Abstract
The efficiency of road freight transport determines—to a significant degree—the total environmental footprint and the amount of greenhouse gases and other pollutants released into the atmosphere by inland transport. The rate of empty or partially empty vehicles is one of the key metrics for improvement of the environmental performance of freight road transportation. This paper presents the characteristics of road freight transport in Poland on the basis of data collected by weigh-in-motion stations. Data aggregation for environmental analysis represents a novel aspect of the work. Indicators describing the degree of loading, the share of empty vehicles in traffic, and the share of vehicles of maximum permissible total weight in traffic were determined for a representative group of heavy goods vehicles. Based on the representative load factor value (LFA), a classification of the road section into four groups was proposed. The results obtained show a clear differentiation of the values of the indicators analyzed for individual groups and their variability in the three-year period covered by the analysis. The aggregation method presented can be used to identify the nature of the distribution of the weight categories of the heavy goods vehicles and provide input information for targeted analyses relating to sustainable road transport management and environmental protection. Finally, the grouped LFA values were linked with indicators of energy consumption (ECI) and on-road emissions (EI).
1. Introduction
The environmental performance and sustainability of road freight transportation are one of the key challenges across the world. Road freight is the dominant mode of inland cargo movement in the countries of the European Union (EU). The share of road transport within the total EU freight reached a peak of 24.6% in 2021 [1]. This means that the efficiency of road freight determines—to a significant degree—the total environmental footprint and the amount of greenhouse gases and other pollutants released into the atmosphere by inland transport. In total, transport is responsible for a quarter of the EU’s greenhouse gas emissions, with road transport representing the greatest share thereof, equal to 72% in 2019 [2]. In the EU, over the period 2018–2022, the total road freight transport measured in tonne-kilometers (tkm) registered an average annual growth rate of 2.1%. Simultaneously, a fifth (20.2%) of the total road freight vehicle-kilometers in the EU were driven by empty vehicles. Poland has a higher share of empty vehicle-kilometers (23.7%) compared to the EU average; for international road transport, the share amounts to 12.5% [3].
As reflected in certain key statistics, road transport plays a special role in the case of Poland. The share of road transport in total freight transport was the third highest among all EU countries in 2021, amounting to 64.5% in tkm. Simultaneously, Poland has the highest individual share of total EU international road freight transport, equal to 33% in 2022. The average annual growth rate of road transport between 2018 and 2022 was 3.6%. Moreover, in Poland the total share of vehicle-kilometers performed by empty vehicles is 22.5%—higher than the mean value for the entire EU. For transport within Poland, the share of empty vehicle-kilometers was equal to 34.2%; the corresponding figure for international road transport was 12.9% [3]. Such data show that heavy vehicles travel a high number of kilometers with no cargo (particularly in the case of Poland), which imposes a significant financial burden on shippers and carriers and increases the environmental impacts. The environmental burden could be greatly reduced in cases where the loading of heavy vehicles and their routing are optimized, especially for domestic transport. In a study presented by Fulzele and Shankar [4], experts identified the rate of empty or partially empty vehicles as one of the key metrics for improvement of the environmental performance of freight transportation. Karam and Reinau [5] investigated the impacts of A-double vehicle combinations if introduced to a line-haul freight transport network. They showed that the use of the A-double combination would lead to a significant reduction in empty tractor–semitrailer trips.
Knowledge of the spatial distributions of weight-categorized heavy vehicles flows is critical in order to establish appropriate strategies to reduce empty movement in transport [6]. For Polish conditions, relevant data can be obtained from a network of weigh-in-motion (WIM) stations installed on the national road network. WIM systems have been introduced to control the axle loads and total weight of vehicles without having to cause them to stop driving. Such stations carry out simultaneous classification, measuring the speed and individual axle loads for each vehicle passing through the set of sensors. They therefore make it possible to preselect overloaded vehicles and, in the future, will also be used to automatically issue fines for offences relating to exceeding the permitted axle loads or total vehicle weight. These systems operate continuously, around the clock, regardless of the weather conditions, which means that the data recorded at WIM stations enable a number of in-depth analyses of traffic flows to be performed. They provide data on current traffic volumes and changes in these volumes over time and enable analyses the of traffic distribution in the transport network. Such an important source of reliable data has not gone unnoticed by researchers; the data collected by WIM stations have facilitated a number of extended analyses and are used, among others, in traffic safety analyses [6,7,8,9,10], analyses of the durability of pavement structures [11], analyses of traffic flows in the road network and its characteristics [6,12,13,14,15,16], economic analyses, and environmental impact analyses [17,18,19]. In summary, WIM stations provide a range of key data for sustainable road freight management and protection of the environment.
