Evaluation of Changes in Land Use and Their Influence on Ecological Stability of a Selected Area of the Dolný Spiš Region (Slovakia)
Abstract
1. Introduction
2. Study Area
3. Materials and Methods
- (a)
- CES calculation according to Miklós methodology-modified:
- (b)
- CES calculation according to the Míchal methodology, as follows:
- (c)
- CES calculation according to Löw methodology, as follows:
4. Results
4.1. Use of Agricultural Land Evaluated According to CLS and Its Comparison with Land Cover 1990 CLC
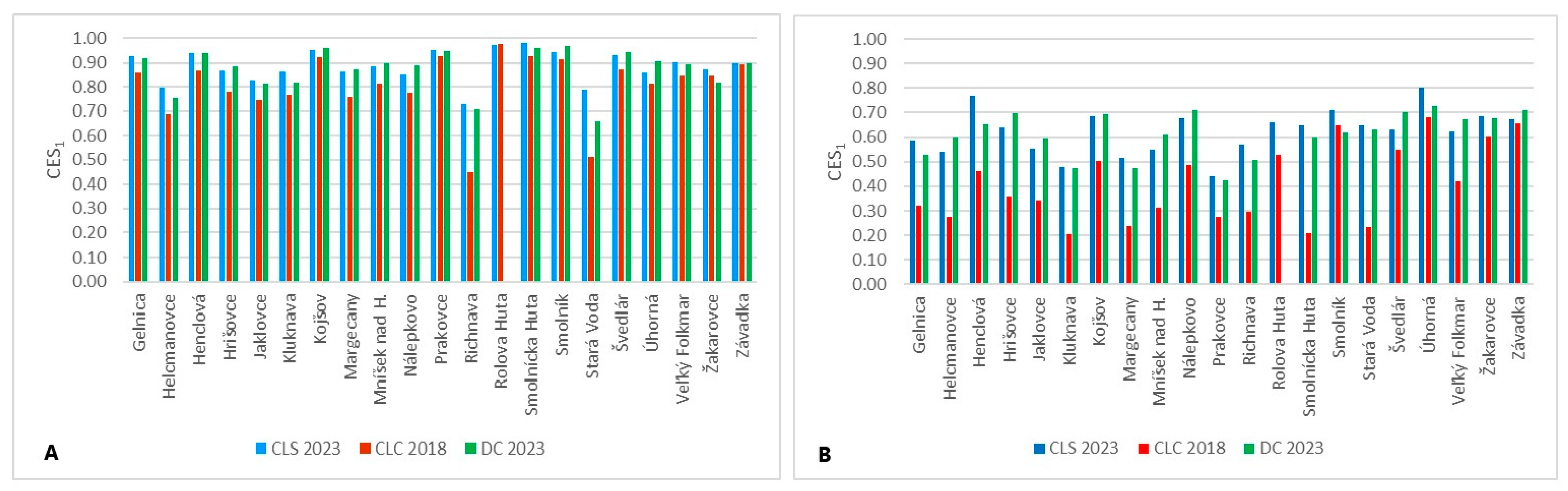
4.2. Evaluation of Ecological Stability According to CLS, CLC, and DC
5. Discussion
6. Conclusions
Author Contributions
Funding
Institutional Review Board Statement
Informed Consent Statement
Data Availability Statement
Conflicts of Interest
References
- Boltižiar, M.; Michaeli, E.; Mojses, M. Development of the landscape in the research polygon of the Beša dry polder on the East Slovak plain between 1770–2008. Folia Geogr. 2012, 20, 23–36. (In Slovak) [Google Scholar]
- Nováček, J.; Kopecká, M.; Oťahel, J.; Feranec, J. Assessment of land cover changes in Slovakia using CORINE Land Cover data. Životné Prostr. 2019, 53, 88–90. (In Slovak) [Google Scholar]
- Blažík, T.; Falťan, V.; Tarasovicová, Z.; Saksa, M. Land use changes in chosen districts of various productive agricultural regions in the context of transformational processes. Geogr. Časopis 2011, 4, 301–323. (In Slovak) [Google Scholar]
- Gbenga, A.A.; Lwandile, N.; Ahmed Mukalazi, K.; Celso, A.G.S.; Israel, R.O.; Vincent, N.O.; Humphrey, K.T.; Phila, S. Global trend assessment of land use and land cover changes: A systematic approach to future research development and planning. J. King Saud Univ.-Sci. 2024, 36, 103262. [Google Scholar] [CrossRef]
- Espinoza-Guzmán, M.A.; Borrego, D.A.; Sahagún-Sánchez, F.J. Evaluation of recent land-use and land-cover change in a mountain region. J. Trees For. People 2023, 11, 100370. [Google Scholar] [CrossRef]
- Baig, M.F.; Mustafa, M.R.U.; Baig, I.; Takaijudin, H.B.; Zeshan, M.T. Assessment of Land Use Land Cover Changes and Future Predictions Using CA-ANN Simulation for Selangor, Malaysia. Water 2022, 14, 402. [Google Scholar] [CrossRef]
- Yang, Y.; Ma, E.; Liao, L.; Wu, M. Land Use Change in a Typical Transect in Northern China and Its Impact on the Ecological Environment. Sustainability 2024, 16, 9291. [Google Scholar] [CrossRef]
- Xia, X.; Liang, W.; Lv, S.; Pan, Y.; Chen, Q. Remote Sensing Identification and Stability Change of Alpine Grasslands in Guoluo Tibetan Autonomous Prefecture, China. Sustainability 2024, 16, 5041. [Google Scholar] [CrossRef]
- Biłozor, A.; Cie’slak, I.; Czyza, S.; Szuniewicz, K.; Bajerowski, T. Land-Use Change Dynamics in Areas Subjected to Direct Urbanization Pressure: A Case Study of the City of Olsztyn. Sustainability 2024, 16, 2923. [Google Scholar] [CrossRef]
