Next Article in Journal
Marine Biotechnology for Sustainability of Ecologically Significant Resources
Next Article in Special Issue
The Development of Inland Waterway Transport as a Key to Ensuring Sustainability: A Geographic Overview of the Bucharest–Danube Canal
Previous Article in Journal
Carbon Border Adjustment Mechanism (CBAM) to Tackle Carbon Leakage in the International Fertilizer Trade
Previous Article in Special Issue
Optimizing Maritime Energy Efficiency: A Machine Learning Approach Using Deep Reinforcement Learning for EEXI and CII Compliance
 
 
Font Type:
Arial Georgia Verdana
Font Size:
Aa Aa Aa
Line Spacing:
Column Width:
Background:
Article

Optimal Routing and Sustainable Operation Scheduling of Large Ships with Integrated Full-Electric Propulsion

by
Epameinondas K. Koumaniotis
and
Fotios D. Kanellos
*
School of Electrical and Computer Engineering, Technical University of Crete, 73100 Chania, Greece
*
Author to whom correspondence should be addressed.
Sustainability 2024, 16(23), 10662; https://doi.org/10.3390/su162310662
Submission received: 23 October 2024 / Revised: 25 November 2024 / Accepted: 4 December 2024 / Published: 5 December 2024
(This article belongs to the Special Issue Sustainable Maritime Logistics and Low-Carbon Transportation)

Abstract

The continuously intensified pursuit to reduce emissions related to human activity and the increased competition in maritime sector calls for sustainable and well-planned solutions to conform with environmental constraints and maximize profit, respectively. In a sector that is very critical for human activities, such as the maritime industry, it is essential to be able to reduce ship emissions without increasing the overall cost of operations and the time to transfer the cargo. All these parameters make ship routing and ship emission reduction very crucial. This work examines the effective routing of large ships with an integrated full-electric propulsion system and the optimal power generation scheduling of their generators to attain the minimum possible operational cost. To achieve this, the problem was formulated, modeled and solved in two stages, namely, ship routing and power generation scheduling, respectively. The first stage was solved using the Particle Swarm Optimization (PSO) method and the second one with a conventional optimization algorithm based on the steepest decent concept. The proposed ship routing method is based on the sea resistance concept and the minimization of total ship propulsion energy. The obtained results show that the optimal path is a combination of the minimum distance path and the minimum resistance path. Ship sustainability is reinforced with the reduction in ship operation cost and ship emissions. Ship emission reduction is achieved in the second optimization stage using a suitable emission index that complies with IMO regulations.

