Abstract
With global warming and rapid urbanization, the microclimate in the Lingnan region is prone to health problems, such as pyrexia and infectious diseases, and the average annual number of heatwave-related deaths is rising rapidly. The large-scale regeneration of traditional neighborhoods in Lingnan under high-quality development is underway, which has implications for the thermal comfort of microclimatic environments. This study focused on the impact of different building unit types and spatial patterns on thermal comfort in the Donghuali traditional neighborhood of Foshan City as an example. We extracted eight basic morphological units and designed a prototype block of 400 m × 400 m. In the Rhinoceros & Grasshopper parametric software 6.7, a variety of plug-ins were integrated to establish a platform with parametric modeling, microclimate simulation and evaluation, and optimal design for thermal comfort. Through experiments, the effects of new single-type and new composite building units on thermal comfort were investigated, and the correlation equations between spatial morphology and microclimate comfort in Lingnan traditional neighborhoods were established. Finally, the multi-objective genetic optimization of thermal comfort was carried out as an example of real block renewal, which provides a practical reference for the planning and design of traditional blocks.
1. Introduction
With global warming and the rapid urbanization of the population, the high temperature and humidity of the Lingnan microclimate are prone to causing fever, mosquito-borne infectious diseases, acute gastroenteritis, and other chronic diseases, and the number of heatwave-related deaths in China has increased by a factor of 4 in the past 20 years, with Guangdong Province being the province with the highest number of heatwave-related deaths [1,2]. The Lingnan region of China has long summers and short winters, it is humid and rainy, and the subtropical monsoon oceanic climate has given rise to the unique traditional neighborhoods of the old city that depend on it. Lingnan’s traditional neighborhoods, which have remained the main places of residence for its residents over the years, are the urban spaces where social interactions take place and collective imprints are made and that have the most distinctive local heritage in terms of commerce, architecture, and historical folk culture. Most of them still retain a compact and walkable physical space. As China’s urbanization has entered a new stage of transformation and development from quantitative expansion to qualitative improvement, and under the guidance of high-quality development, many cities are focusing on transforming traditional neighborhoods into new economic vitality zones, cultural experience zones, and urban image display zones, and many Lingnan traditional neighborhoods are being renovated from decaying “old city neighborhoods” into a collection of commercial, recreational, cultural, sports, leisure, and residential spaces; since 2010, the province has invested a total of RMB 2.0 trillion in urban renewal and renovation projects [3], with a total area of about 62,000 hectares and a total of 14,277 projects of various types [4], including more than 5000 traditional neighborhoods and 106 provincial-level historic and cultural neighborhoods [5]. Some traditional neighborhoods have been renovated and converted into cultural tourism experience destinations for tourists in a short period, with a high architectural capacity and large flow of people, as well as a floor area of 4,377,788,000 m2 before the renovation that has increased to 8,334,836,000 m2 after the renovation, and the population has increased from 5,029,000 people before the renovation to 10,613,700 people after the renovation, both of which have all doubled after the renovation [6]. Sudden changes in the microclimate environment led to a threat to human thermal comfort, such as Foshan Ancestral Temple Donghua Lane in 2019, with a flow of about 26 million passengers, a daily average of 71,000 passengers and the highest single-day flow of more than 200,000 passengers throughout the year; the highest peak of outdoor visitor flow density was 15,000 people/ha. Lingnan’s hot and humid areas in the traditional neighborhood environment motivated the formation of a complex spatial self-adaptation system over a long period. There is still a lack of in-depth basic research on the microclimatic performance of traditional human–environment systems that have been renovated and refurbished in a short period to become modern urban public spaces or cultural and tourist experience facilities, as well as on the impact of their microclimatic performance and the resultant effect on human outdoor comfort in hot and humid areas, which has led to an increase in the general concern about thermal comfort caused by the renovation of traditional neighborhoods [7,8].
The environment of traditional urban neighborhoods in the humid and hot region of Lingnan has undergone extensive development over many years, culminating in the establishment of a sophisticated spatial adaptive system. Despite the unique architectural forms and modest-scale structures, such as bamboo tube houses and courtyard-style buildings; the high-density living streets and lanes; towering trees providing shade with green canopies forming rooftop covers; and the utilization of regional landscape materials, like shell gray, research has been scarce in this domain. Various urban renewal initiatives can potentially introduce notable disparities in outdoor microclimates. Lingnan’s traditional living environment system has undergone swift transformations during the urban renewal efforts, evolving into contemporary urban public spaces or green infrastructure. However, a comprehensive exploration of microclimate patterns and their repercussions on outdoor human comfort in this humid and hot region stemming from these transformations must still be present.
Researchers have delved into the intricate relationship between the renewal of traditional urban neighborhoods and microclimates across diverse climatic conditions, presenting three primary approaches, as discussed below.
On-site measurements and physical models: This approach primarily involves on-site measurements or the use of physical models to calculate and analyze parameters, like solar radiation, air temperature, and wind speed, in specific traditional urban environments [9]. The objective is to explore microclimate aspects in traditional neighborhoods and understand how traditional architecture adapts to regional climates to create comfortable environments. Scholars measured thermal environment differences in three types of old urban neighborhoods in Kyoto [10]. In Camagüey, Cuba, research utilized physical models to calculate the relationship between different sun positions, street aspect ratios, and microclimates [11]. Farzaneh Soflaei and others investigated the impact of courtyards as microclimate regulation elements on the sustainability of traditional houses in the BWks climate region of Iran [12], identifying influential environmental characteristics behind traditional Iranian courtyards [13]. Studies evaluated the impact of adjustable building environmental parameters on the local environment in old urban neighborhoods near Alexandria, Egypt. Research in Lyon, France, explored how building density affects solar radiation and air circulation [14]. This paradigm relies on individual case studies and lacks a comprehensive theoretical summary of the interaction between urban morphology and microenvironments.
Urban layout correlation: Numerous studies observed patterns in urban density, street network structures, orientations, and prevailing wind directions to establish correlations between urban layout and favorable climatic parameters. D. Groleau and C. Marenne proposed a method to determine the potential connection between urban spatial morphology features and the environmental characteristics they generate. This involves describing the urban morphology and comparing it with the induced microclimate effects on outdoor spaces and buildings. For instance, to compare spatial morphology parameters, geometric and topological analyses were conducted using three old urban neighborhoods in Ste Foy, Bouffay, and Reze, France [15]. Ning Li and others proposed design strategies based on the on-site measurements and thermal comfort analysis of Beijing’s hutongs, suggesting renovation modes for four courtyards and two hutongs [16].
Numerical simulations: Some studies separated spatial morphology elements that interfere with the physical environment and microclimate, predicting the impact of solar energy, wind fields, or heat on buildings through numerical simulations. Merlier L systematically studied urban morphology structure types corresponding to typical airflow types in the urban canopy layer (UCL) worldwide [17,18]. The aim was to establish a connection between urban morphology and microclimate performance in the UCL and derive typical building and urban block types suitable for microscale climate studies. Dana Taleb and others simulated different wind and heat distributions using simplified models that reflected various urban renewal scenarios in Dubai [19].
Most of the literature discussed above is predominantly centered on individual cases within diverse urban neighborhoods. In the realm of microclimate performance simulation and evaluation methods, a notable gap exists in summarizing and proposing laws governing the interdependent effects of various associated parameters and quantified models. Specific technical approaches in microclimate simulation and automatic optimization research are characterized by complexity, low efficiency, and slow simulation feedback, posing challenges in delivering convenient guidance for designers.
This study built upon the groundwork laid by the mapping relationship between case-specific indicators and microclimate environments derived from forward experimental simulations. This paper describes a reverse empirical optimization method that leverages mathematical equations derived from forward simulations to establish a microclimate performance-based design platform. This platform employs genetic algorithms to ensure rapid response times. Urban design optimization solutions tailored to specific neighborhoods are attained through numerical optimization iterations. This approach is distinguished from most existing empirical optimization studies by formulating a mapping equation between traditional neighborhood morphological parameters and the microclimate performance indicator UTCI. The workflow integrates various functional modules, eliminating hindrances between design proposals and performance evaluations. This equips urban planners and designers with a swift and convenient model equation for evaluating thermal comfort (UTCI) in the initial stages of planning and designing traditional neighborhood renewal. It enhances the scientific validity, rationality, and design efficiency of complex neighborhood renewal planning and provides valuable insights into computational planning and design.
