Investigating the Interactive Effect of Arbuscular Mycorrhizal Fungi and Different Chelating Agents (EDTA and DTPA) with Different Plant Species on Phytoremediation of Contaminated Soil
Abstract
1. Introduction
2. Material and Methods
2.1. Soil Collection and Preparation
2.2. Experiments
2.3. Soil Physical and Chemical Analyses
2.4. Measurements of Heavy-Metal Concentrations in Plants and Soils
2.5. Plant Bioaccumulation Factor (BF)
2.6. The Translocation Factor (TF)
2.7. Statistical Analyses
3. Results and Discussion
3.1. Soil Properties
3.2. Plant Dry Matter
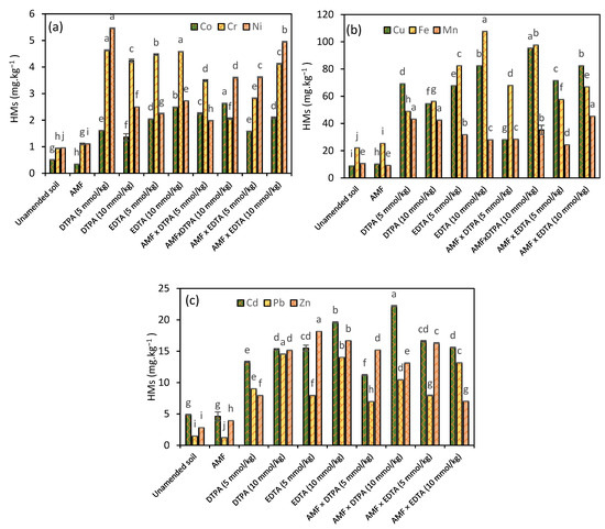
3.3. Extractable Heavy Metal Content in Soils
3.4. Heavy Metal Concentration in Plants
3.5. Bioaccumulation (BF) and Translocation Factor (TF) in Maize Shoots
3.6. Bioaccumulation (BF) and Translocation Factor (TF) in Alfalfa (Medicago sativa L.)
3.7. Bioaccumulation Factor (BF)
3.8. Translocation Factor (TF)
4. Conclusions
Author Contributions
Funding
Institutional Review Board Statement
Informed Consent Statement
Data Availability Statement
Acknowledgments
Conflicts of Interest
References
- Vareda, J.P.; Valente, A.J.M.; Durães, L. Assessment of Heavy Metal Pollution from Anthropogenic Activities and Remediation Strategies: A Review. J. Environ. Manag. 2019, 246, 101–118. [Google Scholar] [CrossRef] [PubMed]
- Alloway, B. Sources of Heavy Metals and Metalloids in Soils. In Heavy Metals in Soils: Trace Metals and Metalloids in Soils and Their Bioavailability Series; Springer: Dordrecht, The Netherlands, 2013; Volume 22, pp. 11–50. ISBN 978-94-007-4469-1. [Google Scholar]
- Aloud, S.S.; Alotaibi, K.D.; Almutairi, K.F.; Albarakah, F.N. Assessment of Heavy Metals Accumulation in Soil and Native Plants in an Industrial Environment, Saudi Arabia. Sustainability 2022, 14, 5993. [Google Scholar] [CrossRef]
- Wu, G.; Kang, H.; Zhang, X.; Shao, H.; Chu, L.; Ruan, C. A Critical Review on the Bio-Removal of Hazardous Heavy Metals from Contaminated Soils: Issues, Progress, Eco-Environmental Concerns and Opportunities. J. Hazard. Mater. 2010, 174, 1–8. [Google Scholar] [CrossRef] [PubMed]
- Rahman, Z.; Singh, V.P. The Relative Impact of Toxic Heavy Metals (THMs) (Arsenic (As), Cadmium (Cd), Chromium (Cr)(VI), Mercury (Hg), and Lead (Pb)) on the Total Environment: An Overview. Environ. Monit. Assess. 2019, 191, 419. [Google Scholar] [CrossRef] [PubMed]
- Priya, A.K.; Muruganandam, M.; Ali, S.S.; Kornaros, M. Clean-Up of Heavy Metals from Contaminated Soil by Phytoremediation: A Multidisciplinary and Eco-Friendly Approach. Toxics 2023, 11, 422. [Google Scholar] [CrossRef]