1. Introduction

Ship electric propulsion emerged more than 100 years ago, with the construction of the first diesel–electric vessel in 1903 [1]. However, the mass adoption of ship electric propulsion systems still seems difficult to achieve. Ideally, fully electrically powered ships using sustainable energy storage and production assemblies would be the norm, and all of ship subsystems would be electrified for efficient energy transmission. Although there are numerous benefits related to this concept, such as maneuverability enhancements, efficiency increase, emission and noise reduction, it is very expensive. A viable option in this direction is to incorporate diesel engines and use electric propulsion motors to propel the ship. This configuration has some of the benefits mentioned earlier, and it can help to pave the path towards the complete adoption of fully electrically powered ships, as technology advances.
With advancements in weather forecasting, data collection systems and onboard technology have generally advanced, and ship routing has improved, especially on large ships that travel long distances, where even a small fuel consumption reduction results in significant economic profit. Ship routing uses wind and wave data to determine a better path, accounting for factors other than minimizing distance, to reduce the total cost and improve the voyage quality for both the ship and its crew. Ship voyage routing has been researched thoroughly due to the benefits it can give. Outstanding research in this field is referred to next. In [2,3], a grid showing the percentage increase in sea resistance was created by using the Beaufort scale based on wind and wave condition data. Then, an optimization problem was solved to find potential sea routes with minimum total sea resistance. Other methods to reduce fuel consumption by optimizing ship route use dynamic programming [4,5], the modified isochrone method [6,7], the Dijkstra algorithm [8], PSO-Composite Particles [9], multi-objective PSO [10] and the simulated annealing method [11,12]. A thorough review on ship routing can be found in [13,14].
Global energy demand is steadily increasing, due to the increase in human population, coupled with the increased quality of life, which is associated with extensive industrialization and the use of energy-demanding technologies. If no measures are taken, global emissions will also steadily increase. The results of the greenhouse effect have become more prevalent in the last few years, with extended heatwaves, which in turn further increase energy demand; therefore, human activity emissions must be decreased for a sustainable future. Some measures to decrease emissions include better control of electric power consumption individually and collectively, electrification and use of renewable energy sources and cleaner fuels. The first solution is applied usually with the use of an energy management system that can decrease the total energy consumed in a facility, even if it is a building [15,16], a port [17,18,19], or in our case, a ship. The second solution mostly refers to the trend of electrifying the car industry, and, as electric car penetration is accelerated, ships can likewise be propelled using electric motors. All measures mentioned can be applied to a ship.
Ship emissions regulations have been addressed by the corresponding authority, called the International Maritime Organization (IMO). In 1997, Annex VI, called «Regulations for the prevention of air pollution from ships» was added to the International Convention for the Prevention of Pollution from Ships (MARPOL). It specializes in reducing airborne ship emissions. Modern ambitions are to reach 40% in emission reduction by 2030, and at least 70% by 2040 compared to 2008 [20]. These measures are necessary, since forecasts predict that GHG emissions from international shipping could grow between 50% and 250% by 2050, compared to 2012, when the maritime industry accounted for 2.2% of anthropogenic CO2 emissions.
Ship electric propulsion, as with ship routing, has been discussed thoroughly. In [21], optimal power generation scheduling is carried out in all-electric ships by controlling ship speed and the battery system installed on board to limit emissions, with the use of dynamic programming. In [22], the optimized operation of all-electric ships visiting multiple ports in a single voyage while satisfying emission constraints was studied. In [23], the use of fuzzy logic and PSO was investigated in a ship with an integrated full-electric propulsion system. In [24], a comparative analysis was conducted for a ship electric propulsion system. The results showed that for all examined fuels, a controlled fuel distribution between ship engines resulted in less fuel consumption compared to the case where the load was evenly distributed. An extended review on the classes of hybrid propulsion vessels, as well as on several types of energy storage and battery management systems used for ship hybrid propulsion, is given in [25]. As shown in [26], some challenges exist regarding power quality phenomena in electrified vessels. Another work that discusses the power quality phenomena in ships, where the energy system compensates for electric propulsion load fluctuations, is presented in [27]. In [28], ship power demand changes are discussed, and several solutions are given. This work includes the study of battery energy systems and supercapacitors. A comprehensive and modern review of the challenges and the feasibility of electrifying ships is given in [29]. Also, the latest developments in hybrid electric propulsion systems offered by leading maritime market manufacturers are mentioned in the above-mentioned work.
Research focusing on the routing of electrically propelled ships is limited. In [2], the modeling of all-electric ships that involve lithium battery energy systems, diesel generators, cold ironing facilities and potential vessel routes is examined. Cold ironing is a method used to electrically connect the ship to the shore grid during port calls. In [3], voyage planning and voltage regulation while the ship is at the port and connected to the seaport microgrid is performed.
In this paper, a simple and time-efficient approach, while effective and detailed, is presented. It is supposed that the minimum sea resistance path is a priori known. The most economical route, which is a combination of the minimum distance path and the minimum sea resistance path, is derived. Once ship propulsion power and ship speed profiles are found, detailed ship power generation scheduling is performed.
Ship routing optimization is very scarce for ships with integrated full-electric propulsion. Moreover, gas emission limitations based on real-time evaluation of generic gas emission assessment indices have not been found to be applied in ship optimal routing problems. This is very critical as IMO dictates new regulations that consider more and more environmentally friendly ship operations. Moreover, optimal ship routing optimization methods with low computational requirements cannot be found easily in the literature. The proposed method is very fast and does not require a large computation capacity. Hence, it is ideal for sensitivity analysis and for the stochastic optimization of ship routes.
The innovative points of our work are centered on the following points:
  • The proposed method introduces a two-step optimization process for joint ship routing and the power generation scheduling of ships with integrated full-electric propulsion systems.
  • Gas emission limitations based on real-time evaluation of generic gas emission assessment indices are included in the proposed method.
  • The proposed method does not require a large computation capacity and is ideal for sensitivity analysis and ship routing stochastic optimization.
  • The proposed method is fully parametric and generic, allowing for easy extension and examination of different or relative problems, e.g., consideration of new constraints, extension to consider ship travels with multiple port visits, inclusion of energy storage systems in ship operation, etc.
The article is structured as follows. The equations modeling ship routing and ship power generation scheduling, as well as the respective optimization problems, are given in Section 2. In Section 3, the results obtained by the solution of the examined problem are presented. The final section discusses the results of this work and provides general conclusions and directions for future research.

2. Formulation of Optimal Routing and Power Generation Scheduling Problems

The examined problem is tackled with the formulation of two optimization problems. In Section 2.1, the optimization problem which finds the ship velocity vector that minimizes the total voyage propulsion energy is proposed. The optimal electric power generation dispatch is presented in Section 2.2, to attain the minimum operational cost, based on environmental and technical limitations.

