Next Article in Journal
Research on Evaluation Method of Green Suppliers Under Pythagorean Fuzzy Environment
Previous Article in Journal
Analysis of Perceptions and Requirements for Creative Experiential Activity Curriculum for the Revision of Special Education in South Korea
 
 
Font Type:
Arial Georgia Verdana
Font Size:
Aa Aa Aa
Line Spacing:
Column Width:
Background:
Article

Impacts of Large Hydropower Projects on the Ecological Environment of Watersheds: A Case Study of Ertan Reservoir Area

1
State Key Laboratory of Geohazard Prevention and Geoenvironment Protection, Chengdu University of Technology, Chengdu 610059, China
2
College of Geography and Planning, Chengdu University of Technology, Chengdu 610059, China
*
Author to whom correspondence should be addressed.
Sustainability 2024, 16(20), 9125; https://doi.org/10.3390/su16209125
Submission received: 9 September 2024 / Revised: 9 October 2024 / Accepted: 17 October 2024 / Published: 21 October 2024

Abstract

Ertan Hydroelectric Power Station was the first large-scale water conservancy facility in western China, and with its completion, the ecological pattern of the reservoir area has changed dramatically; however, the changes in habitat quality before and after the completion of the reservoir have not yet been systematically monitored and evaluated. In this study, we analyzed the spatial and temporal characteristics of the remote sensing ecological index (RSEI), used CA-Markov model and GeoDetector, evaluated the ecological environment of the Ertan Reservoir area in each five-year period from 1995 to 2020, simulated the ecological quality of the Ertan Reservoir area in 2025, and revealed the nine drivers and their interactions affecting ecological quality of the watershed from a geologic point of view, and finally put forward reasonable planning and targeted protection suggestions. Finally, rational planning and targeted protection recommendations were proposed. The main results were as follows: (1) After the completion of the Ertan Hydropower Station, the spatial distribution of the RSEI in the reservoir area varied significantly, with a trend of “rising-declining-rising” in time, and the area share of “good” area increased the most, by 19.83%. (2) The degree of grading of each driving factor had different degrees of influence on the size of the RSEI value, and its interaction enhanced the spatial differentiation of the RSEI. (3) The average value of the RSEI is 0.66 in 2025, and the ecological environment quality will show a steady improvement in five years. The results of the study can provide a reference for constructing RSEI indicators for large hydropower facilities.

1. Introduction

The ecological environment is an important spatial carrier on which human society depends for survival and is the material basis for realizing development. In the development and utilization of hydropower stations, while reservoirs have exerted their great engineering effects in flood control, irrigation, power generation, etc., they have also caused problems, such as soil erosion, induced geological disasters, and even earthquakes, which adversely affect the ecological environment [1]. For example, the blocking effect of dams leads to siltation of sediment and nutrients in upstream reservoirs, increasing the level of streambank erosion [2]. The construction of dams and culverts leads to habitat fragmentation in continuous river ecosystems, blocking migratory corridors for fish and leading to a reduction in biodiversity [3]. In temperate climates, hydropower minimizes greenhouse gas emissions [4]. Therefore, the ecological environment evaluation of water conservancy and hydropower projects was not only necessary work in the engineering and scientific research stage, but also throughout the whole process of ecological civilization construction, which was an important step for improving the level of construction project justification and scientific decision-making, and was of great significance to improve the economic, social, and environmental benefits of construction projects [5]. After construction was completed, He et al. [6] set up the “Evaluation system of the ecological and geological environmental impacts of hydropower project development” to analyze the impacts of the development of the Ertan terrace hydropower station on the ecological and geological environment. Wu et al. [7] analyzed the dynamic change of vegetation cover in the Ertan Reservoir area based on GIS technology, and found that the storage effect of the Ertan Reservoir had a significant impact on the ecological environment, which was reflected in the vegetation cover. Pang et al. [8] monitored and evaluated the changes in the ecological and geological environment of the Ertan Reservoir area by multi-source remote sensing, and concluded that the ecological and geological environment of the reservoir area showed benign changes. Lu et al. [9] analyzed the changes of vegetation around Ertan Reservoir in the Yalong River Basin based on the image meta-decomposition model of the normalized vegetation index, and concluded that the storage of water in Ertan Reservoir improved the growth conditions of vegetation around the reservoir area, and the overall condition of the vegetation cover had become better year by year.
At present, some scholars have utilized remote sensing and GIS to evaluate the ecological environment. The Greek scientist Doxiadis [10] put forward the concept of “Ekistics”, which was the first exploration of the coordinated relationship between human beings and the ecological environment, and the United States introduced the environmental impact assessment system in the National Environmental Policy Act (NEPA) in 1969 [11]. In the 1980s and 1990s, the launch of the Landsat series of satellites in the United States and the SPOT series of satellites in France led to the remarkable development of remote sensing and geographic information system (GIS) technologies for obtaining information about land features. Since then, integrated regional analysis of the ecological environment based on remote sensing information technology combined with mathematical methods and statistical principles has become mainstream [12]. Hou [13] regarded the Three Gorges reservoir area and the upper, middle, and lower reaches of the Yangtze River as an interconnected ecosystem and demonstrated the impact of the Three Gorges project on the ecological environment and resources. In 2015, the State Ministry of Environmental Protection (MEP) revised and promulgated the “Technical Specification for Evaluation of Ecological Environmental Condition [14]”, which put forward the Ecological Condition Index (EI), which standardized the index system and calculation method of ecological environment quality evaluations, but there were shortcomings that included delayed data updates, difficult access methods, and subjective determination of weights, which led to its limitations in both time and space, limiting its application. Xu [15] selected natural factors to create a regional ecological condition monitoring and evaluation method, called the remote sensing ecological index RSEI, which is specialized for monitoring and evaluating regional ecological changes. Because the RSEI has the advantage of easy data acquisition, it can quantitatively evaluate and compare ecological quality and objectively analyze spatial and temporal changes dynamically with results that are visualized [16], and its applications spread across cities [17] and villages [18], and rural [16], forest [19], mining [17], watershed [20], and other different geographic environments. However, there is a lack of spatial and temporal evolution analysis of the integrated ecological quality of large hydropower facility areas.
The use of remote sensing technology to analyze and predict the environmental quality of the reservoir area accurately, efficiently, and rapidly can help to solve the urgent needs of regional environmental management [21]. Research on the prediction of ecological quality has been developing and is being perfected, and the research methods have evolved from the early macro prediction of statistical mathematical modeling by monitoring environmental data or establishing ecological simulation of single indicators [22,23,24,25] to achieving fine-grained ecological simulation predictions, e.g., PLUS, InVEST, and other integrated models [26]. With the development of electronic information technology in the 21st century, the methodological means of realizing ecological environment quality prediction were gradually diversified, such as machine learning, big data simulation, CA-Markov, and so on [27].
The Ertan Reservoir area is located in the southwest corner of Sichuan Province, in the northern part of the Yunnan–Guizhou Plateau, with the dam located in Panzhihua City on the lower reaches of the Yalong River, in a hot valley area [28]. The reservoir area is a typical alpine valley landscape, with few vegetation species, a single population structure, and low vegetation coverage, which, coupled with anthropogenic cut slopes for building roads, constructing houses and other factors, have led to frequent landslides, mudslides, and other geologic hazards, and serious soil erosion, and was once one of the areas of the country where ecological damage was serious. The construction of the Ertan Hydropower Station in 1998 led to significant changes in the ecological pattern of the reservoir area; however, there are few existing studies that use the RSEI to deeply analyze the ecological changes before and after impoundment of large reservoirs, especially in geologically fragile regions like the Ertan Reservoir area, where the driving mechanism of geological factors on ecological changes has not been fully explored. Therefore, this study explores the influence mechanism of ecological changes in depth by including the geologic background.
This study takes the Ertan Reservoir area as the research object and extracts ecological evaluation indexes based on Landsat series remote sensing data, with specific research objectives as follows: (1) Quantitatively assess the spatial and temporal distribution and evolution of ecological environmental quality in the region from 1995 to 2020 on a temporal and spatial scale. (2) Reveal the influence of nine topographic and geologic factors on ecological environmental drivers, especially the impacts of faulting activities, landslides and debris flows on ecological vulnerability. (3) Simulate the distribution of ecological environmental quality in the Ertan Reservoir area in 2025, thereby constructing a comprehensive and systematic framework for analyzing the quality of regional habitats of hydropower projects with a view to providing scientific references for ecological environmental monitoring and protection of the Ertan Reservoir area and similar hydropower projects.

