Next Article in Journal
Road Traffic Infrastructure Construction and Air Pollution Based on the Perspective of Spatial Spillover
Previous Article in Journal
Bibliometric Review of Passive Cooling Design Strategies and Global Thermal Comfort Assessment: Theories, Methods and Tools
 
 
Font Type:
Arial Georgia Verdana
Font Size:
Aa Aa Aa
Line Spacing:
Column Width:
Background:
Article

Ecological Assessment of Phytoplankton Diversity and Water Quality to Ensure the Sustainability of the Ecosystem in Lake Maybalyk, Astana, Kazakhstan

by
Zhanar Tekebayeva
1,*,
Aidana Bazarkhankyzy
1,2,*,
Aliya Temirbekova
1,
Zhanar Rakhymzhan
3,
Kamshat Kulzhanova
1,
Raikhan Beisenova
3,
Andrey Kulagin
3,
Nurgul Askarova
4,
Dinara Yevneyeva
1,3,
Aslan Temirkhanov
1 and
Akhan Abzhalelov
1,3
1
Laboratory of Microbiology, Republican Collection of Microorganisms, 13/1 Valikhanov Str., Astana 010000, Kazakhstan
2
Department of General and Biological Chemistry, Astana Medical University, Beibitshilik Str., 49a, Astana 010000, Kazakhstan
3
Department of Environmental Management and Engineering, L.N. Gumilyov Eurasian National University, 2 Satpayev Str., Astana 010008, Kazakhstan
4
Department of Normal Physiology, Astana Medical University, Beibitshilik Str., 49a, Astana 010000, Kazakhstan
*
Authors to whom correspondence should be addressed.
Sustainability 2024, 16(22), 9628; https://doi.org/10.3390/su16229628
Submission received: 4 September 2024 / Revised: 31 October 2024 / Accepted: 1 November 2024 / Published: 5 November 2024

Abstract

Microalgae in planktonic communities are the main producers of biomass in lake ecosystems; however, their stability is influenced by many environmental factors. This study aims to assess the ecological state of Lake Maybalyk, located in Astana (Kazakhstan), based on the study of the taxonomic diversity and structure of phytoplankton, zooplankton, and the physico-chemical properties of the water. From 2019 to 2021, samples were taken for phytoplankton analysis, hydrochemical analysis of the water, zooplankton, and saprobiological analysis of the algocenosis. The study also investigated the main morphometric parameters of the lake, as well as the composition of hydrobionts, such as zooplankton, zoobenthos, and ichthyofauna. The analysis of phytoplankton revealed the presence of 97 species and intraspecific taxa of microalgae, with 71 types of microalgal indicators indicating water saprobity. The planktonic algoflora in Lake Maybalyk is predominantly composed of diatoms (Bacillariophyta) and green algae (Chlorophyta), which play a vital role in oxygen production and the food chain within the reservoir. Based on the Pantle–Buck saprobity index (2.15–2.5), the water quality in Lake Maybalyk is classified as moderately polluted. The assessment of the water quality, considering the number and composition of indicator phytoplankton species, places Lake Maybalyk in class III (β-mesosaprobic). The hydrochemical indicators align with the hydrobiological indicators, confirming the water quality as class III. The trophic status of the reservoir, during the study period, can be described as average. The obtained data on both the hydrobiological and hydrochemical indicators correlate, suggesting satisfactory water quality and the ability of the reservoir to purify itself. This study contributes to the sustainable management of water resources, by providing essential data on the ecological state of Lake Maybalyk. The results underscore the importance of continuous biomonitoring, with microalgae as indicators of water quality, which is crucial for developing effective ecosystem conservation strategies.

1. Introduction

Anthropogenic activities and changing environmental conditions have a significant impact on aquatic ecosystems, potentially leading to their disappearance [1,2,3]. Population growth and the industrialization of cities can have serious consequences for reservoirs, as household and industrial waste can enter lakes [4,5]. Waste produced by urban centers and agricultural areas leads to a decrease in water quality and an increase in ion concentrations. These ions determine the physicochemical characteristics of water, known as water quality, which is connected to biodiversity [6,7].
Due to the growing anthropogenic impact on the environment, there is a need to monitor the state of aquatic biodiversity, paying special attention to phytoplankton as the main link in the trophic chain that determines the structure and functioning of the aquatic ecosystem [8,9]. Understanding the presence of phytoplankton in the ecosystem is crucial. Phytoplankton represents a community of plant organisms that are unable to move actively. They are crucial to the functioning of the aquatic food chain and make a significant contribution to global oxygen production. In addition, phytoplankton are used in the assessment of water quality and are a sensitive indicator of the state of water bodies and the reservoir as a whole [10,11,12].
In normal conditions, phytoplankton in natural waters maintain a dynamic equilibrium and relatively stable numbers. However, this stable state is disrupted by eutrophication, causing the rapid multiplication of genera and species as a result of a rich diet. The process of eutrophication is observed through an increase in the content of biogenic elements in the reservoir, such as phosphorus and nitrogen [13,14,15], which in turn leads to a deterioration in the organoleptic properties of water [6,16].
The rapid growth of plankton in water leads to species competing for resources by releasing substances that inhibit the growth of other organisms, thus increasing the number, diversity, and species of plankton in the water [17,18]. The main properties of phytoplankton that have the greatest functional value for a reservoir are not only the transformation of biogas into mass, but also the simultaneous synthesis of oxygen. Rapid growth, especially phytoplankton blooms, benefits fisheries by increasing the food supply. However, beneficial phytoplankton blooms occur in addition to toxic algae, whose growth and blooming can lead to a decrease in dissolved oxygen and the formation of dead zones [7,19,20,21]. Microalgae, owing to their nutritional composition and richness in polyphenols, polysaccharides, fats, and amino acids, can be used to increase the nutritional value of products and as a feed material in various quantities and forms [22,23]. They improve the overall health and digestive system of animals, enrich poultry products (eggs and meat) with biologically active substances, and positively affect the growth and productivity of chickens. However, there are problems associated with the production of microalgae feed for aquaculture, which consists of processing biomass and preserving it after harvest [24,25,26]. Live biomass is necessary and preferable for the production of dried algal powder. Collected algae must be concentrated and stored in freezers, which significantly increases the cost of the product [27,28]. Longer storage times of the biomass can lead to changes in its nutritional composition. Therefore, it is recommended that it should be delivered to the appropriate aquaculture farms as soon as possible [29,30,31,32]. In this regard, there is a growing interest in obtaining extracts from algae that allow the acquisition and concentration of important components, such as polyphenols and polysaccharides, to have a targeted effect on the health and productivity of animals, which also depends on the source and quality of the water used for watering animals [33,34].
Monitoring studies are necessary to assess the total intake of pollutants from various sources [35]. Bioindication studies, which focus on the species composition of communities and the abundance of algae, provide an integral assessment of the natural and anthropogenic processes occurring in a reservoir [36,37]. The key parameters for the bioindication of the aquatic environment include determining the species composition of plankton algae, using algae as indicators of the environment’s state, comparative morphological analysis, and studying the dynamics of various community and individual organism parameters. These criteria have allowed us to evaluate the environmental quality of aquatic environments [38,39].
Biological analysis, along with other methods, is used to assess the conditions of reservoirs and monitor the water quality [40,41,42]. The properties of the hydrochemical regime [43] and hydrobiological indicators [44,45] often offer more informative criteria for assessing the ecological state of reservoirs. The dynamics of phytoplankton, zooplankton, and benthos have traditionally been considered criteria for evaluating the ecological state of reservoirs [46,47,48].
Kazakhstan has several thousand lakes. Excessive mineralization in many lakes prevents their economic use. Many regions of Kazakhstan experience an acute shortage of household and drinking water sources, mainly as a result of anthropogenic pollution [49]. The largest reservoirs are located in northern Kazakhstan. Comprehensive, long-term studies on the influence of human activity on phytoplankton dynamics were conducted in reservoirs in the northern and southern regions of Kazakhstan, the Arys River [50], Lake Alakol [51], Lake Borovoye [15], Balkhash Lake [52], and Kolsay Mountain Lakes [53]. The planktonic communities of these reservoirs have been studied, especially in recent years, which provides valuable information about the composition and structure of aquatic invertebrates, including plankton. Also, extensive studies of phytoplankton were conducted in the Burabai National Nature Park, which unites six lakes, namely Borovoe, Katarkol, Bolshoe Chebachye, Maloe Chebachye, Zhukey, and Shchuchye [39].
Our research focuses on Lake Maybalyk, located in the capital of Kazakhstan, Astana. Geographically, Astana belongs to the Akmola region, which experiences a severe shortage of household and drinking water sources. The Akmola region is rich in small lakes and its main water resources are surface water and groundwater. Lake Maybalyk is considered a locally important fishery reservoir, setting it apart from the other reservoirs in Astana. Lake Maybalyk has significant environmental and socio-economic importance and supports the livelihoods of the local community, which is threatened by anthropogenic activities. However, the richness of the species and diversity of the algae in this lake have not been adequately studied. Studying phytoplankton can provide insights into the vulnerabilities and excessive recreational and other anthropogenic pressures. Thus, our objective was to study the ecological state of Lake Maybalyk using bioindication and hydrochemical studies, conducted between 2019 and 2021.

