The Impact of Artificial Intelligence Development on Urban Energy Efficiency—Based on the Perspective of Smart City Policy
Abstract
1. Introduction
2. Literature Review
3. Theoretical Analysis and Research Hypothesis
3.1. The Impact of AI Development on Urban Energy Efficiency
3.2. The Indirect Effects of AI Development on Urban Energy Efficiency
3.2.1. Green Technology Innovation
3.2.2. Digital Economy
3.3. Heterogeneity in the Impact of AI Development on Urban Energy Efficiency
3.3.1. Analysis of Regional Heterogeneity
3.3.2. Heterogeneity Analysis of Human Capital Level
3.3.3. Heterogeneity Analysis of Financial Independence
3.3.4. Heterogeneity Analysis of Government Intervention
4. Research Model and Variable Interpretation
4.1. Empirical Model Setting
4.2. Variable Selection and Data Sources
4.2.1. Explained Variable: Urban Energy Efficiency
4.2.2. Core Explanatory Variable: AI
4.2.3. Control Variables
4.2.4. Mechanism Variables
4.2.5. Descriptive Statistics
5. Empirical Analysis
5.1. Baseline Regression
5.2. Robustness Check
5.2.1. Substitution of the Explained Variable
5.2.2. Substitution of the Explanatory Variable
5.2.3. Lagged One-Period Regression Processing
5.2.4. Shrinkage Treatment
5.3. Heterogeneity Analysis
5.3.1. Analysis of Regional Heterogeneity
5.3.2. Analysis of Human Capital Heterogeneity
5.3.3. Analysis of Financial Independence Heterogeneity
5.3.4. Analysis of Government Intervention Heterogeneity
5.4. Analysis of Impact Mechanisms
5.4.1. Green Technology Innovation
5.4.2. Digital Economy
6. Further Research: Smart City Policy
6.1. Model Design
6.2. Baseline Regression Analysis
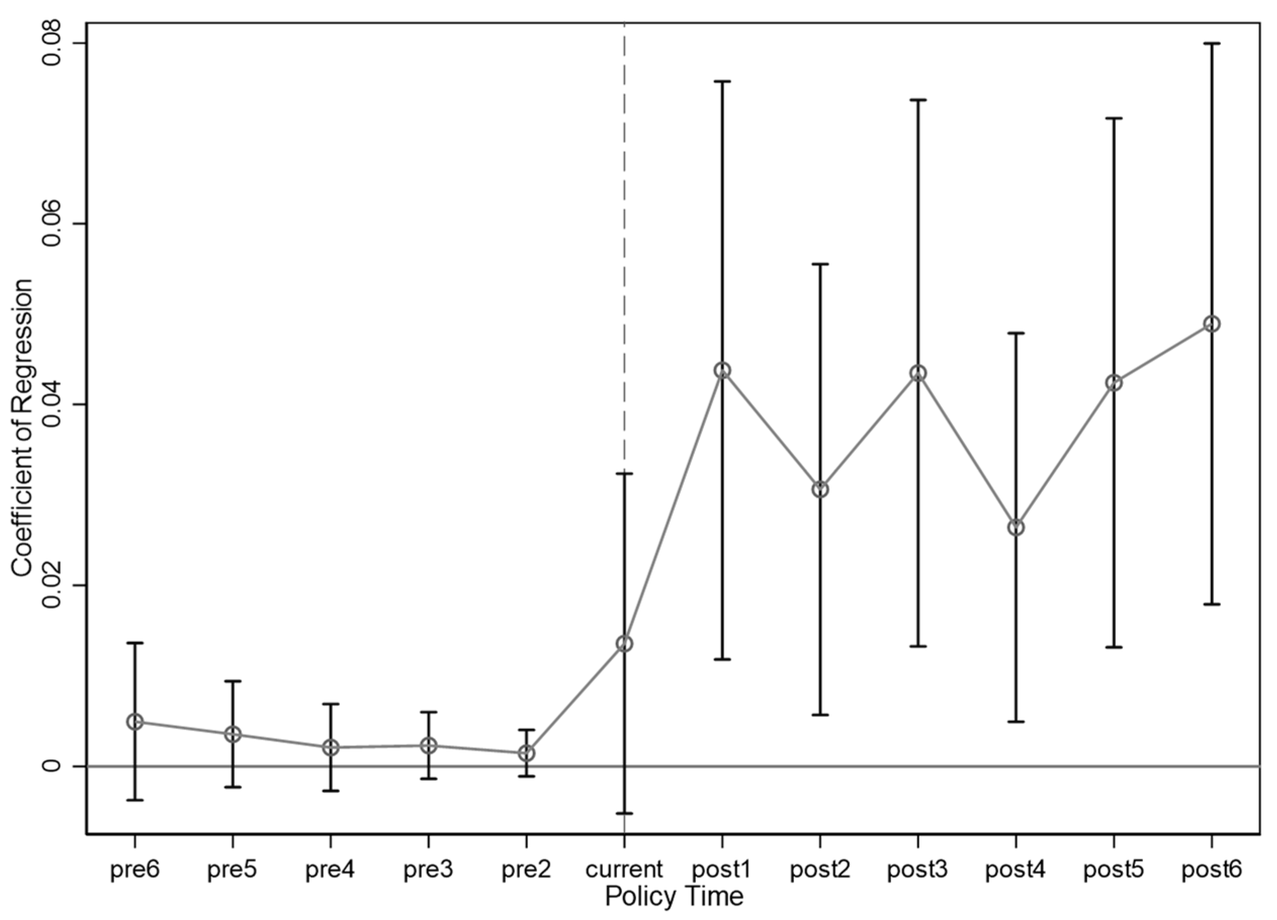
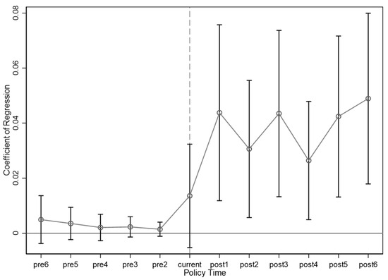
6.3. Parallel Trend Test
7. Conclusions and Policy Recommendations
7.1. Accelerate the Coordinated Development of AI and Traditional Industries
7.2. Increase the Training of AI Professionals
7.3. Improve the System of Regulations and Policies
7.4. Promote the Construction of Smart Cities
8. Limitation and Future Prospects
Author Contributions
Funding
Data Availability Statement
Conflicts of Interest
References
- Meng, X.; Xu, S.; Zhang, J. How does industrial intelligence affect carbon intensity in China? Empirical analysis based on Chinese provincial panel data. J. Clean. Prod. 2022, 376, 134273. [Google Scholar] [CrossRef]
- Wang, X.; Sun, R.; Wang, X.; Fu, Z. Research on energy and environmental efficiency of Chinese cities. China Min. Mag. 2020, 29, 28–34. [Google Scholar] [CrossRef]
- Silva, B.N.; Khan, M.; Han, K. Towards sustainable smart cities: A review of trends, architectures, components, and open challenges in smart cities. Sustain. Cities Soc. 2018, 38, 697–713. [Google Scholar] [CrossRef]
