Potential Economic and Ecosystem Performances of Some Mediterranean Fruit Plants in an Urban Context
Abstract
1. Introduction
2. Materials and Methods
2.1. Species Selection
2.2. Virtual Planning of an Urban Green Area
2.3. Evaluation of Urban Tree Growth Curves
2.4. CO2 Stock Assessment
2.5. Production Yields and Potential Economic Value
3. Results
3.1. Growth Curves of the Tree Species Considered
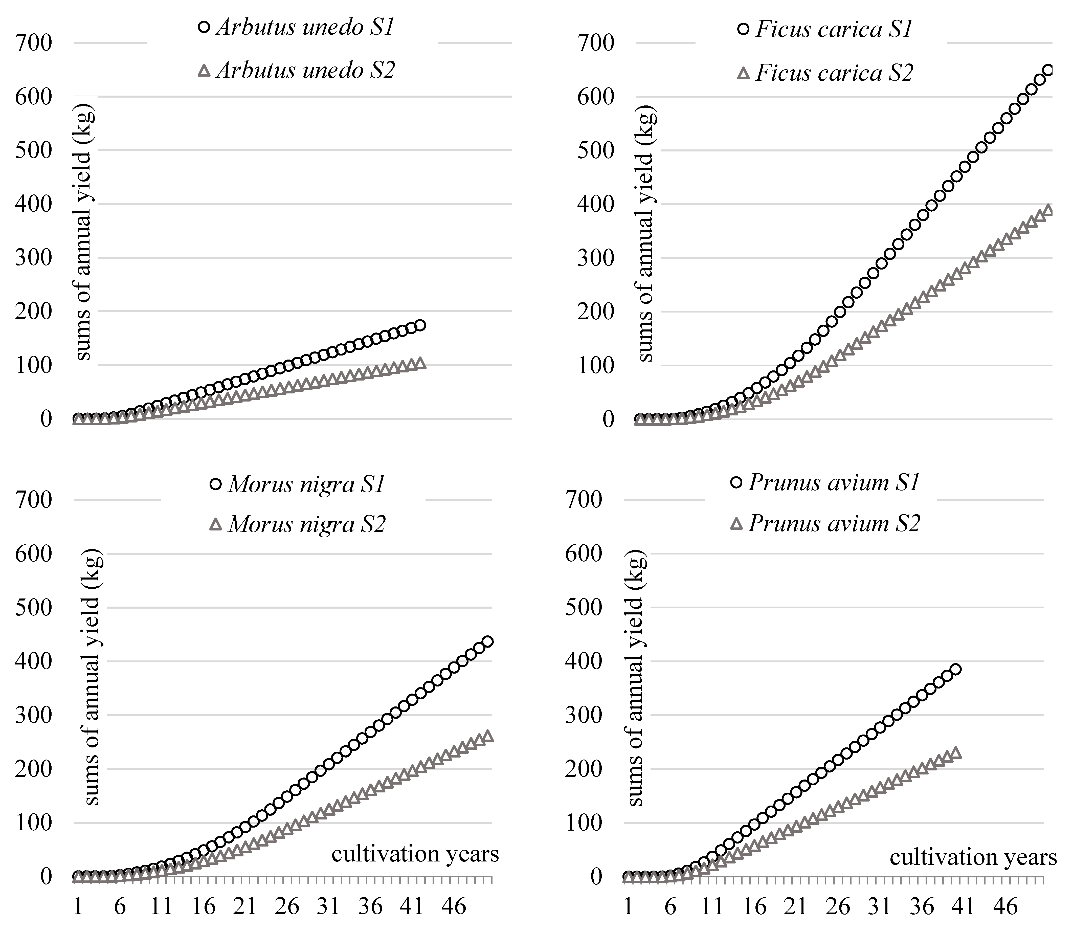
3.2. Potential Production Yields
3.3. Potential Economic Value
4. Discussion
5. Conclusions
Author Contributions
Funding
Institutional Review Board Statement
Informed Consent Statement
Data Availability Statement
Conflicts of Interest
References
- Clark, K.H.; Nicholas, K.A. Introducing urban food forestry: A multifunctional approach to increase food security and provide ecosystem services. Landsc. Ecol. 2013, 28, 1649–1669. [Google Scholar] [CrossRef]
- Park, H.; Turner, N.; Higgs, E. Exploring the potential of food forestry to assist in ecological restoration in North America and beyond. Restor. Ecol. 2018, 26, 284–293. [Google Scholar] [CrossRef]
- Beck, T.B.; Quigley, M.F.; Martin, J.F. Emergy Evaluation of Food Production in Urban Residential Landscapes. Methods 2001, 5, 187–207. [Google Scholar]
- Çelik, F. The Importance of Edible Landscape in the Cities. Turk. J. Agric.-Food Sci. Technol. 2017, 5, 118–124. [Google Scholar] [CrossRef]
- Richardson, E.A.; Pearce, J.; Mitchell, R.; Kingham, S. Role of physical activity in the relationship between urban green space and health. Public Health 2013, 127, 318–324. [Google Scholar] [CrossRef]
- Pretty, J.; Peacock, J.; Sellens, M.; Griffin, M. The mental and physical health outcomes of green exercise. Int. J. Environ. Health Res. 2005, 15, 319–337. [Google Scholar] [CrossRef] [PubMed]
- Frank, M.; Bowyer, J.; Stai, S.; Fernholz, K.; Bratkovich, S.; Howe, J. Utilizing Urban Forests for Fruit Production; Dovetail Partners, Inc.: Minneapolis, MN, USA, 2011. [Google Scholar]
- Clinton, N.; Stuhlmacher, M.; Miles, A.; Uludere Aragon, N.; Wagner, M.; Georgescu, M.; Herwig, C.; Gong, P. A Global Geospatial Ecosystem Services Estimate of Urban Agriculture. Earth’s Future 2017, 6, 40–60. [Google Scholar] [CrossRef]