2.1. Routing Optimization Problem

Sea resistance is represented on a two-dimensional plane. This plane is divided into cells of fixed total resistance. Given that the sea resistance of every cell is known, the minimum resistance path can be found. Given the start and destination points of a ship voyage, along with known voyage time, sea resistance and minimum and maximum velocity values, the ship’s velocity time series can be found (both speed and direction). The ship’s voyage is divided into equal intervals of duration dt, as shown in Figure 1.
In each time interval, ship speed and ship direction are considered constant. The derived ship velocity time series minimizes the total electric energy needed to propel the ship. The velocity vector is estimated in this work using a PSO algorithm. From the obtained ship velocity vector, the ship voyage trajectory can be drawn. With ship speed known, ship propulsion power can be approximated, using the following equation:
P P r o p j = c 1 V j c 2 c R k , j
where V j is the ship speed at the j-th time interval, c 1 is a constant used to adjust the ship speed to its propulsion power, c R k , j is the ship propulsion power increase coefficient inside the k-th grid cell and at the j-th time interval and c 2 is a constant that depends on the type of the ship. For high-speed vessels like containerships, c 2 is taken equal to 4 [30]. The j-th time interval is j d t , j + 1 d t , where d t is the duration of the j-th time interval.
The objective function shown next aims to minimize the ship’s total voyage propulsion energy.
o f 1 = j = d t T P P r o p j d t
where T denotes the planning horizon.
The constraints of the optimization problem are given below. First, the ship must conclude the voyage at the specified destination point, starting from an also specified initial point, within the predefined optimization period. Hence, the ship must reach its destination coordinates in both the x and y axes at the end of the optimization period.
x s t a r t + j = d t T V j c o s V j d t = x e n d
y s t a r t + j = d t T V j s i n V j d t = y e n d
where x s t a r t (and y s t a r t , respectively) is the x-coordinate (y-coordinate) of the ship voyage starting point, V j is velocity direction at the j-th time interval and x e n d ( y e n d ) is the x-coordinate (y-coordinate) of ship’s destination point.
In addition, the destination point must be reached with the ship speed not taking any values that are not feasible. Hence, the following constraints should be applied.
V m i n V j V m a x , j
V m i n V j V m a x , j
where V m i n ( V m a x ) is the minimum (maximum) ship speed and V m i n ( V m a x ) is the minimum (maximum) allowed ship velocity angle.
The PSO method is used to solve the optimization problem described above. It is one of the most efficient metaheuristic methods. PSO has been proven effective in complex optimization problems. The ability of PSO to approximate near-optimal solutions efficiently makes it suitable for the ship routing problem. It is so efficient that in most examined problems, it will converge on a sufficient solution without the need of initializing the optimization vector. The vector of the decision variables (ship speed and direction) and the way it is included in the particle of the PSO method is shown in Figure 2. A full description of the search steps PSO takes is given in Figure 3.

2.2. Ship Power Generation Scheduling Problem

After PSO has converged to the ship velocity vector that minimizes the electric propulsion energy, the next step is to find the most economical power generation schedule. To obtain the most economical solution, a proper objective function is constructed. This objective function considers the fuel consumption of each generator and its corresponding fuel cost. Fuel cost is modeled using a constant parameter that converts fuel consumption into monetary units. The fuel consumption of the i-th generator can be approximated with sufficient accuracy by a second-order polynomial, as shown in (7).
F C i , j = α 1 i P G 2 i , j + α 2 i P G i , j + α 3 i
where α 1 i , α 2 i and α 3 i are the coefficients of the fuel consumption curve of the i-th generator and P G i , j is the power produced by the i-th generator at the j-th time interval. Having defined fuel consumption, the objective function that minimizes the total ship operation cost is the following:
o f 2 = j = d t T i = 1 N G F u e l _ C o s t i S t i , j F C i , j d t + T C i , j
where N G is the number of generators installed, F u e l _ C o s t i is the cost of the fuel used by the i-th generator (measured in m.u./kg), S t i , j is a Boolean variable indicating whether the i-th generator is working (=1) at the j-th time interval or is shut down (=0), F C i , j is the fuel consumption curve of the i-th generator at the j-th time interval (measured in kg/h), d t is the duration of each time interval and T C i , j is the transition cost of the i-th generator operation state to another (either O N O F F or O F F O N ) at the j-th time interval.
The constraints of the examined optimization problem are given next.
Ship power production should be in balance with the ship’s electric load at any given time.
i = 1 N G P G i , j = P P r o p j + P S e r v i c e j , j
where P P r o p j is the ship propulsion load at the j-th time interval and P S e r v i c e j is the power demand of ship’s service load at the j-th time interval.
The generators should not alternate their state of operation very frequently.
t O N i t O F F i T O F F , m i n i , i 1 , N G
t O F F i t O N i T O N , m i n i , i 1 , N G
where t O N i ( t O F F i ) is the time at which the i-th generator was switched on (and off, respectively) and T O N , m i n i ( T O F F , m i n i ) is the minimum allowed time for the i-th generator to remain on (and off, respectively) before changing the state of operation.
Generators must operate within their technical power limits.
P G , m i n i P G i , j P G , m a x i , i 1 , N G , j
where P G , m i n i ( P G , m a x i ) is the minimum (maximum) power the i-th generator can produce.
The Energy Efficiency Operation Index ( E E O I ) should be kept below the upper limit, E E O I m a x .
E E O I j E E O I m a x , j
where E E O I j is the emission index at the j-th time interval and E E O I m a x is the maximum allowed EEOI value.
EEOI is a way to measure ship emissions for voluntary use [31]. It is calculated as in the following:
E E O I j = i = 1 N G c F i S t i , j F C i , j m c a r g o D j
where D j is the distance traveled by the ship (measured in nm) at the j-th time interval, c F i is a coefficient for the transformation of fuel consumption of the i-th generator to polluting emissions [32] and m c a r g o is the mass of the ship cargo (measured in tn).
The optimal power generation scheduling problem is solved using the in-built functions of the MATLAB R2023a optimization tool. It is a robust and well-established gradient-based optimization tool that efficiently handles constrained optimization problems. Compared to other complex optimization methods, such as sequential quadratic programming (SQP) or interior-point algorithms implemented in other software, the MATLAB optimization tool provides a comprehensive framework that supports various algorithms (including SQP, interior-point and active-set) under a unified interface, making it highly versatile and customizable for this problem.

