Next Article in Journal
Assessment of Factors Affecting Pavement Rutting in Pakistan Using Finite Element Method and Machine Learning Models
Previous Article in Journal
Thirty Years of Research and Methodologies in Value Co-Creation and Co-Design
 
 
Font Type:
Arial Georgia Verdana
Font Size:
Aa Aa Aa
Line Spacing:
Column Width:
Background:
Article

Holistic Environmental Risk Index for Oil and Gas Industry in Colombia

by
Miguel A. De Luque-Villa
1,*,
Daniel Armando Robledo-Buitrago
2 and
Claudia Patricia Gómez-Rendón
1
1
Maestría en Gestión del Riesgo y Desarrollo, Escuela de Ingenieros Militares, Carrera 54 # 26–25, Bogotá 111611, Colombia
2
Grupo de Investigación Cundinamarca Agroambiental, Facultad de Ciencias Agropecuarias-Ingeniería Ambiental, Universidad de Cundinamarca, Facatativá 252211, Colombia
*
Author to whom correspondence should be addressed.
Sustainability 2024, 16(6), 2361; https://doi.org/10.3390/su16062361
Submission received: 13 February 2024 / Revised: 5 March 2024 / Accepted: 8 March 2024 / Published: 13 March 2024
(This article belongs to the Section Hazards and Sustainability)

Abstract

Risk management for technological hazards mainly focuses on the consequences for human lives. Although technological risk analysis evaluates environmental vulnerability, it does not reflect the consequences of environmentally exposed elements. This paper’s objective is to propose a conceptual framework and create a multidisciplinary evaluation model for environmental risk analysis in the oil and gas industry. A holistic assessment was carried out based on probabilistic risk analysis methodologies to obtain a holistic environmental risk index, HERi. Moncho’s Equation was adapted by combining ecological risk, ER, and an aggravating coefficient, F. Transformation functions were utilized to represent the risk probability distributions. The results from the holistic environment risk index were standardized in a sigmoidal function using the ALARP criteria. Finally, the methodology was applied in two case studies in Colombia, comparing the results with an alternative model. This study found that Colombian armed conflict is a key factor that increases environmental risk in oil and gas projects. The proposed methodology takes a holistic approach by integrating socioeconomic factors and resilience considerations into the risk assessment process. This approach provides a more comprehensive understanding of the environmental risks associated with oil and gas projects in Colombia and promotes more effective sustainable management actions.

1. Introduction

Environmental risk is the quantitative or qualitative evaluation of the danger of an adverse impact on the environment—which refers to the probability of the occurrence of an unfavorable situation that may lead to the destruction of ecosystems, alongside the disappearance or gradual deterioration of biodiverse populations, loss of quality of life and natural resources, and an impact on energy—due to the economic activity in a certain area [1]. Anthropogenic activities have caused the overexploitation of natural resources, resulting in biodiversity loss in ecosystems worldwide [2]. Another significant environmental concern affecting these ecosystems is accidental or chronic oil pollution [3]. In 2010, the largest oil spill in the history of the United States that occurred on the coast of the Gulf of Mexico caused one of the most significant environmental disasters in history [4]. In 2018, the Lizama 158 well located in the municipality of Barrancabermeja, Santander, Colombia, presented an oil outcrop, which caused, according to official figures, the deaths of 2442 animals and affected 5507 trees [5]. In Colombia, operational risk in the hydrocarbon transportation phase is mainly due to repetitive actions carried out by third parties, such as external fraud, fortuitous events, and terrorist acts, which can lead to the collapse of sensitive ecosystems [6,7,8].
The concept of risk pertains to something uncertain, tied to random chance and potentiality, regarding events that have not yet occurred. It is abstract, complex, and can only exist in the future. Recent efforts to assess disaster risk for management purposes have revolved around calculating the potential economic, social, and environmental impacts of a physical event at a specific location and time. However, there has been a lack of comprehensive conceptualization of risk; instead, fragmentation has prevailed as different disciplinary approaches estimate or calculate risk separately. Achieving an interdisciplinary estimation of risk requires consideration not just of projected physical damage and casualties or economic losses but also of social dynamics along with organizational and institutional aspects [9].
A global bibliographic review was conducted, followed by a specific focus on Colombia to assess the ecological impact of technological events in the oil and gas industry on the environment. The initial findings reveal that environmental disasters resulting from hydrocarbon project activities, particularly oil spills, have had significant negative effects on marine ecosystems [10,11,12,13,14,15], including on corals, benthic organisms, fish, mollusks, birds, plankton, mangroves, marine mammals, and reptiles. The consequences range from obstructing the sunlight necessary for photosynthesis to contaminating the food chain and reducing biodiversity [16,17,18,19,20]. For Colombia, only a spill that occurred in Cabo Manglares in the department of Nariño in 1976 [21] was found, where the sinking of the Tanker St. Peter caused an oil leak, impacting the fishing industry and mangroves in the Tumaco municipality. While ocean spills have catastrophic effects, they rarely occur, especially in Colombia. However, from 1980 to 2020, over 2800 terrorist attacks on oil infrastructures led to more than 3.7 million barrels of hydrocarbons spilling into the environment. This has impacted soil quality and various ecosystems, including surface waters, flora, fauna (including birds, mammals, and reptiles), amphibians, and fish [8]. Therefore, terrorist attacks are a major hazard for oil spills in Colombia [8,22,23].
Vulnerability can be defined as an internal risk factor of a subject or system exposed to a hazard, corresponding to its intrinsic predisposition to be affected or susceptible to suffering damage [9]. Ecological vulnerability in this study refers to the predisposition or susceptibility of the environment to be affected or suffer damage in the case of an oil spill. The susceptibility of ecosystems, flora, and fauna to be affected initially depends on the volume and characteristics of the oil. However, ecosystems at risk may vary in their levels of vulnerability because oil sensitivity is inherent to the environment, which may be less or more sensitive depending on its characteristics [24,25,26,27]. Ecological vulnerability is a term used to describe how easily a specific system can change due to internal or external disturbances, reflecting its sensitivity and lack of adaptation capacity. Researchers believe that vulnerability consists of three elements: exposure, sensitivity, and adaptive capacity. Exposure measures a system’s susceptibility to environmental and social stresses. The value of vulnerability determines the potential degree of system damage under the influence of accidents, while sensitivity reflects the unit’s response to stressors [28,29,30,31,32,33,34,35].
Environmental risk assessment (ERA) is predominantly a scientific activity that involves a critical review of the available data for the purpose of identifying and possibly quantifying the risks associated with a potential threat [36]. The ERA process aims to identify, analyze, and evaluate risks in order to determine the most effective management actions when faced with uncertainty. Environmental risk is calculated by first identifying hazards and then evaluating their probability of occurrence and potential consequences on the environment. Environmental risk is commonly expressed as follows [37]:
R = P r o b a b i l i t y × C o n s e q u e n c e
A bibliographic review was conducted to gather information on the existing methodologies for environmental risk assessment in the oil and gas industry. The initial findings are qualitative methods; the most prominent examples of this type of risk assessment method are matrix-based techniques. A risk matrix is created in three steps. First, ordinates to the probability are assigned ranks, and then abscissas are applied to the results of the severity/ranks. The combination of these ranking levels determines the ranking of risks [38]. For this methodology, five papers were revised [36,39,40,41,42]. The main findings reveal that while the risk matrix methodology is efficient and requires minimal data, the lack of consideration of statistical data in assessing the probability and consequences leads to a higher level of uncertainty in the results.
Environmental risk assessment methodologies often rely on indices to calculate the potential risks posed by various pollutants. For example, Murat’s [43] environmental risk methodology focuses on the risks associated with oil pollution in coastal areas, using indices and methodologies to determine the impact on marine environments and the effectiveness of pollution prevention measures. Similarly, Celis-Hernandez et al. [44] studied used indices like the enrichment factor (EF), geo-accumulation index (Igeo), adverse effect index (AEI), and pollution load index (PLI) to assess the pollution levels in mangrove ecosystems due to oil pollution. Zhu et al. [45]’s study combined automatic identification system data with other data to assess oil spill risks in coastal China. The study used indices like the oil spill rate and accident probability to analyze the risk of oil spills in different areas. Lastly, Qi Zhou [46] constructed a risk assessment system for water sources under the influence of oil spill accidents. This system includes indices for determining the risk of oil spill accidents and their impact on water sources. In summary, these studies demonstrate the importance of using indices in environmental risk assessment to understand the potential risks posed by different variables.
Different probabilistic methods have been developed to reduce uncertainty in environmental risk assessment. Guo [47] developed a statistical risk assessment model that combines a wave–current model, an oil spill model, and a probabilistic methodology using Monte Carlo simulation. It predicts the risk of oil spills in seven steps: the characterization of spilled oil, selection of spill timing, evaluation of environmental conditions, simulation of transport and fate of the oil slick, repetition of simulations for stability statistics, analysis of hypothetical spill data, and integration with environmental sensitivity to develop a risk map. This methodology’s great advantage is its ability to spatially identify the areas in which the environment is most likely to be impacted. However, it does not explore the vulnerability of the environment; instead, it focuses solely on the hazard component.
Developing a probabilistic method can also be achieved through Bayesian networks, which are graphical representations defined by a set of nodes and directed arcs. Each node is associated with a probability table called a conditional probability table. This method offers certain advantages as it reveals a more comprehensive risk profile of causes and effects [48]. Arzaghi et al. [49] proposed a methodology based on the US EPA framework for the probabilistic analysis of ecological risk arising from the release of oil from a subsea pipeline in the Arctic region. The exposure analysis and modeling of the fate and transport of spilled oil are crucial components in estimating risk. This methodology differs from previous studies by giving equal importance to both threat and vulnerability, thereby putting greater confidence in environmental risk assessment.
A holistic approach to risk assessment encompasses risk from a complete viewpoint. This involves considering the potential ecological damage directly related to hazard events, as well as understanding how non-hazard-dependent factors, such as social, economic, and environmental elements, exacerbate existing ecological risk conditions in terms of anticipatory capacity, resistance, response, and recovery capabilities [50]. Based on the holistic approach for the case of urban seismic risk evaluation and evaluating risk from a holistic perspective to improve resilience at a global level [50,51,52], we define environmental risk as the interaction between hazard, exposure, and vulnerability, where hazard typically pertains to ecological impacts resulting from oil spill events. Exposure indicates the susceptibility of the flora, fauna, and ecosystems to be damaged (ecological vulnerability directly associated with oil spill events), along with underlying non-oil-spill-dependent factors that exacerbate existing risk conditions due to a lack of capacity to anticipate, resist, respond to, or recover from adverse impacts and environmental fragility (Figure 1). The main objective of this paper was to develop a holistic methodology to evaluate the environmental risk associated with projects in Colombia’s hydrocarbon sector. To achieve this, the following specific objectives were established: (1) Identify and characterize the operational, environmental, social, and economic factors influencing the environmental risk of oil and gas projects in Colombia to integrate them into the proposed methodology. (2) Propose a method for evaluating the effectiveness of companies’ environmental risk management performance in the hydrocarbon sector in Colombia. (3) Validate the proposed methodology through its application in two case studies and compare it with an alternative model to assess its effectiveness and applicability within the Colombian context.
Environmental risk management in oil and gas projects is a crucial challenge for ensuring the sustainability and protection of ecosystems, especially in biodiverse regions such as Colombia. Despite the promulgation of Decree 2157 of 2017 [53], which established guidelines for disaster risk management plan development, there is a notable gap in applying holistic methodologies that fully integrate the environmental, social, and economic dimensions in the oil and gas sector. This research aims to design a holistic methodology to determine the environmental risks within risk management plans for oil and gas projects in Colombia. The significance of this study lies in its potential to offer a holistic approach that meets the demands set by the aforementioned decree while ensuring protection of people’s property and their natural, cultural, and productive environment. Through this approach, we aim to identify underlying factors and intrinsic characteristics of society that can influence environmental risk management. This project will not only address an important gap in the scientific literature by offering perspectives from a holistic vision but will also contribute to formulating more effective sustainable policy practices for Colombia’s oil and gas industry, enhancing resilience against disasters while minimizing negative environmental impacts.