As is well known, emissions and fuel consumption are linked to demand for engine power. The driving resistance of a vehicle is influenced by vehicle mass, and thus vehicle load should be taken into account in freight transport emission calculations. Moreover, it has to be taken into account that emissions such as CO2 and SO2 are directly related to fuel consumption, but pollutants such as CO, NOx, CH4, N2O, NH3, and PM also depend on the load factor of the vehicle [20]. In [21], a set of recommendations are presented in order to better take the load factor into account in emissions calculations. In [22], a model was proposed for evaluating the differences in emission associated with various loading conditions for semitrailer diesel-powered tractor units.
Increasing the load factor is generally acknowledged as an efficient solution to improve the energy efficiency of freight transport and to reduce transport emissions [23]. Moreover, load factors are a strong determinant of transportation cost. The cost impact of increasing the load factor per tonne-kilometer is stronger for the shift from 0 to 0.25 than from 0.75 to the unattainable theoretical maximum (i.e., a value of 1.0). It follows that reducing empty and part-loaded runs is the optimal means to pursue more sustainable freight road transport [24]. The above leads to the conclusion that in road freight transport, high load factors are preferable—in contrast to low load factors which imply a higher number of trips, and generally greater environmental impacts. Some improvements in the overall freight transport load factor can be achieved by using high-capacity trucks. The environmental and economic potential of high-capacity trucks was investigated in [25]. That study found that high-capacity trucks had a higher load factor than road trains and semitrailers.
At the same time, the measurement of weight and the identification of the truck category at a WIM station make it possible to determine a number of indicators that are useful for the characterization of road transport via heavy goods vehicles (i.e., freight), such as the load factor LFA (average gross mass of the vehicle related to the gross mass of the unladen vehicle and the maximum permissible laden mass), the percentage share of empty vehicles EV (unladen vehicles), the percentage share of fully laden vehicles FV (vehicles with a weight equal to the maximum permissible gross vehicle weight), and the percentage share of overloaded vehicles. The data collected from a number of stations over the years make it possible to analyze tendencies and trends. The aim of this study is to characterize heavy road transport on the national road network in Poland in relation to the registered weights of tractors with semitrailers. The analysis was conducted on the basis of data collected by a system of several dozen WIM stations in the period from January 2020 to December 2022. The novelty of the work is related to the proposed evaluation of heavy goods vehicles’ characteristics on the basis of data aggregated within discrete groups of stations. These groups were distinguished by the median value of the load factor.
2. Materials and Methods
2.1. WIM System in Poland
In Poland, WIM stations have a pre-selective function, providing information to national Road Inspectors on the possible exceedance of permissible standards for the total weight, axle loads, length, and, in some cases, the height of vehicles. This information enables vehicles to be accurately selected and directed to the administrative weighing station. A typical WIM station consists of a set of load cells, loop detectors, and cameras for vehicle identification. An example of a WIM station is shown in Figure 1.
Figure 1.
WIM station located on the DK1 road (based on material by APM PRO).
The vast majority of stations operate in the accuracy class B+(7). According to the standards set out in the COST 323 specification [26], this class guarantees the measurement of the total weight with an accuracy of ±7% and the single axle load with an accuracy of ±10%. In Poland, WIM stations are present both on national roads, which are managed by the General Directorate for National Roads and Motorways (GDDKiA), and as part of municipal Intelligent Transport Systems. In the case of the GDDKiA systems, there are currently more than 100 WIM station locations from which data are collected and processed centrally at the Management Centre in Strykow.
2.2. Data Collected
The subject of the study was two- or three-axle tractor with semitrailer combinations, which are the most common on Polish roads—Figure 2. In this case (in Poland), the maximum permissible gross vehicle weight of the combination is 40 tonnes, and the drive axle load is 115 kN. In the case of a single axle, the permissible load is limited to 10 kN, and for a group axle, with an axle spacing of 1.3 m to 1.4 m, the value of the permissible load is 24 kN [27].
Figure 2.
Permissible parameters for a two-axle/three-axle tractor with a three-axle semitrailer.
According to the COST 323 classification, this category is numbered Category 5 (tractors with semitrailer supported by tridem axles). Figure 3 shows the share of vehicles in this category among all heavy goods vehicles over the period 2020–2022, determined on the basis of data collected by WIM stations.
Figure 3.