- Saxena, G.; Purchase, D.; Mulla, S.I.; Saratale, G.D.; Bharagava, R.N. Phytoremediation of Heavy Metal-Contaminated Sites: Eco-Environmental Concerns, Field Studies, Sustainability Issues, and Future Prospects. Rev. Environ. Contam. Toxicol. 2020, 249, 71–131. [Google Scholar] [CrossRef]
- Tauqeer, H.; Turan, V.; Iqbal, M. Production of Safer Vegetables from Heavy Metals Contaminated Soils: The Current Situation, Concerns Associated with Human Health and Novel Management Strategies. In Advances in Bioremediation and Phytoremediation for Sustainable Soil Management; Springer: Cham, Switzerland, 2022; pp. 301–312. ISBN 978-3-030-89983-7. [Google Scholar]
- Chen, H.; Teng, Y.; Lu, S.; Wang, Y.; Wang, J. Contamination Features and Health Risk of Soil Heavy Metals in China. Sci. Total Environ. 2015, 512–513, 143–153. [Google Scholar] [CrossRef]
- Nedjimi, B. Phytoremediation: A Sustainable Environmental Technology for Heavy Metals Decontamination. SN Appl. Sci. 2021, 3, 286. [Google Scholar] [CrossRef]
- Kumar, S.; Kadier, A.; Malyan, S.; Ahmad, A.; Bishnoi, N. Phytoremediation and Rhizoremediation: Uptake, Mobilization and Sequestration of Heavy Metals by Plants. In Plant-Microbe Interactions in Agro-Ecological Perspectives; Springer: Singapore, 2017; pp. 367–394. ISBN 978-981-10-6592-7. [Google Scholar]
- Sinegani, A.; Tahmasbian, I.; Safari Sinegani, M. Chelating Agents and Heavy Metal Phytoextraction. In Heavy Metal Contamination of Soils; Springer: Cham, Switzerland, 2015; pp. 367–393. ISBN 978-3-319-14525-9. [Google Scholar]
- Evangelou, M.W.H.; Ebel, M.; Schaeffer, A. Chelate Assisted Phytoextraction of Heavy Metals from Soil. Effect, Mechanism, Toxicity, and Fate of Chelating Agents. Chemosphere 2007, 68, 989–1003. [Google Scholar] [CrossRef]
- Pinto, I.S.S.; Neto, I.F.F.; Soares, H.M.V.M. Biodegradable Chelating Agents for Industrial, Domestic, and Agricultural Applications—A Review. Environ. Sci. Pollut. Res. Int. 2014, 21, 11893–11906. [Google Scholar] [CrossRef]
- Dhalaria, R.; Kumar, D.; Kumar, H.; Nepovimova, E.; Kuča, K.; Torequl Islam, M.; Verma, R. Arbuscular Mycorrhizal Fungi as Potential Agents in Ameliorating Heavy Metal Stress in Plants. Agronomy 2020, 10, 815. [Google Scholar] [CrossRef]
- Zhou, Y.; Ge, S.; Jin, L.; Yao, K.; Wang, Y.; Wu, X.; Zhou, J.; Xia, X.; Shi, K.; Foyer, C.H.; et al. A Novel CO2-Responsive Systemic Signaling Pathway Controlling Plant Mycorrhizal Symbiosis. New Phytol. 2019, 224, 106–116. [Google Scholar] [CrossRef] [PubMed]
- AbdElgawad, H.; El-Sawah, A.M.; Mohammed, A.E.; Alotaibi, M.O.; Yehia, R.S.; Selim, S.; Saleh, A.M.; Beemster, G.T.S.; Sheteiwy, M.S. Increasing Atmospheric CO2 Differentially Supports Arsenite Stress Mitigating Impact of Arbuscular Mycorrhizal Fungi in Wheat and Soybean Plants. Chemosphere 2022, 296, 134044. [Google Scholar] [CrossRef] [PubMed]