2. Materials and Methods

2.1. Study Area

The Ertan Hydropower Station is located in the Ertan Canyon area in the lower reaches of the Yalong River, and is mainly for the purpose of power generation. The slopes on both sides of the river rise to heights of 300–400 m, with a minimum generating level of 1155 m and a reservoir capacity of 5.8 billion m3; the effective capacity of the reservoir area is 3.37 billion m3. The project was fully completed and put into operation as part of the December 1999 reservoir project, and of the late twentieth century hydropower projects in China, had the largest installed capacity [29].
The study area (Figure 1) starts from the Ertan Hydropower Station and ends at the Guandi Hydropower Station, involving Ertan Reservoir and the surrounding areas. It is sloped with the Yalong River Basin, with a total area of 4727 km2, and has geographic coordinates of longitude 101°22′~102°10′ E and latitude 26°70′~27°87′ N. Most of the study area is within the domain of Miyi and Yanbian counties in Panzhihua City, and a small part of the area is in Yanyuan and Dechang counties and Xichang City.

2.2. Data Sources

2.2.1. Remote Sensing Data

The remote sensing image data were Landsat 5, Landsat 7, and Landsat 8 satellite data from the U.S. Geological Survey (https://www.usgs.gov/) (accessed on 6 July 2024), with a resolution of 30 m. The images are clear, the coverage of the study area is complete, and the cloudiness is low (<5%). Due to the long study period, in order to ensure full access to the information of various indicators, and at the same time avoid the occurrence of extreme weather in different seasons leading to poor information, the same seasonal phase (February–May) in 1995, 2000, 2005, 2010, 2015, and 2020, six periods of data, were selected (Table 1). The data ensured the quality of the study and also covers the time period before and after the completion of the Ertan Hydropower Station.

2.2.2. Other Data

DEM data with 30 m spatial resolution were obtained from Geospatial Data Cloud (https://www.gscloud.cn/) (accessed on 6 July 2024). Slope direction, slope, and other data were extracted based on DEM data. Land use data with 30 m spatial resolution were acquired in 2023 from GlobeLand30: Global Geographic Information Public Product (https://www.webmap.cn/commres.do?method=globeDetails&type=brief) (accessed on 19 July 2024). Formation complex and fault data with a spatial resolution of 30 m were obtained from Geological Cloud of China Geological Survey (https://geocloud.cgs.gov.cn/) (accessed on 6 July 2024). Soil type, geohazard, and soil erosion data had a spatial resolution of 30 m, and the data were acquired from the Resource and Environment Science and Data Center of the Chinese Academy of Sciences (https://www.resdc.cn/) (accessed on 19 July 2024).

2.2.3. Data Preprocessing

Before the study, the original Landsat series remote sensing images needed to be pre-processed to improve the image quality and thus the accuracy of image analysis. The main processes included radiometric calibration, atmospheric correction, image cropping, and so on. In addition, after the pre-processing of multi-band datasets and thermal infrared bands, water bodies such as rivers and lakes might have caused bias to the inversion of indices and the results of principal component analysis, so it was also necessary to mask the water bodies.

2.3. Methodology

Taking the Ertan Reservoir area as the study area, based on the a priori knowledge of previous researchers and prior studies, three models, namely the RSEI model, GeoDetector, and CA-Markov, were used to realize the study of the spatial and temporal evolution of the ecological environment quality, the study of the driving force of topographic and geological impacts, and short-term prediction of the ecological environment, respectively. Specifically, the four aspects of data collection and processing, RSEI model construction, spatial and temporal evolution of the ecological environment quality and driving force analysis, and ecological environment quality prediction were carried out (Figure 2).

2.3.1. Construction of the RSEI Model

The remote sensing ecological index (RSEI) is a comprehensive ecological index relying on remote sensing band inversion technology to integrate multiple index factors for analyzing and evaluating regional ecological environment quality. The index is based on principal component analysis coupled with the four components NDVI, WET, NDSI, and LST to represent the ecological elements in the natural environment, and its function is expressed as follows:
R S E I = f ( N D V I , W E T , N D S I , L S T )
The NDVI utilizes a combination of absorption in the red band and reflection in the near-infrared band by plant leaves. According to [30], the NDVI is correlated with the leaf area index (LAI), plant biomass, and vegetation cover, and can directly reflect the state of surface vegetation; WET adopts the humidity component of tasseled cap transformation to reflect the impact of watersheds on the quality of ecological environments; and the NDSI is an index that reflects the impact of man-made impermeable surfaces, such as bare land, buildings, and roads, on the quality of ecological environments. It consists of the average of the building index (IBI) and the bare soil index (SI), which can objectively assess the impact of human activities on the ecosystem. The LST reflects the surface thermal environment of the study area, which first needs to be calculated as the sensor temperature, and then converted into an accurate surface temperature index by means of correcting the specific emissivity [31] (Table 2).
In order to eliminate redundant data, reduce the dimensionality of the original variables, and focus the main information on one or two main components as much as possible, we processed the data by using Principal Component Analysis (PCA) to minimize the interference of human subjective factors, so as to obtain accurate and valid results [35]. PCA is able to objectively determine the weights based on the nature of the standardized processed data of the four ecological factors and the contribution of each indicator, which in turn eliminates the correlation between these four indicators and integrates them together. This process helped to focus the main information on the first 1–2 principal components. Subsequently, the first principal component with the highest contribution was standardized to ensure uniformity of magnitude and ultimately the RSEI index:
R S E I 0 = 1 { P C 1 f N D V I , W E T , N D S I , L S T }
R S E I = R S E I 0 R S E I 0 m i n R S E I 0 + m a x R S E I 0 m i n
where RSEI stands for Remote Sensing Ecological Index, and its value is between [0, 1]. The higher the value of the RSEI, the better the quality of the ecological environment; the lower the value of the RSEI, the worse the quality of the ecological environment.

2.3.2. Geo-Environmental Drivers of Ecosystem Quality

GeoDetector is a statistical model proposed by Wang and Xu [36]. Its core concept is that if an independent variable has a significant effect on the dependent variable, then the two spatial distributions may be similar [37]. The model can be used to detect and analyze spatial dissimilarities and reveal the driving factors behind them. Currently, it has been widely used to analyze the environment [38,39], vegetation [40,41], landslides [8] and for other applications.
The spatial and temporal distribution of the RSEI index in the Ertan Reservoir area was significant, and the spatial correlation test of the factors indicated that there were also obvious spatial correlation characteristics among different factors. Considering the situation of the Ertan Reservoir area from the perspective of coupling the geological environment and ecological environment, nine topographic and geological correlation factors (Figure 3) with elevation, slope, aspect, geohazard kernel density, distance from faults, land use, soil type, soil erosion, and formation complex in order of X1-X9 were selected, discretized, and graded (Table 3) to explore their impact on the ecological environmental quality driving force in the Ertan Reservoir area.

2.3.3. Modeling and Prediction of Spatial and Temporal Characteristics of Ecological Environment Quality

Real-time mastery of the evolution trend of the ecological environment quality in the Ertan Reservoir area can provide a certain reference basis for the ecological environment management program in the reservoir area. In this study, based on the ecological environment quality grades in 2010, 2015, and 2020, we simulated the ecological environment quality evolution of the Ertan Reservoir area in 2025 based on the CA-Markov model coupled with Cellular Automata (CA) and Markov chain, and analyzed the development trend of the ecological environment changes in the reservoir area for 5 years. The kappa coefficient was introduced to evaluate the accuracy of the prediction result to test the accuracy and reliability of the model.
CA-Markov is a simulation prediction model based on image elements commonly used to simulate and predict the spatial and temporal evolution of land use change. Since the RSEI is similar to land use types, which are raster data with a high spatial autocorrelation [42], the prediction of the RSEI in the Ertan Reservoir area using the CA-Markov model is also scientifically valid.
Based on the graded RSEI data in 2010, 2015, and 2020, the transfer probability matrix of the 2015–2020 system in the Ertan Reservoir area was generated (Table 4), and then based on the transfer probability matrix of 2015–2020, with 2020 as the starting year, the expanded Moore-type neighborhood, a 5 × 5 filter [43], and a set number of iterations of 5 years were used to make a prediction of the evolution of the spatial distribution of the RSEI in the Ertan Reservoir area in 2025, and construct a CA-Markov model for the Ertan Reservoir area.

