Dry Climates. Land 2018, 7, 81. [Google Scholar] [CrossRef]
- Li, Q.; Yu, F.F.; Mu, X. Evaluation of the Ecological Environment Quality of the Kuye River Source Basin Using the Remote Sensing Ecological Index. Int. J. Environ. Res. Public Health 2022, 19, 12500. [Google Scholar] [CrossRef] [PubMed]
- Jiang, X.; Guo, X.; Wu, Y.; Xu, D.; Liu, Y.; Yang, Y.; Lan, G. Ecological vulnerability assessment based on remote sensing ecological index (RSEI): A case of Zhongxian County, Chongqing. Front. Environ. Sci. 2023, 10, 1074376. [Google Scholar]
- Gong, C.; Wang, S.; Lu, H.; Liu, J. Research Progress on Spatial Differentiation and Influencing Factors of Soil Heavy Metals Based on Geographical Detector. Huan Jing Ke Xue = Huanjing Kexue 2023, 44, 2799–2816. [Google Scholar] [PubMed]
- Xu, T.Q.; Chen, Y.P. Eco-Efficiency Assessment of Wuhan Based on Data Envelopment Analysis Approach. In Proceedings of the 27th Chinese Control and Decision Conference (2015 CCDC), Qingdao, China, 23–25 May 2015. [Google Scholar]
- Xiong, H.; Hu, H.; Han, P.; Wang, M. Integrating Landscape Ecological Risks and Ecosystem Service Values into the Ecological Security Pattern Identification of Wuhan Urban Agglomeration. Int. J. Environ. Res. Public Health 2023, 20, 2792. [Google Scholar] [CrossRef] [PubMed]
- Xie, F.; Liu, S.; Gao, Y.; Zhu, Y.; Wu, K.; Qi, M.; Duan, S.; Tahir, A.M. Derivation of Supraglacial Debris Cover by Machine Learning Algorithms on the GEE Platform: A Case Study of Glaciers in the Hunza Valley. ISPRS Ann. Photogramm. Remote Sens. Spat. Inf. Sci. 2020, V-3, 417–420. [Google Scholar] [CrossRef]
- Papaiordanidis, S.; Gitas, I.Z.; Katagis, T. Soil Erosion Prediction Using the Revised Universal Soil Loss Equation (RUSLE) in Google Earth Engine (GEE) Cloud-Based Platform. Dokuchaev Soil Bull. 2020, 100, 36–52. [Google Scholar] [CrossRef]
- Wang, H.; Hua, L. Dynamic Monitoring of Ecological Environment Quality in Xiamen Based on the GEE Platform. In Proceedings of the Fourth International Conference on Geoscience and Remote Sensing Mapping (GRSM 2022), Changchun, China, 4–6 November 2022. [Google Scholar]
- Wu, S.; Cao, L.; Xu, D.; Zhao, C. Historical Eco-Environmental Quality Mapping in China with Multi-Source Data Fusion. Appl. Sci. 2023, 13, 8051. [Google Scholar] [CrossRef]
- An, M.; Li, W.; Wu, H.; An, H.; Huang, J. The Local Coupling and Telecoupling of Urbanization and Ecological Environment Quality Based on Multisource Remote Sensing Data. J. Environ. Manag. 2022, 327, 116921. [Google Scholar] [CrossRef]
- Xu, H.; Wang, M.; Shi, T.; Guan, H.; Fang, C.; Lin, Z. Prediction of Ecological Effects of Potential Population and Impervious Surface Increases Using a Remote Sensing Based Ecological Index (RSEI). Ecol. Indic. 2018, 93, 730–740. [Google Scholar] [CrossRef]
- Cai, W.; Xu, F. The Impact of the New Environmental Protection Law on Eco-Innovation: Evidence from Green Patent Data of Chinese Listed Companies. Environ. Sci. Pollut. Res. 2021, 29, 10047–10062. [Google Scholar] [CrossRef] [PubMed]
- Hu, S.; Deng, J.; Li, X. Practice of Water Ecological Restoration of Large Urban Eutrophication Lake—A case of study of Donghu Lake, Wuhan. E3S Web Conf. 2023, 394, 01011. [Google Scholar] [CrossRef]
- Wang, K.; Zhou, W.Q.; Li, W. Impacts of population spatio-temporal dynamics on ecosystem quality during fast urbanization in Beijing, China. J. Appl. Ecol. 2016, 27, 2137–2144. [Google Scholar]
- Zhang, Y.Z.; Jiang, Z.Y.; Li, Y.Y.; Yang, Z.G.; Wang, X.H.; Li, X.B. Construction and Optimization of an Urban Ecological Security Pattern Based on Habitat Quality Assessment and the Minimum Cumulative Resistance Model in Shenzhen City, China. Forests 2021, 12, 847. [Google Scholar] [CrossRef]
