Unmanned Aerial Vehicle (UAV) Hyperspectral Imagery Mining to Identify New Spectral Indices for Predicting the Field-Scale Yield of Spring Maize
Abstract
1. Introduction
2. Materials and Methods
2.1. Study Area and Field Experimental Design
2.2. Crop Yield Measurements
2.3. UAV Hyperspectral Imaging Acquisition and Preprocessing
2.4. Spectral Index Calculations
2.5. Comparison Between the New and Published SIs for Yield Prediction
3. Results
3.1. Description of Maize Yield Measurement
3.2. Canopy Spectral Characteristics of Maize
3.3. Determination Coefficients (R2) Between the DSI, RSI, and NDSI and Yield
3.4. Comparison with Published SIs for Maize Yield Prediction
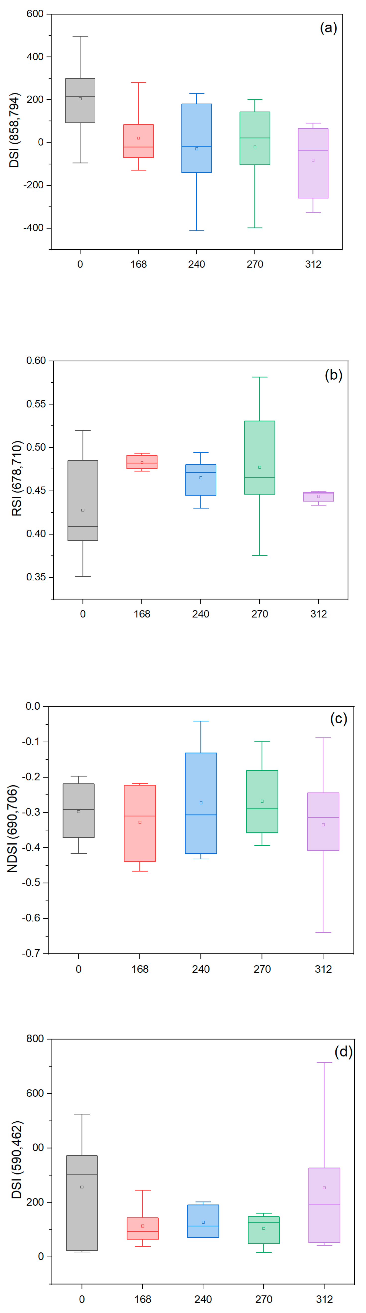
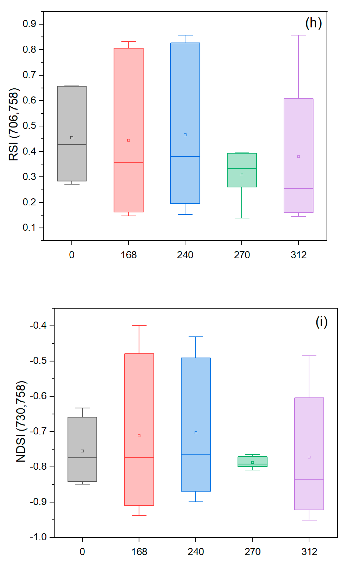
3.5. New SIs in Response to Different N Treatments
4. Discussion
4.1. Screening the Sensitive Wavelengths and SIs
4.2. Comparison Between the New and Published SIs
4.3. The New SIs in Response to Different N Levels and Soil Types
5. Conclusions
- (1)
- The best growth period for yield prediction is the silking stage of spring maize. Different sensitive wavelengths and SIs are recommended as the best indicators to assess maize yield across the three experimental fields.
- (2)
- Among the eight published SIs and fifteen new indices, the NDSI (690, 710), RSI (906, 546), and DSI (698, 922) outperformed the existing indices and achieved the best performance for yield prediction, with determination coefficients of 0.773, 0.892, and 0.726, respectively.