- Sheteiwy, M.S.; El-Sawah, A.M.; Korany, S.M.; Alsherif, E.A.; Mowafy, A.M.; Chen, J.; Jośko, I.; Selim, S.; AbdElgawad, H. Arbuscular Mycorrhizal Fungus “Rhizophagus Irregularis” Impacts on Physiological and Biochemical Responses of Ryegrass and Chickpea Plants under Beryllium Stress. Environ. Pollut. 2022, 315, 120356. [Google Scholar] [CrossRef] [PubMed]
- Meddad-Hamza, A.; Hamza, N.; Neffar, S.; Beddiar, A.; Gianinazzi, S.; Chenchouni, H. Spatiotemporal Variation of Arbuscular Mycorrhizal Fungal Colonization in Olive (Olea europaea L.) Roots across a Broad Mesic-Xeric Climatic Gradient in North Africa. Sci. Total Environ. 2017, 583, 176–189. [Google Scholar] [CrossRef]
- Ma, Y.; Oliveira, R.S.; Freitas, H.; Zhang, C. Biochemical and Molecular Mechanisms of Plant-Microbe-Metal Interactions: Relevance for Phytoremediation. Front. Plant Sci. 2016, 7, 918. [Google Scholar] [CrossRef]
- Yang, Y.; Huang, B.; Xu, J.; Li, Z.; Tang, Z.; Wu, X. Heavy Metal Domestication Enhances Beneficial Effects of Arbuscular Mycorrhizal Fungi on Lead (Pb) Phytoremediation Efficiency of Bidens Parviflora through Improving Plant Growth and Root Pb Accumulation. Environ. Sci. Pollut. Res. Int. 2022, 29, 32988–33001. [Google Scholar] [CrossRef]
- Zhan, F.; Li, B.; Jiang, M.; Yue, X.; He, Y.; Xia, Y.; Wang, Y. Arbuscular Mycorrhizal Fungi Enhance Antioxidant Defense in the Leaves and the Retention of Heavy Metals in the Roots of Maize. Environ. Sci. Pollut. Res. Int. 2018, 25, 24338–24347. [Google Scholar] [CrossRef]
- Aloud, S.S.; Alotaibi, K.D.; Almutairi, K.F.; Albarakah, F.N. Phytoremediation Potential of Native Plants Growing in Industrially Polluted Soils of Al-Qassim, Saudi Arabia. Sustainability 2023, 15, 2668. [Google Scholar] [CrossRef]
- Stutz, J.C.; Morton, J.B. Successive Pot Cultures Reveal High Species Richness of Arbuscular Endomycorrhizal Fungi in Arid Ecosystems. Can. J. Bot. 1996, 74, 1883–1889. [Google Scholar] [CrossRef]
- Kereszt, A.; Li, D.; Indrasumunar, A.; Nguyen, C.D.T.; Nontachaiyapoom, S.; Kinkema, M.; Gresshoff, P.M. Agrobacterium Rhizogenes-Mediated Transformation of Soybean to Study Root Biology. Nat. Protoc. 2007, 2, 948–952. [Google Scholar] [CrossRef] [PubMed]
- Okalebo, J.R.; Gathua, K.W.; Woomer, P.L. Laboratory Methods of Soil and Plant Analysis: A Working Manual; Sacred Africa: Nairobi, Kenya, 2002. [Google Scholar]
- Rowell, D.L. Soil Science, 1st ed.; Routledge: London, UK, 2014; ISBN 9781317896128. [Google Scholar]
- Klute, A.; Page, A.L. Methods of Soil Analysis: Chemical and Microbiological Properties; ASA/SSSA Agronomy; American Society of Agronomy: Madison, WI, USA, 1982; ISBN 9780891180722. [Google Scholar]