2. Materials and Methods

2.1. Case Study Description

Lake Maybalyk (Figure 1) is located one kilometer from the airport between the Nura and Ishim rivers, which regulate water consumption in the capital. The lake sits at an altitude of 350 m above sea level (50°59′25″ N, 71°30′11″ E). The lake’s catchment area is a hilly plain covered in steppe grasses. The reservoir covers an area of 2200 ha, with a water surface area of 1540 hectares. It has a maximum depth of 3.5 m and an average depth of 3.2 m. The water level of the lake fluctuates throughout the year, rising during spring snowmelt and decreasing from mid-summer onward. The lake is primarily supplied by atmospheric precipitation and spring meltwater. Agricultural lands are located near the lake [54].
Today, the lake is in danger of extinction because its water level falls at a catastrophic rate annually. The reason for this is not only the low-snow winters, but also a newly built dam, which protects against floods, but does not allow meltwater to seep into the lake. The shallowing of Lake Maybalyk will not only negate fishing, but will also lead to atmospheric changes in the capital. Lake Maybalyk is located a few kilometers from the capital, thanks to which moist air masses enter the city; the only solution to the problem is to direct water from the neighboring Nura–Ishim canal into the lake. Approximately 35% of the shore and water mirror are now overgrown with reeds [54].

2.2. Sample Collection and Treatment

Twelve samples of water and 12 phytoplankton were taken from the studied lake to study the species composition of microalgae, as well as 12 samples of zooplankton and zoobenthos, from June to September from 2019 to 2021, using an Upstein plankton net (40 µm) (Ufapribor, Ufa, Russia) and a bathometer, according to well-known hydrobiological methods [55].

2.2.1. Hydrobiological Analysis

The hydrobiological parameters (chromaticity, turbidity, transparency, and odor) were determined using conventional methods [56]. Phytoplankton samples were collected from the surface layers of the water, filtered through a plankton net, fixed with a 40% formaldehyde solution, and delivered to the laboratory in a special refrigerator [55]. Precipitation and thickening of the samples were carried out using the standard method after 10–14 days [57]. The species composition of the microalgae was determined by microscopy, using a MICROS MS 300 microscope (Micros, Vienna, Austria) at 100× magnification, with an image output through a monitor. The detected microalgae were counted, the data were recorded, and micrographs were taken. For species identification, existing determinants and internet resources were used, with names assigned by the AlgaeBase database [57,58,59,60]. The Pantle–Buck method was used to assess the organic pollution in regard to the V. Sládeček modification [61], as well as according to the atlas of algae indicators of saprobity. Zooplankton and zoobenthos were collected in the summer and autumn with a bentometer (net), with a coverage area of 1 m2 at depths of 0.2–0.6 m. The samples were fixed with a 4% formaldehyde solution and the species were determined according to the determinants and internet resources. The quantitative characteristics were evaluated using the counting and weighing method, by calculating the organisms under magnification and weighing them on Adventurer AR2140 (Ohaus, Shanghai, China) analytical scales, with an accuracy of 0.001 g.

2.2.2. Hydrochemical Analysis

For the hydrochemical analysis, 1 L samples of the surface layer of water were taken and delivered to the laboratory in a special refrigerator. Chemical analyses of the chlorides (Cl), fluorides (F), sulfates (SO42−), nitrates (NO3), nitrites (NO2), phosphate ions (PO43−), ammonium nitrogen (NH4+), and synthetic surface-active substances (SSASs), chemical oxygen demand (COD), biochemical oxygen demand (BOD5), and suspended solids (SSs) were carried out, based at the testing laboratory of the Non-Governmental Environmental Foundation, named after V.I. Vernandsky (Astana).
Hydrobiological and hydrochemical analyses were performed thrice to obtain reliable values.

2.2.3. Data Analysis

Statistical processing of the results was performed using the software package “Statistica 6.0” and Microsoft Office Excel 2021. The distributions are described by the mean (M) and standard deviation (SD). Interspecific differences were assessed using the nonparametric Mann–Whitney U test.

