Patent Protection Policy and Firms’ Green Technology Innovation: Mediating Roles of Open Innovation and Human Capital
Abstract
1. Introduction
2. Institutional Background and Literature Review
2.1. The Chinese IPR Model City Pilot Policy
- (a)
- Increasing government investment. The pilot cities should incorporate IPR work into the local government’s annual assessment indicators. Furthermore, the government should increase funding, such as increasing the financial investment in IPR.
- (b)
- Strengthen the construction of IPR laws and regulations. The pilot cities should formulate or revise local regulations on IPR.
- (c)
- Promote the administrative enforcement of IPR. Pilot cities should actively perform administrative enforcement of patents, rights protection assistance, and infringement reporting complaints, among others.
- (d)
- Optimize the innovation environment. The pilot cities shall publicize and report on the protection of IPR through mainstream media, portals, information platforms, and other channels to create an atmosphere for IP protection.
2.2. Literature Review and Hypothesis
3. Empirical Strategy and Data
3.1. Methodology
3.2. Variable Measurement
3.2.1. Dependent Variable
3.2.2. Core Independent Variables
3.2.3. Control Variables
3.3. Data
4. Empirical Results
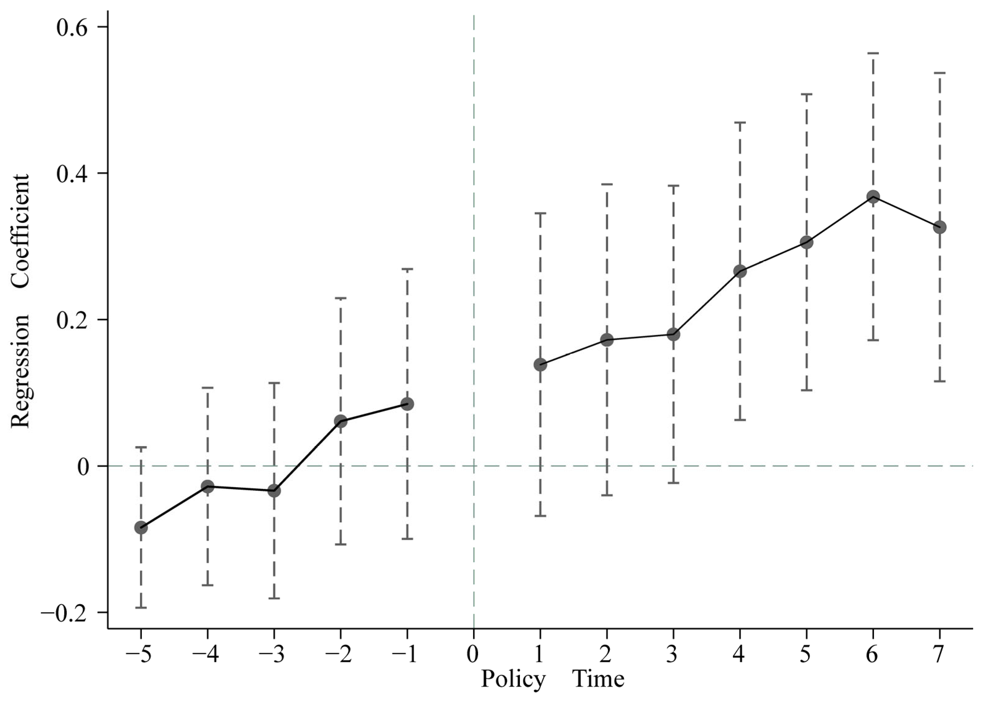
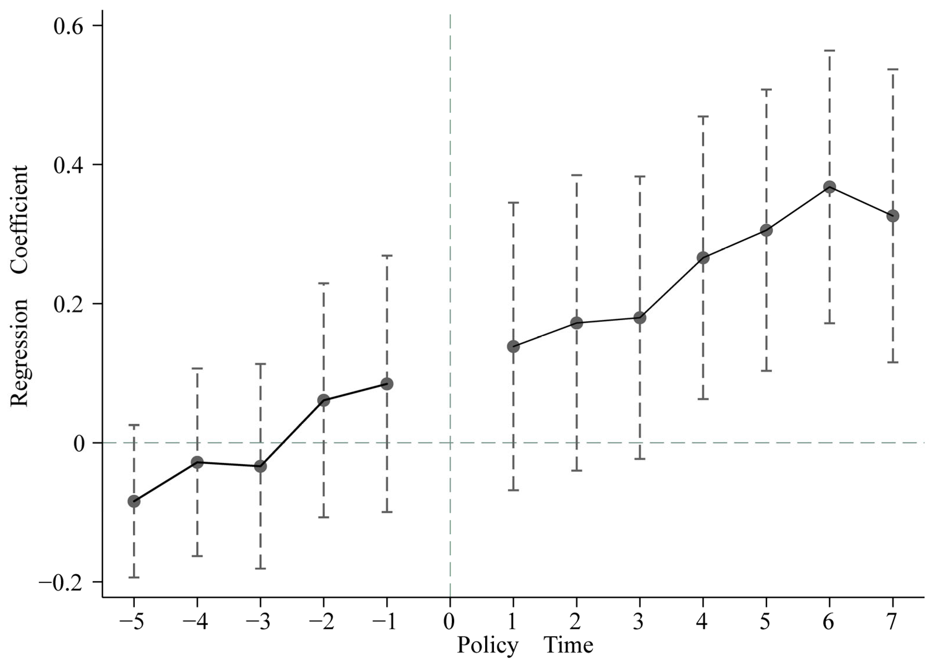
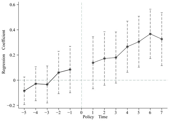
4.1. Time Trend Tests and Dynamic Effects
4.2. Baseline Regression Results
4.3. Robustness Checks
4.3.1. PSM-DID Estimation
4.3.2. Alternative-Dependent Variables
4.3.3. Change the Research Sample
4.3.4. Placebo Test
5. Heterogeneity Analysis and Mechanism Verification
5.1. Heterogeneous Effects
5.1.1. Heterogeneous Effects by Firm Scale
5.1.2. Heterogeneous Effects in Ownership
5.1.3. Heterogeneous Effects of Industry Characteristics
5.2. Mechanism Verification
5.2.1. Mediating Effects of Cooperation
5.2.2. Mediating Effects of Human Capital
6. Conclusions and Policy Implications
Author Contributions
Funding
Institutional Review Board Statement
Informed Consent Statement
Data Availability Statement
Conflicts of Interest
References
- Rennings, K. Redefining Innovation—Eco-Innovation Research and the Contribution from Ecological Economics. Ecol. Econ. 2000, 32, 319–332. [Google Scholar] [CrossRef]
- Barbieri, N.; Ghisetti, C.; Gilli, M.; Marin, G.; Nicolli, F. A Survey of the Literature on Environmental Innovation Based on Main Path Analysis. J. Econ. Surv. 2016, 30, 596–623. [Google Scholar] [CrossRef]