2. Materials and Methods

2.1. Holistic Environmental Risk Index

The definition of the holistic environmental risk index was based on the holistic risk evaluation methodology proposed by Cardona [51], Carreño et al. [52], and Marulanda Fraume et al. [50] and is calculated using the following equation:
H E R I = E R 1 + F
This expression, referred to as Moncho’s Equation in the literature, is formulated by combining an ecological risk index denoted as ER and an aggravating coefficient called F. Both are constructed using composite indicators [50,52]. This coefficient, F, depends on the weighted sum of a set of aggravating factors related to environmental fragility and lack of resilience.
To adapt the methodology, for the ER variable, we designed probabilistic risk measures for indicators such as the damaged area, affected fauna, affected land cover, and ecological impact. For variable F, we considered the environmental fragility of the study area and the lack of resilience of the company responsible for operations. According to a holistic approach, these conditions can magnify ecological damage to the environment. Indicators including ecological resilience, the armed conflict index, response time, and an environmental disaster risk management index adapted from Carreño and Cardona were also considered in this process [54,55,56]. Transformation functions were utilized to represent the outcomes of ER and F, resembling risk probability distributions. Though this approach is not universally viewed as realistic, it has been embraced in specific situations due to uncertainties and imprecise data, along with the need to streamline analysis. Employing progressively refined nonlinear functions may be more fitting and advantageous considering the inherent complexity of risk and its role in enabling comparisons among diverse results [57]. The weights of each variable were determined using the AHP methodology and the Saaty matrix [58]. This instrument was applied to eight (8) professional risk experts from three (3) companies in Colombia’s hydrocarbon sector, allowing them to rate the importance of each evaluated variable and index. The resulting weights were then averaged based on the evaluations of all participants.
Figure 2 illustrates the structure of the indicators utilized to evaluate the holistic environmental risk index. According to Equation (2), it is assumed that total risk’s maximum value can be twice that of ecological risk. This suggests that as the indices of aggravating factors decrease, so too does environmental impact; conversely, a higher index signifies a greater impact on the environment.
Expressing the ER and F index results as a linear combination of relative indicators may overlook potential interactions and variations in weighting. While this simplification may be acceptable due to data uncertainties, adopting nonlinear functions for risk indices could be more suitable and enable better comparisons. This approach requires defining specific function forms with expert support based on past disaster information [57]. Sigmoidal functions are commonly used to determine the physical vulnerability factors in risk assessment. These functions solve the problem of descriptor unit incommensurability and establish a unified normative scheme for risk assessment [50,52,57,59]. Expert opinions and information on previous oil spills were considered when determining the limit values that correspond to the maximum or minimum factor values (1 or 0) at the bottom of each curve. The x-axis represents descriptor values, while the y-axis represents respective risk or aggravation factor values.

2.1.1. Ecological Risk

The ecological risk index ER was calculated following Equation (3), where m is the total number of descriptors, FERi denotes the component factors, and WERi represents their weights.
E R = i = 1 m F E R i × W E R i
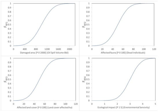
The descriptors used included the damaged area, represented as the oil spill volume. This information was computed considering potential risk situations, according to the guide for consequence analysis and quantitative risk analysis [60]. According to the reviewed bibliography, the maximum point of risk is when a spill is greater than 2000 bbl. The second descriptor was the affected fauna, which corresponds to the probable number of dead animals. The maximum risk point was set when the number of deaths was equal to or greater than 100. The third descriptor was the land cover affected. The spilling of oil into the environment affects the land cover; therefore, it is defined as the area in ha of the affected land cover. The maximum risk point was set when the area affected was equal to or greater than 100 ha [61]. The last descriptor was ecological impact. In Colombia, projects in the hydrocarbon sector require an environmental license based on an environmental impact assessment. This assessment evaluates the environmental sensitivity of the ecosystems that could be impacted by the activity. The risk level is determined by the environmental management zoning specified in the environmental license: a sensitivity rating of 1 indicates minimum risk (intervention areas), while a rating of 5 corresponds to maximum risk (exclusion areas). Finally, transformation functions for ecological risk were developed using sigmoidal functions for all cases (Figure 3).
An analytic hierarchy process [28,52,57,62,63,64,65,66] was conducted to calculate the weight for each of the descriptors (Table 1). Expert opinions were considered using the Delphi method [67,68,69,70,71,72].