- (3)
- The new SIs also presented distinctly different responses to various N fertilization levels across the three SI forms (DSI, RSI, and NDSI), except for the FJJ field. This augmentation will subsequently improve the accuracy and reliability of crop yield prediction across various growth stages, N fertilization levels, and soil properties.
Author Contributions
Funding
Institutional Review Board Statement
Informed Consent Statement
Data Availability Statement
Conflicts of Interest
References
- Tran, T.; Tapas, M.R.; Do, S.K.; Etheridge, R.; Lakshmi, V. Investigating the impacts of climate change on hydroclimatic extremes in the Tar-Pamlico River basin, North Carolina. J. Environ. Manag. 2024, 363, 121375. [Google Scholar] [CrossRef] [PubMed]
- Nguyen, B.Q.; Binh, D.V.; Tran, T.; Kantoush, S.A.; Sumi, T. Response of streamfow and sediment variability to cascade dam development and climate change in the Sai Gon Dong Nai River basin. Clim. Dyn. 2024, 62, 7997–8017. [Google Scholar]
- Tran, T.; Lakshmi, V. Enhancing human resilience against climate change: Assessment of hydroclimatic extremes and sea level rise impacts on the Eastern Shore of Virginia, United States. Sci. Total Environ. 2024, 947, 174289. [Google Scholar] [CrossRef]
- Chen, X.H.; Ma, C.C.; Zhou, H.M.; Liu, Y.; Huang, X.M.; Wang, M.K.; Cai, Y.Y.; Su, D.; StifMubeer, M.; Ma, M.C.; et al. Identifying the main crops and key factors determining the carbon footprint of crop production in China, 2001–2018. Resour. Conserv. Recycl. 2021, 172, 105661. [Google Scholar] [CrossRef]
- García-Lara, S.; Serna-Saldivar, S.O. Chapter 1—Corn History and Culture, 3rd ed.; Serna-Saldivar, S.O., Ed.; AACC International Press: Oxford, UK, 2019; pp. 1–18. [Google Scholar]
- Jaafar, H.; Mourad, R. GYMEE: A global field-scale crop yield and ET mapper in google earth engine based on Landsat, weather, and soil data. Remote Sens. 2021, 13, 773. [Google Scholar] [CrossRef]
- Zhang, L.; Zhang, Z.; Luo, Y.; Cao, J.; Xie, R.; Li, S. Integrating satellite-derived climatic and vegetation indices to predict smallholder maize yield using deep learning. Agric. For. Meteorol. 2021, 311, 108666. [Google Scholar] [CrossRef]
- Desloires, J.; Ienco, D.; Botrel, A. Out-of-year corn yield prediction at field-scale using Sentinel-2 satellite imagery and machine learning methods. Comput. Electron. Agric. 2023, 209, 107807. [Google Scholar] [CrossRef]
- Chlingaryan, A.; Sukkarieh, S.; Whelan, B. Machine earning approaches for crop yield prediction and nitrogen status estimation in precision agriculture: A review. Comput. Electron. Agric. 2018, 151, 61–69. [Google Scholar] [CrossRef]
- Liu, H.; Xiong, W.; Mottaleb, K.A.; Krupnik, T.J.; Burgueno, J.; Pequeno, D.N.L.; Wu, W.B. Contrasting contributions of five factors to wheat yield growth in China by process-based and statistical models. Eur. J. Agron. 2021, 130, 126370. [Google Scholar]
- Xiao, G.; Zhang, X.; Niu, Q.; Li, X.; Li, X.; Zhong, L.; Huang, J. Winter wheat yield estimation at the field scale using sentinel-2 data and deep learning. Comput. Electron. Agric. 2024, 216, 108555. [Google Scholar] [CrossRef]
