Next Article in Journal
Pathways of the Digital Economy’s Impact on Green Total Factor Productivity in the Construction Industry
Previous Article in Journal
Barriers to Sustainable Healthcare Waste Management: A Grey Method Approach for Barrier Ranking
Previous Article in Special Issue
Research on Supply Chain Network Optimization of AH Company
 
 
Font Type:
Arial Georgia Verdana
Font Size:
Aa Aa Aa
Line Spacing:
Column Width:
Background:
Article

Coordinating Risk Aversion and Pricing Strategies in Green Supply Chains: A Study of Manufacturer Competition

1
School of Business Administration, Liaoning Technical University, Huludao 125105, China
2
Faculty of Engineering and IT, University of Technology Sydney, Sydney 2007, Australia
3
Australia-China Relations Institute, University of Technology Sydney, Sydney 2007, Australia
4
School of Business, Liaocheng University, Liaocheng 252000, China
*
Author to whom correspondence should be addressed.
Sustainability 2024, 16(24), 11284; https://doi.org/10.3390/su162411284
Submission received: 20 October 2024 / Revised: 16 December 2024 / Accepted: 20 December 2024 / Published: 23 December 2024
(This article belongs to the Special Issue Green Supply Chain and Sustainable Development)

Abstract

The green supply chain is a crucial approach to addressing environmental issues and supporting sustainable development. This study examines the coordination challenges in green supply chains, accounting for risk aversion and manufacturer competition. It explores how risk-averse behavior influences operational decisions, offering strategies to enhance cooperation among supply chain members. This study develops three key models: a rational behavior model, a risk aversion model, and a cost-sharing contract model, deriving optimal equilibrium decisions for each. It analyses the impact of risk aversion on pricing, product greenness, and profitability in a competitive manufacturing environment and compares outcomes across the models. Numerical simulations validate the findings, revealing that higher levels of manufacturer risk aversion lead to reduced wholesale prices, retail prices, and product greenness, which hinder the achievement of sustainability goals. Profitability and product greenness are lower under the risk aversion model compared to the rational behavior model. Under conditions of weak market competition, cost-sharing contracts effectively enhance profitability for both manufacturers and retailers while fostering collaboration to improve sustainable green practices within the supply chain. These findings provide actionable insights for green supply chain enterprises and contribute to the theoretical foundation of green supply chain research, particularly in contexts involving manufacturer competition and risk aversion.

1. Introduction

Currently, the frequent occurrence of environmental issues has heightened concerns about the sustainability of supply chains. The global economy is rapidly developing, leading to the gradual deterioration in the ecological environment and the increasing severity of the greenhouse effect. As a result, worries over resource consumption and environmental pollution have become widespread [1]. The International Energy Agency report emphasizes the structural changes in the supply chain brought about by clean energy [2]. Major global economies have prioritized green transformation as a central strategy to drive economic growth, address climate change, and ensure energy security [3]. To address environmental pollution, the Vietnamese government restructured the economy, implemented an in-depth growth model of transformation, and implemented the greening of the economy [4]. Europe has strict environmental policies and has established environmental regulations on chemicals, hazardous substances, and pollution to raise the environmental awareness of companies [5]. The Chinese government has responded actively by issuing the “Guiding Opinions on Building a Modern Environmental Governance System”, which encourages businesses to actively adopt green production practices, vigorously engage in technological innovation, explore green demand in the social consumption sector, promote their green transformation, and achieve the ecologicalization of social production [6,7].
Green supply chains are considered a crucial pathway to solving environmental issues and realizing social sustainability [8]. Major enterprises actively increase investment in green products and implement green supply chains [9]. Taking Gree Electric Appliances as an example, the company adheres to green and energy-saving principles in its innovative research and development. In 2013, Gree Electric Appliances proposed the “Make the Sky Bluer, the Earth Greener” strategy. By 2024, Gree Electric Appliances has acquired 38 leading international technologies in the green and energy-saving sectors. Similarly, Midea Group bases its green manufacturing on green technology and products. They have obtained over 200 domestic and foreign patents in environmental protection technology. Samsung Electronics Co., Ltd., is continuously striving to use more renewable energy, reduce greenhouse gas emissions, and establish a low-carbon ecosystem. Apple Computers, Inc. has also committed to achieving carbon neutrality across all product value chains by 2030. In addition, Shanghai General Motors launched the “Green Future” strategy as early as 2008, steadily promoting overall green development [10].
Implementing green supply chains improves companies’ perception and enhances their competitiveness [11]. However, with the growing participation of more companies, the competition within green supply chains becomes stronger. Chang et al. [12] considered the impact of competition intensity on the wholesale prices, greenness, and profits of competitive products. It was found that supply chain decisions should thoroughly consider the impact of competition intensity. Deng et al. [13] discussed the impact of horizontal and vertical competition on supply chain decisions in a competitive environment. They found that horizontal competition can increase supply chain profits, while vertical competition hinders companies’ sustainable level of products. In addition, Han et al. [14] investigated the effects of retail price, quality, and service competition on green products. They discovered that greater product quality and service competition intensity are detrimental to supply chain decision-making, and price competition does not necessarily improve the quality of green products.
Although previous researchers have extensively examined supply chain competition, most research assumes that decision-makers are “rational” people. They do not consider the behavioral characteristics of decision makers [15]. In competitive environments, supply chain members focus more on their profits and may display risk-averse behavior [16]. Supply chain members often exhibit risk-averse behavior due to the impact of uncertain and unexpected events such as natural disasters and supply chain disruptions [17]. This risk-averse behavior leads to decisions that deviate from reality and harm the profits of supply chain members [16]. While previous studies [18,19,20,21] have examined decision-making under risk aversion in non-competitive supply chains, the issue of green supply chain decision-making considering risk-averse behavior under manufacturer competition has yet to be explored.
We conducted an analysis of relevant studies using the Scopus database. Figure 1 illustrates the trend in the number of journal publications from 2000 to 2024 across three specific areas: “green supply chain”, “manufacturer competition”, and “risk aversion”. The figure reveals a steady increase in academic interest in the topics of manufacturer competition and risk aversion within the context of green supply chains. The increasing number of publications suggests that these topics are gaining traction in research and becoming critical areas of study in the context of green supply chains related to manufacturer competition and risk aversion.
Despite the increase in the number of publications, the existing literature has yet to address the coordination issues considering risk-averse behavior in a green supply chain under manufacturers’ competition. Our research analyzes the impacts of manufacturer competition and risk-averse behavior on the decisions and utilities of supply chain members and further employs cost-sharing contracts to coordinate the green supply chain. This approach will maximize collaboration between manufacturers and retailers, optimizing the economic performance and environmental impact of the green supply chain while meeting the demand for sustainable development.
To address the urgent need for sustainability in supply chains, this study focuses on addressing the risk aversion coordination issues in a green supply chain with manufacturers’ competition. Focusing on pricing and coordination issues in green supply chains is more conducive to aligning economic development with environmentally sustainable goals. Based on the research question, the following research objectives are proposed:
  • What is the optimal pricing strategy considering risk aversion under manufacturer competition?
  • The effect of risk-averse behavior on the pricing, greenness, and profits of the green supply chain in a competitive environment.
  • Find relevant contracts to coordinate risk-averse behavior in a competing supply chain.
The following arrangement of this research is as follows: The second section will review the relevant literature and describe our contributions. The third section provides methodology and models. The fourth section aims to verify the conclusions of this research through numerical simulations. Finally, the fifth section presents conclusions and future direction.

2. Literature Review

This literature review focuses on two main areas: the study of the impact of manufacturer competition on supply chain decisions, and the study of risk-averse behavior in green supply chains. This paper lists the relevant literature, demonstrates the gap between this research and the existing literature, and, finally, emphasizes our contributions.