- Büttner, G.; Steenmans, C.; Bossard, M.; Feranec, J.; Kolář, J. The European CORINE land cover database. In ISPRS Commission VII on Resource and Environmental Monitoring 1996–2000; Büttner, G., Ed.; ISPRS: Budapešť, Hungary, 1998; pp. 633–638. [Google Scholar]
- Feranec, J.; Oťaheľ, J. Land Cover and Landscape Changes Mapping by Application of Remote Sensing Data. Životné Prostr. 2003, 37, 25–29. (In Slovak) [Google Scholar]
- Feranec, J.; Hazeu, G.; Christensen, S.; Jaffrain, G. CORINE land cover change detection in Europe (case studies of The Netherlands and Slovakia). Land Use Policy 2007, 24, 234–347. [Google Scholar] [CrossRef]
- Druga, M. Historical landscape structures as the indicators of land cover change. Acta Environ. Univ. Comen. Bratisl. 2015, 21, 5–21. (In Slovak) [Google Scholar]
- Druga, M.; Falťan, V.; Herichová, M. The proposal of the modification of the CORINE Land Cover nomenclature for the purpose of historical land cover change mapping in the territory of Slovakia in the scale 1:10,000—Case study of historical cadastral area of Batizovce. Geogr. Cassoviensis 2013, 9, 17–34. (In Slovak) [Google Scholar]
- Hanušin, J.; Lacika, J. Selected environmental contexts of changes in the historical landscape of scattered settlements (the example of the village of Hrušov, Veľký Krtíš district). Geogr. Časopis 2018, 70, 57–77. (In Slovak) [Google Scholar]
- Feranec, J.; Oťaheľ, J.; Cebecauer, T. Land cover changes—Information source about landscape dynamics. Geogr. Časopis 2004, 56, 33–47. (In Slovak) [Google Scholar]
- Kopecká, M.; Rosina, K. Identification of changes in urbanized landscape based on VHR satellite data: Study area of Trnava. Geogr. Časopis 2014, 66, 247–267. (In Slovak) [Google Scholar]
- Izakovičová, Z.; Mederly, P.; Petrovič, F. Long-term land use changes driven by urbanisation and their environmental effects (example of Trnava City, Slovakia). Sustainability 2017, 9, 1553. [Google Scholar] [CrossRef]
- Lovejoy, T.E.; Hannah, L. Climate Change and Bio-Diversity; Yale University Press: New Haven, CT, USA, 2005. [Google Scholar]
- Padonou, E.; Lykke, M.; Bachmann, Y.; Idohou, R.; Sinsin, B. Mapping changes in land use/land cover and prediction of future extension of bowé in Benin, West Africa. Land Use Policy 2017, 69, 85–92. [Google Scholar] [CrossRef]
- Van Oost, K.; Govers, G.; Desmet, P. Evaluating the effects of changes in landscape structure on soil erosion by water and tillage. Landsc. Ecol. 2000, 15, 477–589. [Google Scholar] [CrossRef]
- Verburg, P.H.; van de Steeg, J.; Veldkamp, A.; Willemen, L. From land cover change to land function dynamics: A major challenge to improve land characterization. J. Environ. Manag. 2009, 90, 1327–1335. [Google Scholar] [CrossRef]
- Dumbrovský, M.; Sobotková, V.; Šarapatka, B.; Váchalová, R.; Pavelková-Chmelová, R.; Váchal, J. Long-term improvement in surface water quality after land consolidation in a drinking water reservoir catchment. Soil Water Res. 2015, 10, 49–55. [Google Scholar] [CrossRef]