2. Theory of Microclimate Characterization and Simulation Methods
2.1. Microclimate Performative Simulation Method
At present, microclimate performative design for the renewal of traditional research and development areas is gradually emerging at home and abroad through the microclimate environment simulation and evaluation of different design schemes, which are used to indicate the direction for the optimization of neighborhood renewal design schemes [20] and to conduct field surveys and simulation analyses on the thermal comfort of a variety of scenarios [21]. Based on the thermal environment performance [22] evaluation of traditional neighborhood renewal and renovation scheme comparison and optimization [7,23], it summarizes design strategies to improve the outdoor space quality and pedestrian thermal comfort in traditional neighborhoods [21,24], explores the design methods for different types of outdoor shaded spaces, etc. [25,26]. It is common to adopt the universal thermal climatic index (UTCI), physiological equivalent temperature (PET), and other more appropriate indicators to evaluate outdoor thermal comfort [27,28].
To follow an evidence-based design process more effectively in complex old city regeneration processes, it is often necessary for several different performance simulation software tools to work together in the process. More studies used Rhinoceros-Grasshopper as the system platform; Ladybug, Honeybee, Butterfly, and Energy plus as the tools to simulate an urban microclimate, building energy consumption, and outdoor thermal comfort; and an interrelationship between Galapagos, Octopus, and other plug-ins for the design of the initial optimization of the program to indicate the direction to achieve “numerical simulation—manual evaluation—manual optimization” [29,30,31,32,33]. Similar discussions were held regarding the optimization of traditional neighborhood regeneration programmed in the cities of Catania (Italy) [34], Laluz (Spain) [35,36], Cairo (Egypt) [37,38], etc. Similar methods of optimizing traditional neighborhood regeneration also gradually emerged in China, such as the Taiyuan district in Shenyang [39], the Qingxiangli old town district in Wuhan [40], the central business district in Harbin [41], and the old town district in Kashgar [42].
Most of the above literature is based on different urban neighborhoods, there is a lack of systematic in-depth research, the mapping equations between traditional neighborhood morphology parameters and the microclimate performance indicator UTCI have not been established for microclimate performance simulation and evaluation methods, and the coupling law of traditional neighborhood morphology and built environment thermal comfort has not been clarified. The integration of the three functional modules of neighborhood morphology analysis, microclimate simulation, and automatic optimization by Rhinoceros Grasshopper is not versatile enough.
2.2. Technical Solutions for the Renewal of Traditional Neighborhoods Based on Microclimate Performance
The purpose of the above research process on the built environment and microclimate is to reveal the potential relationship [19,43] between the spatial form of traditional neighborhoods and the microclimatic environment in an operable way; to determine the parametric indexes of the form and the environment, respectively; and then, to explore the mapping laws and conversion models to achieve the parametric translation of the microclimatic performance objectives and design elements to provide parametric ideas for the optimal layout and design of the thermal environment of traditional neighborhoods. The overall framework of the technical program is shown in Figure 1.
Figure 1.
Methodology for microclimate characterization studies in traditional neighborhoods.
In Figure 1, the horizontal workflow includes four technical methods, namely, the design conditions, data information translation, calculation process, and evolutionary optimization and generation of optimal solutions; vertically, each step of the workflow includes the basic data library, spatial morphology parametric modeling, microclimate correlation factor coupling, and evolutionary optimization of thermal comfort. First, basic information, such as design conditions, and the construction of a database including basic data, such as urban climate and meteorology, geospatial information of traditional neighborhoods, and thermal comfort evaluation indices and standards, are collected. Second, the logical rules for data information translation according to the performance design objectives are constructed, including the inherent logical law of correlation of microclimatic influencing factors, the logic of extracting and digitally modeling the morphological unit of prototype neighborhoods, and the logic of constructing the evaluation system for the performance design of microclimates [17,18]. Third, the computational process and algorithm combination, including the correlation model coupling of microclimate-influencing factors, the parametric modeling and iteration of traditional block spatial morphology, and the simulation and evaluation of microclimate thermal comfort index UTCI, take place. Finally, through the establishment of the automatic optimization method, the climate suitability simulation of the target block is carried out, the optimal scheme morphology parameter indicators and the optimal UTCI target value are calculated to generate the optimal solution design scheme, and the optimal solution design scheme is generated.
3. Modeling and Simulation Process
3.1. Characterization of Morphological Types
Located in Chancheng District (113°06′ E, 23°02′ N) of Foshan City, Guangdong Province, the Donghuali Area is the core area of the old city of Foshan. The area covers 63.15 ha, with the Ancestral Temple Historical Area on the west side and the Donghuali Area on the east side, as shown in Figure 2. Within this area, there is a rich diversity of neighborhood forms and building types, including the Ancestral Temple, modern bicycle floors, industrial and commercial guild houses, bamboo houses, three-room and two-porch style houses, and Lingnan hopscotch courts. These building types reflect the historical change and development process of Foshan from a water village settlement to an industrial and commercial city since the Ming and Qing Dynasties [44,45]. As a typical example, the Donghua Lane traditional neighborhood demonstrates the architectural style of a specific period [46], records the collective memory of urban change, and embodies the vein of Foshan’s urban development. In recent years, this area has become a model for the renewal of traditional neighborhoods in Lingnan [47,48], which has an important academic research value by exploring the laws of influence of different unit types and morphological indicators on the quality of the thermal environment.
Figure 2.
Architectural texture of Zumiao-Donghuali Area in Foshan in 1921, 1960, 2000, and 2020.
In order to analyze the spatial morphological characteristics of the area with the change in time, this study collected historical data from several sources, including the “Nanhai County Foshan City Street Map” of 1928, as well as the features [49] of Google satellite image maps in 1985, 2000, and 2020, which were calibrated and vectorized by ArcGIS, and obtained architectural texture maps of the four periods, as shown in Figure 2.
In terms of the evolution of site characteristics, the Foshan Municipal Public Works Bureau initiated the “Municipal Improvement” program in 1928 and completed the Fuxian Road through the middle of the Ancestral Temple-Donghuali area in 1931. At the same time, private villas and other types of buildings that continued the traditional Lingnan residential style of the Qing Dynasty were built, such as Donghuali and Shilu Lane [50]. After the founding of New China, a large number of state-owned factories, schools, family homes, and other facilities were built in the area, while after China’s reform and opening up, more commercial facilities were established; after 2008, the area began to be renovated and redeveloped, and the pattern and style of the neighborhood entered a new stage of development [47]. The area is mainly east–west rectangular, with side lengths of 100–150 m, while the long north–south plots are mainly multi-entry courtyards with an average area of about 10,000 square meters.
In terms of the evolution of architectural assemblage, the basic pattern of the area is dominated by the construction of the Qing Dynasty, and the typical residential cluster plots are mostly of the multi-row parallel type, with the architectural forms dominated by bamboo, with interspersed courtyards, and the core area is dominated by the Chinese-style monolithic residential units and Chinese-style collegiate residential units [51]. In this study, the architectural units were divided into two categories according to their forms: new buildings and preserved buildings. In terms of new buildings, there were four main types: tower, slab, point, and enclosure, among which slab and point were the main forms of residential buildings, and their plan area varied significantly with height. The existing buildings mainly included the courtyard type, the long strip type, and the point type buildings. The combination of different building units formed several types of building groups. Based on the actual building units in each year of the urban renewal process from 1928 to 2020, this study concluded that there were three main types of new building groups, namely, townhouse type, staggered type, and dispersed type, and three main types of retained building groups, namely, free type, mixed type, and free-standing type, as shown in Figure 3.
Figure 3.
(a) Building unit plan form and (b) basic morphological unit extraction.
By comprehensively analyzing the existing urban construction texture and morphological changes, the area has formed obvious characteristics of retained and added units in the renewal process [52]. According to domestic and international studies on urban street grid patterns, the block unit is the most stable structure when its side length is about 100 m. According to the actual situation of Donghua Lane, this study designed a block unit with a side length of 100 m and came up with 12 basic block unit shapes, of which type 0 and type 7 were the main new units, including townhouse, staggered, decentralized, freestanding, and enclosed layouts, and the volumes of these new buildings was significantly larger than those of the retained buildings. The retained units were types A to D, which were dominated by the traditional multi-story buildings of Tung Wah Lane, which have evolved from a single type to a mix of types in the neighborhood, with the retained units having a smaller building mass compared with the modern additions. The spatial characteristics of the basic morphological unit types are shown in Table 1.
