Seasonal Dynamics and Source Apportionment of Heavy Metals in Road Dust: A Case Study of Liuzhou, China
Abstract
1. Introduction
2. Materials and Methods
2.1. Study Area
2.2. Sample Collection
2.3. Chemical Analysis
2.4. Road Dust Pollution Assessment
2.4.1. Geological Accumulation Index Method
2.4.2. Nemerow Pollution Index Assessment
2.5. Source Analysis of Road Dust Pollution
2.5.1. Spatial Distribution Characteristics of Road Dust
2.5.2. Correlation Analysis Between Road Dust and Soil
2.5.3. Principal Component Analysis (PCA) to Analyze Pollution Sources
2.5.4. APCS-MLR Model Analysis to Quantify Pollution Source Contributions
3. Results and Discussion
3.1. Characterization of the Concentrations of Heavy Metal Elements in Road Dust
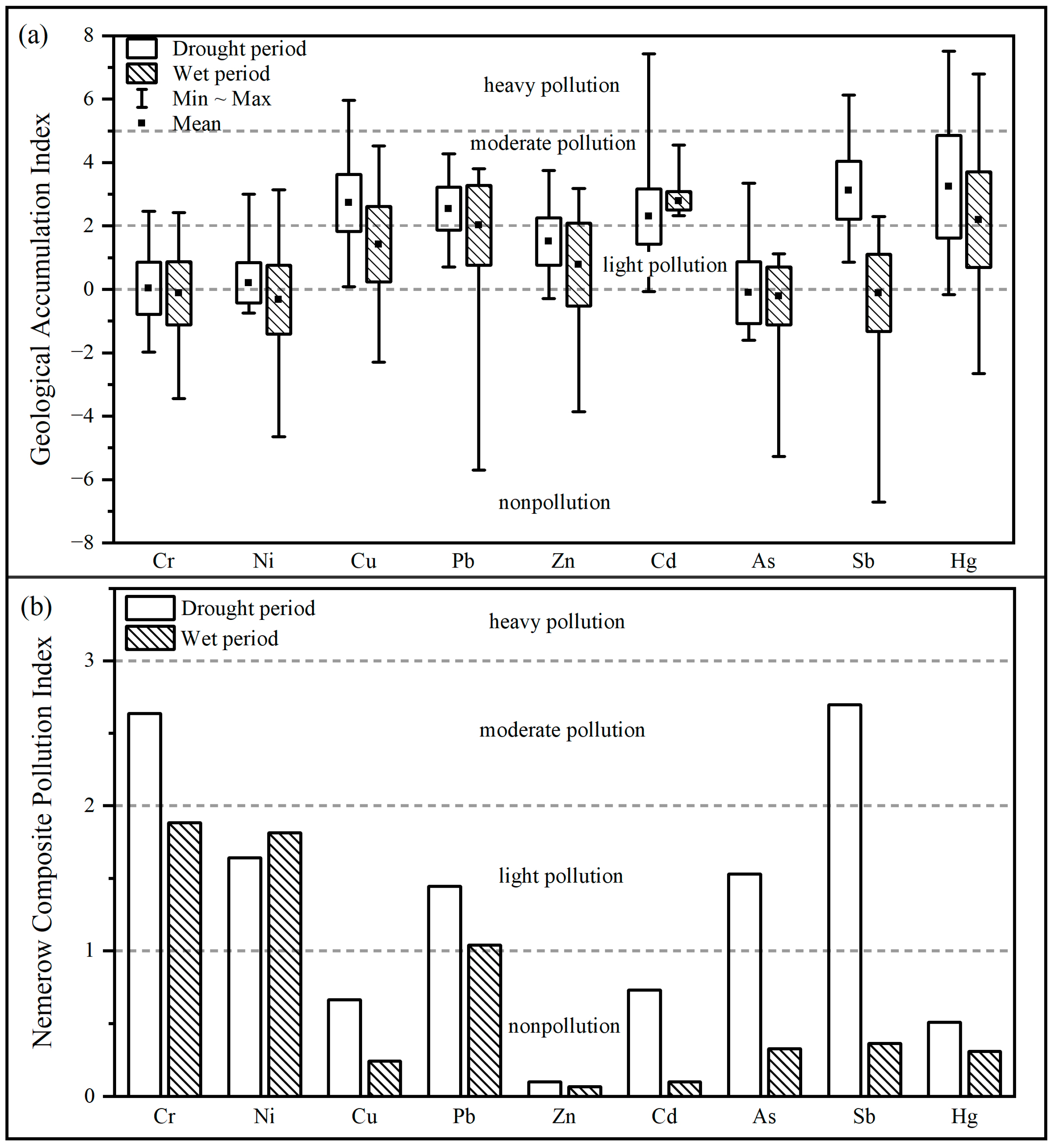
3.2. Assessment of Heavy Metal Pollution
3.3. Spatial Distribution of Heavy Metals in Road Dust During the Different Periods
3.4. Correlation Analysis of Heavy Metals Between Road Dust and Surrounding Soil
3.5. Principal Component Analysis to Determine Pollution Sources
3.6. APCS-MLR Modeling for Quantitative Analysis of Pollution Sources
4. Conclusions
Author Contributions
Funding
Institutional Review Board Statement
Informed Consent Statement
Data Availability Statement
Conflicts of Interest
References
- Liu, J.; Wang, R.S.; Tian, Y.; Zhang, M.R. The driving mechanisms of industrial air pollution spatial correlation networks: A case study of 168 Chinese cities. J. Clean. Prod. 2024, 470, 143255. [Google Scholar] [CrossRef]
- Proshad, R.; Kormoker, T.; Al, M.A.; Islam, M.S.; Khadka, S.; Idris, A.M. Receptor model-based source apportionment and ecological risk of metals in sediments of an urban river in Bangladesh. J. Hazard. Mater. 2022, 423, 127030. [Google Scholar] [CrossRef] [PubMed]
- Lu, X.W.; Wang, Z.Z.; Chen, Y.R.; Yang, Y.F.; Fan, X.Y.; Wang, L.Q.; Yu, B.; Lei, K.; Zuo, L.; Fan, P.; et al. Source-specific probabilistic risk evaluation of potentially toxic metal(loid) s in fine dust of college campuses based on positive matrix factorization and Monte Carlo simulation. J. Environ. Manag. 2023, 347, 119056. [Google Scholar] [CrossRef] [PubMed]
- Men, C.; Liu, R.M.; Xu, F.; Wang, Q.R.; Guo, L.J.; Shen, Z.Y. Pollution characteristics, risk assessment, and source apportionment of heavy metals in road dust in Beijing, China. Sci. Total Environ. 2018, 612, 138–147. [Google Scholar] [CrossRef]
- Kolakkandi, V.; Sharma, B.; Rana, A.; Dey, S.; Rawat, P.; Sarkar, S. Spatially resolved distribution, sources and health risks of heavy metals in size-fractionated road dust from 57 sites across megacity Kolkata, India. Sci. Total Environ. 2020, 705, 135805. [Google Scholar] [CrossRef]
