Next Article in Journal
Social Orientations, Preferred Values or Political Beliefs: What Predicts Anxiety and Interest in Climate Change?
Previous Article in Journal
Using Microbial Bioagents to Enhance the Nutritional Status of Annual Ryegrass
 
 
Font Type:
Arial Georgia Verdana
Font Size:
Aa Aa Aa
Line Spacing:
Column Width:
Background:
Article

Seasonal Differences and Driving Factors of Microbial Community Structure in Wetlands Along Shores of Daihai Lake

1
School of Energy and Environment, Inner Mongolia University of Science and Technology, Baotou 014010, China
2
Collaborative Innovation Center of Autonomous Region for Ecological Protection and Comprehensive Utilization in the Inner Mongolia Section of the Yellow River Basin, Baotou 014010, China
3
School of Mining and Coal, Inner Mongolia University of Science and Technology, Baotou 014010, China
*
Author to whom correspondence should be addressed.
Sustainability 2024, 16(24), 11221; https://doi.org/10.3390/su162411221
Submission received: 28 November 2024 / Revised: 7 December 2024 / Accepted: 13 December 2024 / Published: 20 December 2024

Abstract

Microorganisms play a crucial role in biogeochemical cycling within wetland ecosystems. Soil-environment-mediated seasonal changes in microbial structure require further investigation. However, the factors driving seasonal variations in the microbial abundance and diversity in the Daihai wetlands remain unclear. This study employed high-throughput sequencing technology to examine the bacterial community structure and diversity in the lakeshore zone of Daihai across different seasons and to explore the seasonal variations in the bacterial community structure and the influence of driving factors. The results indicated that Pseudomonadota and Bacteroidota dominate in spring and Pseudomonadota abundance further increases in summer, while organic-matter-decomposing microorganisms (e.g., Actinobacteriota and Bacteroidota) dominate in autumn. Microbial diversity indices indicated a significantly greater diversity in spring than in summer and autumn (p < 0.05). Changes in environmental variables were strongly associated with bacterial community changes, with variations in total nitrogen, ammonium nitrogen, and soil moisture content being identified as potential key factors influencing seasonal bacterial diversity trends. Furthermore, bacterial community assembly in spring is driven by both stochastic processes and environmental selection, suggesting that abundant nutrients and organic matter promote bacterial diversity. The findings of this study provide a theoretical basis for wetland ecosystem restoration and conservation.

1. Introduction

The three main ecosystems across the globe are forests, oceans, and wetlands. Wetlands are important for preserving ecological balance, storing floodwater, controlling surface runoff, and safeguarding rare species and biodiversity in the face of regional and global climate change [1,2]. Human endeavors like farming, urbanization, and industrialization have caused many wetlands to be filled in and reclaimed, which has resulted in their decrease and eventual extinction [3]. Davidson [4] reviewed 189 reports related to wetland changes and found that wetland conversion and loss have reached 87% since the beginning of the 18th century. China, one of the countries with the most diverse wetland types worldwide, faces conflicts between wetland conservation and economic development. China lost 3.3963 million hectares of wetland area between 2003 and 2013, with natural wetlands losing 3.3762 million hectares, a 9.33% drop [5]. Northwestern China, including inland provinces such as Xinjiang and Inner Mongolia, is the main distribution area of wetlands in arid and semi-arid regions. Wetland ecosystems are comparatively delicate in these areas, and the diversity and structure of their biological populations are extremely vulnerable to disturbance. Therefore, improving wetland ecological management and conservation requires an understanding of soil biodiversity and the processes that drive it in arid wetland environments.
Microorganisms are the most widely distributed, metabolically efficient, and adaptable biota on earth. Microbes are extremely important in the biological community and global ecosystem [6]. Microorganisms found in sediments, streams, and plant rhizospheres function as decomposers in wetland environments [7]. These microbes can interact and adjust to their surroundings, which influences where organic matter mineralizes in soil and contributes significantly to biogeochemical cycles [8,9,10]. The soil microbial community structure varies significantly depending on the soil properties and vegetation types [11]. Thus, microorganisms can improve soil structure and ecological stability by decomposing soil organic matter and promoting sulfate reduction, sulfide or sulfur oxidation, iron reduction, nitrification, and pollutant degradation [12]. High-throughput sequencing methods have improved in efficiency and cost in recent years [13]. Therefore, researchers are increasingly using high-throughput sequencing approaches to explore the structure and composition of microbial communities in various ecosystems and their influencing factors [14,15,16]. One important element affecting the organization of microbial communities is the nitrogen content of the soil. When the soil contains a sufficient amount of nitrogen, microorganisms can multiply and metabolize quickly [17]. Studies have indicated that NO2-N, an essential nitrogen intermediate, promotes the cooperation and cohabitation of various microbial functional groups in the same environment [17,18]. The study by Wang et al. [19] found that the main variables influencing the microbial communities in the lakeshore soils of the CocoCecilia Nature Reserve were the mean annual air temperature, salinity, total organic carbon, and total nitrogen content. Furthermore, seasonal changes in environmental circumstances that result in differences in vegetation cover can also significantly alter the composition of soil microbial communities, in addition to the physicochemical properties of the soil [20,21]. The abundance and diversity indices of benthic macroinvertebrates and microorganisms in the wetlands of the Yellow River Delta were higher in autumn than in summer [22]. In conclusion, seasonal variations in soil properties and microbial community composition could be associated with variations in soil organic matter, pH, salinity, and nitrogen content. However, the main causes of seasonal variations in wetland microbial diversity and abundance are still unclear and need to be further explored.
Daihai Lake is a representative lake located in the high-latitude, semi-arid region of northern China. The Daihai wetland is protected under China’s Wetland Conservation Action Plan and serves as a habitat for diverse plants, birds, fish, and microorganisms. Meanwhile, the microorganisms in the wetland soil play a critical role in nitrogen cycling and pollutant degradation. However, in recent years, the wetlands in the lakeshore zone of Daihai have experienced environmental degradation due to both anthropogenic and natural factors, such as salinization, nutrient depletion, vegetation loss, and reductions in microbial populations and diversity. Investigating the microbial community characteristics in the Daihai wetland could help to reveal the ecological functions of the wetland and its potential for environmental purification. Previous studies have primarily focused on the impacts of lake water quality, landform variations, and soil environmental factors on soil microbial communities [23,24,25]. However, few studies have applied high-throughput sequencing techniques to investigate the microbial community dynamics in the Daihai wetland. In particular, the factors underlying the seasonal dynamics of wetland microbial communities remain unclear. Thus, it is essential to explore the seasonal variations in the microbial communities of the Daihai wetland and their influencing factors in this semi-arid region.
The main objectives of this study were (1) to analyze the soil physicochemical properties and seasonal changes in the microbial community structure; (2) to explore the environmental factors shaping the microbial community structure; and (3) to reveal the seasonal differences in microbial community assembly processes through neutral model analysis. These findings aim to provide a basis for the conservation and management of wetland biodiversity in semi-arid regions.