- Petrovič, F.; Stránovský, P.; Muchová, Z.; Falťan, V.; Skokanová, H.; Havlíček, M.; Gábor, M.; Špulerová, J. Landscape-ecological optimization of hydric potential in foothills region with dispersed settlements—A case study of Nová Bošáca, Slovakia. Appl. Ecol. Environ. Res. 2017, 15, 379–400. [Google Scholar] [CrossRef]
- Ivanová, M.; Michaeli, E.; Boltižiar, M. Analysis of changes in the spatial structure of land cover (case study in the territory north of the Zemplínska Šírava reservoir). Geogr. Časopis 2013, 65, 235–250. (In Slovak) [Google Scholar]
- Munteanu, C.; Kuemmerle, T.; Boltižiar, M.; Butsic, V.; Gimmi, U.; Halada, Ľ.; Kaim, D.; Király, G.; Konkoly-Gyuró, E.; Kozak, J.; et al. Forest and agricultural land change in the Carpathian region. A meta-analysis of long-term patterns and drivers of change. Land Use Policy 2014, 38, 685–697. [Google Scholar] [CrossRef]
- Špulerová, J.; Drábová, M.; Lieskovský, J. Traditional agricultural landscape and their management in less favoured areas in Slovakia. Ekológia 2016, 35, 1–12. [Google Scholar] [CrossRef]
- Belčaková, I. Morava—Slovak Part. In Border-Free River Basins. Flusslandschaften Ohne Grenzen. Mitteleuropäische Ansätze zur Entwicklung vom Flusslandschaften und Förderung landschaftsbezogener Identität; Bratislava: Road, Slovakia, 2005; pp. 126–142. ISBN 80-88999-28-6. [Google Scholar]
- Halaj, P.; Bárek, V.; Halajová, D.; Báreková, A.; Streďanský, J.; Šinka, Z. Effect of catchment land use on hydromorphological status of streams in agricultural land. In Water Resources. Forest, Marine and Ocean Ecosystems; Surveying Geology & Mining Ecology Management (SGEM): Albena, Bulgaria, 2013; pp. 117–124. [Google Scholar]
- Labuda, M.; Pavlíčková, K. Changes of the Agriculture Land Use and the Ecological Stability in the Territory of Myjavská Pahorkatina Hill Land Within 1955 and 1990 Years. Acta Environ. Univ. Comen. 2006, 14, 65–75. (In Slovak) [Google Scholar]
- Moravčíková, Z. Land use changes evaluation in Budmerice cadastral area during time period 1870–2008. Acta Environ. Univ. Comen. 2008, 16, 35–42. (In Slovak) [Google Scholar]
- Mišovičová, R.; Jambrich, M.; Grežo, H. Evaluation of land use changes of Low Tatras Mts. in Kráľová hoľa area. Folia Oecologica 2016, 8, 44–57. (In Slovak) [Google Scholar]
- Donohue, I.; Owen, L.; Petchey, O.L.; Montoya, J.M.; Jackson, A.L.; McNally, L.; Viana, M.; Healy, K.; Lurgi, M.; O’Connor, N.E.; et al. On the dimensionality of ecological stability. Ecol. Lett. 2013, 16, 421–429. [Google Scholar] [CrossRef]
- Ivan, P. An example of application of selected methodologies of landscape ecological stability evaluation in Slovakia. Acta Environ. Univ. Comen. 2013, 2, 13–18. (In Slovak) [Google Scholar]