2.1. Impact of Manufacturer Competition on the Supply Chain

In the supply chain, there is a common scenario where two manufacturers in a competitive relationship sell their products through the same retailer [22]. Researchers have extensively investigated the impact of manufacturer competition on supply chain decisions [23,24,25]. Zhang and Hezarkhani [26] studied manufacturer competition’s influence on channel preferences. Using game theory, they elucidated the role of competition in the market and found that multiple factors, including operating costs, consumer preferences, and competition, influence manufacturer channel preferences. Additionally, Chakraborty et al. [27] focused on the impact of competition on product quality. Using three different cost-sharing contracts, they observed that retailer profit increases with price competition, while manufacturer profit increases with quality competition. Feng and Liu [28] explored the selection of coopetition strategies under manufacturer competition. Their findings suggest that companies may enhance their profits and lower product prices by adopting coopetition strategies.
This research explores the competition among manufacturers. Unlike the above studies, this paper focuses on manufacturers’ competition within green supply chains. While some research has considered competition issues in green supply chains, for instance, Wu and Kung [29] examined the financing risks of carbon emission technology in green supply chain competition. They found that financing risks do not affect equilibrium decisions. Laari et al. [30] investigated green supply chain management strategies from the perspective of supply chain competition, discovering that companies adopting marketing differentiation are more likely to use green supply chain management to minimize risk. Yang et al. [31] studied green investment in supply chains based on price and quality competition and found that manufacturers investing in green technologies achieve higher profits than those who do not. Additionally, some scholars [32,33,34] have explored pricing competition in green supply chains from government regulation and intervention perspectives. However, few scholars have investigated the impact of the non-rational behavior of decision-makers on member decisions in a green supply chain with manufacturer competition. Our research aims to explore the impact of risk-averse behavior in manufacturer competition on pricing and coordination issues in green supply chains.

2.2. Research on Green Supply Chain Considering Risk Aversion

Research on risk aversion in the supply chain has gradually increased in recent years. Some researchers have begun to study the impact of risk aversion behavior in green supply chains on decision-making [35,36]. Li and Liu [37] introduced risk preference into two-stage green supply chains with government intervention and examined the impact of risk preference on green supply chains by establishing a fuzzy uncertain demand model. They found that the supplier’s dominant position is related to the risk attitudes of supply chain members. Tang et al. [38] studied the impact of retailer risk aversion on green supply chain decisions under government intervention. The research discovered a positive correlation between the retailer’s degree of risk aversion and product acquisition levels. Xiong et al. [39] focused on the impact of risk-averse behavior on a dual-channel supply chain. The results show that the manufacturer’s risk aversion behavior decreases greenness. Conversely, the retailer’s risk aversion behavior leads to an increase in greenness and online prices. Guan et al. [40] introduced risk-averse behavior into omnichannel retail operations to study product mix and inventory optimization, and they found that risk-averse parameters and confidence levels significantly affect optimal decision-making.
Regarding risk-averse behavior, scholars have used various coordination contracts to achieve alignment. Zou et al. [41] examined supply chain risk aversion coordination under carbon quotas and found that cost-sharing contracts can achieve Pareto optimality for supply chain members. Jammernegg et al. [42] investigated risk aversion coordination in the newsvendor model, showing that coordinating wholesale prices is feasible for low-risk and risk-neutral buyers. Peng et al. [43] studied supply chain decision-making and coordination under corporate social responsibility and risk preferences, revealing that side-payment self-enforcing contracts improve product greenness. Liu et al. [44] explored supply chain coordination mechanisms from pre-sales and risk aversion perspectives, demonstrating that high discounts under pre-sale strategies can mitigate the effects of risk aversion, while low discount strategies cannot.
Table 1 categorizes the discussed literature based on five features, including greenness, competition, risk aversion, pricing, and coordination. The literature emphasizes research on manufacturer competition and risk-averse behavior in the supply chain. However, in the context of manufacturer competition, the impact on the supply chain when members exhibit risk-averse behavior must be explored in greater depth. Therefore, this study delves into the study of the influence of risk-averse behavior on green supply chain decisions under manufacturer competition.
Using game theory, we obtain the optimal decisions under member rationality and manufacturer risk aversion. This research also conducts a comparative analysis of the impact of risk-averse behavior on wholesale prices, greenness, and retail prices. Additionally, this paper coordinates manufacturer risk-averse behavior through a cost-sharing contract. The coordination effects of the cost-sharing contract are validated through numerical analysis.
Analysis of the existing literature reveals a need for studies addressing pricing and coordination in green supply chains while simultaneously considering risk aversion and manufacturer competition. This study aims to fill this research gap in green supply chain management by incorporating environmental sustainability goals into traditional supply chain models. In addition, the main contributions to sustainability of this research are as follows:
Research on competitive supply chains often relies on member rationality. However, we consider risk-averse behavior in a manufacturer competition environment and give equilibrium results for supply chain decisions, aiming to guide manufacturers and retailers toward profit maximization while adhering to environmentally sustainable practices.
Establish member rationality and manufacturer risk aversion decision models and compare the differences in the two models’ wholesale price, greenness, and retail price levels. These models support decisions that promote both economic and environmental sustainability.
This research coordinates risk-averse behavior in manufacturer competition through cost-sharing contracts. It uses numerical analysis to evaluate the coordinating effects of cost-sharing contracts, promoting collaboration between manufacturers and retailers to develop solutions that support sustainability.

3. Methodology and Models

This paper adopts the Stackelberg game model. The Stackelberg game model is a non-cooperative game theory model used to calculate pricing decisions [58]. In the Stackelberg game model, there are leaders and followers. The leader dominates the supply chain by making decisions first, while the follower makes decisions in response to the leader’s choices. In this paper, the manufacturer and retailer engage in a Stackelberg game. The manufacturer holds the dominant position in the supply chain, and the retailer follows the manufacturer’s decisions. Specifically, the manufacturer aims to maximize its own profit by determining the optimal wholesale price and product greenness. The retailer, in turn, seeks to maximize its profit by setting the optimal retail price. Traditional supply chains focus on profit maximization, whereas this study proposes a dual-objective decision-making model that considers both profit maximization and product greenness. This approach helps to balance business profits with green development. Thus, it not only enhances corporate profits, but also promotes environmental sustainability.
In the following subsection, this research first presents the model assumptions. Subsequently, it develops models for member rationality, manufacturer risk aversion, and cost-sharing contracts. Finally, the optimal equilibrium decisions for each model are derived using the Stackelberg game approach.

3.1. Model Assumptions

This research comprises a green supply chain involving two manufacturers and one retailer. Both manufacturers compete by producing green products and selling them wholesale to a common retailer [57]. The retailer also sells green products to consumers at various retail prices. The supply chain structure, including member rationality (a), manufacturer risk aversion (b), and cost-sharing contract (c) under manufacturer competition, is depicted in Figure 2.
The following assumptions are formulated to analyze the impact of risk-averse behavior on pricing, greenness, and member profits in a competitive green supply chain. The symbols and variables used in this research are presented in Table 2.
Assumption 1.
Zhu and He [59] considered the varying price sensitivities of consumers to competitive products and constructed a demand model for competition. Based on this, the demand functions for the two manufacturers are expressed as q 1 = α p 1 + β p 2 + θ 1 β θ 2 , q 2 = α p 2 + β p 1 + θ 2 β θ 1 .
Assumption 2.
The two competing manufacturers invest funds to produce green products. The greenness is a quadratic function of the manufacturer’s investment, i.e., η θ 2 / 2 [60]. Defining the relationship between product greenness and manufacturer R&D investment will clarify the manufacturer’s investment in green technology, helping to avoid excessive resource waste. It ensures the efficient allocation of resources and reduces energy consumption in the production process.
Assumption 3.
Supply chain members exhibit risk-averse behavior. Xie et al. [61] used the mean-variance approach to describe the risk-averse behavior of supply chain members. The utility function of members with risk-averse behavior can be expressed as U = E π R V a r π / 2 .
Assumption 4.
Two competing manufacturers and retailers have the same level of information, and the information level of the three is entirely symmetrical. Two competing manufacturers and retailers engage in the Stackelberg game to maximize profit.
In the subsequent analysis, three decision models are constructed: member rationality, manufacturer risk aversion, and cost-sharing contract, denoted by superscripts B , M A , and C S . Subscripts m , r , and s c are used to represent the manufacturer, retailer, and supply chain. The specific correspondence between models and symbols is detailed in Table 3.