2. Materials and Methods

2.1. Overview of the Study Area

Daihai Lake (112°32′10″ E~112°40′32″ E, 40°27′15″ N~40°38′50″ N) is located in the Liangcheng County of Ulaanchab City in Inner Mongolia. It is one of the four major inland lakes in Inner Mongolia, with a total lake area of 49 km2. The lake is a typical inland lake with brackish water. The Daihai Basin experiences southwestern winds all year round. The climate of this region is characterized by long cold winters and short hot summers, with an average annual precipitation of 409 mm, average annual evaporation of 1714 mm, around 2936.9 h of sunshine hours, an average air temperature of 5.6 °C, and an average wind speed of 2.2 m/s. The soil in the Daihai Basin is mainly chestnut calcium soil, with salinized meadow soils and sandy soil in the lakeshore belt area.

2.2. Soil Sample Collection

Soil samples were collected from five sites along the Daihai coast, located at the periphery of the lake. These sampling sites were located near five rivers flowing into the lake, which are critical zones for the interaction between terrestrial inflows and the lake ecosystem. They exhibit distinct hydrological, nutrient, and microbial flow dynamics, and the inlet areas are strongly influenced by seasonal hydrological changes. These zones offer a more comprehensive representation of microbial community responses to environmental factors. The rivers include the western Gongba River (GB), the northwestern Dock (MT), the northeastern Sandao River (SD), the eastern Muhua River (MH), and the southern Power Plant (DC) (Figure 1). The typical vegetation at these sampling sites includes alkali grasses, reeds, hyacinths, and Artemisia albida. The entire growing period of plants at the chosen sites was from May to October. Based on this plant growth period, samples were collected on 23 May 2023 (spring), 25 August 2023 (summer), and 10 October 2023 (autumn), covering different seasons. A 10 m × 10 m sample plot was selected for each typical area and a soil auger with a diameter of 70 mm was used to collect samples from the 0–20 cm soil layer along the diagonal direction within the sample plot. Three replicate samples were collected from each sample square. After removing impurities, such as roots, leaves, stones, etc., the soil samples were stored in sterile self-sealing bags. Each sample was divided into two parts. One part was immediately stored in a dry ice bucket, transported back to the laboratory under low-temperature conditions, and then stored at −80 °C for subsequent high-throughput sequencing. The other part was stored at −20 °C for analysis of the soil physicochemical properties.

2.3. Analysis of Soil Properties

The soil water content (SWC) was determined using the gravimetric method. To measure the electrical conductivity (EC), the soil samples were dried, finely ground, passed through a 2 mm sieve, and mixed with water at a soil-to-water ratio of 1:5 to prepare soil leachate. This leachate was shaken, centrifuged, and the EC (mS·cm−1) was measured using a Mettler FE38 conductivity meter. The soil total nitrogen was determined using the Kjeldahl method [26]. Ammonium nitrogen, nitrate nitrogen, and nitrite nitrogen were extracted from the soil samples using the potassium chloride solution-spectrophotometric method (HJ 634-2012), and their concentrations were determined using a UV spectrophotometer (Shanghai Yidian L6s).

2.4. High-Throughput Sequencing

The total genome DNA was extracted from each of the 45 individual soil samples using the Cetyltrimethylammonium Bromide (CTAB) method [27]. The DNA concentration and purity were assessed on 1% agarose gels, and the DNA was diluted to 1 ng/µL using sterile water based on the concentration. The 16S rRNA genes of distinct regions (V4–V5) were amplified using region-specific primers 515F (5′-GTGCCAGCMGCCGCGGGTAA-3′) and 907R (5′-CCGTCAATTCCTTTGAGTTT-3′) with unique barcodes. All PCR reactions were carried out in a total volume of 15 µL using Phusion® High-Fidelity PCR Master Mix (New England Biolabs, USA), 2 µM of each primer, and approximately 10 ng of template DNA on a Bio-Rad T100 thermal cycler. Thermal cycling included initial denaturation at 98 °C for 1 min, followed by 30 cycles of denaturation at 98 °C for 10 s, annealing at 50 °C for 30 s, and elongation at 72 °C for 30 s, with a final extension at 72 °C for 5 min. The PCR products were mixed in equimolar ratios, and the pooled products were purified using the Universal DNA Purification Kit (TianJin, China).
Sequencing libraries were generated using the NEBNext® Ultra II DNA Library Prep Kit (New England Biolabs, Ipswich, MA, USA) following the manufacturer’s protocol, and index codes were added. The library quality was assessed using the Agilent 5400 (Agilent Technologies, Santa Clara, CA, USA). Finally, the library was sequenced on the Illumina NovaSeq 6000 platform (Illumina Inc., San Diego, CA, USA) using a paired-end 250 bp sequencing strategy, and paired-end reads of 250 bp were generated.
High-throughput sequencing data were processed using QIIME2 (v2021.8) for quality filtering, chimera removal, and feature table construction. Taxonomic classification was performed using the Greengenes database (version 13_8) as a reference, and the analysis was conducted by an experienced bioinformatics specialist.
The raw sequencing data are available in the Supplementary Materials section.

2.5. Data Processing and Analysis

Data were analyzed using analysis of variance (ANOVA) with SPSS 24.0 (IBM Corp, Armonk, NY, USA) for statistical analysis. Differences between data were determined using Duncan’s Multiple Range Test (DMRT), and significance was evaluated at a significance level of 0.05. Prior to calculating alpha diversity, the sequence data were normalized to ensure comparability across samples. The analyzed microbial alpha diversity indices included the Shannon, Simpson, Chao 1, and ACE indices. Correlations between soil environmental factors and the microbial communities across different seasons were analyzed using redundancy analysis (RDA) and Pearson correlation. Microbial community structure and diversity analyses, including Non-metric Multidimensional Scaling (NMDS) and Analysis of Similarities (ANOSIM), were conducted using the R programming language (R Foundation for Statistical Computing, Vienna, Austria). Species data were analyzed with Canoco 5.0 (Microcomputer Power, Ithaca, NY, USA) through Detrended Correspondence Analysis (DCA) to assess gradient lengths. When the gradient length of the first DCA axis (DCA1) was less than 3, redundancy analysis (RDA) was selected to determine the key environmental factors influencing the microbial community structures across seasons. In this study, the DCA1 gradient length was less than 3 in spring, summer, and autumn, thus, RDA was used for further analysis. Visualization of the results was generated using Origin 2022 (Origin Lab Corp, Northampton, MA, USA) and Excel 2019 (Microsoft Corp, Redmond, WA, USA).