Table 1.
Spatial characteristics of basic morphological unit types.
3.2. Simulation Experiment Design
3.2.1. Experimental Procedure
This experiment was conducted in an area of 400 m × 400 m to generate a variety of blocks with different morphological layouts by randomly combining 12 basic morphological units. The experiment was divided into two groups, i.e., a new single type and a new composite type, and each group was conducted according to the high, medium, and low (75%, 50%, and 25%) updating ratios, i.e., (4, 12), (8, 8), and (12, 4), respectively. In this way, each group of experiments contained three small experiments with different addition ratios, which allowed for a comprehensive discussion of the impact of different addition types and ratios on the quality of the thermal environment in the neighborhood. The logic of the experimental design is shown in Figure 4.
Figure 4.
Ideal neighborhood model generation.
The new single type of morphological unit simulation optimization experiment focused on the impact of different new unit types on the thermal environment quality of the neighborhood. Therefore, the new unit type of the block scheme generated in this experiment was a single type, and according to the three new ratios, one of the units of types 1–7 was randomly selected to be built in the 4 × 4 block, thus generating a new single-type morphological unit block scheme, and the same new unit could also be generated in a variety of block schemes with different location layouts.
The new composite type of morphological unit simulation optimization experiment focused on the impact of changes in morphological indicators on the thermal environment quality of the neighborhood. This set of experiments selected the composite type as the dominant type of new units, and in accordance with the three new ratios, randomly selected a variety of units in types 1–7 for the 4 × 4 block of units to be constructed, and a variety of composite morphology units existed at the same time in the resulting block program.
3.2.2. Design Variables
- 1.
- Dependent variable: neighborhood morphology indicators
The neighborhood morphology indicators were the independent variables in this study. In a 4 × 4 block, a variety of block solutions with different morphological parameters could be derived by selecting individual units. Therefore, the selection of control units was equivalent to the control of the block morphology parameters and became the independent variable in this experiment. Referring to the reviewed literature, we selected five important morphological indicators, which were sky-viewable factor (SVF), which is the ratio of the sky viewable area to the viewable area at a height of 1; street aspect ratio (SAR), which is the ratio of the average building height to the average street width in the domain and is used to measure the degree of openness of the street canyon; building density (BD), which is the percentage of the building footprint in the domain in relation to the total area of the study area and is used to measure the building footprint; floor area ratio (FAR) is the ratio of the floor area of buildings in the domain to the area of the study area and measures the intensity of buildings; and morphological unit type (MUT) is the type of basic units that make up a neighborhood, where there are 12 morphological units in this study. These indicators are highly modifiable, limiting the intensity of neighborhood development and spatial morphological changes in the thermal environment layout of the scheme. They have a practical significance in the design of schemes and can well explain the relationship between the spatial layout of the thermal environment and the thermal comfort of the neighborhood.
- 2.
- Dependent variable: thermal environment evaluation indicators
Thermal environment evaluation indicators are the dependent variables in this study. In this study, the main climate indicators derived from the neighborhood model simulation included temperature, humidity, average radiant temperature, and wind speed. Considering the aspects of evaluating outdoor thermal comfort, we opted for the universal thermal climate index (UTCI) as the index to evaluate the neighborhood’s outdoor thermal comfort. The UTCI was founded on the chronophysiological exchange theory and its calculation is based on a sixth-degree polynomial equation, the simplified version of which is shown in Equation (1). It can be computed using the officially released Fortran program or Bioklima 2.6 software, or by utilizing the Outdoor Comfort Calculator module in Ladybug-tools [53].
where Offset represents the deviation of UTCI from the actual temperature; Ta refers to the air temperature; Tmrt indicates the average radiant temperature in a closed environment, where the amount of radiant heat transfer between the human body and the environment equals the actual situation; VA denotes wind speed at 10 m height; and rH signifies the relative humidity [54].
UTCI = Ta + Offset (Ta, Tmrt, Va, rH)
3.3. Construction of a Parametric Simulation Optimization Platform
To begin with, the module for the block scheme generation was constructed. In Grasshopper, a layout of 16 grids measuring 108 m × 108 m was created to form a 4 × 4 layout. The Squared cell was used for this. Afterward, the Offset Curve cell was connected to offset the grid inward by 8 m to create a well-gridded road network that was 16 m wide. The 16 generated cells were randomly divided using the Reduction interface, which controlled the number of divisions. Three sets of data were specified to correspond with the previously mentioned update ratios: 4, 8, and 12. This process enabled the division of new and reserved units into (4, 12), (8, 8), and (12, 4). The desired cellular structure could be achieved by linking the two sets of randomly segregated neighboring cells to the Stream Filter power source based on the predetermined cellular morphology type, and then, regulating the Gate via the Number Slider. Finally, the center point of the bottom surface of the target unit was located with the center point of the bottom surface of the unit in the block. The Orient battery was used to pick up the added and retained units to generate a complete block of 16 units.
Subsequently, the environmental simulation and evaluation module were constructed. The environment simulation and evaluation module utilized the Rhino model to convert to the Butterfly simulation model whilst applying parameters to simulate the wind environment. The Ladybug-tools calculated the environmental parameters, such as the average radiant temperature, dry bulb temperature, and relative humidity of the block. Additionally, the UTCI calculation battery calculated the average thermal comfort value of the block.
Finally, we constructed the automatic optimization module. The independent variables were connected to the Gene port, which included the gene pool port to control the type of added units and the seed port for controlling the location of the added units. In this study, the dependent variable was the UTCI port of the neighborhood’s average thermal comfort during the day, which was connected to the Fitness port. We selected the genetic algorithm Galapagos for this purpose. The module for recording data continuously monitored both the morphological and microclimatic parameters of the neighborhood samples to facilitate subsequent correlation analyses [55]. Figure 5 displays the microclimate performance-based design platform for renewing traditional neighborhoods. This platform seamlessly integrates parametric modeling, environmental simulation and evaluation, and automatic optimization design to offer an effective and methodical tool for performance-based design of the microclimate in traditional neighborhood renewal.
Figure 5.
Design platform for microclimate performance-based design of traditional neighborhoods.((A)—Neighbourhood schema generation, (B)—Environment simulation module, (C)—Optimisation and recording).
The UTCI sampling points were configured with a grid accuracy of 10 m × 10 m, and the sampling point height was set at 1.5 m. The UTCI values for each sampling point were determined by considering the distribution pattern of the planar grid throughout the neighborhood. The daytime average UTCI for the entire neighborhood was then computed through averaging.
3.4. Simulation of Meteorological Parameters
This study collected meteorological data from the Guangdong Meteorological Data Network (https://WWW.gd121.cn/index.shtml, accessed on 12 December 2023) for Foshan over the past decade (2011–2020). The typical summer months in Foshan are July and August, during which the average temperatures reach 31 degrees Celsius. The temperature ranges between 19 °C and 31.28 °C; the average wind speeds are 2.41 m/s and 2.23 m/s, respectively, and the average relative humidities are 77.8% and 75.9%, respectively.
The U.S. Department of Energy website (energyplus.net/Weather) provides EPW format meteorological data on an hourly basis, which includes 3034 weather data points from multiple local weather stations around the globe. This data is widely used for meteorological analysis. In this study, we utilized Ladybug-tools to analyze Foshan’s EPW data and extract meteorological data for temperature, humidity, wind speed, and radiation temperature of the typical summer week (TSSW) on an hourly basis. Our findings indicate that the average weather conditions regarding temperature, humidity, wind speed, and radiation during the period of 1:00 on 29 July to 24:00 on 4 August were typical of Foshan’s climate characteristics in previous years. The average temperature, humidity, wind speed, and radiation were the most typical in Foshan’s climate in recent years. To simulate the thermal environment, we chose 4 August, which was closest to the typical meteorological week. The simulation period started at 7:00 at sunrise and lasted for 12 h until 19:00, which was sunset.