Histogram showing the percentage shares of trucks of each category, according to the COST 323 classification.
The selected category of vehicles comprises approximately 47–58% of all heavy goods vehicles circulating on Polish roads. It is also worth noting that there is a visible increase during the period analyzed. Among the remaining vehicles, Category 4 (tractors with a semitrailer supported by single or tandem axles) and Category 2 (two-axle rigid truck) vehicles dominate—together they account for approximately 35% of all vehicles. In contrast, Category 3 (more than two-axle rigid truck), Category 6 (truck with trailer), and Category 7 (buses) vehicles taken together do not exceed a 16% share of the total number of heavy goods vehicles.
During the period analyzed (the years 2020–2022), events occurred that could significantly affect traffic distribution, especially the volume of transport. These include, among others, mobility restrictions resulting from the COVID-19 pandemic (the years 2020/21) and the war in Ukraine (from February 2022 to the time of writing). Figure 4 shows the average number of Category 5 vehicles during the period analyzed.
Figure 4.
Distribution of the average number of Category 5 vehicles at selected WIM stations in the years 2020–2022 (black dots correspond to the average value, the red line to the median, and whiskers to the 15th and 85th percentile).
As can be observed from the analysis, there are no significant changes in the volume of Category 5 vehicles at the analyzed WIM stations; in particular, no changes related to COVID-19 and the outbreak of the war in Ukraine are visible. The median daily vehicle traffic on a monthly basis fluctuates around 500 vehicles, with peak volumes exceeding 1200 vehicles.
2.3. Metrics
The recorded weights of each vehicle allow the determination of indicators such as the load factor (LFA), the share of empty vehicles (EV), and the share of fully loaded vehicles (FV). The values of these indicators are determined as follows:
Load factor:
where —average gross mass of vehicle in a given period, —gross mass of empty vehicle—15 t, —permissible maximum mass—40 t.
The share of empty vehicles:
where —number of unladen vehicles in a given period, —total number of vehicles in a given period.
The share of fully loaded vehicles:
where —number of fully loaded vehicles in a given period. Knowledge of the values of the indices LFA, EV, and FV makes it possible to characterize heavy road transport in particular years for the selected locations of the on-road measuring stations.
3. Results and Discussion
In the whole analysis period, reliable data were collected for a total of 49 WIM stations operating in Poland within a single data collection system. The locations of these stations are shown in Figure 5.
Figure 5.
Location of stations against the background of traffic distribution on the national road network in Poland. The colors distinguish groups of stations (red—Group 1, green—Group 2, blue—Group 3, orange—Group 4), which are also analyzed collectively in this study.
Figure 6 shows the monthly distribution of the average values of LFA, EV, and FV based on data recorded by the aforementioned WIM stations. According to the observations presented in the previous section, there is no significant impact of events related to the COVID-19 pandemic and the war in Ukraine in the analyzed distribution. However, a certain cyclicality within the data may be noted, corresponding to seasonal fluctuations. In winter, the values of LFA and FV tend to decrease, while in summer they clearly increase. In the case of the EV indicator, the tendency is inverted; an increase in winter and a decrease in summer are observed.
Figure 6.
Monthly average values of the indicators LFA, FV, and EV.
Table 1 presents basic statistical data for each of the indicators, calculated based on the results collected from all stations in the respective years. This table summarizes key metrics such as minimum, maximum, average, and the first, second, and third quartiles.
Table 1.
Basic statistics in relation to the values of LFA, EV, and FV calculated for all stations, by year (Q1—first quartile, Q3—third quartile, Med.—median value).
Analysis of the data summarized in Table 1 leads to the conclusion that for the selected category of vehicles, the statistics obtained for each of the indicators show some variation in heavy road freight transport between the years of the period under consideration. The mean values of each indicator for 2022 are slightly higher than for 2020. However, the slight increase in the average empty rate of vehicles in the category under consideration should not be regarded as a cause for concern in the context of the pursuit of sustainable road transport.
In addition, it can be seen from other measures that the variation in heavy goods vehicle traffic recorded at individual stations in terms of the share of empty vehicles as well as the share of vehicles with the maximum permissible gross vehicle weight can be large. For example, at the two stations 95 and 96 on the A2 motorway located in the immediate vicinity of Poland’s western border, the share of empty vehicles of the category under consideration is negligible year-on-year, amounting to about 0.5% for the first one and 1.62% for the second. The situation is different for Station No. 3, located in the south on a national road near Katowice, where the share of empty vehicles in 2022 was the highest, at just over 15%. In the case of Station No. 6 located in the vicinity of Jelenia Góra, adjacent to the southern border of Poland, the share of empty vehicles was over 10% year-on-year.
