Investigation on the Confined Breakage Characteristics of Calcareous Sand in the South China Sea Integrated Using Relative Breakage Ratio and Fractal Dimension
Abstract
1. Introduction
2. Materials and Methods
2.1. Test Material
2.2. Test Equipment
2.3. Test Scheme
3. Results and Discussion
3.1. Compression Responses of Calcareous Sand
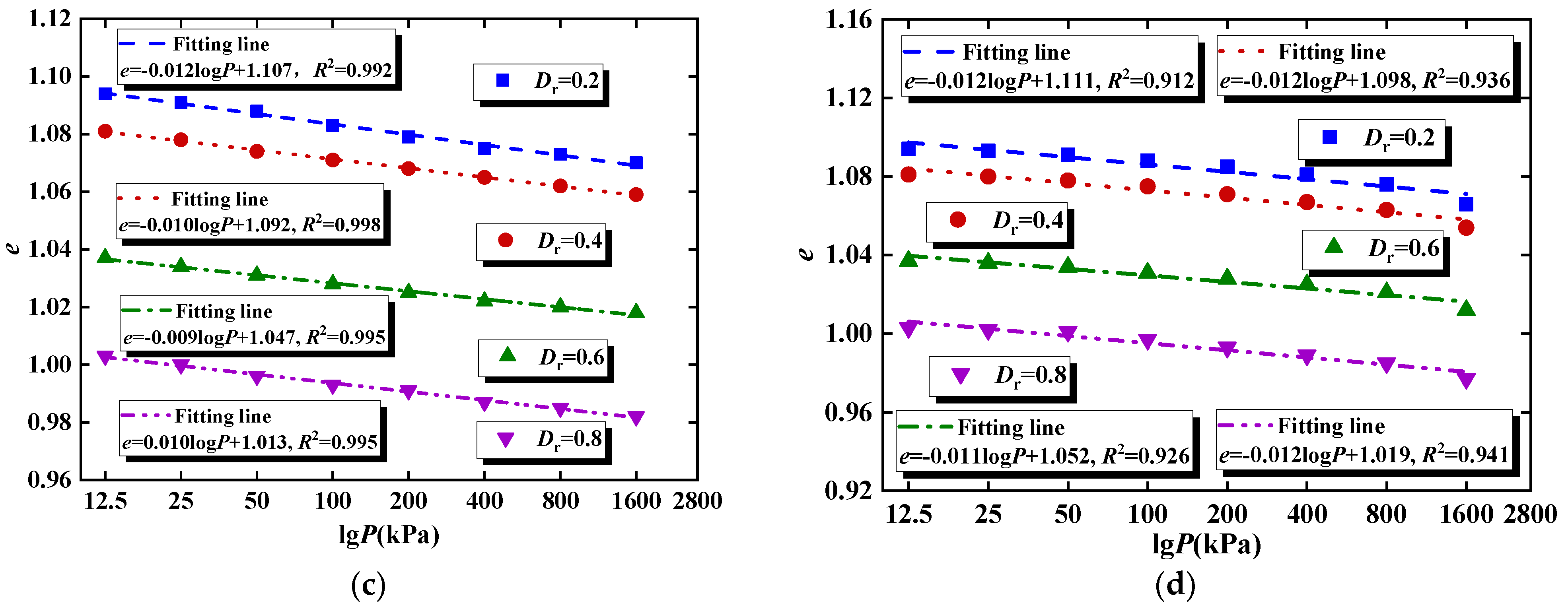
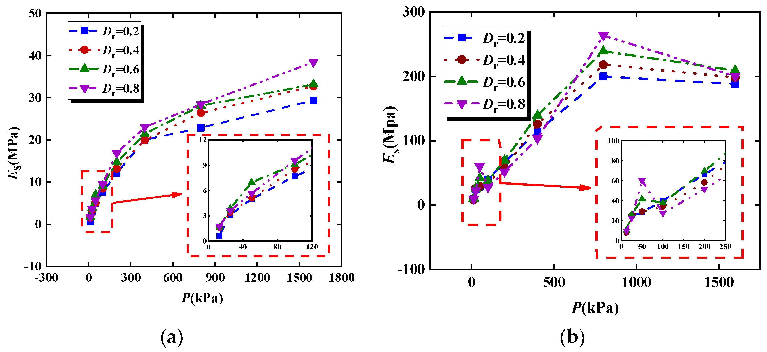
3.1.1. The Effect of Relative Density
3.1.2. Saturation Degree
3.2. Particle Breakage Responses of Calcareous Sand
3.2.1. Quantitative Assessment of Particle Breakage
- 1.