3. Results

3.1. Seasonal Variations in Soil Physicochemical Properties

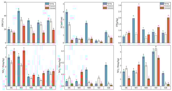
The physicochemical characteristics of soils in the lakeshore zone of Daihai during different seasons are shown in Figure 2. Overall, the SWC, EC, TN, NH4+-N, NO3N, and NO2-N contents at all five sampling sites varied significantly across different seasons. At different sampling sites, the seasonal variation trend of the average SWC and EC was spring > summer > autumn. Compared with summer and autumn, the SWC content in spring was 16.45% and 42.11% higher, while EC increased by 50.91% and 74.88% in spring. The variation ranges of TN and NH4+-N in the soil were 0.37–2.90 g/kg and 0.59–3.69 mg/kg, respectively. Due to the consumption of nitrogen by plant growth in summer, the TN content sharply decreased, showing an overall trend of summer < spring < autumn. At the MT site, average soil TN content was 1.85 g/kg, which was significantly higher than that in the other sampling sites. The soil NO3-N and NO2-N levels exhibited a similar trend, with significantly higher levels at the DC and SD sites during summer and at the MH and GB sites during spring (p < 0.05).

3.2. Seasonal Variations in the Soil Microbial Community Diversity in Daihai Lakeshore Zone

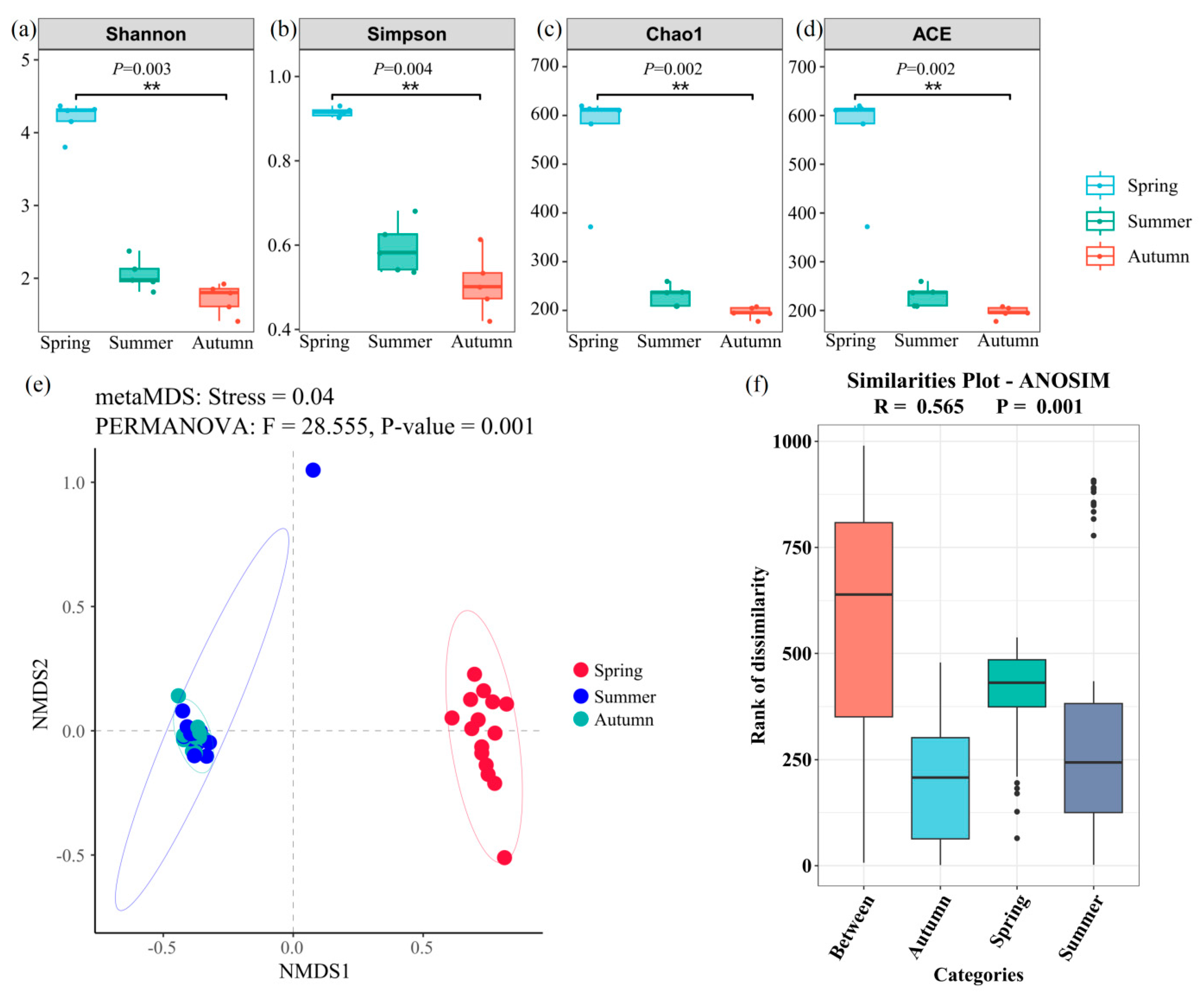
The study identified 65 phyla and 1086 genera in spring, 62 phyla and 1222 genera in summer, and 62 phyla and 1200 genera in autumn. At the phylum level, Pseudomonadota and Bacteroidota exhibited the highest abundances in spring, with the abundance of Pseudomonadota further increasing in summer. Additionally, the abundances of some secondary phyla, such as Chloroflexota and Bacillota, also increased in summer. In autumn, the proportions of Bacteroidota and Actinobacteriota increased compared to summer (Figure 3a). At the genus level, spring showed a higher microbial diversity, while certain genera dominated in summer and autumn, indicating a higher dominance of specific species during these seasons. The relative abundance of Escherichia_Shigella increased in summer, while Gillisia and Lutibacter had higher abundances in autumn (Figure 3b). NMDS showed that the microbial community structure in spring was significantly different (p < 0.05) from the community structures in summer and autumn. However, the microbial community structures observed in summer and autumn were very similar, with no significant differences (p > 0.05) (Figure 4e). ANOSIM analysis showed significant differences between the microbial community groups observed in different seasons (Figure 4f).
Overall, the diversity of soil bacterial communities in the wetlands of the Daihai lakeshore zone showed a decreasing trend with changing seasons (Figure 4a–d). The diversity of soil bacterial communities in spring was significantly higher than that in summer and autumn (p < 0.05), while no significant difference was observed between summer and autumn (p > 0.05).