- Babina, T.; Fedyk, A.; He, A.; Hodson, J. Artificial intelligence, firm growth, and product innovation. J. Financ. Econ. 2024, 151, 103745. [Google Scholar] [CrossRef]
- Acemoglu, D.; Restrepo, P. Artificial intelligence, automation, and work. In The Economics of Artificial Intelligence: An Agenda; University of Chicago Press: Chicago, IL, USA, 2018; pp. 197–236. [Google Scholar] [CrossRef]
- Zhu, X.; Zhou, W. Research on the Impact of Artificial Intelligence on Labor Income Shares—Theoretical Interpretation and Empirical Test Based on the Perspective of Skill Bias. Econ. Manag. Res. 2021, 42, 82–94. [Google Scholar]
- Cao, Y.; Li, Q.; Tan, Y.; Li, Y.; Chen, Y.; Shao, X.; Zou, Y. A comprehensive review of Energy Internet: Basic concept, operation and planning methods, and research prospects. J. Mod. Power Syst. Clean Energy 2018, 6, 399–411. [Google Scholar] [CrossRef]
- Xiao, Z.; Hua, H.; Cao, J. A review of the application of artificial intelligence in energy internet. Electr. Power Constr. 2019, 40, 63–70. [Google Scholar] [CrossRef]
- Guo, Y.; Zhang, W.; Qin, Q.; Chen, K.; Wei, Y. Intelligent manufacturing management system based on data mining in artificial intelligence energy-saving resources. Soft Comput. 2023, 27, 4061–4076. [Google Scholar] [CrossRef]
- Yin, K.; Cai, F.; Huang, C. How does artificial intelligence development affect green technology innovation in China? Evidence from dynamic panel data analysis. Environ. Sci. Pollut. Res. 2023, 30, 28066–28090. [Google Scholar] [CrossRef]
- Hua, H.; Wei, Z.; Qin, Y.; Wang, T.; Li, L.; Cao, J. Review of distributed control and optimization in energy internet: From traditional methods to artificial intelligence -based methods. IET Cyber-Phys. Syst. Theory Appl. 2021, 6, 63–79. [Google Scholar] [CrossRef]
- Cioffi, R.; Travaglioni, M.; Piscitelli, G.; Petrillo, A.; De Felice, F. Artificial intelligence and machine learning applications in smart production: Progress, trends, and directions. Sustainability 2020, 12, 492. [Google Scholar] [CrossRef]
- Liu, Z.; Sun, Y.; Xing, C.; Liu, J.; He, Y.; Zhou, Y.; Zhang, G. Artificial intelligence powered large-scale renewable integrations in multi-energy systems for carbon neutrality transition: Challenges and future perspectives. Energy AI 2022, 10, 100195. [Google Scholar] [CrossRef]
- Zhuk, A. Artificial Intelligence Impact on the Environment: Hidden Ecological Costs and Ethical-Legal Issues. J. Digit. Technol. Law 2023, 1, 932–954. [Google Scholar] [CrossRef]
- Allam, Z.; Dhunny, Z.A. On big data, artificial intelligence and smart cities. Cities 2019, 89, 80–91. [Google Scholar] [CrossRef]
- Ullah, Z.; Al-Turjman, F.; Mostarda, L.; Gagliardi, R. Applications of artificial intelligence and machine learning in smart cities. Comput. Commun. 2020, 154, 313–323. [Google Scholar] [CrossRef]