- Ivan, P.; Vojtková, J.; Kráľová, J.; Klinčoková, K. Analýza metodických postupov výpočtu ekologickej stability. In Aktuálne Problémy Krajinnej Architektúry a Krajinného Plánovania; Faculty of Architecture, Slovak University of Technology: Bratislava, Slovakia, 2013; pp. 66–74. [Google Scholar]
- Petrovič, F. Landscape Development in the Area of „Štále“Settlement of Pohronský Inovec and Tríbeč Mts; ILE SAS: Bratislava, Slovakia, 2005; 205p. (In Slovak) [Google Scholar]
- Reháčková, T.; Pauditšová, E. The methodology of determining of landscape ecological stability coefficient. Acta Environ. Univ. Comen. 2007, 15, 26–38. (In Slovak) [Google Scholar]
- Reháčková, T.; Pauditšová, J.; Hreško, J. The Ecological Stability and Landscape Management in Sveržov. Geogr. Cassoviensis II 2008, 1, 146–151. (In Slovak) [Google Scholar]
- Chromčák, J.; Bačová, D.; Pecho, P.; Seidlová, A. The Possibilities of Orthophotos Application for Calculation of Ecological Stability Coefficient Purposes. Sustainability 2021, 13, 3017. [Google Scholar] [CrossRef]
- Machar, I. Changes in fragmentation and the ecological stability of floodplain forest geobiocenosis in the river Morava floodplain over the course of the 20th century. J. Landsc. Ecol. 2008, 1, 39–47. [Google Scholar] [CrossRef][Green Version]
- Machar, I. Changes in the fragmentation and ecological stability of the Morava River floodplain forest in the course of the 20th century. J. For. Sci. 2009, 55, 127–136. [Google Scholar] [CrossRef]
- Hanusová, H.; Chovancová, S.; Winkler, J. Development of use of agricultural land in the selected area. In Proceedings of the MendelNet 2015, Brno, Czech Republic, 11–12 November 2015; pp. 232–237. [Google Scholar]
- Jirout, M.; Hubačiková, V.; Toman, F. Long-term development analysis of ecological stability and land use around Jevíčko. In Proceedings of the MendelNet 2016, Brno, Czech Republic, 9–10 November 2016; pp. 423–428. [Google Scholar]
- Dousa, M. Changes in the Landscape Character of the Studied Area of the Cadastre of the Municipality of Doudleby in the South Bohemian Region in the Czech Republic. Eur. J. Sustain. Dev. Res. 2021, 5, em0153. [Google Scholar] [CrossRef] [PubMed]
- Míchal, I. Principles of landscape evaluation of the territory. In Architektúra a Urbanizmus; XVI/Z; VEDA: Bratislava, Slovakia, 1982; pp. 65–87. (In Czech) [Google Scholar]
- Miklós, L. Landscape stability in the ecological general of the SSR. Zivotn. Prostr. Bratisl. 1986, 20, 87–93. (In Slovak) [Google Scholar]
- Michaeli, E.; Ivanová, M.; Koco, Š. The evaluation of anthropogenic impact on the ecological stability of landscape. J. Environ. Biol. 2015, 36, 1–7. [Google Scholar]
- Yukhnovskyi, V.Y.; Zibtseva, O.V. Dynamics of ecological stability of small towns in Kyiv region. J. Geol. Geogr. Geoecol. 2018, 27, 386–398. [Google Scholar] [CrossRef]
- Yukhnovskyi, V.Y.; Zibtseva, O.V. Estimation of ecological stability of small town Bucha in Kyiv region. Ukr. Geogr. J. 2019, 2, 49–56. [Google Scholar] [CrossRef]