3.3. Relationships Between Environmental Factors and Microbial Diversity in Soil

The RDA results indicated that the first and second axes explained 72.76%, 59.77%, and 87.77% of the microbial community variation in spring, summer, and autumn, respectively, highlighting the influence of seasonal environmental factors on the bacterial communities. In spring, the first axis predominantly reflected a negative correlation between TN and Patescibacterota and Actinobacteriota, alongside a positive correlation between EC and Pseudomonadota, suggesting that TN and EC significantly impacted the bacterial communities. The second axis revealed the influence of SWC on the bacterial communities, underscoring the regulatory role of the soil water content in community distribution (Figure 5a). In summer, the first axis revealed a positive correlation between TN and Pseudomonadota and Bacillota, suggesting that TN facilitated the growth of these taxa. The second axis demonstrated the influence of SWC on Desulfobacterota, indicating that variations in soil moisture significantly affected community distribution (Figure 5b). In autumn, the first axis revealed a positive correlation between NH4+-N and Actinobacteriota and Bacteroidota, indicating that NH4+-N facilitated the growth of these taxa. The second axis indicated a diminished influence of TN, likely attributable to seasonal variations in temperature and humidity, with other environmental factors becoming predominant (Figure 5c). Overall, the RDA analysis highlighted the intricate regulatory effects of environmental factors on the microbial communities across seasons, particularly the distinct roles of the nitrogen and soil water contents. Monte Carlo tests further revealed that TN exerted the strongest influence on the microbial communities in spring and summer, whereas NH4+-N played a dominant role in autumn, and the soil water content was crucial in summer (Table 1).
The correlation analysis between the α-diversity indices and environmental factors across different seasons showed that, in spring, the Simpson index had a significant negative correlation with TN (p < 0.01), which may indicate that high nitrogen levels could promote the dominance of certain species, leading to a decline in species diversity. On the other hand, the Simpson index had a positive correlation with NO2-N (p < 0.05), suggesting that NO2-N may promote bacterial diversity in spring, possibly due to microbial activity in the nitrogen cycle, which increases the microbial species richness in the ecosystem (Figure 5d). In summer, the Chao1 and ACE indices were significantly positively correlated with NH4+-N (p < 0.05), indicating that higher NH4+-N levels in summer help to increase bacterial species richness and diversity (Figure 5e). In autumn, the bacterial α-diversity indices were not significantly (p > 0.05) affected by soil factors, suggesting that other non-soil factors (such as temperature, humidity, or plant root activity) may have a greater impact on bacterial diversity in autumn (Figure 5f).

3.4. Effect of Neutral Processes on the Distribution of Bacterial Communities

The results of the neutral model assessment are shown in Figure 6, revealing 81.7%, 46.9%, and 70.0% of the relationships between the co-occurrence frequency of bacterial OTUs and the changes in their relative abundance in spring, summer, and autumn, respectively. These results suggest that neutral processes contribute more to bacterial community construction during spring and autumn in the Daihai Lakeshore Belt Wetland. In spring, the relatively high R2 value indicates that the OTU frequency distribution aligns well with the neutral model, suggesting that the microbial community is largely influenced by stochastic processes (e.g., drift and dispersal). The high OTU count reflects a rich microbial diversity, likely due to abundant nutrients and active soil conditions from plant growth. In summer, the lower R2 value implies a poorer fit to the neutral model, indicating a stronger influence of external factors (e.g., high temperatures and moisture changes), which suppress diversity. Autumn’s R2 falls between spring and summer, suggesting a mix of stochastic and environmental influences, with OTU counts similar to summer, potentially due to similar ecological factors like reduced nutrients or temperature shifts.

4. Discussion

4.1. Composition and Diversity of Wetland Microbial Communities in Daihai Lakeshore Zone

Pseudomonadota and Bacteroidetes are broad categories of microorganisms that thrive in diverse environmental conditions [28]. In this study, the most abundant groups of microorganisms in the Daihai wetland were Pseudomonadota, Actinobacteria, and Bacteroidota. Similar findings were reported in the Liaohe Estuary Wetlands [29]. Among them, Pseudomonadota and Bacteroidota were the two most abundant phyla across the three seasons, with significant seasonal variations in their abundance. It has been demonstrated that these two phyla are closely related to soil nutrients and are essential for C and N metabolism, organic carbon decomposition, and organic matter nitrification [30,31,32]. At the genus level, the bacterial community structure showed marked seasonal differences. In spring, microbial diversity was relatively high, with no specific genus exhibiting clear dominance. In summer, vigorous plant growth, increased litter, and root exudates led to a rise in soil organic matter content. The favorable temperature and moisture conditions, along with the efficient utilization of organic matter and nitrogen sources by Escherichia-Shigella, significantly enhanced its abundance [33,34]. The ecological distribution characteristics of Gillisia and Lutibacter are primarily determined by their metabolic flexibility and adaptability to extreme environments, such as low temperatures, high salinity, and organic-matter-rich conditions [35,36]. In autumn, the accumulation of organic materials in the wetland, such as fallen leaves and branches, resulted in an increase in the abundance of Gillisia and Lutibacter. The dominance of different microorganisms across seasons reflects the seasonal variations in nutrient cycling. In summer, nitrogen-cycling microorganisms (e.g., Pseudomonadota) dominated, likely due to nitrogen dynamics, whereas in autumn, the dominance of organic matter-degrading microorganisms (e.g., Actinobacteriota and Lutibacter) likely facilitated the degradation and cycling of organic matter. These changes not only affected the structure of the microbial communities, but also altered ecosystem functions, including organic matter decomposition and nitrogen cycling. NMDS analysis also indicated significant seasonal differences in the bacterial community structure between spring and the summer and autumn seasons (p < 0.05). Therefore, the season had a significant effect on the microbial community structure.

4.2. Response of Microbial Communities to Environmental Factors

Microbial diversity and distribution are shaped by the complex interactions among various environmental factors, with different environmental factors exerting varying degrees of influence on the microbial community structure [37]. Both RDA and Spearman’s correlation analyses identified TN and NH4+-N as the primary factors influencing thr wetland bacterial communities across seasons, with SWC exhibiting significant regulatory effects in certain seasons. In spring, TN was significantly negatively correlated with Patescibacterota and Actinobacteriota and with the Simpson index (p < 0.01), indicating that high nitrogen levels may increase the competitive advantage of certain dominant taxa (e.g., Pseudomonadota), thereby suppressing overall community diversity. Ramirez et al. [38] found that elevated total nitrogen levels typically provide nutrients for microbial taxa with a high nitrogen utilization efficiency, allowing a few dominant taxa to occupy ecological niches and reduce community evenness. Furthermore, the significant positive correlation between NO2-N and the Simpson index (p < 0.05) suggests that NO2-N, as a multifunctional nitrogen source, supports various metabolic pathways, such as nitrification, denitrification, and anaerobic ammonium oxidation, thereby promoting metabolic cooperation and coexistence among microbial communities [39]. In summer, the RDA results revealed that TN was significantly positively correlated with Pseudomonadota and Bacillota and with the Chao 1 and ACE indices (p < 0.05), indicating that TN not only facilitates the growth of specific functional taxa, but also significantly enhances species richness. The positive effect of NH4+-N on diversity indices reflects its role as a direct nitrogen source, supplying ample metabolic resources for heterotrophic microorganisms and promoting community expansion [18]. Moreover, the significant positive correlation between SWC and Desulfobacterota indicates that water content modulates soil redox conditions and nitrate availability, thereby enhancing the metabolism of nitrogen-cycling taxa [40]. In autumn, low-temperature and humid conditions may suppress nitrification, reducing nitrate (NO3) formation, while NH4+-N, as an easily absorbable nitrogen source, may have a more pronounced effect on microbial metabolism and community structure [41]. Additionally, the influence of TN on the microbial communities diminished in autumn, possibly due to increased contributions from other environmental factors driven by changing temperature and moisture, highlighting the intricate interplay of seasonal environmental factors [17]. In conclusion, TN and NH4+-N are the core factors driving the distribution of wetland bacterial communities, while SWC plays a significant regulatory role in specific seasons.