With regard to the share of vehicles with a maximum permissible total weight, the variation in traffic by analyzed size at individual stations is even more pronounced. The maximum share of such vehicles in the category subject to this study is about 60%. Maximum values were in each case observed for Station No. 86 located on the expressway on the road towards Szczecin. It is also worth noting that the share of fully loaded vehicles at stations where the average daily traffic exceeds 10,000 vehicles per day is frequently significantly lower than the median value.
For further analysis, all stations were grouped according to the median LFA value for vehicles in the category under study throughout the analysis period, distinguishing four groups of stations—Table 2.
Table 2.
Characteristics of the highlighted station groups for 2020–2022.
When analyzing the distribution of stations (stations grouped by color in Figure 4), it can be seen that the stations included in the various groups are located in different parts of Poland.
Group 1 has the highest median value for the empty vehicle indicator, reaching a value more than double that of the lowest median value for the EV indicator in the case of Group 2. With regard to the fully loaded vehicle index, on the other hand, the order in which the stations are ranked with regard to the median value follows the numbering of the groups. However, Groups 2 and 3 have almost identical FV indicator median values. The difference between the highest median FV value and the lowest value exceeds 25 percentage points.
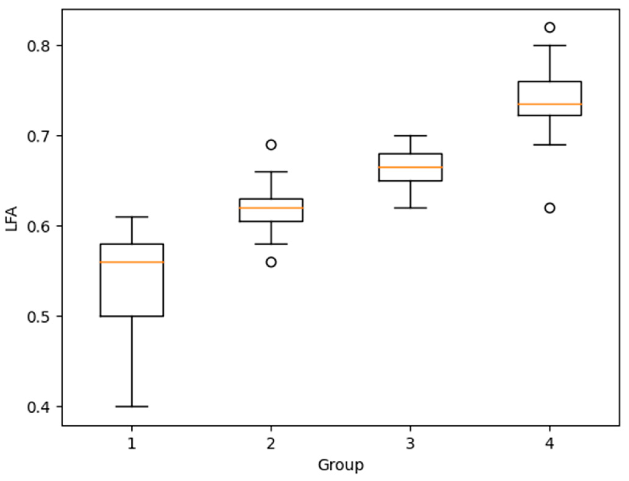
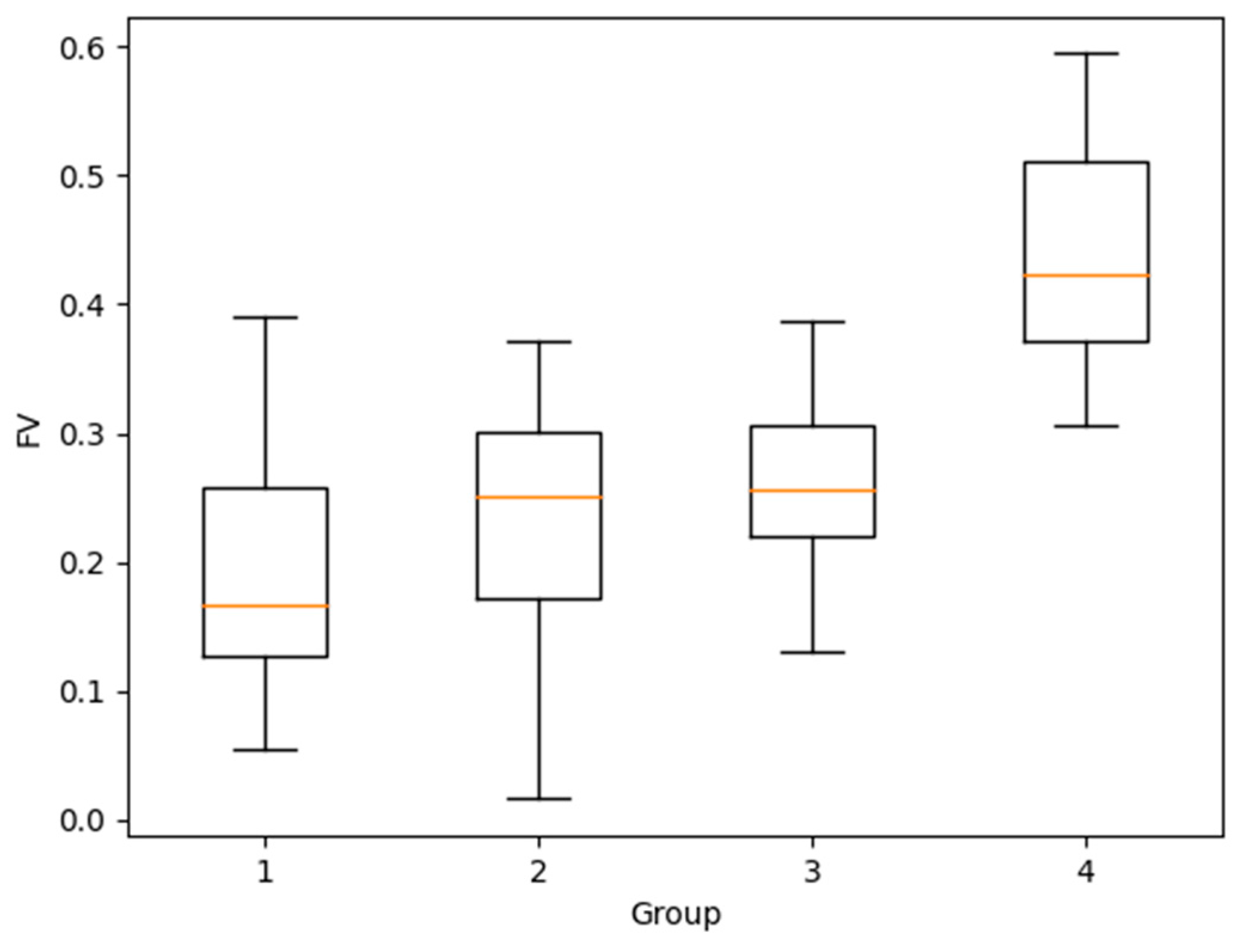
Figure 7, Figure 8 and Figure 9 present the variability in values of LFA, EV, and FV in the period analyzed (2020–2022) at the stations assigned to each group, in the form of boxplots.
Figure 7.
Variability of LFA index values across station groups over the period 2020–2022 (box boundaries correspond to the IQR, whiskers—Quartile 1: –1.5 IQR, and Quartile 3: +1.5 IQR, respectively; the orange line inside the box represents the median).
Figure 8.
Variability of EV index values across station groups over the period 2020–2022 (box boundaries correspond to the IQR, whiskers—Quartile 1: –1.5 IQR, and Quartile 3: +1.5 IQR, respectively; the orange line inside the box represents the median).
Figure 9.
Variability of FV index values across station groups over the period 2020–2022 (box boundaries correspond to the IQR, whiskers—Quartile 1: –1.5 IQR, and Quartile 3: +1.5 IQR, respectively; the orange line inside the box represents the median).
