Dynamic Characteristics of Soil Respiration in Park Green Spaces in Qingdao City
Abstract
1. Introduction
2. Materials and Methods
2.1. Overview of the Study Area
2.2. Experimental Design
2.3. Soil Respiration, Temperature and Moisture Measurements
2.4. Data Processing
3. Results
3.1. Soil Hydrothermal Characteristics
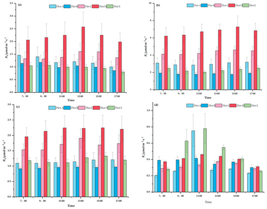
3.2. Variations in Soil Respiration Rate and Its Response to Soil Hydrothermal Factors
3.3. Temperature Sensitivity of Soil Respiration
4. Discussion
4.1. Seasonal and Daily Changes in Soil Respiration Rate (RS)
4.2. Relationships Between Soil Respiration and Environmental Variables
4.3. Temperature Sensitivity (Q10) of Soil Respiration
5. Conclusions
Author Contributions
Funding
Institutional Review Board Statement
Informed Consent Statement
Data Availability Statement
Conflicts of Interest
References
- Zheng, X.; Streimikiene, D.; Balezentis, T.; Mardani, A.; Cavallaro, F.; Liao, H. A Review of Greenhouse Gas Emission Profiles, Dynamics, and Climate Change Mitigation Efforts across the Key Climate Change Players. J. Clean. Prod. 2019, 234, 1113–1133. [Google Scholar] [CrossRef]
- Shah, I.H.; Manzoor, M.A.; Jinhui, W.; Li, X.; Hameed, M.K.; Rehaman, A.; Li, P.; Zhang, Y.; Niu, Q.; Chang, L. Comprehensive Review: Effects of Climate Change and Greenhouse Gases Emission Relevance to Environmental Stress on Horticultural Crops and Management. J. Environ. Manag. 2024, 351, 119978. [Google Scholar] [CrossRef] [PubMed]
- Kudeyarov, V.N. Soil Respiration and Carbon Sequestration: A Review. Eurasian Soil Sci. 2023, 56, 1191–1200. [Google Scholar] [CrossRef]
- Nissan, A.; Alcolombri, U.; Peleg, N.; Galili, N.; Jimenez-Martinez, J.; Molnar, P.; Holzner, M. Global Warming Accelerates Soil Heterotrophic Respiration. Nat. Commun. 2023, 14, 3452. [Google Scholar] [CrossRef]
- Huang, N.; Wang, L.; Song, X.P.; Black, T.A.; Jassal, R.S.; Myneni, R.B.; Wu, C.Y.; Wang, L.; Song, W.J.; Ji, D.B.; et al. Spatial and Temporal Variations in Global Soil Respiration and Their Relationships with Climate and Land Cover. Sci. Adv. 2020, 6, eabb8508. [Google Scholar] [CrossRef]
- Concilio, A.; Ma, S.; Ryu, S.-R.; North, M.; Chen, J. Soil Respiration Response to Experimental Disturbances over 3 Years. For. Ecol. Manag. 2006, 228, 82–90. [Google Scholar] [CrossRef]
- Joo, S.J.; Park, S.-U.; Park, M.-S.; Lee, C.S. Estimation of Soil Respiration Using Automated Chamber Systems in an Oak (Quercus Mongolica) Forest at the Nam-San Site in Seoul, Korea. Sci. Total Environ. 2012, 416, 400–409. [Google Scholar] [CrossRef]
- Cai, Y.; Sawada, K.; Hirota, M. Spatial Variation in Forest Soil Respiration: A Systematic Review of Field Observations at the Global Scale. Sci. Total Environ. 2023, 874, 162348. [Google Scholar] [CrossRef]
- Song, X.; Peng, C.; Zhao, Z.; Zhang, Z.; Guo, B.; Wang, W.; Jiang, H.; Zhu, Q. Quantification of Soil Respiration in Forest Ecosystems across China. Atmos. Environ. 2014, 94, 546–551. [Google Scholar] [CrossRef]