3. Results and Analysis

3.1. Characterization of Spatial and Temporal Variations in RSEI

In order to visualize the spatial distribution and clearly distinguish the ecological environment characteristics of the reservoir area, the RSEI results after standard normalization were divided into five levels, namely, “Worst”, “Poor”, “Moderate”, “Good” and “Excellent”. Based on the grading criteria, the grading map of the RSEI index in the Ertan Reservoir area for each period was derived, and spatial statistical methods were used to calculate the proportion of each grade in the study area (Figure 4 and Figure 5).
Generally speaking, from 1995 to 2020, the only areas with an increase in the area share were those with a grade of “Good”, with a total increase of 937.18 km2, and an increase of 19.83% in area share, while those with a significant decrease in area share were those with grades of “Worst”, “Poor”, and “Moderate”, with a decrease of 414.56 km2, 322.33 km2, and 199.53 km2 respectively, and a decrease of 8.77%, 6.82%, and 4.22% respectively, while the area of “Excellent” areas remained basically unchanged.
The spatial distribution of the remote sensing ecological index RSEI in the Ertan Reservoir area was obvious, and the main distribution areas of “Worst” and “Poor” quality were Hongguo Yi Township, Gantang Township, and other townships along the Yalong River, which were distributed in a belt-like phenomenon (Figure 5). “Worst” and “Poor” areas were the gently sloping land on both sides of the river valley and the gully-mouth alluvial fan zone, where the terrain slope is generally 5–10°; the population is more concentrated; economic activities are concentrated; the human engineering economic construction is more active, with more road and bridge engineering construction, water diversion and irrigation, mining development, and other engineering activities; the area is mainly agricultural; the ecological environment is poor, soil erosion is serious; and the soil erosion intensity is moderate to strong. The area was mainly characterized by tectonic erosion in the mountains and river valley accumulation landforms, with a large area of bare soil and low vegetation cover (Figure 6).
Areas with “Moderate” quality were mainly located in the periphery of the “Worst” and “Poor” areas, and most of them were dry and hot valley sparsely wooded grassy slopes with an altitude of 1300 m to 1800 m. The slopes have a gradient of about 25–60°, and the vegetation was sparsely distributed with a low degree of greening (Figure 7).
The areas with “Excellent” and “Good” grades were distributed in the broad-leaved forest areas of the mesas and canyons in the east and west of the study area, the high mountainous areas in the northeast, and part of the erosional mid-mountain landform regions, and a small part of the inhabited areas. In this area, the altitude ranged from 1800 m to 4100 m, there were very few human engineering and geological activities, the vegetation coverage was greater than 60%, the degree of soil erosion was slight, and the intensity of soil erosion was weak, so the ecological environment was of high quality (Figure 8).
The statistical standard normalized remote sensing ecological index (Figure 9) showed that the average values of the RSEI in 1995, 2000, 2005, 2010, 2015 and 2020 were 0.51, 0.55, 0.61, 0.55, 0.62, and 0.63, and the standard deviation tended to be stable in the range of 0.09–0.14. The remote sensing ecological index RSEI of the Ertan Reservoir area showed a trend of “rising-declining-rising” from 1995 to 2020, in which the RSEI index increased by 18.98% from 1995 to 2005, decreased by 9.87% from 2005 to 2010, and steadily increased by 9.87% from 2010 to 2020. During the period of 1995–2005, the RSEI index increased by 18.98%; during the period of 2005–2010, the RSEI index decreased by 9.87%; and during the period of 2010–2020, the RSEI index increased steadily by 15.69%. Over the 25-year period, the RSEI index of the Ertan Reservoir area showed a general upward trend.
The rising ecological environment indexes from 1995 to 2005 was due to the high population density in the Ertan Reservoir area in the last century, the serious problems of geological disasters in the initial period of the study, serious soil erosion, a soil erosion degree of medium intensity, and a lot of indiscriminate logging phenomena leading to low vegetation cover and poor ecological environment quality. At the end of the 1990s, a natural forest protection project and a returning farmland to forest project were implemented. The phenomenon of indiscriminate cutting and logging was effectively curbed, cultivated land was converted to forest land, the vegetation cover increased, and the water storage of the Ertan Reservoir in 1999 had an impact on the local climate of the area, in which the precipitation increased, erosion improved, and the environment improved. In the process of environmental improvement, a period of decline was experienced from 2005 to 2010. The environmental deterioration during this period was mainly due to the farmers relocated by the Ertan Reservoir Project, which included clearing forest land, deforestation, and re-cultivation of land, leading to an increase in the degree of cultivation in the region and the rapid development of urbanization and expansion of industry during this time period, which led to a deterioration of soil erosion phenomena, and a consequent decrease in the quality of the ecological environment. A period of steady increase was observed from 2010 to 2020, mainly due to the removal of netting in the reservoir area; the Ertan Reservoir, Forest Park, and other ecological reserves became protected in an integrated manner and systematically managed, and the quality of the environment steadily improved. In short, from 1995, before the construction of the reservoir to 2020, after the impoundment of the Ertan Reservoir, the overall environmental quality showed a trend of gradual improvement, although there was localized deterioration in places.