Analyzing the data shown in Figure 7, while ignoring the outliers for Group 2 and Group 4, it can be seen that the spread of LFA values over the period analyzed was similar across the stations in Groups 2–4, but noticeably larger for Group 1. For Group 1, a significantly greater dispersion of the derived LFA values was noted. With regard to the variability of the empty vehicle index (Figure 8), a similar range of variability was recorded for stations in Groups 2–4; the largest range of variability of EV values also applies to stations within Group 1, which is twice as large as that observed in the other groups. On the other hand, in the case of the fully loaded vehicles indicator (Figure 9), the analysis of variability indicates the smallest range for Group 3. The variability of the range of variability of FV in Groups 1 and 2 is evident larger than for Group 3.
The weight distributions of the vehicles of the category analyzed are also of interest. The histograms obtained for each group in each year analyzed indicate four types of distributions observed. These types will be characterized using data from the last year of analysis as an example. Figure 10 shows histograms of the vehicle weight distributions for each group of stations in the year 2022.
Figure 10.
Histograms of the distribution of vehicle gross weights (x-values in tons) of the analyzed category for each station group (G1–G4) for the 2022 data.
For Groups 1 and 4, the histogram clearly shows a significantly increased share of traffic for vehicles with a gross vehicle weight of less than 20 t, relative to vehicles with a gross vehicle weight between 20 and 30 t. Furthermore, a minimum is recorded in the 20–30 t range. The difference in the histograms for Group 1 and Group 4 relates to the recorded share of vehicles with the maximum permissible weight, with Group 4 being the most numerous category. In contrast, for Groups 2 and 3, the share of vehicles with a total weight of less than 20 t is of a different nature. In Group 2, the share of individual categories of vehicles under 20 t is clearly reduced and the least numerous are those in the lowest weight category. In Group 3, the share of vehicles of individual weight categories below 20 t is only slightly different. For both Group 2 and Group 3, the heaviest weight category of vehicles is not the dominant category. Figure 11 shows a summary of the interpolated distributions of the individual weighting categories for each of the years analyzed and the station groups considered.