- Sowińska-Świerkosz, B. Application of surrogate measures of ecological quality assessment: The introduction of the Indicator of Ecological Landscape Quality (IELQ). Ecol. Indic. 2017, 73, 224–234. [Google Scholar] [CrossRef]
- Míchal, I. Ecological Stability; Veronica: Brno, Czech Republic, 1992; 244p. (In Czech) [Google Scholar]
- Löw, J. Principles for Defining and Designing a Territorial System of Ecological Stability in Land-Use Planning Practice; Agroprojekt: Brno, Czech Republic, 1984; 55p. (In Czech) [Google Scholar]
- Löw, J.; Buček, A.; Lacina, J.; Míchal, I.; Plos, J.; Petříček, V. The Handle of the Designer of the Local Territorial System of Ecological Stability; Doplněk: Brno, Czech Republic, 1995; 124p. (In Czech) [Google Scholar]
- Streďanský, J.; Šimonides, I. Landscaping; AF VŠP: Nitra, Slovakia, 1995; 104p. (In Slovak) [Google Scholar]
- Kupková, L. Landscape data yesterday and today. Geoinfo 2001, 8, 16–19. (In Czech) [Google Scholar]
- Muchová, Z.; Vanek, J.; Halaj, P.; Hrnčiarová, T.; Konc, Ľ.; Raškovič, V.; Streďanská, A.; Šimonides, I.; Vašek, A. Methodological Standards for Designing Land Consolidations; SPU: Nitra, Slovakia, 2009; 397p. (In Slovak) [Google Scholar]
- Jurko, A. Landscape Ecological Significance of Plant Communities. In Ekologická Optimalizácia Využívania VSN. III; ÚEBE SAV: Bratislava, Slovakia, 1986. (In Slovak) [Google Scholar]
- Jurko, A. Ecological and Socio-Economic Evaluation of Vegetation; Príroda: Bratislava, Slovakia, 1990; 200p. (In Slovak) [Google Scholar]
- Ližbetinová, M. Ecological landscape stability of cadastral territory in Tatranská Lomnica in 1953 and now (in 2013). Acta Univ. Matthiae Belii Séria Environ. Manažérstvo 2014, XVI, 67–76. (In Slovak) [Google Scholar]
- Ivan, P.; Chebeňová, T. Assessment of the ecological stability of the village of Bielovce as a result of to changes in land use. Slovak J. Civ. Eng. 2016, 24, 1–6. [Google Scholar] [CrossRef]
- Bažík, J.; Muchová, Z.; Petrovič, F. Assessment of ecological situation in a landscape based on calculation of ecological stability coefficient. In Proceedings of the Public Recreation and Landscape Protection—With Man Hand in Hand? Conference Proceeding, Křtiny, Czech Republic, 5–6 May 2014; pp. 36–43. [Google Scholar]







| DC * Elements | CESA | CLC ** Elements | CESA | CLS Elements | CESA | Löw Method. | Míchal Method. |
|---|---|---|---|---|---|---|---|
| Built-up areas | 0.10 | Non-continuous settlement built-up areas | 0.15 | Settlement built-up areas | 0.17 | E | L |
| Recreational and sports compounds | 0.25 | D | L | ||||
| Cottage colonies | 0.25 | D | L | ||||
| Meteorological station | 0.05 | D | L | ||||
| Industry and service compounds | 0.05 | Industry compounds, industry parks | 0.06 | E | L | ||
| Agricultural–forest compounds | 0.10 | Compounds of agricultural enterprise functional or with modified functionality | 0.13 | E | L | ||