- Ejaz, W.; Naeem, M.; Shahid, A.; Anpalagan, A.; Jo, M. Efficient energy management for the internet of things in smart cities. IEEE Commun. Mag. 2017, 55, 84–91. [Google Scholar] [CrossRef]
- Wang, L.-N.; Chen, W.-Y.; Dai, J.-Q.; Xiang, Z.-J.; Gong, J.-S. Research on intelligent interconnection reshaping China’s energy system. Adv. Clim. Chang. Res. 2021, 17, 204. [Google Scholar]
- Guo, J.; Li, J. Efficiency evaluation and influencing factors of energy saving and emission reduction: An empirical study of China’s three major urban agglomerations from the perspective of environmental benefits. Ecol. Indic. 2021, 133, 108410. [Google Scholar] [CrossRef]
- Guo, Q.; Zeng, D.; Lee, C.C. Impact of Smart City Pilot on Energy and Environmental Performance: China-based empirical evidence. Sustain. Cities Soc. 2023, 97, 104731. [Google Scholar] [CrossRef]
- Acemoglu, D.; Restrepo, P. The race between man and machine: Implications of technology for growth, factor shares, and employment. Am. Econ. Rev. 2018, 108, 1488–1542. [Google Scholar] [CrossRef]
- Liu, L.; Yang, K.; Fujii, H.; Liu, J. Artificial intelligence and energy intensity in China’s industrial sector: Effect and transmission channel. Econ. Anal. Policy 2021, 70, 276–293. [Google Scholar] [CrossRef]
- Lu, N.; Zhou, W.; Dou, Z.W. Can intelligent manufacturing empower manufacturing?—An empirical study considering ambidextrous capabilities. Ind. Manag. Data Syst. 2023, 123, 188–203. [Google Scholar] [CrossRef]
- Yang, T.; Zhao, L.; Wang, C. A review of the application of artificial intelligence in power system and integrated energy system. Power Syst. Autom. 2019, 43, 2–14. [Google Scholar] [CrossRef]
- Yan, Z.; Sun, Z.; Shi, R.; Zhao, M. Smart city and green development: Empirical evidence from the perspective of green technological innovation. Technol. Forecast. Soc. Chang. 2023, 191, 122507. [Google Scholar] [CrossRef]
- Atack, J.; Margo, R.A.; Rhode, P.W. “Automation” of manufacturing in the late nineteenth century: The hand and machine labor study. J. Econ. Perspect. 2019, 33, 51–70. [Google Scholar] [CrossRef]
- Tibbetts, J.H. The Frontiers of Artificial Intelligence: Deep learning brings speed, accuracy to the life sciences. BioScience 2018, 68, 5–10. [Google Scholar] [CrossRef]
- Yuan, S.; Pan, X. Inherent mechanism of digital technology application empowered corporate green innovation: Based on resource allocation perspective. J. Environ. Manag. 2023, 345, 118841. [Google Scholar] [CrossRef] [PubMed]
- Fleisher, B.M.; Chen, J. The coast-noncoast income gap, productivity, and regional economic policy in China. J. Comp. Econ. 1997, 25, 220–236. [Google Scholar] [CrossRef]