- McCormack, L.A.; Laska, M.N.; Larson, N.I.; Story, M. Review of the nutritional implications of farmers’ markets and community gardens: A call for evaluation and research efforts. J. Am. Diet. Assoc. 2010, 110, 399–408. [Google Scholar] [CrossRef] [PubMed]
- Martellozzo, F.; Landry, J.S.; Plouffe, D.; Seufert, V.; Rowhani, P.; Ramankutty, N. Urban agriculture: A global analysis of the space constraint to meet urban vegetable demand. Environ. Res. Lett. 2014, 9, 64025. [Google Scholar] [CrossRef]
- Weber, C.L.; Matthews, H.S. Food-miles and the relative climate impacts of food choices in the United States. Environ. Sci. Technol. 2008, 42, 3508–3513. [Google Scholar] [CrossRef] [PubMed]
- FAO. Climate Change and Food Security: A Framework Document; Food Agric Organ. United Nations: Rome, Italy, 2008; p. 93. [Google Scholar]
- City Fruit. Available online: http://www.cityfruit.org (accessed on 21 September 2023).
- McLaina, R.; Poea, M.; Hurleyb, P.T.; Lecompte-Mastenbrookc, J.; Emeryd, M.R. Producing edible landscapes in Seattle’s urban forest. Urban Urban Green 2012, 11, 187–194. [Google Scholar] [CrossRef]
- Orlandi, F.; Marrapodi, S.; Proietti, C.; Ruga, L.; Fornaciari, M. Ecosystem functions of fruit woody species in an urban environment. Environ. Monit. Assess. 2023, 195, 118. [Google Scholar] [CrossRef] [PubMed]
- Papia, F.; Incorvaia, C.; Genovese, L.; Gangemi, S.; Minciullo, P.L. Allergic reactions to genus Morus plants: A review. Clin. Mol. Allergy 2020, 18, 1. [Google Scholar] [CrossRef] [PubMed]
- Orlandi, F.; Fornaciari, M.; Ranfa, A.; Proietti, C.; Ruga, L.; Meloni, G.; Burnelli, M.; Ventura, F. LIFE-CLIVUT, ecosystem benefits of urban green areas: A pilot case study in Perugia (Italy). iForest 2022, 15, 133. [Google Scholar] [CrossRef]
- McPherson, E.G.; Van Doorn, N.S.; Peper, P.J. Urban Tree Database and Allometric Equations; Gen Tech Rep PSW-GTR-235; US Department of Agriculture, Forest Service, Pacific Southwest Research Station: Albany, CA, USA, 2016; p. 86.