| Defunct compounds of agricultural enterprise | 0.15 | E | L | ||||
| Forest enterprises compounds | 0.15 | E | L | ||||
| Transformer station | 0.01 | E | L | ||||
| Sewerage plant | 0.01 | E | L | ||||
| Train station compound, train depot | 0.02 | E | L | ||||
| Water area | 0.80 | Watercourses | 0.80 | Water area (the area of water surface of watercourses and bodies of water) | 0.80 | A | S |
| Bodies of water | 0.80 | ||||||
| Arable land | 0.20 | Not irrigated arable land | 0.20 | Arable land—large-scale | 0.18 | D | L |
| Arable land—small-scale | 0.22 | D | L | ||||
| Garden | 0.30 | Orchard | 0.35 | D | L | ||
| Gardens | 0.28 | D | L | ||||
| Garden colonies | 0.27 | D | L | ||||
| Mosaics of fields, meadows, and permanent cultures | 0.70 | Mosaic structures with arable land, non-forest woody vegetation (NFWV), grasslands, with settlements | 0.70 | C | L | ||
| Forest | 1.00 | Deciduous forests | 1.00 | Deciduous forests | 1.00 | A | S |
| Mixed forests | 1.00 | Mixed forests | 1.00 | A | S | ||
| Coniferous forests | 0.95 | Coniferous forests | 1.00 | A | S | ||
| Spruce monocultures | 0.70 | B | S | ||||
| Dwarf mountain pine | 0.80 | A | S | ||||
| Transitional woodland shrub | 0.75 | NFWV | 0.75 | B | S | ||
| Bank covers | 0.95 | B | S | ||||
| Windbreak, clearing | 0.65 | B | S | ||||
| Young forest stands (phytocoenological not differentiated) | 0.80 | A | S | ||||
| Felled belt in the forest covers under the high voltage line | 0.60 | B | S | ||||
| Grasslands | 0.80 | Grasslands | 0.80 | Intensively used grasslands | 0.50 | C | S |
| Grasslands with NFWV | 0.80 | B | S | ||||
| Successively growing grasslands | 0.80 | C | S | ||||
| Natural meadows | 0.90 | Extensively used grasslands | 0.85 | C | S | ||
| Alpine meadows | 0.90 | B | S | ||||
| Waterlogged area | 0.87 | B | S | ||||
| Wetlands | 0.98 | A | S | ||||
| Other areas | 0.15 | Raw material mining compounds | 0.20 | Mining compounds | 0.18 | E | L |
| Disposal sites | 0.10 | Sludge bed | 0.00 | E | L | ||
| Dump site | 0.10 | E | L | ||||
| Other areas | 0.30 | Natural rock formations covered by vegetation | 0.78 | A | S | ||
| Cemetery | 0.55 | C | S | ||||
| Park and other greenery accessible to the general public in built-up areas | 0.50 | C | S | ||||
| Dam | 0.35 | E | L | ||||
| Dry polder | 0.35 | C | L | ||||
| Water source | 0.35 | C | L | ||||
| Forest tree nursery | 0.32 | D | L | ||||
| Photovoltaic power station compounds | 0.28 | E | L | ||||
| Ruderal vegetation | 0.20 | D | L | ||||
| Devastated areas | 0.12 | E | L |
| Class | Type of Land Cover | CLC 1990 | CLS 2023 | ||
|---|---|---|---|---|---|
| Surface [ha] | Ratio [%] | Surface [ha] | Ratio [%] | ||
| 1 | Settlement built-up areas, industrial compounds, recreational areas | 1530.37 | 2.62 | 1114.82 | 1.90 |
| 2 | Raw material mining compounds | 105.81 | 0.18 | 79.89 | 0.14 |