4. Simulation Optimization Layout
4.1. Optimization Algorithm
The simulation optimization experiment was conducted using the conventional neighborhood microclimate performance-based design platform, where the experiment was divided into two groups. The initial experiments aimed to investigate how divergent combinations of morphological units impacted the thermal comfort of the neighborhood during the regeneration process. The goal was to establish a set of rules for neighborhood morphological design. The subsequent experiments aimed to examine the connection between spatial form indicators and thermal comfort (UTCI) of the built environment in the context of neighborhood renewal.
During the initial round of computer simulations, Galapagos software facilitated our experiments with a population size of 30 per generation and a maximum of 30 optimization generations. In a subsequent simulation, Galapagos was also used to conduct merit seeking with a total sample size exceeding that of a single morphological unit, using a population size of 30 per generation and a maximum of 40 generations for merit seeking. After conducting the simulations, the findings from the neighborhood optimization search for three different update ratios are presented in Table 2. “Optimal UTCI” signifies the thermal comfort value aligned with the ideal neighborhood arrangement under diverse update ratios, while “cooling effectiveness” measures the difference in UTCI between the optimal solution and the initial generation of open space samples, indicating the cooling effect of the optimal layout experiment. “Total number of samples” specifies the number of independent and non-repeated samples selected for analysis after discarding a small number of duplicates.
Table 2.
Automatic optimization.
4.1.1. New Single-Type Optimization Search
In the initial series of single-type simulations for optimization, the optimal UTCI values for the update proportions of 25%, 50%, and 75% were 35.31 °C, 34.86 °C, and 34.58 °C, correspondingly. Under these three update proportions, the neighborhood plan, which comprised multi-story and high-rise units, provided comparatively higher thermal comfort. Multi-story buildings typically provided a favorable perimeter thermal environment, whereas other types of spaces tended to underperform. The high-rise building form enhanced the thermal comfort across all three update ratios. The UTCI values determined superior and inferior solution sets, with the top 10% of the optimization-seeking samples being considered optimal solutions and the bottom 10% being classified as the worst solution set. Figure 6 shows that the ideal solution set predominantly comprised high-rise point-type building units, followed by high-rise townhouse and multi-story building units with varied update ratios. The unfavorable solution set portrayed a higher proportion of low-rise building units, represented by low-rise townhouse-type units. Therefore, increasing the number of high-rise buildings during the renovation of Lingnan’s traditional neighborhoods will contribute significantly to improving overall thermal comfort.
Figure 6.
Visualization of the optimal UTCI solution for a typical additional monomorphic unit update scenario.
4.1.2. Optimization Search for Added Composite Types
The experiment on added composite types observed changes in the optimal UTCI value at different added proportions. The optimal UTCI value gradually decreased as the proportion of additions increased. The optimal UTCI values for the three update proportions of 25%, 50%, and 75% were 34.12 °C, 33.89 °C, and 33.54 °C, respectively. The UTCI values of the worst solution were 35.40 °C, 35.66 °C, and 35.52 °C, respectively. In regard to the structure of the ideal solution, it was more advantageous to utilize simple form units with greater overall space and increased levels (such as high-rise townhouses and point-type buildings) to accommodate different ratios of additions. Conversely, the suboptimal solution featured a more complicated addition scheme, particularly with higher rates of renewal, where multiple form units were present simultaneously. Together, for the regeneration of historic Lingnan neighborhoods predominantly comprising multi-story retained units, low-density high-rise units enhanced the thermal comfort at the pedestrian level, whereas high-density ground floor units had limited effectiveness in improving thermal comfort. Figure 7 depicts the microclimatic conditions of the UTCI superior and inferior solution scenarios for the three regeneration ratios.
Figure 7.
Microclimate visualization of superior and inferior UTCI solution scenarios in the three update ratios.((A)—Optimal solutions, (B)—Worst solutions).
4.2. Analysis of Optimization Results
4.2.1. Neighborhood Morphological Unit Microclimate
The experiment involved adding a single form and allowed for the summary of the thermal comfort and the morphological layout patterns of the block solutions consisting of various morphological units. The technical abbreviations are defined upon their initial use. At a 25% updating frequency, the average wind speed, average radiant temperature, and the maximum value of the group composed of diverse included the units that belonged to type 7 (open space). The highest values of the average thermal comfort in the groups were discovered in type 5. Nevertheless, at 50% and 75% of the new ratio, these indicators peaked in type 7 (open space) for the groups composed of different new units.
Taken collectively, among the blocks with varying proportions of new units, those with open space or low-density, high-rise units exhibited higher average wind speeds. Meanwhile, the blocks with enclosed layouts or low-rise, high-density units displayed inferior ventilation performance. The mean radiant temperature of a block was significantly influenced by the height of the new unit buildings. Usually, blocks with greater heights of new unit buildings provided better radiative shading, resulting in lower mean radiant temperatures. In contrast, blocks with lower heights of new unit buildings have higher mean radiant temperatures.
The trends in the UTCI values were more intricate as they related to wind speed and radiant temperature. The impact of the building height of additional units on thermal comfort was more pronounced in neighborhoods with a 25% augmentation ratio. In addition, the taller the building, the lower the UTCI value for outdoor thermal comfort in general. There were notable variances in thermal comfort between different types of new units at varying addition proportions. At the 50% addition proportion, type 0 and type 1 exhibited better thermal comfort, in contrast with the 75% addition proportion, where type 3 and type 6 had inferior thermal comfort. The thermal comfort was substandard in neighborhoods with the 25% renewal proportion in comparison with those with higher renewal proportions. The allocation of morphological components and microclimates within the neighborhoods is exhibited in Figure 8.
Figure 8.
Neighborhood morphological units and microclimate (wind speed, MRT, UTCI) distribution.
4.2.2. Correlation between Neighborhood Morphological Indicators and Microclimate
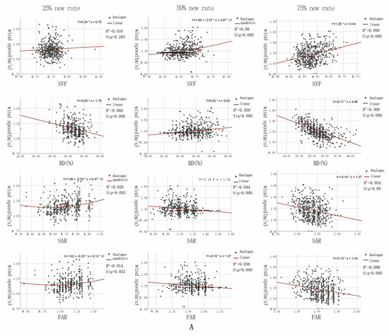
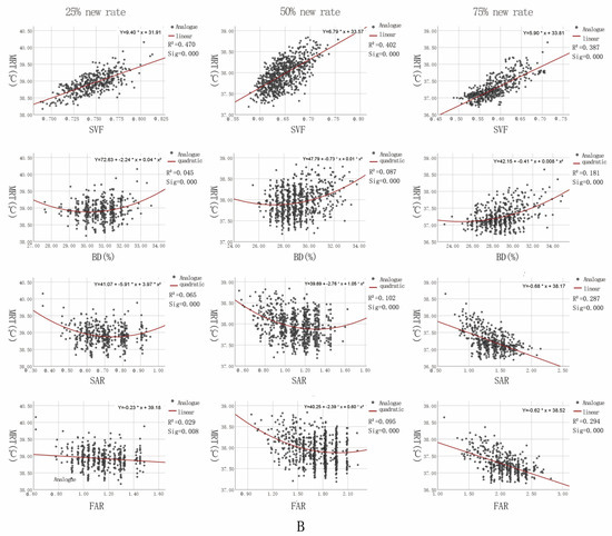
This study used the new composite-type experiments to explore the relationship between morphological indicators and thermal comfort (UTCI) during neighborhood renewal. Four spatial morphological indicators (SVF, BD, SAR, FAR) were examined for their correlations with three thermal environment indicators (wind speed, radiant temperature, UTCI). The results are presented in Figure 9.


Figure 9.
Neighborhood spatial pattern indicators and microclimate (wind speed, MRT, UTCI) correlation. ((A)—Correlation analysis of morphological indicators with wind speed, (B)—Correlation analysis of morphological indicators with MRT, (C)—Correlation analysis of morphological indicators with UTCI).
Among these four spatial form indicators, building density (BD) exhibited the strongest correlation with wind speed, signifying that alterations in BD significantly influenced the average wind speed within the locality compared with the other three form indicators. Among the various addition ratios tested, the average wind speed was particularly high at an addition ratio of 75%. This finding indicated that the wind speed was more manageable in blocks with a high addition ratio, rendering them more suitable for creating a comfortable wind environment in the block.