4.3. Seasonal Differences in Microbial Community Construction Processes

The neutral model fit (R2) was highest in spring, followed by autumn, and lowest in summer. During spring, vigorous plant growth contributes substantial and evenly distributed organic matter and nutrients to the soil. This stable resource input reduces the selective pressure of environmental factors on specific microbial taxa and increases reliance on neutral processes, such as diffusion and random colonization, thereby aligning the community structure more closely with neutral theory predictions. Studies have demonstrated that resource richness and an even distribution can weaken the impact of environmental selection on microbial communities and enhance the role of stochastic processes in shaping community structure [42]. Furthermore, the positive correlation between plant growth and soil microbial richness and diversity supports the significance of resource input in fostering neutral processes [43]. In summer, the explanatory power of the neutral model was weaker, likely due to the stronger influence of environmental factors such as high temperatures and moisture fluctuations. These conditions favor the growth of specific microorganisms, enabling certain species to dominate due to competitive advantages, while others decline [38], causing OTU frequencies to deviate from the predictions of the neutral model. This phenomenon is particularly evident under extreme environmental conditions, where deterministic processes dominate community assembly. In autumn, bacterial community formation was influenced by both stochastic processes and a certain degree of environmental selection pressure. For instance, the reduction in nutrient availability and gradual temperature decreases may lead to structural adjustments in some bacterial communities, while stochastic diffusion and migration processes continue to play a role. Related studies indicate that stochastic models cannot fully explain the seasonal variations in community assembly mechanisms at the sampling site. This finding suggests that the assembly of wetland bacterial communities is driven by a combination of multiple processes, including homogeneous selection, heterogeneous selection, limited dispersal, and weak environmental selection [44].

5. Conclusions

This study investigated the bacterial community structure in the Daihai lakeshore wetlands during spring, summer, and autumn and examined the influence of environmental factors on bacterial composition and diversity. The bacterial communities in the Daihai lakeshore wetland ecosystem demonstrated intricate seasonal dynamics, with α-diversity exhibiting significant fluctuations, reaching its peak in spring and declining gradually in summer and autumn. Pseudominadota, Bacteroidota, and Actinobacteriota were the phyla most significantly affected by seasonal changes. Furthermore, NMDS analysis revealed significant seasonal variations in the bacterial community structure between spring and the summer and autumn seasons. TN and NH4+-N were identified as the key drivers shaping the distribution of wetland bacterial communities, while SWC exhibited a significant regulatory influence on the community structure during summer. The neutral model suggested that the bacterial community dynamics in spring were predominantly governed by neutral processes, followed by autumn, whereas summer was more strongly influenced by environmental factors. These findings imply that the assembly of wetland bacterial communities is governed by multiple processes, with seasonal variations acting as the predominant driving force.

Supplementary Materials

The sequencing data have been successfully uploaded to the NCBI Sequence Read Archive (SRA) under the BioProject accession number PRJNA1182971. The data can also be accessed directly via the following link: https://www.ncbi.nlm.nih.gov/sra/PRJNA1182971 (accessed on 28 August 2024).

Author Contributions

Conceptualization, C.H., S.Y. and W.L.; data curation, C.H.; formal analysis, C.H., S.Y. and Z.Y. (Zhi Yao); investigation, S.Y. and Y.L.; methodology, C.H., S.Y. and W.L.; resources, W.Y. and W.L.; supervision, Z.Y. (Zhenyu Yin), W.Y. and L.B.; validation, S.Y.; writing—original draft, S.Y.; writing—review and editing, C.H. All authors have read and agreed to the published version of the manuscript.

Funding

This research was financed by the Higher Education Scientific Research Program of Inner Mongolia Province (NJZY23087) and the Science and Technology Program of Inner Mongolia Province (2021GG0410) and the Fundamental Research Funds for the Central Universities (2023CXPT005) and the Natural Science Foundation of Inner Mongolia Province (2023QN05019).

Institutional Review Board Statement

Not applicable.

Informed Consent Statement

Not applicable.

Data Availability Statement

Data are contained within the article.

Conflicts of Interest

The authors declare no conflicts of interest.