2.1.2. Aggravating Coefficients

The aggravating coefficient F was calculated following Equation (4), where n is the total number of descriptors, FFRi denotes the aggravating factors, and WFRi represents their weights.
F = i = 1 n F F R i × W F R i
Weaknesses in hazard identification and monitoring and a lack of efficient risk reduction measures and disaster risk management in oil spills significantly increase the environmental impacts [73,74,75,76]. In this case, 4 descriptors were used to evaluate the lack of resilience of companies and the fragility and resilience of the environment when an oil spill occurs.
The first descriptor was the environmental disaster risk management index. Carreño et al. [54,55] designed a disaster risk management index to evaluate the performance and effectiveness of a country’s disaster risk management considering the measure of resilience. The index was adapted for our case, which will be explained in detail. The second descriptor was response time. The time of response to oil spills is crucial due to the significant and long-lasting impacts on the environment, society, and the economy. For instance, the 2010 Deepwater Horizon incident caused damage to marine biodiversity. An effective response is essential to mitigate environmental impacts, restore ecological balance, and reduce costs associated with cleanup and restoration [77]. It has been proven that a quick response reduces the environmental impact of an oil spill [78,79]. In our case, the response time refers to the number of hours it takes the company to reach the site and stabilize the oil spill. Per the bibliographic review, the maximum point of risk is when the response time is equal to or greater than 250 h, and the minimum point of risk is when the response time is equal to or lower than 50 h. The National Planning Department of Colombia designed and calculated the armed conflict incidence index (IICA) to identify Colombian municipalities impacted by conflict [80]. This index measures eight variables: armed actions, homicide, kidnapping, antipersonnel mines, forced displacement, coca crops, homicide of leaders and human rights defenders, and homicides against ex-combatants. The index defines five categories: low, moderate low, moderate, high, and very high. Therefore, the maximum risk point is an IICA of 5, while the minimum risk point is an IICA of 1. The last indicator is ecological resilience. In this study, ecological resilience was defined as the return time to a stable state following a perturbation. Expert opinions were considered to define the risk values, where the maximum risk point was 15 years, and the minimum risk point was 1 year. Transformation functions were used for the 4 descriptors (Figure 4). The weights of the aggravating coefficients were calculated with the same methodology used for ecological risk (Table 2).

2.1.3. Environmental Disaster Risk Management Index

The environmental disaster risk management index was built considering Decree 2157, which adopts general guidelines for preparing a disaster risk management plan for public and private entities [53]. After analyzing the standards, the four main pillars of disaster risk management were determined to be risk identification, risk reduction, disaster management, and financial protection. Based on this, an index composed of 4 indicators was adapted from the study by Carreño et al. [54,55].
E D R M i = R M I R I + R M I R R + R M I D M + R M I F P 4
Figure 5 shows the descriptors used for each indicator, which were defined considering expert opinions. These indicators were evaluated based on five performance levels that correspond to a range from 1 (low performance) to 5 (very high performance). The weights for each indicator were calculated with the same methodology used for ecological risk (Table 3).

2.2. Environmental Risk Acceptance Criteria

Risk management commonly involves using the ALARP criteria. The ALARP principle focuses on reducing risks to be as low as reasonably practicable. Mitigation measures should be implemented until the costs appear to be disproportionate to the achievable benefits. Threshold values are defined for “acceptable” and “tolerable” risks in this context, requiring necessary risks to be reduced below the tolerance threshold as they are unacceptable. Risks falling between these thresholds require mitigation until reasonably practicable, while those above the acceptability threshold do not need further mitigation efforts [81,82,83,84,85,86,87,88]. The present study standardized environmental risk classification using a sigmoidal function, which considered the results from the holistic environment risk index (Figure 6).

3. Results

Two case studies were conducted to evaluate the proposed methodology, an oil pipeline (pipeline 1) between the municipalities of Maní in the Department of Casanare and Puerto Gaitán in the Department of Meta and an oil pipeline (pipeline 2) between the municipalities of Arauquita and Saravena in the Department of Arauca (Figure 7).
A scenario was initially defined, assuming the worst case of a catastrophic rupture in the pipelines at one of its initial points. After determining the oil spill volume, the ArcHydro Tools plugin in the ArcMap 10.8 software was used to determine the oil spill routes based on slopes derived from a digital elevation model of the study area. This initial stage helped us understand the overall context of the risk scenario, enabling us to proceed with its evaluation. The damaged area variable corresponds to the volume of spilled barrels, specifically 907 BBL, according to the quantitative risk assessment. We consolidated data on individuals affected by previous oil spills and consulted expert biologists to determine the affected fauna variable. As for the affected land cover variable, we determined the area in hectares of main land covers that would be impacted by analyzing modeled spill routes. In terms of ecological impact, we referred to the environmental management zoning developed by the companies based on environmental impact assessment. Our evaluations and ratings for each variable are presented in Table 4. Assessing individual areas affected by spills divided according to land cover was essential within this specific risk scenario. The ecological risk factor for each variable, as shown in Table 5, was obtained according to the sigmoidal functions described above. The spatial distribution of ecological risk derived from this classification is presented in Figure 8. The environmental disaster risk index was determined via a multi-criteria analysis, which involved analyzing factors related to identification, reduction, management, and financial protection against environmental risks. The index qualification was made in a participatory workshop with the companies in charge. The response time was determined based on historical emergency response data in the country, indicating that it can range from hours to more than two months depending on the spill volume and geophysical conditions. The army conflict incidence index was assessed as medium-low for pipeline 1 and very high for pipeline 2. Finally, the ecological resilience assessment process considered land cover and expert input regarding post-disaster ecosystem recovery timelines. Details about the variables are presented in Table 6. The aggravating coefficients for each impacted land cover are shown in Table 7 using the previously described sigmoidal functions. Figure 9 illustrates the spatial distribution. Finally, the holistic environmental risk index is shown in Table 8 and Figure 10.

Comparison Alternative Models

A comparative analysis of the proposed methodology was conducted. We applied the methodology proposed by ECOPETROL S.A. [89]. The calculation of environmental risk is based on Equation (6):
R j = i [ P 1 i × Probability A r e a P o l i P o l j × I e × P 2 i ] Consequences
  • Rj = Total risk to environmentally sensitive area;
  • i = Final success;
  • j = Environmentally sensitive area;
  • P1i = Final success frequency of occurrence given the loss of containment;
  • Poli = Final success i polygon;
  • ∩ = Intersection;
  • Polj = Environmentally sensitive area polygon;
  • Ie = Environmentally sensitive area importance;
  • P2i = Probability of impact on the environmentally sensitive area given final event i.
Figure 11 illustrates the environmental risk spatial distribution using the methodology proposed by ECOPETROL S.A. It can be observed that although similar classifications were obtained for pipeline 1, for pipeline 2, there was an underestimation of the risk level in ECOPETROL S.A.’s proposed methodology. It showed a moderate level compared to the high level indicated by the holistic methodology. ECOPETROL S.A.’s methodology assesses only the probability and consequences of oil spills. In contrast, this study’s proposed methodology takes a holistic approach by integrating socioeconomic factors and resilience considerations into the risk assessment process. By considering a broader range of variables and potential impacts, this approach provides a more comprehensive understanding of the environmental risks associated with oil and gas projects in Colombia.