The highest correlation with radiant temperature was found with SVF, indicating that the block-shading effect significantly reduced the radiant temperature. SAR and FAR both exhibited negative correlation trends with radiant temperature, which directly indicates that neighborhoods with higher levels of additions have an overall reduction in radiant temperature.
Overall, significant correlations were found between all four neighborhood morphology indicators and the UTCI at all three renewal percentages, with relatively consistent trends. The correlation between the neighborhood morphology indicators and the UTCI was highest at the 75% update ratio and lowest at the 25% update ratio. Among these four indicators, FAR and SAR exhibited the greatest correlations with UTCI, whereas BD and SVF had relatively low correlations with UTCI.
4.2.3. Multiple Regression Analysis of Thermal Comfort and Neighborhood Spatial Form Indicators
To further explore the connection between neighborhood spatial morphology indicators and thermal comfort, a multiple regression analysis was employed. Multiple linear regression models have the capability to calculate or estimate the dependent parameter by combining various independent variables. This led to the accurate mathematical modeling of the relationship between the morphology parameters of a neighborhood and its thermal comfort. As a result, it could predict the thermal comfort of the neighborhood scheme under distinct morphology indicators.
We derived a multiple linear regression model using the linear modeling module in SPSS Statistics, with the four spatial morphology indicators at three different addition ratios as independent variables and UTCI as the dependent variable. Table 3 illustrates the summary statistics of the regression equations of the morphometric indicators with UTCI under varying addition proportions. The regression equations yielded R values of 0.782, 0.816, and 0.804 for the three update proportions, indicating the significant explanatory power of the model. Further adjustments to the R2 values demonstrated the model’s ability to predict the dependent variable UTCI, with respective explanatory powers of 60.7%, 66.4%, and 64.4%.
Table 3.
Summary of models.
The DW values of the model were around 2—at 1.947, 2.021, and 2.010—for which the residuals of the model were independent in the first-order positive autocorrelation test. The F-values of the regression models under the three new additions ratios in the ANOVA were significant at a level of 0.000, indicating the high statistical significance of the predictive models.
Table 4 displays the coefficients of the regression model and their unstandardized values, indicating each morphological indicator’s impact on thermal comfort. Table 4 displays the coefficients in the regression model and their unstandardized values, indicating each morphological indicator’s impact on thermal comfort. Larger numbers denote a greater influence on the regression model predictions. For instance, the coefficients of building density (BD), sky visibility factor (SVF), and the neighborhood’s average street aspect ratio (SAR) displayed a negative correlation for both the 25% and 75% update ratios. This suggests that increasing these morphology metrics reduced the UTCI values. On the other hand, the coefficients of the floor area ratio (FAR) show a positive correlation, indicating that higher floor area ratios led to increased UTCI values. Under a renewal ratio of 75%, two morphometric indicators, namely, building density (BD) and neighborhood average street aspect ratio (SAR), were significantly negatively correlated with the UTCI. Additionally, two other morphometric indicators, namely, sky visibility factor (SVF) and floor area ratio (FAR), demonstrated significant positive correlations with the UTCI.
Table 4.
List of model coefficients.
The residual test was conducted to ascertain the accuracy of the regression model’s predictions. The test results indicate that the mean of the residuals under the three added proportions was zero, confirming a normal distribution that satisfied the residual stochasticity requirement. Figure 10 presents the residual analysis plot, further affirming the accuracy of the model.
Figure 10.
Plot of model residual analysis. ((a)—25% new rate, (b)—50% new rate, (c)—75% new rate).
The above analyses established a correlation between the neighborhood morphological indicators and the microclimate environment, which affected the thermal comfort of the neighborhood. These findings offer valuable guidance for revitalizing old neighborhoods, allowing for a more harmonious balance between the spatial structure and thermal comfort in the renewal process. Based on the unstandardized coefficient B, a multiple linear regression equation could be constructed between the universal thermal climate index (UTCI) and the spatial form indicators of the neighborhood as follows:
where UTCI denotes the average outdoor thermal comfort in the neighborhood during the daytime (°C), SVF denotes the factor representing the visible sky area from the ground, FAR denotes the ratio of the floor area to the total area of the plotted land, BD denotes the percentage of the plot area covered by buildings, and SAR denotes the average ratio between street width and building height in the neighborhood. These regression equations offer a quantitative approach to forecasting the correlation between thermal comfort within a neighborhood and scheme morphology indicators at varying regeneration ratios. As a result, they provide a noteworthy point of reference in urban planning and regeneration design.
UTCI (25%) = −6.253 × SAR + 2.999 × FAR − 4.731 × SVF − 0.106 × BD + 42.678;
UTCI (50%) = −3.389 × SAR + 1.070 × FAR − 0.023 × BD − 6.910 × SVF + 41.966;
UTCI (75%) = −1.893 × SAR + 0.641 × FAR − 0.503 × BD + 0.190 × SVF + 37.346;
Equations (2)–(4) are applied individually to three distinct approaches to traditional urban renewal: preservation-oriented renewal, rectification-oriented renewal, and reconstruction-oriented renewal. Preservation-oriented renewal centers on restoring and preserving buildings with historical significance or traditional aesthetics. Its primary focus is on safeguarding and renewing historical and culturally rich neighborhoods. Rectification-oriented renewal primarily entails localized reconstruction, which is complemented by additional construction measures aimed at enhancing the modern functionality of the neighborhood. Additional constructions predominantly include low-rise and multi-story buildings, occasionally incorporating small high-rise structures. Reconstruction-oriented renewal primarily involves the demolition and reconstruction of buildings. This approach is typically employed in cases where the renovation scope is extensive, the development intensity is high, and the protection criteria are well-defined in traditional neighborhoods.
5. Optimization Design Practices
5.1. Status of Optimization Area and Scheme Design
The optimization design area we selected was on the eastern side of the Donghuali area in the Zumiao Old Town district of Foshan City, covering an area of 15.24 hectares. The buildings in this area have been gradually replaced by modern buildings, especially the eastern and southern side units have been more significantly renewed. The new buildings were mainly constructed after the overall renovation plan of the Ancestral Temple Donghua Lane Area in 2008, while the ratio of the area of the new units to that of the preserved units shows that the new units accounted for 46.82% of the total area, as shown in Figure 11.
Figure 11.
Location map, aerial view, and texture map illustrating the current state of the street. ((A)—Zone map, (B)—Aerial view of the current situation, (C)—Existing texture map).
According to the findings from the multiple linear regression equation for UTCI (50%) presented in the previous section, it is evident that an increase in street aspect ratio (SAR), building density (BD), and sky visual field factor (SVF) resulted in a significant reduction in the UTCI. Based on the new unit types and morphological indicators of the actual neighborhood, it is evident that the corresponding UTCI values were more favorable when the neighborhood’s building density was approximately 30%. Thus, the street height-to-width ratio should be maintained, or the plot ratio should be moderately reduced, while suitably elevating the sky-viewable area factor to maintain an appropriate UTCI value. It was discovered that at a 50% update ratio, multi-story enclosed and dispersed units were ineffective at providing ventilation and radiative shading. Therefore, the optimized design plan entailed replacing the inadequate low-rise townhouse units (type 5) and scattered multi-story units (type 4) with multi-story townhouses (type 1) at a 50% update ratio. Additionally, we aimed to improve the high-rise townhouses on the south side by converting them into better-ventilated high-rise staggered units (type 3), among other adjustments. It is important to note that technical term abbreviations will be explained upon first use.
In summary, enhancing the thermal comfort in the design of the scheme can be accomplished through a comprehensive approach that considers both the spatial and morphological indicators of the neighborhood and the type of morphological units. To achieve this, the preliminary optimization scheme replaces unsuitable building units with locally adjusted units that connect the reserved and new areas while preserving the current texture and style. As illustrated in Figure 12, the high-rise townhouse units located on the south side of E and C were replaced to decrease the building height and density on that side of the block, thereby increasing ventilation. Units A, B, and D, which were adjacent to the preserved units, were designed with smaller volumes, lower heights, and similar styles to preserve the existing units as much as possible while also reducing the density, thus enhancing the internal block’s ventilation performance. Following the adjustment of the preliminary optimization scheme, the SVF value increased by 0.02 compared with the status quo scheme. Meanwhile, the building density value decreased by 2.86%, the FAR value decreased by 0.51, and the average street height-to-width ratio remained unchanged.