References

  1. Gentine, J.A.; Conard, W.M.; O’Reilly, K.E.; Cooper, M.J.; Fiorino, G.E.; Harrison, A.M.; Hein, M.; Moerke, A.H.; Ruetz, C.R.; Uzarski, D.G.; et al. Environmental Predictors of Phytoplankton Chlorophyll-a in Great Lakes Coastal Wetlands. J. Great Lakes Res. 2022, 48, 927–934. [Google Scholar] [CrossRef]
  2. Shen, X.J.; Liu, Y.W.; Zhang, J.Q.; Wang, Y.J.; Ma, R.; Liu, B.H.; Lu, X.G.; Jiang, M. Asymmetric Impacts of Diurnal Warming on Vegetation Carbon Sequestration of Marshes in the Qinghai-Tibet Plateau. Glob. Biogeochem. Cycles 2022, 36, e2022GB007396. [Google Scholar] [CrossRef]
  3. Rashid, I.; Aneaus, S.; Dar, S.A.; Javed, O.; Khanday, S.A.; Bhat, S.U. A Novel GIS-Based Multicriteria Analysis Approach for Ascertaining the Catchment-Scale Degradation of a Himalayan Wetland. Environ. Res. 2023, 229, 115967. [Google Scholar] [CrossRef] [PubMed]
  4. Davidson, N.C. How Much Wetland Has the World Lost? Long-Term and Recent Trends in Global Wetland Area. Mar. Freshw. Res. 2014, 65, 936–941. [Google Scholar] [CrossRef]
  5. State Forestry Administration. Wetland Resources of China—General Volume; China Forestry Press: Beijing, China, 2015; pp. 1–508. [Google Scholar]
  6. Zhang, J.; Ding, X.; Guan, R.; Zhu, C.; Xu, C.; Zhu, B.; Zhang, H.; Xiong, Z.; Xue, Y.; Tu, J.; et al. Evaluation of Different 16S rRNA Gene V Regions for Exploring Bacterial Diversity in a Eutrophic Freshwater Lake. Sci. Total Environ. 2017, 618, 1254–1267. [Google Scholar] [CrossRef]
  7. Babatunde, A.; Akintunde, A. Constructed Wetlands Incorporating Surface Water Heat Pumps (SWHPs) for Concentrated Urban Stormwater Runoff Treatment and Reuse; Maharaj: Gasparillo, Trinidad and Tobago, 2012. [Google Scholar]
  8. Ren, Z.; Qu, X.; Zhang, M.; Yu, Y.; Peng, W. Distinct Bacterial Communities in Wet and Dry Seasons During a Seasonal Water Level Fluctuation in the Largest Freshwater Lake (Poyang Lake) in China. Front. Microbiol. 2019, 10, 1167. [Google Scholar] [CrossRef]
  9. Zhou, S.; Sun, Y.; Huang, T.; Cheng, Y.; Yang, X.; Zhou, Z.; Yang, L.; Li, Z.; Cui, J.; Luo, X. Reservoir Water Stratification and Mixing Affects Microbial Community Structure and Functional Community Composition in a Stratified Drinking Reservoir. J. Environ. Manag. 2020, 267, 110456. [Google Scholar] [CrossRef]
  10. Tang, Y.; Li, M.; Zou, Y.; Lv, M.; Sun, J. Mechanism of Aerobic Denitrifiers and Calcium Nitrate on Urban River Sediment Remediation. Int. Biodeterior. Biodegrad. 2018, 126, 119–130. [Google Scholar] [CrossRef]
  11. Yu, Z.; Yang, J.; Yu, X.; Liu, L.; Tian, Y. Aboveground Vegetation Influences Belowground Microeukaryotic Community in a Mangrove Nature Reserve. Wetlands 2014, 34, 393–401. [Google Scholar] [CrossRef]
  12. Behera, P.; Mahapatra, S.; Mohapatra, M.; Kim, J.Y.; Adhya, T.K.; Raina, V.; Suar, M.; Pattnaik, A.K.; Rastogi, G. Salinity and Macrophyte Drive the Biogeography of the Sedimentary Bacterial Communities in a Brackish Water Tropical Coastal Lagoon. Sci. Total Environ. 2017, 595, 472–485. [Google Scholar] [CrossRef]
  13. Rothberg, J.M.; Leamon, J.H. The Development and Impact of 454 Sequencing. Nat. Biotechnol. 2008, 26, 1117–1124. [Google Scholar] [CrossRef] [PubMed]
  14. Hua, G.; Cheng, Y.; Kong, J.; Li, M.; Zhao, Z. High-Throughput Sequencing Analysis of Bacterial Community Spatiotemporal Distribution in Response to Clogging in Vertical Flow Constructed Wetlands. Bioresour. Technol. 2018, 248, 104–112. [Google Scholar] [CrossRef] [PubMed]
  15. Zhou, Z.; Meng, H.; Liu, Y.; Gu, J.D.; Li, M. Stratified Bacterial and Archaeal Community in Mangrove and Intertidal Wetland Mudflats Revealed by High-Throughput 16S rRNA Gene Sequencing. Front. Microbiol. 2017, 8, 2148. [Google Scholar] [CrossRef] [PubMed]
  16. Li, Y.; Wu, B.; Zhu, G.; Liu, Y.; Ng, W.J.; Appan, A.; Tan, S.K. High-Throughput Pyrosequencing Analysis of Bacteria Relevant to Cometabolic and Metabolic Degradation of Ibuprofen in Horizontal Subsurface Flow Constructed Wetlands. Sci. Total Environ. 2016, 562, 604–613. [Google Scholar] [CrossRef]
  17. Xiong, X.; Lyu, M.; Deng, C.; Li, X.; Lu, Y.; Lin, W.; Jiang, Y.; Xie, J. Carbon and Nitrogen Availability Drives Seasonal Variation in Soil Microbial Communities along an Elevation Gradient. Forests 2022, 13, 1657. [Google Scholar] [CrossRef]
  18. Li, K.; Lin, H.; Han, M.; Yang, L. Soil Metagenomics Reveals the Effect of Nitrogen on Soil Microbial Communities and Nitrogen-Cycle Functional Genes in the Rhizosphere of Panax Ginseng. Front. Plant Sci. 2024, 15, 1411073. [Google Scholar] [CrossRef]
  19. Wang, X.; Ren, Y.; Yu, Z.; Shen, G.; Cheng, H.; Tao, S. Effects of Environmental Factors on the Distribution of Microbial Communities Across Soils and Lake Sediments in the Hoh Xil Nature Reserve of the Qinghai-Tibetan Plateau. Sci. Total Environ. 2022, 838, 156148. [Google Scholar] [CrossRef]
  20. Habekost, M.; Eisenhauer, N.; Scheu, S.; Steinbeiss, S.; Weigelt, A.; Gleixner, G. Seasonal Changes in the Soil Microbial Community in a Grassland Plant Diversity Gradient Four Years After Establishment. Soil Biol. Biochem. 2008, 40, 2588–2595. [Google Scholar] [CrossRef]
  21. Lennon, J.T.; Jones, S.E. Microbial Seed Banks: The Ecological and Evolutionary Implications of Dormancy. Nat. Rev. Microbiol. 2011, 9, 119–130. [Google Scholar] [CrossRef]
  22. Xu, K.; Wang, R.; Guo, W.; Yu, Z.; Sun, R.; Liu, J. Factors Affecting Community Structures of Benthic Macroinvertebrates and Microorganisms in Yellow River Delta Wetlands: Seasons, Habitats, and Interactions of Organisms. Ecohydrol. Hydrobiol. 2020, 20, 570–583. [Google Scholar] [CrossRef]
  23. López-Mondéjar, R.; Voříšková, J.; Větrovský, T.; Baldrian, P. The Bacterial Community Inhabiting Temperate Deciduous Forests Is Vertically Stratified and Undergoes Seasonal Dynamics. Soil Biol. Biochem. 2015, 87, 43–50. [Google Scholar] [CrossRef]
  24. Thoms, C.; Gleixner, G. Seasonal Differences in Tree Species’ Influence on Soil Microbial Communities. Soil Biol. Biochem. 2013, 66, 239–248. [Google Scholar] [CrossRef]
  25. Koranda, M.; Kaiser, C.; Fuchslueger, L.; Kitzler, B.; Sessitsch, A.; Zechmeister-Boltenstern, S.; Richter, A. Seasonal Variation in Functional Properties of Microbial Communities in Beech Forest Soil. Soil Biol. Biochem. 2013, 60, 95–104. [Google Scholar] [CrossRef] [PubMed]
  26. Bremner, J.M. Determination of Nitrogen in Soil by the Kjeldahl Method. J. Agric. Sci. 2009, 55, 11–33. [Google Scholar] [CrossRef]
  27. Peng, J.; Lu, X.; Xie, K.; Xu, Y.; He, R.; Guo, L.; Han, Y.; Wu, S.; Dong, X.; Lu, Y.; et al. Dynamic Alterations in the Gut Microbiota of Collagen-Induced Arthritis Rats Following the Prolonged Administration of Total Glucosides of Paeony. Front. Cell. Infect. Microbiol. 2019, 9, 204. [Google Scholar] [CrossRef]
  28. Yu, S.; He, R.; Song, A.; Huang, Y.; Jin, Z.; Liang, Y.; Li, Q.; Wang, X.; Müller, W.E.G.; Cao, J. Spatial and Temporal Dynamics of Bacterioplankton Community Composition in Response to Clogging in Vertical Flow Constructed Wetlands. Microbiol. Open 2019, 8, e00849. [Google Scholar] [CrossRef]
  29. Zheng, Y.; Su, F.; Li, H.; Song, F.; Wei, C.; Cui, P. Structure and Function of Soil Bacterial Communities in the Different Wetland Types of the Liaohe Estuary Wetland. Microorganisms 2024, 12, 2075. [Google Scholar] [CrossRef]
  30. Huang, J.; Gao, K.; Yang, L.; Lu, Y. Successional Action of Bacteroidota and Firmicutes in Decomposing Straw Polymers in a Paddy Soil. Environ. Microbiome 2023, 18, 76. [Google Scholar] [CrossRef]
  31. Tian, Q.; Jiang, Y.; Tang, Y.; Wu, Y.; Tang, Z.; Liu, F. Soil pH and Organic Carbon Properties Drive Soil Bacterial Communities in Surface and Deep Layers Along an Elevational Gradient. Front. Microbiol. 2021, 12, 646124. [Google Scholar] [CrossRef]
  32. Yao, R.; Yang, J.; Wang, X.; Xie, W.; Zheng, F.; Li, H.; Tang, C.; Zhu, H. Response of Soil Characteristics and Bacterial Communities to Nitrogen Fertilization Gradients in a Coastal Salt-Affected Agroecosystem. Land Degrad. Dev. 2021, 32, 338–353. [Google Scholar] [CrossRef]
  33. Peng, J.; Zhou, X.; Rensing, C.; Liesack, W.; Zhu, Y. Soil Microbial Ecology Through the Lens of Metatranscriptomics. Soil Ecol. Lett. 2024, 6, 230217. [Google Scholar] [CrossRef]
  34. Lu, T.; Xu, N.; Lei, C.; Zhang, Q.; Zhang, Z.; Sun, L.; He, F.; Zhou, N.-Y.; Peñuelas, J.; Zhu, Y.-G.; et al. Bacterial Biogeography in China and Its Association to Land Use and Soil Organic Carbon. Soil Ecol. Lett. 2023, 5, 230172. [Google Scholar] [CrossRef]