3. Results

To assess the ecological state, a preliminary study of Lake Maybalyk was conducted using the main morphometric and hydrobiological indicators. According to the morphometric indicators, the lake is small. The water in the lake belongs to the category of freshwater. The chemical composition of the water was sulfate–chloride. The lake area is 2200 ha, the rugged coastline is 1.65, the overgrowth is 35%, the water mirror area is 1540 ha, the maximum depth is 3.5 m, and the average depth is 1.2 m.
The organoleptic characteristics of the lake are as follows: chromaticity—greenish-grey color; smell—slightly putrid, sometimes herbal; transparency 30–40 cm (20–30 m from shore), 25–35 cm (on shore).
The ichthyofauna is represented mainly by commercial fish species, namely pike (Esox lucius L.), roach (Rutilus rutilus), bream (Abramis brama), crucian carp (Carassius auratus L.), carp (Cyprinus carpio L.), perch (Perca fluviatilis L.), and tench (Tinca tinca (Linnaeus)).
From the higher aquatic flora category, there were Scirpus, Phragmites, and some types of Potamogéton.
The zooplankton in the studied reservoir included widespread species that can be divided into three groups: rotifer, branchous, and oar-footed crustaceans. Rotifers are represented by the widespread species Keratella quadrata (O.F. Muller), with a total population of 14.8 thousand individuals/m3. The branchous species are represented by the most widespread genus, Daphnia magna (Straus), with a total population of 62.1 thousand individuals/m3. The oar-footed crustaceans are represented by the widespread genera Cyclops vicinus (Uljanin) and Thermocyclops vermifer (Lindberg), with a total population of 59.6 thousand individuals/m3.
The zoobenthos in the lake was represented by oligochaetes (Oligochaeta), with a total population of 520 individuals/m2, chironomid larvae (Chironomidae), dragonflies (Odonata), with a population of 747 individuals/m2, crustaceans (Crustacea), with a population of 40 individuals/m2, mollusks (Mollusca), with a population of 13 individuals/m2, and leeches (Hirudinea), with a population of 20 individuals/m2.
In accordance with the “trophic scale” by S.P. Kitaev, according to the quantitative development of the zooplankton, Lake Maybalyk belongs to the α-eutrophic category of reservoirs, with an increased level of trophic activity. According to the quantitative development of the zoobenthos, Lake Maybalyk is a β-mesotrophic reservoir that corresponds to the average level of trophic activity.
Hydrobiological analysis of the state of the phytoplankton
When studying the species composition of phytoplankton in Lake Maybalyk for the period 2019–2021, 97 species and intraspecific taxa of algae were found (Figure 2). The divisions of Bacillariophyta and Chlorophyta were distinguished by the species richness, the category of blue-green algae was less diverse, and euglenic algae were represented by a single species.
The taxonomic analysis showed that the identified species belonged to 65 genera and 46 families of 27 orders, belonging to nine classes of four divisions. The Bacillariophyta division with 45 microalgae species (46.39%) represented the main species diversity, with 33 species (34.02%) belonging to the Chlorophyta division, 17 species (17.53%) belonging to Cyanobacteria, and 2 species (2.06%) belonging to Euglenophyta. Most of the dominant species from the Bacillariophyta division belong to the families: Naviculaceae (10 species), Bacillariaceae (7 species), and Cymbellaceae (5 species). Most of the dominant species from the Chlorophyta division belong to the Scenedesmaceae family (seven species), the Selenastraceae family (four species), and the Chlorellaceae family (four species). From the Cyanobacteria division, the dominant species belong to the Microcystaceae family (three species). The greatest diversity in terms of species was characterized by the genus Navicula (six species), Nitzschia (six species), and Scenedesmus (four species). Several common species of algae have been found in existing reservoirs, including Stephanocyclus meneghinianus Kütz, Neidiomorpha binodis Ehr., Nitzschia acicularis W. Sm., Nitzschia palea (Kutz.) W. Sm., Pinnularia major Kutz. var. major, Ulnaria ulna (Nitzsch), Tetradesmus obliquus (Turpin), Scenedesmus quadricauda (Turp), Chlamydomonas reinhardtii Dang., Ankistrodesmus acicularis (A. Br.), Chlorella vulgaris Beijer., Anabaenopsis raciborskii, Phormidium chalybeum (mert.), and Phormidesmis mollis (Gomont) (Figure 3).
Based on the determination of the species diversity of the microalgae in the lake, a list of indicator algae has been compiled for indicating saprobity (s) and a saprobic index (S) to assess water quality (Table 1).
Based on the general list of algae in Lake Maybalyk, 71 saprobity indicator species were identified, which was more than half (73.2%) of the entire algoflora in the lake. The largest number of indicators referred to diatoms (46.0%) and green algae (34.0%) in regard to the total number of saprobity indicator species, which reflects the importance of these divisions in the formation of phytoplankton in the studied reservoir.
According to the conducted saprobiological analysis, the indicator species are distributed among saprobity zones, which are classified into “contamination” and “purity” zones. The blue dotted line in Figure 4 indicates a decrease in the number of saprobic species from the “contamination” zone (α-p, α, α-β, β-α, β, β-o) to the “purity” zone (o-α, o-β, o, o-χ, χ-o, χ-β). As shown in Figure 4, indicators from all the saprobity zones were identified in the phytoplankton in the studied reservoir, with a significant proportion belonging to β-mesosaprobates (49.3% of the total number of indicator species). Moreover, α-mesosaprobes account for 21.1% of the total. The inhabitants of clean water, including xenosaprobes, oligosaprobes, and those in the transition zone between these categories, total 7% of the total number of indicators. The indicator species that demonstrate a high degree of tolerance to organic substances and that can thrive in both clean and polluted waters (o-β, β-o, and o-a) constitute 21.1% of the total number of species. This, in our opinion, indicates significant potential in regard to the self-cleaning ability of the reservoir.
As shown in Figure 4, indicators of almost all the saprobity zones were found in the phytoplankton in Lake Maybalyk, with a significant proportion belonging to β-mesosaprobates (49.3% of the total number of indicator species). The inhabitants of clean water (xenosaprobes, oligosaprobes, and the inhabitants of the transition zone between these categories of water) form 22.5% of the total number of indicators, which, in our opinion, indicates significant potential in regard to the self-cleaning ability of reservoirs. The zone of “contamination” was found to contain 77.5% of the total number of indicator species.
The calculation of the saprobity index, according to Pantle–Buck method and the Sládeček modification, showed that the saprobity values ranged from 2.14 to 2.5, which corresponds to β-mesotrophic reservoirs and means that the lake belongs to the category of water with “satisfactory purity”.
Characteristics of hydrochemical indicators
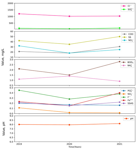
The chemical composition of the surface water in Lake Maybalyk is influenced by both natural and anthropogenic factors. Due to long-term open aquaculture, a large amount of residual feed and manure accumulated in the lake, which affects the water quality of the lake. The values of the physicochemical parameters for Lake Maybalyk from sampling at the site are shown in Figure 5.
The water in the lake under study has a pH in the range of 8.0 and is categorized as slightly alkaline water. The study of the water samples taken during the research period showed a discrepancy between the maximum permissible concentration (MPC) for reservoirs of fishery importance, according to the following indicators: COD (from 1.2 to 1.7 MPC), suspended solids (from 72 to 12.4 MPC), chlorides (Cl) (from 3.4 to 4 MPC), phosphates (PO43−) (from 1 to 1.3 MPC), ammonium nitrogen (NH4+) (from 1.8 to 2.8 MPC), iron (Fe3+) (from 1.5 to 4 MPC), SSASs (from 1.5 to 2.2 MPC), sulfates (SO42−) (from 1.1 to 1.3 MPC), and fluorides (F) (from 5.6 to 9 MPC). The pH values did not exceed the MPC values. The BOD5 and nitrate values did not exceed the MPC values in any year. The concentration of nitrites exceeded the MPC values by 1.4 times in 2019 only (Figure 5). The investigated substances found in the water samples belong mainly to hazard classes III (dangerous) and IV (moderately dangerous).