- Wang, L.A.; Zhou, X.; Zhu, X.; Dong, Z.; Guo, W. Estimation of biomass in wheat using random forest regression algorithm and remote sensing data. Crop J. 2016, 4, 212–219. [Google Scholar]
- Wu, S.; Yang, P.; Ren, J.; Chen, Z.; Li, H. Regional winter wheat yield estimation based on the WOFOST model and a novel VW-4DEnSRF assimilation algorithm. Remote Sens. Environ. 2021, 255, 112276. [Google Scholar]
- Maimaitijiang, M.; Sagan, V.; Sidike, P.; Hartling, S.; Esposito, F.; Fritschi, F.B. Soybean yield prediction from UAV using multimodal data fusion and deep learning. Remote Sens. Environ. 2020, 237, 111599. [Google Scholar] [CrossRef]
- Sankaran, S.; Khot, L.R.; Espinoza, C.Z.; Jarolmasjed, S.; Sathuvalli, V.R.; Vandemark, G.J.; Miklas, P.N.; Carter, A.H.; Pumphrey, M.O.; Knowles, R.R.N.; et al. Low-altitude, high-resolution aerial imaging systems for row and field crop phenotyping: A review. Eur. J. Agron. 2015, 70, 112–123. [Google Scholar]
- Van Der Meij, B.; Kooistra, L.; Suomalainen, J.; Barel, J.M.; De Deyn, G.B. Remote sensing of plant trait responses to field-based plant-soil feedback using UAV-based optical sensors. Biogeosciences 2016, 14, 733–749. [Google Scholar]
- Zhou, X.; Zheng, H.B.; Xu, X.Q.; He, J.Y.; Ge, X.K.; Yao, X.; Cheng, T.; Zhu, Y.; Cao, W.X.; Tian, Y.C. Predicting grain yield in rice using multi-temporal vegetation indices from UAV-based multispectral and digital imagery. ISPRS J. Photogramm. Remote Sens. 2017, 130, 246–255. [Google Scholar]
- Jay, S.; Baret, F.; Dutartre, D.; Malatesta, G.; Héno, S.; Comar, A.; Weiss, M.; Maupas, F. Exploiting the centimetre resolution of UAV multispectral imagery to improve remote-sensing estimates of canopy structure and biochemistry in sugar beet crops. Remote Sens. Environ. 2018, 231, 110898. [Google Scholar]
- Zhang, Y.; Xia, C.; Zhang, X.; Cheng, X.; Feng, G.; Wang, Y.; Gao, Q. Estimating the maize biomass by crop height and narrowband vegetation indices derived from UAV-based hyperspectral images. Ecol. Indic. 2021, 129, 107985. [Google Scholar]
- Corti, M.; Cavalli, D.; Cabassi, G.; Gallina, P.M.; Bechini, L. Does remote and proximal optical sensing successfully estimate maize variables? A review. Eur. J. Agron. 2018, 99, 37–50. [Google Scholar]
- Bai, J.; Niu, Z.; Huang, Y.; Bi, K.; Fu, Y.; Gao, S.; Wu, M.; Wang, L. Full-waveform hyperspectral LiDAR data decomposition via ranking central locations of natural target echoes (Rclonte) at different wavelengths. Remote Sens. Environ. 2024, 310, 114227. [Google Scholar]
- Bai, J.; Niu, Z.; Gao, S.; Bi, K.; Wang, J.; Huang, Y.; Sun, G. An exploration, analysis, and correction of the distance effect on terrestrial hyperspectral LiDAR data. ISPRS J. Photogramm. Remote Sens. 2023, 198, 60–83. [Google Scholar] [CrossRef]
- Homolová, L.; Malenovský, Z.; Clevers, J.G.P.W.; García-Santos, G.; Schaepman, M.E. Review of optical-based remote sensing for plant trait mapping. Ecol. Complex. 2013, 15, 1–16. [Google Scholar] [CrossRef]