- Yang, Y.F.; Lu, X.W.; Fan, P.; Yu, B.; Wang, L.Q.; Lei, K.; Zuo, L. Multi-element features and trace metal sources of road sediment from a mega heavy industrial city in North China. Chemosphere 2023, 311, 137093. [Google Scholar] [CrossRef]
- Han, Q.; Wang, M.S.; Cao, J.L.; Gui, C.L.; Liu, Y.P.; He, X.D.; He, Y.C.; Liu, Y. Health risk assessment and bioaccessibilities of heavy metals for children in soil and dust from urban parks and schools of Jiaozuo, China. Ecotoxicol. Environ. Saf. 2020, 191, 110157. [Google Scholar] [CrossRef]
- Men, C.; Liu, R.M.; Xu, L.B.; Wang, Q.R.; Guo, L.J.; Miao, Y.X.; Shen, Z.Y. Source-specific ecological risk analysis and critical source identification of heavy metals in road dust in Beijing, China. J. Hazard. Mater. 2020, 388, 121763. [Google Scholar] [CrossRef]
- Shabbaj, I.I.; Alghamdi, M.A.; Shamy, M.; Hassan, S.K.; Alsharif, M.M.; Khoder, M.I. Risk Assessment and Implication of Human Exposure to Road Dust Heavy Metals in Jeddah, Saudi Arabia. Int. J. Environ. Res. Public Health 2018, 15, 36. [Google Scholar] [CrossRef]
- Fan, X.Y.; Lu, X.W.; Yu, B.; Zuo, L.; Fan, P.; Yang, Y.F.; Zhuang, S.K.; Liu, H.M.; Qin, Q. Risk and sources of heavy metals and metalloids in dust from university campuses: A case study of Xi’an, China. Environ. Res. 2021, 202, 111703. [Google Scholar] [CrossRef]
- Hao, Q.; Lu, X.W.; Yu, B.; Yang, Y.F.; Lei, K.; Pan, H.Y.; Gao, Y.H.; Liu, P.R.; Wang, Z.Z. Sources and probabilistic ecological-health risks of heavy metals in road dust from urban areas in a typical industrial city. Urban Clim. 2023, 52, 101730. [Google Scholar] [CrossRef]
- Toth, G.; Hermann, T.; Da Silva, M.R.; Montanarella, L. Heavy metals in agricultural soils of the European Union with implications for food safety. Environ. Int. 2016, 88, 299–309. [Google Scholar] [CrossRef] [PubMed]
- Han, Q.; Liu, Y.; Feng, X.X.; Mao, P.; Sun, A.; Wang, M.Y.; Wang, M.S. Pollution effect assessment of industrial activities on potentially toxic metal distribution in windowsill dust and surface soil in central China. Sci. Total Environ. 2021, 759, 144023. [Google Scholar] [CrossRef] [PubMed]
- Noli, F.; Tsamos, P. Concentration of heavy metals and trace elements in soils, waters and vegetables and assessment of health risk in the vicinity of a lignite-fired power plant. Sci. Total Environ. 2016, 563, 377–385. [Google Scholar] [CrossRef]
- Yang, S.C.; Liu, J.L.; Bi, X.Y.; Ning, Y.Q.; Qiao, S.Y.; Yu, Q.Q.; Zhang, J. Risks related to heavy metal pollution in urban construction dust fall of fast-developing Chinese cities. Ecotoxicol. Environ. Saf. 2020, 197, 110628. [Google Scholar] [CrossRef]
- Pan, H.Y.; Lu, X.W.; Lei, K. A comprehensive analysis of heavy metals in urban road dust of Xi’an, China: Contamination, source apportionment and spatial distribution. Sci. Total Environ. 2017, 609, 1361–1369. [Google Scholar] [CrossRef]