- Fitz, W.J.; Wenzel, W.W. Arsenic Transformations in the Soil-Rhizosphere-Plant System: Fundamentals and Potential Application to Phytoremediation. J. Biotechnol. 2002, 99, 259–278. [Google Scholar] [CrossRef] [PubMed]
- Bremner, J.M.; Mulvaney, C.S. Nitrogen—Total. In Methods of Soil Analysis; John Wiley & Sons, Ltd.: Hoboken, NJ, USA, 1982; pp. 595–624. ISBN 9780891189770. [Google Scholar]
- Jones, J. Complete Guide for Growing Plants Hydroponically; CRC Press: Boca Raton, FL, USA, 2014; ISBN 9781439876695. [Google Scholar]
- Ma, L.Q.; Komar, K.M.; Tu, C.; Zhang, W.; Cai, Y.; Kennelley, E.D. A Fern That Hyperaccumulates Arsenic. Nature 2001, 409, 579. [Google Scholar] [CrossRef] [PubMed]
- Rai, U.; Upadhyay, A.; Singh, N.; Dwivedi, S.; Tripathi, R. Seasonal Applicability of Horizontal Sub-Surface Flow Constructed Wetland for Trace Elements and Nutrient Removal from Urban Wastes to Conserve Ganga River Water Quality at Haridwar, India. Ecol. Eng. 2015, 81, 115–122. [Google Scholar] [CrossRef]
- Soda, S.; Hamada, T.; Yamaoka, Y.; Ike, M.; Nakazato, H.; Saeki, Y.; Kasamatsu, T.; Sakurai, Y. Constructed Wetlands for Advanced Treatment of Wastewater with a Complex Matrix from a Metal-Processing Plant: Bioconcentration and Translocation Factors of Various Metals in Acorus Gramineus and Cyperus Alternifolius. Ecol. Eng. 2012, 39, 63–70. [Google Scholar] [CrossRef]
- Kim, I.S.; Kang, K.H.; Johnson-Green, P.; Lee, E.J. Investigation of Heavy Metal Accumulation in Polygonum thunbergii for Phytoextraction. Environ. Pollut. 2003, 126, 235–243. [Google Scholar] [CrossRef]
- Ali, H.; Khan, E.; Sajad, M.A. Phytoremediation of Heavy Metals—Concepts and Applications. Chemosphere 2013, 91, 869–881. [Google Scholar] [CrossRef]
- Vigliotta, G.; Matrella, S.; Cicatelli, A.; Guarino, F.; Castiglione, S. Effects of Heavy Metals and Chelants on Phytoremediation Capacity and on Rhizobacterial Communities of Maize. J. Environ. Manag. 2016, 179, 93–102. [Google Scholar] [CrossRef]
- Peng, Q.; Wu, M.; Zhang, Z.; Su, R.; He, H.; Zhang, X. The Interaction of Arbuscular Mycorrhizal Fungi and Phosphorus Inputs on Selenium Uptake by Alfalfa (Medicago sativa L.) and Selenium Fraction Transformation in Soil. Front. Plant Sci. 2020, 11, 966. [Google Scholar] [CrossRef]
- Yang, Q.; Li, Z.; Lu, X.; Duan, Q.; Huang, L.; Bi, J. A Review of Soil Heavy Metal Pollution from Industrial and Agricultural Regions in China: Pollution and Risk Assessment. Sci. Total Environ. 2018, 642, 690–700. [Google Scholar] [CrossRef]
- Murtaza, D.G.; Ghafoor, A.; Qadir, M. Accumulation and Implications of Cadmium, Cobalt and Manganese in Soils and Vegetables Irrigated with City Effluent. J. Sci. Food Agric. 2008, 88, 100–107. [Google Scholar] [CrossRef]