- Vaizey, J. Schultz (T. W.). Investment in Human Capital. Econ. J. 1972, 82, 787–788. [Google Scholar] [CrossRef]
- Xing, M.; Luo, F.; Fang, Y. Research on the sustainability promotion mechanisms of industries in China’s resource-based cities—From an ecological perspective. J. Clean. Prod. 2021, 315, 128114. [Google Scholar] [CrossRef]
- Xu, S.; Zheng, J. Do Innovation Capacity and Human Capital Promote the Development of Resource-Based Cities?—An empirical test based on the perspectives of scale expansion and efficiency improvement. J. Nanjing Univ. Financ. Econ. 2022, 1, 22–31. (In Chinese) [Google Scholar]
- Bajari, P.; Chernozhukov, V.; Hortaçsu, A.; Suzuki, J. The impact of big data on firm performance: An empirical investigation. AEA Pap. Proc. 2019, 109, 33–37. [Google Scholar] [CrossRef]
- Luiten, E.; van Lente, H.; Blok, K. Slow technologies and government intervention: Energy efficiency in industrial process technologies. Technovation 2006, 26, 1029–1044. [Google Scholar] [CrossRef]
- Zhou, S. Value governance of local governments and its institutional effectiveness. Chin. Soc. Sci. 2021, 5, 150–168+207–208. (In Chinese) [Google Scholar]
- Shi, D.; Li, S. Emissions trading system and energy utilization efficiency—Measurement and empirical evidence for prefecture-level and above cities. China Ind. Econ. 2020, 9, 5–23. [Google Scholar] [CrossRef]
- Feng, Y.; Yuan, H.; Liu, Y. Mechanisms for improving urban energy use efficiency in new urbanization. China Popul. Resour. Environ. 2023, 33, 138–148. [Google Scholar] [CrossRef]
- Waltersmann, L.; Kiemel, S.; Stuhlsatz, J.; Sauer, A.; Miehe, R. Artificial Intelligence Applications for Increasing Resource Efficiency in Manufacturing Companies—A Comprehensive Review. Sustainability 2021, 13, 6689. [Google Scholar] [CrossRef]
- Zhang, X.; Jiao, Y. A preliminary study of China’s digital economy development index and its application. Zhejiang Soc. Sci. 2017, 4, 32–40+157. [Google Scholar] [CrossRef]
- Golove, W.H.; Eto, J.H. Market Barriers to Energy Efficiency: A Critical Reappraisal of the Rationale for Public Policies to Promote Energy Efficiency; Lawrance Berkeley National Lab: Berkeley, CA, USA, 1996. [Google Scholar] [CrossRef]
- Li, J.; Ma, S.; Qu, Y.; Wang, J. The impact of artificial intelligence on firms’ energy and resource efficiency: Empirical evidence from China. Resour. Policy 2023, 82, 103507. [Google Scholar] [CrossRef]
- Zhao, T.; Zhang, Z.; Liang, S. Digital economy, entrepreneurial activity and high-quality development—Empirical evidence from Chinese cities. Manag. World 2020, 36, 65–76. [Google Scholar] [CrossRef]
- Deng, R.; Xiao, X. The impact of industrial intelligence on urban green eco-efficiency—An empirical study based on industrial robot data. Contemp. Econ. Res. 2023, 10, 98–113. (In Chinese) [Google Scholar]