- Lu, X.W.; Wang, L.J.; Li, L.Y.; Lei, K.; Huang, L.; Kang, D. Multivariate statistical analysis of heavy metals in street dust of Baoji, NW China. J. Hazard. Mater. 2010, 173, 744–749. [Google Scholar] [CrossRef]
- Kong, S.F.; Lu, B.; Bai, Z.P.; Zhao, X.Y.; Chen, L.; Han, B.; Li, Z.Y.; Ji, Y.Q.; Xu, Y.H.; Liu, Y. Potential threat of heavy metals in re-suspended dusts on building surfaces in oilfield city. Atmos. Environ. 2011, 45, 4192–4204. [Google Scholar] [CrossRef]
- Zhang, M.M.; Lu, X.W.; Chen, H.; Gao, P.P.; Fu, Y. Multi-element characterization and source identification of trace metal in road dust from an industrial city in semi-humid area of Northwest China. J. Radioanal. Nucl. Chem. 2015, 303, 637–646. [Google Scholar] [CrossRef]
- Ali, M.U.; Liu, G.J.; Yousaf, B.; Abbas, Q.; Ullah, H.; Munir, M.A.M.; Fu, B. Pollution characteristics and human health risks of potentially (eco) toxic elements (PTEs) in road dust from metropolitan area of Hefei, China. Chemosphere 2017, 181, 111–121. [Google Scholar] [CrossRef]
- Christoforidis, A.; Stamatis, N. Heavy metal contamination in street dust and roadside soil along the major national road in Kavala’s region, Greece. Geoderma 2009, 151, 257–263. [Google Scholar] [CrossRef]
- Li, X.P.; Zhang, M.; Gao, Y.; Zhang, Y.C.; Zhang, X.; Yan, X.Y.; Wang, S.; Yang, R.; Liu, B.; Yu, H.T. Urban street dust bound 24 potentially toxic metal/metalloids (PTMs) from Xining valley-city, NW China: Spatial occurrences, sources and health risks. Ecotoxicol. Environ. Saf. 2018, 162, 474–487. [Google Scholar] [CrossRef] [PubMed]
- Sezgin, N.; Ozcan, H.K.; Demir, G.; Nemlioglu, S.; Bayat, C. Determination of heavy metal concentrations in street dusts in Istanbul E-5 highway. Environ. Int. 2004, 29, 979–985. [Google Scholar] [CrossRef] [PubMed]
- Tang, Z.W.; Chai, M.; Cheng, J.L.; Jin, J.; Yang, Y.F.; Nie, Z.Q.; Huang, Q.F.; Li, Y.H. Contamination and health risks of heavy metals in street dust from a coal-mining city in eastern China. Ecotoxicol. Environ. Saf. 2017, 138, 83–91. [Google Scholar] [CrossRef]
- Resongles, E.; Dietze, V.; Green, D.C.; Harrison, R.M.; Ochoa-Gonzalez, R.; Tremper, A.H.; Weiss, D.J. Strong evidence for the continued contribution of lead deposited during the 20th century to the atmospheric environment in London of today. Proc. Natl. Acad. Sci. USA 2021, 118, e2102791118. [Google Scholar] [CrossRef]
- Dousova, B.; Lhotka, M.; Buzek, F.; Cejkova, B.; Jackova, I.; Bednar, V.; Hajek, P. Environmental interaction of antimony and arsenic near busy traffic nodes. Sci. Total Environ. 2020, 702, 134642. [Google Scholar] [CrossRef]
- Gietl, J.K.; Lawrence, R.; Thorpe, A.J.; Harrison, R.M. Identification of brake wear particles and derivation of a quantitative tracer for brake dust at a major road. Atmos. Environ. 2010, 44, 141–146. [Google Scholar] [CrossRef]