- Relative breakage index
- 2.
- Fractal dimension
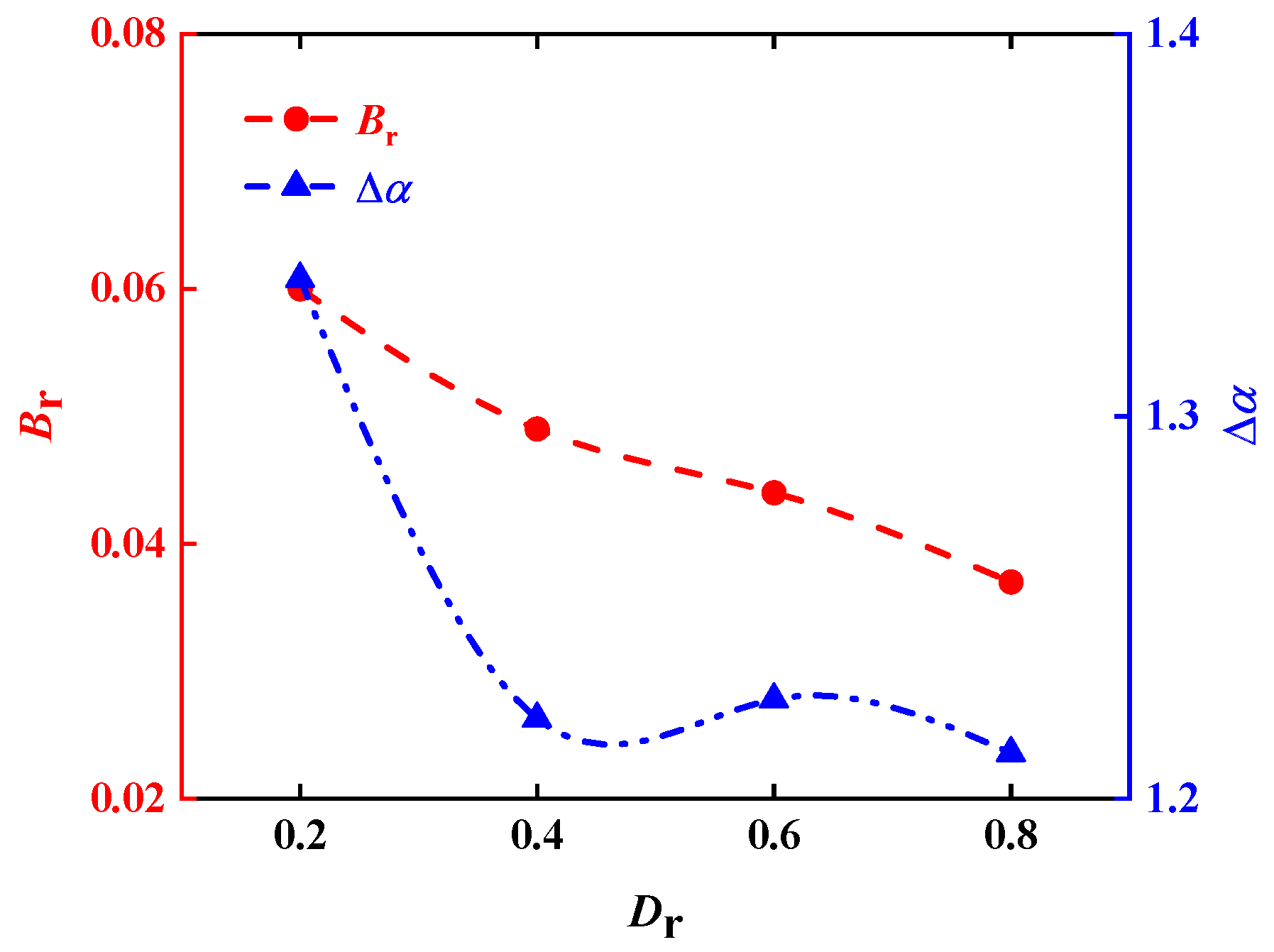
3.2.2. The Effect of Relative Density
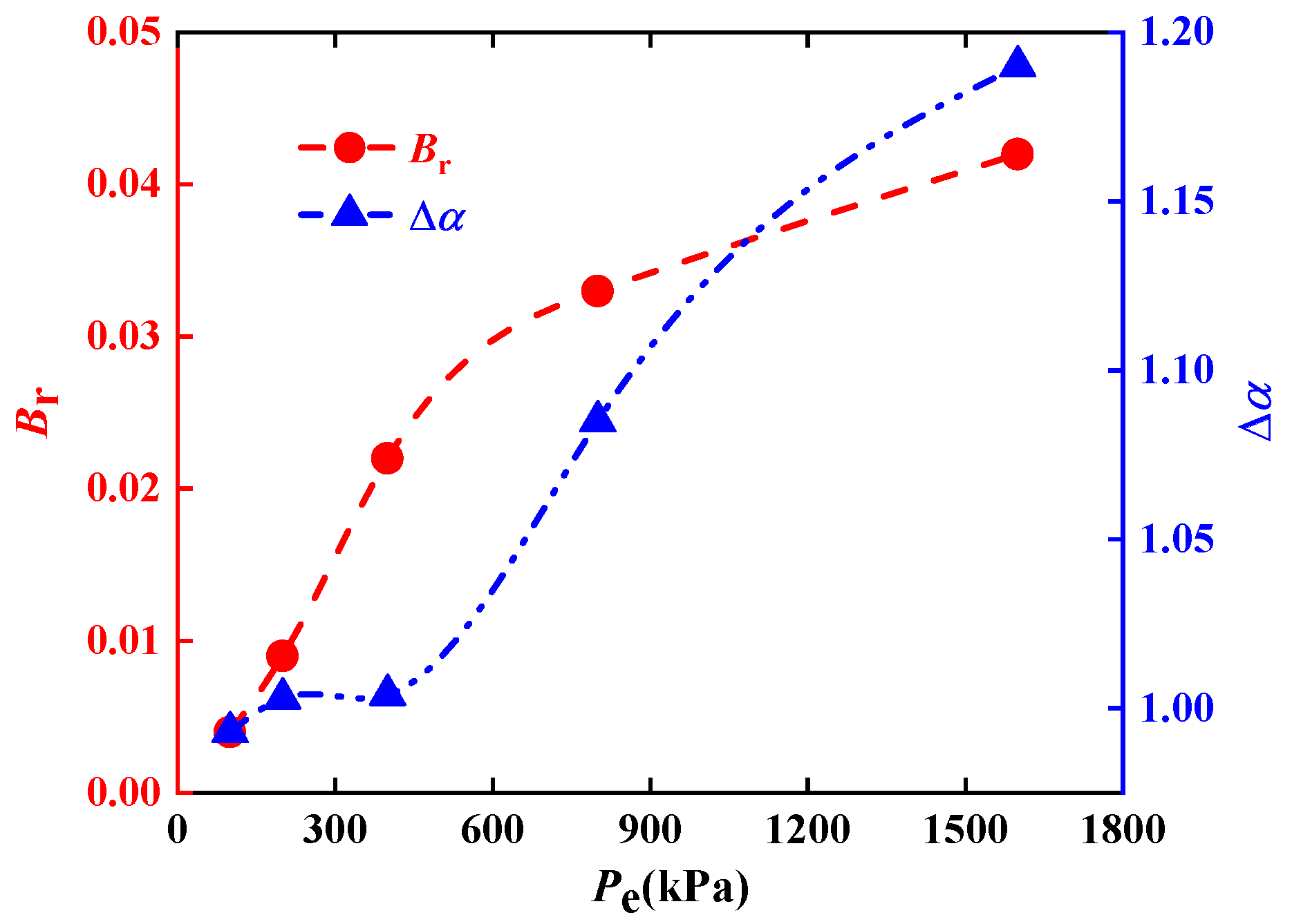
3.2.3. The Effect of Ending Load
3.2.4. The Effect of the Loading Path
3.2.5. The Effect of Saturation Degree
4. Conclusions
- Increasing relative density induces a transition in particle contact patterns from predominantly point-to-point contact to face-to-face contact, resulting in reduced inter-particle contact stress and overall fragmentation. The influence of relative density on sample deformation is particularly pronounced under initial loading conditions below 200 kPa. Variations in sample deformation under different relative densities primarily stem from differences in the initial available void space within the calcareous sand.