3.2. Study on the Drivers of Ecological Quality

The evolution of ecological environment quality development was mainly influenced by natural environmental factors and human social factors. As a key component of natural environmental factors, the complex and diverse internal conditions of the topographic and geological environment led to obvious differences in the spatial distribution of climate, vegetation, and soil, which in turn affected the spatial distribution pattern of ecological environment quality [44]. Therefore, in this study, nine topographic and geologic factors were selected for exploring the influence of geologic environmental drivers of ecological environmental quality in the Ertan Reservoir area in 2020.
The RSEI value in 2020 was used as the dependent variable, and the driving factors were used as the independent variables. The degree of influence of each driver on the ecological quality of the Ertan Reservoir area was analyzed by factor detection, i.e., the explanatory power (Table 5). The q-statistic values of elevation, land use, and aspect exceeded 0.4, indicating that these three factors had a major influence on the ecological quality. However, the q-statistic values of geohazard kernel density and distance from faults were less than 0.1, so geohazards and fracture tectonics had less influence on the ecological environment quality of the Ertan Reservoir area in 2020.
According to the interaction of topographic geological driving force factors (Figure 10), all nine factors showed either a nonlinear enhancement or a two-factor enhancement relationship, with the largest interaction being X1∩X2, which showed a two-factor enhancement effect, and the smallest q-value being X5∩X9, which was a nonlinear enhancement effect.
The ecological detector in GeoDetector analyzes whether there is a significant difference between the extent to which the detection factors impact ecological quality. According to the 36 ecological probe significance results (Table 6), there were significant differences between the topographic and geologic factors on the spatial pattern of the RSEI in the study area, with 24 significant results of “Y” and 12 significant results of “N”.
Specifically, DEM was significantly different from the remaining six drivers, except that it was not significantly different from distance from faults and formation complex; slope was significantly different from geohazard kernel density, land use, soil type, soil erosion, and formation complex; the aspect was significantly related to land use, soil type, soil erosion, but was not significantly related to geohazard kernel density, distance from faults, and formation complex; geohazard was more related to distance from faults, land use, and formation complex, and there were significant differences in the results of these; distance from faults had the worst results of the significance analysis, and there was a significant difference only with formation complex; land use, soil type, soil erosion, and formation complex were all significantly different from each other.
The risk detector analyzed the relationship between the topographic–geological driver grading situation on the 2020 RSEI mean value, which further revealed the type of influence factor range corresponding to areas with a good or bad ecological environment, and obtained the topographic–geological conditions in the areas with a good or bad ecological environment quality.
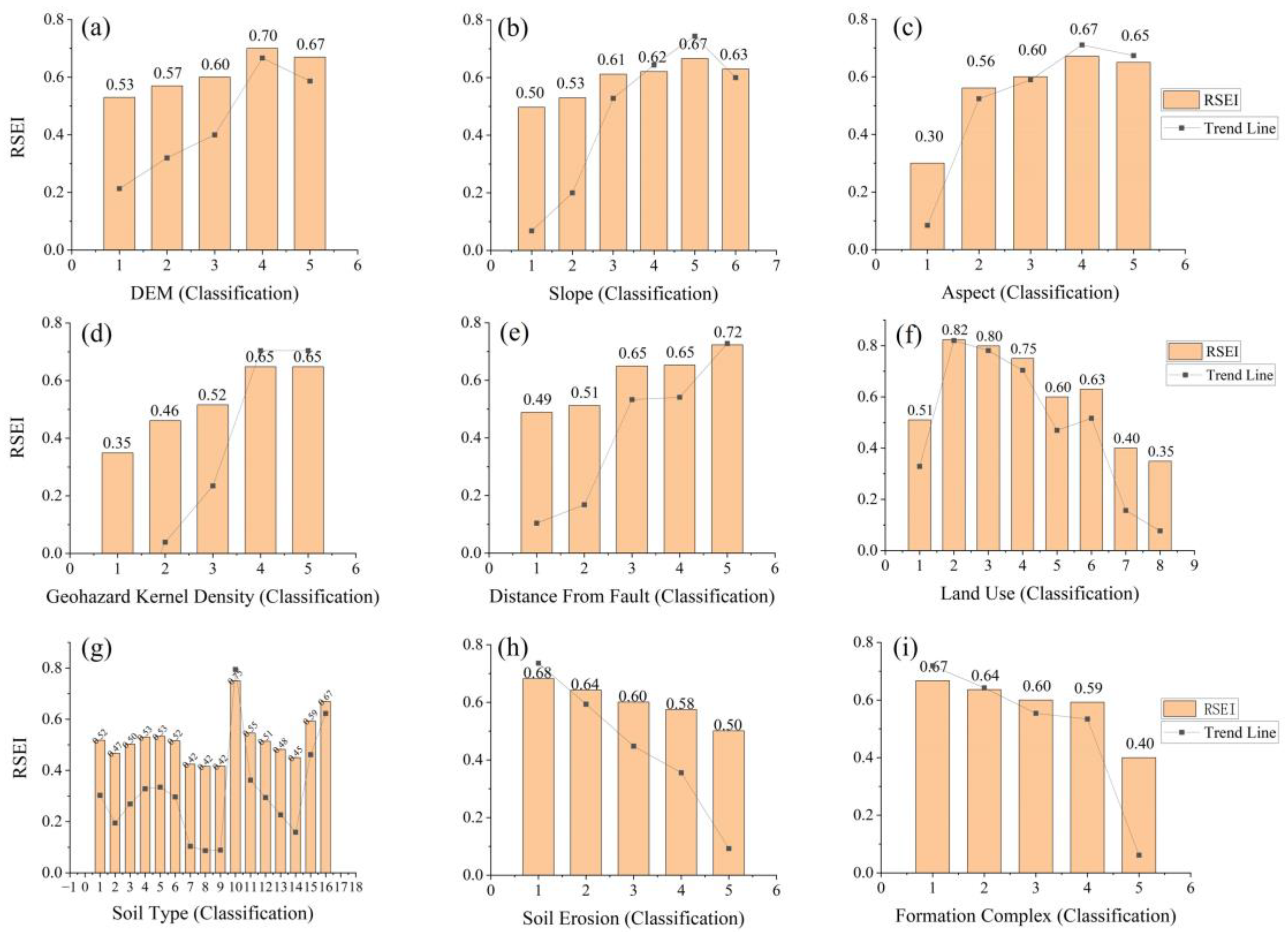
The results showed (Figure 11) that all nine driving factors were risks in the spatial distribution of the RSEI in the Ertan Reservoir area in 2020. The mean value of the RSEI increased with an increase of elevation level, and the highest reached 0.70 at elevation level 4, and then showed a decreasing trend. The trend of the slope and aspect changes was the same as the trend of the elevation changes, and the RSEI reached a maximum of 0.67 at a slope and aspect class of 4 and then began to decline. The higher the geohazard kernel density, the farther away from the geohazard, the higher the RSEI level was, which indicated that geohazard was negatively correlated with the RSEI; the RSEI was also higher when it was farther away from the faults. The RSEI exceeded 0.7 in the woodland, grassland, and shrubland, while the average value of the RSEI was only 0.4 and 0.35 when the land use type was construction and bare land, which was consistent with the construction principle of the RSEI. When the soil type was paddy soil, the average value of the RSEI was the highest, up to 0.75, and when the soil type was purple soil, the average value of the RSEI was the lowest, only 0.42, which indicated that paddy soil was not only highly productive but also had a positive impact on the ecological environment. The purple soil, which was rich in calcium carbonate, was mostly located in the areas covered by bare soil and rock, such as sandstone and shale, which was negatively correlated with the RSEI. Soil erosion also had a greater impact on the RSEI. The RSEI decreased with an increase of hydraulic erosion level; combined with the distribution map of soil erosion (Figure 11h), the degree of hydraulic erosion in the central and western Ertan Reservoir area was higher than that in the eastern part of the reservoir area, with mostly strong and very strong erosion conditions. Hydraulic erosion along the Yalong River was also very serious, and in the east bank of Yalong River, the soil erosion condition was relatively good, and most of the land erosion was slight or light erosion. Therefore, the RSEI value in the eastern part of the study area was generally higher than that in the central and western parts of the study area, and the ecological environment was of better quality; the RSEI value decreased with an increase of rock hardness, and the reason was that the distribution area of the hard rock was mostly bare soil areas, and the climate was relatively dry and the humidity was low, whereas the soft land belt was fertile and rich in ecological resources, so the RSEI value was relatively higher.
Overall, the factors positively correlated with the RSEI values were elevation, slope, and aspect. The factors that were negatively correlated with the RSEI values were geohazard kernel density, distance from faults, soil erosion, and formation complex, while the land use and soil type needed to be categorized to find the relationship; the more vegetation in the area, the more fertile the soil, and the higher the humidity, the higher the RSEI value; and the area where there were mostly bare rocks and lower humidity, the lower the RSEI value.

3.3. Prediction of Ecological Environment Quality in Ertan Reservoir Area

According to the spatial distribution comparison map of RSEI classes in 2020 and the results of accuracy verification, except for the spatial simulation results on the RSEI class “Worst” with relatively large errors, the spatial simulation results of other RSEI classes were good, and the global kappa coefficient of the CA-Markov model of the Ertan Reservoir area reached 0.835, which was in the category of high-precision. This proved that the model was suitable for RSEI dynamic simulation in the Ertan Reservoir area, and its results maintained good consistency both in quantitative accuracy and spatial scale. Therefore, in this study, taking 2020 as the base period, with the 2015–2020 transfer area probability matrix as the conversion criterion, and setting the number of iterations as 5 years, the distribution of RSEI classes in the Ertan Reservoir area in 2025 was obtained by extrapolating based on the CA-Markov model (Figure 12).
The average value of the RSEI in the Ertan Reservoir area in 2025 was 0.66 using statistics based on pixels. From the spatial distribution, the environmental quality in 2025 that differed from the environmental quality distribution in 2020 was obvious, and areas with the worst or poor ecological quality were in more concentrated populations in the townships, where the building and the bare soil, two kinds of land use areas, was very large. At the same time, this was also true for the gently sloping area on both sides of the river valley and floodplain area, with very gentle topographic slope and serious soil erosion, mainly distributed along the west bank of the Yalong River in the form of bands and pieces of land. The general quality level areas belonging to the river valley increased, where, with geomorphology areas with slope gradients of 25°∼60°, human activities are less frequent than those on both sides of the river valley, and the vegetation cover rate was between 30∼60%. The areas with excellent and good environmental quality were in the middle and high mountainous landscapes, with high elevations, slight soil erosion, very few human engineering geologic activities, and more than 60% vegetation cover.
The change of ecological environment quality in the Ertan Reservoir area in 2025 was based on the continuation of environmental quality grade in 2020, and there was a scattered and piecewise slight recovery or significant recovery phenomenon along the west bank of Yalong River, which indicated that the mathematical simulation determined that the ecological environment quality in the Ertan Reservoir area showed a steady improvement in 5 years.
In terms of the proportion of area increase based on the RSEI, poor > moderate > excellent > good >worst. This indicated that the area distribution of the “Worst” grade dropped significantly, and a large proportion of the area turned into “Poor” or “Moderate”, while the area distribution of “Good” and “Excellent” grades increased slightly while remaining stable.

4. Discussion

4.1. Correlation of Component Indicators

In order to measure the degree of correlation among the factors, after calculating the RSEI, a correlation analysis among the five indicators of RSEI, NDVI, WET, NDSI, and LST was carried out by using the Pearson correlation coefficient, in order to test the applicability of the RSEI model in the Ertan Reservoir area. From the results of the correlation test of each component indicator (Table 7), it could be seen that the absolute value of the correlation coefficient between the factors of each indicator exceeded 0.5, which indicated that there was a significant correlation between the indicators. Among the single indicators, the highest average correlation with other indicators was WET, with an average correlation of 0.72, 0.64, 0.67, 0.70, 0.68, and 0.65 in the six years of the study, and the average correlation value of the RSEI in the six years reached 0.75, which was the highest among all the indicators. This indicated that the RSEI had a higher correlation with the four natural environment indicators, which was more representative than a single indicator, and more comprehensively and accurately reflected the evolution of ecological environment quality in the Ertan Reservoir area.
In addition, the NDVI indicator and WET indicator were positively correlated with the RSEI, and the NDSI and LST indicators were negatively correlated, reflecting that vegetation cover and humidity played a positive role in ecological environment change. In contrast, the increase of the built-up area and the bare land area played a negative role in ecological environment change, which was in line with the actual situation of the Ertan Reservoir area, and was also consistent with the principle of the RSEI indicator [45].