- Adachi, K.; Tainosho, Y. Characterization of heavy metal particles embedded in tire dust. Environ. Int. 2004, 30, 1009–1017. [Google Scholar] [CrossRef]
- Wang, S.Y.; Wang, L.Q.; Huan, Y.Z.; Wang, R.; Liang, T. Concentrations, spatial distribution, sources and environmental health risks of potentially toxic elements in urban road dust across China. Sci. Total Environ. 2022, 805, 150266. [Google Scholar] [CrossRef]
- Wang, Y.Q.; Bai, Y.R.; Wang, J.Y. Distribution of urban soil heavy metal and pollution evaluation in different functional zones of Yinchuan city. Huanjing Kexue 2016, 37, 710–716. [Google Scholar]
- Hou, S.N.; Zheng, N.; Tang, L.; Ji, X.F.; Li, Y.Y.; Hua, X.Y. Pollution characteristics, sources, and health risk assessment of human exposure to Cu, Zn, Cd and Pb pollution in urban street dust across China between 2009 and 2018. Environ. Int. 2019, 128, 430–437. [Google Scholar] [CrossRef] [PubMed]
- He, Y.; Peng, C.; Zhang, Y.; Guo, Z.; Xiao, X.; Kong, L. Comparison of heavy metals in urban soil and dust in cities of China: Characteristics and health risks. Int. J. Environ. Sci. Technol. 2023, 20, 2247–2258. [Google Scholar] [CrossRef]
- Kumar, M.; Furumai, H.; Kurisu, F.; Kasuga, I. Tracing source and distribution of heavy metals in road dust, soil and soakaway sediment through speciation and isotopic fingerprinting. Geoderma 2013, 211, 8–17. [Google Scholar] [CrossRef]
- Chen, H.Y.; Teng, Y.G.; Lu, S.J.; Wang, Y.Y.; Wang, J.S. Contamination features and health risk of soil heavy metals in China. Sci. Total Environ. 2015, 512, 143–153. [Google Scholar] [CrossRef]
- Briffa, J.; Sinagra, E.; Blundell, R. Heavy metal pollution in the environment and their toxicological effects on humans. Heliyon 2020, 6, e04691. [Google Scholar] [CrossRef]
- Li, Y.; Ye, Z.; Yu, Y.; Li, Y.; Jiang, J.; Wang, L.J.; Wang, G.M.; Zhang, H.C.; Li, N.; Xie, X. A combined method for human health risk area identification of heavy metals in urban environments. J. Hazard. Mater. 2023, 449, 131067. [Google Scholar] [CrossRef]
- Meena, M.; Meena, B.S.; Chandrawat, U.; Rani, A. Seasonal variation of selected metals in particulate matter at an industrial city Kota, India. Aerosol Air Qual. Res. 2016, 16, 990–999. [Google Scholar] [CrossRef]
- Choi, E.; Yi, S.-M.; Lee, Y.S.; Jo, H.; Baek, S.-O.; Heo, J.-B. Sources of airborne particulate matter-bound metals and spatial-seasonal variability of health risk potentials in four large cities, South Korea. Environ. Sci. Pollut. Res. 2022, 29, 28359–28374. [Google Scholar] [CrossRef]
- Feng, J.S.; Song, N.N.; Yu, Y.X.; Li, Y.X. Differential analysis of FA-NNC, PCA-MLR, and PMF methods applied in source apportionment of PAHs in street dust. Environ. Monit. Assess. 2020, 192, 727. [Google Scholar] [CrossRef]