- Increasing loads intensified particle breakage, particularly with finer particles. Noticeable breakage of particles with a diameter close to 1 mm occurred only after loads surpassed 200 kPa, while cracking of all larger particles was observed after loads exceeded 400 kPa.
- Loading paths showed minimal impact on particle crushing. During the second loading phase, pore ratios under various load levels surpassed those observed during the initial loading, leading to new fragmentation only at loads reaching 1600 kPa, accompanied by the expulsion of pore water and dissipation of pore pressure.
- The lubricating effect of water could reduce the inter-particle friction, thereby diminishing overall breakage. However, increasing relative sliding could intensify stress points at particle edges, resulting in localized abrasion. Although this did not affect the main structure, it led to an increased content of finer particles. The influence of pore water pressure was primarily manifested when numerous semi-enclosed pores existed within the specimen during the second loading phase.
- Currently, our research on calcareous sand breakage is limited to confined compression tests. However, erosion on calcareous sand coastlines is largely caused by dynamic loads such as extreme wave loading and seismic activities. Therefore, the next phase of our research will investigate calcareous sand fragmentation characteristics under dynamic loading conditions, considering various influencing factors.
Author Contributions
Funding
Institutional Review Board Statement
Informed Consent Statement
Data Availability Statement
Conflicts of Interest
References
- Li, L.; Beemer, R.; Iskander, M. Granulometry of two marine calcareous sands. J. Geotech. Geoenviron. Eng. 2021, 147, 04020171. [Google Scholar] [CrossRef]
- Liu, L.; Yao, X.; Ji, Z.; Gao, H.; Wang, Z.; Shen, Z. Cyclic Behavior of Calcareous Sand from the South China Sea. J. Mar. Sci. Eng. 2021, 9, 1014. [Google Scholar] [CrossRef]
- Yu, F. Characteristics of particle breakage of sand in triaxial shear. Powder Technol. 2017, 320, 656–667. [Google Scholar] [CrossRef]
- Wang, X.; Wang, X.; Jin, Z.; Meng, Q.; Zhu, C.; Wang, R. Shear characteristics of calcareous gravelly soil. Bull. Eng. Geol. Environ. 2017, 76, 561–573. [Google Scholar] [CrossRef]
- Wang, X.; Wang, X.; Shen, J.; Ding, H.; Wen, D.; Zhu, C.; Lv, S. Foundation filling performance of calcareous soil on coral reefs in the South China Sea. Appl. Ocean Res. 2022, 129, 103386. [Google Scholar] [CrossRef]
- He, S.; Ding, Z.; Sun, Y.; Chen, W.; Xia, T. Cumulative deformations and particle breakage in calcareous sand subjected to drained high-cyclic loading: Experimental investigation. Soil Dyn. Earthq. Eng. 2022, 161, 107417. [Google Scholar] [CrossRef]
- Shen, Y.; Zhu, Y.; Liu, H.; Li, A.; Ge, H. Macro-meso effects of gradation and particle morphology on the compressibility characteristics of calcareous sand. Bull. Eng. Geol. Environ. 2018, 77, 1047–1055. [Google Scholar] [CrossRef]
- Wang, X.; Wu, Y.; Cui, J.; Zhu, C.; Wang, X. Shape characteristics of coral sand from the South China Sea. J. Mar. Sci. Eng. 2020, 8, 803. [Google Scholar] [CrossRef]