- Cui, S.; Wang, Y.; Zhu, Z.; Zhu, Z.; Yu, C. The impact of heterogeneous environmental regulation on the energy eco-efficiency of China’s energy-mineral cities. J. Clean. Prod. 2022, 350, 131553. [Google Scholar] [CrossRef]
- Wang, M.; Xu, M.; Ma, S. The effect of the spatial heterogeneity of human capital structure on regional green total factor productivity. Struct. Chang. Econ. Dyn. 2021, 59, 427–441. [Google Scholar] [CrossRef]
- Cattaneo, C. Internal and external barriers to energy efficiency: Which role for policy interventions? Energy Effic. 2019, 12, 1293–1311. [Google Scholar] [CrossRef]
- Zhang, M.; Liu, Y. Influence of digital finance and green technology innovation on China’s carbon emission efficiency: Empirical analysis based on spatial metrology. Sci. Total Environ. 2022, 838, 156463. [Google Scholar] [CrossRef]
- Luo, Q.; Miao, C.; Sun, L.; Meng, X.; Duan, M. Efficiency evaluation of green technology innovation of China’s strategic emerging industries: An empirical analysis based on Malmquist-data envelopment analysis index. J. Clean. Prod. 2019, 238, 117782. [Google Scholar] [CrossRef]
- Miao, C.-L.; Duan, M.-M.; Zuo, Y.; Wu, X.-Y. Spatial heterogeneity and evolution trend of regional green innovation efficiency--an empirical study based on panel data of industrial enterprises in China’s provinces. Energy Policy 2021, 156, 112370. [Google Scholar] [CrossRef]
- Shen, L.; Huang, Z.; Wong, S.W.; Liao, S.; Lou, Y. A holistic evaluation of smart city performance in the context of China. J. Clean. Prod. 2018, 200, 667–679. [Google Scholar] [CrossRef]
- Guo, Q.; Zhong, J. The effect of urban innovation performance of smart city construction policies: Evaluate by using a multiple period difference-in-differences model. Technol. Forecast. Soc. Chang. 2022, 184, 122003. [Google Scholar] [CrossRef]
- Yan, J.; Liu, J.; Tseng, F.M. An evaluation system based on the self-organizing system framework of smart cities: A case study of smart transportation systems in China. Technol. Forecast. Soc. Chang. 2020, 153, 119371. [Google Scholar] [CrossRef]
- Jiang, H.; Jiang, P.; Wang, D.; Wu, J. Can smart city construction facilitate green total factor productivity? A quasi-natural experiment based on China’s pilot smart city. Sustain. Cities Soc. 2021, 69, 102809. [Google Scholar] [CrossRef]

| Variables | Measurement | Properties |
|---|---|---|
| GDP | the GDP of prefecture-level cities | + |
| HHI | the ratio of the increase in tertiary industry to GDP | − |
| SCS | the ratio of prefectural-level city science and technology expenditure to local government general budget revenues | + |