4. Discussion

The distribution of algae on the water surface of the lake is influenced by some natural factors, including wind patterns, the presence of shallow areas, coastal erosion, pH, salinity, temperature, oxygen levels, emissions from nearby facilities, and household waste [62,63]. Together, these factors affect the composition and structure of phytoplankton communities. Emissions entering the lake heat the surface layers of the reservoir, leading to increased diversity, abundance, and biomass of plankton communities. This consistent change in the upper layers of the lake throughout the season results in a slight elevation of the lake’s trophic status, as indicated by the hydrochemical analysis (Figure 5).
Most planktonic algae are very sensitive to water temperature, which affects their growth and reproduction rates. Diatoms thrive in colder waters and are abundant in lakes and reservoirs during autumn and spring, when the water temperature is lower [64,65], as confirmed by our research. A similar study on phytoplankton diversity in communities reported that most microalgae live in temperate zones with a neutral or slightly alkaline pH [66,67], which is also supported by our research. Diatoms are highly adaptable to various environmental conditions and are commonly found in different water bodies, both on underwater surfaces (benthos) and in surface water layers (phytoplankton) [68,69]. Similar patterns have been observed in larger bodies of water. The authors of [46], in their work, showed that the structure of the phytoplankton community is balanced and consists of 217 phytoplankton taxa, which can be classified into nine major groups: Chlorophyta (65), Bacillariophyta (45), Cyanobacteria (44), Ochrophyta (32), Charophyta (10), Miozoa (10), Cryptophyta (7), Euglenozoa (3), and Choanozoa (1). The findings align with the research conducted by [70] on the diversity of freshwater microalgae in the Noyyal River located in Tamil Nadu State, India, where a total of 49 species were identified. In the work by [71], the authors identified 22 genera of freshwater algae from the classes Cyanophyceae, Chlorophyceae, Bacillariophyceae, and Euglenophyceae. Throughout all the observed periods, diatoms (Bacillariophyta) and green algae (Chlorophyta) dominated in terms of the species numbers in Lake Maybalyk, with blue-green algae (Cyanobacteria) ranking third. The class Bacillariophyta was the most diverse, with ten species, and the family Naviculaceae was dominant in terms of numbers. The results are similar to those by [71], who showed that members of the Bacillariophyceae class were found to be the most diverse, represented by eight genera, with Navicula, Cymbella, and Spirogyra being the most dominant species. They explained this difference by noting that nutrients, such as nitrates and phosphorus, which originate from anthropogenic activities, increase the species richness and disrupt the biodiversity balance.
Based on the available information, the species composition of aquatic organisms found in specific bodies of water can indicate the cleanliness or pollution levels of the latter. The role of hydrobionts as indicators is characterized not only by their presence or absence in the reservoir, but also by the extent of their quantitative representation. The ratio of indicator species in the communities in Lake Maybalyk indicates a favorable oxygen regime, a relatively wide salinity gradient, a weakly alkaline water reaction, and a moderate level of organic pollution. The ecological preferences of the algae indicate a low or moderate level of organic pollution in most of Lake Maybalyk.
The analysis of organic pollutant intake was based on the calculated indicators of saprobity and the distribution of indicators of the trophic state and the type of nutrition available to the phytoplankton species. The trophic level in the reservoir for algae was mesotrophic. The saprobity index characterized a moderate level of organic pollution. The saprobity index values (Figure 4) indicate that the ecosystem effectively copes with both external and internal organic pollution.
The water transparency in the lake varied from moderately polluted to dirty. The specific greenish-gray color of the water, characteristic of this lake, experiences seasonal fluctuations and is heterogeneous in different parts of the lake, as well as transparent. Dissolved substances in water, suspended mineral particles, and microorganisms absorb, disperse, and reflect light in different ways, resulting in dirty and cloudy shades to the water. With a large number of suspensions of various origins, the lake takes on its color, and according to the results obtained, the hydrochemical analysis characterized the water in Lake Maybalyk as moderately polluted (Figure 5). The excess fluorine in surface waters near the city is a consequence of the discharge of industrial fluorinated wastewater from enterprises that produce aluminum products. The increase in chlorides is associated with the disinfection of drinking water, resulting in the formation of chlorine-containing organic compounds that are unsafe for both human consumption and the environment. A significant portion of iron enters surface waters through underground runoff, as well as wastewater from many industries and utilities. Excess COD values are associated with the content of organic substances in water, which is a medium for the development of microorganisms. An increase in SSASs usually indicates pollution, the main sources of which are household wastewater and wastewater from food and chemical industries. The concentration of suspended solids depends on seasonal factors, runoff regimes, snowmelt, riverbed rock formation, and anthropogenic factors. In this regard, transparency decreases, which affects the penetration of light and the water temperature and slows down biochemical processes. Sulfate pollution is associated with the death of terrestrial and aquatic organisms of both plant and animal origin, as well as with groundwater runoff. The nitrite varied within water quality classes II and III, nitrates within water quality classes I and II, and ammonium–nitrogen within water quality classes II and III. An increase in the ammonium–nitrogen concentration is associated with freshwater pollution caused by breeding and walking animals near the lake, human household activities, and seasonal fishing.
From the oligosaprobic to the polysaprobic zone, many important indicators for aquatic inhabitants deteriorate, namely the content of oxygen dissolved in water, which is necessary for the respiration of aquatic organisms, decreases; nitrates turn into more toxic nitrites and ammonium compounds; and sulfates pass into sulfites and further into sulfides, until hydrogen sulfide is formed. At the same time, the number of species of living beings demanding oxygen content decreases, until their complete disappearance. Meanwhile, species that can withstand changes in the chemical composition of water and a lack of oxygen can increase their numbers due to the influx of nutrients and the disappearance of competitors. Thus, as a result of the conducted research, a comprehensive assessment of the ecological state of Lake Maybalyk was carried out. The water quality of Lake Maybalyk is largely determined by a significant anthropogenic load, as it is the largest lake of fishery importance and has an impact on the climatic features of the capital. According to both the hydrochemical and hydrobiological indicators, the water in the studied lake belongs to class III in terms of water quality, namely “moderately polluted” water. Indicators of phytoplankton communities in the lake indicate the eutrophication of its ecosystem. Signs of eutrophication were particularly evident during low-water hydrological periods.

5. Conclusions

Studying the relationship between phytoplankton communities and environmental factors is crucial to understanding the functions of aquatic ecosystems. The high sensitivity of phytoplankton to changes in environmental factors makes it possible to influence the state of water body ecosystems.
These studies have enabled the determination of the systematic affiliation of algoflora (97 species and intraspecific taxa), the identification of algal indicators of saprobity (71 species), the hydrochemical analysis of water, and the hydrobiological analysis of Lake Maybalyk. Diatoms (Bacillariophyta) and green algae (Chlorophyta) play leading roles in the taxonomic structure. Of the indicator species, 49.3% were representative of the β-mesosaprobic zone (Pantle–Buck saprobity index 2.15–2.5), in which the species diversity of algae is higher than that in other zones. The presence of mesosaprobes indicates the presence of pollution sources in relatively clean reservoirs. According to the zooplankton conditions, the lake is a α-eutrophic water body, with an increased level of trophic activity. According to the zoobenthos conditions, the lake is a β-mesotrophic reservoir, with an average trophic level. The results of this study show that the use of indicator species for studying algal species diversity, along with quantitative analysis of zooplankton and zoobenthos, allows for an adequate assessment of reservoir pollution. The ecological condition of Lake Maybalyk was classified as “moderately polluted”.
A comprehensive assessment of the state of Lake Maybalyk revealed that the most significant negative impact on the reservoir’s ecosystem is caused by anthropogenic pollution resulting from the lake’s proximity to the capital’s airport, agricultural fields, livestock grazing, and seasonal fishing activities. Prolonged reservoir pollution leads to gradual changes in the species composition of organisms. Monitoring, based on hydrobiological and hydrochemical indicators, can serve as the basis for preventing the risk of violating the pollution regime in Lake Maybalyk.
Given its ecological characteristics, this reservoir may be suitable for fisheries activities. However, to enhance the reservoir’s self-cleaning ability, it is essential to implement a series of comprehensive measures with state support aimed at creating favorable conditions for aquaculture. These measures include the removal of reeds, introducing autochthonous microalgae strains, minimizing and eliminating pollution sources, and regular analysis of hydrochemical and hydrobiological indicators. Such activities will contribute to improving the oxygen regime, developing a natural food base, conserving biodiversity, and enhancing water quality for the recreational use of the reservoir.

Author Contributions

Conceptualization, Z.T. and A.B.; methodology, A.T. (Aliya Temirbekova); investigation, Z.R. and R.B.; data curation, D.Y. and A.T. (Aslan Temirkhanov); writing—original draft preparation, Z.T. and A.B.; writing—review and editing, Z.T. and A.B.; visualization, N.A and D.Y.; software, A.T. (Aliya Temirbekova) and K.K.; resources, Z.R. and K.K.; validation, R.B. and A.K.; formal analysis, A.K. and N.A.; supervision, A.T. (Aslan Temirkhanov) and A.A.; project administration, A.A.; funding acquisition, A.A. and A.T. (Aslan Temirkhanov). All authors have read and agreed to the published version of the manuscript.