3.2. Member Rationality

The profit functions under the member rationality decision model for the retailer and manufacturers are represented in Equations (1)–(3).
π r = p 1 w 1 α p 1 + β p 2 + θ 1 β θ 2 + p 2 w 2 α p 2 + β p 1 + θ 2 β θ 1
π m 1 = w 1 c α p 1 + β p 2 + θ 1 β θ 2 1 2 η θ 1 2
π m 2 = w 2 c α p 2 + β p 1 + θ 2 β θ 1 1 2 η θ 2 2
Proposition 1.
Under member rational decision-making, when 4 η 1 > 0 , the supply chain has a unique optimal solution. Table 4 shows the optimal equilibrium results under the member rationality model.
The proof is provided in Appendix A.
Property 1.
In a competitive environment among manufacturers, when members act rationally, the relationship between supply chain pricing, greenness, and member profits and the level of competition β among manufacturers is given as follows:
(1) 
when  2 c η + 2 α η α > 0 ,  w B / β > 0 ,  θ B / β > 0 ,  π m B / β > 0 ; otherwise,  w B / β < 0 ,  θ B / β < 0 ,  π m B / β < 0 .
(2) 
when  η > c + c β 2 2 c β 3 α + c c β 2 α β ,  p B / β > 0 ; otherwise,  p B / β < 0 .
(3) 
when  η > 1 β 3 α c + c β 8 α + 2 c β 2 c β 2 6 α β ,  π r B / β > 0 ; otherwise,  π r B / β < 0 .
The proof is provided in Appendix A. Due to the identical wholesale prices, greenness levels, retail prices, and manufacturer profits in the competitive supply chain, they are replaced with w B , θ B , p B , and π m B . In the subsequent text, when the two wholesale prices, greenness levels, retail prices, and manufacturer profits are the same, the same substitution method is adopted.

3.3. Manufacturer Risk Aversion

This section explores the relationship between manufacturer risk-averse behavior and pricing, greenness, and profit. Manufacturer m 1 exhibits risk-averse behavior, while manufacturer m 2 and retailers operate in a risk-neutral manner. Since the retailer does not engage in risk-averse behavior, the retailer’s profit function aligns with the rational decision-making model. The utility functions for the manufacturers are given in Equations (4) and (5).
U m 1 = E π m 1 R V a r π m 1 / 2 = w 1 c α p 1 + β p 2 + θ 1 β θ 2 1 2 η θ 1 2 1 2 R w 1 c 2 δ 2
U m 2 = π m 2 = w 2 c α p 2 + β p 1 + θ 2 β θ 1 1 2 η θ 2 2
Proposition 2.
Regarding manufacturer risk aversion, the green supply chain has a unique optimal solution. Table 5 shows the optimal equilibrium results under the manufacturer risk aversion model.
The proof is provided in Appendix A.
Proposition 3.
Under manufacturer risk aversion, the decision variables compared with those under member rationality satisfy w B > w 2 M A > w 1 M A , θ B > θ 2 M A > θ 1 M A , p B > p 2 M A > p 1 M A .
The proof is provided in Appendix A.
Property 2.
Under manufacturer risk aversion, the relationship among supply chain pricing, greenness, and member profits concerning the degree of risk aversion R satisfies w 1 M A / R < 0 , w 2 M A / R < 0 , θ 1 M A / R < 0 , θ 2 M A / R < 0 , p 1 M A / R < 0 , p 2 M A / R < 0 , π m 1 M A / R < 0 , π m 2 M A / R < 0 , π r M A / R > 0 .
The proof is provided in Appendix A.

3.4. Cost-Sharing Contract

In this section, we consider using cost-sharing contracts to coordinate the decision model under manufacturer risk aversion. Manufacturers and retailers cooperate under a cost-sharing contract. The retailer bears a proportion g of the R&D costs. The utility functions for manufacturers and retailers are given in Equations (6)–(8).
U r = p 1 w 1 α p 1 + β p 2 + θ 1 β θ 2 + p 2 w 2 α p 2 + β p 1 + θ 2 β θ 1 1 2 η g θ 1 2 + θ 2 2
U m 1 = w 1 c α p 1 + β p 2 + θ 1 β θ 2 1 2 η ( 1 g ) θ 1 2 1 2 R w 1 c 2 δ 2
U m 2 = π m 2 = w 2 c α p 2 + β p 1 + θ 2 β θ 1 1 2 η ( 1 g ) θ 2 2
Proposition 4.
Under the cost-sharing contract, when 4 η 4 g η 1 > 0 , the supply chain has a unique optimal solution. Table 6 shows the optimal equilibrium results under the cost-sharing contract model.
The proof is provided in Appendix A.
Property 3.
Under the cost-sharing contract, the relationship between supply chain pricing, greenness, and member profits and the degree of manufacturer risk aversion R is w 1 C S / R < 0 , w 2 C S / R < 0 , θ 1 C S / R < 0 , θ 2 C S / R < 0 , p 1 C S / R < 0 , p 2 C S / R < 0 , π m 1 C S / R < 0 , π m 2 C S / R < 0 , π r C S / R > 0 .
The proof is provided in Appendix A.

4. Results and Discussion

This study uses Matlab for numerical simulations and Origin for visualizations, respectively. Then, the main conclusions were verified, and the impact of the risk mitigation level and the manufacturer’s competitive coefficient on the pricing, greenness, and profits of the green supply chain was analyzed. Referring to Sang and Zhang [62] and Feng and Li [63], let α = 100 , c = 6 , β = 0.1 , η = 1 , δ = 2 , R = 0.1 . The values of relevant parameters meet all conditions mentioned in our research.

4.1. Scenario 1: Results Under Cost-Sharing Ratios

To evaluate the coordinating effect of the cost-sharing contracts on risk aversion behavior, we first examine the impact of the range of cost-sharing ratios on the members’ profits (Figure 3).
From Figure 3, it can be observed that under the cost-sharing contract, manufacturer profits increase with the increase in g . Retailer profits first increase and then decrease with the increase in g . For the retailer, a preference is given to assuming a smaller proportion of research and development costs. For the manufacturer, a preference is given to having the retailer bear a larger proportion of research and development costs. Therefore, our research takes g = 0.2 , g = 0.3 , and g = 0.5 to verify the coordinating effect of the cost-sharing contract. The specific numerical results are shown in Table 7.
Table 7 shows that when supply chain members exhibit risk-averse behavior, manufacturer profits are below member rationality. The losses caused by risk-averse behavior are most significant for the entity itself. Risk-averse behavior reduces product greenness, hindering the achievement of sustainability goals. Additionally, under the cost-sharing contract, retailer profits and total profits are higher than the results under manufacturer risk aversion. Under the cost-sharing contract, the greenness is higher than that under manufacturer risk aversion, which indicates that the cost-sharing contract contributes to achieving coordination in the supply chain. Then, we can continue to find the impact of R on pricing, greenness, and profits with the cost-sharing ratio g = 0.2 .

4.2. Scenario 2: Impact of Risk Aversion on Pricing, Greenness, and Profits

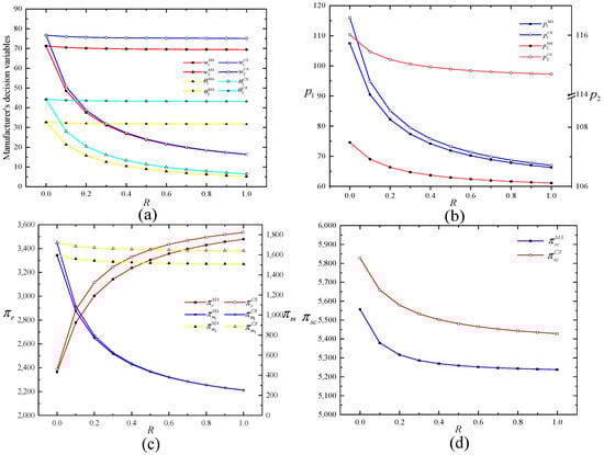
The impact of the risk aversion level R on the pricing, greenness, and profits under manufacturer risk aversion and cost-sharing contracts is illustrated in Figure 4.
Figure 4 shows that wholesale prices, greenness, retail prices, retailer profits, manufacturer profits, and total profits are consistently higher under the cost-sharing contract than under manufacturer risk aversion. The cost-sharing contract prompts manufacturers to choose to produce products with higher greenness, which leads to improved product quality and a relative increase in manufacturing and retail prices. Moreover, the cost-sharing contract helps coordinate the issue of risk aversion in a green supply chain under manufacturer competition. The cost-sharing contract enhances retailer profits, manufacturer profits, and total profits. The cost-sharing contract coordinates the risk-averse behavior in manufacturer competition within the green supply chain, enhancing product greenness, increasing profits for both manufacturers and retailers, and creating a positive cycle for the sustainable development of the green supply chain.