  35. Van Trappen, S.; Vandecandelaere, I.; Mergaert, J.; Swings, J. Gillisia limnaea gen. nov., sp. nov., a New Member of the Family Flavobacteriaceae Isolated from a Microbial Mat in Lake Fryxell, Antarctica. Int. J. Syst. Evol. Microbiol. 2004, 54, 445–448. [Google Scholar] [CrossRef] [PubMed]
  36. Lee, S.Y.; Lee, M.H.; Oh, T.K.; Yoon, J.H. Lutibacter aestuarii sp. nov., Isolated from a Tidal Flat Sediment, and Emended Description of the Genus Lutibacter Choi and Cho 2006. Int. J. Syst. Evol. Microbiol. 2012, 62, 420–424. [Google Scholar] [CrossRef]
  37. Jousset, A.; Bienhold, C.; Chatzinotas, A.; Gallien, L.; Gobet, A.; Kurm, V.; Küsel, K.; Rillig, M.C.; Rivett, D.W.; Salles, J.F. Where Less May Be More: How the Rare Biosphere Pulls Ecosystems Strings. ISME J. 2017, 11, 853–862. [Google Scholar] [CrossRef]
  38. Ramirez, K.S.; Craine, J.M.; Fierer, N. Consistent Effects of Nitrogen Amendments on Soil Microbial Communities and Processes Across Biomes. Glob. Change Biol. 2012, 18, 1918–1927. [Google Scholar] [CrossRef]
  39. Hines, D.E.; Lisa, J.A.; Song, B.; Tobias, C.R.; Borrett, S.R. Estimating the Effects of Seawater Intrusion on an Estuarine Nitrogen Cycle by Comparative Network Analysis. Mar. Ecol. Prog. Ser. 2015, 524, 137–154. [Google Scholar] [CrossRef]
  40. Liu, R.-X.; He, J.-Z.; Zhang, L.-M. Response of Nitrification/Denitrification and Their Associated Microbes to Soil Moisture Change in Paddy Soil. Environ. Sci. 2014, 35, 4275–4283. [Google Scholar] [CrossRef]
  41. Butterbach-Bahl, K.; Gundersen, P.; Ambus, P.; Augustin, J.; Beier, C.; Boeckx, P.; Dannenmann, M.; Gimeno, B.S.; Ibrom, A.; Kiese, R. Nitrogen Processes in Terrestrial Ecosystems. In The European Nitrogen Assessment: Sources, Effects and Policy Perspectives; Sutton, M.A., Howard, C.M., Erisman, J.W., et al., Eds.; Cambridge University Press: Cambridge, UK, 2011; pp. 99–125. [Google Scholar] [CrossRef]
  42. Chase, J.M.; Myers, J.A. Disentangling the Importance of Ecological Niches from Stochastic Processes Across Scales. Philos. Trans. R. Soc. Lond. B Biol. Sci. 2011, 366, 2351–2363. [Google Scholar] [CrossRef]
  43. Stefan, L.; Hartmann, M.; Engbersen, N.; Six, J.; Schöb, C. Positive Effects of Crop Diversity on Productivity Driven by Changes in Soil Microbial Composition. Front. Microbiol. 2021, 12, 660749. [Google Scholar] [CrossRef]
  44. Liu, T.; Zhang, A.N.; Wang, J.; Liu, S.; Jiang, X.; Dang, C.; Ma, T.; Liu, S.; Chen, Q.; Xie, S.; et al. Integrated Biogeography of Planktonic and Sedimentary Bacterial Communities in the Yangtze River. Microbiome 2018, 6, 16. [Google Scholar] [CrossRef]
Figure 1. Geographic location and distribution of the sampling sites around Daihai Lake.
Figure 1. Geographic location and distribution of the sampling sites around Daihai Lake.
Sustainability 16 11221 g001
Figure 2. Seasonal changes in physio-chemical soil factors in Daihai lakeshore. Different lowercase letters indicate significant differences between seasons, p < 0.05.
Figure 2. Seasonal changes in physio-chemical soil factors in Daihai lakeshore. Different lowercase letters indicate significant differences between seasons, p < 0.05.
Sustainability 16 11221 g002
Figure 3. Relative abundances of the top 20 microbial taxa in spring, summer and autumn at different sampling sites ((a) phyla level; and (b) genus level). Here, Q, C, and X stand for autumn, spring, and summer; D, G, H, S, and T stand for the five sampling sites: Southern Power Plant, Gongba River, Eastern Muhua River, Sandao River, and Northwestern Dock.
Figure 3. Relative abundances of the top 20 microbial taxa in spring, summer and autumn at different sampling sites ((a) phyla level; and (b) genus level). Here, Q, C, and X stand for autumn, spring, and summer; D, G, H, S, and T stand for the five sampling sites: Southern Power Plant, Gongba River, Eastern Muhua River, Sandao River, and Northwestern Dock.
Sustainability 16 11221 g003
Figure 4. Microbial diversity in the Daihai lakeshore zone during different seasons ((a) Shannon index; (b) Simpson index; (c) Chao 1 index; and (d) ACE index); (e) Bray–Curtis-based NMDS analysis; and (f) ANOSIM nonparametric statistical test. Here, ** denotes significant differences (p < 0.05).
Figure 4. Microbial diversity in the Daihai lakeshore zone during different seasons ((a) Shannon index; (b) Simpson index; (c) Chao 1 index; and (d) ACE index); (e) Bray–Curtis-based NMDS analysis; and (f) ANOSIM nonparametric statistical test. Here, ** denotes significant differences (p < 0.05).
Sustainability 16 11221 g004
Figure 5. Redundancy analysis of environmental factors and microbial communities in different seasons of Daihai lakeshore zone ((a) spring, (b) summer, and (c) autumn) and Spearman correlation coefficients between alpha diversity indices and environmental factors ((d) spring, (e) summer, and (f) autumn). Red arrows represent environmental factors; blue arrows represent species; the quadrants of the arrow indicate positive or negative correlations between ecological factors and sorting axis, and arrow length represents the degree of correlation between a certain environmental factor and the distribution of species in the microbial community, with longer arrow indicating greater correlation, and vice versa. The angle between arrow and sorting axis represents the correlation between an environmental factor and the sorting axis, with smaller angle indicating higher correlation, and vice versa. * indicates significant Spearman’s r correlation coefficients with p < 0.05, ** represents highly significant correlation with p < 0.01, *** represents very highly significant correlation with p < 0.001.
Figure 5. Redundancy analysis of environmental factors and microbial communities in different seasons of Daihai lakeshore zone ((a) spring, (b) summer, and (c) autumn) and Spearman correlation coefficients between alpha diversity indices and environmental factors ((d) spring, (e) summer, and (f) autumn). Red arrows represent environmental factors; blue arrows represent species; the quadrants of the arrow indicate positive or negative correlations between ecological factors and sorting axis, and arrow length represents the degree of correlation between a certain environmental factor and the distribution of species in the microbial community, with longer arrow indicating greater correlation, and vice versa. The angle between arrow and sorting axis represents the correlation between an environmental factor and the sorting axis, with smaller angle indicating higher correlation, and vice versa. * indicates significant Spearman’s r correlation coefficients with p < 0.05, ** represents highly significant correlation with p < 0.01, *** represents very highly significant correlation with p < 0.001.
Sustainability 16 11221 g005
Figure 6. Occurrence frequency of bacterial OTUs in different seasons based on neutral modeling. The solid blue line indicates the fitting results of neutral model; the dashed lines above and below indicate the prediction results above and below 95% confidence interval, respectively; and green and red dots represent the occurrence frequency of bacterial OTUs, which is greater or less than the frequency predicted by the model.
Figure 6. Occurrence frequency of bacterial OTUs in different seasons based on neutral modeling. The solid blue line indicates the fitting results of neutral model; the dashed lines above and below indicate the prediction results above and below 95% confidence interval, respectively; and green and red dots represent the occurrence frequency of bacterial OTUs, which is greater or less than the frequency predicted by the model.
Sustainability 16 11221 g006
Table 1. Contribution of environmental factors.
Table 1. Contribution of environmental factors.
SpringSummerAutumn
NameExplains %Pseudo-FpExplains %Pseudo-FpExplains %Pseudo-Fp
SWC1.20.40.73615.83.60.0224.31.10.356
EC16.92.70.0841.80.50.6528.32.50.128
TN36.79.50.00432.16.10.00621.63.60.032
NH4+-N5.72.20.0783.80.80.4430.37.50.002
NO3--N1.80.60.621.30.30.75671.90.184
NO2--N14.450.0089.42.40.0961.70.40.678
Disclaimer/Publisher’s Note: The statements, opinions and data contained in all publications are solely those of the individual author(s) and contributor(s) and not of MDPI and/or the editor(s). MDPI and/or the editor(s) disclaim responsibility for any injury to people or property resulting from any ideas, methods, instructions or products referred to in the content.