4. Discussion

This is the first time a holistic approach has been used to evaluate environmental risk in hydrocarbon projects. This evaluation allowed us to determine, at the Colombian level, which factors do not depend on the spill that increase or decrease risk. During the workshop held with the company in the case study, it was observed that the company was aware of its shortcomings, including the deficit in quantifying losses despite having a record of disaster events and the lack of equipment for monitoring spills or possible leaks, since this process is carried out in an analogous manner through visual tours. In addition, although the personnel are trained to deal with fires or occupational accidents, there is no training in terms of oil spills, and finally, the company does not prepare communities to deal with disasters, considering that they are the first responders when an emergency occurs. This shows that the companies were not aware that these shortcomings increased environmental risk. Conducting a self-assessment of its performance in the risk management of environmental disasters allowed the company to identify improvement actions, clarifying that risk reduction measures must be identified using integrated models and comprehensive analysis [36]. This study also found that environmental risk may be underestimated if socioeconomic variables are not considered.
Previous research has primarily focused on the probability and consequences of oil spills. However, this study takes a multidisciplinary approach, considering not only the ecological impact but also the socioeconomic, organizational, and institutional aspects related to the exploration and exploitation of hydrocarbons. This broader perspective contributes to a more comprehensive risk assessment.
The methodology proposed in this study introduces a significant innovation by considering Colombian armed conflict as a key factor that increases environmental risk in oil and gas projects. This inclusion is based on international evidence demonstrating how armed conflicts can trigger environmental disasters, both through the use of pollutants as weapons and the direct destruction of oil infrastructure. For instance, during the 2006 Lebanon War, Israel attacked oil storage facilities, leading to an oil spill with severe effects on marine and coastal life [90]. In the 1991 Gulf War, Iraqi forces burning Kuwaiti oil fields caused a massive spill, severely affecting the environment and human health [91]. More recently, in Yemen’s Safer oil tanker, abandonment during armed conflict poses imminent risks of an oil spill with devastating consequences for its ecosystems [92]. These examples underscore the importance of considering armed conflict as an environmental risk factor in oil and gas projects while highlighting the need for a holistic methodology addressing this complex interaction between armed conflict and environmental risks. This variable’s inclusion represents a significant advance toward understanding and managing the risks associated with Colombia’s oil industry by emphasizing not only security but also its impact from an environmental sustainability perspective. These findings have profound potential to emphasize the need to intensify efforts to resolve armed conflict as a strategy for reducing environmental risk at the national level, while highlighting the importance of mitigation measures for vulnerable ecosystems.
Although this methodology is designed to be replicated for any project in Colombia, it could also be applied in other countries by evaluating the specific underlying factors of that territory. For example, the 2019 oil spill on the northeastern coast of Brazil was associated with largely ineffective government actions. It took 30 days for the federal government to initiate a response, which amplified the impacts. This situation was attributed to the context of installed government, as public policies supporting environmental protection and health were dismantled [93].
Limitations of this study exist due to the lack of clear statistical data on oil spill losses, making it difficult to assess variables like affected fauna. Although data on oil spills in Colombia exist, they are not always available for the direct comparison and quantitative assessment of environmental losses. Additionally, limited and often non-disaggregated wildlife data make assessing specific impacts on local biodiversity challenging. Furthermore, other impacted components, such as air quality during crude oil burning, were not considered; this could release air pollutants with negative effects on the environment [94,95]. However, specific data on air quality in affected areas were unavailable for inclusion in our risk assessment. Workshops held with sector companies aimed to identify and evaluate influencing variables, but they may have missed some relevant factors. As research progresses, new variables may emerge that should be included in a more comprehensive evaluation tool.
It is crucial to remember that indicators, in general, are not intended to pinpoint risk management measures. These measures should be identified using integrated models and thorough analysis.

5. Conclusions

This study presented a conceptual framework and a multidisciplinary assessment model for environmental risk analysis in the oil and gas industry in Colombia and introduced the holistic environmental risk index. This study’s findings show that while companies in the industry are aware of their shortcomings, there is a lack of awareness regarding how these shortcomings contribute to increased environmental risk. The armed conflict in Colombia has a significant impact on environmental risk, particularly affecting the most sensitive ecosystems with high levels of risk. Other factors that should be considered for environmental risk assessment include ecological impact, land cover, and response time, among others.
These findings have profound potential to assist companies in improving their processes and prioritizing actions to reduce risks. They also emphasize the need to intensify efforts to resolve armed conflict as a strategy for reducing environmental risk at the national level, while highlighting the importance of mitigation measures for vulnerable eco-systems.
This study presented an innovative approach to assessing environmental risks in hydrocarbon projects from both practical and theoretical perspectives. This groundbreaking assessment identified critical factors beyond oil spills influencing environmental risk and provides a solid basis for informed decision making on risk management. However, like any rigorous evaluation, this initial methodology has uncertainties; therefore, it is recommended that further workshops are conducted with different sector companies to assess additional descriptors or modifying factor weights. This collaborative approach will help refine the HERi index and promote greater awareness toward more effective sustainable management actions in Colombia’s oil and gas industry.
The application of the HERi methodology in the case studies revealed that areas with more sensitive and less resilient coverages tend to have a higher level of moderate risk compared to other areas with artificialized or agricultural coverages. In contrast, the two Arauca cases showed that the dynamics of armed conflict have a greater impact on risk assessment, with a high index value.
The HERi methodology provides a more accurate evaluation of environmental risk compared to other methodologies as these tend to underestimate risk by not taking into account variables such as armed conflict. Given the complex dynamics and context in Colombia, it is crucial for companies to include this factor in their studies.

Author Contributions

Conceptualization, M.A.D.L.-V. and D.A.R.-B.; methodology, M.A.D.L.-V. and D.A.R.-B.; validation, M.A.D.L.-V., D.A.R.-B. and C.P.G.-R.; formal analysis, M.A.D.L.-V. and D.A.R.-B.; data curation, M.A.D.L.-V., D.A.R.-B. and C.P.G.-R.; writing—original draft preparation, M.A.D.L.-V. and D.A.R.-B.; writing—review and editing, C.P.G.-R.; visualization, M.A.D.L.-V.; supervision, C.P.G.-R. All authors have read and agreed to the published version of the manuscript.

Funding

This research and the APC were funded by SERUANS ENVIRONMENT S.A.S.

Informed Consent Statement

Not applicable.

Data Availability Statement

The data presented in this study are available upon request from the corresponding author.

Conflicts of Interest

The authors declare no conflicts of interest.