- Li, J.; Gong, J.; Guldmann, J.-M.; Yang, J. Assessment of Urban Ecological Quality and Spatial Heterogeneity Based on Remote Sensing: A Case Study of the Rapid Urbanization of Wuhan City. Remote Sens. 2021, 13, 4440. [Google Scholar] [CrossRef]
- Huang, M.H.; Chen, J.J. Spatial and Temporal Change Analysis of Urban Heat Island Effect in Wuhan City. ISPRS—Int. Arch. Photogramm. Remote Sens. Spat. Inf. Sci. 2020, XLII-3/W10, 705–712. [Google Scholar] [CrossRef]
- Halbac-Cotoara-Zamfir, R.; Marucci, A.; Salvia, R.; Quaranta, G.; Sateriano, A.; Cecchini, M.; Bianchini, L. Caring of the Fringe? Mediterranean Desertification between Peri-Urban Ecology and Socioeconomics. Sustainability 2022, 14, 1426. [Google Scholar] [CrossRef]
- Zipperer, W.C.; Northrop, R.J.; Andreu, M.G. Urban development and environmental degradation. In Oxford Research Encyclopedia of Environmental Science; Oxford University Press: Oxford, UK, 2020; ISBN 978-0-19-938941-4. [Google Scholar]
- Xie, Q.J.; Han, Y.D.; Zhang, L.M.; Han, Z. Dynamic Evolution of Land Use/Land Cover and Its Socioeconomic Driving Forces in Wuhan, China. Int. J. Environ. Res. Public Health 2023, 20, 3316. [Google Scholar] [CrossRef]
- Zhang, J.L.; Hou, Y.; Dong, Y.F.; Wang, C.; Chen, W.P. Land Use Change Simulation in Rapid Urbanizing Regions: A Case Study of Wuhan Urban Areas. Int. J. Environ. Res. Public Health 2022, 19, 8785. [Google Scholar] [CrossRef]
- Wang, Z.; Zeng, J.; Chen, W. Impact of Urban Expansion on Carbon Storage Under Multi-Scenario Simulations in Wuhan, China. Environ. Sci. Pollut. Res. 2022, 29, 45507–45526. [Google Scholar] [CrossRef] [PubMed]
- Pan, Y.; Gong, J.; Li, J. Assessment of Remote Sensing Ecological Quality by Introducing Water and Air Quality Indicators: A Case Study of Wuhan, China. Land 2022, 11, 2272. [Google Scholar] [CrossRef]
- Zhang, M.; Kafy, A.; Ren, B.; Zhang, Y.; Tan, S.; Li, J. Application of the Optimal Parameter Geographic Detector Model in the Identification of Influencing Factors of Ecological Quality in Guangzhou, China. Land 2022, 11, 1303. [Google Scholar] [CrossRef]
- Yin, H.; Chen, C.N.; Dong, Q.; Zhang, P.; Chen, Q.L.; Zhu, L. Analysis of Spatial Heterogeneity and Influencing Factors of Ecological Environment Quality in China’s North-South Transitional Zone. Int. J. Environ. Res. Public Health 2022, 19, 2236. [Google Scholar] [CrossRef]
- Chen, H.; Liu, Y.; Hu, L.; Zhang, Z.; Chen, Y.; Tan, Y. Constructing a Flood-Adaptive Ecological Security Pattern from the Perspective of Ecological Resilience: A Case Study of the Main Urban Area in Wuhan. Int. J. Environ. Res. Public Health 2022, 20, 385. [Google Scholar] [CrossRef]








| Data Name | Resolution | Data Source | Data Preprocessing |
|---|---|---|---|
| WET | 30 m | Google Earth Engine | Mosaicking, Reclassification |
| NDVI | 30 m | Mosaicking, Reclassification | |
| LST | 30 m | Mosaicking, Reclassification | |
| NDBSI | 30 m | Mosaicking, Reclassification | |
| DEM | 30 m | Geospatial data cloud (www.gscloud.cn) (accessed on 30 September 2023) | Mosaicking, Clipping, Reclassification |
| Slope | 1000 m | Extraction, Clipping | |
| Aspect | 1000 m | Extraction, Clipping | |
| GDP | 1000 m | Geometric correction | |
| Population | 1000 m | CAS Resource and Data Center (www.resdc.cn) (accessed on 30 September 2023) | Clipping, Geometric correction, Reclassification |
| Level Index | Feature Description |
|---|---|
| Worse (0 < RSEI ≤ 0.2) | Low vegetation cover, drought and low rainfall, rock exposure, soil drying, and obvious limitations on human life. |
| Poor (0.2 < RSEI ≤ 0.4) | Relatively low vegetation coverage, dry weather, sparse rainfall, fewer species, are notable factors limiting human habitation. |