- Jia, Y.; Chen, Z.; Lu, X.; Sheng, S.; Huang, J.; Wang, Y. The Degradation and Marginal Effects of Green Space under the Stress of Urban Sprawl in the Metropolitan Area. Urban For. Urban Green. 2024, 95, 128318. [Google Scholar] [CrossRef]
- Doll, C.A.; Burton, M.P.; Pannell, D.J.; Rollins, C.L. Are Greenspaces Too Green? Landscape Preferences and Water Use in Urban Parks. Ecol. Econ. 2023, 211, 107896. [Google Scholar] [CrossRef]
- Moon, T.; Kim, M.; Chon, J. Adaptive Green Space Management Strategies for Sustainable Carbon Sink Parks. Urban For. Urban Green. 2024, 94, 128236. [Google Scholar] [CrossRef]
- Chen, L.; Wang, Y.; Zhu, E.; Wu, H.; Feng, D. Carbon Storage Estimation and Strategy Optimization under Low Carbon Objectives for Urban Attached Green Spaces. Sci. Total Environ. 2024, 923, 171507. [Google Scholar] [CrossRef] [PubMed]
- Jeong, M.; Bae, J.; Yoo, G. Urban Roadside Greenery as a Carbon Sink: Systematic Assessment Considering Understory Shrubs and Soil Respiration. Sci. Total Environ. 2024, 927, 172286. [Google Scholar] [CrossRef]
- Wu, X.; Yuan, J.; Ma, S.; Feng, S.; Zhang, X.; Hu, D. Seasonal Spatial Pattern of Soil Respiration in a Temperate Urban Forest in Beijing. Urban For. Urban Green. 2015, 14, 1122–1130. [Google Scholar] [CrossRef]
- Li, X.; Zha, T.; Liu, P.; Tian, Y.; Jia, X.; Bourque, C.P.A.; Jin, C.; Yang, R.; Jiang, Y.; Hao, S. Multi-Year Trend and Interannual Variability in Soil Respiration Measurements Collected in an Urban Forest Ecosystem in Beijing, China. Agric. For. Meteorol. 2022, 316, 108877. [Google Scholar] [CrossRef]
- Lei, J.; Guo, X.; Zeng, Y.; Zhou, J.; Gao, Q.; Yang, Y. Temporal Changes in Global Soil Respiration since 1987. Nat. Commun. 2021, 12, 403. [Google Scholar] [CrossRef]
- Yan, J.; Feng, Y.; Li, J.; Li, H.; Ding, G. Response of Soil Respiration and Q10 to Temperature and Moisture in Naturally Regenerated and Bare Lands Based on an 11-Year Observation Period. Catena 2022, 208, 105711. [Google Scholar] [CrossRef]
- Zhou, T.; Shi, P.; And, D.H.; Luo, Y. Global Pattern of Temperature Sensitivity of Soil Heterotrophic Respiration (Q10) and Its Implications for Carbon-Climate Feedback. J. Geophys. Res.-Biogeosci. 2009, 114, 016. [Google Scholar] [CrossRef]
- Ao, Y.; Hou, R.; Fu, Q.; Li, T.; Li, M.; Cui, S.; Liu, D. Mechanisms of Soil Respiration and Its Temperature Sensitivity in Black Soil Farmland. J. Clean. Prod. 2023, 427, 139066. [Google Scholar] [CrossRef]
- Chen, S.; Zhang, M.; Zou, J.; Hu, Z. Relationship between Basal Soil Respiration and the Temperature Sensitivity of Soil Respiration and Their Key Controlling Factors across Terrestrial Ecosystems. J. Soils Sediments 2022, 22, 769–781. [Google Scholar] [CrossRef]
- Chen, W.; Jia, X.; Zha, T.; Wu, B.; Zhang, Y.; Li, C.; Wang, X.; He, G.; Yu, H.; Chen, G. Soil Respiration in a Mixed Urban Forest in China in Relation to Soil Temperature and Water Content. Eur. J. Soil Biol. 2013, 54, 63–68. [Google Scholar] [CrossRef]
- Lei, N.; Han, J. Effect of Precipitation on Respiration of Different Reconstructed Soils. Sci. Rep. 2020, 10, 7328. [Google Scholar] [CrossRef] [PubMed]