4.3. Scenario 3: Impact of R and β on Pricing, Greenness, and Profits

In this section, both the manufacturer’s competitive level β and risk aversion level R are simultaneously considered to delve into their synergistic effects on pricing, greenness, and profits, as illustrated in Figure 5 and Figure 6.
Figure 5 shows that wholesale prices, greenness, and retail prices decrease with increasing R and increase with increasing β . At a low level of β , wholesale prices, greenness, and retail prices are higher under the cost-sharing contract than under manufacturer risk aversion. At a high level of β , the wholesale price of product 1 under the cost-sharing contract will be lower than the risk-averse model.
Figure 6 shows that retailer profits increase with increasing R and β . Manufacturer profits and total profits decrease with increasing R and increase with increasing β . At a low level of β , retailer profits, manufacturer profits, and total profits are higher under the cost-sharing contract than under manufacturer risk aversion.

4.4. Managerial Insight

Based on the above analysis, we can obtain the following important managerial implications and insights:
(1)
In green supply chains with manufacturer competition, it is crucial not to overlook the risk-averse behavior of members. Otherwise, it can adversely affect investment in product greenness and supply chain profits. We established member rationality, risk aversion, and cost-sharing contract models and derived optimal equilibrium decisions for each model, providing managers with decision support.
(2)
The comparative results indicate that cooperation between manufacturers and retailers enhances product greenness and manufacturer and retailer profits. Manufacturers prefer a higher cost-sharing ratio, while retailers have an upper limit on the cost-sharing ratio. Setting cost-sharing contract parameters appropriately can achieve supply chain coordination.
(3)
The calculations show that the degree of risk aversion and the level of competition significantly impact optimal decisions. As risk aversion and competition levels increase, the coordination of green supply chains is more difficult, and the loss of greenness and profit is more obvious.
(4)
The sensitivity analysis shows that, compared to the risk aversion model, decisions under the cost-sharing contract bring greater profits and higher greenness for manufacturers and retailers.

5. Conclusions and Future Direction

5.1. Conclusions

This study investigates the structure of the supply chain in an environment of manufacturer competition, focusing on two competing manufacturers who produce green products and sell them to a common retailer. We achieved a series of conclusions regarding the pricing and coordination of green supply chains, considering risk aversion and manufacturer competition. These findings can assist decision-makers in optimizing pricing strategies and enhancing the sustainable operation of the supply chain. The conclusions are as follows:
(1)
As the level of manufacturer risk aversion increases, wholesale prices, greenness, and retail prices decrease. When the manufacturer exhibits risk aversion, the wholesale prices, greenness, and retail prices of the two products are lower than those under member rationality.
(2)
Under the cost-sharing contract, when the level of competition is low, wholesale prices, greenness, and retail prices are higher than the decision values under manufacturer risk aversion.
(3)
Cost-sharing contracts increase manufacturer and retailer total profits and coordinate green supply chains at low competitive intensity. When the intensity of competition increases, the coordinating effect of cost-sharing contracts decreases.

5.2. Management Implication

The findings of this study have many important implications for green supply chains. Based on the analysis of the risk aversion model, it can be seen that the risk-averse behavior of supply chain members affects the product’s greenness level. Risk aversion behavior reduces both the greenness and the profits of supply chain members, which adversely affects the green supply chain. This suggests that supply chain members, especially the dominant manufacturers, need to accurately assess market demand fluctuations during supply chain operations to avoid the detrimental effects of risk-averse behavior on the supply chain. Because risk aversion hinders the development of environmental sustainability.
Additionally, supply chain members need to enhance their level of cooperation. Our study shows that cost-sharing contracts increase product greenness and overall supply chain profitability. Notably, the coordination effectiveness of cost-sharing contracts is related to the level of risk aversion and the intensity of competition. For manufacturers and retailers, when supply chain members exhibit risk-averse behavior, cooperation should be strengthened, and the use of cost-sharing contracts can mitigate the impact of risk-averse behavior, thereby fostering a more environmentally friendly and efficient green supply chain.

5.3. Theoretical Implication

This study makes several theoretical contributions. Firstly, current research often discusses the concepts of competition and green supply chains, but ignores the impact of risk-averse behavior. Our research analyzes the effects of risk-averse behavior on pricing, greenness, and profitability. This knowledge can assist manufacturers and retailers in assessing the impact of their decisions. Secondly, by comparing the results under risk aversion and rational behavior models, we further illustrate the detrimental effects of risk aversion on supply chain greenness and overall profitability. Lastly, the existing literature lacks studies on supply chain coordination in competitive environments. We contribute to the existing academic literature by coordinating risk-averse behavior in a green supply manufacturer competition. When risk-averse behavior occurs, manufacturers and retailers can collaborate through cost-sharing contracts to formulate optimal decision-making strategies, thereby enhancing product greenness and supply chain profitability. The theoretical research on green supply chains, considering manufacturer competition and risk aversion, advances the foundational theories and provides valuable insights for studying sustainable green supply chains.

5.4. Limitations and Future Directions

This research still has some limitations. On the one hand, we only consider a scenario where a decision-maker exhibits risk-averse behavior. In reality, there may be multiple supply chain members with varying degrees of risk aversion. On the other hand, we assume symmetric information between manufacturers and retailers in setting the demand functions. In practice, supply chain members often operate in environments characterized by information asymmetry. These issues require further exploration and refinement in future research.

Author Contributions

Conceptualization, Z.C.; methodology, Z.C. and Q.Y.; writing—original draft preparation, Z.C. and Q.Y.; writing—review and editing, Z.C. and K.K.; software, Z.C. and Q.Y.; validation, Z.C.; visualization, Z.C. and Q.Y.; supervision, K.K. All authors have read and agreed to the published version of the manuscript.

Funding

This work was funded by the China Scholarship Council (CSC), grant number 202308210114.

Institutional Review Board Statement

Not applicable.

Informed Consent Statement

Not applicable.

Data Availability Statement

The data are contained within the article.

Conflicts of Interest

The authors declare no conflicts of interest.