3. Simulation Results

A 154,000 tn containership, which must arrive at its destination after exactly 12 h of travel, is examined in this paper. The duration of every j-th time interval, d t , is set to 30 min. The main specifications of generators on board and general ship and sea characteristics are portrayed in Table 1.
For illustration purposes and better understanding of which generator is the most economical for a specified power value, the specific fuel cost of each generator is given in Figure 4.
Sea resistance is represented on a two-dimensional plane with the maximum x-axis value equal to 235 nm and the maximum y-axis value equal to 100 nm. This plane is divided into a 50 × 50 cell grid, as shown in Figure 5. Each cell has a fixed sea resistance. The start and destination points are also shown, along with the voyage trajectory that has the minimum sea resistance (the path on which the ship would have encountered the minimum rough weather).
For every cell of the grid, a sea resistance coefficient dependent on the minimum distance from the minimum resistance path is computed. For the k-th cell (measured from the top left and moving right and downwards), the corresponding variable is denoted as distance (k). In this case study, it was assumed that the resistance of the k-th cell is calculated as in the following:
  c R k = m 1 m 2 d i s t a n c e k m a x _ d i s t a n c e + m 3
where c R k is sea resistance coefficient of the k-th grid cell, distance (k) is the distance of the k-th cell from the minimum sea resistance path, max_distance is the distance between the furthest grid cell center from the minimum sea resistance path and m 1 , m 2 and m 3 are parameters for adjusting the result to rational values. c R k is a dimensionless variable that models the increase in propulsion energy needed to propel the ship, when the ship is inside the k-th cell. Every grid cell is assigned to a sea resistance coefficient c R k that attains values in [1, 2]. A value of 1 indicates that the weather conditions are perfect, while when sea resistance coefficient value is 2, this means that the adverse weather conditions double the required propulsion power.
In Figure 6, sea resistance is given in a colored 3D plot. Sea resistances in every grid cell were calculated by finding the distances of the grid cell centers from the minimum sea resistance path, as explained previously. Therefore, it is apparent that the areas that are furthest away from the minimum sea resistance path have the largest sea resistance.
Ship total electric power demand is divided into two categories: the power related to the propulsion load (i.e., the electric motors that propel the ship) and the power related to the rest of ship’s electric loads, denoted as the service load. The ship service load is known for the examined ship voyage and is shown in Figure 7.
The solution of the first optimization problem described in Equations (2)–(6) resulted in the ship route given in Figure 8, shown in magenta. For comparison, the minimum distance path (red trajectory) and the minimum sea resistance path (cyan trajectory) are also shown in Figure 8. These three ship routes will be assessed next by optimally scheduling the operation of ship generators for all these three scenarios and the results will be compared. The minimum traveled distance path is simply the straight line that connects the start and destination points of the ship and corresponds to the Euclidean distance between these two points. The minimum sea resistance path is the one that is also illustrated in Figure 5. It can be clearly seen that the optimal ship routing path is somewhat following the minimum sea resistance path. The minimum sea resistance path was deliberately chosen to differ from the Euclidean distance path connecting the start and destination points. If sea resistance was constant on the examined plane, the minimum ship operation cost would be obtained by sailing on the Euclidean distance route. Due to the fluctuations of sea resistance inside the examined sea plane, the optimal path is not the minimum traveled distance path, but neither is it the minimum sea resistance path, because this path increases the total traveled distance. The optimal path follows partially the minimum sea resistance path, while also not diverging significantly from the minimum traveled distance path.

3.1. Optimal Route (Scenario 1)

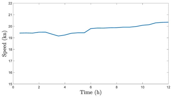
The solution of the optimization problem in (2)–(6) returns the velocity of the ship. The magnitude of ship velocity, which is the speed of the ship, is shown in Figure 9. Ship speed fluctuations are minimal. This is a good result, because increasing and decreasing the speed of the ship results in a drastic increase/decrease in the total power consumption, especially since the propulsion power is proportional to the fourth power of ship speed.
The required propulsion power is shown in Figure 10. Ship propulsion power has a similar behavior to the speed of the ship, but they are not analogous quantities, because sea resistance varies during ship voyage. Since the optimal route does not diverge significantly from the minimum sea resistance path, the propulsion power also does not show extreme fluctuations.
The second optimization problem given in Equations (8)–(13) deals with the optimal ship power generation scheduling. The results obtained for the first examined scenario are shown in Figure 11. EEOI per time interval and its maximum value are also illustrated. Emission compliance and power generation–load balance are satisfied with the use of only the two low-cost generators on board. The more environmentally friendly generators need not be turned on in this scenario. The total cost of this scenario is 41,716 m.u.