- Muscas, D.; Orlandi, F.; Petrucci, R.; Proietti, C.; Ruga, L.; Fornaciari, M. Effects of urban tree pruning on ecosystem services performance. Trees For. People 2024, 15, 100503. [Google Scholar] [CrossRef]
- Tritton, L.M.; Hornbeck, J.W. Biomass Equations for Major Tree Species of the Northeast; US Department of Agriculture, Forest Service, Northeastern Forest Experiment Station: Broomall, PA, USA, 1982.
- Sinacore, K.; Hall, J.S.; Potvin, C.; Royo, A.A.; Ducey, M.J.; Ashton, M.S. Unearthing the hidden world of roots: Root biomass and architecture differ among species within the same guild. PLoS ONE 2017, 12, e0185934. [Google Scholar] [CrossRef] [PubMed]
- Lamlom, S.H.; Savidge, R.A. A reassessment of carbon content in wood: Variation within and between 41 North American species. Biomass Bioenergy 2003, 25, 381–388. [Google Scholar] [CrossRef]
- Nowak, D.J. Air Pollution Removal by Chicago’s Urban Forest. In Chicago’s Urban Forest Ecosystem Results Chicago Urban Forest Climate Project; Gen Tech Rep, NE-186; McPherson, E.D., Nowak, D.J., Rowntree, R., Eds.; US Department of Agriculture, Forest Service, Northeastern Forest Experiment Station: Radnor, PA, USA, 1994; pp. 83–94. [Google Scholar]
- Nowak, D.J.; Crane, D. The Urban Forest Effects (UFORE) Model: Quantifying Urban Forest Structure and Functions. In Integrated Tools for Natural Resources Inventories in the 21st Century; Hansen, M., Burk, T., Eds.; U.S. Dept. of Agriculture, Forest Service, North Central Forest Experiment Station: St. Paul, MN, USA, 2000; pp. 714–720. [Google Scholar]
- Nowak, D.J. Understanding I-TREE: Summary of Programs and Methods; U.S. Department of Agriculture, Forest Service, Northern Research Station: Madison, WI, USA, 2020.
- Bianchi, M. The “Ri.Selv.Italia” project: A common research programme on silvicuture in Italy. J. Silvic. For. Ecol. 2004, 1, 109–111. [Google Scholar] [CrossRef]
- Goldschmidt, E.E. The Evolution of Fruit Tree Productivity: A Review. Econ. Bot. 2013, 67, 51–62. [Google Scholar] [CrossRef]
- Monselise, S.P.; Goldschmidt, E.E. Alternate bearing in fruit trees: A review. Hortic. Rev. 1982, 4, 128–173. [Google Scholar]
- Vannozzi, B.V.; Borelli, S. Urban food forestry and its role to increase food security: A Brazilian overview and its potentialities. Urban Urban Green 2020, 56, 126835. [Google Scholar] [CrossRef]
- Lafontaine-Messier, M.; Gélinas, N.; Olivier, A. Profitability of food trees planted in urban public green areas. Urban For. Urban Green. 2016, 16, 197–207. [Google Scholar] [CrossRef]
- Boulestreau, Y.; Van Eck, W. Design and Performance Evaluation of a 1Ha Productive Food Forest Model. Available online: https://greendealvoedselbossen.nl/wp-content/uploads/2020/11/Boulestreau-Y.-van-Eck-W.-2016-Design-ans-performance-evaluation.pdf (accessed on 21 March 2021).