Appendix A

Proof of Proposition 1.
The Hessian matrix for Equations (1)–(3) are H 1 = 2 2 β 2 β 2 and H 2 = 1 0.5 0.5 η . It is easy to find that H 1 and H 2 are a negative definite matrix. Proposition 1 has a unique optimal solution. □
Proof of Property 1.
The first-order partial derivatives of supply chain pricing, greenness levels, and member profits concerning the manufacturer competition coefficient ( β ). We can obtain w B / β = 2 η 2 c η + 2 α η α β 2 η β + 4 η 1 2 , θ B / β = 2 c η + 2 α η α β 2 η β + 4 η 1 2 , π m B β = η 4 η 1 α c + c β 2 c η + 2 α η α β 2 η β + 4 η 1 3 . When 2 c η + 2 α η α > 0 , w B / β > 0 , θ B / β > 0 , π m B / β > 0 .
By the same token we have, when η > c + c β 2 2 c β 3 α + c c β 2 α β ,
p B β = η c 2 η β 2 + β 2 4 η β 2 β + 2 η + 1 + 2 α 2 α η β 2 β 2 6 η β + 3 β + 5 η 2 β 1 2 β 2 η β + 4 η 1 2 > 0
when η > 1 β 3 α c + c β 8 α + 2 c β 2 c β 2 6 α β ,
π r B β = 2 η 2 α + c β c 2 c η β 2 + c β 2 + 2 c η β 2 c β + c 6 α η β + 3 α β + 8 α η 3 α β 1 2 β 2 η β + 4 η 1 3 > 0 .
Proof of Proposition 2.
The profit functions of the manufacturer m 2 and the retailer are consistent with rational decision-making. Thus, their Hessian matrices are the same as H 1 and H 2 . For the utility function of the manufacturer m 1 , the Hessian matrix is H 3 = R δ 2 1 0.5 0.5 η . It is easy to find that H 3 is a negative definite matrix. Proposition 2 has a unique optimal solution. □
Proof of Proposition 3.
According to Table 4 and Table 5, it follows that
w B w 2 M A = 8 R β η 2 δ 2 2 η 1 α c + c β β 2 η β + 4 η 1 A > 0 ,   w 2 M A w 1 M A = 8 R η 2 δ 2 α c + c β A > 0 ,
θ B θ 2 M A = 4 R β η δ 2 2 η 1 α c + c β β 2 η β + 4 η 1 A > 0 ,   θ 2 M A θ 1 M A = 4 R η δ 2 α c + c β A > 0 ,
p B p 2 M A = 2 R β η δ 2 4 η 2 1 α c + c β β 2 η β + 4 η 1 A > 0 ,
p 2 M A p 1 M A = 2 R η δ 2 2 η + 1 α c + c β A > 0 .
Therefore, from the above equation, we have that w B > w 2 M A > w 1 M A , θ B > θ 2 M A > θ 1 M A , p B > p 2 M A > p 1 M A . □
Proof of Properties 2.
The results in Table 5 take first-order partial derivatives concerning the degree of manufacturer’s risk aversion R . We have
w 1 M A R = 8 η 2 δ 2 4 η 1 α c + c β β 2 η β + 4 η 1 A 2 < 0
w 2 M A R = 8 β η 2 δ 2 2 η 1 α c + c β β 2 η β + 4 η 1 A 2 < 0
θ 1 M A R = 4 η δ 2 4 η 1 α c + c β β 2 η β + 4 η 1 A 2 < 0
θ 2 M A R = 4 β η δ 2 2 η 1 α c + c β β 2 η β + 4 η 1 A 2 < 0
p 1 M A R = 2 η δ 2 8 η 2 + 2 η 1 α c + c β β 2 η β + 4 η 1 A 2 < 0
p 2 M A R = 2 β η δ 2 4 η 2 1 α c + c β β 2 η β + 4 η 1 A 2 < 0
π m 1 M A R = 2 η 2 δ 2 α c + c β 2 β 2 η β + 4 η 1 2 A 4 + 8 η 2 β 2 8 η β 2 + 2 β 2 A 3 < 0
π m 2 M A R = 4 β η 2 δ 2 α c + c β 2 β 2 η β + 4 η 1 8 η 2 6 η + 1 4 R η δ 2 + 2 η β β + 4 η 1 A 3 < 0
π r M A R = 4 η 2 δ 2 2 η 1 α c + c β 2 β 2 η β + 4 η 1 A 5 A 3 > 0
where A 5 = R δ 2 24 β η 2 + 32 η 2 + 2 16 η 1 + β + 2 η β + 4 η β 1 2 .
Therefore, from the above equation, Property 2 holds. □
Proof of Proposition 4.
Taking the second derivative of Equation (6) concerning p 1 and p 2 , it is easy to find that the hessian matrix of U r concerning p 1 and p 2 is the same as H 1 . The Hessian matrix are H 4 = R δ 2 1 0.5 0.5 η g 1 and H 5 = 1 0.5 0.5 η g 1 . It is easy to find that H 4 and H 5 are a negative definite matrix. Proposition 4 has a unique optimal solution. □
Proof of Property 3.
The results in Table 6 take first-order partial derivatives concerning the degree of risk aversion R . We obtain
w 1 C S R = 8 δ 2 η 2 1 g 2 α c + c β 4 η 4 g η 1 2 g η β 4 g η + 2 η β β + 4 η 1 A 2 2 < 0
w 2 C S R = 8 β δ 2 η 2 1 g 2 α c + c β 2 η 2 g η 1 2 g η β 4 g η + 2 η β β + 4 η 1 A 2 2 < 0
θ 1 C S R = 4 η δ 2 1 g α c + c β 4 η 4 g η 1 2 g η β 4 g η + 2 η β β + 4 η 1 A 2 2 < 0
θ 2 C S R = 4 β η δ 2 1 g α c + c β 2 η 2 g η 1 2 g η β 4 g η + 2 η β β + 4 η 1 A 2 2 < 0
p 1 C S R = 2 η δ 2 1 g α c + c β 2 g η β 4 g η + 2 η β β + 4 η 1 A 6 A 2 2 < 0
p 2 C S R = 2 η β δ 2 1 g α c + c β 4 g 2 η 2 8 g η 2 + 4 η 2 1 2 g η β 4 g η + 2 η β β + 4 η 1 A 2 2 < 0
where A 6 = 8 g 2 η 2 16 g η 2 2 g η + 8 η 2 + 2 η 1 .
Therefore, from the above equation, we have w 1 C S / R < 0 , w 2 C S / R < 0 , θ 1 C S / R < 0 , θ 2 C S / R < 0 , p 1 C S / R < 0 , p 2 C S / R < 0 . By the same token, we can prove that π m 1 C S / R < 0 , π m 2 C S / R < 0 , π r C S / R > 0 . □