References

  1. Zotin, A.; Zuev, D.; Kashkin, V.; Kurako, M.; Simonov, K. Environmental Risk Zones Mapping Using Satellite Monitoring Data. Procedia Comput. Sci. 2018, 126, 1597–1605. [Google Scholar] [CrossRef]
  2. Millennium Ecosystem Assessment. Ecosystems and Human Well-Being: Synthesis; Island Press: Washington, DC, USA, 2005; Volume 4892, ISBN 1-59726-040-1. [Google Scholar]
  3. National Research Council (US). Oil in the Sea III: Inputs, Fates, and Effects; National Academies Press: Washington, DC, USA, 2003; ISBN 0-309-08438-5. [Google Scholar]
  4. Beland, L.P.; Oloomi, S. Environmental Disaster, Pollution and Infant Health: Evidence from the Deepwater Horizon Oil Spill. J. Env. Econ. Manag. 2019, 98, 102265. [Google Scholar] [CrossRef]
  5. Sarmiento Cristancho, D. La Responsabilidad Patrimonial Del Estado Por Los Daños Causados El 2 de Marzo de 2018 Por El Derrame de de Petróleo En El Pozo Lizama 158, Operado Por Ecopetrol, Ubicado En La Zona Rural Del Municipio de Barrancamermeja, En El Departamenteo de Santander. Rev. Nueva. Epóca. 2019, 53, 183–228. [Google Scholar]
  6. Guerrero-Useda, M. Equilibrio Ambiental, Extracción Petrolera y Riesgo de Desastres En El Oleoducto Transandino Colombiano. IPSA Sci. Rev. Científica Multidiscip. 2021, 6, 86–101. [Google Scholar] [CrossRef]
  7. Ríos, J.; González, J.C.; García de las Heras, M. Environment and Armed Conflict in Colombia: Terrorist Attacks against Water Resources and Oil Infrastructure in Norte de Santander (2010–2020). Small Wars Insur. 2021, 34, 1429–1457. [Google Scholar] [CrossRef]
  8. Vera Solano, J.A. Terrorismo Como Detonante de Desastres: Atentados Terroristas Contra Oleoducto Caño Limón Coveñas En Colombia. Rev. Estud. Latinoam. Sobre Reducc. Riesgo Desastres REDER 2021, 5, 126–136. [Google Scholar] [CrossRef]
  9. Cardona, O.D. The Need for Rethinking the Concepts of Vulnerability and Risk from a Holistic Perspective: A Necessary Review and Criticism for Effective Risk Management. In Mapping Vulnerability: Disasters, Development and People; Routledge: London, UK, 2004. [Google Scholar]
  10. Wang, Y.; Lee, K.; Liu, D.; Guo, J.; Han, Q.; Liu, X.; Zhang, J. Environmental Impact and Recovery of the Bohai Sea Following the 2011 Oil Spill. Environ. Pollut. 2020, 263, 114343. [Google Scholar] [CrossRef]
  11. Asif, Z.; Chen, Z.; An, C.; Dong, J. Environmental Impacts and Challenges Associated with Oil Spills on Shorelines. J. Mar. Sci. Eng. 2022, 10, 762. [Google Scholar] [CrossRef]
  12. Disner, G.R.; Torres, M. The Environmental Impacts of 2019 Oil Spill on the Brazilian Coast: Overview. Rev. Bras. De Gest. Ambient. E Sustentabilidade 2020, 7, 241–255. [Google Scholar] [CrossRef]
  13. International Association of Oil & Gas Producers. Risk Assessment Data Directory Major Accidents; International Association of Oil & Gas Producers: London, UK, 2010. [Google Scholar]
  14. Vasconcelos, R.N.; Lima, A.T.C.; Lentini, C.A.D.; Miranda, G.V.; Mendonça, L.F.; Silva, M.A.; Cambuí, E.C.B.; Lopes, J.M.; Porsani, M.J. Oil Spill Detection and Mapping: A 50-Year Bibliometric Analysis. Remote Sens. 2020, 12, 3647. [Google Scholar] [CrossRef]
  15. ITOPF. Oil Tanker Spill Statistics 202; ITOPF: London, UK, 2022. [Google Scholar]
  16. The Global Oil and Gas Industry Association for Environmental and Social Issues. Impacts of Oil Spills on Marine Ecology: Good Practice Guidelines for Incident Management and Emergency Response Personnel; IPIECA: London, UK, 2015. [Google Scholar]
  17. Chilvers, B.L.; Morgan, K.J.; White, B.J. Sources and Reporting of Oil Spills and Impacts on Wildlife 1970–2018. Environ. Sci. Pollut. Res. 2021, 28, 754–762. [Google Scholar] [CrossRef]
  18. Hook, S.E. Beyond Thresholds: A Holistic Approach to Impact Assessment Is Needed to Enable Accurate Predictions of Environmental Risk from Oil Spills. Integr. Env. Assess. Manag. 2020, 16, 813–830. [Google Scholar] [CrossRef]
  19. Lassalle, G.; Scafutto, R.D.P.M.; Lourenço, R.A.; Mazzafera, P.; de Souza Filho, C.R. Remote Sensing Reveals Unprecedented Sublethal Impacts of a 40-Year-Old Oil Spill on Mangroves. Environ. Pollut. 2023, 331, 121859. [Google Scholar] [CrossRef]
  20. Abou Samra, R.M.; Ali, R.R. Tracking the Behavior of an Accidental Oil Spill and Its Impacts on the Marine Environment in the Eastern Mediterranean. Mar. Pollut. Bull. 2024, 198, 115887. [Google Scholar] [CrossRef]
  21. Hayes, T.M. Sinking of Tanker St. Peter off Colombia. Int. Oil Spill Conf. Proc. 1977, 1977, 289–291. [Google Scholar] [CrossRef]
  22. Guerrero Useda, M.E. Rupture of Oil Pipelines Due to External Interference, Environmental Damage and Sustainability in Colombia. Prod. Y Limpia 2018, 13, 7–13. [Google Scholar] [CrossRef]
  23. Miranda, D.; Ricardo, R. Los Derrames de Petróleo En Ecosistemas Tropicales—Impactos, Consecuencias y Prevención. La Experiencia de Colombia. Int. Oil Spill Conf. Proc. 2005, 1, 571–575. [Google Scholar] [CrossRef]
  24. Nelson, J.R.; Grubesic, T.H. Oil Spill Modeling: Risk, Spatial Vulnerability, and Impact Assessment. Prog. Phys. Geogr. 2018, 42, 112–127. [Google Scholar] [CrossRef]
  25. Monteiro, C.B.; Oleinik, P.H.; Leal, T.F.; Marques, W.C.; Nicolodi, J.L.; Lopes, B. de C.F.L. Integrated Environmental Vulnerability to Oil Spills in Sensitive Areas. Environ. Pollut. 2020, 267, 115238. [Google Scholar] [CrossRef] [PubMed]
  26. Rodrigues, F.H.; de Andrade Kolya, A.; Veiga, V.M.; Dos Santos, S.F.; Wieczorek, A.; dos Santos Corrêa, C.V.; Costa, D.M.; do Carmo Giordano, L.; Riedel, P.S.; Reis, F.A. Oil Spill Environmental Sensitivity Mapping of Rio de Janeiro, Brazil. Mar. Pollut. Bull. 2023, 197, 115682. [Google Scholar] [CrossRef] [PubMed]
  27. D’Affonseca, F.M.; Vieira Reis, F.A.G.; Corrêa, C.V.d.S.; Wieczorek, A.; Giordano, L.d.C.; Marques, M.L.; Rodrigues, F.H.; Costa, D.M.; Kolya, A.d.A.; Veiga, V.M.; et al. Environmental Sensitivity Index Maps to Manage Oil Spill Risks: A Review and Perspectives. Ocean Coast Manag. 2023, 239, 106590. [Google Scholar] [CrossRef]
  28. Cai, L.; Yan, L.; Ni, J.; Wang, C. Assessment of Ecological Vulnerability under Oil Spill Stress. Sustainability 2015, 7, 13073–13084. [Google Scholar] [CrossRef]
  29. Murawski, S.A.; Schwing, P.T.; Patterson, W.F.; Sutton, T.T.; Montagna, P.A.; Milligan, R.J.; Joye, S.B.; Thomas, L.; Kilborn, J.P.; Paris, C.B.; et al. Vulnerability and Resilience of Living Marine Resources to the Deepwater Horizon Oil Spill: An Overview. Front. Mar. Sci. 2023, 10, 1202250. [Google Scholar] [CrossRef]
  30. Sun, Z.; Liu, Y.; Sang, H. Spatial-Temporal Variation and Driving Factors of Ecological Vulnerability in Nansi Lake Basin, China. Int. J. Env. Res. Public. Health 2023, 20, 2653. [Google Scholar] [CrossRef] [PubMed]
  31. He, L.; Shen, J.; Zhang, Y. Ecological Vulnerability Assessment for Ecological Conservation and Environmental Management. J. Env. Manag. 2018, 206, 1115–1125. [Google Scholar] [CrossRef]
  32. Li, Q.; Shi, X.; Wu, Q. Effects of Protection and Restoration on Reducing Ecological Vulnerability. Sci. Total Environ. 2021, 761, 143180. [Google Scholar] [CrossRef] [PubMed]
  33. De Lange, H.J.; Sala, S.; Vighi, M.; Faber, J.H. Ecological Vulnerability in Risk Assessment—A Review and Perspectives. Sci. Total Environ. 2010, 408, 3871–3879. [Google Scholar] [CrossRef] [PubMed]
  34. Jiang, X.; Guo, X.; Wu, Y.; Xu, D.; Liu, Y.; Yang, Y.; Lan, G. Ecological Vulnerability Assessment Based on Remote Sensing Ecological Index (RSEI): A Case of Zhongxian County, Chongqing. Front. Env. Sci. 2023, 10, 1074376. [Google Scholar] [CrossRef]
  35. Hu, X.; Ma, C.; Huang, P.; Guo, X. Ecological Vulnerability Assessment Based on AHP-PSR Method and Analysis of Its Single Parameter Sensitivity and Spatial Autocorrelation for Ecological Protection—A Case of Weifang City, China. Ecol. Indic. 2021, 125, 107464. [Google Scholar] [CrossRef]
  36. Dumitran, C.; Onutu, I. Environmental Risk Analysis for Crude Oil Soil Pollution. Carpathian J. Earth Environ. Sci. 2010, 5, 83–92. [Google Scholar]
  37. Lu, H.; Xi, D.; Qin, G. Environmental Risk of Oil Pipeline Accidents. Sci. Total Environ. 2023, 874, 162386. [Google Scholar] [CrossRef]
  38. Kovačević, N.; Stojiljković, A.; Kovač, M. Application of the Matrix Approach in Risk Assessment. Oper. Res. Eng. Sci. Theory Appl. 2019, 2, 55–64. [Google Scholar] [CrossRef]
  39. Libre, J.-M.; Plisson-Saune, S.; Quiniou, V.; Nissen-Lie, T.R.; Vandenbussche, V.; Brude, W.; Rudberg, A.; Battut, M. Pilot Study of Environmental Risk Analysis Methodology Applied to Angolan Dalia FPSO. In Proceedings of the International Conference on Health, Safety and Environment in Oil and Gas Exploration and Production, Perth, Australia, 11 September 2012. [Google Scholar]
  40. Wójcik, M.; Kostowski, W. Environmental Risk Assessment for exploration and Extraction Processes of Unconventional Hydrocarbon Deposits of Shale Gas and Tight Gas: Pomerian and Carpathian Region Case Study as Largest Onshore Oilfields. J. Earth Sci. 2020, 31, 215–222. [Google Scholar] [CrossRef]
  41. Bucelli, M.; Paltrinieri, N.; Landucci, G. Integrated Risk Assessment for Oil and Gas Installations in Sensitive Areas. Ocean Eng. 2018, 150, 377–390. [Google Scholar] [CrossRef]
  42. Doregar Zavareh, R.; Dana, T.; Roayaei, E.; Monavari, S.M.; Jozi, S.A. The Environmental Risk Assessment of Fire and Explosion in Storage Tanks of Petroleum Products. Sustainability 2022, 14, 747. [Google Scholar] [CrossRef]