| Fair (0.4 < RSEI ≤ 0.6) | Medium coverage, moderate rainfall, suitable for human habitation, and factors limiting human survival. |
| Good (0.6 < RSEI ≤ 0.8) | High vegetation coverage, rich biodiversity, soil rich in organic matter, and favorable climate; suitable for human residence. |
| Better (0.8 < RSEI ≤ 1.0) | High vegetation coverage, rich biodiversity, high organic matter content in the soil, moist and pleasant climate, and ecological stability |
| Interaction Type | Judgment Criteria |
|---|---|
| Non-linear Weakening | |
| Non-linear Attenuation | |
| Bifactor Enhancement | |
| Mutually Independent | |
| Non-linear Enhancement |
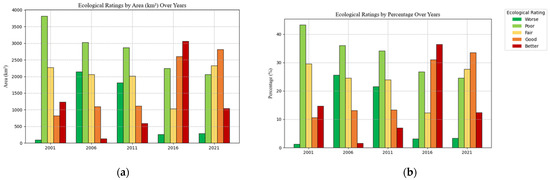
| Ecological Rating | 2001 | 2006 | 2011 | 2016 | 2021 | |||||
|---|---|---|---|---|---|---|---|---|---|---|
| Area /km2 | Area /% | Area /km2 | Area /% | Area /km2 | Area /% | Area /km2 | Area /% | Area /km2 | Area /% | |
| Worse | 93.23 | 1.21 | 2146.92 | 25.58 | 1809.03 | 21.56 | 262.37 | 3.13 | 283.63 | 3.38 |
| Poor | 3815.65 | 43.25 | 3021.72 | 36.01 | 2863.97 | 34.13 | 2240.60 | 26.70 | 2063.85 | 24.59 |
| Fair | 2274.25 | 29.53 | 2056.62 | 24.51 | 2012.68 | 23.98 | 1027.33 | 12.24 | 2324.56 | 27.70 |
| Good | 823.62 | 10.62 | 1099.56 | 13.1 | 1118.14 | 13.32 | 2604.64 | 31.04 | 2813.52 | 33.52 |
| Better | 1235.25 | 14.72 | 134.89 | 1.61 | 588.66 | 7.01 | 3057.07 | 36.43 | 1043.21 | 12.43 |
| Total | 8392.62 | 100.00 | 8392.25 | 100.00 | 8392.48 | 100.00 | 8392.01 | 100.00 | 8392.37 | 100.00 |
| Factor | LST | NDVI | WET | NDBSI | POP | GDP | DEM | PD | PX | The 90th Percentile of q | |
|---|---|---|---|---|---|---|---|---|---|---|---|
| Grid Size | |||||||||||
| 2 km | 0.353 | 0.869 | 0.145 | 0.743 | 0.028 | 0.027 | 0.068 | 0.025 | 0.024 | 0.756 | |
| 3 km | 0.287 | 0.843 | 0.175 | 0.721 | 0.026 | 0.029 | 0.071 | 0.021 | 0.019 | 0.733 | |
| Factor | LST | NDVI | WET | NDBSI | POP | GDP | DEM | PD | PX |
|---|---|---|---|---|---|---|---|---|---|
| q | 0.353 | 0.869 | 0.145 | 0.743 | 0.028 | 0.027 | 0.068 | 0.025 | 0.024 |
| p | 0.000 | 0.000 | 0.000 | 0.000 | 0.000 | 0.000 | 0.000 | 0.015 | 0.017 |
| Ranking | 3 | 1 | 4 | 2 | 6 | 7 | 5 | 8 | 9 |
Disclaimer/Publisher’s Note: The statements, opinions and data contained in all publications are solely those of the individual author(s) and contributor(s) and not of MDPI and/or the editor(s). MDPI and/or the editor(s) disclaim responsibility for any injury to people or property resulting from any ideas, methods, instructions or products referred to in the content. |
© 2024 by the authors. Licensee MDPI, Basel, Switzerland. This article is an open access article distributed under the terms and conditions of the Creative Commons Attribution (CC BY) license (https://creativecommons.org/licenses/by/4.0/).
Share and Cite
Zhang, W.; Zhang, W.; Ji, J.; Chen, C. Urban Ecological Quality Assessment Based on Google Earth Engine and Driving Factors Analysis: A Case Study of Wuhan City, China. Sustainability 2024, 16, 3598. https://doi.org/10.3390/su16093598
Zhang W, Zhang W, Ji J, Chen C. Urban Ecological Quality Assessment Based on Google Earth Engine and Driving Factors Analysis: A Case Study of Wuhan City, China. Sustainability. 2024; 16(9):3598. https://doi.org/10.3390/su16093598
Chicago/Turabian StyleZhang, Weiwei, Wanqian Zhang, Jianwan Ji, and Chao Chen. 2024. "Urban Ecological Quality Assessment Based on Google Earth Engine and Driving Factors Analysis: A Case Study of Wuhan City, China" Sustainability 16, no. 9: 3598. https://doi.org/10.3390/su16093598
APA StyleZhang, W., Zhang, W., Ji, J., & Chen, C. (2024). Urban Ecological Quality Assessment Based on Google Earth Engine and Driving Factors Analysis: A Case Study of Wuhan City, China. Sustainability, 16(9), 3598. https://doi.org/10.3390/su16093598