- Seleiman, M.; Santanen, A.; Mäkelä, P. Recycling Sludge on Cropland as Fertilizer-Advantages and Risks. Resour. Conserv. Recycl. 2019, 155, 104647. [Google Scholar] [CrossRef]
- Kanwal, U.; Ali, S.; Shakoor, M.B.; Farid, M.; Hussain, S.; Yasmeen, T.; Adrees, M.; Bharwana, S.A.; Abbas, F. EDTA Ameliorates Phytoextraction of Lead and Plant Growth by Reducing Morphological and Biochemical Injuries in Brassica napus L. under Lead Stress. Environ. Sci. Pollut. Res. Int. 2014, 21, 9899–9910. [Google Scholar] [CrossRef] [PubMed]
- Razmi, B.; Ghasemi-Fasaei, R.; Ronaghi, A.; Mostowfizadeh-Ghalamfarsa, R. Investigation of Factors Affecting Phytoremediation of Multi-Elements Polluted Calcareous Soil Using Taguchi Optimization. Ecotoxicol. Environ. Saf. 2021, 207, 111315. [Google Scholar] [CrossRef]
- Wuana, R.; Eneji, I.; Naku, J. Single and Mixed Chelants-Assisted Phytoextraction of Heavy Metals in Municipal Waste Dump Soil by Castor. Adv. Environ. Res. 2016, 5, 19–35. [Google Scholar] [CrossRef]
- Hashem, A.; Shameem, N.; Parray, J.; Abd Allah, E.F. Mycorrhizal Strategy for the Management of Hazardous Chromium Contaminants. In Core Microbiome: Improving Crop Quality and Productivity; John Wiley & Sons Ltd.: Hoboken, NJ, USA, 2022; pp. 298–314. ISBN 9781119830764. [Google Scholar]
- Osama, N.M.; Ibrahim, M.Z.; Ghazi, S.; Shedeed, Z.; Doaa, M.N. Remediation of Cadmium Toxicity on Alfalfa (Medicago sativa L.) Using Biochar as a Bioadsorbent, Rhizobium Meliloti and Arbuscular Mycorrhizal Fungi as Biofertilizers. J. Bioremed. Biodegrad. 2018, 9, 429. [Google Scholar] [CrossRef]




| Parameter | Mean |
|---|---|
| pH (1:1) | 8.1 |
| EC ds/m−1 | 2.41 |
| O.M % | 1.45 |
| CaCO3 % | 11.91 |
| Sand % | 58 |
| Silt % | 23 |
| Clay % | 19 |
| CEC cmol/kg | 5.81 |
| Ca2+ cmol/kg | 33.23 |
| Mg2+ cmol/kg | 26.71 |
| Na+ cmol/kg | 39.83 |
| K+ cmol/kg | 15.64 |
| Treatment | Cd | Co | Cr | Cu | Mn | Ni | Pb | Zn |
|---|---|---|---|---|---|---|---|---|
| Non | 0.67 ± 0.11 b | 0.01 ± 0.001 b | 0.22 ± 0.015 c | 0.7 ± 0.05 h | 1.7 ± 0.005 a | 0.02 ± 0.005 e | 0.06 ± 0.005 e | 0.2 ± 0.005 f |
| AMF | 0.78 ± 0.11 a | 0.01 ± 0.001 b | 0.18 ± 0.07 cd | 0.8 ± 0.011 g | 1.2 ± 0.05 b | 0.04 ± 0.005 e | 0.06 ± 0.005 e | 0.1 ± 0.005 h |
| DTPA (5 mmol/kg) | 0.15 ± 0.011 g | 0.01 ± 0.002 a | 0.38 ± 0.005 a | 1.9 ± 0.005 d | 0.8 ± 0.005 e | 0.4 ± 0.005 a | 0.11 ± 0.005 c | 0.2 ± 0.005 g |
| DTPA (10 mmol/kg) | 0.18 ± 0.005 fg | 0.02 ± 0.002 b | 0.36 ± 0.005 a | 1.5 ± 0.005 f | 0.7 ± 0.011 f | 0.2 ± 0.005 cd | 0.14 ± 0.005 b | 0.3 ± 0.005 e |
| EDTA (5 mmol/kg) | 0.3 ± 0.028 d | 0.01 ± 0.001 b | 0.35 ± 0.011 a | 1.8 ± 0.005 e | 0.6 ± 0.005 g | 0.15 ± 0.005 d | 0.06 ± 0.005 e | 0.3 ± 0.005 e |