Funding

This research was funded by the Science Committee of the Ministry Science and Higher Education of the Republic of Kazakhstan to support the “Development of biopreparations to improve the productivity and sustainability of the development of young birds in poultry”, Grant No. AP14869952.

Institutional Review Board Statement

Not applicable.

Informed Consent Statement

Not applicable.

Data Availability Statement

The original contributions presented in the study are included in the article, further inquiries can be directed to the corresponding author.

Conflicts of Interest

The authors declare that there are no conflicts of interest.

References

  1. Zhao, F.; Zhan, X.; Xu, H.; Zhu, G.; Zou, W.; Zhu, M.; Kang, L.; Guo, Y.; Zhao, X.; Wang, Z.; et al. New insights into eutrophication management: Importance of temperature and water residence time. J. Environ. Sci. 2022, 111, 229–239. [Google Scholar] [CrossRef] [PubMed]
  2. Ahmed, S.S.; Bali, R.; Khan, H.; Mohamed, H.I.; Sharma, S.K. Improved water resource management framework for water sustainability and security. Environ. Res. 2021, 201, 111527. [Google Scholar] [CrossRef] [PubMed]
  3. Murray, C.; Larson, A.; Goodwill, J.; Wang, Y.; Cardace, D.; Akanda, A.S. Water Quality Observations from Space: A Review of Critical Issues and Challenges. Environments 2022, 9, 125. [Google Scholar] [CrossRef]
  4. Bhat, R.A.; Singh, D.V.; Qadri, H.; Dar, G.H.; Dervash, M.A.; Bhat, S.A.; Unal, B.T.; Ozturk, M.; Hakeem, K.R.; Yousaf, B. Vulnerability of municipal solid waste: An emerging threat to aquatic ecosystems. Chemosphere 2022, 287, 132223. [Google Scholar] [CrossRef]
  5. Chowdhury, S.; Mazumder, M.A.J.; Al-Attas, O.; Husain, T. Heavy metals in drinking water: Occurrences, implications, and future needs in developing countries. Sci. Total Environ. 2016, 569–570, 476–488. [Google Scholar] [CrossRef]
  6. Alexander, T.J.; Vonlanthen, P.; Seehausen, O. Does eutrophication-driven evolution change aquatic ecosystems? Philos. Trans. R. Soc. B Biol. Sci. 2017, 372, 20160041. [Google Scholar] [CrossRef]
  7. Scholz, S.N.; Esterhuizen-Londt, M.; Pflugmacher, S. Rise of toxic cyanobacterial blooms in temperate freshwater lakes: Causes, correlations and possible countermeasures. Toxicol. Environ. Chem. 2017, 99, 543–577. [Google Scholar] [CrossRef]
  8. Laplace-Treyture, C.; Feret, T. Performance of the Phytoplankton Index for Lakes (IPLAC): A multimetric phytoplankton index to assess the ecological status of water bodies in France. Ecol. Indic. 2016, 69, 686–698. [Google Scholar] [CrossRef]
  9. Cartuche, A.; Guan, Z.; Ibelings, B.W.; Venail, P. Phytoplankton Diversity Relates Negatively with Productivity in Tropical High-Altitude Lakes from Southern Ecuador. Sustainability 2019, 11, 5235. [Google Scholar] [CrossRef]
  10. Abzhalelov, A.B.; Tekebayeva, Z.B.; Aituganov, K.A. The Role of Algoflora in the Purification of Reservoirs Contaminated with Various Pollutants; Print House LLP “Master Po”: Astana, Kazakhstan, 2017; pp. 1–84. [Google Scholar]
  11. Beauger, A.; Voldoire, O.; Allain, E.; Gosseaume, P.; Blavignac, C.; Baker, L.A.; Wetzel, C.E. Biodiversity and Environmental Factors Structuring Diatom Assemblages of Mineral Saline Springs in the French Massif Central. Diversity 2023, 15, 283. [Google Scholar] [CrossRef]
  12. Chiaramonti, D.; Prussi, M.; Casini, D.; Tredici, M.R.; Rodolfi, L.; Bassi, N.; Zittelli, G.C.; Bondioli, P. Review of energy balance in raceway ponds for microalgae cultivation: Re-thinking a traditional system is possible. Appl. Energy 2013, 102, 101–111. [Google Scholar] [CrossRef]
  13. Cai, Y.; Qi, L.; Shan, T.; Liu, Y.; Zhang, N.; Lu, X.; Fan, Y. Application of Phytoplankton Taxonomic α-Diversity Indices to Assess Trophic States in Barrier Lake: A Case of Jingpo Lake. Diversity 2022, 14, 1003. [Google Scholar] [CrossRef]
  14. Liu, W.C.; Liu, H.M.; Yam, R.S.W. A three-dimensional coupled hydrodynamic-ecological modeling to assess the planktonic biomass in a subalpine lake. Sustainability 2021, 13, 12377. [Google Scholar] [CrossRef]
  15. Barinova, S.; Krupa, E.; Khitrova, E. Spatial Distribution of the Taxonomic Diversity of Phytoplankton and Bioindication of the Shallow Protected Lake Borovoe in the Burabay National Natural Park, Northern Kazakhstan. Diversity 2022, 14, 1071. [Google Scholar] [CrossRef]
  16. Duan, T.; Feng, J.; Chang, X.; Li, Y. Evaluation of the effectiveness and effects of long-term ecological restoration on watershed water quality dynamics in two eutrophic river catchments in Lake Chaohu Basin, China. Ecol. Indic. 2022, 145, 109592. [Google Scholar] [CrossRef]
  17. Smith, J.E.; Wolny, J.L.; Hill, R.L.; Stocker, M.D.; Pachepsky, Y. Examining the Relationship between Phytoplankton Community Structure and Water Quality Measurements in Agricultural Waters: A Machine Learning Application. Environments 2022, 9, 142. [Google Scholar] [CrossRef]
  18. Baek, S.H.; Lee, M.; Park, B.S.; Lim, Y.K. Variation in Phytoplankton Community Due to an Autumn Typhoon and Winter Water Turbulence in Southern Korean Coastal Waters. Sustainability 2020, 12, 2781. [Google Scholar] [CrossRef]
  19. Ratté-Fortin, C.; Chokmani, K.; Laurion, I. Spatiotemporal Variability in Phytoplankton Bloom Phenology in Eastern Canadian Lakes Related to Physiographic, Morphologic, and Climatic Drivers. Environments 2020, 7, 77. [Google Scholar] [CrossRef]
  20. Ampofo, J.; Abbey, L. Microalgae: Bioactive Composition, Health Benefits, Safety and Prospects as Potential High-Value Ingredients for the Functional Food Industry. Foods 2022, 11, 1744. [Google Scholar] [CrossRef]
  21. Sim, B.R.; Kim, H.C.; Kim, C.S.; Kim, J.H.; Park, K.W.; Lim, W.A.; Lee, W.C. Seasonal Distributions of Phytoplankton and Environmental Factors Generate Algal Blooms in the Taehwa River, South Korea. Water 2020, 12, 3329. [Google Scholar] [CrossRef]
  22. Madeira, M.S.; Cardoso, C.; Lopes, P.A.; Coelho, D.; Afonso, C.; Bandarra, N.M.; Prates, J.A.M. Microalgae as feed ingredients for livestock production and meat quality: A review. Livest. Sci. 2017, 205, 111–121. [Google Scholar] [CrossRef]
  23. Niccolai, A.; Chini Zittelli, G.; Rodolfi, L.; Biondi, N.; Tredici, M.R. Microalgae of interest as food source: Biochemical composition and digestibility. Algal Res. 2019, 42, 101617. [Google Scholar] [CrossRef]
  24. Guedes, A.C.; Sousa-Pinto, I.; Malcata, F.X. Application of Microalgae Protein to Aquafeed. Handb. Mar. Microalgae Biotechnol. Adv. 2015, 8, 93–125. [Google Scholar] [CrossRef]
  25. Hemaiswarya, S.; Raja, R.; Kumar, R.R.; Ganesan, V.; Anbazhagan, C. Microalgae: A sustainable feed source for aquaculture. World J. Microbiol. Biotechnol. 2011, 27, 1737–1746. [Google Scholar] [CrossRef]
  26. Wan, A.H.L.; Davies, S.J.; Soler-Vila, A.; Fitzgerald, R.; Johnson, M.P. Macroalgae as a sustainable aquafeed ingredient. Rev. Aquac. 2019, 11, 458–492. [Google Scholar] [CrossRef]
  27. Michalak, I.; Mahrose, K. Seaweeds, Intact and Processed, as a Valuable Component of Poultry Feeds. J. Mar. Sci. Eng. 2020, 8, 620. [Google Scholar] [CrossRef]
  28. Fredriksson, S.; Elwinger, K.; Pickova, J. Fatty acid and carotenoid composition of egg yolk as an effect of microalgae addition to feed formula for laying hens. Food Chem. 2006, 99, 530–537. [Google Scholar] [CrossRef]