  43. Murat Cekirge, H. Environmental Risk Assessment Methodology (ERAM) for Oil Pollution. Int. J. Environ. Monit. Anal. 2015, 3, 91. [Google Scholar] [CrossRef][Green Version]
  44. Celis-Hernandez, O.; Giron-Garcia, M.P.; Ontiveros-Cuadras, J.F.; Canales-Delgadillo, J.C.; Pérez-Ceballos, R.Y.; Ward, R.D.; Acevedo-Gonzales, O.; Armstrong-Altrin, J.S.; Merino-Ibarra, M. Environmental Risk of Trace Elements in Mangrove Ecosystems: An Assessment of Natural vs Oil and Urban Inputs. Sci. Total Environ. 2020, 730, 138643. [Google Scholar] [CrossRef]
  45. Zhu, G.; Xie, Z.; Xu, H.; Wang, N.; Zhang, L.; Mao, N.; Cheng, J. Oil Spill Environmental Risk Assessment and Mapping in Coastal China Using Automatic Identification System (AIS) Data. Sustainability 2022, 14, 5837. [Google Scholar] [CrossRef]
  46. Zhou, Q. Environmental Risk Assessment of the Zhengrunzhou Water Source under the Influence of Oil Spill Accidents at the Wharf Group. Sustainability 2022, 14, 7686. [Google Scholar] [CrossRef]
  47. Guo, W. Development of a Statistical Oil Spill Model for Risk Assessment. Environ. Pollut. 2017, 230, 945–953. [Google Scholar] [CrossRef]
  48. Unnikrishnan, G. Oil and Gas Processing Equipment: Risk Assessment with Bayesian Networks. In Oil and Gas Processing Equipment; CRC Press: Boca Raton, FL, USA, 2020. [Google Scholar] [CrossRef]
  49. Arzaghi, E.; Abbassi, R.; Garaniya, V.; Binns, J.; Khan, F. An Ecological Risk Assessment Model for Arctic Oil Spills from a Subsea Pipeline. Mar. Pollut. Bull. 2018, 135, 1117–1127. [Google Scholar] [CrossRef] [PubMed]
  50. Marulanda Fraume, M.C.; Cardona, A.O.D.; Marulanda Fraume, P.; Carreño, T.M.L.; Barbat, A.H. Evaluating Risk from a Holistic Perspective to Improve Resilience: The United Nations Evaluation at Global Level. Saf. Sci. 2020, 127, 104739. [Google Scholar] [CrossRef]
  51. Cardona, O.D.; Barbat, A.H. Estimación Holística del Riesgo Sísmico Utilizando Sistemas Dinámicos Complejos. Ph.D. Thesis, Universitat Politècnica de Catalunya, Barcelona, España, 2001. [Google Scholar]
  52. Carreño, M.L.; Cardona, O.D.; Barbat, A.H. Urban Seismic Risk Evaluation: A Holistic Approach. Nat. Hazards 2007, 40, 137–172. [Google Scholar] [CrossRef]
  53. Departamento Administrativo de la Presidencia de la República de Colombia Decreto 2157 del 20 de Diciembre de 2017. Available online: https://www.funcionpublica.gov.co/eva/gestornormativo/norma.php?i=199583 (accessed on 29 January 2024).
  54. Carreño, M.L.; Cardona, O.D.; Barbat, A.H. A Disaster Risk Management Performance Index. Nat. Hazards 2007, 41, 1–20. [Google Scholar] [CrossRef]
  55. Carreño, M.L.; Cardona, O.D.; Eslamian, S. Index of Resilience and effectiveness of Disaster Risk Management. In Handbook of HydroInformatics: Volume II: Advanced Machine Learning Techniques; Eslamian, S., Eslamian, F., Eds.; Elsevier: Amsterdam, The Netherlands, 2023; pp. 305–314. ISBN 978-0-12-821961-4. [Google Scholar]
  56. Carreño, M.L.; Cardona, O.D.; Barbat, A.H. Metodología Para La Evaluación Del Desempeño de La Gestión Del Riesgo; Centro Internacional de Métodos Numéricos en Ingeniería (CIMNE): Barcelona, Spain, 2004; ISBN 84-95999-66-8. [Google Scholar]
  57. Carreño, M.L.; Cardona, O.D.; Barbat, A.H. Técnicas Innovadoras Para La Evaluación Del Riesgo Sísmico y Su Gestión En Centros Urbanos: Acciones ex Ante y ex Pos; Universitat Politècnica de Catalunya: Barcelona, Spain, 2006. [Google Scholar]
  58. Saaty, T.L. The Analytic Hierarchy and Analytic Network Processes for the Measurement of Intangible Criteria and for Decision-Making. Int. Ser. Oper. Res. Manag. Sci. 2016, 233, 363–419. [Google Scholar] [CrossRef]
  59. Carreño, M.L.; Cardona, O.D.; Barbat, A.H. Sistema de Indicadores Para La Evaluación de Riesgos; Centre Internacional de Mètodes Numèrics en Enginyeria (CIMNE): Barcelona, Spain, 2005; ISBN 84-95999-70-6. [Google Scholar]
  60. Ecopetrol, S.A. Guía Para Análisis de Consecuencias y Análisis Cuantitativo Del Riesgo; Ecopetrol S.A.: Bogotá, Colombia, 2018. [Google Scholar]
  61. Omodanisi, E.O. Resultant Land Use and Land Cover Change from Oil Spillage Using Remote Sensing and GIS. Res. J. Appl. Sci. Eng. Technol. 2013, 6, 2032–2040. [Google Scholar] [CrossRef]
  62. Saaty, T.L. What Is the Analytic Hierarchy Process? Springer: Berlin/Heidelberg, Germany, 1988. [Google Scholar]
  63. Ramanathan, R.; Abdullah, L.; Md Fauadi, M.H.F.; Mohamed, M.S.S.; Kamaludin, K.N. A Hybrid of Kansei Engineering (KE) and Analytical Hierarchy Process (AHP) to Develop Conceptual Designs of Portable Oil Spill Skimmer. IIUM Eng. J. 2023, 24, 183–198. [Google Scholar] [CrossRef]
  64. Kheybari, S.; Rezaie, F.M.; Farazmand, H. Analytic Network Process: An Overview of Applications. Appl. Math. Comput. 2020, 367, 124780. [Google Scholar] [CrossRef]
  65. Wang, Y.; Tang, C.; Du, P.; Liu, B.; Li, Y.; Chen, C. Spatial Differentiation Assessment of the Vulnerability of Marine Protected Areas to Oil Spill Stress in the Bohai Sea. J. Mar. Sci. Eng. 2023, 11, 1877. [Google Scholar] [CrossRef]
  66. Zhang, H.; Li, W.; Miao, P.; Sun, B.; Kong, F. Risk Grade Assessment of Sudden Water Pollution Based on Analytic Hierarchy Process and Fuzzy Comprehensive Evaluation. Environ. Sci. Pollut. Res. 2020, 27, 469–481. [Google Scholar] [CrossRef]
  67. Helmer, O. Analysis of the Future: The Delphi Method. 1967. Available online: https://www.rand.org/content/dam/rand/pubs/papers/2008/P3558.pdf (accessed on 12 February 2024).
  68. Khalilzadeh, M.; Kebriyaii, O.; Rezaei, R. Identification and Selection of Stakeholder Engagement Strategies: Case Study of an Iranian Oil and Gas Construction Project. Int. J. Constr. Manag. 2023, 23, 484–494. [Google Scholar] [CrossRef]
  69. Olugu, E.U.; Mammedov, Y.D.; Young, J.C.E.; Yeap, P.S. Integrating Spherical Fuzzy Delphi and TOPSIS Technique to Identify Indicators for Sustainable Maintenance Management in the Oil and Gas Industry. J. King Saud. Univ. Eng. Sci. 2021, in press. [Google Scholar] [CrossRef]
  70. Abdul Shukor, S.; Ng, G.K. Environmental Indicators for Sustainability Assessment in Edible Oil Processing Industry Based on Delphi Method. Clean. Eng. Technol. 2022, 10, 100558. [Google Scholar] [CrossRef]
  71. Ayyildiz, E.; Gumus, A.T. Pythagorean Fuzzy AHP Based Risk Assessment Methodology for Hazardous Material Transportation: An Application in Istanbul. Environ. Sci. Pollut. Res. 2021, 28, 35798–35810. [Google Scholar] [CrossRef]
  72. Jahanvand, B.; Bagher Mortazavi, S.; Asilian Mahabadi, H.; Ahmadi, O. Determining Essential Criteria for Selection of Risk Assessment Techniques in Occupational Health and Safety: A Hybrid Framework of Fuzzy Delphi Method. Saf. Sci. 2023, 167, 106253. [Google Scholar] [CrossRef]
  73. Webler, T.; Lord, F. Planning for the Human Dimensions of Oil Spills and Spill Response. Env. Manag. 2010, 45, 723–738. [Google Scholar] [CrossRef]
  74. Walker, A.H.; McKinnon, L.R.; Ritchie, L.; Gill, D.; Hasenaeur, T.; Giese, J. Oil Spill Preparedness and Response: Building the Capacity to Protect Public Welfare and Support Community Resilience. Int. Oil Spill Conf. Proc. 2021, 2021, 689381. [Google Scholar] [CrossRef]
  75. Sabela-Rikhotso, P.T.Z.; van Niekerk, D.; Nemakonde, L.D. Enhancing Coordination for Effective Management of Oil Spill Pollution in South Africa. Int. J. Disaster Risk Sci. 2022, 13, 12–24. [Google Scholar] [CrossRef]
  76. Finucane, M.L.; Clark-Ginsberg, A.; Parker, A.M.; Becerra Ornelas, A.U.; Clancy, N.; Ramchand, R.; Slack, T.; Parks, V.; Ayer, L.; Edelman, A.F.; et al. Building Community Resilience to Large Oil Spills: Findings and Recommendations from a Synthesis of Research on the Mental Health, Economic, and Community Distress Associated with the Deepwater Horizon Oil Spill; RAND Corporation: Santa Monica, CA, USA, 2020; ISBN 9781977405357. [Google Scholar]
  77. Ye, X.; Zhang, B.; Lee, K.; Storesund, R.; Song, X.; Kang, Q.; Li, P.; Chen, B. A Multi-Criteria Simulation-Optimization Coupling Approach for Effective Emergency Response in Marine Oil Spill Accidents. J. Hazard. Mater. 2024, 469, 133832. [Google Scholar] [CrossRef]
  78. Soares, M.O.; Teixeira, C.E.P.; Bezerra, L.E.A.; Rossi, S.; Tavares, T.; Cavalcante, R.M. Brazil Oil Spill Response: Time for Coordination. Science 2020, 367, 155. [Google Scholar] [CrossRef]
  79. Nordvik, A.B. Time Window-of-Opportunity Strategies for Oil Spill Planning and Response. Pure Appl. Chem. 1999, 71, 5–16. [Google Scholar] [CrossRef][Green Version]
  80. Departamento Nacional de Planeación—DNP. Índice de Incidencia Del Conflicto Armado—IICA; DNP: Bogotá, Colombia, 2021.
  81. Psarros, G.; Skjong, R.; Vanem, E. Risk Acceptance Criterion for Tanker Oil Spill Risk Reduction Measures. Mar. Pollut. Bull. 2011, 62, 116–127. [Google Scholar] [CrossRef]
  82. Jones-Lee, M.; Aven, T. ALARP—What Does It Really Mean? Reliab. Eng. Syst. Saf. 2011, 96, 877–882. [Google Scholar] [CrossRef]
  83. Melchers, R.E. On the ALARP Approach to Risk Management. Reliab. Eng. Syst. Saf. 2001, 71, 201–208. [Google Scholar] [CrossRef]
  84. Baybutt, P. The ALARP Principle in Process Safety. Process Saf. Prog. 2014, 33, 36–40. [Google Scholar] [CrossRef]
  85. Ale, B.J.M.; Hartford, D.N.D.; Slater, D. ALARP and CBA All in the Same Game. Saf Sci 2015, 76, 90–100. [Google Scholar] [CrossRef]