- Wu, T.; Wang, Y.; Yu, C.; Chiarawipa, R.; Zhang, X.; Han, Z. Carbon Sequestration by Fruit Trees -Chinese Apple Orchards as an Example. PLoS ONE 2012, 7, e38883. [Google Scholar] [CrossRef] [PubMed]
- Janiola, M.D.C.; Marin, R.A. Carbon Sequestration Potential of Fruit Tree Plantations in Southern Philippines. J. Bio. Environ. Sci. 2016, 8, 164–174. [Google Scholar]
- Orlandi, F.; Ranfa, A.; Proietti, C.; Ruga, L.; Ventura, F.; Fornaciari, M. Dynamic estimates of tree carbon storage and shade in Mediterranean urban areas. Int. For. Rev. 2022, 24, 225–239. [Google Scholar] [CrossRef]
- Camhis, M. Sustainable Development and Urbanization. In Future of Sustainability, 1st ed.; Keiner, M., Ed.; Springer: Dordrecht, The Netherlands, 2006; pp. 69–98. [Google Scholar]
- Clark, W.C. Sustainability science: A room of its own. Proc. Natl. Acad. Sci. USA 2007, 104, 1737–1738. [Google Scholar] [CrossRef] [PubMed]
- Easterling, W.E. Climate change and the adequacy of food and timber in the 21st century. Proc. Natl. Acad. Sci. USA 2007, 104, 19679. [Google Scholar] [CrossRef] [PubMed]
- Godfray, H.C.J.; Beddington, J.R.; Crute, I.R.; Haddad, L.; Lawrence, D.; Muir, J.F.; Pretty, J.; Robinson, S.; Thomas, S.M.; Toulmin, C. Food security: The challenge of feeding 9 billion people. Science 2010, 327, 812–818. [Google Scholar] [CrossRef]
- Fraser, E.D.G.; Mabee, W.; Figge, F. A framework for assessing the vulnerability of food systems to future shocks. Futures 2005, 37, 465–479. [Google Scholar] [CrossRef]
- Schmidhuber, J.; Tubiello, F.N. Global food security under climate change. Proc. Natl. Acad. Sci. USA 2007, 104, 19703–19708. [Google Scholar] [CrossRef]
- Cluff, M.; Jones, W. OECD-FAO Agricultural Outlook 2011–2020. Available online: http://www.agri-outlook.org (accessed on 19 March 2021).
- Antisari, L.; Carbone, S.; Gatti, A.; Vianello, G.; Nannipieri, P. Uptake and trans location of metals and nutrients in tomato grown in soil polluted with metal oxide (CeO2, Fe3O4, SnO2, TiO2) or metallic (Ag, Co, Ni) engineered nanoparticles. Environ. Sci. Pollut. Res.-Int. 2015, 22, 1841–1853. [Google Scholar] [CrossRef]
- Shaheen, N.; Irfan, N.M.; Khan, I.N.; Islam, S.; Islam, M.S.; Ahmed, M.K. Presence of heavy metals in fruits and vegetables: Health risk implications in Bangladesh. Chemosphere 2016, 152, 431–438. [Google Scholar] [CrossRef]
- Aricak, B.; Cetin, M.; Erdem, R.; Sevik, H.; Cometen, H. The usability of scotch pine (Pinus sylvestris) as a biomonitor for traffic-originated heavy metal concentrations in Turkey. Pol. J. Environ. Stud. 2020, 29, 1051–1057. [Google Scholar] [CrossRef]
- Ozel, S. The Variation of Heavy Metal Accumulation in Some Fruit Tree Organelles Due to Traffic Density. Master’s Thesis, Kastamonu University Graduate School of Natural and Applied Sciences, Department of Sustainable Agriculture and Natural Plant Resources, Kastamonu, Türkiye, 2019. [Google Scholar]