Figure 12.
Comparison of before and after preliminary optimization scenarios location map. ((a)—Status quo programme: A Multi-storey townhouse, B Multi-storey free standing, C High-rise townhouse, D Multi-storey enclosed type, E Staggered high-rise; (b)—Preliminary optimized scheme: A Small high-rise townhouse type, B Multi-storey free standing, multi-storey townhouse type, C Small high-rise townhouse, high-rise staggered type, D Low-rise townhouse, multi-storey free-form, E High-rise staggered).
5.2. Optimization of Programmed Simulations
Urban simulation and optimization in authentic neighborhood examples were achieved using a conventional microclimate performance-based design platform. The simulation, optimization, and indicator calculation sections of the platform were consistent with the ideal model.
First, considering the variation in the number of added floors for different units, the total number of optimization samples in this iteration was calculated to be = 840. Within Galapagos, the genetic sample size was set to 20 for each generation, and the maximum simulation generation was set to 40. The meteorological parameters simulated were from 7:00–19:00 on a typical meteorological day in Foshan City. As depicted in Figure 13, the actual scheme optimization process took 62 h, and the optimal solution’s UTCI value was 33.17 °C. The optimal solution resulted in reductions in the UTCI value by 2.01 °C and 1.23 °C when compared with the status quo scheme and preliminary optimization scheme, respectively. After 31 iterations, significant mutations in the fitness values were observed in the 6th, 7th, 17th, and 20th generations. Subsequently, the minimum fitness value remained constant for the next 10 generations, indicating convergence. Therefore, it was deemed that the optimization samples reached the minimum value, affirming the validity of the optimization results. Throughout the optimization search process, 660 valid optimization samples were generated in a total of 20 iterations. The specific parameter settings are shown in Figure 13.
Figure 13.
Optimization interface. ((a)—Initial interface setup, (b)—Optimization interface).
By analyzing the results of the optimality search, we were able to obtain the optimal solution morphology, as illustrated in Figure 14. The ideal layout incorporated a variety of morphology types, including staggered high-rises, townhouses with high-rise and multi-story options, dispersed multi-story buildings, and enclosed low rises. This diverse layout provided effective shading and ventilation. The recommended morpho-spatial indicators comprised a plot ratio of 2.10, an average street height-to-width ratio of 1.45, a sky visibility factor of 0.62, and a building density of 31.01%. Compared with the preliminary plan, the plot ratio rose, with a slight decline in the sky visibility factor, whilst the average street aspect ratio remained unaltered.
Figure 14.
Aerial view of the optimal solution. (A)—Status quo programme, (B)—Optimal soulution).
To further assess the precision of the multiple linear regression model in forecasting UTCI values in neighborhood renewal, the morphology parameters of the 660 optimal search samples could be individually substituted into the prediction equation. This provided insight into the relationship between the simulated UTCI values in actual neighborhoods and the predicted values of the UTCI regression equations. Figure 15 illustrates the similarities between the simulated UTCI values of actual neighborhoods in the 50% updating proportion scenario and the predicted values of the equation. The R2 value of 0.605 and the sig value of 0 further support this observation. The multivariate linear regression equation of ideal neighborhoods was shown to be effective in the process of updating actual neighborhoods, as evidenced by its high significance and correlation. Additionally, the prediction equation has practical value, as planning designers can use it in the pre-programmed stage of renewal planning and design to assess thermal comfort quickly and easily (as measured by UTCI).
Figure 15.
Relationship between simulated and predicted UTCI values fitted to actual neighborhood updates.
6. Conclusions
This study explored the connection between the spatial form of traditional neighborhoods and outdoor thermal comfort in Foshan, which is a hot and humid Lingnan region, by utilizing the theory of microclimate performance. Based on the parametric software platform for designing microclimate performance (Rhino-grasshopper 6.7), we developed three functional modules that included updating the built environment, simulating, evaluating the microclimate, and optimizing the evolution of thermal comfort. Digital technology allowed us to systematically calculate spatial modeling, simulation, automatic generation, and iterative optimization of traditional neighborhoods. The optimization targets for summer daytime thermal comfort (UTCI), wind speed, and mean radiant temperature (MRT) due to solar radiation were considered. Correlation laws and multiple regression equations were established to link the microclimate and traditional neighborhoods in a logical manner.
In terms of updating the layout of Lingnan traditional neighborhoods, it can be observed that the high-rise building unit types with larger volumes and higher building heights exhibited better radiation shielding effects in the built environment. Consequently, such unit types could effectively reduce the average radiant temperature of the neighborhoods. Conversely, unit types with lower building densities and looser layouts possessed better wind-conducting abilities in the built-up neighborhoods. Additionally, changes in the layout locations of the neighborhood units could also play a vital role in improving ventilation. Simultaneously, relocating the block unit layout could enhance the ventilation effect.
The R2 values in the multiple linear regression models between the four spatial morphological indicators and UTCI under three updating ratios were approximately 0.6. The sig values approached 0.000, signifying high correlation and vital significance. This indicates a robust accuracy in predicting the simulation results of actual urban block scenarios. As the updating ratio increased, the correlation coefficients between SAR, FAR, and urban block UTCI and MRT were approximately −6.253, −3.389, −1.893, 2.999, 1.070, and 0.641, respectively. All demonstrated a negative correlation, signifying that an increase in urban block updating had a diminishing effect on the average radiation intensity in the block. The coefficients for BD were −0.106, 0.023, and −0.503, indicating a positive correlation with the urban block UTCI and MRT, suggesting that an increase in building density had a counteractive effect on improving the urban block thermal comfort. BD was the most significant morphological indicator that affected urban block wind speed, and the SVF was the most significant indicator that affected urban block radiation temperature. The indicators with the most significant impact on the urban block UTCI were the average SAR and FAR.
Utilizing the simulation optimization method of microclimate performance, distinct from traditional subjective and experiential decision-making approaches, the integrated forward simulation and reverse empirical approach succinctly proposed laws governing the coupled effects of various associated parameters and quantified models between microclimate performance and spatial morphology. In the initial planning and design stages for traditional urban block renewal, this method provided a swift and convenient model equation for assessing thermal comfort (UTCI). Post-optimization iterations, the urban renewal solutions for the case block, compared with the current state and preliminary optimized solutions, exhibited decreases of 2.01 °C and 1.23 °C in the UTCI values of the optimal solution. This signifies that the technical approach in this study can enhance the scientific and rational aspects of complex urban block renewal planning and design.
The parameterized optimization approach proposed in this study was developed based on simulation data from a single case block. Due to limitations in sample quantity, this research did not encompass traditional blocks with diverse morphological types and spatial parameters in the Lingnan region. Future endeavors should involve various samples of traditional blocks and delve into the influence of additional spatial elements on thermal comfort. Additional experiments that include simulations and measurements will be essential to refine the influencing factors, further elevating the optimization solutions’ accuracy and scientific validity. Furthermore, in the ancient city of Lingnan, the grid-like streets and courtyard-style buildings often incorporate tall trees planted in courtyards, effectively providing shade to the courtyard and street spaces. This adaptive greening approach enhances the block’s greening and nature performance ratio (GNPR), significantly improving outdoor thermal comfort. One limitation of this study is the exclusion of the impact of GNPR on thermal comfort. Addressing this gap will be a pivotal focus for future research.
Simultaneously, we note that in recent years, rooftop greening has been increasingly applied in urban renewal practices. Numerous studies indicate that rooftop greening has significant energy-saving potential [56]. As a nature-based solution, rooftop greening can serve as an effective tool for improving the urban heat environment, conserving energy, and addressing climate change [57]. Additionally, rooftop greening can effectively improve the air quality near roads [58]. As an emerging urban renewal method, the impact of greening on the renewal of traditional Lingnan blocks is also worth further exploration.