- Porter, M.; Vanderlinde, C. Toward a New Conception of the Environment-Competitiveness Relationship. J. Econ. Perspect. 1995, 9, 97–118. [Google Scholar] [CrossRef]
- Song, M.; Wang, S.; Zhang, H. Could Environmental Regulation and R&D Tax Incentives Affect Green Product Innovation? J. Clean. Prod. 2020, 258, 120849. [Google Scholar] [CrossRef]
- Moser, P. How Do Patent Laws Influence Innovation? Evidence from Nineteenth-Century World’s Fairs. Am. Econ. Rev. 2005, 95, 1214–1236. [Google Scholar] [CrossRef]
- Branstetter, L.G.; Fisman, R.; Foley, C.F. Do Stronger Intellectual Property Rights Increase International Technology Transfer? Empirical Evidence from US Firm-Level Panel Data. Q. J. Econ. 2006, 121, 321–349. [Google Scholar]
- Ang, J.S.; Cheng, Y.; Wu, C. Does Enforcement of Intellectual Property Rights Matter in China? Evidence from Financing and Investment Choices in the High-Tech Industry. Rev. Econ. Stat. 2014, 96, 332–348. [Google Scholar] [CrossRef]
- Hu, A.G.; Jefferson, G.H. A Great Wall of Patents: What Is behind China’s Recent Patent Explosion? J. Dev. Econ. 2009, 90, 57–68. [Google Scholar] [CrossRef]
- Bilir, L.K. Patent Laws, Product Life-Cycle Lengths, and Multinational Activity. Am. Econ. Rev. 2014, 104, 1979–2013. [Google Scholar] [CrossRef]
- Moser, P. Patents and Innovation: Evidence from Economic History. J. Econ. Perspect. 2013, 27, 23–44. [Google Scholar] [CrossRef]
- Jaffe, A. Technological Opportunity and Spillovers of R&D: Evidence from Firms Patents, Profits, and Market Value. Am. Econ. Rev. 1986, 76, 984–1001. [Google Scholar]
- Slivko, O.; Theilen, B. Innovation or Imitation? The Effect of Spillovers and Competitive Pressure on Firms’ R&D Strategy Choice. J. Econ. 2014, 112, 253–282. [Google Scholar] [CrossRef]
- Moser, P. Innovation without Patents: Evidence from World’s Fairs. J. Law Econ. 2012, 55, 43–74. [Google Scholar] [CrossRef]
- Zhao, M. Conducting R&D in Countries with Weak Intellectual Property Rights Protection. Manag. Sci. 2006, 52, 1185–1199. [Google Scholar] [CrossRef]
- Schaefer, A. Enforcement of Intellectual Property, Pollution Abatement, and Directed Technical Change. Environ. Resour. Econ. 2017, 66, 457–480. [Google Scholar] [CrossRef][Green Version]
- Cao, Y.; Elahi, E.; Khalid, Z.; Li, P.; Sun, P. How Do Intellectual Property Rights Affect Green Technological Innovation? Empirical Evidence from China. Sustainability 2023, 15, 7762. [Google Scholar] [CrossRef]
- Dussaux, D.; Dechezlepretre, A.; Glachant, M. The Impact of Intellectual Property Rights Protection on Low-Carbon Trade and Foreign Direct Investments. Energy Policy 2022, 171, 113269. [Google Scholar] [CrossRef]