  29. Oostlander, P.C.; van Houcke, J.; Wijffels, R.H.; Barbosa, M.J. Microalgae production cost in aquaculture hatcheries. Aquaculture 2020, 525, 735310. [Google Scholar] [CrossRef]
  30. Sfez, S.; Van Den Hende, S.; Taelman, S.E.; De Meester, S.; Dewulf, J. Environmental sustainability assessment of a microalgae raceway pond treating aquaculture wastewater: From up-scaling to system integration. Bioresour. Technol. 2015, 190, 321–331. [Google Scholar] [CrossRef]
  31. Shah, M.R.; Lutzu, G.A.; Alam, A.; Sarker, P.; Kabir Chowdhury, M.A.; Parsaeimehr, A.; Liang, Y.; Daroch, M. Microalgae in aquafeeds for a sustainable aquaculture industry. J. Appl. Phycol. 2018, 30, 197–213. [Google Scholar] [CrossRef]
  32. Sui, Y.; Jiang, Y.; Moretti, M.; Vlaeminck, S.E. Harvesting time and biomass composition affect the economics of microalgae production. J. Clean. Prod. 2020, 259, 120782. [Google Scholar] [CrossRef]
  33. Dineshbabu, G.; Goswami, G.; Kumar, R.; Sinha, A.; Das, D. Microalgae–nutritious, sustainable aqua- and animal feed source. J. Funct. Foods 2019, 62, 103545. [Google Scholar] [CrossRef]
  34. Nagappan, S.; Das, P.; AbdulQuadir, M.; Thaher, M.; Khan, S.; Mahata, C.; Al-Jabri, H.; Vatland, A.K.; Kumar, G. Potential of microalgae as a sustainable feed ingredient for aquaculture. J. Biotechnol. 2021, 341, 1–20. [Google Scholar] [CrossRef]
  35. Poikane, S.; Zohary, T.; Cantonati, M. Assessing the ecological effects of hydromorphological pressures on European lakes. Inland Waters 2019, 10, 241–255. [Google Scholar] [CrossRef]
  36. Parikhani, F.; Atazadeh, E.; Razeghi, J.; Mosaferi, M.; Kulikovskiy, M. Using Algal Indices to Assess the Ecological Condition of the Aras River, Northwestern Iran. J. Mar. Sci. Eng. 2023, 11, 1867. [Google Scholar] [CrossRef]
  37. Barinova, S.; Gabyshev, V.; Gabysheva, O. Phytoplankton in the Ecological Assessment of the Mining Facilities Influence on the Anabar River in the Permafrost Zone of the Arctic, Eastern Siberia, Russia. Land 2023, 12, 1775. [Google Scholar] [CrossRef]
  38. Stoyneva-Gärtner, M.P.; Descy, J.P.; Uzunov, B.A.; Miladinov, P.; Stefanova, K.; Radkova, M.; Gärtner, G. Diversity of the Summer Phytoplankton of 43 Waterbodies in Bulgaria and Its Potential for Water Quality Assessment. Diversity 2023, 15, 472. [Google Scholar] [CrossRef]
  39. Ramón, J.; Sierra, A.; Newman, R.; Barinova, S.; Krupa, E.; Khitrova, Y. Phytoplankton Diversity and Bioindication of the Lakes in the Burabay National Natural Park, Northern Kazakhstan. Ecologies 2023, 4, 242–268. [Google Scholar] [CrossRef]
  40. Huo, S.; Li, X.; Xi, B.; Zhang, H.; Ma, C.; He, Z. Combining morphological and metabarcoding approaches reveals the freshwater eukaryotic phytoplankton community. Environ. Sci. Eur. 2020, 32, 37. [Google Scholar] [CrossRef]
  41. Unified Methods of Water Quality Research. Part 3. Methods of Biological Analysis of Waters. Appendix 1. Saprobity Indicators; Unoin for Mutual Economic Assistance, CMEA: Moscow, Russia, 1977; pp. 11–42.
  42. Tekebayeva, Z.; Temirbekova, A.; Bazarkhankyzy, A.; Bissenova, G.; Abzhalelov, A.; Tynybayeva, I.; Temirkhanov, A.; Askarova, N.; Mkilima, T.; Sarmurzina, Z. Selection of Active Microorganism Strains Isolated from a Naturally Salty Lake for the Investigation of Different Microbial Potentials. Sustainability 2023, 15, 51. [Google Scholar] [CrossRef]
  43. Kozlov, A.V.; Markova, D.S.; Bodyakshina, M.A.; Klochkov, E.A.; Zakharova, A.A.; Savinov, M.I. Ecology-Geochemical Characteristics of Lake Water of the Zavolzhye of the Nizhny Novgorod Region with the Status of Specially Protected Natural Areas. Adv. Curr. Nat. Sci. 2020, 11, 69–75. [Google Scholar] [CrossRef]
  44. Baturina, M.A.; Makarevich, O.A.; Kaygorodova, I.A.; Zhukova, T.V.; Adamovich, B. The role of annelida in the lakes of the naroch system (BELARUS). Int. J. Appl. Fundam. Res. 2018, 12-1, 56–59. [Google Scholar]
  45. Imant, E.N.; Novoselov, A.P. Qualitative and quantitative indicators of zooplankton in lakes lacha (arkhangelsk region) and golodnaya guba (nenets autonomous district). Int. J. Appl. Fundam. Res. 2018, 12-2, 226–271. [Google Scholar]
  46. Hanžek, N.; Gligora Udovič, M.; Kajan, K.; Borics, G.; Várbíró, G.; Stoeck, T.; Žutinić, P.; Orlić, S.; Stanković, I. Assessing ecological status in karstic lakes through the integration of phytoplankton functional groups, morphological approach and environmental DNA metabarcoding. Ecol. Indic. 2021, 131, 108166. [Google Scholar] [CrossRef]
  47. Gabyshev, V.A.; Gabysheva, O.I. To the study of the influence of concentration of organic and biogenic substances on the cenotic and floristic structure of mixotrophic phytoflagellate communities of large subarctic rivers of eastern siberia. Int. J. Appl. Fundam. Res. 2018, 6, 93–97. [Google Scholar]
  48. Matafonov, P.V. The spatial distribution of lithorial zoobentos in the lake arakhley in the low-water period. Int. J. Appl. Fundam. Res. 2018, 5, 180–184. [Google Scholar]
  49. The Sixth National Report on Biological Diversity in the Republic of Kazakhstan; Convention on Biological Diversity: Astana, Kazakhstan, 2018; Available online: https://www.cbd.int/doc/nr/nr-06/kz-nr-06-en.pdf (accessed on 4 November 2022).
  50. Krupa, E.G.; Barinova, S.S.; Romanova, S.M. Ecological Mapping in Assessing the Impact of Environmental Factors on the Aquatic Ecosystem of the Arys River Basin, South Kazakhstan. Diversity 2019, 11, 239. [Google Scholar] [CrossRef]
  51. Jiyenbekov, A.; Barinova, S.; Bigaliev, A.; Nurashov, S.; Sametova, E.; Fahima, T. Ecological diversity of algae in the alakol lake natural reserve, Kazakhstan. Bot. Pacifica 2019, 8, 63–74. [Google Scholar] [CrossRef]
  52. Krupa, E.; Barinova, S.; Aubakirova, M. Tracking pollution and its sources in the catchment-lake system of major waterbodies in Kazakhstan. Lakes Reserv. Res. Manag. 2020, 25, 18–30. [Google Scholar] [CrossRef]
  53. Krupa, E.G.; Barinova, S.S.; Romanova, S.M. Zooplankton Size Structure in the Kolsay Mountain Lakes (Kungei Alatau, Southeastern Kazakhstan) and Its Relationships with Environmental Factors. Water Resour. 2019, 46, 403–414. [Google Scholar] [CrossRef]
  54. Recreation Areas Are Organized Near the Lake Maybalyk, Taldykol and Maly Taldykol. Available online: https://profi.travel/news/30150/details (accessed on 4 November 2020).
  55. Sirenko, L.A.; Sakevich, A.I.; Osipov, L.F.; Lukina, L.F.; Kuzmenko, M.I.; Kozitskaya, V.N.; Velichko, I.M.; Myslovich, V.O.; Gavrilenko, M.Y.; Arendarchuk, V.V.; et al. Methods of Physiological and Biochemical Research of Algae in Hydrobiological Practice; Naukova Dumka: Kiev, Ukraine, 1975. [Google Scholar]
  56. Abakumov, V.A.; Sushchenya, L.M. Hydrobiological Monitoring of Freshwater Ecosystems and Ways to Its Improvement. Ekol. Modif. Kriter. Ekol. Normirovaniya 1991, 41–52. [Google Scholar]
  57. Wasser, S.P.; Kondratieva, N.V.; Masyuk, N.P.; Palamar-Mordvintseva, G.M.; Vetrova, Z.I.; Kordyum, E.I.; Moshkova, N.A.; Prikhodkova, L.P.; Kovalenko, O.V.; Stupina, V.V.; et al. Algae; Naukova Dumka: Kiev, Ukraine, 1989. [Google Scholar]
  58. AlgaeBase: Listing the World’s Algae. Available online: https://www.algaebase.org/ (accessed on 10 November 2023).