| 3 | Agriculturally used land | 10,935.35 | 18.75 | 6186.10 | 10.56 |
| 4 | Deciduous forests | 7086.71 | 12.15 | 8040.03 | 13.72 |
| 5 | Coniferous forests | 21,237.06 | 36.41 | 14,863.52 | 25.37 |
| 6 | Mixed forests | 14,938.89 | 25.61 | 23,197.55 | 39.60 |
| 7 | Mosaic of natural meadows, pastures, and NFWV | 2349.30 | 4.03 | 4772.90 | 8.15 |
| 8 | Water areas | 148.80 | 0.25 | 328.84 | 0.56 |
| Cadastral Area | CES1 (Miklós Methodology) | CES2 (Míchal Methodology) | CES3 (Löw Methodology) | ||||||
|---|---|---|---|---|---|---|---|---|---|
| CLS | CLC 2018 | DC 2023 | CLS | CLC 2018 | DC 2023 | CLS | CLC 2018 | DC 2023 | |
| Gelnica | 0.93 | 0.86 | 0.92 | 17.93 | 19.27 | 12.67 | 39.93 | 37.74 | 28.45 |
| Helcmanovce | 0.79 | 0.69 | 0.76 | 18.68 | 3.35 | 4.17 | 31.53 | 16.63 | 8.55 |
| Henclová | 0.94 | 0.87 | 0.94 | 47.47 | ** | 24.54 | 180.07 | ** | 46.06 |
| Hrišovce | 0.87 | 0.78 | 0.89 | 5.73 | 11.27 | 15.13 | 29.24 | 43.45 | 40.71 |
| Jaklovce | 0.83 | 0.74 | 0.81 | 10.77 | 4.17 | 5.83 | 18.30 | 15.01 | 10.81 |
| Kluknava | 0.86 | 0.77 | 0.82 | 7.56 | 5.25 | 4.56 | 31.90 | 22.51 | 12.45 |
| Kojšov | 0.95 | 0.93 | 0.96 | 49.54 | 91.70 | 48.39 | 111.87 | 187.86 | 97.11 |
| Margecany | 0.86 | 0.76 | 0.87 | 10.36 | 7.71 | 7.50 | 17.99 | 15.30 | 14.30 |
| Mníšek nad Hnilcom | 0.88 | 0.82 | 0.90 | 28.98 | 11.15 | 12.14 | 60.54 | 42.32 | 22.74 |
| Nálepkovo | 0.85 | 0.78 | 0.89 | 22.11 | 7.23 | 18.27 | 50.07 | 43.21 | 29.29 |
| Prakovce | 0.95 | 0.93 | 0.95 | 25.41 | 18.01 | 19.84 | 54.93 | 33.47 | 42.86 |
| Richnava | 0.73 | 0.45 | 0.71 | 3.92 | 2.26 | 2.68 | 11.14 | 5.53 | 5.20 |
| Rolova Huta | 0.97 | 0.97 | * | 46.24 | ** | * | 111.19 | ** | * |
| Smolnícka Huta | 0.98 | 0.93 | 0.96 | 85.67 | 51.31 | 33.82 | 212.17 | 92.36 | 65.77 |
| Smolník | 0.95 | 0.92 | 0.97 | 86.53 | 91.76 | 39.19 | 200.27 | 173.61 | 78.43 |
| Stará Voda | 0.79 | 0.51 | 0.66 | 8.42 | ** | 3.15 | 19.24 | ** | 3.29 |
| Švedlár | 0.93 | 0.87 | 0.95 | 45.80 | 24.31 | 36.52 | 157.61 | 109.33 | 78.67 |
| Úhorná | 0.86 | 0.81 | 0.91 | 15.73 | ** | 24.38 | 63.93 | ** | 41.32 |
| Veľký Folkmar | 0.90 | 0.85 | 0.89 | 36.09 | 22.41 | 14.70 | 67.45 | 44.90 | 26.33 |
| Žakarovce | 0.87 | 0.85 | 0.81 | 8.04 | 18.39 | 8.44 | 26.61 | 53.62 | 11.64 |
| Závadka | 0.90 | 0.89 | 0.90 | 9.38 | 12.96 | 19.63 | 41.08 | 69.83 | 37.29 |
| Cadastral Area | CES1 (Miklós Methodology) | CES2 (Míchal Methodology) | CES3 (Löw Methodology) | ||||||
|---|---|---|---|---|---|---|---|---|---|
| CLS | CLC 2018 | DC 2023 | CLS | CLC 2018 | DC 2023 | CLS | CLC 2018 | DC 2023 | |
| Gelnica | 0.59 | 0.32 | 0.53 | 2.22 | 2.88 | 1.35 | 2.72 | 4.77 | 1.21 |
| Helcmanovce | 0.54 | 0.28 | 0.30 | 7.20 | 0.85 | 2.17 | 6.52 | 5.14 | 2.35 |
| Henclová | 0.77 | 0.46 | 0.65 | 7.48 | ** | 3.36 | 21.63 | ** | 2.37 |
| Hrišovce | 0.64 | 0.36 | 0.70 | 1.41 | 3.15 | 5.09 | 4.15 | 14.67 | 6.49 |