- Zhu, C.; Chen, H.; Meng, Q.; Wang, R. Microscopic characterization of intrapore structures of calcareous sands. Rock Soil Mech. 2014, 35, 1831–1836. [Google Scholar] [CrossRef]
- Ye, J.; Zhang, Z.; Shan, J. Statistics-based method for determination of drag coefficient for nonlinear porous flow in calcareous sand soil. Bull. Eng. Geol. Environ. 2019, 78, 3663–3670. [Google Scholar] [CrossRef]
- Wu, Y.; Li, N.; Wang, X.; Cui, J.; Chen, Y.; Wu, Y.; Yamamoto, H. Experimental investigation on mechanical behavior and particle crushing of calcareous sand retrieved from South China Sea. Eng. Geol. 2021, 280, 105932. [Google Scholar] [CrossRef]
- Lv, Y.; Li, X.; Fan, C.; Su, Y. Effects of internal pores on the mechanical properties of marine calcareous sand particles. Acta Geotech. 2021, 16, 3209–3228. [Google Scholar] [CrossRef]
- Cooper, M.; Sorensen, K.; Freitas, T.; Georgoutsos, G. Particle breakage during shearing of a carbonate sand. Géotechnique 2004, 54, 157–163. [Google Scholar] [CrossRef]
- Skaropoulou, A.; Kakali, G.; Tsivilis, S. Thaumasite form of sulfate attack in limestone cement concrete: The effect of cement composition, sand type and exposure temperature. Constr. Build. Mater. 2012, 36, 527–533. [Google Scholar] [CrossRef]
- Flor-Blanco, G.; Bruschi, V.; Adrados, L.; Domínguez-Cuesta, M.; Gracia-Prieto, F.; Llana-Fúnez, S. Geomorphological evolution of the calcareous coastal cliffs in North Iberia (Asturias and Cantabria regions). Estuar. Coast. Shelf Sci. 2022, 273, 107913. [Google Scholar] [CrossRef]
- Ortega, A.; Díaz, L.; Cueto, J. Assessment and management of coastal erosion in the marine protected area of the Rosario Island archipelago (Colombian Caribbean). Ocean Coast. Manag. 2023, 239, 106605. [Google Scholar] [CrossRef]
- Zeng, H.; Yin, L.; Tang, C.; Zhu, C.; Cheng, Q.; Li, H.; Lv, C.; Shi, B. Tensile behavior of bio-cemented, fiber-reinforced calcareous sand from coastal zone. Eng. Geol. 2021, 294, 106390. [Google Scholar] [CrossRef]
- Wang, S.; Huang, Y. Experimental study on the effect of particle breakage on the shear characteristics of large-displacement soil exposed to heat treatment. Eng. Geol. 2023, 323, 107219. [Google Scholar] [CrossRef]
- Kosciuch, T.; Pilarczyk, J.; Hong, I.; Fritz, H.; Horton, B.; Rarai, A.; Harrison, M.; Jockley, F. Foraminifera reveal a shallow nearshore origin for overwash sediments deposited by Tropical Cyclone Pam in Vanuatu (South Pacific). Mar. Geol. 2018, 396, 171–185. [Google Scholar] [CrossRef]
- Xiong, H.; Qiu, Y.; Liu, J.; Yin, Z.; Chen, X. Macro–microscopic mechanism of suffusion in calcareous sand under tidal fluctuations by coupled CFD-DEM. Comput. Geotech. 2023, 162, 105676. [Google Scholar] [CrossRef]
- McDougall, C. Erosion and the beaches of Negril. Ocean Coast. Manag. 2017, 148, 204–213. [Google Scholar] [CrossRef]
- Silva, A.; Leão, Z.; Kikuchi, R.; Costa, A.; Souza, J. Sedimentation in the coastal reefs of Abrolhos over the last decades. Cont. Shelf Res. 2013, 70, 159–167. [Google Scholar] [CrossRef]