  59. Genkal, S.I.; Chekryzheva, T.A.; Komulaynen, S.F. Diatom Algae in Waterbodies and Watercourses of Karelia; Scientific World: Moscow, Russia, 2015. [Google Scholar]
  60. Melkumov, G.M. Algology: A Textbook for Higher Education Institutions; VSU: Voronezh, Russia, 2015. [Google Scholar]
  61. Sládeček, V. System of Water Quality from the Biological Point of View. Achieves Hydrobiol. Beih. Ergeb. Limnol. 1973, 7, 1–218. [Google Scholar]
  62. Adhiambo, R.; Mensah, P.K.; Acheampong, E. Widespread Geographical Disparities in Phytoplankton Ecology Research in the Face of Climate Change: A Review. Water 2023, 15, 4288. [Google Scholar] [CrossRef]
  63. Filiz, N.; Işkın, U.; Beklioğlu, M.; Öğlü, B.; Cao, Y.; Davidson, T.A.; Søndergaard, M.; Lauridsen, T.L.; Jeppesen, E. Phytoplankton Community Response to Nutrients, Temperatures, and a Heat Wave in Shallow Lakes: An Experimental Approach. Water 2020, 12, 3394. [Google Scholar] [CrossRef]
  64. Zhu, H.; Liu, X.G.; Cheng, S.P. Phytoplankton community structure and water quality assessment in an ecological restoration area of Baiyangdian Lake, China. Int. J. Environ. Sci. Technol. 2021, 18, 1529–1536. [Google Scholar] [CrossRef]
  65. Barinova, S.; Gabyshev, V.; Genkal, S.; Gabysheva, O. Diatoms of Small Water Bodies as Bioindicators in the Assessment of Climatic and Anthropogenic Impacts on the Coast of Tiksi Bay, Russian Arctic. Water 2023, 15, 1533. [Google Scholar] [CrossRef]
  66. Jiang, L.; Yao, Y.; Zhang, S.; Wan, L.; Zhou, Z. Effects of Stream Connectivity on Phytoplankton Diversity and Community Structure in Sunken Lakes: A Case Study from an August Survey. Diversity 2023, 15, 291. [Google Scholar] [CrossRef]
  67. Arsad, S.; Sihombing, R.S.P.; Mahmudi, M.; Luthfi, O.M.; Safitri, I.; Pratiwi, F.D. Benthic and Planktonic Microalgae Community in Probolinggo Beach. J. Aquac. Fish Health 2024, 13, 1–11. [Google Scholar] [CrossRef]
  68. Mesquita, M.C.B.; Graco-Roza, C.; de Magalhães, L.; Ger, K.A.; Marinho, M.M. Environmental Variables Outpace Biotic Interactions in Shaping a Phytoplankton Community. Diversity 2024, 16, 438. [Google Scholar] [CrossRef]
  69. de-los-Ríos-Mérida, J.; Guerrero, F.; Arijo, S.; Muñoz, M.; Gilbert, J.D.; Álvarez-Manzaneda, I.; Reul, A. Implications of Anthropic Activities in the Catchment Area of a Temporary Mediterranean Wetland Complex in the South of Spain. Sustainability 2024, 16, 1685. [Google Scholar] [CrossRef]
  70. MohanapriyaK, R.; Geetharamani, D. Fresh water Micro algal Diversity of Noyyal River at Tamil Nadu State, India. J. Algal Biomass Utln 2014, 5, 12–20. [Google Scholar]
  71. Severes, A.; Nivas, S.; D’Souza, L.; Hegde, S. Diversity study of freshwater microalgae of some unexplored water bodies of a rapidly developing industrial region in India. J. Algal Biomass Utln. 2018, 9, 31–40. [Google Scholar]
Figure 1. Map of the study area.
Figure 1. Map of the study area.
Sustainability 16 09628 g001
Figure 2. Distribution of phytoplankton by taxonomic groups.
Figure 2. Distribution of phytoplankton by taxonomic groups.
Sustainability 16 09628 g002
Figure 3. Pictures of algae as indicators of saprobity.
Figure 3. Pictures of algae as indicators of saprobity.
Sustainability 16 09628 g003
Figure 4. Range of saprobity from the zone of “contamination” to the zone of “purity”, according to the indicator species of phytoplankton in Lake Maybalyk for 2019–2021.
Figure 4. Range of saprobity from the zone of “contamination” to the zone of “purity”, according to the indicator species of phytoplankton in Lake Maybalyk for 2019–2021.
Sustainability 16 09628 g004
Figure 5. Hydrochemical analysis of Lake Maybalyk water samples for 2019–2021: dynamics of pH, BOD5, COD, SSASs, SSs, phosphate ions, ammonium nitrogen, nitrites, nitrates, total iron, sulfates, fluorides, and chlorides (mg/L), by year.
Figure 5. Hydrochemical analysis of Lake Maybalyk water samples for 2019–2021: dynamics of pH, BOD5, COD, SSASs, SSs, phosphate ions, ammonium nitrogen, nitrites, nitrates, total iron, sulfates, fluorides, and chlorides (mg/L), by year.
Sustainability 16 09628 g005
Table 1. List of algae indicators of saprobity.
Table 1. List of algae indicators of saprobity.
№. Name of the AlgaesS
1234
Bacillariophyta
1Aulacoseira granulata Ehr.β2.0
2Bacillaria paxillifera (Müll) β2.8
3Caloneis amphisbaena Boryβ–α2.3
4Cocconeis pediculus Hero-α1.8
5Cymbella aspera Ehr. o-α1.8
6Diatoma vulgaris Boryβ2.2
7Diploneis elliptica (Kutz.) Cl.o-χ0.6
8Fragilaria vaucheriae (Kutz.) Boye Pβ–α2.2
9Gomphonema trigonocephalum Ehr. o-β1.4
10Gomphonema constrictum Ehr.β2.2
11Gyrosigma acuminatum (Kutz.)o-α1.9
12Gyrosigma attenuatum (Kutz.) Raben.o-α1.8
13Hippodonta capitata Ehr.β–α2.4
14Melosira varians Agβ2.1
15Neidiomorpha binodis Ehr. β-o1.6
16Navicula cincta (Ehr.) Kutz.χ-o0.5
17Navicula cryptocephala Kutz.β2.1
18Navicula cuspidate Kutz.α-β2.7
19Navicula salinarum Kolbeβ2.1
20Navicula viridula (Kutz)β2.2
21Nitzschia acicularis W. Sm.α2.4
22Nitzschia obtusa W. Sm.β–α2.4
23Nitzschia palea (Kutz.) W. Sm.α-o2.8
24Nitzschia tryblionella Hantz.α2.7
25Pantocsekiella kuetzingiana (Thw)β2.0
26Pinnularia major Kutz. var. majorβ2.1
27Pinnularia viridis (Ehr) var. viridisβ2.1
28Placoneis gastrum Ehr.β2.0
29Pleurosigma elongatum W. Sm.β2.0
30Stauroneis legumen Ehr.ο1.0
31Stephanocyclus meneghinianus Kütz α-β2.8
32Surirella librile Ehr.β2.2
33Synedra pulchella (Ralfs) Kutz.β2.2
34Tabularia tabulata (Ag.) β-α2.5
35Ulnaria acus (Kütz)o-α1.85
36Ulnaria ulna (Nitzsch)β2.0
Chlorophyta
37Ankistrodesmus acicularis (A.Br.)β2.2
38Ankistrodesmus falcatus (Corda) Ralfsβ2.3
39Chlamydomonas proboscigera Korsch.α3.1
40Chlamydomonas reinhardtii Dang.α3.1
41Chlorella vulgaris Beijer.α3.1
42Closterium gracile Breb.o-β1.5
43Crucigenia quadrata Morren.o-α1.9
44Crucigenia tetrapedia (Kirchn.) β2.0
45Dictyosphaerium pulchellum Woodvar. pulchellaβ2.3
46Hindakia tetrachotoma Printz. β2.5
47Gonatozygon monotaenium de Baryχ-β0.8
48Lagerheimia marssonii Lemm.β2.1
49Neglectella solitaria (Wittr)β-o1.7
50Pediastrum boryanum (Turp.) Menegh.o-α1.9
51Tetradesmus lagerheimii M.J. Wynne β2.2
52Acutodesmus acutiformis (Schröder) o-α1.8
53Scenedesmus bijugatus (Turp)β2.0
54Scenedesmus quadricauda (Turp)β2.1
55Tetradesmus obliquus (Turpin)α-β2.8
56Scenedesmus obtusus Meyenβ2.0
57Selenastrum bibraianum Reinsch.β-o2.25
58Tetraedron minimum A. Br. Hansg.β2.1
59Tetrastrum triacanthum Korsch.β2.2
60Ulothrix subtilis Kütz.β2.0
Cyanobacteria
61Dolichospermum flosaquae (Bornet and Flahault)β2.0
62Aphanizomenon flos-aquae Ralf.β2.2
63Aphanothece clathrataβ2.1
64Microcystis aeruginosa Kutz.β2.1
65Nostoc carneum Ag.β2.0
66Phormidium chalybeum (Mert.) Gom. α3.0
67Spirulina jenneri Elenk.α3.0
68Oscillatoria princeps Vauch.α-ρ2.8
69Phormidesmis mollis (Gomont) β2.0
70Spirulina subsalsa Oerstedo-β1.4
Euglenophyta
71Euglena viridis Ehr. var. viridisα-ρ3.5
Disclaimer/Publisher’s Note: The statements, opinions and data contained in all publications are solely those of the individual author(s) and contributor(s) and not of MDPI and/or the editor(s). MDPI and/or the editor(s) disclaim responsibility for any injury to people or property resulting from any ideas, methods, instructions or products referred to in the content.