- Kerkech, M.; Hafiane, A.; Canals, R. Vine disease detection in UAV multispectral images using optimized image registration and deep learning segmentation approach. Comput. Electron. Agric. 2020, 174, 105446. [Google Scholar] [CrossRef]
- Foster, A.; Kakani, V.; Mosali, J. Estimation of bioenergy crop yield and N status by hyperspectral canopy reflectance and partial least square regression. Precis. Agric. 2017, 18, 192–209. [Google Scholar] [CrossRef]
- Su, X.; Wang, J.; Ding, L.; Lu, J.; Zhang, J.; Yao, X.; Cheng, T.; Zhu, Y.; Cao, W.; Tian, Y. Grain yield prediction using multi-temporal UAV-based multispectral vegetation indices and endmember abundance in rice. Field Crops Res. 2023, 299, 108992. [Google Scholar] [CrossRef]
- Da Silva, E.E.; Baio, F.H.R.; Teodoro, L.P.R.; da Silva Junior, C.A.; Borges, R.S.; Teodoro, P.E. UAV-multispectral and vegetation indices in soybean grain yield prediction based on in situ observation. Remote Sens. Appl. Soc. Environ. 2020, 18, 100318. [Google Scholar] [CrossRef]
- Zhang, H.; Zhang, Y.; Liu, K.; Lan, S.; Gao, T.; Li, M. Winter wheat yield prediction using integrated Landsat 8 and Sentinel-2 vegetation index time-series data and machine learning algorithms. Comput. Electron. Agric. 2023, 213, 108250. [Google Scholar] [CrossRef]
- le Maire, G.; Francois, C.; Dufrene, E. Towards universal broad leaf chlorophyll indices using PROSPECT simulated database and hyperspectral reflectance measurements. Remote Sens. Environ. 2004, 89, 1–28. [Google Scholar]
- Vogelmann, J.E.; Rock, B.N.; Moss, D.M. Red edge spectral measurements from sugar maple leaves. Int. J. Remote Sens. 1993, 14, 1563–1575. [Google Scholar] [CrossRef]
- Gitelson, A.A.; Keydan, G.P.; Merzlyak, M.N. Three-band model for noninvasive estimation of chlorophyll, carotenoids, and anthocyanin contents in higher plant leaves. Geophys. Res. Lett. 2006, 33, 1–6. [Google Scholar] [CrossRef]
- Datt, B. A new reflectance index for remote sensing of chlorophyll content in higher plants: Tests using eucalyptus leaves. J. Plant Physiol. 1999, 154, 30–36. [Google Scholar] [CrossRef]
- Yao, X.; Zhu, Y.; Tian, Y.C.; Feng, W.; Cao, W.X. Exploring hyperspectral bands and estimation indices for leaf nitrogen accumulation in wheat. Int. J. Remote Sens. 2010, 12, 89–100. [Google Scholar]
- Fitzgerald, G.; Rodriguez, D.; O’Leary, G. Measuring and predicting canopy nitrogen nutrition in wheat using a spectral index-the canopy chlorophyll content index (CCCI). Field Crops Res. 2010, 116, 318–324. [Google Scholar]
- Maccioni, A.; Agati, G.; Mazzinghi, P. New vegetation indices for remote measurement of chlorophylls based on leaf directional reflectance spectra. J. Photochem. Photobiol. B 2001, 61, 52–61. [Google Scholar] [CrossRef]
- Sims, D.A.; Gamon, J.A. Relationships between leaf pigment content and spectral reflectance across a wide range of species, leaf structures and developmental stages. Remote Sens. Environ. 2002, 81, 337–354. [Google Scholar]