3.2. Minimum Distance Route (Scenario 2)

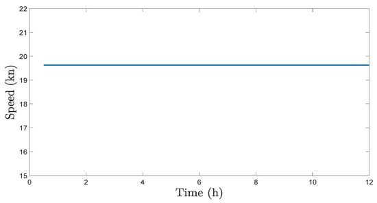
In this scenario, the ship is following the straight line connecting start and destination of ship voyage. The ship does not optimize its speed as it has the same average speed during the examined voyage, as can be seen in Figure 12. This is the scenario with the least total distance traveled.
The corresponding ship propulsion power is given in Figure 13. As stated previously, ship propulsion power does not have an identical behavior to ship speed, because sea resistance is affecting the required ship propulsion power. At the final stages of ship voyage, when the ship is approaching the minimum resistance path, ship propulsion power is decreased, as expected.
In Figure 14, the optimal ship power generator operation scheduling is illustrated. Compared to the first scenario, the third generator is turned on at the peak of power demand. This high-cost but low-emission generator maintains the EEOI below the desired level. The total ship operation cost of Scenario 2 is 44,053 m.u.

3.3. Minimum Resistance Route (Scenario 3)

In this final scenario, the ship route coincides with the minimum sea resistance path. The ship speed required to track the minimum resistance path is shown in Figure 15. The increased ship speed values at the start of the voyage along with the peak in service load in this time interval result in a high power demand at this time interval.
The respective ship propulsion power is given in Figure 16. It is evident that ship speed and propulsion power are of similar form in this scenario, since sea resistance coefficients are all equal to 1. An important thing to note is that the one-knot-on-average increase in speed at the start of the voyage results in an average increase in propulsion power of approximately 7 MW. Such a high increase was expected, since propulsion power is proportional to the fourth power of ship speed.
Ship generators’ optimal power generation scheduling can be seen in Figure 17. The initial increased ship speed combined with the increased service load in the first time intervals of the ship voyage result in a significant increase in power demand. To cover this increased power demand while also keeping ship emissions below the maximum allowed EEOI value, all high-cost, low-emission generators are turned on. The total ship operation cost obtained in this scenario is 47,670 m.u.
Some critical insights into the above results are listed below:
  • PSO was successful in finding a route that lowered the total ship propulsion energy of the ship. The propulsion energy needed in the first case was 364,225 kWh. The propulsion energy for the minimum distance path was calculated at 378,595 kWh, while the minimum resistance path was calculated at 391,208 kWh. The minimum distance case noted a 3.95% increase in propulsion energy, due to trespassing areas of high resistance. The minimum resistance path had the largest length out of all other cases, noting a 7.41% increase in propulsion energy consumption compared to the first case.
  • The cost savings of the total voyage were calculated at 5.3% and 12.49%, respectively, comparing the proposed methodology with the minimum distance and minimum resistance paths.

3.4. Effect of Heavy Marine Traffic in Ship Routing

To further present the prowess of the PSO algorithm, the following experiment was conducted. The sea plane now notes heavy marine traffic in an area that the previously found route does not trespass. Due to this congestion, the ship should not pass from the area given in yellow dots. The results of solving optimization problems (2)–(6) with this new constraint are given in Figure 18.
The route that considers the marine traffic is shown in near-white color. The ship successfully bypasses the traffic while also noting similarities between the minimum distance and the minimum resistance path. Of course, if the traffic did not exist, the optimal route would be the magenta route, since the white route resulted in a 3.92% increase in the total electric energy needed for the electric propulsion motors, compared to the magenta route. This result is very important; it signals that PSO has found a solution better than the minimum distance path, even though there was heavy marine traffic inside the sea plane.

3.5. Ship Routing Sensitivity Analysis

Sensitivity analysis should be conducted to observe the behavior of the metaheuristic algorithm in different case studies. For this, optimization problems (2)–(6) were solved several times, by changing the starting position of the ship in every case study. All different routes are given in Figure 19. The starting position of the main case study and the common destination point are given in black and green dots, respectively.
It is evident that starting points that are higher on the y-axis than the minimum resistance path reduce their y-axis position to align with it. With uniform resistance throughout the sea plane, the optimal solution would be the minimum distance path connecting the start and destination points in a straight line. A characteristic example of this is the case of the starting point with coordinates [0, 70]; its y-axis coordinate is very close to the destination point at [233.9, 68], but PSO identifies a route with a smaller resistance and lowers the y-coordinate to even less than 54 nm along the route, and then almost follows the minimum resistance path, to reduce the electric propulsion energy to reach the destination point.

4. Conclusions

In this paper, optimal routing and power generation scheduling methods for large, electrically propelled ships are proposed. Sea resistance is considered known on the two-dimensional plane on which the ship travels. The optimal ship route is generally different from the minimum distance path, which corresponds to the straight line connecting the start and destination points of the ship, as the shortest path may involve harsh sea conditions with increased resistance. Moreover, the optimal ship route is different from the minimum sea resistance path, because this path is lengthier than the shortest path, which in turn makes the ship increase its speed significantly to reach its destination within the predefined time and increases the propulsion power requirements. The optimal path may be close to the shortest path, but it comprises easier and less resistant sea areas with better travel conditions to exploit. The results obtained show exactly what was previously mentioned; that is, the optimal path is a combination of the minimum distance and the minimum sea resistance paths. The optimal path resulted in a lower total electric power consumption for propulsion, compared to the minimum distance and minimum sea resistance paths. The most economical operation is the one that minimizes the propulsion energy needed to accomplish the voyage in the desired time horizon, and at the same time dispatches optimally the required electric power demand to the generators on board. Hence, after the computation of the route that minimizes the total electric energy for propulsion, the optimal electric power dispatch is performed, for all three routes examined, for comparison purposes. Comparing the optimal path scenario to the minimum distance scenario, the cost savings were calculated to be at 5.3%, whereas compared to the minimum sea resistance scenario, the cost savings reached 12.49%. A total cost reduction of 5.3% is a very good indicator that the ship routing algorithms are effective; this cost reduction percentage may result in large amounts of profit for a shipping company, considering the number of ships owned by the company, the utilization factor of every ship and the size of each ship.
Further research could investigate the combined routing and ship speed scheduling by incorporating real-time data of wind and weather conditions to calculate in real time the minimum resistance path for the examined sea plane. Additionally, integrating an energy storage system could enhance energy management and incorporate renewable energy sources for more sustainable operations. However, for large vessels undertaking long voyages, excluding conventional engine-based prime movers is impractical due to the limitations in the size of marine-type energy storage systems and the increased costs associated with their installation and maintenance. Such energy storage systems would need to operate in parallel with the main power generation system.