| ISS | the sum of primary industry value added to GDP, the sum of two times the secondary industry value added to GDP, and three times the tertiary industry value added to GDP | + |
| FDI | the ratio of actual utilization of foreign investment to GDP. | − |
| Primary Indicators | Secondary Indicators | Measurement | Properties |
|---|---|---|---|
| Digital Economy Development Index | Internet penetration rate | Number of internet users per 100 people | + |
| Amount of internet- related employees | Percentage of computer services and software employees | + | |
| Internet-related outputs | Total amount of telecommunications operations per person | + | |
| Amount of mobile internet users | Number of mobile phone subscribers per 100 people | + | |
| Universal development of digital finance | China digital finance index | + |
| Types | Variables | Interruption | Obs | Mean | Std. Dev | Min | Max |
|---|---|---|---|---|---|---|---|
| Explained variable | EE | Urban energy efficiency | 3948 | 0.370 | 0.063 | 0.162 | 1.007 |
| Core explanatory variable | AI | The development of AI | 3897 | 0.250 | 0.915 | 0.001 | 16.99 |
| Control variables | GDP | Level of economic development | 3920 | 2.068 | 3.064 | 0.052 | 38.16 |
| HHI | Industrial structure | 3948 | 0.427 | 0.063 | 0.333 | 0.835 | |
| SCS | Expenditure on science and technology | 3948 | 0.812 | 3.032 | 0.000 | 55.50 | |
| ISS | Advanced industrial structure | 3948 | 2.262 | 0.144 | 1.831 | 2.832 | |
| FDI | Foreign direct investment | 3906 | 0.018 | 0.019 | 0.000 | 0.212 | |
| Mechanism variables | Green | Green technology innovation | 3829 | 1.085 | 2.792 | 0.003 | 49.98 |
| Digital | Digital economic development index | 3942 | 0.080 | 0.085 | 0.001 | 0.865 |
| Variables | (1) | (2) | (3) | (4) | (5) | (6) |
|---|---|---|---|---|---|---|
| EE | EE | EE | EE | EE | EE | |
| AI | 0.038 *** | 0.018 *** | 0.019 *** | 0.018 *** | 0.018 *** | 0.018 *** |
| (47.78) | (14.00) | (14.54) | (11.33) | (11.36) | (11.25) | |
| GDP | 0.012 *** | 0.012 *** | 0.012 *** | 0.012 *** | 0.012 *** | |
| (18.37) | (18.74) | (16.73) | (16.69) | (16.23) | ||
| HHI | −0.130 *** | −0.128 *** | −0.127 *** | −0.127 *** | ||
| (−6.77) | (−6.63) | (−6.52) | (−6.52) | |||
| SCS | 0.001 * | 0.001 * | 0.001 ** | |||
| (1.75) | (1.75) | (1.96) | ||||
| ISS | 0.012 | 0.013 | ||||
| (0.94) | (0.95) | |||||
| FDI | −0.153 *** | |||||
| (−3.79) | ||||||
| ons | 0.361 *** | 0.340 *** | 0.395 *** | 0.395 *** | 0.366 *** | 0.369 *** |
| (714.57) | (276.46) | (47.81) | (47.75) | (11.59) | (11.62) | |
| Year | Yes | Yes | Yes | Yes | Yes | Yes |
| City | Yes | Yes | Yes | Yes | Yes | Yes |
| N | 3897 | 3869 | 3869 | 3869 | 3869 | 3841 |
| R2 | 0.806 | 0.823 | 0.825 | 0.825 | 0.825 | 0.826 |