Figure 11.
Interpolated distributions of weighting categories (x-values in tons) for each of the station groups (G1–G4) considered in each year of the period of analysis.
Analysis of the data for the three-year period shown in Figure 11 indicates that for all station groups, only some changes in distribution are observed from year to year (e.g., a change in the dominant weight category in Group 1 and Group 2), but no change in the type of distribution is observed. For Group 1 and Group 2, the largest observed changes in percentage share are mainly in the weight categories above 30 t. In the case of Group 3, only a few weight categories above 35 t were affected by the changes. Likewise, in the case of Group 4, the changes observed over the period in question were not large but concern three weight categories: below 20 t, between 30 and 35 t, and above 38 t. On the basis of the results obtained, it can be concluded that the median value of the LFA index is a parameter which allows the nature of the distribution of vehicle weight categories to be identified for the vehicle category under consideration.
In practical applications, information on the distributions of weighting categories for different station groups enables the determination of generalized indicators of energy consumption (ECI) and road emissions (EI) per tonne of cargo. These indicators allow for the comparison of energy consumption levels and air pollutant emissions for stations with varying LFA values and are defined as follows:
where is the number of weight categories, is the percentage share of i-th weighting category, is the cargo weight for i-th category, and is the representative energy consumption factor value (in ) for the fleet of vehicles used when calculating the ECI indicator, or the representative emission factor value (in ) when calculating the EI indicator, for vehicles loaded with cargo weight and moving at an average speed .
To illustrate the differences between station groups, for each year within the analyzed period, indicators for energy consumption and road emissions were calculated for two major air pollutants generated by transportation: NOx and PM2.5. Representative values of ECI, EINOx, and EIPM2.5 were calculated based on data provided by EMEP/EEA for the Tier 3 method [28]. The following assumptions were made for the calculations: (1) the median vehicle speed for the entire period, equal to 78 km h−1, was used as the average speed of vehicles for each station group and all years; (2) Eurostat data on the total vehicle-kilometers performed by freight vehicles by age for 2022 in Poland [29] was used in the calculations, and the same share of the various exhaust emission standards represented in the in-use fleet was assumed for each station group. The results of these calculations are presented in Figure 12.
Figure 12.
Calculated ECI, EINOx, and EIPM2.5 average values and its range of scatter for station groups for the period 2020–2022.
Analysis of the results presented above leads to the following conclusions: (1) the values of ECI, EINOx, and EIPM2.5 calculated for Group 1 are, respectively, 17%, 24%, and 21% higher than the minimum values obtained for Group 4; (2) the smallest difference in the values taken by those indicators occurs for Groups 3 and 4 (being only a few percent and not exceeding 4% in any of the cases analyzed); (3) comparing the indicator values for Groups 3 and 2 and for Groups 2 and 1, it can be observed that the respective differences show an increasing trend; (4) changes in the distribution of weighting categories observed from year to year have the least impact on the indicator values for Group 4, while they have the greatest impact on the indicators for Group 2. The changes in indicator values resulting from changes in the distribution of weighting categories observed from year to year for Groups 1 and 3 are comparable.
4. Conclusions
The results of analyses conducted on the basis of data for the years 2020–2022 allow the following conclusions to be drawn for the vehicle categories considered here:
- The share of empty vehicles in traffic on different road sections in Poland varies significantly, with the average share of empty vehicles in traffic on national roads in Poland in the analyzed years amounting to less than 4%; for the 2022 data, the value of the third quartile indicates that in the case of 25% of the road sections on which measurements were made, this share is almost 1% higher.
- The average share of fully loaded vehicles in the years considered was between 25 and 27%; however, the maximum value registered on the road sections considered in 2022 was almost 59.5%.
- The median value of the load factor remained stable from year to year, amounting to 0.63 in 2022; the values of the first and third quartiles for the data from the year 2022 were 0.58 and 0.68, respectively.
In general, efforts to achieve sustainable road transport require maximization of the efficiency of the use of means of transport, and therefore, first of all, minimizing the number of empty journeys, while using the available capacity of vehicles as much as possible. A quantitative indicator illustrating the effectiveness of these goals is the median LDA index. During the period considered, the data collected for the category of vehicles concerned did not indicate a significant change in either the number of empty vehicles registered or the number of fully loaded vehicles, which is reflected in the constant value of this indicator.