Author Contributions

Conceptualization, F.D.K.; Methodology, E.K.K. and F.D.K.; Software, E.K.K.; Validation, E.K.K.; Formal analysis, F.D.K.; Investigation, E.K.K. and F.D.K.; Resources, F.D.K.; Writing—original draft, E.K.K.; Writing—review & editing, F.D.K. All authors have read and agreed to the published version of the manuscript.

Funding

This research received no external funding.

Institutional Review Board Statement

Not applicable.

Informed Consent Statement

Not applicable.

Data Availability Statement

Data is contained within the article.

Conflicts of Interest

The authors declare no conflict of interest.

References

  1. Skjong, E.; Rødskar, E.; Molinas, M.; Johansen, T.A.; Cunningham, J. The Marine Vessel’s Electrical Power System: From its Birth to Present Day. Proc. IEEE 2015, 103, 2410–2424. [Google Scholar] [CrossRef]
  2. Hein, K.; Xu, Y.; Wilson, G.; Gupta, A.K. Coordinated Optimal Voyage Planning and Energy Management of All-Electric Ship With Hybrid Energy Storage System. Proc. IEEE Trans. Power Syst. 2021, 36, 2355–2365. [Google Scholar] [CrossRef]
  3. Sun, X.; Qiu, J.; Tao, Y.; Liu, H.; Zhao, J. Customized Coordinated Voltage Regulation and Voyage Scheduling for All-Electric Ships in Seaport Microgrids. Proc. IEEE Trans. Sustain. Energy 2024, 15, 1515–1527. [Google Scholar] [CrossRef]
  4. Zaccone, R.; Ottaviani, E.; Figari, M.; Altosole, M. Ship voyage optimization for safe and energy-efficient navigation: A dynamic programming approach. Ocean Eng. 2018, 153, 215–224. [Google Scholar] [CrossRef]
  5. Shao, W.; Zhou, P.; Thong, S.K. Development of a novel forward dynamic programming method for weather routing. J. Mar. Sci. Technol. 2012, 17, 239–251. [Google Scholar] [CrossRef]
  6. Hagiwara, H.; Spaans, J.A. Practical Weather Routing of Sail-assisted Motor Vessels. J. Navig. 1987, 40, 96–119. [Google Scholar] [CrossRef]
  7. Fang, M.-C.; Lin, Y.-H. The optimization of ship weather-routing algorithm based on the composite influence of multi-dynamic elements (II): Optimized routings. Appl. Ocean Res. 2015, 50, 130–140. [Google Scholar] [CrossRef]
  8. Sen, D.; Padhy, C.P. An approach for development of a ship routing algorithm for application in the North Indian Ocean region. Appl. Ocean Res. 2015, 50, 173–191. [Google Scholar] [CrossRef]
  9. De, A.; Mamanduru, V.K.R.; Gunasekaran, A.; Subramanian, N.; Tiwari, M.K. Composite particle algorithm for sustainable integrated dynamic ship routing and scheduling optimization. Comput. Ind. Eng. 2016, 96, 201–215. [Google Scholar] [CrossRef]
  10. Wen, S.; Jin, X.; Zheng, Y.; Wang, M. Probabilistic Coordination of Optimal Power Management and Voyage Scheduling for All-Electric Ships. Proc. IEEE Trans. Transp. Electrif. 2024, 10, 3661–3669. [Google Scholar] [CrossRef]
  11. Kosmas, O.T.; Vlachos, D.S. Simulated annealing for optimal ship routing. Comput. Oper. Res. 2012, 39, 576–581. [Google Scholar] [CrossRef]
  12. Fan, H.; Yu, J.; Liu, X. Tramp Ship Routing and Scheduling with Speed Optimization Considering Carbon Emissions. Sustainability 2019, 11, 6367. [Google Scholar] [CrossRef]
  13. Psaraftis, H.N.; Kontovas, C.A. Ship speed optimization: Concepts, models and combined speed-routing scenarios. Transp. Res. Part C Emerg. Technol. 2014, 44, 52–69. [Google Scholar] [CrossRef]
  14. Christiansen, M.; Fagerholt, K.; Nygreen, B.; Ronen, D. Ship routing and scheduling in the new millennium. Eur. J. Oper. Res. 2013, 228, 467–483. [Google Scholar] [CrossRef]
  15. Kyriakou, D.G.; Kanellos, F.D. Optimal Operation of Microgrids Comprising Large Building Prosumers and Plug-in Electric Vehicles Integrated into Active Distribution Networks. Energies 2022, 15, 6182. [Google Scholar] [CrossRef]
  16. Ma, Y.; Li, B. Hybridized Intelligent Home Renewable Energy Management System for Smart Grids. Sustainability 2020, 12, 2117. [Google Scholar] [CrossRef]
  17. Lam, J.S.L.; Ko, M.J.; Sim, J.R.; Tee, Y. Feasibility of implementing energy management system in ports. In Proceedings of the 2017 IEEE International Conference on Industrial Engineering and Engineering Management (IEEM), Singapore, 10–13 December 2017; pp. 1621–1625. [Google Scholar]