- Li, X.; Liu, J. One-dimensional compression feature and particle crushability behavior of dry calcareous sand considering fine-grained soil content and relative compaction. Bull. Eng. Geol. Environ. 2021, 80, 4049–4065. [Google Scholar] [CrossRef]
- Li, X.; Liu, J.; Sun, Z. Impacts of organic matter and loading methods on one dimensional compression behavior of calcareous sand. Mar. Georesour. Geotechnol. 2021, 40, 1046–1059. [Google Scholar] [CrossRef]
- Peng, Y.; Ding, X.; Zhang, Y.; Wang, C.; Wang, C. Evaluation of the particle breakage of calcareous sand based on the detailed probability of grain survival: An application of repeated low-energy impacts. Soil Dyn. Earthq. Eng. 2021, 141, 106497. [Google Scholar] [CrossRef]
- Shen, J.; Wang, X.; Shan, Y.; Cui, J.; Chen, X.; Wang, X.; Zhu, C. Particle breakage and shape analysis of calcareous sand under consolidated-undrained triaxial shear. Bull. Eng. Geol. Environ. 2022, 81, 232. [Google Scholar] [CrossRef]
- Coop, M. The mechanics of uncemented carbonate sands. Géotechnique 1990, 40, 607–626. [Google Scholar] [CrossRef]
- Coop, M.; Atkinson, J. The mechanics of cemented carbonate sands. Géotechnique 1993, 43, 53–67. [Google Scholar] [CrossRef]
- Kong, D.; Fonseca, J. On the kinematics of shelly carbonate sand using X-ray micro tomography. Eng. Geol. 2019, 261, 105268. [Google Scholar] [CrossRef]
- Wan, T.; Ma, L.; Wang, M.; Li, Z.; Zhan, X.; Geng, H. Effects of particle shape on dynamic mechanical behaviours of coral sand under one-dimensional compression. Eng. Geol. 2022, 304, 106624. [Google Scholar] [CrossRef]
- Suescun-Florez, E.; Iskander, M.; Bless, S. Evolution of particle damage of sand during axial compression via arrested tests. Acta Geotech. 2020, 15, 95–112. [Google Scholar] [CrossRef]
- Wang, X.; Cui, J.; Wu, Y.; Zhu, C.; Wang, X. Mechanical properties of calcareous silts in a hydraulic fill island-reef. Mar. Georesour. Geotechnol. 2020, 39, 1–14. [Google Scholar] [CrossRef]
- Wang, G.; Wang, Z.; Ye, Q.; Zha, J. Particle breakage evolution of coral sand using triaxial compression tests. J. Rock Mech. Geotech. 2021, 13, 321–334. [Google Scholar] [CrossRef]
- Miao, G.; Airey, D. Breakage and ultimate states for a carbonate sand. Géotechnique 2013, 63, 1221–1229. [Google Scholar] [CrossRef]
- Wei, H.; Liu, H.; Li, X.; Tao, Z.; Wu, Y.; Shen, J.; Yin, M. Effect of stress path on the mechanical properties of calcareous sand. Undergr. Space 2023, 9, 20–30. [Google Scholar] [CrossRef]
- Shahnazari, H.; Rezvani, R. Effective parameters for the particle breakage of calcareous sands: An experimental study. Eng. Geol. 2013, 159, 98–105. [Google Scholar] [CrossRef]
- Li, X.; Liu, J.; Nan, J. Prediction of dynamic pore water pressure for calcareous sand mixed with fine-grained soil under cyclic loading. Soil Dyn. Earthq. Eng. 2022, 157, 107276. [Google Scholar] [CrossRef]
- Zhang, X.; Chen, Y.; Liu, H.; Zhang, Z.; Ding, X. Performance evaluation of a MICP-treated calcareous sandy foundation using shake table tests. Soil Dyn. Earthq. Eng. 2020, 129, 105959. [Google Scholar] [CrossRef]