- Wang, X.Y.; Liu, E.F.; Yan, M.X.; Zheng, S.W.; Fan, Y.; Sun, Y.X.; Li, Z.J.; Xu, J.L. Contamination and source apportionment of metals in urban road dust (Jinan, China) integrating the enrichment factor, receptor models (FA-NNC and PMF), local Moran’s index, Pb isotopes and source-oriented health risk. Sci. Total Environ. 2023, 878, 163211. [Google Scholar] [CrossRef]
- Aryal, R.; Beecham, S.; Sarkar, B.; Chong, M.N.; Kinsela, A.; Kandasamy, J.; Vigneswaran, S. Readily wash-off road dust and associated heavy metals on motorways. Water Air Soil Pollut. 2017, 228, 1. [Google Scholar] [CrossRef]
- Jeong, H.; Choi, J.Y.; Lee, J.; Lim, J.; Ra, K. Heavy metal pollution by road-deposited sediments and its contribution to total suspended solids in rainfall runoff from intensive industrial areas. Environ. Pollut. 2020, 265, 115028. [Google Scholar] [CrossRef] [PubMed]
- Olken, F.; Rotem, D. Random sampling from databases: A survey. Stat. Comput. 1995, 5, 25–42. [Google Scholar] [CrossRef]
- Muller, G. Index of geoaccumulation in sediments of the Rhine River. GeoJournal 1969, 2, 109–118. [Google Scholar]
- Lu, X.W.; Li, L.Y.; Wang, L.J.; Lei, K.; Huang, J.; Zhai, Y.X. Contamination assessment of mercury and arsenic in roadway dust from Baoji, China. Atmos. Environ. 2009, 43, 2489–2496. [Google Scholar] [CrossRef]
- Pathak, A.K.; Kumar, R.; Kumar, P.; Yadav, S. Sources apportionment and spatio-temporal changes in metal pollution in surface and sub-surface soils of a mixed type industrial area in India. J. Geochem. Explor. 2015, 159, 169–177. [Google Scholar] [CrossRef]
- Cheng, H.X.; Li, K.; Li, M.; Yang, K.; Liu, F.; Cheng, X.M. Geochemical background and baseline value of chemical elements in urban soil in China. Earth Sci. Front. 2014, 21, 265–306. [Google Scholar]
- Yang, Z.P.; Li, X.Y.; Wang, Y.; Chang, J.Z.; Liu, X.R. Trace element contamination in urban topsoil in China during 2000–2009 and 2010–2019: Pollution assessment and spatiotemporal analysis. Sci. Total Environ. 2021, 758, 143647. [Google Scholar] [CrossRef]
- Zhang, X.X.; Zha, T.G.; Guo, X.P.; Meng, G.X.; Zhou, J.X. Spatial distribution of metal pollution of soils of Chinese provincial capital cities. Sci. Total Environ. 2018, 643, 1502–1513. [Google Scholar] [CrossRef]
- Padoan, E.; Romè, C.; Ajmone-Marsan, F. Bioaccessibility and size distribution of metals in road dust and roadside soils along a peri-urban transect. Sci. Total Environ. 2017, 601, 89–98. [Google Scholar] [CrossRef]
- Shi, D.Q.; Lu, X.W.; Wang, Q. Evaluating Health Hazards of Harmful Metals in Roadway Dust Particles Finer than 100 μm. Pol. J. Environ. Stud. 2018, 27, 2729–2737. [Google Scholar] [CrossRef] [PubMed]
- GB36600-2018; Soil Environmental Quality—Risk Control Standard for Soil Contamination of Development Land. Chinese Standard: Beijing, China, 2018.