Author Contributions
Conceptualization, J.Z. and B.Z.; data curation, J.Z., B.Z. and Z.L.; formal analysis, J.Z., B.Z. and H.Z.; funding acquisition, B.Z. and J.Z.; investigation, J.Z., H.Z., Z.L. and B.Z.; methodology, J.Z. and H.Z.; project administration, B.Z.; resources, B.Z. and J.Z.; software, J.Z. and H.Z.; supervision, B.Z.; validation, B.Z.; visualization, H.Z. and Z.L.; writing—original draft, J.Z.; writing—review and editing, J.Z. and H.Z. All authors have read and agreed to the published version of the manuscript.
Funding
This research was funded by the Hunan Provincial Natural Science Foundation, grant number 2023JJ30693; the Hunan Provincial Philosophy and Social Science Planning Fund, grant number XSP20ZDI020; and the Changsha University of Science and Technology New Teachers Research Funding, grant number 2023008809.
Institutional Review Board Statement
Not applicable.
Informed Consent Statement
Not applicable.
Data Availability Statement
The data presented in this study are available on request from the corresponding author.
Conflicts of Interest
The authors declare no conflicts of interest.
References
- Cai, W.J.; Zhang, C.; Zhang, S.H.; Ai, S.Q.; Bai, Y.Q.; Bao, J.Z.; Chen, B.; Chang, N.; Chen, H.Q.; Cheng, L.L.; et al. The 2021 China report of the Lancet Countdown on health and climate change: Seizing the window of opportunity. Lancet Public Health 2021, 6, E932–E947. [Google Scholar] [CrossRef] [PubMed]
- Cai, W.; Zhang, C.; Suen, H.P. The 2020 China report of the Lancet Countdown on health and climate. Lancet Public Health 2021, 6, e87. [Google Scholar] [CrossRef] [PubMed]
- Qiu, Q. Annual Passenger Flow of 25 Million People! Come to Foshan to Start the Night Economy Tour. China Daily. 2023. Available online: https://baijiahao.baidu.com/s?id=1777067698239398005&wfr=spider&for=pc (accessed on 12 December 2023).
- People’s Government of Guangdong Province. Guangdong’s “Old Community Renovation” Accelerates. Available online: https://www.gd.gov.cn/gdywdt/bmdt/content/post_3494078.html (accessed on 12 December 2023).
- Guangdong Provincial Department of Housing and Urban-Rural Development. Available online: http://zfcxjst.gd.gov.cn/gkmlpt/content/2/2607/post_2607733.html#1424 (accessed on 12 December 2023).
- Zhong, Y.; Cui, M.X. Analysis of Urban Renewal Development in Guangdong Province and Policy Thoughts. In Proceedings of the 2020/2021 China Urban Planning Annual Conference & 2021 China Urban Planning Academic Season, Chengdu, China, 25 September 2021; p. 11. [Google Scholar]
- Zheng, J.; Wang, G. Simulation of Microclimate in Traditional District Renovation and lts Optimization: Baogong Mansion District, Zhaoqing. Planners 2019, 35, 79–86. [Google Scholar]
- Yang, J.; Du, Y.; Wang, Y. Urban Renewal and Functional Upgrade. City Plan. Rev. 2016, 40, 99–106. [Google Scholar]
- Moonen, P.; Defraeye, T.; Dorer, V.; Blocken, B.; Carmeliet, J. Urban Physics: Effect of the micro-climate on comfort, health and energy demand. Front. Archit. Res. 2012, 1, 197–228. [Google Scholar] [CrossRef]
- Takahashi, K.; Yoshida, H.; Tanaka, Y.; Aotake, N.; Wang, F. Measurement of thermal environment in Kyoto city and its prediction by CFD simulation. Energ. Build. 2004, 36, 771–779. [Google Scholar] [CrossRef]
- Rodríguez Algeciras, J.A.; Gómez Consuegra, L.; Matzarakis, A. Spatial-temporal study on the effects of urban street configurations on human thermal comfort in the world heritage city of Camagüey-Cuba. Build. Environ. 2016, 101, 85–101. [Google Scholar] [CrossRef]
- Soflaei, F.; Shokouhian, M.; Mofidi Shemirani, S.M. Traditional Iranian courtyards as microclimate modifiers by considering orientation, dimensions, and proportions. Front. Archit. Res. 2016, 5, 225–238. [Google Scholar] [CrossRef]
- Ragheb, A.A.; El-Darwish, I.I.; Ahmed, S. Microclimate and human comfort considerations in planning a historic urban quarter. Int. J. Sustain. Built Environ. 2016, 5, 156–167. [Google Scholar] [CrossRef]
- Adrien, G.; Emmanuel, B.; Christian, I.; Marjorie, M.; Isabelle, C. Assessment of urban cooling strategies impact using a coupled model for urban microclimate and building energy simulation. In Proceedings of the 9th International Conference on Urban Climate (ICUC9), Toulouse, France, 20–24 July 2015. [Google Scholar]
- Groleau, D.; Marenne, C. Environmental specificities of the urban built forms, Rebuild-Rebuilding the European City. In Proceedings of the Integration of Renewable Energies in Established Urban Structures European Conference Organized by the Rebuild Network in the Framework of the Recite Programme of DG XVI Regional Policies of the European Commission, Corfu, Greece, 29 June–1 July 1995. [Google Scholar]
- Li, N.; Guo, Z.; Geng, W.; Li, L.; Li, Z. Design strategies for renovation of public space in Beijing’s traditional communities based on measured microclimate and thermal comfort. Sustain. Cities Soc. 2023, 99, 104927. [Google Scholar] [CrossRef]
- Taleghani, M.; Tenpierik, M.; Dobbelsteen, A.V.D. Environmental impact of courtyards—A review and comparison of residential courtyard buildings in different climates. J. Green Build. 2012, 7, 113–136. [Google Scholar] [CrossRef]
- Taleghani, M.; Tenpierik, M.; Dobbelsteen, A.V.D. Energy performance and thermal comfort of courtyard/atrium dwellings in the Netherlands in the light of climate change. Renew. Energy 2014, 63, 486–497. [Google Scholar] [CrossRef]
- Taleb, D.; Abu-Hijleh, B. Urban heat islands: Potential effect of organic and structured urban configurations on temperature variations in Dubai, UAE. Renew. Energy 2013, 50, 747–762. [Google Scholar] [CrossRef]
- Djukic, A.; Vukmirovic, M.; Stankovic, S. Principles of climate sensitive urban design analysis in identification of suitable urban design proposals. Case study: Central zone of Leskovac competition. Energy Build. 2016, 115, 23–35. [Google Scholar] [CrossRef]
- Yin, Z.; Ma, W.; Wan, Y. Research on the Optimization of Urban Renewal Project Based on Microclimate and Thermal Comfort. Urban. Archit. 2020, 17, 7–15. [Google Scholar]
- Maragkogiannis, K.; Kolokotsa, D.; Maravelakis, E.; Konstantaras, A. Combining terrestrial laser scanning and computational fluid dynamics for the study of the urban thermal environment. Sustain. Cities Soc. 2014, 13, 207–216. [Google Scholar] [CrossRef]
- Zheng, J. Research on the Urban Renewal Based on the Simulation and Evaluation of the Wind and heat Environment in Traditional Blocks. Master’s Thesis, South China University of Technology, Zhuhai, China, 2017. [Google Scholar]
- Zhu, D. Evaluation Research on the renewal of Baiwanzhuang Community Based on Comfort Evaluation. Master’s Thesis, Beijing University of Civil Engineering and Architecture, Beijing, China, 2018. [Google Scholar]
- Yin, S.; Lang, W.; Xiao, Y.Q.; Xu, Z. Correlative Impact of Shading Strategies and Configurations Design on Pedestrian-Level Thermal Comfort in Traditional Shophouse Neighbourhoods, Southern China. Sustainability 2019, 11, 1355. [Google Scholar] [CrossRef]
- Liang, Y. A Research on Outdoor Shadow Space Design in the Renewal of Old City Blocks in Guangzhou. Master’s Thesis, Guangzhou University, Guangzhou, China, 2018. [Google Scholar]
- Wei, Z.; Gao, Z.; Wo, D. Outdoor thermal comfort indices: A review of recent studies. J. Environ. Health 2015, 32, 836–841. [Google Scholar]