- Cao, D.; Shukla, S.; Yang, L.; Guo, C.; Wu, J.; Wang, F. Responses of calcareous sand foundations to variations of groundwater table and applied loads. J. Rock Mech. Geotech. Eng. 2022, 14, 1266–1279. [Google Scholar] [CrossRef]
- Gao, R.; Ye, J. Mechanical behaviors of coral sand and relationship between particle breakage and plastic work. Eng. Geol. 2023, 316, 107063. [Google Scholar] [CrossRef]
- Gao, R.; Ye, J. A novel relationship between elastic modulus and void ratio associated with principal stress for coral calcareous sand. J. Rock Mech. Geotech. Eng. 2023, in press. [Google Scholar] [CrossRef]
- Lv, Y.; Liu, J.; Xiong, Z. One-dimensional dynamic compressive behavior of dry calcareous sand at high strain rates. J. Rock Mech. Geotech. Eng. 2018, 11, 192–201. [Google Scholar] [CrossRef]
- Wang, X.; Liu, J.; Cui, J.; Wang, X.; Shen, J.; Zhu, C. Particle breakage characteristics of a foundation filling material on island-reefs in the South China Sea. Cons. Build. Mater. 2021, 306, 124690. [Google Scholar] [CrossRef]
- GB/T 50123-2019; Standard for Geotechnical Testing Method. Ministry of Housing and Urban-Rural Development of People’s Republic of China, China Planning Press: Beijing, China, 2019. (In Chinese)
- ASTMD2487; Standard Practice for Classification of soils for Engineering Purpose (Unified Soil Classification System). ASTM International: West Conshohocken, PA, USA, 2010. [CrossRef]
- Shen, J.; Chen, X.; Wang, X.; Wang, X.; Qin, Y.; Wu, H. Compression responses and particle breakage of calcareous granular material in reclaimed islands. Powder Technol. 2023, 418, 118277. [Google Scholar] [CrossRef]
- Wang, H.; Cui, Y.; Zhang, F.; Liu, J. Effect of grain breakage on the compressibility of soils. Acta Geotech. 2022, 17, 769–778. [Google Scholar] [CrossRef]
- Wang, C.; Ding, X.; Yin, Z. Mechanical characteristics and particle breakage of coral sand under one-dimensional repeated loading. Acta Geotech. 2022, 17, 3117–3130. [Google Scholar] [CrossRef]
- Ding, H.; Han, Z.; Li, Y.; Xie, W.; Fu, B.; Li, C.; Zhao, L. Particle breakage and its mechanical response in granular soils: A review and prospect. Cons. Build. Mater. 2023, 409, 133948. [Google Scholar] [CrossRef]
- John, N.; Khan, I.; Kandalai, S.; Patel, A. Particle breakage in construction materials: A geotechnical perspective. Cons. Build. Mater. 2023, 381, 131308. [Google Scholar] [CrossRef]
- Xie, K.; Li, T.; Chen, X.; Deng, Z. A novel method for determining the particle breakage contribution of high-speed railway graded aggregate and its application in vibratory compaction. Case Stud. Constr. Mater. 2023, 19, e02281. [Google Scholar] [CrossRef]
- Zhang, S.; Wang, J.; Tong, C. A breakage matrix methodology to predict particle size evolution of calcareous sands. Powder Technol. 2022, 407, 117626. [Google Scholar] [CrossRef]
- Hardin, B. Crushing of soils particles. J. Geothch. Eng. 1985, 111, 1177–1192. [Google Scholar] [CrossRef]
- Mandelbrot, B. The Fractal Geometry of Nature; W. H. Freeman and Company: New York, NY, USA, 1982; Volume 51, pp. 286–287. [Google Scholar] [CrossRef]
- Xu, Y. Explanation of scaling phenomenon based on fractal fragmentation. Mech. Res. Commun. 2005, 32, 209–220. [Google Scholar] [CrossRef]