- Oliver, M.A.; Webster, R. Kriging: A method of interpolation for geographical information systems. Int. J. Geogr. Inf. Syst. 1990, 4, 313–332. [Google Scholar] [CrossRef]
- Largueche, F.-Z.B. Estimating soil contamination with Kriging interpolation method. Am. J. Appl. Sci. 2006, 3, 1894–1898. [Google Scholar] [CrossRef]
- Sedgwick, P. Pearson’s correlation coefficient. BMJ 2012, 345, e4483. [Google Scholar] [CrossRef]
- Jin, Y.L.; O’Connor, D.; Ok, Y.S.; Tsang, D.C.; Liu, A.; Hou, D. Assessment of sources of heavy metals in soil and dust at children’s playgrounds in Beijing using GIS and multivariate statistical analysis. Environ. Int. 2019, 124, 320–328. [Google Scholar] [CrossRef]
- Abdi, H.; Williams, L.J. Principal component analysis. Wiley Interdiscip. Rev. Comput. Stat. 2010, 2, 433–459. [Google Scholar] [CrossRef]
- Li, S.Y.; Zhang, Q.F. Risk assessment and seasonal variations of dissolved trace elements and heavy metals in the Upper Han River, China. J. Hazard. Mater. 2010, 181, 1051–1058. [Google Scholar] [CrossRef]
- Shi, D.Q.; Lu, X.W. Accumulation degree and source apportionment of trace metals in smaller than 63 μm road dust from the areas with different land uses: A case study of Xi’an, China. Sci. Total Environ. 2018, 636, 1211–1218. [Google Scholar] [CrossRef]
- Yuan, R.Y.; Zheng, T.Y.; Zheng, X.L.; Liu, D.S.; Xin, J.; Yu, L.; Liu, G.Q. Identification of groundwater nitrate pollution sources in agricultural area using PCA and SIAR methods. Episodes 2020, 43, 739–749. [Google Scholar] [CrossRef]
- Yan, B.; Xu, D.M.; Chen, T.; Yan, Z.A.; Li, L.L.; Wang, M.H. Leachability characteristic of heavy metals and associated health risk study in typical copper mining-impacted sediments. Chemosphere 2020, 239, 124748. [Google Scholar] [CrossRef]
- Aguilera, A.; Bautista, F.; Gutiérrez-Ruiz, M.; Ceniceros-Gómez, A.E.; Cejudo, R.; Goguitchaichvili, A. Heavy metal pollution of street dust in the largest city of Mexico, sources and health risk assessment. Environ. Monit. Assess. 2021, 193, 193. [Google Scholar] [CrossRef] [PubMed]
- Wang, S.; Cai, L.M.; Wen, H.H.; Luo, J.; Wang, Q.S.; Liu, X. Spatial distribution and source apportionment of heavy metals in soil from a typical county-level city of Guangdong Province, China. Sci. Total Environ. 2019, 655, 92–101. [Google Scholar] [CrossRef] [PubMed]
- Sun, L.; Guo, D.K.; Liu, K.; Meng, H.; Zheng, Y.J.; Yuan, F.Q.; Zhu, G.H. Levels, sources, and spatial distribution of heavy metals in soils from a typical coal industrial city of Tangshan, China. Catena 2019, 175, 101–109. [Google Scholar] [CrossRef]
- Luo, H.P.; Wang, Q.Z.; Guan, Q.Y.; Ma, Y.R.; Ni, F.; Yang, E.Q.; Zhang, J. Heavy metal pollution levels, source apportionment and risk assessment in dust storms in key cities in Northwest China. J. Hazard. Mater. 2022, 422, 126878. [Google Scholar] [CrossRef] [PubMed]
- Ma, X.; Sha, Z.P.; Li, Y.Z.; Si, R.T.; Tang, A.H.; Fangmeier, A.; Liu, X.J. Temporal-spatial characteristics and sources of heavy metals in bulk deposition across China. Sci. Total Environ. 2024, 926, 171903. [Google Scholar] [CrossRef]