References

  1. Xu, G.; Chen, H.; Wu, X.; Zhou, C. Game Analysis of Green Cost Sharing in Competitive Supply Chains. J. Syst. Eng. 2020, 2, 244–256. [Google Scholar] [CrossRef]
  2. IEA Net Zero by 2050. Available online: https://www.iea.org/reports/net-zero-by-2050 (accessed on 1 October 2024).
  3. Xu, S.; Liao, F.; Sun, Y. The green innovation effect of the city’s green supply chain pilot: Evidence from a quasi-natural experiment. Ann. Oper. Res. 2023, 1–27. [Google Scholar] [CrossRef]
  4. Do, A.D.; Nguyen, Q.V.; Le, Q.H.; Ta, V.L. Green supply chain management in Vietnam industrial zone: Province-level evidence. J. Asian. Financ. Econ. 2020, 7, 403–412. [Google Scholar] [CrossRef]
  5. Massey, E.; Huitema, D. The emergence of climate change adaptation as a new field of public policy in Europe. Reg. Environ. Change 2016, 16, 553–564. [Google Scholar] [CrossRef]
  6. Chen, K.; Kong, Y.; Xiao, D.; Lei, D. Cooperation Strategies and Pareto Improvement Analysis of Green Substitute Product Supply Chain. Chin. J. Manag. Sci. 2024, 1–17. [Google Scholar] [CrossRef]
  7. Wu, S.; Cui, J.; Yin, P. Transforming the Advantages of the Ecological Civilization System into the Effectiveness of Ecological Environment Governance: Interpreting the “Guiding Opinions on Building a Modern Environmental Governance System”. Environ. Sustain. Dev. 2020, 2, 5–8. [Google Scholar] [CrossRef]
  8. Merino-Saum, A.; Baldi, M.G.; Gunderson, I.; Oberle, B. Articulating natural resources and sustainable development goals through green economy indicators: A systematic analysis. Resour. Conserv. Recycl. 2018, 139, 90–103. [Google Scholar] [CrossRef]
  9. Pan, C.; Yang, B.; Feng, H.; Hao, Y. Contract Selection for Different Cost Sharing in Green Supply Chain Under Carbon Trading System. J. Syst. Eng. 2023, 4, 555–576. [Google Scholar] [CrossRef]
  10. Meng, Q.; Li, M.; Liu, W.; Li, Z.; Zhang, J. Pricing policies of dual-channel green supply chain: Considering government subsidies and consumers’ dual preferences. Sustain. Prod. Consump 2021, 26, 1021–1030. [Google Scholar] [CrossRef]
  11. Kumar, A.; Jain, V.; Kumar, S. A comprehensive environment friendly approach for supplier selection. Omega 2014, 42, 109–123. [Google Scholar] [CrossRef]
  12. Chang, J.; Wang, J.; Wu, Y. Research on Competitive Supply Chain Product Decision Considering Greenness. Manag. Rev. 2022, 34, 270–281. [Google Scholar] [CrossRef]
  13. Deng, W.; Feng, L.; Zhao, X.; Lou, Y. Effects of supply chain competition on firms’ product sustainability strategy. J. Clean. Prod. 2020, 275, 124061. [Google Scholar] [CrossRef]
  14. Han, M.; Feng, L.; Zhang, L. The Impact of Triple Competition on Substitute Products in Green Supply Chain. Chin. J. Manag. Sci. 2023, 4, 89–100. [Google Scholar] [CrossRef]
  15. Gong, W.; Xia, M.; Ding, F.; Sun, L. Dynamic Decision-making in Dual-channel Green Supply Chain Considering Power Structure under Manufacturer Overconfidence. Comput. Integr. Manuf. Syst. 2024, 1–17. [Google Scholar] [CrossRef]
  16. Wang, W.; Zhang, Y.; Zhang, W.; Gao, G.; Zhang, H. Incentive mechanisms in a green supply chain under demand uncertainty. J. Clean. Prod. 2021, 279, 123636. [Google Scholar] [CrossRef]
  17. Xu, J.; Bai, Q.; Luo, Q. Energy conservation strategy and coordination of a closed-loop supply chain with risk-averse members under carbon tax regulation. Oper. Res. 2023, 23, 52. [Google Scholar] [CrossRef]
  18. Ji, Y.; Ma, Y. The robust maximum expert consensus model with risk aversion. Inf. Fusion. 2023, 99, 101866. [Google Scholar] [CrossRef]
  19. Möbius, T.; Riepin, I.; Müsgens, F.; van der Weijde, A.H. Risk aversion and flexibility options in electricity markets. Energy. Econ. 2023, 126, 106767. [Google Scholar] [CrossRef]
  20. Wei, W.; Liu, W.; Tang, O.; Dong, C.; Liang, Y. CSR investment for a two-sided platform: Network externality and risk aversion. Eur. J. Oper. Res. 2023, 307, 694–712. [Google Scholar] [CrossRef]
  21. Ding, J. Role of risk aversion in operational decisions with remanufacturing under emissions price volatility. Comput. Ind. Eng. 2024, 189, 110013. [Google Scholar] [CrossRef]
  22. Li, W.; Li, K. Research on Competitive Manufacturer’s R&D Decision Considering Channel Power and R&D Spillover. Chin. J. Manag. Sci. 2019, 27, 196–207. [Google Scholar] [CrossRef]
  23. Liu, L.; Chen, S.; Chen, S. Vertical Delayed Cooperative Advertising and Pricing Strategies in Manufacturer Price Competition. Chin. J. Manag. Sci. 2024, 9, 182–192. [Google Scholar] [CrossRef]
  24. Lu, C.; Wang, Q.; Zhao, M.; Yan, J. Research on Competitive Pricing and Emission Reduction Strategies of Automobile Manufacturers under the "Dual Credit" Policy. Chin. J. Manag. Sci. 2022, 30, 64–76. [Google Scholar] [CrossRef]
  25. Nan, J.; Wu, X.; Zhang, M. Blockchain-Enabled Manufacturer Output Competition and Carbon Reduction Technology Cooperation in the Low-Carbon Market. Chin. J. Manag. Sci. 2023, 1–15. [Google Scholar] [CrossRef]
  26. Zhang, Y.; Hezarkhani, B. Competition in dual-channel supply chains: The manufacturers’ channel selection. Eur. J. Oper. Res. 2021, 291, 244–262. [Google Scholar] [CrossRef]
  27. Chakraborty, T.; Chauhan, S.S.; Ouhimmou, M. Cost-sharing mechanism for product quality improvement in a supply chain under competition. Int. J. Prod. Econ. 2019, 208, 566–587. [Google Scholar] [CrossRef]
  28. Feng, Z.; Liu, Y. Research on Competition and Coopetition Strategy Selection of New Energy Vehicle Manufacturers. J. Ind. Eng. Manag. 2023, 37, 123–133. [Google Scholar] [CrossRef]
  29. Wu, T.; Kung, C.C. Carbon emissions, technology upgradation and financing risk of the green supply chain competition. Technol. Forecast. Soc. Change 2020, 152, 119884. [Google Scholar] [CrossRef]
  30. Laari, S.; Töyli, J.; Ojala, L. Supply chain perspective on competitive strategies and green supply chain management strategies. J. Clean. Prod. 2017, 141, 1303–1315. [Google Scholar] [CrossRef]
  31. Yang, S.; Ding, P.; Wang, G.; Wu, X. Green investment in a supply chain based on price and quality competition. Soft. Comput. 2020, 24, 2589–2608. [Google Scholar] [CrossRef]
  32. Halat, K.; Hafezalkotob, A.; Sayadi, M.K. The green supply chains’ ordering and pricing competition under carbon emissions regulations of the government. Int. J. Syst. Sci. Oper. Logist. 2023, 10, 1983884. [Google Scholar] [CrossRef]
  33. Zaefarian, T.; Fander, A.; Yaghoubi, S. A dynamic game approach to demand disruptions of green supply chain with government intervention (case study: Automotive supply chain). Ann. Oper. Res. 2024, 336, 1965–2008. [Google Scholar] [CrossRef]
  34. Zhang, X.; Yousaf, H.A.U. Green supply chain coordination considering government intervention, green investment, and customer green preferences in the petroleum industry. J. Clean. Prod. 2020, 246, 118984. [Google Scholar] [CrossRef]
  35. Cai, J.; Lin, H.; Hu, X.; Ping, M. Green supply chain game model and contract design: Risk neutrality vs. risk aversion. Environ. Sci. Pollut. Res. 2022, 29, 51871–51891. [Google Scholar] [CrossRef] [PubMed]
  36. Qu, Y.; Guan, Z.; Ye, T. Research on Dynamic Optimization and Coordination of Supply Chain Collaborative Green Innovation Based on CVaR Criterion. Ind. Eng. Manag. 2018, 23, 62–72+80. [Google Scholar] [CrossRef]
  37. Li, J.; Liu, P. Modeling green supply chain games with governmental interventions and risk preferences under fuzzy uncertainties. Math. Comput. Simul. 2022, 192, 182–200. [Google Scholar] [CrossRef]
  38. Tang, L.; Li, E.Y.; Wu, P.; Jiang, J. Optimal decisions for green supply chain with a risk-averse retailer under government intervention. Environ. Sci. Pollut. Res. 2022, 29, 70014–70039. [Google Scholar] [CrossRef] [PubMed]
  39. Xiong, F.; Wei, Y.; Wang, Q.; Li, Z.; Shao, L. Research on Pricing and Green Investment Decision of Dual-channel Green Supply Chain Considering Member Risk Aversion. Chin. J. Manag. Sci. 2022, 30, 267–276. [Google Scholar] [CrossRef]
  40. Guan, Z.; Mou, Y.; Zhang, J. Incorporating risk aversion and time preference into omnichannel retail operations considering assortment and inventory optimization. Eur. J. Oper. Res. 2024, 314, 579–596. [Google Scholar] [CrossRef]
  41. Zou, H.; Qin, J.; Long, X. Coordination decisions for a low-carbon supply chain considering risk aversion under carbon quota policy. Int. J. Environ. Res. Public. Health 2022, 19, 2656. [Google Scholar] [CrossRef] [PubMed]
  42. Jammernegg, W.; Kischka, P.; Silbermayr, L. Risk preferences, newsvendor orders and supply chain coordination using the Mean-CVaR model. Int. J. Prod. Econ. 2024, 270, 109171. [Google Scholar] [CrossRef]
  43. Peng, Q.; Wang, C.; Goh, M. Green innovation decision and coordination of supply chain under corporate social responsibility and risk preferences. Comput. Ind. Eng. 2023, 185, 109703. [Google Scholar] [CrossRef]
  44. Liu, W.; Wei, S.; Shen, X.; Liang, Y. Coordination mechanism of logistic service supply chain: A perspective of presale sinking and risk aversion. Eur. J. Ind. Eng. 2023, 17, 310–341. [Google Scholar] [CrossRef]
  45. Barman, A.; De, P.K.; Chakraborty, A.K.; Lim, C.P.; Das, R. Optimal pricing policy in a three-layer dual-channel supply chain under government subsidy in green manufacturing. Math. Comput. Simul. 2023, 204, 401–429. [Google Scholar] [CrossRef]
  46. He, Y.; Chen, L.; Xu, Q. Optimal pricing decisions for a global fresh product supply chain in the blockchain technology era. Int. J. Logist. Res. Appl. 2024, 27, 649–666. [Google Scholar] [CrossRef]
  47. Nematollahi, M.; Tajbakhsh, A.; Sedghy, B.M. The reflection of competition and coordination on organic agribusiness supply chains. Transp. Res. Part. E. Logist. Transp. Rev. 2021, 154, 102462. [Google Scholar] [CrossRef]
  48. Zhao, H.; Chen, J.; Ai, X. Contract strategy in the presence of chain to chain competition. Int. J. Prod. Res. 2022, 60, 1913–1931. [Google Scholar] [CrossRef]
  49. Davoudi, Z.; Seifbarghy, M.; Sarkar, M.; Sarkar, B. Effect of bargaining on pricing and retailing under a green supply chain management. J. Retail. Consum. 2023, 73, 103285. [Google Scholar] [CrossRef]
  50. Zhang, H.; Li, Q.; Jiang, J. Effect and formulation of ecolabel policy: A perspective of green supply chain decision and coordination. Environ. Sci. Pollut. Res. 2023, 30, 82406–82420. [Google Scholar] [CrossRef] [PubMed]
  51. Kouvelis, P.; Xiao, G.; Yang, N. Role of risk aversion in price postponement under supply random yield. Manag. Sci. 2021, 67, 4826–4844. [Google Scholar] [CrossRef]