- Donis, S.; Gómez, J.; Salazar, I. Economic Complexity, Property Rights and the Judicial System as Drivers of Eco-Innovations: An Analysis of OECD Countries. Technovation 2023, 128, 102868. [Google Scholar] [CrossRef]
- Jiang, W.; Jiang, N.; Ge, L. How Do Intellectual Property Demonstration Cities Contribute to Low-Carbon Development? Evidence from China. Environ. Sci. Pollut. Res. 2023, 30, 92007–92026. [Google Scholar] [CrossRef]
- Liu, S.; Zhong, C. Green Growth: Intellectual Property Conflicts and Prospects in the Extraction of Natural Resources for Sustainable Development. Resour. Policy 2024, 89, 104588. [Google Scholar] [CrossRef]
- Barbieri, N.; Marzucchi, A.; Rizzo, U. Knowledge Sources and Impacts on Subsequent Inventions: Do Green Technologies Differ from Non-Green Ones? Res. Policy 2020, 49, 103901. [Google Scholar] [CrossRef]
- Hagedoorn, J.; Zobel, A.-K. The Role of Contracts and Intellectual Property Rights in Open Innovation. Technol. Anal. Strateg. Manag. 2015, 27, 1050–1067. [Google Scholar] [CrossRef]
- Eppinger, E.; Jain, A.; Vimalnath, P.; Gurtoo, A.; Tietze, F.; Hernandez Chea, R. Sustainability Transitions in Manufacturing: The Role of Intellectual Property. Curr. Opin. Environ. Sustain. 2021, 49, 118–126. [Google Scholar] [CrossRef]
- De Marchi, V. Environmental Innovation and R&D Cooperation: Empirical Evidence from Spanish Manufacturing Firms. Res. Policy 2012, 41, 614–623. [Google Scholar] [CrossRef]
- Cainelli, G.; Mazzanti, M.; Montresor, S. Environmental Innovations, Local Networks and Internationalization. Ind. Innov. 2012, 19, 697–734. [Google Scholar] [CrossRef]
- Arora, A.; Athreye, S.; Huang, C. The Paradox of Openness Revisited: Collaborative Innovation and Patenting by UK Innovators. Res. Policy 2016, 45, 1352–1361. [Google Scholar] [CrossRef]
- Cassiman, B.; Veugelers, R. R&D Cooperation and Spillovers: Some Empirical Evidence from Belgium. Am. Econ. Rev. 2002, 92, 1169–1184. [Google Scholar] [CrossRef]
- Foss, N.J.; Laursen, K.; Pedersen, T. Linking Customer Interaction and Innovation: The Mediating Role of New Organizational Practices. Organ. Sci. 2011, 22, 980–999. [Google Scholar] [CrossRef]
- Giarratana, M.S.; Mariani, M. The Relationship Between Knowledge Sourcing and Fear of Imitation. Strateg. Manag. J. 2014, 35, 1144–1163. [Google Scholar] [CrossRef]
- Roh, T.; Lee, K.; Yang, J.Y. How Do Intellectual Property Rights and Government Support Drive a Firm’s Green Innovation? The Mediating Role of Open Innovation. J. Clean. Prod. 2021, 317, 128422. [Google Scholar] [CrossRef]