4.2. Impact of Hydropower Development on the Regional Ecosystem

From Figure 9, it can be seen that the RSEI in the Ertan Reservoir area showed a macro trend of “rising-declining-rising” during the period of 1995–2020. In order to accurately analyze the spatial-temporal dynamic transformation characteristics of the RSEI during 1995–2020 in the Ertan Reservoir area, the raster difference calculation of the RSEI classification results was carried out to obtain the eight levels of “−4, −3, −2, −1, 0, 1, 2, 3, 4”. According to the level of difference, “−4, −3” was defined as significant degradation of ecological environment quality; “−1, −2” was defined as slight degradation of ecological environment quality; “0” was defined as basically unchanged ecological environment quality; “1, 2” was a slight recovery of ecological environment quality; and “3, 4” was a significant recovery of ecological environment quality (Figure 13).
It can be seen that before the completion of the Ertan Reservoir (1995–2000), the ecological degradation of the reservoir area accounted for 37.27%, the ecological restoration accounted for 22.96%, and the degraded area accounted for a larger proportion. And after the completion of the reservoir (2000–2005), the degraded area accounted for 16.13%, which was significantly reduced compared with the previous period; the ecological restoration area accounted for 52.63%, and the ratio of the degraded area to the restored area was 0.31, which indicated that the ecological restoration area increased and the ecological environment was significantly improved after the Ertan Hydropower Station had been impounded for a period of time (Figure 14). The results of this phase of this study are the same as those of Zhang [46] and Pang [47], who monitored the ecological environment of the Ertan Reservoir area from 1988 to 2003, and the results showed that the construction of the Ertan Project changed the ecological and geological environment of the reservoir area to a certain extent, and the overall trend was benign. Pang mainly conducted dynamic monitoring of land use changes in the Ertan Reservoir area, and the results showed that after 2000, the area of ecological land in the Ertan Reservoir area increased, and the quality of habitats improved significantly.
During the period 2005–2010, the percentage of environmentally degraded areas increased by 21.07% compared with the previous period, while the area of environmentally restored areas decreased, and the degree of environmental degradation was the most serious among the five time intervals, mainly due to human activities such as frequent industrial expansion and rapid development, which led to the destruction of vegetation cover in the region, serious soil erosion, and a decline in the quality of the ecological environment. Starting from 2010, the area of the basically unchanged environment reached the maximum, and the restored area was slightly larger than the degraded area. During this period, the ecological environment quality of the Ertan Reservoir area showed a steady improvement state, with a better environment and more effective ecological restoration work.
Therefore, from 2000, before the construction of the reservoir, and after the impoundment of the Ertan Reservoir until 2020, the ecological environmental quality showed a gradual improvement in the overall environmental quality, although there was a localized deterioration in space. The specific evolution trend could be divided into three phases: the rising period from 1995 to 2005, the declining period from 2005 to 2010, and the rising period from 2010 to 2020.

4.3. Drivers of Ecological Quality in the Reservoir Area

GeoDetector was able to quantify the degree of influence of the driving factors. The results of this study showed that changes in the ecological quality of the Ertan Reservoir area were influenced by various factors of topography and geology to varying degrees, with the three most important factors the DEM, land use, and aspect; the next most important factors were the soil erosion, slope, soil type, and formation complex; and the least influential factors were the geohazard kernel density and distance from faults. The results of the study were similar to those of previous authors [38,48].
The interaction showed that elevation and slope enhanced the RSEI interpretation the most, which might be attributed to the fact that topography has a significant effect on the distribution and flow of water resources and soil erosion. In the ecological environment of reservoirs, water flow was constrained by topography, and the degree of soil erosion was also affected by slope, which was directly related to the sensitivity of the ecological environment. The reason why faults and formation complex had the weakest explanatory enhancement of ecological quality may be that their influences on ecological conditions was usually localized, with a small direct effect, although faults and formation complex might have a correlation with geological formations and rock types, soil properties, etc., and thus had an impact on the ecological environment, but the relationship with ecological quality was not direct.

4.4. Limitations and Future Research Directions

This study investigated the spatial and temporal trends and characteristics of the ecological environment in the watershed before and after the construction of large hydropower facilities, and analyzed remote sensing of ecological index driving factors based on a geological perspective. The above findings had certain reference significance for the management of hydropower facilities in the reservoir area and the long-term monitoring of the ecological environment in the watershed, but due to the images of atmospheric refraction, sensor correction, and other factors, the traditional optical remote sensing might cause some errors in the ecological environment quality indicators, which led to the bias of the RSEI, and might result in a certain degree of uncertainty when analyzing the status of the ecological quality and the characteristics of the changes. In future research, we can fuse multi-source remote sensing data and further improve the accuracy and reliability of watershed ecological environment monitoring based on deep learning models and so on; for example, neural networks for high-precision water level prediction, accurate prediction of floods and other geologic hazards, and long time-series dynamic monitoring.
In addition, using GeoDetector (2018) to analyze the geo-environmental driving force of the remote sensing ecological index RSEI in the Ertan Reservoir area, the results could not be spatially visualized by region, which weakened the completeness and transparency of the analysis to a certain extent, and in the future, we can select other methods, such as machine learning methods, to conduct the driving force analysis, and the degree of impact visualization analysis, in order to formulate ecological and environmental policies. In the future, other methods can be chosen, such as machine learning methods, to analyze the driving force and visualize the degree of influence, so as to make the formulation of ecological environmental policies more targeted.

5. Conclusions

This study explored the spatial and temporal evolution of ecological environment quality before and after the construction of the Ertan Reservoir area from 1995 to 2020 based on the RSEI, analyzed the driving force of topographic and geological factors on the ecological environment, and generated a short-term prediction of the ecological environment quality by using the CA-Markov model. Temporally, by comparing the RSEI before and after the construction of the Ertan Reservoir, it could be seen that the evolution of ecological environment quality grades could be divided into three phases: the rising period of 1995–2005, the declining period of 2005–2010, and the rising period of 2010–2020. From a spatial point of view, many factors, such as topography, vegetation cover, population density and so on, led to obvious differences in the spatial distribution of the RSEI in the Ertan Reservoir area, with the poor and poorer quality grade areas mainly distributed along the Yalong River in a band, the average grade areas mainly distributed in the periphery of the poor and poorer areas, and the excellent and good grade areas distributed in the eastern and western forested areas with altitudes ranging from 1800 m to 4100 m. In the past 20 years, the quality of the ecological environment in the Ertan Reservoir area has increased from 1000 to 2,000,000 tons. Over the past 20 years, the size of the “Good” area has increased, while the rest of the grades have decreased. The prediction results show that the average value of the RSEI in the Ertan Reservoir area in 2025 is 0.66, and the ecological environment quality will continue to improve slowly, with the results maintaining good consistency in both quantitative accuracy and spatial scale. The interaction of DEM and slope factors had the greatest impact on driving the RSEI, while the interaction of faults and formation complexes was the weakest. The factors positively correlated with the RSEI value were DEM, slope, aspect, etc., and the factors negatively correlated were the geohazard kernel density, distance from faults, etc.
Based on the RSEI evaluation system, this study comprehensively and systematically analyzed the changes in habitat quality before and after the construction of the hydropower station and the future development trend, which provides data support for the subsequent improvement of the spatial and temporal evolution model of the ecological environment of the reservoir. From a geological perspective, the mechanism of the habitat quality driving force is explored to provide a strategy for quantitative monitoring and evaluation of the ecological environment in regions with large hydropower projects and frequent geologic hazards.

Author Contributions

Conceptualization, Y.X. and L.H.; methodology, L.H., X.C. and Z.H.; software, Y.X. and L.H.; formal analysis, X.C.; data curation, Y.X., L.H., Y.L., F.L., Y.C., D.L. and R.J.; writing—original draft preparation, Y.X. and L.H.; writing—review and editing, X.C., Z.H., Y.L., F.L., Y.C., D.L. and R.J.; visualization, Y.X., L.H., Y.L., F.L., Y.C., D.L. and R.J.; supervision, X.C. and Z.H.; funding acquisition, L.H. All authors have read and agreed to the published version of the manuscript.

Funding

This research was supported by the National Natural Science Foundation of China (Grant No. 42301456); the Independent Research Project of the State Key Laboratory of Geohazard Prevention; and the Geoenvironment Protection Independent Research Project (Grant No. SKLGP 2022Z017).

Institutional Review Board Statement

Not applicable.

Informed Consent Statement

Not applicable.

Data Availability Statement

All the data and materials related to the manuscript are published with the paper, and available from the corresponding author upon request (heli2020@cdut.edu.cn).

Acknowledgments

We are grateful to the chief editor and anonymous reviewers for their illuminating comments.

Conflicts of Interest

The authors declare no conflicts of interest.