| Jaklovce | 0.55 | 0.34 | 0.59 | 3.44 | 0.96 | 2.15 | 3.55 | 4.30 | 2.28 |
| Kluknava | 0.48 | 0.21 | 0.47 | 1.21 | 0.80 | 0.91 | 2.58 | 1.19 | 1.05 |
| Kojšov | 0.69 | 0.50 | 0.69 | 6.04 | 10.86 | 5.19 | 6.43 | 36.29 | 3.85 |
| Margecany | 0.51 | 0.24 | 0.47 | 2.16 | 1.75 | 1.04 | 2.37 | 1.99 | 1.29 |
| Mníšek nad Hnilcom | 0.55 | 0.31 | 0.61 | 6.01 | 2.09 | 2.45 | 5.74 | 8.38 | 1.94 |
| Nálepkovo | 0.68 | 0.49 | 0.71 | 8.75 | 2.32 | 6.42 | 11.11 | 16.67 | 4.72 |
| Prakovce | 0.44 | 0.28 | 0.43 | 1.23 | 0.53 | 0.77 | 1.95 | 0.52 | 0.74 |
| Richnava | 0.57 | 0.30 | 0.51 | 1.93 | 1.53 | 1.17 | 3.28 | 2.49 | 1.21 |
| Rolova Huta | 0.66 | 0.53 | * | 3.27 | ** | * | 6.46 | ** | * |
| Smolnícka Huta | 0.65 | 0.21 | 0.60 | 3.49 | 2.41 | 2.25 | 4.24 | 0.68 | 1.70 |
| Smolník | 0.71 | 0.65 | 0.62 | 13.33 | 18.17 | 2.61 | 24.13 | 35.64 | 2.04 |
| Stará Voda | 0.65 | 0.23 | 0.63 | 3.37 | ** | 2.79 | 4.25 | ** | 2.40 |
| Švedlár | 0.63 | 0.55 | 0.70 | 7.42 | 4.72 | 5.71 | 16.59 | 25.19 | 4.82 |
| Úhorná | 0.80 | 0.68 | 0.73 | 7.57 | ** | 7.74 | 23.86 | ** | 5.59 |
| Veľký Folkmar | 0.62 | 0.42 | 0.67 | 7.78 | 4.96 | 4.15 | 7.92 | 12.19 | 3.48 |
| Žakarovce | 0.68 | 0.60 | 0.68 | 2.11 | 5.74 | 4.32 | 3.40 | 29.89 | 3.05 |
| Závadka | 0.67 | 0.65 | 0.71 | 2.17 | 2.46 | 6.23 | 5.05 | 28.13 | 5.04 |
Disclaimer/Publisher’s Note: The statements, opinions and data contained in all publications are solely those of the individual author(s) and contributor(s) and not of MDPI and/or the editor(s). MDPI and/or the editor(s) disclaim responsibility for any injury to people or property resulting from any ideas, methods, instructions or products referred to in the content. |
© 2024 by the authors. Licensee MDPI, Basel, Switzerland. This article is an open access article distributed under the terms and conditions of the Creative Commons Attribution (CC BY) license (https://creativecommons.org/licenses/by/4.0/).
Share and Cite
Barančok, P.; Barančoková, M. Evaluation of Changes in Land Use and Their Influence on Ecological Stability of a Selected Area of the Dolný Spiš Region (Slovakia). Sustainability 2024, 16, 10167. https://doi.org/10.3390/su162310167
Barančok P, Barančoková M. Evaluation of Changes in Land Use and Their Influence on Ecological Stability of a Selected Area of the Dolný Spiš Region (Slovakia). Sustainability. 2024; 16(23):10167. https://doi.org/10.3390/su162310167
Chicago/Turabian StyleBarančok, Peter, and Mária Barančoková. 2024. "Evaluation of Changes in Land Use and Their Influence on Ecological Stability of a Selected Area of the Dolný Spiš Region (Slovakia)" Sustainability 16, no. 23: 10167. https://doi.org/10.3390/su162310167
APA StyleBarančok, P., & Barančoková, M. (2024). Evaluation of Changes in Land Use and Their Influence on Ecological Stability of a Selected Area of the Dolný Spiš Region (Slovakia). Sustainability, 16(23), 10167. https://doi.org/10.3390/su162310167