- Batır, D. Heavy Metal Accumulation in Some Edible Landscape Plants Breeding in Eskisehir. Master’s Thesis, Kastamonu University Graduate School of Natural and Applied Sciences, Department of Landscape Architecture, Kastamonu, Türkiye, 2019. [Google Scholar]
- Edelstein, M.; Ben-Hur, M. Heavy metals and metalloids: Sources, risks and strategies to reduce their accumulation in horticultural crops. Sci. Hortic. 2018, 234, 431–444. [Google Scholar] [CrossRef]
- Fernández, V.; Brown, P.H. From plant surface to plant metabolism: The uncertain fate of foliar-applied nutrients. Front. Plant Sci. 2013, 4, 289. [Google Scholar] [CrossRef] [PubMed]
- Kozlov, M.V.; Haukioja, E.; Bakhtiarov, A.V.; Stroganov, D.N.; Zimina, S.N. Root versus canopy uptake of heavy metals by birch in an industrially polluted area: Contrasting behaviour of nickel and copper. Environ. Pollut. 2000, 107, 413–420. [Google Scholar] [CrossRef]
- Saleh, E.A. Determination of Heavy Metal Accumulation in Some Landscape Plants. Master’s Thesis, Kastamonu University Institute of Science, Department of Forest Engineering, Kastamonu, Türkiye, 2018. [Google Scholar]
- Erdem, T. Changes in Heavy Metal Concentratıons Due to Species, Organelle and Traffic Density in Some Plants. Master’s Thesis, Kastamonu University Institute of Science, Department of Forest Engineering, Kastamonu, Türkiye, 2018. [Google Scholar]
- Sevik, H.; Cetin, M.; Ozturk, A.; Yigit, N.; Karakus, O. Changes in micromorphological characters of Platanus orientalis L. leaves in Turkey. Appl. Ecol. Environ. Res. 2019, 17, 5909–5921. [Google Scholar] [CrossRef]
- Sevik, H.; Cetin, M.; Ozel, H.B.; Ozel, S.; Cetin, I.Z. Changes in heavy metal accumulation in some edible landscape plants depending on traffic density. Environ. Monit. Assess. 2020, 192, 78. [Google Scholar] [CrossRef] [PubMed]
- Gori, A.; Ferrini, F.; Fini, A. Reprint of: Growing healthy food under heavy metal pollution load: Overview and major challenges of tree based edible landscapes. Urban For. Urban Green. 2019, 45, 126292. [Google Scholar] [CrossRef]
- Magrinyà, F.; Mercadé-Aloy, J.; Ruiz-Apilànez, B. Merging Green and Active Transportation Infrastructure towards an Equitable Accessibility to Green Areas: Barcelona Green Axes. Terreni 2023, 12, 919. [Google Scholar] [CrossRef]
- Mueller, N.; Rojas-Rueda, D.; Khreis, H.; Cirach, M.; Andrés, D.; Ballester, J.; Bartoll, X.; Daher, C.; Deluca, A.; Echave, C.; et al. Changing the urban design of cities for health: The superblock model. Environ. Int. 2020, 134, 105132. [Google Scholar] [CrossRef] [PubMed]





| Years | Arbutus unedo | Ficus carica | Morus nigra | Prunus avium |
|---|---|---|---|---|
| 1 | 0.0 | 0.0 | 0.0 | 0.0 |
| 2 | 0.0 | 0.0 | 0.0 | 0.0 |
| 3 | 0.0 | 0.0 | 0.0 | 0.0 |