  86. Langdalen, H.; Abrahamsen, E.B.; Selvik, J.T. On the Importance of Systems Thinking When Using the ALARP Principle for Risk Management. Reliab. Eng. Syst. Saf. 2020, 204, 107222. [Google Scholar] [CrossRef]
  87. Maselli, G.; Macchiaroli, M.; Nesticò, A. Alarp Criteria to Estimate Acceptability and Tolerability Thresholds of the Investment Risk. Appl. Sci. 2021, 11, 86. [Google Scholar] [CrossRef]
  88. Valeur, J.R. Lars Wahl Andersen Performance Standards for Oil Spill Risk. In Proceedings of the SPE International Conference and Exhibition on Health, Safety, Environment, and Sustainability, Virtual, 20 July 2020. [Google Scholar] [CrossRef]
  89. Ecopetrol, S.A. Guía de Análisis de Riesgo Tecnológico Para el Sector Hidrocarburos; Ecopetrol, S.A.: Bogotá, Colombia, 2013. [Google Scholar]
  90. Smith, T. The Protection of the Environment and Natural Resources in Armed Conflict. In International Conflict and Security Law; T.M.C. Asser Press: Hague, The Netherlands, 2022; pp. 421–442. [Google Scholar]
  91. Hanson, T. Biodiversity Conservation and Armed Conflict: A Warfare Ecology Perspective. Ann. N. Y. Acad. Sci. 2018, 1429, 50–65. [Google Scholar] [CrossRef] [PubMed]
  92. Tignino, M. Technological Hazards during Armed Conflicts. Yearb. Int. Disaster Law Online 2022, 3, 297–324. [Google Scholar] [CrossRef]
  93. Ol, M.; Nepomuceno, M.M.; Gonçalves, E.; Catarina, A.; Leite, V.; Machado, R.M.; Pontes, C.; Jos, M.; Alves, F.; Gurgel, M.; et al. Oil Spill in Brazil—Analysis of Vulnerabilities and Socio-Environmental Conflicts. BioChem 2022, 9, 260–268. [Google Scholar]
  94. Pratt, G.C.; Stenzel, M.R.; Kwok, R.K.; Groth, C.P.; Banerjee, S.; Arnold, S.F.; Engel, L.S.; Sandler, D.P.; Stewart, P.A. Modeled Air Pollution from In Situ Burning and Flaring of Oil and Gas Released Following the Deepwater Horizon Disaster. Ann. Work Expo. Health 2022, 66, I172–I187. [Google Scholar] [CrossRef] [PubMed]
  95. Ekperusi, A.O.; Onyena, A.P.; Akpudo, M.Y.; Peter, C.C.; Akpoduado, C.O.; Ekperusi, O.H. In-Situ Burning as an Oil Spill Control Measure and Its Effect on The Environment. In Proceedings of the Society of Petroleum Engineers—SPE Nigeria Annual International Conference and Exhibition 2019, NAIC 2019, Lagos, Nigeria, 5 August 2019. [Google Scholar] [CrossRef]
Figure 1. Conceptual framework of the holistic approach to environmental disaster risk. Adapted from Cardona and Barbat [51], Carreño et al. [52], and Marulanda-Fraume et al. [50].
Figure 1. Conceptual framework of the holistic approach to environmental disaster risk. Adapted from Cardona and Barbat [51], Carreño et al. [52], and Marulanda-Fraume et al. [50].
Sustainability 16 02361 g001
Figure 2. Structure of indicators used for the holistic environmental risk evaluation.
Figure 2. Structure of indicators used for the holistic environmental risk evaluation.
Sustainability 16 02361 g002
Figure 3. Transformation functions used to standardize the ecological risk factors.
Figure 3. Transformation functions used to standardize the ecological risk factors.
Sustainability 16 02361 g003
Figure 4. Transformation functions used to standardize the aggravating coefficients.
Figure 4. Transformation functions used to standardize the aggravating coefficients.
Sustainability 16 02361 g004
Figure 5. Structure of indicators used for the environmental disaster risk management index. Adapted from the study by Carreño et al. [54,55].
Figure 5. Structure of indicators used for the environmental disaster risk management index. Adapted from the study by Carreño et al. [54,55].
Sustainability 16 02361 g005
Figure 6. Environmental risk acceptance criteria.
Figure 6. Environmental risk acceptance criteria.
Sustainability 16 02361 g006
Figure 7. Case study localization: (a) pipeline 1, Casanare and Meta Department; (b) pipeline 2, Arauca Department.
Figure 7. Case study localization: (a) pipeline 1, Casanare and Meta Department; (b) pipeline 2, Arauca Department.
Sustainability 16 02361 g007
Figure 8. Spatial distribution of ecological risk—ER: (a) pipeline 1, Casanare and Meta Department; (b) pipeline 2, Arauca Department.
Figure 8. Spatial distribution of ecological risk—ER: (a) pipeline 1, Casanare and Meta Department; (b) pipeline 2, Arauca Department.
Sustainability 16 02361 g008
Figure 9. Aggravating coefficients of spatial distribution: (a) pipeline 1, Casanare and Meta Department; (b) pipeline 2, Arauca Department.
Figure 9. Aggravating coefficients of spatial distribution: (a) pipeline 1, Casanare and Meta Department; (b) pipeline 2, Arauca Department.
Sustainability 16 02361 g009
Figure 10. HERI spatial distribution: (a) pipeline 1, Casanare and Meta Department; (b) pipeline 2, Arauca Department.
Figure 10. HERI spatial distribution: (a) pipeline 1, Casanare and Meta Department; (b) pipeline 2, Arauca Department.
Sustainability 16 02361 g010
Figure 11. Environmentally sensitive area total risk spatial distribution: (a) pipeline 1, Casanare and Meta Department; (b) pipeline 2, Arauca Department.
Figure 11. Environmentally sensitive area total risk spatial distribution: (a) pipeline 1, Casanare and Meta Department; (b) pipeline 2, Arauca Department.
Sustainability 16 02361 g011
Table 1. Weights of the ecological risk factors.
Table 1. Weights of the ecological risk factors.
FactorWeightWeight Value
FER1—damaged areaWER10.41
FER2—affected faunaWER20.13
FER3—affected land coverWER30.14
FER4—ecological impactWER40.32
Table 2. Weights of the aggravating coefficients.
Table 2. Weights of the aggravating coefficients.
FactorWeightWeight Value
FFR1—environmental disaster risk management indexWER10.42
FFR2—response timeWER20.10
FFR3—armed conflict incidence indexWER30.26
FFR4—ecological resilienceWER40.22
Table 3. Weights of the environmental disaster risk management index factors.
Table 3. Weights of the environmental disaster risk management index factors.
IndexFactorWeightWeight Value
RMI—risk identification indexRI1—systematic inventory of disasters and lossesWRI10.09
RI2—oil spill monitoring and forecastingWRI20.21
RI3—oil spill evaluation and mappingWRI30.20
RI4—vulnerability and risk assessmentWRI40.20
RI5—public information and community participationWRI50.09
RI6—risk management training and educationWRI60.21
RII—risk reduction indexRR1—inspection and preventive maintenance planWRR10.24
RR2—containment systems within the platforms and/or facilitiesWRR20.19
RR3—operational control systems that allow emergency stopsWRR30.19
RR4—well control system that includes BOP preventer valvesWRR40.17
RR5—incorporation of pressure relief systemsWRR50.14
RR6—contracting companies’ risk management planWRR60.07
DMI—disaster management indexDM1—organization and coordination of emergency operationsWDM10.19
DM2—emergency response planning and implementation of warning systemsWDM20.17
DM3—endowment of equipment, tools, and infrastructureWDM30.31
DM4—simulation, updating, and testing of interinstitutional responseWDM40.14
DM5—community preparedness and trainingWDM50.07
DM6—second response contract with specialized companiesWDM60.12
FPI—financial protection indexFP1—financial stability of the companyWFP10.24
FP2—reserve funds for disaster risk managementWFP20.205
FP3—budget allocation and mobilizationWFP30.205
FP4—insurance coverage and loss transfer strategiesWFP40.35
Table 4. Descriptor values of ecological risk—ER.
Table 4. Descriptor values of ecological risk—ER.
Pipeline 1
Land CoverFER1FER2FER3FER4
Burnt areas907504902.62
Permanent crops907504902.62
Water courses907504902.65
Pipeline 2
Pastures90750496.72
Mixed forest90750496.75
Water courses90750496.75
Table 5. Factors values of ecological risk—ER.
Table 5. Factors values of ecological risk—ER.
Pipeline 1
Land CoverFER1FER2FER3FER4ER
Burnt areas0.390.510.0670.386
Permanent crops0.390.510.0670.386
Water courses0.390.5110.685
Pipeline 2
Pastures0.390.510.0670.386
Mixed forest0.390.5110.685
Water courses0.390.5110.685
Table 6. Descriptor values for the aggravating coefficients.
Table 6. Descriptor values for the aggravating coefficients.
Pipeline 1
Land CoverFFR1FFR2FFR3FFR4
Burnt areas3.4120022
Permanent crops3.4120025
Water courses3.41200210
Pipeline 2
Pastures3.8520052
Mixed forest3.85200510
Water courses3.85200510
Table 7. Factors values of aggravating coefficients—F.
Table 7. Factors values of aggravating coefficients—F.
Pipeline 1
Land CoverFFR1FFR2FFR3FFR4F
Burnt areas0.1370.9330.06680.0050.169
Permanent crops0.1370.9330.06680.0990.190
Water courses0.1370.9330.06680.8040.345
Pipeline 2
Pastures0.0980.93310.0050.395
Mixed forest0.0980.93310.8040.571
Water courses0.0980.93310.8040.571
Table 8. Holistic environmental index values.
Table 8. Holistic environmental index values.
Pipeline 1
Land CoverErFHERi
Burnt areas0.3860.1690.452
Permanent crops0.3860.1900.460
Water courses0.6850.3450.921
Pipeline 2
Pastures0.3860.3950.781
Mixed forest0.6850.5711.256
Water courses0.6850.5711.256
Disclaimer/Publisher’s Note: The statements, opinions and data contained in all publications are solely those of the individual author(s) and contributor(s) and not of MDPI and/or the editor(s). MDPI and/or the editor(s) disclaim responsibility for any injury to people or property resulting from any ideas, methods, instructions or products referred to in the content.