- Karvinen, E.; Backman, L.; Järvi, L.; Kulmala, L. Soil Respiration across a Variety of Tree-Covered Urban Green Spaces in Helsinki, Finland. Soil 2024, 10, 381–406. [Google Scholar] [CrossRef]
- Souza, J.; Souza-Gonzaga, G.; Melo-Tambani, J.; Hertel, M.; de Paula, V.; Torezan, J. Daily and Seasonal Variation of Soil Respiration in a Seasonal Semidecidual Atlantic Forest Fragment and a Restoration Site in Southern Brazil. J. Trop. For. Sci. 2022, 34, 133–141. [Google Scholar] [CrossRef]
- Niu, S.; Chen, W.; Liáng, L.L.; Sierra, C.A.; Xia, J.; Wang, S.; Heskel, M.; Patel, K.F.; Bond-Lamberty, B.; Wang, J.; et al. Temperature Responses of Ecosystem Respiration. Nat. Rev. Earth Environ. 2024, 5, 559–571. [Google Scholar] [CrossRef]
- Zhao, L.F.; Li, D.S.; Teng, D.; Liu, F.D.; Zhang, M. The Variation and Controlling Factors of Soil Respiration Rate in Urban Green Landscapes. J. Ecol. Rural Environ. 2019, 35, 885–891. [Google Scholar]
- Yang, Z.; Luo, X.; Shi, Y.; Zhou, T.; Luo, K.; Lai, Y.; Yu, P.; Liu, L.; Olchev, A.; Bond-Lamberty, B.; et al. Controls and Variability of Soil Respiration Temperature Sensitivity across China. Sci. Total Environ. 2023, 871, 161974. [Google Scholar] [CrossRef]






| Plot | Model | Regression Equation | R2 | p |
|---|---|---|---|---|
| A | LF | 0.711 | <0.01 | |
| PEF | 0.786 | <0.01 | ||
| B | LF | 0.678 | <0.01 | |
| PEF | 0.681 | <0.01 | ||
| C | LF | 0.802 | <0.01 | |
| PEF | 0.876 | <0.01 | ||
| D | LF | 0.777 | <0.01 | |
| PEF | 0.829 | <0.01 | ||
| E | LF | 0.699 | <0.01 | |
| PEF | 0.740 | <0.01 |
Disclaimer/Publisher’s Note: The statements, opinions and data contained in all publications are solely those of the individual author(s) and contributor(s) and not of MDPI and/or the editor(s). MDPI and/or the editor(s) disclaim responsibility for any injury to people or property resulting from any ideas, methods, instructions or products referred to in the content. |
© 2024 by the authors. Licensee MDPI, Basel, Switzerland. This article is an open access article distributed under the terms and conditions of the Creative Commons Attribution (CC BY) license (https://creativecommons.org/licenses/by/4.0/).
Share and Cite
Wang, F.; Zhang, T.; Zhang, J.; Li, S. Dynamic Characteristics of Soil Respiration in Park Green Spaces in Qingdao City. Sustainability 2024, 16, 9336. https://doi.org/10.3390/su16219336
Wang F, Zhang T, Zhang J, Li S. Dynamic Characteristics of Soil Respiration in Park Green Spaces in Qingdao City. Sustainability. 2024; 16(21):9336. https://doi.org/10.3390/su16219336
Chicago/Turabian StyleWang, Furong, Tianci Zhang, Jiacheng Zhang, and Shimei Li. 2024. "Dynamic Characteristics of Soil Respiration in Park Green Spaces in Qingdao City" Sustainability 16, no. 21: 9336. https://doi.org/10.3390/su16219336
APA StyleWang, F., Zhang, T., Zhang, J., & Li, S. (2024). Dynamic Characteristics of Soil Respiration in Park Green Spaces in Qingdao City. Sustainability, 16(21), 9336. https://doi.org/10.3390/su16219336