- Trujillo-González, J.M.; Torres-Mora, M.A.; Keesstra, S.; Brevik, E.C.; Jiménez-Ballesta, R. Heavy metal accumulation related to population density in road dust samples taken from urban sites under different land uses. Sci. Total Environ. 2016, 553, 636–642. [Google Scholar] [CrossRef]
- Skrbic, B.D.; Buljovcic, M.; Jovanovic, G.; Antic, I. Seasonal, spatial variations and risk assessment of heavy elements in street dust from Novi Sad, Serbia. Chemosphere 2018, 205, 452–462. [Google Scholar] [CrossRef]
- Liu, J.W.; Kang, H.; Tao, W.D.; Li, H.Y.; He, D.; Ma, L.X.; Tang, H.J.; Wu, S.Q.; Yang, K.X.; Li, X.X. A spatial distribution–Principal component analysis (SD-PCA) model to assess pollution of heavy metals in soil. Sci. Total Environ. 2023, 859, 160112. [Google Scholar] [CrossRef]
- Pandey, B.; Agrawal, M.; Singh, S. Assessment of air pollution around coal mining area: Emphasizing on spatial distributions, seasonal variations and heavy metals, using cluster and principal component analysis. Atmos. Pollut. Res. 2014, 5, 79–86. [Google Scholar] [CrossRef]
- Meuser, H.; Meuser, H. Causes of soil contamination in the urban environment. In Contaminated Urban Soils; Springer: Berlin/Heidelberg, Germany, 2010; pp. 29–94. [Google Scholar]
- Li, G.; Sun, G.X.; Ren, Y.; Luo, X.S.; Zhu, Y.G. Urban soil and human health: A review. Eur. J. Soil Sci. 2018, 69, 196–215. [Google Scholar] [CrossRef]
- Mukherjee, A.B.; Zevenhoven, R.; Brodersen, J.; Hylander, L.D.; Bhattacharya, P. Mercury in waste in the European Union: Sources, disposal methods and risks. Resour. Conserv. Recycl. 2004, 42, 155–182. [Google Scholar] [CrossRef]
- Cheng, H.F.; Hu, Y.A. Mercury in municipal solid waste in China and its control: A review. Environ. Sci. Technol. 2012, 46, 593–605. [Google Scholar] [CrossRef] [PubMed]
- Westerlund, C.; Viklander, M. Particles and associated metals in road runoff during snowmelt and rainfall. Sci. Total Environ. 2006, 362, 143–156. [Google Scholar] [CrossRef] [PubMed]
- Huston, R.; Chan, Y.; Chapman, H.; Gardner, T.; Shaw, G. Source apportionment of heavy metals and ionic contaminants in rainwater tanks in a subtropical urban area in Australia. Water Res. 2012, 46, 1121–1132. [Google Scholar] [CrossRef]
- Hussain, K.; Rahman, M.; Prakash, A.; Hoque, R.R. Street dust bound PAHs, carbon and heavy metals in Guwahati city–Seasonality, toxicity and sources. Sustain. Cities Soc. 2015, 19, 17–25. [Google Scholar] [CrossRef]
- Han, L.H.; Zhuang, G.S.; Cheng, S.Y.; Wang, Y.; LI, J. Characteristics of re-suspended road dust and its impact on the atmospheric environment in Beijing. Atmos. Environ. 2007, 41, 7485–7499. [Google Scholar] [CrossRef]






| Sample | Cr | Ni | Cu | Pb | Zn | Cd | As | Sb | Hg | |
|---|---|---|---|---|---|---|---|---|---|---|
| Drought period (n = 160) | Minimum | 26.54 | 25.84 | 31.82 | 68.82 | 87.18 | 0.11 | 8.36 | 3.82 | 0.03 |
| Maximum | 580.67 | 346.99 | 1879.00 | 814.36 | 1437.71 | 20.69 | 259.22 | 147.27 | 5.76 | |
| Mean | 129.16 | 58.05 | 254.40 | 274.69 | 346.63 | 0.80 | 31.80 | 23.29 | 0.60 | |
| Standard deviation | 88.84 | 46.88 | 236.94 | 136.18 | 194.21 | 1.65 | 35.90 | 21.55 | 0.84 | |
| Coefficient of variation (%) | 68.78 | 80.76 | 93.14 | 49.58 | 56.03 | 205.26 | 112.90 | 92.53 | 140.25 | |