| F | 2283.3 | 1407.1 | 965.1 | 725.0 | 580.2 | 482.6 |
| Variables | (1) | (2) | (3) | (4) |
|---|---|---|---|---|
| EE | EE | EE | EE | |
| AI | 0.007 *** | 0.012 *** | 0.009 *** | 0.013 *** |
| (4.33) | (7.27) | (5.60) | (8.54) | |
| Salary | −0.038 | −0.007 | 0.122 ** | −0.342 *** |
| (−1.32) | (−0.32) | (2.43) | (−6.22) | |
| Salary2 | 0.350 *** | 0.149 *** | 0.267 *** | 0.584 *** |
| (6.79) | (3.88) | (3.86) | (9.85) | |
| Cons | 0.500 *** | 0.465 *** | 0.477 *** | 0.365 *** |
| (34.61) | (17.93) | (32.83) | (11.26) | |
| Controls | Yes | Yes | Yes | Yes |
| Year | No | No | Yes | Yes |
| City | No | Yes | No | Yes |
| N | 3841 | 3841 | 3841 | 3841 |
| R2 | 0.526 | 0.820 | 0.541 | 0.832 |
| F | 531.7 | 513.6 | 492.5 | 393.1 |
| Variables | (1) | (2) | (3) | (4) |
|---|---|---|---|---|
| AI | −0.013 ** | 0.063 *** | 0.037 *** | 0.032 *** |
| (−1.97) | (2.70) | (18.26) | (11.80) | |
| Cons | 1.340 *** | 0.882 *** | 0.972 *** | 1.061 *** |
| (4.09) | (8.28) | (13.11) | (14.77) | |
| Controls | Yes | Yes | Yes | Yes |
| Year | Yes | Yes | Yes | Yes |
| City | Yes | Yes | Yes | Yes |
| N | 3841 | 2466 | 3563 | 3841 |
| R2 | 0.384 | 0.847 | 0.827 | 0.806 |
| F | 13.76 | 143.2 | 376.6 | 373.4 |
| Variables | East | Central | West |
|---|---|---|---|
| (1) | (2) | (3) | |
| AI | 0.020 *** | 0.017 *** | 0.004 |
| (7.97) | (5.32) | (1.61) | |
| GDP | 0.016 *** | 0.015 *** | 0.012 *** |
| (11.64) | (14.69) | (12.28) | |
| HHI | −0.398 *** | −0.084 *** | −0.010 |
| (−6.27) | (−5.37) | (−0.65) | |
| SCS | −0.001 | −0.010 *** | −0.014 *** |
| (−0.93) | (−11.33) | (−6.68) | |
| ISS | −0.004 | 0.024 ** | 0.022 * |
| (−0.10) | (2.38) | (1.74) | |
| FDI | 0.042 | 0.040 | −0.450 *** |
| (0.51) | (1.23) | (−6.31) | |
| Cons | 0.522 *** | 0.319 *** | 0.293 *** |
| (6.08) | (13.59) | (9.63) | |
| Year | Yes | Yes | Yes |
| City | Yes | Yes | Yes |
| N | 1400 | 1346 | 1095 |
| R2 | 0.830 | 0.830 | 0.763 |
| F | 199.4 | 108.7 | 53.86 |
| Variables | Human Capital | Financial Independence | Government Intervention | |||
|---|---|---|---|---|---|---|
| High | Low | High | Low | High | Low | |
| (1) | (2) | (3) | (4) | (5) | (6) | |
| AI | 0.019 ** | −0.001 | 0.019 ** | 0.004 | 0.018 ** | 0.020 * |
| (2.53) | (−0.21) | (2.16) | (0.37) | (2.17) | (1.85) | |
| Cons | 0.308 * | 0.338 *** | 0.440 *** | 0.331 *** | 0.380 ** | 0.361 *** |
| (1.92) | (9.20) | (2.26) | (8.34) | (9.11) | (2.51) | |
| Controls | Yes | Yes | Yes | Yes | Yes | Yes |
| Year | Yes | Yes | Yes | Yes | Yes | Yes |
| City | Yes | Yes | Yes | Yes | Yes | Yes |
| N | 1092 | 2711 | 1118 | 2704 | 1984 | 1802 |
| R2 | 0.804 | 0.903 | 0.812 | 0.826 | 0.916 | 0.796 |
| F | 16.26 | 10.95 | 22.54 | 11.31 | 15.81 | 7.387 |
| Variables | (1) | (2) |
|---|---|---|
| Green | Digital | |