References

  1. Wu, M.; Fang, Y.; Zhuo, G.; Yi, X.; Chen, J.; Feng, W. Comprehensive Remote Sensing Identification of Geologic Hazards in Baihetan Reservoir Area, Sanjia Village Reservoir Bank. J. Kunming Univ. Sci. Technol. Nat. Sci. Ed. 2023, 48, 53–61. [Google Scholar] [CrossRef]
  2. Xian, W.; Zhang, S.; Qiu, T. ; Qiu, T. Energy Evaluation of the Ecological Impacts of Hydropower Stations on the Tibetan Plateau. J. Hydroecol. 2023, 44, 1–9. [Google Scholar] [CrossRef]
  3. Huang, L. Impact of water project construction on fish biodiversity in the Yangtze River Basin and its countermeasures. J. Lake Sci. 2006, 18, 553–556. [Google Scholar] [CrossRef]
  4. Sperling, E.V. Hydropower in Brazil: Overview of Positive and Negative Environmental Aspects. Energy Procedia 2012, 18, 110–118. [Google Scholar] [CrossRef]
  5. He, Z.; Xu, H.; Wu, B.; Qiu, W. Empirical Study on Ecological and Environmental Impact Assessment of Hydropower Development Supported by Remote Sensing and GIS Technology; China Science Publishing & Media Ltd. (CSPM): Beijing, China, 2014. [Google Scholar]
  6. He, Z.; Huang, R.; Xu, X.; Zhao, Y.; Wu, B.; Xu, H.; Zhang, X.; Zhang, R. Current Situation of Ecological and Geological Environment of Jinsha River Basin and Its Suggestions for Ecological Environmental Protection in the Process of Developing the Engineering Works of Terrace Hydropower Stations. Earth Environ. 2005, 33, 605–613. [Google Scholar] [CrossRef]
  7. Wu, B.; He, Z.; Yan, J.; Xu, H. Analysis of dynamic change of vegetation cover in reservoir area of hydropower station based on remote sensing and GIS technology. Res. Soil Water Conserv. 2008, 15, 39–42. [Google Scholar]
  8. Peng, L.; Sun, Y.; Zhan, Z.; Shi, W.; Zhang, M. FR-weighted GeoDetector for landslide susceptibility and driving factors analysis. Geomat. Nat. Hazards Risk 2023, 14, 2205001. [Google Scholar] [CrossRef]
  9. Lu, X.; Zhao, H.; Yang, S.; Jiang, Y.; Huang, Y. Vegetation changes around Ertan Reservoir in Yalong River Basin. Bull. Soil Water Conserv. 2016, 36, 148–151. [Google Scholar] [CrossRef]
  10. Doxiadis, C.A. Ekistics, the science of human settlements. Science 1970, 170, 393–404. [Google Scholar] [CrossRef]
  11. Salk, M.S.; Tolbert, V.R.; Dickerman, J.A. Guidelines and techniques for improving the NEPA process. Environ. Manag. 1999, 23, 467–476. [Google Scholar] [CrossRef]
  12. Yang, C.; Zhang, C.; Li, Q.; Liu, H.; Gao, W.; Shi, T.; Liu, X.; Wu, G. Rapid urbanization and policy variation greatly drive ecological quality evolution in Guangdong-Hong Kong-Macau Greater Bay Area of China: A remote sensing perspective. Ecol. Indic. 2020, 115, 106373. [Google Scholar] [CrossRef]
  13. Hou, X. Impacts of Three Gorges Project on the Ecological Environment and Resources. Acta Ecol. Sin. 1988, 3, 283–288. [Google Scholar]
  14. HJ/T 192-2015; Technical Criterion for Ecosystem Status Evaluation. PRC Ministry of Environmental Protection: Beijing, China, 2015.
  15. Xu, H. A remote sensing index for assessment of regional ecological changes. China Environ. Sci. 2013, 33, 889–897. [Google Scholar] [CrossRef]
  16. Xu, H.; Duan, W.; Deng, W.; Lin, M. RSEI or MRSEI? Comment on Jia et al. Evaluation of Eco-Environmental Quality in Qaidam Basin Based on the Ecological Index (MRSEI) and GEE. Remote Sens. 2021, 13, 4543, Erratum in Remote Sens. 2022, 14, 5307. [Google Scholar] [CrossRef]
  17. Zhu, D.; Chen, T.; Wang, Z.; Niu, R. Detecting ecological spatial-temporal changes by Remote Sensing Ecological Index with local adaptability. J. Environ. Manag. 2021, 299, 113655. [Google Scholar] [CrossRef]
  18. Xu, Q.; Zheng, X.; Zhang, C. Quantitative Analysis of the Determinants Influencing Urban Expansion: A Case Study in Beijing, China. Sustainability 2018, 10, 1630. [Google Scholar] [CrossRef]
  19. Li, T.; Ma, C.; Guo, Z. Ecological quality evaluation and influencing factors analysis of Helan Mountain based on RSEI. Chin. J. Ecol. 2021, 40, 1154–1165. [Google Scholar] [CrossRef]
  20. Zhao, J.-L.; Li, X.; Sun, B. Spatial-temporal Evolution and Driving Factors Analysis of Ecological Environment Quality in Daihai Basin based on AWRSEI. Environ. Sci. 2024, 45, 1598–1614. [Google Scholar] [CrossRef]
  21. Quan, W.; Zhang, Y.; Liu, Y.; Wang, W. Monitoring and Evaluation of Ecological and Environmental Changes in Dongzhuang Reservoir Basin of Shaanxi Province Based on Remote Sensing Ecological Indices. Bull. Soil Water Conserv. 2022, 42, 96–104. [Google Scholar] [CrossRef]
  22. Robbins, K.D. Simulated Climate Data Inputs for DRAINMOD. 1988. Available online: https://www.researchgate.net/publication (accessed on 19 July 2024).
  23. Gara, B.D. The Role of Hydrology in the Spatial Patterning of Woody Vegetation within an Ohio Swamp Forest. Ph.D. Thesis, Ohio State University, Columbus, OH, USA, 1995. [Google Scholar] [CrossRef]
  24. Myers, D.E. Estimating the area affected by phosphorus runoff in an Everglades wetland: A comparison of universal kriging and Bayesian kriging–Discussion. Environ. Ecol. Stat. 1997, 4, 27–28. [Google Scholar] [CrossRef]
  25. Li, H.; Zhang, G.; Sun, G. Simulation and evaluation of the water purification function of Zhalong Wetland based on a combined water quantity-quality model. Sci. China Technol. Sci. 2012, 55, 1973–1981. [Google Scholar] [CrossRef]
  26. Wang, J.; Wu, Y.; Gou, A. Habitat quality evolution characteristics and multi-scenario prediction in Shenzhen based on PLUS and InVEST models. Front. Environ. Sci. 2023, 11, 1146347. [Google Scholar] [CrossRef]
  27. Xiong, L.; Yuan, M.; Wu, J. An overview of the application of big data technology in the field of ecological environment. Ecol. Environ. 2019, 28, 2454–2463. [Google Scholar] [CrossRef]
  28. Guo, Y.; Yu, Z.; Chen, D.; Chen, X.; Su, Z. The Environment of Ertan Hydroelectric Station and the Reservoir Area. J. China West Norm. Univ. Nat. Sci. 1998, 1, 11–17. [Google Scholar] [CrossRef]
  29. Huang, Z. Ecological and Environmental Monitoring Plans and Protection Measures for Large-scale Hydpropower Project. Resour. Environ. Yangtze Basin 2004, 13, 101–108. [Google Scholar] [CrossRef]
  30. Goward, S.N.; Xue, Y.K.; Czajkowski, K.P. Evaluating land surface moisture conditions from the remotely sensed temperature/vegetation index measurements–An exploration with the simplified simple biosphere model. Remote Sens. Environ. 2002, 79, 225–242. [Google Scholar] [CrossRef]
  31. Estoque, R.C.; Murayama, Y.; Myint, S.W. Effects of landscape composition and pattern on land surface temperature: An urban heat island study in the megacities of Southeast Asia. Sci. Total Environ. 2017, 577, 349–359. [Google Scholar] [CrossRef]
  32. Seddon, A.W.R.; Macias-Fauria, M.; Long, P.R.; Benz, D.; Willis, K.J. Sensitivity of global terrestrial ecosystems to climate variability. Nature 2016, 531, 229–232. [Google Scholar] [CrossRef]
  33. Benmecheta, A.; Abdellaoui, A.; Hamou, A. A comparative study of land surface temperature retrieval methods from remote sensing data. Can. J. Remote Sens. 2013, 39, 59–73. [Google Scholar] [CrossRef]
  34. Zhu, X.-M.; Song, X.-N.; Leng, P.; Guo, D.; Cai, S.-H. Impact of Atmospheric Correction on Spatial Heterogeneity Relations Between Land Surface Temperature and Biophysical Compositions. IEEE Trans. Geosci. Remote Sens. 2021, 59, 2680–2697. [Google Scholar] [CrossRef]
  35. McDonald, M.E. EMAP overview: Objectives, approaches, and achievements. Environ. Monit. Assess. 2000, 64, 3–8. [Google Scholar] [CrossRef]
  36. Wang, J.; Xu, C. Geodetector: Principles and Prospects. Acta Geogr. Sin. 2017, 72, 116–134. [Google Scholar] [CrossRef]
  37. Wang, J.-F.; Hu, Y. Environmental health risk detection with GeogDetector. Environ. Model. Softw. 2012, 33, 114–115. [Google Scholar] [CrossRef]
  38. Liu, Y.; Lin, Y.; Liu, W.; Zhou, J.; Wang, J. Remote sensing perspective in exploring the spatiotemporal variation characteristics and post-disaster recovery of ecological environment quality, a case study of the 2010 Ms7.1 Yushu earthquake. Geomat. Nat. Hazards Risk 2024, 15, 2314578. [Google Scholar] [CrossRef]
  39. Liu, Y.; Zhou, T.; Yu, W. Analysis of Changes in Ecological Environment Quality and Influencing Factors in Chongqing Based on a Remote-Sensing Ecological Index Mode. Land 2024, 13, 227. [Google Scholar] [CrossRef]
  40. Bai, W.; He, L.; He, Z.; Wang, X.; Zhao, Y.; Qu, R.; Luo, F.; Chen, X.; Wang, Z.; Liu, M. Analysis of spatial and temporal variation of vegetation NPP in Daning River Basin and its driving forces. Int. J. Remote Sens. 2023, 44, 6194–6218. [Google Scholar] [CrossRef]
  41. Wu, Z.; Hou, Q.; Yang, Z.; Yu, T.; Li, D.; Lin, K.; Ma, X. Identification of factors driving the spatial distribution of molybdenum (Mo) in topsoil in the Longitudinal Range-Gorge Region of Southwestern China using the Geodetector model. Ecotoxicol. Environ. Saf. 2024, 271, 115846. [Google Scholar] [CrossRef]
  42. Wang, L.; Zhao, R.; Liu, Z.; Zhang, S.; Kong, J.; Yang, Y. Monitoring and Prediction of Ecological Environment Quality in Yanhe River Basin Based on RSEI. Arid. Zone Res. 2022, 39, 943–954. [Google Scholar] [CrossRef]
  43. Singh, S.K.; Laari, P.B.; Mustak, S.; Srivastava, P.K.; Szabó, S. Modelling of land use land cover change using earth observation data-sets of Tons River Basin, Madhya Pradesh, India. Geocarto International. 2018, 33, 1202–1222. [Google Scholar] [CrossRef]
  44. Zhang, B.; Wang, Y.; Li, J.; Zheng, L. Degradation or Restoration? The Temporal-Spatial Evolution of Ecosystem Services and Its Determinants in the Yellow River Basin, China, Land 2022, 11, 863. [Google Scholar] [CrossRef]
  45. Zhang, J. The Impact of the Oasis Development on Ecological Environment: Take Guazhou-Dunhuang Basin as an Example. Master’s Thesis, Lanzhou University, Gansu, China, 2016. [Google Scholar] [CrossRef]
  46. Zhang, X.; Song, Y.; Xue, D. Monitor and Assess the Ecological Geo-environment of Er’tan Hydropower by RS Method. Geospat. Inf. 2010, 8, 73–75. [Google Scholar]