Moreover, the median value of the LDA index is also useful for deeper analysis of freight transport. The method of data aggregation proposed in this study permitted it to be demonstrated that the median value of the LDA index can be used to identify the nature of the distribution of vehicle weight categories (in the case of the categories of heavy goods vehicles considered). The LDA index also allows estimates of generalized indicators of energy consumption and road emissions of air pollutants per tonne of cargo to be made. The nonlinear relationship between the LDA index and those quantities confirms the need to pay special attention to the number of empty vehicles, whose share significantly impacts the overall level of energy consumption and air pollutant emissions.
Overall, prioritizing sustainable transport practices will be essential for reducing environmental impacts and improving the efficiency of road freight operations.
Author Contributions
Conceptualization, A.R. and K.B.; Methodology, A.R.; Formal analysis, K.B.; Resources, A.R.; Writing–original draft, A.R.; Writing–review & editing, K.B. All authors have read and agreed to the published version of the manuscript.
Funding
This research received no external funding.
Institutional Review Board Statement
Not applicable.
Informed Consent Statement
Not applicable.
Data Availability Statement
The data presented in this study are available on request from the corresponding author.
Conflicts of Interest
The authors declare no conflict of interest.
References
- Eurostat. Freight Transport Statistics—Modal Split. Available online: https://ec.europa.eu/eurostat/statistics-explained/index.php?title=Freight_transport_statistics_-_modal_split#Modal_split_of_freight_transport_in_the_EU (accessed on 4 September 2024).
- European Environment Agency. Transport and Environment Report 2021. Decarbonising Road Transport—The Role of Vehicles, Fuels and Transport Demand EEA Report 02/2022; Publications Office of the European Union: Luxembourg, 2021. [Google Scholar]
- Eurostat. Road Freight Transport by Journey Characteristics. Available online: https://ec.europa.eu/eurostat/statistics-explained/index.php?title=Road_freight_transport_by_journey_characteristics#Empty_runnings (accessed on 4 September 2024).
- Fulzele, V.; Shankar, R. Performance measurement of sustainable freight transportation: A consensus model and FERA approach. Ann. Oper. Res. 2023, 324, 501–542. [Google Scholar] [CrossRef]
- Karam, A.; Reinau, K.H. Evaluating the Effects of the A-Double Vehicle Combinations If Introduced to a Line-Haul Freight Transport Network. Sustainability 2021, 13, 8622. [Google Scholar] [CrossRef]
- Xu, C.; Ozbay, K.; Liu, H.; Xie, K.; Yang, D. Exploring the impact of truck traffic on road segment-based severe crash proportion using extensive weigh-in-motion data. Saf. Sci. 2023, 166, 106261. [Google Scholar] [CrossRef]
- Yasanthi, R.G.N.; Mehran, B. Modeling free-flow speed variations under adverse road-weather conditions: Case of cold region highways. Case Stud. Transp. Policy 2020, 8, 22–30. [Google Scholar] [CrossRef]
- Yasanthi, R.G.N.; Mehran, B.; Alhajyaseen, W.K.M. A reliability-based weather-responsive variable speed limit system to improve the safety of rural highways. Accid. Anal. Prev. 2022, 177, 106831. [Google Scholar] [CrossRef] [PubMed]
- Maczyński, A.; Brzozowski, K.; Ryguła, A. Analysis and Prediction of Vehicles Speed in Free-Flow Traffic. Transp. Telecommun. J. 2021, 22, 266–277. [Google Scholar] [CrossRef]
- Ryguła, A.; Brzozowski, K.; Maczyński, A. A Model for Identifying Road Risk Class. Transp. Telecommun. J. 2023, 24, 167–179. [Google Scholar] [CrossRef]
- Alzioud, M.; Abbas, A.; Huang, Q. Effect of traffic monitoring period on mechanistic-empirical pavement design. Constr. Build. Mater. 2022, 360, 129584. [Google Scholar] [CrossRef]
- Hernandez, S.; Hyun, K. Fusion of weigh-in-motion and global positioning system data to estimate truck weight distributions at traffic count sites. J. Intell. Transp. Syst. 2020, 24, 201–215. [Google Scholar] [CrossRef]