| Wet period (n = 160) | Minimum | 9.67 | 1.73 | 6.11 | 0.81 | 7.35 | 0.60 | 0.66 | 0.02 | 0.01 |
| Maximum | 564.34 | 384.55 | 688.88 | 587.61 | 969.84 | 2.81 | 55.62 | 10.30 | 4.48 | |
| Mean | 117.63 | 45.45 | 104.30 | 210.87 | 235.02 | 0.85 | 25.26 | 2.49 | 0.29 | |
| Standard deviation | 74.25 | 47.76 | 74.52 | 109.94 | 147.31 | 0.24 | 11.23 | 1.66 | 0.54 | |
| Coefficient of variation (%) | 63.12 | 105.08 | 71.45 | 52.14 | 62.68 | 27.86 | 44.44 | 66.50 | 184.34 | |
| Surrounding soil mean (n = 160) | 42.94 | 123.76 | 91.49 | 269.15 | 120.40 | 1.16 | 107.93 | 12.45 | 0.28 | |
| Soil background of China * | 70.00 | 29.00 | 20.00 | 28.00 | 71.00 | 0.08 | 17.00 | 1.40 | 0.02 | |
| Variables | Drought Period | Wet Period | ||||||
|---|---|---|---|---|---|---|---|---|
| PC1 | PC2 | PC3 | PC4 | PC1 | PC2 | PC3 | PC4 | |
| Cr | 0.43 | 0.85 | 0.05 | 0.01 | 0.57 | 0.60 | −0.30 | 0.04 |
| Ni | 0.24 | 0.90 | 0.07 | 0.03 | 0.52 | 0.62 | −0.22 | 0.09 |
| Cu | 0.63 | 0.06 | −0.25 | −0.36 | 0.64 | 0.39 | 0.06 | −0.01 |
| Pb | 0.75 | −0.21 | 0.22 | 0.17 | 0.81 | −0.18 | 0.18 | −0.22 |
| Zn | 0.80 | −0.07 | 0.11 | −0.18 | 0.79 | −0.25 | 0.06 | −0.14 |
| Cd | 0.11 | −0.12 | 0.92 | 0.12 | 0.47 | −0.28 | 0.07 | 0.83 |
| As | 0.64 | −0.39 | −0.16 | −0.12 | 0.57 | −0.40 | −0.31 | −0.17 |
| Sb | 0.78 | −0.18 | −0.07 | 0.06 | 0.71 | −0.35 | 0.15 | −0.08 |
| Hg | 0.30 | −0.01 | −0.28 | 0.87 | 0.10 | 0.33 | 0.86 | −0.02 |
| Total | 2.97 | 1.80 | 1.07 | 0.97 | 3.34 | 1.46 | 1.05 | 0.81 |
| Eigenvalue of variance (%) | 32.96 | 19.99 | 11.93 | 10.81 | 37.16 | 16.22 | 11.70 | 8.94 |
| Total variance explained (%) | 32.96 | 52.96 | 64.89 | 75.70 | 37.16 | 53.38 | 65.08 | 74.02 |
Disclaimer/Publisher’s Note: The statements, opinions and data contained in all publications are solely those of the individual author(s) and contributor(s) and not of MDPI and/or the editor(s). MDPI and/or the editor(s) disclaim responsibility for any injury to people or property resulting from any ideas, methods, instructions or products referred to in the content. |
© 2024 by the authors. Licensee MDPI, Basel, Switzerland. This article is an open access article distributed under the terms and conditions of the Creative Commons Attribution (CC BY) license (https://creativecommons.org/licenses/by/4.0/).
Share and Cite
Zhang, L.; Qian, J.; Liu, J.; Niu, K.; Zhang, H. Seasonal Dynamics and Source Apportionment of Heavy Metals in Road Dust: A Case Study of Liuzhou, China. Sustainability 2024, 16, 10051. https://doi.org/10.3390/su162210051
Zhang L, Qian J, Liu J, Niu K, Zhang H. Seasonal Dynamics and Source Apportionment of Heavy Metals in Road Dust: A Case Study of Liuzhou, China. Sustainability. 2024; 16(22):10051. https://doi.org/10.3390/su162210051
Chicago/Turabian StyleZhang, Lu, Jianping Qian, Jinrui Liu, Kangkang Niu, and Huanrong Zhang. 2024. "Seasonal Dynamics and Source Apportionment of Heavy Metals in Road Dust: A Case Study of Liuzhou, China" Sustainability 16, no. 22: 10051. https://doi.org/10.3390/su162210051
APA StyleZhang, L., Qian, J., Liu, J., Niu, K., & Zhang, H. (2024). Seasonal Dynamics and Source Apportionment of Heavy Metals in Road Dust: A Case Study of Liuzhou, China. Sustainability, 16(22), 10051. https://doi.org/10.3390/su162210051