Share and Cite

MDPI and ACS Style

De Luque-Villa, M.A.; Robledo-Buitrago, D.A.; Gómez-Rendón, C.P. Holistic Environmental Risk Index for Oil and Gas Industry in Colombia. Sustainability 2024, 16, 2361. https://doi.org/10.3390/su16062361

AMA Style

De Luque-Villa MA, Robledo-Buitrago DA, Gómez-Rendón CP. Holistic Environmental Risk Index for Oil and Gas Industry in Colombia. Sustainability. 2024; 16(6):2361. https://doi.org/10.3390/su16062361

Chicago/Turabian Style

De Luque-Villa, Miguel A., Daniel Armando Robledo-Buitrago, and Claudia Patricia Gómez-Rendón. 2024. "Holistic Environmental Risk Index for Oil and Gas Industry in Colombia" Sustainability 16, no. 6: 2361. https://doi.org/10.3390/su16062361

APA Style

De Luque-Villa, M. A., Robledo-Buitrago, D. A., & Gómez-Rendón, C. P. (2024). Holistic Environmental Risk Index for Oil and Gas Industry in Colombia. Sustainability, 16(6), 2361. https://doi.org/10.3390/su16062361

Note that from the first issue of 2016, this journal uses article numbers instead of page numbers. See further details here.

Article Metrics

Back to TopTop