- Bossle, M.B.; de Barcellos, M.D.; Vieira, L.M.; Sauvee, L. The Drivers for Adoption of Eco-Innovation. J. Clean. Prod. 2016, 113, 861–872. [Google Scholar] [CrossRef]
- Naghavi, A.; Strozzi, C. Intellectual Property Rights, Diasporas, and Domestic Innovation. J. Int. Econ. 2015, 96, 150–161. [Google Scholar] [CrossRef]
- Hall, B.H.; Harhoff, D. Recent Research on the Economics of Patents. Annu. Rev. Econ. 2012, 4, 541–565. [Google Scholar] [CrossRef]
- Gilchrist, D.S. Patents as a Spur to Subsequent Innovation? Evidence from Pharmaceuticals. Am. Econ. J. Appl. Econ. 2016, 8, 189–221. [Google Scholar] [CrossRef]
- Melero, E.; Palomeras, N.; Wehrheim, D. The Effect of Patent Protection on Inventor Mobility. Manag. Sci. 2020, 66, 5485–5504. [Google Scholar] [CrossRef]
- Beck, T.; Levine, R.; Levkov, A. Big Bad Banks? The Winners and Losers from Bank Deregulation in the United States. J. Financ. 2010, 65, 1637–1667. [Google Scholar] [CrossRef]
- Tang, C.; Xu, Y.; Hao, Y.; Wu, H.; Xue, Y. What Is the Role of Telecommunications Infrastructure Construction in Green Technology Innovation? A Firm-Level Analysis for China. Energy Econ. 2021, 103, 105576. [Google Scholar] [CrossRef]
- Li, Z.; Huang, Z.; Su, Y. New Media Environment, Environmental Regulation and Corporate Green Technology Innovation: Evidence from China. Energy Econ. 2023, 119, 106545. [Google Scholar] [CrossRef]
- Du, K.; Cheng, Y.; Yao, X. Environmental Regulation, Green Technology Innovation, and Industrial Structure Upgrading: The Road to the Green Transformation of Chinese Cities. Energy Econ. 2021, 98, 105247. [Google Scholar] [CrossRef]
- Tao, S.; Hai, M.; Fang, Z.; Zheng, D. The Role of Environmental Justice Reform in Corporate Green Transformation: Evidence from the Establishment of China’s Environmental Courts. Front. Environ. Sci. 2023, 11, 1090853. [Google Scholar] [CrossRef]
- Zhou, M.; Chen, F.; Chen, Z. Can CEO Education Promote Environmental Innovation: Evidence from Chinese Enterprises. J. Clean. Prod. 2021, 297, 126725. [Google Scholar] [CrossRef]
- Berrone, P.; Fosfuri, A.; Gelabert, L.; Gomez-Mejia, L.R. Necessity as the Mother of “green” Inventions: Institutional Pressures and Environmental Innovations. Strateg. Manag. J. 2013, 34, 891–909. [Google Scholar] [CrossRef]
- Eiadat, Y.; Kelly, A.; Roche, F.; Eyadat, H. Green and Competitive? An Empirical Test of the Mediating Role of Environmental Innovation Strategy. J. World Bus. 2008, 43, 131–145. [Google Scholar] [CrossRef]