| 4 | 1.0 | 0.0 | 0.0 | 0.0 |
| 5 | 3.3 | 2.0 | 2.0 | 0.4 |
| 6 | 5.5 | 3.7 | 3.1 | 3.8 |
| 7 | 7.8 | 5.4 | 4.2 | 7.1 |
| 8 | 10.0 | 7.1 | 5.3 | 10.5 |
| 9 | 10.0 | 8.8 | 6.4 | 13.9 |
| 10 | 10.0 | 10.5 | 7.5 | 17.3 |
| 11 | 10.0 | 12.2 | 8.6 | 20.6 |
| 12 | 10.0 | 13.9 | 9.7 | 24.0 |
| 13 | 10.0 | 15.6 | 10.8 | 24.0 |
| 14 | 10.0 | 17.3 | 11.9 | 24.0 |
| 15 | 10.0 | 19.0 | 13.0 | 24.0 |
| 16 | 10.0 | 20.7 | 14.1 | 24.0 |
| 17 | 10.0 | 22.4 | 15.2 | 24.0 |
| 18 | 10.0 | 24.1 | 16.3 | 24.0 |
| 19 | 10.0 | 25.8 | 17.4 | 24.0 |
| 20 | 10.0 | 27.5 | 18.5 | 24.0 |
| 21 | 10.0 | 29.2 | 19.6 | 24.0 |
| 22 | 10.0 | 30.9 | 20.7 | 24.0 |
| 23 | 10.0 | 32.6 | 21.8 | 24.0 |
| 24 | 10.0 | 34.3 | 22.9 | 24.0 |
| 25 | 10.0 | 36.0 | 24.0 | 24.0 |
| ⋮ | Years with constant values | |||
| 40 | 10.0 | 36.0 | 24.0 | 24.0 |
| 41 | 0.0 | 36.0 | 24.0 | 0.0 |
| 42 | 0.0 | 36.0 | 24.0 | 0.0 |
| 43 | 0.0 | 36.0 | 24.0 | 0.0 |
| 44 | 1.0 | 36.0 | 24.0 | 0.0 |
| 45 | 3.3 | 36.0 | 24.0 | 0.4 |
| 46 | 5.5 | 36.0 | 24.0 | 3.8 |
| 47 | 7.8 | 36.0 | 24.0 | 7.1 |
| 48 | 10.0 | 36.0 | 24.0 | 10.5 |
| 49 | 10.0 | 36.0 | 24.0 | 13.9 |
| 50 | 10.0 | 36.0 | 24.0 | 17.3 |
| Total | 395 | 1299 | 873 | 822.6 |
Disclaimer/Publisher’s Note: The statements, opinions and data contained in all publications are solely those of the individual author(s) and contributor(s) and not of MDPI and/or the editor(s). MDPI and/or the editor(s) disclaim responsibility for any injury to people or property resulting from any ideas, methods, instructions or products referred to in the content. |
© 2024 by the authors. Licensee MDPI, Basel, Switzerland. This article is an open access article distributed under the terms and conditions of the Creative Commons Attribution (CC BY) license (https://creativecommons.org/licenses/by/4.0/).
Share and Cite
Muscas, D.; Marrapodi, S.; Proietti, C.; Ruga, L.; Orlandi, F.; Fornaciari, M. Potential Economic and Ecosystem Performances of Some Mediterranean Fruit Plants in an Urban Context. Sustainability 2024, 16, 2081. https://doi.org/10.3390/su16052081
Muscas D, Marrapodi S, Proietti C, Ruga L, Orlandi F, Fornaciari M. Potential Economic and Ecosystem Performances of Some Mediterranean Fruit Plants in an Urban Context. Sustainability. 2024; 16(5):2081. https://doi.org/10.3390/su16052081
Chicago/Turabian StyleMuscas, Desirée, Silvia Marrapodi, Chiara Proietti, Luigia Ruga, Fabio Orlandi, and Marco Fornaciari. 2024. "Potential Economic and Ecosystem Performances of Some Mediterranean Fruit Plants in an Urban Context" Sustainability 16, no. 5: 2081. https://doi.org/10.3390/su16052081
APA StyleMuscas, D., Marrapodi, S., Proietti, C., Ruga, L., Orlandi, F., & Fornaciari, M. (2024). Potential Economic and Ecosystem Performances of Some Mediterranean Fruit Plants in an Urban Context. Sustainability, 16(5), 2081. https://doi.org/10.3390/su16052081