| EDTA (10 mmol/kg) | 0.36 ± 0.005 c | 0.01 ± 0.001 a | 0.33 ± 0.011 a | 2 ± 0.005 c | 0.6 ± 0.011 g | 0.2 ± 0.005 bc | 0.2 ± 0.005 a | 0.5 ± 0.005 a |
| AMF × DTPA (5 mmol/kg) | 0.19 ± 0.005 f | 0.02 ± 0.001 b | 0.31 ± 0.005 ab | 0.84 ± 0.005 g | 0.9 ± 0.005 d | 0.3 ± 0.008 b | 0.02 ± 0.008 f | 0.4 ± 0.008 d |
| AMF × DTPA (10 mmol/kg) | 0.26 ± 0.005 e | 0.01 ± 0.001 b | 0.14 ± 0.005 d | 2.1 ± 0.012 b | 1.2 ± 0.011 b | 0.4 ± 0.005 a | 0.08 ± 0.005 d | 0.4 ± 0.005 c |
| AMF × EDTA (5 mmol/kg) | 0.29 ± 0.005 de | 0.01 ± 0.001 b | 0.24 ± 0.011 bc | 2.04 ± 0.011 c | 1.09 ± 0.012 c | 0.2 ± 0.05 cd | 0.05 ± 0.05 e | 0.3 ± 0.005 e |
| AMF × EDTA (10 mmol/kg) | 0.66 ± 0.005 b | 0.006 ± 0.003 b | 0.37 ± 0.011 a | 2.5 ± 0.005 a | 0.8 ± 0.005 e | 0.2 ± 0.005 bc | 0.2 ± 0.005 a | 0.4 ± 0.005 b |
| LSD | 0.035 | 0.037 | 0.07 | 0.06 | 0.05 | 0.05 | 0.02 | 0.01 |
| Treatment | Cd | Co | Cr | Cu | Mn | Ni | Pb | Zn |
|---|---|---|---|---|---|---|---|---|
| Non | 1.33 ± 0.005 de | 0.03 ± 0.005 de | 0.22 ± 0.005 d | 0.74 ± 0.4 bc | 1.42 ± 0.005 b | 0.17 ± 0.005 j | 0.48 ± 0.005 ab | 0.6 ± 0.05 f |
| AMF | 0.25 ± 0.005 a | 0.25 ± 0.005 a | 0.25 ± 0.005 c | 0.25 ± 0.005 d | 0.25 ± 0.005 g | 0.25 ± 0.005 j | 0.25 ± 0.005 d | 0.25 ± 0.005 g |
| DTPA (5 mmol/kg) | 0.28 ± 0.005 b | 0.13 ± 0.005 b | 0.09 ± 0.005 h | 0.36 ± 0.005 cd | 0.67 ± 0.005 e | 0.88 ± 0.005 e | 0.45 ± 0.005 b | 0.69 ± 0.005 e |
| DTPA (10 mmol/kg) | 0.28 ± 0.005 b | 0.12 ± 0.005 b | 0.073 ± 0.008 i | 0.63 ± 0.005 bcd | 0.61 ± 0.005 f | 0.9 ± 0.005 d | 0.33 ± 0.005 c | 0.68 ± 0.005 e |
| EDTA (5 mmol/kg) | 0.49 ± 0.005 c | 0.09 ± 0.005 c | 0.15 ± 0.005 g | 0.68 ± 0.005 bc | 0.71 ± 0.005 e | 0.85 ± 0.005 f | 0.31 ± 0.005 c | 0.57 ± 0.005 f |
| EDTA (10 mmol/kg) | 0.51 ± 0.005 b | 0.13 ± 0.005 b | 0.16 ± 0.005 f | 0.84 ± 0.005 ab | 0.89 ± 0.005 d | 1.23 ± 0.005 c | 0.52 ± 0.005 a | 1.13 ± 0.005 c |
| AMF × DTPA (5 mmol/kg) | 0.39 ± 0.005 f | 0.01 ± 0.017 f | 0.04 ± 0.005 j | 1.12 ± 0.005 ab | 1.07 ± 0.005 c | 1.5 ± 0.005 b | 0.12 ± 0.005 e | 0.82 ± 0.005 d |
| AMF × DTPA (10 mmol/kg) | 0.35 ± 0.005 de | 0.04 ± 0.005 de | 0.93 ± 0.005 a | 0.57 ± 0.005 bcd | 1.56 ± 0.005 a | 1.66 ± 0.005 a | 0.32 ± 0.005 c | 1.38 ± 0.005 b |
| AMF × EDTA (5 mmol/kg) | 0.41 ± 0.005 f | 0.01 ± 0.016 f | 0.21 ± 0.005 e | 0.82 ± 0.005 ab | 1.57 ± 0.005 a | 0.65 ± 0.008 g | 0.21 ± 0.005 d | 0.6 ± 0.06 f |
| AMF × EDTA (10 mmol/kg) | 0.93 ± 0.005 ef | 0.02 ± 0.005 ef | 0.48 ± 0.005 b | 0.52 ± 0.005 bcd | 0.6 ± 0.005 f | 0.54 ± 0.005 h | 0.5 ± 0.06 a | 2.09 ± 0.005 a |
| LSD | 0.01 | 0.01 | 0.003 | 0.3 | 0.05 | 0.003 | 0.04 | 0.06 |
| Treatment | Cd | Co | Cr | Cu | Mn | Ni | Pb | Zn |