- Horbach, J. Determinants of Environmental Innovation—New Evidence from German Panel Data Sources. Res. Policy 2008, 37, 163–173. [Google Scholar] [CrossRef]
- Bai, G.; Li, T.; Xu, P. Can Analyst Coverage Enhance Corporate Innovation Legitimacy?—Heterogeneity Analysis Based on Different Situational Mechanisms. J. Clean. Prod. 2023, 405, 137048. [Google Scholar] [CrossRef]
- Yang, F.; Li, X. Corporate Financialization, ESG Performance and Sustainability Development: Evidence from Chinese-Listed Companies. Sustainability 2023, 15, 2978. [Google Scholar] [CrossRef]
- Jacobson, L.; Lalonde, R.; Sullivan, D. Earnings Losses of Displaced Workers. Am. Econ. Rev. 1993, 83, 685–709. [Google Scholar]
- Boeckerman, P.; Ilmakunnas, P. Unemployment and Self-Assessed Health: Evidence from Panel Data. Health Econ. 2009, 18, 161–179. [Google Scholar] [CrossRef]
- Lee, C.-C.; Nie, C. Place-Based Policy and Green Innovation: Evidence from the National Pilot Zone for Ecological Conservation in China. Sustain. Cities Soc. 2023, 97, 104730. [Google Scholar] [CrossRef]
- Khanra, S.; Kaur, P.; Joseph, R.P.; Malik, A.; Dhir, A. A Resource-based View of Green Innovation as a Strategic Firm Resource: Present Status and Future Directions. Bus. Strategy Environ. 2022, 31, 1395–1413. [Google Scholar] [CrossRef]
- Abadzhiev, A.; Sukhov, A.; Sihvonen, A.; Johnson, M. Managing the Complexity of Green Innovation. Eur. J. Innov. Manag. 2022, 25, 850–866. [Google Scholar] [CrossRef]
- Fang, L.H.; Lerner, J.; Wu, C. Intellectual Property Rights Protection, Ownership, and Innovation: Evidence from China. Rev. Financ. Stud. 2017, 30, 2446–2477. [Google Scholar] [CrossRef]
- Wang, H.; Qi, S.; Zhou, C.; Zhou, J.; Huang, X. Green Credit Policy, Government Behavior and Green Innovation Quality of Enterprises. J. Clean. Prod. 2022, 331, 129834. [Google Scholar] [CrossRef]
- Zhang, C.; Zhou, B.; Tian, X. Political Connections and Green Innovation: The Role of a Corporate Entrepreneurship Strategy in State-Owned Enterprises. J. Bus. Res. 2022, 146, 375–384. [Google Scholar] [CrossRef]
- Lin, H.; Long, C.X. Do Discretion Criteria for Patent Administrative Law Enforcement Encourage Innovation among Firms? China Econ. Q. Int. 2021, 1, 160–175. [Google Scholar] [CrossRef]
- Baron, R.; Kenny, D. The Moderator Mediator Variable Distinction in Social Psychological-Research—Conceptual, Strategic, and Statistical Considerations. J. Personal. Soc. Psychol. 1986, 51, 1173–1182. [Google Scholar] [CrossRef] [PubMed]
- Autor, D.H.; Levy, F.; Murnane, R.J. The Skill Content of Recent Technological Change: An Empirical Exploration. Q. J. Econ. 2003, 118, 1279–1333. [Google Scholar] [CrossRef]