- Zhang, F.; Pan, M. Scientific Knowledge Map Analysis of Outdoor Thermal Comfort Based on CiteSpace. Pop. Sci. Technol. 2021, 23, 162–165. [Google Scholar]
- Othman, H.A.S.; Alshboul, A.A. The role of urban morphology on outdoor thermal comfort: The case of Al-Sharq City—Az Zarqa. Urban Clim. 2020, 34, 100706. [Google Scholar] [CrossRef]
- Taleb, H.; Musleh, M.A. Applying urban parametric design optimisation processes to a hot climate: Case study of the UAE. Sustain. Cities Soc. 2015, 14, 236–253. [Google Scholar] [CrossRef]
- Perini, K.; Chokhachian, A.; Dong, S.; Auer, T. Modeling and simulating urban outdoor comfort: Coupling ENVI-Met and TRNSYS by grasshopper. Energy Build. 2017, 152, 373–384. [Google Scholar] [CrossRef]
- Ignatius, M.; Wong, N.H.; Jusuf, S.K. Urban microclimate analysis with consideration of local ambient temperature, external heat gain, urban ventilation, and outdoor thermal comfort in the tropics. Sustain. Cities Soc. 2015, 19, 121–135. [Google Scholar] [CrossRef]
- Manning, P. Environmental design as a routine. Build. Environ. 1995, 30, 181. [Google Scholar] [CrossRef]
- Evola, G.; Costanzo, V.; Magri, C.; Margani, G.; Marletta, L.; Naboni, E. A novel comprehensive workflow for modelling outdoor thermal comfort and energy demand in urban canyons: Results and critical issues. Energy Build. 2020, 216, 109946. [Google Scholar] [CrossRef]
- Naboni, E.; Natanian, J.; Brizzi, G.; Florio, P.; Chokhachian, A.; Galanos, T.; Rastogi, P. A digital workflow to quantify regenerative urban design in the context of a changing climate. Renew. Sustain. Energy Rev. 2019, 113, 109255. [Google Scholar] [CrossRef]
- Abdollahzadeh, N.; Biloria, N. Urban microclimate and energy consumption: A multi-objective parametric urban design approach for dense subtropical cities. Front. Archit. Res. 2022, 11, 453–465. [Google Scholar] [CrossRef]
- Ibrahim, Y.; Kershaw, T.; Shepherd, P.; Elwy, I. A parametric optimisation study of urban geometry design to assess outdoor thermal comfort. Sustain. Cities Soc. 2021, 75, 103352. [Google Scholar] [CrossRef]
- Elwy, I.; Ibrahim, Y.; Fahmy, M.; Mahdy, M. Outdoor microclimatic validation for hybrid simulation workflow in hot arid climates against ENVI-met and field measurements (Conference Paper). Archit. Eng. Dep. Mil. Tech. Coll. Kobry El-Qubba Cairo Egypt 2018, 153, 29–34. [Google Scholar]
- Liu, Y.-P. The Automatic Optimization Method of The Urban Forms in Cold Regions Based on Micro-Climatic Environments Performance-Driven. Master’s Thesis, Qingdao University of Technology, Qingdao, China, 2018. [Google Scholar]
- Liu, D.; Chen, H. Parametric Design of Block Shape based on Outdoor Environmental Performance Simulation. In Proceedings of the 2019 National Academic Symposium on Teaching and Research on Architectural Digital Technology in Architectural Faculties, Chongqing, China, 13–15 September 2019; p. 6. [Google Scholar]
- Zhu, Z. Research on the Form Design of Commercial District Building Group in the Severe Cold Region Based on Outdoor Thermal Comfort. Master’s Thesis, Harbin Institute of Technology, Harbin, China, 2020. [Google Scholar]
- Yin, C. A Preliminary Study of the Spatial Layout and Automatic Optimizing of Street Zones in Dry and Hot Regions Based on Heat Comfort Demand. Master’s Thesis, Southeast University, Nanjing, China, 2018. [Google Scholar]
- Adolphe, L. Modelling the Link Between Built Environment and Urban Climate: Towards Simplified Indicators of the City Environment. 2001. Available online: https://www.researchgate.net/publication/228586175_Modeling_the_link_between_built_environment_and_urban_climate_Towards_simplified_indicators_of_the_city_environment (accessed on 12 December 2023).
- Cheng, X. Conservation and Utilization Evaluation of the Zumiao-Donghuali HistoricaBlock in Foshan. Guangdong Landsc. Archit. 2015, 37, 12–16. [Google Scholar]
- Chen, K.; Wang, R. Re-create the Traditional Cultural Values of City:Urban Redevelopment of theHistorical and Cultural Core Area In Foshan. Urban. Archit. 2011, 2, 60–63. [Google Scholar]
- Yuan, Q.; Cai, T.; Huang, N. Historical District Preservation And Renovation From Tenacity Angle: A Comparison between Shantou And Foshan Cases. Planners 2016, 32, 116–122. [Google Scholar]
- Liang, J. Activation Strategy Research on the Historical District of Ancestral Temple and Donghuali in Foshan under the Guidance of Greative Industry. Master’s Thesis, Ji’nan University, Guangzhou, China, 2019. [Google Scholar]
- Xu, R. Research on Micro-Renewal Design of Old Urban Neighbourhoods from the Perspective of Cultural and Ecological Protection. Master’s Thesis, Guangxi Normal University, Guilin, China, 2020. [Google Scholar]
- Huang, J.-W.; Zhu, X.-M.; Xu, Y.; Xiong, L.; Zhang, W.-G. A Quantitative Research on Spatial Morphology of Old Residential Neighborhoods in Lingnan Area Based on Multi-source Big Data. J. Guangdong Univ. Technol. 2019, 36, 70–79. [Google Scholar]
- Lin, J. Evaluation Research on the Renovation of Traditional Spacein the Foshan Linnantiandi Shopping Street. Master’s Thesis, South China University of Technology, Zhuhai, China, 2017. [Google Scholar]
- Huang, L. Research on the Morphological Characteristics andCauses of Pinzijie Historic District in Foshan. Ph.D. Thesis, South China University of Technology, Zhuhai, China, 2020. [Google Scholar]
- Yuan, S. Quantitative Analysis on Street Network in Urban Environment. Ph.D. Thesis, Tianjin University, Tianjin, China, 2012. [Google Scholar]
- Lin, H.-J.; Ma, H.-Y.; Zhang, M. Analysis of the variation characteristics of human thermal comfort insummer of China from 1980 to 2019 based on UTCI. Clim. Chang. Res. 2022, 18, 58–69. [Google Scholar]
- Bröde, P.; Fiala, D.; Blazejczyk, K.; Holmér, I.; Jendritzky, G.; Kampmann, B.; Tinz, B.; Havenith, G. Deriving the operational procedure for the Universal Thermal Climate Index (UTCI). Int. J. Biometeorol. 2012, 56, 481–494. [Google Scholar] [CrossRef] [PubMed]
- Wu, Z.; Zhang, Z.; Hu, Q. The Optimization for Conceptual Design of High-rise Buildings Based on Multi-objective Genetic Algorithm. Syst. Eng.-Theory Pract. 2005, 10, 120–124. [Google Scholar]
- Bamdad, K. Cool roofs: A climate change mitigation and adaptation strategy for residential buildings. Build. Environ. 2023, 236, 110271. [Google Scholar] [CrossRef]
- Huang, J.; Kong, F.; Yin, H.; Middel, A.; Liu, H.; Meadows, M.E. Green roof effects on urban building surface processes and energy budgets. Energy Convers. Manag. 2023, 287, 117100. [Google Scholar] [CrossRef]
- Baik, J.-J.; Kwak, K.-H.; Park, S.-B.; Ryu, Y.-H. Effects of building roof greening on air quality in street canyons. Atmos. Environ. 2012, 61, 48–55. [Google Scholar] [CrossRef]
Disclaimer/Publisher’s Note: The statements, opinions and data contained in all publications are solely those of the individual author(s) and contributor(s) and not of MDPI and/or the editor(s). MDPI and/or the editor(s) disclaim responsibility for any injury to people or property resulting from any ideas, methods, instructions or products referred to in the content. |
© 2024 by the authors. Licensee MDPI, Basel, Switzerland. This article is an open access article distributed under the terms and conditions of the Creative Commons Attribution (CC BY) license (https://creativecommons.org/licenses/by/4.0/).
