  52. Zhang, H.; Hou, F.; Lou, Z. Pricing and Coordination Strategies in a Risk-averse Retailer Supply Chain under Rebate Mode. J. Syst. Sci. Math. Sci. 2022, 42, 626–640. [Google Scholar]
  53. Wu, Y.; Shui, Y.; Yuan, B.; Wang, X. Decision and Coordination of Green Supply Chain Considering Big Data Marketing and Risk Aversion. Oper. Res. Manag. Sci. 2022, 31, 62–69. [Google Scholar]
  54. Yuan, X.; Bi, G.; Li, H.; Zhang, B. Stackelberg equilibrium strategies and coordination of a low-carbon supply chain with a risk-averse retailer. Int. Trans. Oper. Res. 2022, 29, 3681–3711. [Google Scholar] [CrossRef]
  55. Nie, J.; Jiang, C.; Wang, Q. The Impact of Risk Aversion on Low-Carbon Competitive Strategies under Carbon Tax Policy. Ind. Eng. Manag. 2018, 23, 33–43. [Google Scholar] [CrossRef]
  56. Lu, L.; Menezes, M.B. Supply chain vertical competition and product proliferation under different power structures. Int. J. Prod. Econ. 2024, 267, 109097. [Google Scholar] [CrossRef]
  57. Wu, Y.; Zhang, X.; Chen, J. Cooperation of green R&D in supply chain with downstream competition. Comput. Ind. Eng. 2021, 160, 107571. [Google Scholar] [CrossRef]
  58. Ma, H.; Xie, J.; Dai, D.; Xie, J. Pricing Strategies for O2O Catering Merchants Considering Reference Price Effects and Unconditional Coupons. Sustainability 2024, 16, 8765. [Google Scholar] [CrossRef]
  59. Zhu, W.; He, Y. Green product design in supply chains under competition. Eur. J. Oper. Res. 2017, 258, 165–180. [Google Scholar] [CrossRef]
  60. Mondal, C.; Giri, B.C. Pricing and bundling strategies for complementary products in a closed-loop green supply chain under manufacturers’ different behaviors. Expert. Syst. Appl. 2024, 238, 121960. [Google Scholar] [CrossRef]
  61. Xie, G.; Yue, W.; Wang, S.; Lai, K.K. Quality investment and price decision in a risk-averse supply chain. Eur. J. Oper. Res. 2011, 214, 403–410. [Google Scholar] [CrossRef]
  62. Sang, S.; Zhang, Q. Coordination Mechanism of Green Supply Chain Under Reference Price Effect. J. Syst. Manag. 2020, 29, 994–1002. [Google Scholar]
  63. Feng, Y.; Li, X. Pricing Strategy of Green Supply Chain Under Reference Price Effect with Fairness Concern. Oper. Res. Trans. 2023, 27, 53–69. [Google Scholar] [CrossRef]
Figure 1. Number of journal publications by research keywords (2000–2024).
Figure 1. Number of journal publications by research keywords (2000–2024).
Sustainability 16 11284 g001
Figure 2. The three supply chain models of this study.
Figure 2. The three supply chain models of this study.
Sustainability 16 11284 g002
Figure 3. Feasible range of cost-sharing ratios (g).
Figure 3. Feasible range of cost-sharing ratios (g).
Sustainability 16 11284 g003
Figure 4. Impact of the degree of risk aversion ( R ). (a) Impact of R on wholesale prices ( w ) and greenness ( θ ); (b) impact of R on retail prices ( p ); (c) impact of R on retailer profits ( π r ) and manufacturer profits ( π m ); (d) impact of R on total profits ( π s c ).
Figure 4. Impact of the degree of risk aversion ( R ). (a) Impact of R on wholesale prices ( w ) and greenness ( θ ); (b) impact of R on retail prices ( p ); (c) impact of R on retailer profits ( π r ) and manufacturer profits ( π m ); (d) impact of R on total profits ( π s c ).
Sustainability 16 11284 g004
Figure 5. Impact of the degree of risk aversion R and manufacturer competition coefficient β on wholesale prices, greenness, and retail prices. (a) Impact of R and β on wholesale price of product 1 ( w 1 ); (b) impact of R and β on wholesale price of product 2 ( w 2 ); (c) impact of R and β on greenness of product 1 ( θ 1 ); (d) impact of R and β on greenness of product 2 ( θ 2 ); (e) impact of R and β on retail price of product 1 ( p 1 ); (f) impact of R and β on retail price of product 2 ( p 2 ).
Figure 5. Impact of the degree of risk aversion R and manufacturer competition coefficient β on wholesale prices, greenness, and retail prices. (a) Impact of R and β on wholesale price of product 1 ( w 1 ); (b) impact of R and β on wholesale price of product 2 ( w 2 ); (c) impact of R and β on greenness of product 1 ( θ 1 ); (d) impact of R and β on greenness of product 2 ( θ 2 ); (e) impact of R and β on retail price of product 1 ( p 1 ); (f) impact of R and β on retail price of product 2 ( p 2 ).
Sustainability 16 11284 g005
Figure 6. Impact of the degree of risk aversion R and manufacturer competition coefficient β on retailer profit, manufacturer profit, and total profit. (a) Impact of R and β on retailer profit ( π r ); (b) impact of R and β on profit of manufacturer 1 ( π m 1 ); (c) impact of R and β on profit of manufacturer 2 ( π m 2 ); (d) impact of R and β on total profit ( π s c ).
Figure 6. Impact of the degree of risk aversion R and manufacturer competition coefficient β on retailer profit, manufacturer profit, and total profit. (a) Impact of R and β on retailer profit ( π r ); (b) impact of R and β on profit of manufacturer 1 ( π m 1 ); (c) impact of R and β on profit of manufacturer 2 ( π m 2 ); (d) impact of R and β on total profit ( π s c ).
Sustainability 16 11284 g006
Table 1. Studies on competition and risk aversion.
Table 1. Studies on competition and risk aversion.
Related StudiesGreennessCompetitionRisk AversionPricingCoordination
[45]
[46]
[47]
[48]
[49]
[50]
[51]
[52]
[53]
[54]
[55]
[56]
[57]
This research
Table 2. Symbols and variables.
Table 2. Symbols and variables.
Notations Descriptions
c Product cost per unit
q 1 , q 2 Product demand from two competing manufacturers
α Potential market size
β Manufacturer competition coefficient
η Product greenness to cost sensitivity
R Degree of risk aversion
δ Risk aversion variance
g Cost-sharing ratio
π r , π m , π s c Retailer profit, manufacturer profit, and total profit
U r , U m , U s c Retailer utility, manufacturer utility, and total utility
Decision variable
w 1 , w 2 Wholesale price
θ 1 , θ 2 Greenness of product
p 1 , p 2 Retail price
Table 3. Model and symbolic relationships.
Table 3. Model and symbolic relationships.
SymbolDescriptionSymbolDescription
superscript B The decision model under member rationalitysubscript r Retailer
superscript M A The decision model under manufacturer risk aversionsubscript m Manufacturer
superscript C S The decision model under the cost-sharing contractsubscript s c Supply chain
Table 4. The optimal equilibrium results under the member rationality model.
Table 4. The optimal equilibrium results under the member rationality model.
NotationResult
w 1 B 2 η α c + c β β 2 η β + 4 η 1 + c
w 2 B 2 η α c + c β β 2 η β + 4 η 1 + c
θ 1 B α c + c β β 2 η β + 4 η 1
θ 2 B α c + c β β 2 η β + 4 η 1
p 1 B η 3 2 β α c + c β 1 β β 2 η β + 4 η 1 + c
p 2 B η 3 2 β α c + c β 1 β β 2 η β + 4 η 1 + c
π r B 2 η 2 α c + c β 2 1 β β 2 η β + 4 η 1 2
π m 1 B η 4 η 1 α c + c β 2 2 β 2 η β + 4 η 1 2
π m 2 B η 4 η 1 α c + c β 2 2 β 2 η β + 4 η 1 2
Table 5. The optimal equilibrium results under the manufacturer risk aversion model.
Table 5. The optimal equilibrium results under the manufacturer risk aversion model.
NotationResult
w 1 M A 2 η α c + c β 4 η 1 + 2 η β β A + c
w 2 M A 2 η α c + c β 4 R δ 2 η + 2 η β β + 4 η 1 A + c
θ 1 M A α c + c β 4 η 1 + 2 η β β A
θ 2 M A α c + c β 4 R δ 2 η + 2 η β β + 4 η 1 A
p 1 M A η α c + c β 2 R δ 2 β 2 + 3 4 η 1 + β 2 2 η β β 1 β A + c
p 2 M A η α c + c β 12 R δ 2 η + β 2 + 3 β 2 4 η 1 + 2 R δ 2 1 β 2 η + 1 1 β A + c
π r M A 2 η 2 α c + c β 2 A 1 1 β A 2
π m 1 M A η α c + c β 2 4 R δ 2 η + 4 η 1 4 η 1 + 2 η β β 2 2 A 2
π m 2 M A η 4 η 1 α c + c β 2 4 R δ 2 η β + 2 η β + 4 η 1 2 2 A 2
where A = 16 R δ 2 η 2 4 R δ 2 η 4 η 2 β 2 + 4 η β 2 β 2 + 16 η 2 8 η + 1 , A 1 = R 2 δ 4 24 β η 2 16 η β + 2 β + 40 η 2 16 η + 2 + 2 η β + 4 η β 1 2 + R δ 2 8 β 2 η 2 8 η β 2 + 2 β 2 + 40 β η 2 28 η β + 4 β + 48 η 2 20 η + 2 .
Table 6. The optimal equilibrium results under the cost-sharing contract model.
Table 6. The optimal equilibrium results under the cost-sharing contract model.
NotationResult
w 1 C S 2 η 1 g α c + c β 2 g η β 4 η g β + 2 η β + 4 η 1 A 2 + c
w 2 C S 2 η 1 g α c + c β 4 R g δ 2 η + 4 R δ 2 η 2 g η β 4 g η β + 2 η β + 4 η 1 A 2 + c
θ 1 C S α c + c β 2 g η β 4 η g β + 2 η β + 4 η 1 A 2
θ 2 C S α c + c β 4 R g δ 2 η + 4 R δ 2 η 2 g η β 4 g η β + 2 η β + 4 η 1 A 2
p 1 C S η 1 g α c + c β 2 R δ 2 4 η 4 g η 1 + 2 β 2 β 3 + 2 η 1 g 6 2 β 2 β 1 β A 2 + c
p 2 C S η 1 g α c + c β R δ 2 4 η g β 12 η g 4 η β 2 β + 12 η + 2 β 2 β 3 + 2 η 1 g 6 2 β 2 β 1 β A 2 + c
π r C S 4 δ 2 η 2 1 g α c + c β 2 2 g β η 4 g η + 2 β η β + 4 η 1 A 3 + A 4 A 2 3
π m 1 C S 2 δ 2 η 2 1 g 2 α c + c β 2 2 g β η + 4 g η 2 β η + β 4 η + 1 2 16 R g 2 δ 2 η 2 + 32 R g δ 2 η 2 4 R g δ 2 η 16 R δ 2 η 2 + 4 R δ 2 η 4 g 2 β 2 η 2 16 g 2 η 2 + 8 g β 2 η 2 4 g β 2 η + 32 g η 2 8 g η 4 β 2 η 2 + 4 β 2 η β 2 16 η 2 + 8 η 1 A 2 3
π m 2 C S 4 β δ 2 η 2 1 g 2 α c + c β 2 8 g 2 η 2 + 16 g η 2 6 g η 8 η 2 + 6 η 1 2 g β η 4 g η + 2 β η β + 4 η 1 4 R g δ 2 η 4 R δ 2 η + 2 g β η + 4 g η 2 β η + β 4 η + 1 A 2 3
where A 2 = R δ 2 16 g 2 η 2 32 g η 2 + 4 g η + 16 η 2 4 η + 4 η 1 g k β 2 + 1 + g 2 4 β 2 η 2 + 16 η 2 + g η 2 8 β 2 32 β 2 + 1 , A 3 = R δ 2 η 3 3 β + 4 16 g 4 64 g 3 + 96 g 2 64 g + 16 + 20 η 1 g 2 + 2 g 2 1 + β + η 2 1 + β 64 g 3 192 g 2 + 192 g 64 + 8 β 1 g 2 , A 4 = η 3 4 1 + β + β 2 8 g 4 32 g 3 + 48 g 2 32 g + 8 + η 2 g 3 16 β 2 + 56 β + 48 g 2 44 β 2 + 152 β + 128 + g 40 β 2 + 136 β + 112 12 β 2 40 β 32 + η g 2 10 β 2 + 28 β + 18 g 16 β 2 + 44 β + 28 + 6 β 2 + 16 β + 10 + 2 g 1 1 + β 2 .
Table 7. Numerical results for different sharing ratios.
Table 7. Numerical results for different sharing ratios.
Member RationalityManufacturer Risk AversionCost-Sharing Contract g = 0.2 Cost-Sharing Contract g = 0.3 Cost-Sharing Contract g = 0.5
w 1 71.2448.5350.7052.3858.56
w 2 71.2470.4876.0280.61100.60
θ 1 32.6221.2727.9433.1352.56
θ 2 32.6232.2443.7653.2994.60
p 1 107.4990.4594.8898.31111.11
p 2 107.49106.92115.45122.51153.16
π r 2364.692779.482887.932889.472043.94
π m 1 1596.161040.171086.531121.561242.94
π m 2 1596.161559.341685.31789.22237.29
π s c 5557.025378.995659.765800.235524.17
Disclaimer/Publisher’s Note: The statements, opinions and data contained in all publications are solely those of the individual author(s) and contributor(s) and not of MDPI and/or the editor(s). MDPI and/or the editor(s) disclaim responsibility for any injury to people or property resulting from any ideas, methods, instructions or products referred to in the content.