|---|---|---|---|---|---|---|---|---|
| Non | 0.22 ± 0.005 f | 0.01 ± 0.001 d | 0.08 ± 0.005 i | 1.2 ± 0.005 f | 0.38 ± 0.005 g | 0.39 ± 0.004 a | 0.05 ± 0.005 g | 0.22 ± 0.005 e |
| AMF | 0.27 ± 0.005 e | 0.02 ± 0.005 cd | 0.22 ± 0.005 g | 0.89 ± 0.005 h | 0.51 ± 0.005 e | 0.43 ± 0.004 a | 0.07 ± 0.005 e | 0.29 ± 0.005 d |
| DTPA (5 mmol/kg) | 0.44 ± 0.005 c | 0.04 ± 0.005 b | 0.45 ± 0.005 e | 0.83 ± 0.005 i | 0.58 ± 0.005 d | 0.63 ± 0.004 a | 0.06 ± 0.005 f | 0.22 ± 0.005 e |
| DTPA (10 mmol/kg) | 0.6 ± 0.06 a | 0.04 ± 0.005 b | 1.1 ± 0.005 a | 1.44 ± 0.005 e | 0.94 ± 0.005 a | 0.77 ± 0.004 a | 0.08 ± 0.005 d | 0.37 ± 0.005 c |
| EDTA (5 mmol/kg) | 0.55 ± 0.005 b | 0.04 ± 0.005 b | 0.87 ± 0.005 c | 2.5 ± 0.005 a | 0.33 ± 0.005 h | 0.34 ± 0.004 a | 0.06 ± 0.005 f | 0.13 ± 0.005 g |
| EDTA (10 mmol/kg) | 0.37 ± 0.005 d | 0.08 ± 0.005 a | 0.68 ± 0.005 d | 1.7 ± 0.005 d | 0.7 ± 0.05 bc | 1.1 ± 0.004 a | 0.1 ± 0.0001 b | 0.19 ± 0.005 ef |
| AMF × DTPA (5 mmol/kg) | 0.37 ± 0.005 d | 0.08 ± 0.005 a | 0.37 ± 0.005 f | 1.9 ± 0.005 c | 0.55 ± 0.005 de | 0.68 ± 0.004 a | 0.09 ± 0.005 c | 0.16 ± 0.005 fg |
| AMF × DTPA (10 mmol/kg) | 0.55 ± 0.005 b | 0.03 ± 0.005 bc | 0.97 ± 0.005 b | 2.4 ± 0.005 b | 0.72 ± 0.005 b | 0.89 ± 0.004 a | 0.07 ± 0.005 e | 0.3 ± 0.06 d |
| AMF × EDTA (5 mmol/kg) | 0.39 ± 0.005 d | 0.09 ± 0.005 a | 0.16 ± 0.005 h | 1.9 ± 0.005 c | 0.45 ± 0.005 f | 0.75 ± 0.004 a | 0.06 ± 0.005 f | 0.74 ± 0.005 a |
| AMF × EDTA (10 mmol/kg) | 0.59 ± 0.02 ab | 0.02 ± 0.005 cd | 0.68 ± 0.005 d | 1.01 ± 0.000 g | 0.66 ± 0.005 c | 0.79 ± 0.004 a | 0.16 ± 0.005 a | 0.59 ± 0.005 b |
| LSD | 0.05 | 0.01 | 0.003 | 0.005 | 0.04 | 0.005 | 0.04 |
| Treatment | Cd | Co | Cr | Cu | Mn | Ni | Pb | Zn |
|---|---|---|---|---|---|---|---|---|
| Non | 0.96 ± 0.005 d | 1.2 ± 0.035 b | 1.03 ± 0.035 d | 1.3 ± 0.005 d | 0.96 ± 0.005 cd | 0.86 ± 0.005 bc | 1.5 ± 0.005 fg | 2.06 ± 0.005 a |
| AMF | 0.93 ± 0.005 d | 0.9 ± 0.005 bc | 1 ± 0.0001 d | 0.8 ± 0.005 e | 1.03 ± 0.005 cd | 1.03 ± 0.03 bc | 2.11 ± 0.005 def | 1.2 ± 0.005 b |
| DTPA (5 mmol/kg) | 1.2 ± 0.005 cd | 0.78 ± 0.005 bc | 2.6 ± 0.005 bc | 0.8 ± 0.005 e | 1.1 ± 0.06 bc | 0.7 ± 0.05 bc | 2.03 ± 0.003 ef | 0.3 ± 0.005 e |
| DTPA (10 mmol/kg) | 3.2 ± 0.005 a | 3.8 ± 0.005 a | 3.2 ± 0.06 b | 1.2 ± 0.005 d | 1 ± 0.005 cd | 2.1 ± 0.05 a | 2.8 ± 0.005 cd | 0.4 ± 0.005 d |
| EDTA (5 mmol/kg) | 2.4 ± 0.005 b | 0.9 ± 0.008 bc | 3.3 ± 0.3 b | 4.2 ± 0.005 a | 0.97 ± 0.005 cd | 0.6 ± 0.005 c | 0.9 ± 0.05 g | 0.1 ± 0.005 g |
| EDTA (10 mmol/kg) | 0.8 ± 0.005 d | 1.09 ± 0.005 bc | 2.8 ± 0.05 bc | 1.9 ± 0.005 c | 0.83 ± 0.005 d | 1.14 ± 0.005 bc | 3.2 ± 0.05 bc | 0.4 ± 0.06 d |