  47. Pang, Z.; Ge, X.; Sun, T.; Pan, S.; Wang, Y. Dynamic monitoring on land use/cover of Ertan Reservoir Area based on multi-source RS data. Water Resour. Hydropower Eng. 2010, 41, 91–94. [Google Scholar] [CrossRef]
  48. Geng, J.; Yu, K.; Xie, Z.; Zhao, G.; Ai, J.; Yang, L.; Yang, H.; Liu, J. Analysis of Spatiotemporal Variation and Drivers of Ecological Quality in Fuzhou Based on RSEI. Remote Sens. 2022, 14, 4900. [Google Scholar] [CrossRef]
Figure 1. Location of the study area within China (a), Topography of the study area (b).
Figure 1. Location of the study area within China (a), Topography of the study area (b).
Sustainability 16 09125 g001
Figure 2. Technological route.
Figure 2. Technological route.
Sustainability 16 09125 g002
Figure 3. Ecosystem quality drivers. (a) DEM; (b) slope; (c) aspect; (d) geo – hazard kernel density; (e) distance from fault; (f) land use; (g) soil type; (h) soil erosion; (i) formation complex.
Figure 3. Ecosystem quality drivers. (a) DEM; (b) slope; (c) aspect; (d) geo – hazard kernel density; (e) distance from fault; (f) land use; (g) soil type; (h) soil erosion; (i) formation complex.
Sustainability 16 09125 g003
Figure 4. Inter–annual variation of ecological quality classification percentage in Ertan Reservoir area by period.
Figure 4. Inter–annual variation of ecological quality classification percentage in Ertan Reservoir area by period.
Sustainability 16 09125 g004
Figure 5. Grading of RSEI index in Ertan Reservoir area by period.
Figure 5. Grading of RSEI index in Ertan Reservoir area by period.
Sustainability 16 09125 g005
Figure 6. Building and bare earth area. Deshi Township, (a) remote sensing image, (b) drone shot map, mirror direction 98°, (c) drone shot map, mirror direction 36°, March 2024.
Figure 6. Building and bare earth area. Deshi Township, (a) remote sensing image, (b) drone shot map, mirror direction 98°, (c) drone shot map, mirror direction 36°, March 2024.
Sustainability 16 09125 g006
Figure 7. Sparse grassy slope area in the hot dry valley. Deshi Township, (a) remote sensing image, (b) drone shot map, mirror direction 36°, (c) drone shot map, mirror direction 330°, March 2024.
Figure 7. Sparse grassy slope area in the hot dry valley. Deshi Township, (a) remote sensing image, (b) drone shot map, mirror direction 36°, (c) drone shot map, mirror direction 330°, March 2024.
Sustainability 16 09125 g007
Figure 8. Zhongshan Canyon broadleaf forest area. Baipo Yi Township, (a) remote sensing image, (b) drone shot map, mirror direction 40°, (c) drone shot map, mirror direction 320°, March 2024.
Figure 8. Zhongshan Canyon broadleaf forest area. Baipo Yi Township, (a) remote sensing image, (b) drone shot map, mirror direction 40°, (c) drone shot map, mirror direction 320°, March 2024.
Sustainability 16 09125 g008
Figure 9. Statistics of RSEI values for the study years in the Ertan Reservoir area.
Figure 9. Statistics of RSEI values for the study years in the Ertan Reservoir area.
Sustainability 16 09125 g009
Figure 10. Heat map of driving force factor interactions. DEM (X1), slope (X2), aspect (X3), geohazard kernel density (X4), distance from faults (X5), land use (X6), soil type (X7), soil erosion (X8), and formation complex (X9).
Figure 10. Heat map of driving force factor interactions. DEM (X1), slope (X2), aspect (X3), geohazard kernel density (X4), distance from faults (X5), land use (X6), soil type (X7), soil erosion (X8), and formation complex (X9).
Sustainability 16 09125 g010
Figure 11. Driver factor risk detection results. The confidence level is 95%, (ai) are the drivers in 9, respectively, and the discretization level refers to Table 3.
Figure 11. Driver factor risk detection results. The confidence level is 95%, (ai) are the drivers in 9, respectively, and the discretization level refers to Table 3.
Sustainability 16 09125 g011
Figure 12. Simulation of ecological environment quality grade in Ertan Reservoir area in 2025, (a) is the rank distribution, (b) shows the change in area by rank.
Figure 12. Simulation of ecological environment quality grade in Ertan Reservoir area in 2025, (a) is the rank distribution, (b) shows the change in area by rank.
Sustainability 16 09125 g012
Figure 13. Statistics on the change of ecological environment quality grade in Ertan Reser–voir area from 1995 to 2020.
Figure 13. Statistics on the change of ecological environment quality grade in Ertan Reser–voir area from 1995 to 2020.
Sustainability 16 09125 g013
Figure 14. Spatial distribution of RSEI changes in Ertan Reservoir area, 1995–2020.
Figure 14. Spatial distribution of RSEI changes in Ertan Reservoir area, 1995–2020.
Sustainability 16 09125 g014
Table 1. Information table of remote sensing image data by period.
Table 1. Information table of remote sensing image data by period.
YearData TypeOrbitalTimeSpatial ResolutionCloud (%)
1995Landsat TM 5130/411995.05.1230 m0.02
2000Landsat TM 5130/412000.05.0930 m2.66
2005Landsat ETM 7130/412005.02.2430 m0.04
2010Landsat ETM 7130/412010.02.2230 m0
2015Landsat OLI 8130/412015.04.1730 m2.85
2020Landsat OLI 8130/412022.02.2630 m1.02
Table 2. Index construction.
Table 2. Index construction.
IndicatorsFormulaDefinition
NDVI N D V I = ρ n i r ρ r e d / ρ n i r + ρ r e d [30]
WET W E T T M = 0.0315 ρ b i u e + 0.2021 ρ g r e e n + 0.3102 ρ r e d + 0.1594 ρ n i r 0.6806 ρ s w i r 1 0.6109 ρ s w i r 2
W E T E T M + = 0.2626 ρ b l u e + 0.2141 ρ g r e e n + 0.0926 ρ r e d + 0.0656 ρ n i r 0.7629 ρ s w i r 1 0.5388 ρ s w i r 2
W E T O L I = 0.0511 ρ b l u e + 0.1973 ρ g r e e n + 0.3283 ρ r e d + 0.3407 ρ n i r 0.7117 ρ s w i r 1 0.4559 ρ s w i r 2
[32]
NDSI I B I = 2 ρ s w i r 1 / ρ s w i r 1 + ρ n i r ρ n i r / ρ m i r + ρ r e d ρ g r e e n / ρ g r e e n + ρ s w i r 1 2 ρ s w i r 1 / ρ s w i r 1 + ρ n i r + ρ n i r / ρ m i r + ρ r e d + ρ g r e e n / ρ g r e e n + ρ s w i r 1
S I = ( ρ s w i r 1 + ρ r e d ) ( ρ b l u e + ρ n i r ) ( ρ s w i r 1 + ρ r e d ) + ( ρ b l u e + ρ n i r )
N D S I = ( S I + I B I ) / 2
[33,34]
LST L T I R = g a i n × D N + b i a s
T = K 2 / ln ( K 1 / L T I R + 1 )
L S T = T / 1 + ( λT / ρ ) ln ( ɛ )
[31]
Notes: ρ represent Landsat image bands.
Table 3. Discrete classification.
Table 3. Discrete classification.
Level12345678
DEM (m)≤16491649–20812081–25142514–3008>3008
Slope (°)≤55–88–1515–2525–35>35
AspectFlat landShady slopeSemi-shady slopeSemi-positive slopeSunny slope
Geohazard kernel density (m)≤136136–377377–656656–11231123–1921
Distance from fault (km)1351015
Land useFarmlandWoodlandGrasslandShrublandWetlandWaterConstructionBare land
Soil typeYellow-brown soilBrown soil Dark brown soilLimestone soilRed lime soilBlack lime soilPurple soilAcid purple soil
Neutral purple soilPaddy soilBlack felt soilCrimson soilLateritic red soilRed soilBrown-red soilMountain red soil
Soil erosionMicroMild Moderate Intensity Extreme intensity
Formation complexweak rock Weaker rock Medium rock Harder rock Hard rock
Table 4. Probability matrix for ecological quality transfer.
Table 4. Probability matrix for ecological quality transfer.
2025 WorstPoorModerateGoodExcellent
2020
Worst0.370.240.220.150.02
Poor0.200.250.290.220.03
Moderate0.100.190.330.330.05
Good0.040.090.250.490.13
Excellent0.010.040.110.390.45
Table 5. Factor detection results.
Table 5. Factor detection results.
FactorsDEMSlopeAspectGeohazard Kernel DensityDistance from FaultLand UseSoil TypeSoil ErosionFormation Complex
q value0.530.140.460.070.030.430.130.180.12
p value0.010.050.020.0100.010.010.020.04
Explanatory power ranking153892647
Notes: q is explanatory power, and the larger the q value, the stronger the explanatory power; p is significance, and the smaller the p value the more significant the result.
Table 6. “F” statistical significance results for driving factors.
Table 6. “F” statistical significance results for driving factors.
Driving FactorsX1X2X3X4X5X6X7X8X9
X1
X2Y
X3YN
X4YYN
X5NNNY
X6YYYYN
X7YYYNNY
X8YYYNNYY
X9NYNYYYYY
Notes: The confidence level is 95%. A result of “Y” indicates that there is a significant difference in the effect of the two drivers on the RSEI in the Ertan Reservoir, while a result of “N” indicates that there is no significant difference.
Table 7. Correlation test table between RSEI and the indicators.
Table 7. Correlation test table between RSEI and the indicators.
YearIndicatorsNDVIWETNDSILSTRSEI
1995NDVI1.00 0.64 −0.58 −0.65 0.70
WET0.64 1.00 −0.81 −0.72 0.75
NDSI−0.58 −0.81 1.00 0.66 −0.64
LST−0.65 −0.72 0.66 1.00 −0.89
Average correlation0.62 0.72 0.68 0.68 0.74
2000NDVI1.00 0.59 −0.66 −0.43 0.86
WET0.59 1.00 −0.73 −0.60 0.55
NDSI−0.66 −0.73 1.00 0.52 −0.78
LST−0.43 −0.60 0.52 1.00 −0.82
Average correlation0.56 0.64 0.64 0.52 0.75
2005NDVI1.00 0.47 −0.36 −0.52 0.65
WET0.47 1.00 −0.73 −0.82 0.88
NDSI−0.36 −0.73 1.00 0.66 −0.68
LST−0.52 −0.82 0.66 1.00 −0.97
Average correlation0.45 0.67 0.58 0.66 0.80
NDVI1.00 0.47 −0.41 −0.53 0.94
WET0.47 1.00 −0.79 −0.84 0.77
2010NDSI−0.41 −0.79 1.00 0.74 −0.66
LST−0.53 −0.84 0.74 1.00 −0.88
Average correlation0.47 0.70 0.64 0.70 0.81
2015NDVI1.00 0.68 −0.70 −0.45 0.72
WET0.68 1.00 −0.76 −0.61 0.81
NDSI−0.70 −0.76 1.00 0.59 −0.72
LST−0.45−0.61 0.59 1.00 −0.70
Average correlation0.610.68 0.68 0.55 0.74
2020NDVI1.000.58 −0.60 −0.46 0.55
WET0.581.00 −0.67 −0.71 0.87
NDSI−0.60−0.67 1.00 0.61 −0.82
LST−0.46−0.71 0.61 1.00 −0.49
Average correlation0.550.65 0.63 0.59 0.68
Note: Correlation values range from 0 to 1, with larger values indicating a stronger correlation. A positive value for the indicator indicates a positive correlation, while a negative value indicates a negative correlation. The average correlation is the absolute value of the correlation coefficient between the indicator and other indicators.
Disclaimer/Publisher’s Note: The statements, opinions and data contained in all publications are solely those of the individual author(s) and contributor(s) and not of MDPI and/or the editor(s). MDPI and/or the editor(s) disclaim responsibility for any injury to people or property resulting from any ideas, methods, instructions or products referred to in the content.