- Ginarte, J.C.; Park, W.G. Determinants of Patent Rights: A Cross-National Study. Res. Policy 1997, 26, 283–301. [Google Scholar] [CrossRef]


| Variables | Mean | Std. Dev | Min | Max | Quantile | ||
|---|---|---|---|---|---|---|---|
| 50% | 75% | 95% | |||||
| 0.6022 | 0.9498 | 0.0000 | 4.2485 | 0.0000 | 1.0986 | 2.7081 | |
| 0.5707 | 0.4950 | 0.0000 | 1.0000 | 1.0000 | 1.0000 | 1.0000 | |
| 0.3613 | 0.4804 | 0.0000 | 1.0000 | 0.0000 | 1.0000 | 1.0000 | |
| 3.5889 | 1.1474 | 1.4110 | 7.0901 | 3.4657 | 4.2485 | 5.7991 | |
| 2.7217 | 0.3914 | 1.3863 | 3.4340 | 2.7726 | 2.9957 | 3.2581 | |
| 0.3992 | 0.1898 | 0.0482 | 0.8240 | 0.3972 | 0.5458 | 0.7090 | |
| 0.3368 | 0.1390 | 0.0877 | 0.7215 | 0.3192 | 0.4258 | 0.5951 | |
| 1.9704 | 0.2915 | 1.3863 | 2.7726 | 1.9459 | 2.1972 | 2.4849 | |
| 0.2414 | 0.3498 | 0.0000 | 2.1342 | 0.1115 | 0.2738 | 0.9821 | |
| Variables | |||||||
|---|---|---|---|---|---|---|---|
| 0.2633 *** | |||||||
| 0.4439 *** | 0.1427 *** | ||||||
| 0.1704 *** | 0.2181 *** | 0.3332 *** | |||||
| 0.2274 *** | −0.0124 | 0.5026 *** | 0.1916 *** | ||||
| −0.0664 *** | −0.0813 *** | 0.0770 *** | −0.1579 *** | −0.0106 | |||
| 0.1113 *** | −0.0465 *** | 0.2471 *** | 0.0225 ** | 0.1210 *** | −0.0351 *** | ||
| 0.4602 *** | 0.1461 *** | 0.6315 *** | 0.2211 *** | 0.3040 *** | 0.0175 * | 0.1917 *** |
| Variables | (1) | (2) | (3) | (4) | (5) |
|---|---|---|---|---|---|
| 0.1600 *** | 0.1562 *** | 0.1593 *** | 0.1561 *** | 0.1485 *** | |
| (0.0441) | (0.0414) | (0.0414) | (0.0418) | (0.0389) | |
| 0.3862 *** | 0.3996 *** | 0.4026 *** | 0.3259 *** | ||
| (0.0433) | (0.0449) | (0.0438) | (0.0412) | ||
| −0.1233 | −0.0966 | −0.1285 | −0.0686 | ||
| (0.1114) | (0.1124) | (0.1113) | (0.1058) | ||
| −0.1675 * | −0.1730 * | −0.1811 ** | |||
| (0.0879) | (0.0883) | (0.0837) | |||
| −0.2773 | −0.3245 * | ||||
| (0.1956) | (0.1846) | ||||
| −0.0302 | −0.0166 | ||||
| (0.0498) | (0.0486) | ||||
| 0.4246 *** | |||||
| (0.0582) | |||||
| Firm FE | |||||
| Year FE | |||||
| Constant | 0.5444 *** | −0.5047 * | −0.5597 * | −0.3273 | −0.3223 |
| (0.0159) | (0.3015) | (0.3041) | (0.3261) | (0.3296) | |
| N | 0.6555 | 0.6751 | 0.6753 | 0.6756 | 0.6824 |
| R2 | 9642 | 9642 | 9642 | 9642 | 9642 |
| Variables | PSM-DID | Alternative Variables | Change Sample | ||
|---|---|---|---|---|---|
| (1) | (2) | (3) | (4) | (5) | |
| 0.1451 *** | 0.0996 *** | 0.0843 ** | 0.1538 *** | 0.0984 *** | |
| (0.0388) | (0.0251) | (0.0331) | (0.0395) | (0.0334) | |