Share and Cite

MDPI and ACS Style

Tekebayeva, Z.; Bazarkhankyzy, A.; Temirbekova, A.; Rakhymzhan, Z.; Kulzhanova, K.; Beisenova, R.; Kulagin, A.; Askarova, N.; Yevneyeva, D.; Temirkhanov, A.; et al. Ecological Assessment of Phytoplankton Diversity and Water Quality to Ensure the Sustainability of the Ecosystem in Lake Maybalyk, Astana, Kazakhstan. Sustainability 2024, 16, 9628. https://doi.org/10.3390/su16229628

AMA Style

Tekebayeva Z, Bazarkhankyzy A, Temirbekova A, Rakhymzhan Z, Kulzhanova K, Beisenova R, Kulagin A, Askarova N, Yevneyeva D, Temirkhanov A, et al. Ecological Assessment of Phytoplankton Diversity and Water Quality to Ensure the Sustainability of the Ecosystem in Lake Maybalyk, Astana, Kazakhstan. Sustainability. 2024; 16(22):9628. https://doi.org/10.3390/su16229628

Chicago/Turabian Style

Tekebayeva, Zhanar, Aidana Bazarkhankyzy, Aliya Temirbekova, Zhanar Rakhymzhan, Kamshat Kulzhanova, Raikhan Beisenova, Andrey Kulagin, Nurgul Askarova, Dinara Yevneyeva, Aslan Temirkhanov, and et al. 2024. "Ecological Assessment of Phytoplankton Diversity and Water Quality to Ensure the Sustainability of the Ecosystem in Lake Maybalyk, Astana, Kazakhstan" Sustainability 16, no. 22: 9628. https://doi.org/10.3390/su16229628

APA Style

Tekebayeva, Z., Bazarkhankyzy, A., Temirbekova, A., Rakhymzhan, Z., Kulzhanova, K., Beisenova, R., Kulagin, A., Askarova, N., Yevneyeva, D., Temirkhanov, A., & Abzhalelov, A. (2024). Ecological Assessment of Phytoplankton Diversity and Water Quality to Ensure the Sustainability of the Ecosystem in Lake Maybalyk, Astana, Kazakhstan. Sustainability, 16(22), 9628. https://doi.org/10.3390/su16229628

Note that from the first issue of 2016, this journal uses article numbers instead of page numbers. See further details here.

Article Metrics

Back to TopTop