Share and Cite

MDPI and ACS Style

Chen, Z.; Khalilpour, K.; Yao, Q. Coordinating Risk Aversion and Pricing Strategies in Green Supply Chains: A Study of Manufacturer Competition. Sustainability 2024, 16, 11284. https://doi.org/10.3390/su162411284

AMA Style

Chen Z, Khalilpour K, Yao Q. Coordinating Risk Aversion and Pricing Strategies in Green Supply Chains: A Study of Manufacturer Competition. Sustainability. 2024; 16(24):11284. https://doi.org/10.3390/su162411284

Chicago/Turabian Style

Chen, Zhen, Kaveh Khalilpour, and Qingzhen Yao. 2024. "Coordinating Risk Aversion and Pricing Strategies in Green Supply Chains: A Study of Manufacturer Competition" Sustainability 16, no. 24: 11284. https://doi.org/10.3390/su162411284

APA Style

Chen, Z., Khalilpour, K., & Yao, Q. (2024). Coordinating Risk Aversion and Pricing Strategies in Green Supply Chains: A Study of Manufacturer Competition. Sustainability, 16(24), 11284. https://doi.org/10.3390/su162411284

Note that from the first issue of 2016, this journal uses article numbers instead of page numbers. See further details here.

Article Metrics

Back to TopTop