| 0.3215 *** | 0.1181 *** | 0.2845 *** | 0.3247 *** | 0.2723 *** | |
| (0.0412) | (0.0209) | (0.0376) | (0.0445) | (0.0352) | |
| −0.0786 | −0.0847 | −0.0050 | −0.0686 | 0.0618 | |
| (0.1083) | (0.0714) | (0.1229) | (0.1072) | (0.0931) | |
| −0.1715 ** | −0.0194 | −0.0828 | −0.1718 * | −0.1082 * | |
| (0.0842) | (0.0645) | (0.1114) | (0.0895) | (0.0610) | |
| −0.3208 * | −0.0784 | −0.2581 | −0.3424 * | −0.2550 | |
| (0.1863) | (0.1035) | (0.1935) | (0.1873) | (0.1677) | |
| −0.0162 | 0.0471 | −0.0561 | −0.0153 | −0.0128 | |
| (0.0489) | (0.0475) | (0.0564) | (0.0509) | (0.0415) | |
| 0.4261 *** | 0.2899 *** | 0.3222 *** | 0.4249 *** | 0.3940 *** | |
| (0.0586) | (0.0426) | (0.0469) | (0.0608) | (0.0496) | |
| Firm FE | |||||
| Year FE | |||||
| Constant | −0.2853 | −0.1367 | −0.2456 | −0.2866 | −0.5902 ** |
| (0.3339) | (0.2401) | (0.3969) | (0.3212) | (0.2870) | |
| N | 9571 | 9642 | 9642 | 8891 | 15449 |
| R2 | 0.6782 | 0.5603 | 0.6734 | 0.6766 | 0.6666 |
| Variables | Firm Scale | Equity Nature | Industry Type |
|---|---|---|---|
| (1) | (2) | (3) | |
| 0.1998 *** | |||
| (0.0440) | |||
| 0.1833 *** | |||
| (0.0542) | |||
| 0.2609 *** | |||
| (0.0560) | |||
| 0.2968 *** | 0.3273 *** | 0.3192 *** | |
| (0.0404) | (0.0417) | (0.0421) | |
| −0.0280 | −0.0030 | −0.0872 | |
| (0.1083) | (0.1035) | (0.1056) | |
| −0.1731 ** | −0.1612 * | −0.1807 ** | |
| (0.0848) | (0.0849) | (0.0843) | |
| −0.3355 * | −0.3646 ** | −0.3090 * | |
| (0.1838) | (0.1801) | (0.1837) | |
| −0.0211 | −0.0223 | −0.0188 | |
| (0.0479) | (0.0479) | (0.0478) | |
| 0.4039 *** | 0.4211 *** | 0.4209 *** | |
| (0.0577) | (0.0587) | (0.0599) | |
| Firm FE | |||
| Year FE | |||
| Constant | −0.2954 | −0.4528 | −0.2280 |
| (0.3443) | (0.3299) | (0.3355) | |
| N | 9642 | 9642 | 9642 |
| R2 | 0.6833 | 0.6821 | 0.6832 |
| Variables | (1) | Open Innovation | Human Capital | ||||
|---|---|---|---|---|---|---|---|
| (2) | (3) | (4) | (5) | (6) | (7) | ||
| 0.1485 *** | 0.0343 ** | 0.1239 *** | 0.0639 *** | 0.1084 *** | 0.7734 ** | 0.1441 *** | |
| (0.0389) | (0.0136) | (0.0374) | (0.0226) | (0.0381) | (0.3648) | (0.0393) | |
| 0.7183 *** | |||||||
| (0.0438) | |||||||
| 0.6271 *** | |||||||
| (0.0485) | |||||||
| 0.0054 *** | |||||||
| (0.0017) | |||||||
| 0.3259 *** | 0.0614 *** | 0.2818 *** | 0.0819 *** | 0.2745 *** | 0.0350 | 0.3277 *** | |
| (0.0412) | (0.0118) | (0.0414) | (0.0195) | (0.0434) | (0.3710) | (0.0418) | |
| −0.0686 | −0.0574 | −0.0274 | −0.1054 | −0.0025 | −3.2632 ** | −0.0424 | |
| (0.1058) | (0.0455) | (0.1081) | (0.0880) | (0.1136) | (1.4810) | (0.1077) | |