- Bellon-Maurel, V.; Fernandez-Ahumada, E.; Palagos, B.; Roger, J.M.; McBratney, A. Critical review of chemometric indicators commonly used for assessing the quality of the prediction of soil attributes by NIR spectroscopy. TrAC-Trends Anal. Chem. 2010, 29, 1073–1081. [Google Scholar]
- Piikki, K.; Söderström, M.; Stadig, H.; Wolters, S. Remote sensing and on-farm experiments for determining in-season nitrogen rates in winter wheat-Options for implementation, model accuracy and remaining challenges. Field Crops Res. 2022, 289, 108742. [Google Scholar]
- Li, F.; Miao, Y.; Feng, G.; Yuan, F.; Yue, S.; Gao, X.; Liu, Y.; Liu, B.; Ustin, S.L.; Chen, X.P. Improving estimation of summer maize nitrogen status with red edge-based spectral vegetation indices. Field Crops Res. 2014, 157, 111–123. [Google Scholar]
- Zhao, B.; Duan, A.; Ata-Ul-Karim, S.T.; Liu, Z.; Chen, Z.; Gong, Z.; Zhang, J.; Xiao, J.; Liu, Z.; Qin, A.; et al. Exploring new spectral bands and vegetation indices for estimating nitrogen nutrition index of summer maize. Eur. J. Agron. 2018, 93, 113–125. [Google Scholar]
- Ata-Ul-Karim, S.T.; Yao, X.; Liu, X.; Cao, W.; Zhu, Y. Development of critical nitrogen dilution curve of Japonica rice in Yangtze River Reaches. Field Crops Res. 2013, 149, 149–158. [Google Scholar]
- Roobroeck, D.; Kimutai, G.; Kanampiu, F.; Ng’etich, W.; de Nowina, K.R.; Vanlauwe, B. Effective Striga control and yield intensification on maize farms in western Kenya with N fertilizer and herbicide-resistant variety. Field Crops Res. 2023, 296, 108924. [Google Scholar]
- Vijayakumar, S.; Ivany, H.P.; Bazrgar, A.B.; Deen, B.; Thimmanagari, M.; Schneider, K.; Lauzon, J.; Voroney, P.; Thevathasan, N. The effect of land-use conversion from agriculture to perennial biomass crops and nitrogen fertilizer on soil organic carbon stock in southern Ontario, Canada. Geoderma Reg. 2023, 35, e00732. [Google Scholar]










| Experimental Fields | Sand (%) | Silt (%) | Clay (%) | pH | Organic Matter (g/kg) | Total N (g/kg) | Alkali-Hydrolyzable N (mg/kg) | Available P (mg/kg) | Available K (mg/kg) |
|---|---|---|---|---|---|---|---|---|---|
| WJQ | 47.7 | 29.6 | 22.7 | 5.15 | 12.2 | 1.04 | 91.6 | 29.1 | 52 |
| SKS | 32.5 | 25.2 | 42.3 | 6.16 | 25.3 | 1.69 | 128.2 | 43.9 | 122 |
| FJJ | 73.6 | 9.6 | 10.8 | 6.71 | 13.2 | 1.01 | 58.8 | 13.6 | 43 |
| Narrowband VIs | Calculation Formula in This Study | Reference |
|---|---|---|
| DDi (desertification difference index) | [29] | |
| VOG (Vogelman red edge index) | [30] | |
| CIre (red-edge chlorophyll index) | 1 | [31] |
| NDI (normalized difference index) | [32] | |
| NDSI (normalized difference spectral index) | [33] | |
| NDRE (normalized difference red edge index) | [34] | |
| Maccioni | [35] | |
| mND705 (750, 705, 450) (modified normalized difference 705) | [36] |
| Year | Min | Max | Mean | Median | SD | Skewness | CV (%) |
|---|---|---|---|---|---|---|---|
| 2019 | 447.86 | 12,904.03 | 8155.47 | 10,100.83 | 3627.79 | −0.45 | 44.48 |
| 2020 | 148.70 | 12,299.61 | 7106.39 | 8833.99 | 4170.78 | −0.49 | 58.69 |
| WJQ | SKS | FJJ | ||||||
|---|---|---|---|---|---|---|---|---|