  18. Teng, F.; Zhang, Q.; Xiao, G.; Ban, Z.; Liang, Y.; Guan, Y. Energy Management for a Port Integrated Energy System Based on Distributed Dual Decomposition Mixed Integer Linear Programming. J. Mar. Sci. Eng. 2023, 11, 1137. [Google Scholar] [CrossRef]
  19. Iris, Ç.; Lam, J.S.L. A review of energy efficiency in ports: Operational strategies, technologies and energy management systems. Renew. Sustain. Energy Rev. 2019, 112, 170–182. [Google Scholar] [CrossRef]
  20. IMO. Strategy on Reduction of GHG Emissions from Ships. Available online: https://www.imo.org/en/OurWork/Environment/Pages/2023-IMO-Strategy-on-Reduction-of-GHG-Emissions-from-Ships.aspx (accessed on 22 October 2024).
  21. Kanellos, F.D. Optimal Power Management With GHG Emissions Limitation in All-Electric Ship Power Systems Comprising Energy Storage Systems. Proc. IEEE Trans. Power Syst. 2014, 29, 330–339. [Google Scholar] [CrossRef]
  22. Kanellos, F.D.; Tsekouras, G.J.; Hatziargyriou, N.D. Optimal Demand-Side Management and Power Generation Scheduling in an All-Electric Ship. Proc. IEEE Trans. Sustain. Energy 2014, 5, 1166–1175. [Google Scholar] [CrossRef]
  23. Kanellos, F.D.; Anvari-Moghaddam, A.; Guerrero, J.M. A cost-effective and emission-aware power management system for ships with integrated full electric propulsion. Electr. Power Syst. Res. 2017, 150, 63–75. [Google Scholar] [CrossRef]
  24. Martinić-Cezar, S.; Jurić, Z.; Assani, N.; Lalić, B. Optimization of Fuel Consumption by Controlling the Load Distribution between Engines in an LNG Ship Electric Propulsion Plant. Energies 2024, 17, 3718. [Google Scholar] [CrossRef]
  25. Kolodziejski, M.; Michalska-Pozoga, I. Battery Energy Storage Systems in Ships’ Hybrid/Electric Propulsion Systems. Energies 2023, 16, 1122. [Google Scholar] [CrossRef]
  26. Barros, J.; Diego, R.I. A review of measurement and analysis of electric power quality on shipboard power system networks. Renew. Sustain. Energy Rev. 2016, 62, 665–672. [Google Scholar] [CrossRef]
  27. Ma, S.; Ding, Y.; Liu, G.; Sui, C.; Xiang, L. Effects of adverse sea conditions on the dynamic performance of a cruise ship integrated power system. Ocean Eng. 2024, 310, 118715. [Google Scholar] [CrossRef]
  28. Camara, M.B.; Dakyo, B. Coordinated Control of the Hybrid Electric Ship Power-Based Batteries/Supercapacitors/Variable Speed Diesel Generator. Energies 2023, 16, 6666. [Google Scholar] [CrossRef]
  29. Bei, Z.; Wang, J.; Li, Y.; Wang, H.; Li, M.; Qian, F.; Xu, W. Challenges and Solutions of Ship Power System Electrification. Energies 2024, 17, 3311. [Google Scholar] [CrossRef]
  30. MAN Diesel & Turbo. Basic Principles of Ship Propulsion; MAN Diesel & Turbo: Augsburg, Germany, 2012. [Google Scholar]
  31. IMO. Guidelines for Voluntary Use of the Ship Energy Efficiency Operational Indicator (EEOI). Available online: https://www.imorules.com/GUID-7DEA8EBF-32B8-4EDE-B674-A61B22B16AC3.html (accessed on 22 October 2024).
  32. IMO. Fourth IMO GHG Study (Full Report). Available online: https://www.imo.org/en/OurWork/Environment/Pages/Fourth-IMO-Greenhouse-Gas-Study-2020.aspx (accessed on 22 October 2024).
Figure 1. Ship route and velocity.
Figure 1. Ship route and velocity.
Sustainability 16 10662 g001
Figure 2. PSO decision variable form.
Figure 2. PSO decision variable form.
Sustainability 16 10662 g002
Figure 3. Description of PSO search steps.
Figure 3. Description of PSO search steps.
Sustainability 16 10662 g003
Figure 4. Specific fuel cost of ship generators.
Figure 4. Specific fuel cost of ship generators.
Sustainability 16 10662 g004
Figure 5. Two-dimension cell grid of sea plane and minimum sea resistance path.
Figure 5. Two-dimension cell grid of sea plane and minimum sea resistance path.
Sustainability 16 10662 g005
Figure 6. Sea resistance in a 3D plot.
Figure 6. Sea resistance in a 3D plot.
Sustainability 16 10662 g006
Figure 7. Ship service load with respect to time.
Figure 7. Ship service load with respect to time.
Sustainability 16 10662 g007
Figure 8. Optimized routing path, along with minimum resistance path, minimum (Euclidean) distance path, sea resistance and start and destination points.