| −0.1811 ** | −0.0655 ** | −0.1341 * | −0.0919 * | −0.1235 | −0.6784 | −0.1801 ** | |
| (0.0837) | (0.0311) | (0.0783) | (0.0542) | (0.0775) | (1.1249) | (0.0839) | |
| −0.3245 * | −0.1729 ** | −0.2002 | −0.1671 * | −0.2197 | −5.2562 ** | −0.2740 | |
| (0.1846) | (0.0669) | (0.1718) | (0.0970) | (0.1710) | (2.4590) | (0.1875) | |
| −0.0166 | −0.0210 | −0.0016 | −0.0304 | 0.0024 | 0.3874 | −0.0239 | |
| (0.0486) | (0.0177) | (0.0437) | (0.0292) | (0.0416) | (0.5472) | (0.0497) | |
| 0.4246 *** | 0.0929 *** | 0.3579 *** | 0.1762 *** | 0.3141 *** | 1.0528 ** | 0.4174 *** | |
| (0.0582) | (0.0234) | (0.0534) | (0.0406) | (0.0545) | (0.4792) | (0.0586) | |
| Year FE | |||||||
| Firm FE | |||||||
| Constant | −0.3223 | 0.1355 | −0.4197 | 0.2103 | −0.4543 | 25.8941 *** | −0.4874 |
| (0.3296) | (0.1241) | (0.3310) | (0.2222) | (0.3240) | (4.4361) | (0.3421) | |
| R2 | 9642 | 9642 | 9642 | 9642 | 9642 | 9562 | 9562 |
| N | 0.6824 | 0.3748 | 0.7171 | 0.4736 | 0.7262 | 0.7735 | 0.6829 |
| Sobel test | 2.3840 ** | 2.6320 ** | 1.6720 * | ||||
| Proportion | 0.1660 | 0.2700 | 0.0280 | ||||
Disclaimer/Publisher’s Note: The statements, opinions and data contained in all publications are solely those of the individual author(s) and contributor(s) and not of MDPI and/or the editor(s). MDPI and/or the editor(s) disclaim responsibility for any injury to people or property resulting from any ideas, methods, instructions or products referred to in the content. |
© 2024 by the authors. Licensee MDPI, Basel, Switzerland. This article is an open access article distributed under the terms and conditions of the Creative Commons Attribution (CC BY) license (https://creativecommons.org/licenses/by/4.0/).
Share and Cite
Chen, D.; Chen, S. Patent Protection Policy and Firms’ Green Technology Innovation: Mediating Roles of Open Innovation and Human Capital. Sustainability 2024, 16, 2217. https://doi.org/10.3390/su16052217
Chen D, Chen S. Patent Protection Policy and Firms’ Green Technology Innovation: Mediating Roles of Open Innovation and Human Capital. Sustainability. 2024; 16(5):2217. https://doi.org/10.3390/su16052217
Chicago/Turabian StyleChen, Dong, and Shi Chen. 2024. "Patent Protection Policy and Firms’ Green Technology Innovation: Mediating Roles of Open Innovation and Human Capital" Sustainability 16, no. 5: 2217. https://doi.org/10.3390/su16052217
APA StyleChen, D., & Chen, S. (2024). Patent Protection Policy and Firms’ Green Technology Innovation: Mediating Roles of Open Innovation and Human Capital. Sustainability, 16(5), 2217. https://doi.org/10.3390/su16052217