- Xie, Z.; Lü, X.; Zhang, Y.; Liu, X.; Ma, Y.; Xu, K. Study on mechanical property and breakage behavior of tunnel slag containing weak rocks as road construction material. Cons. Build. Mater. 2024, 411, 134164. [Google Scholar] [CrossRef]
- Liu, S.; He, W.; Sun, Y.; Shen, C.; Wang, L. Analysis of the behavior of a high earth-core rockfill dam considering particle breakage. Comput. Geotech. 2023, 157, 105320. [Google Scholar] [CrossRef]
- Li, M.; Zhang, J.; Guo, Y.; Pu, H.; Peng, Y. Influence of particle size distribution on fractal characteristics of waste rock backfill materials under compression. J. Mater. Res. Technol. 2022, 20, 2977–2989. [Google Scholar] [CrossRef]
- Ari, A.; Akbulut, S. Effect of fractal dimension on sand-geosynthetic interface shear strength. Powder Technol. 2022, 401, 117349. [Google Scholar] [CrossRef]
























| emin | emax | d10/mm | d30/mm | d60/mm |
|---|---|---|---|---|
| 1.094 | 1.344 | 0.446 | 0.675 | 1.072 |
| Test No. | Dr | LM | Sr | Pe (kPa) |
|---|---|---|---|---|
| T1 | 0.6 | L2 | 100% | 1600 |
| T2 | 0.2 | L2 | 100% | 1600 |
| T3 | 0.4 | L2 | 100% | 1600 |
| T4 | 0.8 | L2 | 100% | 1600 |
| T5 | 0.6 | L1 | 100% | 1600 |
| T6 | 0.6 | L2 | 0 | 1600 |
| T7 | 0.6 | L1 | 100% | 100 |
| T8 | 0.6 | L1 | 100% | 200 |
| T9 | 0.6 | L1 | 100% | 400 |
| T10 | 0.6 | L1 | 100% | 800 |
Disclaimer/Publisher’s Note: The statements, opinions and data contained in all publications are solely those of the individual author(s) and contributor(s) and not of MDPI and/or the editor(s). MDPI and/or the editor(s) disclaim responsibility for any injury to people or property resulting from any ideas, methods, instructions or products referred to in the content. |
© 2024 by the authors. Licensee MDPI, Basel, Switzerland. This article is an open access article distributed under the terms and conditions of the Creative Commons Attribution (CC BY) license (https://creativecommons.org/licenses/by/4.0/).
Share and Cite
Zhu, J.; Zheng, Q.; Yang, H. Investigation on the Confined Breakage Characteristics of Calcareous Sand in the South China Sea Integrated Using Relative Breakage Ratio and Fractal Dimension. Sustainability 2024, 16, 2190. https://doi.org/10.3390/su16052190
Zhu J, Zheng Q, Yang H. Investigation on the Confined Breakage Characteristics of Calcareous Sand in the South China Sea Integrated Using Relative Breakage Ratio and Fractal Dimension. Sustainability. 2024; 16(5):2190. https://doi.org/10.3390/su16052190
Chicago/Turabian StyleZhu, Jianfeng, Qiqi Zheng, and Hao Yang. 2024. "Investigation on the Confined Breakage Characteristics of Calcareous Sand in the South China Sea Integrated Using Relative Breakage Ratio and Fractal Dimension" Sustainability 16, no. 5: 2190. https://doi.org/10.3390/su16052190
APA StyleZhu, J., Zheng, Q., & Yang, H. (2024). Investigation on the Confined Breakage Characteristics of Calcareous Sand in the South China Sea Integrated Using Relative Breakage Ratio and Fractal Dimension. Sustainability, 16(5), 2190. https://doi.org/10.3390/su16052190