Figure 8. Optimized routing path, along with minimum resistance path, minimum (Euclidean) distance path, sea resistance and start and destination points.
Sustainability 16 10662 g008
Figure 9. Ship speed with respect to time (Scenario 1).
Figure 9. Ship speed with respect to time (Scenario 1).
Sustainability 16 10662 g009
Figure 10. Ship propulsion power with respect to time (Scenario 1).
Figure 10. Ship propulsion power with respect to time (Scenario 1).
Sustainability 16 10662 g010
Figure 11. Generator power productions, ship load and EEOI (Scenario 1).
Figure 11. Generator power productions, ship load and EEOI (Scenario 1).
Sustainability 16 10662 g011
Figure 12. Ship speed with respect to time (Scenario 2).
Figure 12. Ship speed with respect to time (Scenario 2).
Sustainability 16 10662 g012
Figure 13. Ship propulsion power with respect to time (Scenario 2).
Figure 13. Ship propulsion power with respect to time (Scenario 2).
Sustainability 16 10662 g013
Figure 14. Generator power productions, ship load and EEOI (Scenario 2).
Figure 14. Generator power productions, ship load and EEOI (Scenario 2).
Sustainability 16 10662 g014
Figure 15. Ship speed with respect to time (Scenario 3).
Figure 15. Ship speed with respect to time (Scenario 3).
Sustainability 16 10662 g015
Figure 16. Ship propulsion power with respect to time (Scenario 3).
Figure 16. Ship propulsion power with respect to time (Scenario 3).
Sustainability 16 10662 g016
Figure 17. Generator power productions, ship load and EEOI (Scenario 3).
Figure 17. Generator power productions, ship load and EEOI (Scenario 3).
Sustainability 16 10662 g017
Figure 18. Rerouting due to heavy marine traffic.
Figure 18. Rerouting due to heavy marine traffic.
Sustainability 16 10662 g018
Figure 19. Sensitivity analysis of the routing problem with respect to the ship’s starting point.
Figure 19. Sensitivity analysis of the routing problem with respect to the ship’s starting point.
Sustainability 16 10662 g019
Table 1. General ship and sea characteristics.
Table 1. General ship and sea characteristics.
Gen1Gen2Gen3Gen4Gen5Gen6
P G , m a x (MW)202010101010
P G , m i n (MW)442222
T O N , m i n / T O F F , m i n (h)2/22/22/22/22/22/2
Generators start/stop cost (m.u.)200/200200/200200/200200/200200/200200/200
Fuel consumption coefficients
α 1 i 0.93791.0651.4482.859−1.171−0.7415
α 2 i 142.5137144128173.6170.6
α 3 i 63.9183.56118.8147.4100104.3
Other ship parameters
TypeMin (Max) speedMinimum (maximum) resistance coefficient E E O I m a x
g C O 2 / t n n m
Deadweight tonnage (tn)
Containership16–241 (2)6.7154,000
Sea state coefficients
m 1 = 1 m 2 = 2 m 3 = 0
Disclaimer/Publisher’s Note: The statements, opinions and data contained in all publications are solely those of the individual author(s) and contributor(s) and not of MDPI and/or the editor(s). MDPI and/or the editor(s) disclaim responsibility for any injury to people or property resulting from any ideas, methods, instructions or products referred to in the content.

Share and Cite

MDPI and ACS Style

Koumaniotis, E.K.; Kanellos, F.D. Optimal Routing and Sustainable Operation Scheduling of Large Ships with Integrated Full-Electric Propulsion. Sustainability 2024, 16, 10662. https://doi.org/10.3390/su162310662

AMA Style

Koumaniotis EK, Kanellos FD. Optimal Routing and Sustainable Operation Scheduling of Large Ships with Integrated Full-Electric Propulsion. Sustainability. 2024; 16(23):10662. https://doi.org/10.3390/su162310662

Chicago/Turabian Style

Koumaniotis, Epameinondas K., and Fotios D. Kanellos. 2024. "Optimal Routing and Sustainable Operation Scheduling of Large Ships with Integrated Full-Electric Propulsion" Sustainability 16, no. 23: 10662. https://doi.org/10.3390/su162310662

APA Style

Koumaniotis, E. K., & Kanellos, F. D. (2024). Optimal Routing and Sustainable Operation Scheduling of Large Ships with Integrated Full-Electric Propulsion. Sustainability, 16(23), 10662. https://doi.org/10.3390/su162310662

Note that from the first issue of 2016, this journal uses article numbers instead of page numbers. See further details here.

Article Metrics

Back to TopTop