| SIs | R2 | RMSE (kg ha−1) | SIs | R2 | RMSE (kg ha−1) | SIs | R2 | RMSE (kg ha−1) |
| NDSI (690, 710) | 0.773 | 1842.563 | NDSI (902, 546) | 0.890 | 1102.623 | NDSI (730, 758) | 0.696 | 2224.780 |
| NDSI (690, 706) | 0.738 | 2065.236 | NDSI (902, 550) | 0.877 | 1169.254 | NDSI (730, 798) | 0.668 | 2239.541 |
| NDSI (690, 714) | 0.719 | 2154.235 | NDSI (906, 550) | 0.871 | 1174.236 | NDSI (730, 762) | 0.654 | 2298.251 |
| RSI (678, 710) | 0.689 | 2203.587 | RSI (906, 546) | 0.892 | 1095.245 | RSI (706, 758) | 0.651 | 2230.547 |
| DSI (858, 794) | 0.463 | 1326.741 | DSI (590, 462) | 0.851 | 1503.252 | DSI (698, 922) | 0.726 | 2169.541 |
| DDi | 0.008 | 2772.250 | DDi | 0.629 | 2389.804 | DDi | 0.083 | 2562.750 |
| VOG | 0.208 | 2475.841 | VOG | 0.862 | 1454.887 | VOG | 0.170 | 2438.515 |
| CIre | 0.074 | 2677.032 | CIre | 0.762 | 1913.550 | CIre | 0.116 | 2517.017 |
| NDI | 0.254 | 2403.923 | NDI | 0.827 | 1629.380 | NDI | 0.096 | 2544.796 |
| NDSI | 0.059 | 2699.700 | NDSI | 0.857 | 1481.413 | NDSI | 0.199 | 2395.427 |
| NDRE | 0.038 | 2729.652 | NDRE | 0.639 | 2355.802 | NDRE | 0.101 | 2538.020 |
| Maccioni | 0.086 | 2660.352 | Maccioni | 0.766 | 1902.562 | Maccioni | 0.198 | 2397.110 |
| mND705 | 0.247 | 2415.400 | mND705 | 0.791 | 1794.349 | mND705 | 0.170 | 2437.842 |
Disclaimer/Publisher’s Note: The statements, opinions and data contained in all publications are solely those of the individual author(s) and contributor(s) and not of MDPI and/or the editor(s). MDPI and/or the editor(s) disclaim responsibility for any injury to people or property resulting from any ideas, methods, instructions or products referred to in the content. |
© 2024 by the authors. Licensee MDPI, Basel, Switzerland. This article is an open access article distributed under the terms and conditions of the Creative Commons Attribution (CC BY) license (https://creativecommons.org/licenses/by/4.0/).
Share and Cite
Zhang, Y.; Wang, Y.; Hao, H.; Li, Z.; Long, Y.; Zhang, X.; Xia, C. Unmanned Aerial Vehicle (UAV) Hyperspectral Imagery Mining to Identify New Spectral Indices for Predicting the Field-Scale Yield of Spring Maize. Sustainability 2024, 16, 10916. https://doi.org/10.3390/su162410916
Zhang Y, Wang Y, Hao H, Li Z, Long Y, Zhang X, Xia C. Unmanned Aerial Vehicle (UAV) Hyperspectral Imagery Mining to Identify New Spectral Indices for Predicting the Field-Scale Yield of Spring Maize. Sustainability. 2024; 16(24):10916. https://doi.org/10.3390/su162410916
Chicago/Turabian StyleZhang, Yue, Yansong Wang, Hang Hao, Ziqi Li, Yumei Long, Xingyu Zhang, and Chenzhen Xia. 2024. "Unmanned Aerial Vehicle (UAV) Hyperspectral Imagery Mining to Identify New Spectral Indices for Predicting the Field-Scale Yield of Spring Maize" Sustainability 16, no. 24: 10916. https://doi.org/10.3390/su162410916
APA StyleZhang, Y., Wang, Y., Hao, H., Li, Z., Long, Y., Zhang, X., & Xia, C. (2024). Unmanned Aerial Vehicle (UAV) Hyperspectral Imagery Mining to Identify New Spectral Indices for Predicting the Field-Scale Yield of Spring Maize. Sustainability, 16(24), 10916. https://doi.org/10.3390/su162410916