Share and Cite

MDPI and ACS Style

Hou, C.; Yu, S.; Yin, Z.; Yang, W.; Bai, L.; Yao, Z.; Li, Y.; Li, W. Seasonal Differences and Driving Factors of Microbial Community Structure in Wetlands Along Shores of Daihai Lake. Sustainability 2024, 16, 11221. https://doi.org/10.3390/su162411221

AMA Style

Hou C, Yu S, Yin Z, Yang W, Bai L, Yao Z, Li Y, Li W. Seasonal Differences and Driving Factors of Microbial Community Structure in Wetlands Along Shores of Daihai Lake. Sustainability. 2024; 16(24):11221. https://doi.org/10.3390/su162411221

Chicago/Turabian Style

Hou, Chenli, Shengqian Yu, Zhenyu Yin, Wenhuan Yang, Long Bai, Zhi Yao, Yang Li, and Weiping Li. 2024. "Seasonal Differences and Driving Factors of Microbial Community Structure in Wetlands Along Shores of Daihai Lake" Sustainability 16, no. 24: 11221. https://doi.org/10.3390/su162411221

APA Style

Hou, C., Yu, S., Yin, Z., Yang, W., Bai, L., Yao, Z., Li, Y., & Li, W. (2024). Seasonal Differences and Driving Factors of Microbial Community Structure in Wetlands Along Shores of Daihai Lake. Sustainability, 16(24), 11221. https://doi.org/10.3390/su162411221

Note that from the first issue of 2016, this journal uses article numbers instead of page numbers. See further details here.

Article Metrics

Back to TopTop