| AI | 0.921 *** | 0.017 *** |
| (15.67) | (8.34) | |
| Cons | 11.884 *** | 0.155 *** |
| (9.84) | (3.69) | |
| Controls | Yes | Yes |
| Year | Yes | Yes |
| City | Yes | Yes |
| N | 3756 | 3841 |
| R2 | 0.875 | 0.830 |
| F | 970.8 | 141.2 |
| Variables | (1) | (2) |
|---|---|---|
| EE | EE | |
| AI | 0.026 *** | 0.018 *** |
| (17.25) | (11.49) | |
| Green | 0.002 *** | |
| (3.55) | ||
| Digital | −0.031 ** | |
| (−2.42) | ||
| Cons | 1.001 *** | 0.374 *** |
| (14.10) | (11.75) | |
| Controls | Yes | Yes |
| Year | Yes | Yes |
| City | Yes | Yes |
| N | 3756 | 3841 |
| R2 | 0.819 | 0.826 |
| F | 370.1 | 415.1 |
| Variables | (1) | (2) | (3) | (4) |
|---|---|---|---|---|
| EE | EE | EE | EE | |
| did | 0.028 *** | 0.031 *** | 0.026 *** | 0.032 *** |
| (9.34) | (8.02) | (7.87) | (7.87) | |
| AI | 0.022 *** | 0.028 *** | 0.022 *** | 0.029 *** |
| (9.21) | (9.15) | (8.97) | (9.22) | |
| Cons | 0.053 ** | 0.068 | 0.085 *** | 0.880 *** |
| (2.06) | (1.29) | (3.04) | (5.21) | |
| Controls | Yes | Yes | Yes | Yes |
| Year | No | No | Yes | Yes |
| City | No | Yes | No | Yes |
| N | 3855 | 3855 | 3855 | 3855 |
| R2 | 0.312 | 0.495 | 0.316 | 0.502 |
| F | 249.5 | 138.0 | 202.4 | 79.52 |
Disclaimer/Publisher’s Note: The statements, opinions and data contained in all publications are solely those of the individual author(s) and contributor(s) and not of MDPI and/or the editor(s). MDPI and/or the editor(s) disclaim responsibility for any injury to people or property resulting from any ideas, methods, instructions or products referred to in the content. |
© 2024 by the authors. Licensee MDPI, Basel, Switzerland. This article is an open access article distributed under the terms and conditions of the Creative Commons Attribution (CC BY) license (https://creativecommons.org/licenses/by/4.0/).
Share and Cite
Li, X.; Wang, Q.; Tang, Y. The Impact of Artificial Intelligence Development on Urban Energy Efficiency—Based on the Perspective of Smart City Policy. Sustainability 2024, 16, 3200. https://doi.org/10.3390/su16083200
Li X, Wang Q, Tang Y. The Impact of Artificial Intelligence Development on Urban Energy Efficiency—Based on the Perspective of Smart City Policy. Sustainability. 2024; 16(8):3200. https://doi.org/10.3390/su16083200
Chicago/Turabian StyleLi, Xiangyi, Qing Wang, and Ying Tang. 2024. "The Impact of Artificial Intelligence Development on Urban Energy Efficiency—Based on the Perspective of Smart City Policy" Sustainability 16, no. 8: 3200. https://doi.org/10.3390/su16083200
APA StyleLi, X., Wang, Q., & Tang, Y. (2024). The Impact of Artificial Intelligence Development on Urban Energy Efficiency—Based on the Perspective of Smart City Policy. Sustainability, 16(8), 3200. https://doi.org/10.3390/su16083200