- Roh, H.-J. Assessing the effect of snowfall and cold temperature on a commuter highway traffic volume using several layers of statistical methods. Transp. Eng. 2020, 2, 100022. [Google Scholar] [CrossRef]
- Zhao, D.; Balusu, S.K.; Sheela, P.V.; Li, X.; Pinjari, A.R.; Eluru, N. Weight-categorized truck flow estimation: A data-fusion approach and a Florida case study. Transp. Res. Part E Logist. Transp. Rev. 2020, 136, 101890. [Google Scholar] [CrossRef]
- Rivera-Royero, D.; Jaller, M.; Kim, C.-M. Spatio-Temporal Analysis of Freight Flows in Southern California. Transp. Res. Rec. 2021, 2675, 740–755. [Google Scholar] [CrossRef]
- Klingwort, J.; Burger, J. A framework for population inference: Combining machine learning, network analysis, and non-probability road sensor data. Comput. Environ. Urban Syst. 2023, 103, 101976. [Google Scholar] [CrossRef]
- Osorio-Tejada, J.L.; Llera-Sastresa, E.; Hariza Hashim, A. Well-to-Wheels Approach for the Environmental Impact Assessment of Road Freight Services. Sustainability 2018, 10, 4487. [Google Scholar] [CrossRef]
- Poulikakos, L.D.; Heutschi, K.; Soltic, P. Heavy duty vehicles: Impact on the environment and the path to green operation. Environ. Sci. Policy 2013, 33, 154–161. [Google Scholar] [CrossRef]
- Loga-Księska, W.; Brzozowski, K. Estimation of environmental footprint caused by freight vehicles using WIM data in a local scale. In Proceedings of the 25th International Scientific Conference Transport Means, Kaunas, Lithuania, 6–8 October 2021; pp. 257–261. [Google Scholar]
- Osorio-Tejada, J.L.; Llera-Sastresa, E.; Scarpellini, S. Environmental Assessment of Road Freight Transport Services Beyond the Tank-to-Wheels Analysis Based on LCA. Sustainability 2024, 26, 421–451. [Google Scholar] [CrossRef]
- Adra, N.; Michaux, J.L.; Andre, M.; Analysis of the Load Factor and the Empty Running Rate for Road Transport. Artemis-Assessment and Reliability of Transport Emission Models and Inventory Systems. Available online: https://hal.science/hal-00546125 (accessed on 4 September 2024).
- Wang, X.; Song, G.; Zhai, Z.; Wu, Y.; Yin, H.; Yu, L. Effects of Vehicle Load on Emissions of Heavy-Duty Diesel Trucks: A Study Based on Real-World Data. Int. J. Environ. Res. Public Health 2021, 18, 3877. [Google Scholar] [CrossRef] [PubMed]
- Rizet, C.; Cruz, C.; Mbacke, M. Reducing Freight Transport CO2 Emissions by Increasing the Load Factor. Procedia Soc. Behav. Sci. 2012, 48, 184–195. [Google Scholar] [CrossRef]
- Hutton, B. Planning Sustainable Transport; Routledge: New York, NY, USA, 2013. [Google Scholar] [CrossRef]
- Solakivi, T.; Ojala, L. Environmental and Economic Potential of High-Capacity Trucks. Case Stud. Transp. Policy 2024, 18, 101284. [Google Scholar] [CrossRef]
- COST 323; Weigh-in-Motion of Road Vehicles: Final Report. European Cooperation in Science and Technology (COST): Paris, France, 2002.
- Minister of Infrastructure. Regulation of the Minister of Infrastructure of December 31, 2002. In Journal of Laws of the Republic of Poland; Official Journal of Poland: Warsaw, Poland, 2024; item 502. [Google Scholar]
- European Environment Agency. EMEP/EEA Air Pollutant Emission Inventory Guidebook 2023 Technical Guidance to Prepare National Emission Inventories EEA Report Report 06/2023; Publications Office of the European Union: Luxembourg, 2023. [Google Scholar]
- Eurostat. Road Freight Transport by Vehicle Characteristics. Available online: https://ec.europa.eu/eurostat/statistics-explained/index.php?title=Road_freight_transport_by_vehicle_characteristics (accessed on 4 October 2024).
Disclaimer/Publisher’s Note: The statements, opinions and data contained in all publications are solely those of the individual author(s) and contributor(s) and not of MDPI and/or the editor(s). MDPI and/or the editor(s) disclaim responsibility for any injury to people or property resulting from any ideas, methods, instructions or products referred to in the content. |
© 2024 by the authors. Licensee MDPI, Basel, Switzerland. This article is an open access article distributed under the terms and conditions of the Creative Commons Attribution (CC BY) license (https://creativecommons.org/licenses/by/4.0/).