| AMF × DTPA (5 mmol/kg) | 0.9 ± 0.005 d | 1.3 ± 0.005 b | 1.3 ± 0.005 d | 2.3 ± 0.005 b | 1.4 ± 0.005 a | 0.85 ± 0.005 bc | 2.3 ± 0.005 def | 0.3 ± 0.005 f |
| AMF × DTPA (10 mmol/kg) | 1.6 ± 0.005 c | 0.2 ± 0.005 c | 4.5 ± 0.005 a | 1.9 ± 0.005 c | 0.8 ± 0.005 d | 0.95 ± 0.005 bc | 3.6 ± 0.005 ab | 0.2 ± 0.005 f |
| AMF × EDTA (5 mmol/kg) | 1.2 ± 0.005 cd | 1 ± 0.05 b c | 0.86 ± 0.005 d | 1.7 ± 0.005 c | 1.3 ± 0.00 ab | 1.04 ± 0.5 bc | 4.3 ± 0.005 ab | 0.2 ± 0.005 g |
| AMF × EDTA (10 mmol/kg) | 1.2 ± 0.005 cd | 1.2 ± 0.9 b | 2.2 ± 0.8 c | 0.7 ± 0.005 e | 1.2 ± 0.3 abc | 2.2 ± 0.1 a | 2.3 ± 0.8 de | 0.7 ± 0.005 c |
| LSD | 0.45 | 0.8 | 0.82 | 0.3 | 0.45 | 0.74 | 0.06 |
Disclaimer/Publisher’s Note: The statements, opinions and data contained in all publications are solely those of the individual author(s) and contributor(s) and not of MDPI and/or the editor(s). MDPI and/or the editor(s) disclaim responsibility for any injury to people or property resulting from any ideas, methods, instructions or products referred to in the content. |
© 2024 by the authors. Licensee MDPI, Basel, Switzerland. This article is an open access article distributed under the terms and conditions of the Creative Commons Attribution (CC BY) license (https://creativecommons.org/licenses/by/4.0/).
Share and Cite
Aloud, S.S.; Alotaibi, K.D.; Almutairi, K.F.; Albarakah, F.N.; Alotaibi, F.; Ahmed, I.A. Investigating the Interactive Effect of Arbuscular Mycorrhizal Fungi and Different Chelating Agents (EDTA and DTPA) with Different Plant Species on Phytoremediation of Contaminated Soil. Sustainability 2024, 16, 8820. https://doi.org/10.3390/su16208820
Aloud SS, Alotaibi KD, Almutairi KF, Albarakah FN, Alotaibi F, Ahmed IA. Investigating the Interactive Effect of Arbuscular Mycorrhizal Fungi and Different Chelating Agents (EDTA and DTPA) with Different Plant Species on Phytoremediation of Contaminated Soil. Sustainability. 2024; 16(20):8820. https://doi.org/10.3390/su16208820
Chicago/Turabian StyleAloud, Saud S., Khaled D. Alotaibi, Khalid F. Almutairi, Fahad N. Albarakah, Fahad Alotaibi, and Ibrahim A. Ahmed. 2024. "Investigating the Interactive Effect of Arbuscular Mycorrhizal Fungi and Different Chelating Agents (EDTA and DTPA) with Different Plant Species on Phytoremediation of Contaminated Soil" Sustainability 16, no. 20: 8820. https://doi.org/10.3390/su16208820
APA StyleAloud, S. S., Alotaibi, K. D., Almutairi, K. F., Albarakah, F. N., Alotaibi, F., & Ahmed, I. A. (2024). Investigating the Interactive Effect of Arbuscular Mycorrhizal Fungi and Different Chelating Agents (EDTA and DTPA) with Different Plant Species on Phytoremediation of Contaminated Soil. Sustainability, 16(20), 8820. https://doi.org/10.3390/su16208820