Share and Cite

MDPI and ACS Style

Xiao, Y.; He, L.; Chen, X.; He, Z.; Lai, Y.; Luo, F.; Cen, Y.; Li, D.; Jin, R. Impacts of Large Hydropower Projects on the Ecological Environment of Watersheds: A Case Study of Ertan Reservoir Area. Sustainability 2024, 16, 9125. https://doi.org/10.3390/su16209125

AMA Style

Xiao Y, He L, Chen X, He Z, Lai Y, Luo F, Cen Y, Li D, Jin R. Impacts of Large Hydropower Projects on the Ecological Environment of Watersheds: A Case Study of Ertan Reservoir Area. Sustainability. 2024; 16(20):9125. https://doi.org/10.3390/su16209125

Chicago/Turabian Style

Xiao, Yixian, Li He, Xin Chen, Zhengwei He, Yangqi Lai, Fang Luo, Yuxin Cen, Dan Li, and Run Jin. 2024. "Impacts of Large Hydropower Projects on the Ecological Environment of Watersheds: A Case Study of Ertan Reservoir Area" Sustainability 16, no. 20: 9125. https://doi.org/10.3390/su16209125

APA Style

Xiao, Y., He, L., Chen, X., He, Z., Lai, Y., Luo, F., Cen, Y., Li, D., & Jin, R. (2024). Impacts of Large Hydropower Projects on the Ecological Environment of Watersheds: A Case Study of Ertan Reservoir Area. Sustainability, 16(20), 9125. https://doi.org/10.3390/su16209125

Note that from the first issue of 2016, this journal uses article numbers instead of page numbers. See further details here.

Article Metrics

Back to TopTop