Next Article in Journal
The Structure and Characteristics of Effective Massive Open Online Course Learning Strategies among College Students: A Qualitative Study
Next Article in Special Issue
Sustainable Robotic Process for Sealing Car Radiators
Previous Article in Journal
An Assessment of Digitalization Techniques in Contact Centers and Their Impact on Agent Performance and Well-Being
Previous Article in Special Issue
Sustainable Agility Culture—The Case of a Pasta Company
 
 
Font Type:
Arial Georgia Verdana
Font Size:
Aa Aa Aa
Line Spacing:
Column Width:
Background:
Article

Effect of Vibration Stress on Selected Chemical Parameters of “Bluecrop” Highbush Blueberry (Vaccinium corymbosum L.) and Grape (Vitis vinifera L.)

by
Natalia Idaszewska
1,*,
Grzegorz M. Szymański
2 and
Krzysztof Bieńczak
1
1
Institute of Machines and Motor Vehicles, Poznan University of Technology, 61-138 Poznan, Poland
2
Institute of Transport, Poznan University of Technology, 61-138 Poznan, Poland
*
Author to whom correspondence should be addressed.
Sustainability 2024, 16(2), 715; https://doi.org/10.3390/su16020715
Submission received: 15 November 2023 / Revised: 5 January 2024 / Accepted: 12 January 2024 / Published: 14 January 2024

Abstract

Changes in the quality of fruits and vegetables are influenced by such factors as temperature, humidity and the composition of the atmosphere in which the fruits and vegetables are stored. During transport, an additional factor is vibration stress. This can lead to mechanical damage of the fruits and vegetables, which leads to deteriorated quality and, in extreme cases, spoiling. In order to preserve the best possible quality of fruits and vegetables despite their prolonged transport, they are maintained in an unripe condition and are later subject to forced ripening before selling. The aim of our investigations was to perform an analysis of the influence of vibration stress on the chemical parameters of fruits (“Bluecrop” highbush blueberry and grape) related to the process of their ripening. The identified parameters were the pH level, the content of total soluble solids, overall sugar, reducing sugars and ascorbic acid. The results of the performed investigations allowed for determining the levels of energy supplied in the form of vibration to the produce causing significant changes in its chemical parameters, indicating its accelerated ripening, as well as the levels of energy that result in changes leading to product spoilage.

1. Introduction

Fruits and vegetables play an important role in human food consumption. They are a rich source of vitamins and minerals, fiber and antioxidants. The high level of consumption of fruits and vegetables is an important factor in the prevention of a variety of diseases including heart conditions [1,2,3,4], cancer [5,6,7,8,9], as well as gastric and metabolism-related diseases [7,10,11,12].
Fruits and vegetables form a living tissue in which, throughout their entire life, processes take place that lead to their development and eventual spoiling. Harvesting fruits and vegetables does not interrupt these vital processes, which continue during their storage and transport. The processes that occur are necessary to develop features decisive of their fitness for human consumption. Fruits and vegetables, similarly to other food items, should be characterized by high quality and consumption safety.
In fruits and vegetables, the following processes can be distinguished: ripening, breathing, transpiration, and all chemical reactions related to the said processes that ensure the desired commercial quality of the produce. The consequences of these processes in the biological context are changes in the chemical composition and physical properties. The ripeness of fruits and vegetables is exhibited not only through the changes in their chemical composition but also in their physical properties. The physical properties describing the ripeness of fruits and vegetables include the color, shape, size, weight and firmness. During the ripening process, many chemical reactions and changes in the chemical composition take place. We may distinguish the following: the content of total soluble solids, dry mass, and sugars, as well as the content and type of organic acids. The research methods used to assess the degree of ripeness are commonly used in the food industry and allow for quick results, which is important considering the impossibility of stopping the processes related to fruit ripening.
The transport of fruits and vegetables in the state of incomplete consumption ripeness is a frequent phenomenon resulting from the nature of the prolonged transport of exotic species from distant regions of the world to their place of consumption. This aims at preventing changes in the fruits and vegetables that lead to deterioration of their quality or even spoiling, generating financial loss at the stage of transport [13]. Transporting unripened fruits and vegetables partially prevents these adverse consequences. Fruits and vegetables that are delivered to the region of consumption are frequently subject to forced ripening through the application of ethylene, which completes the process in just a few hours [14]. Such practices may adversely affect some sensory features, deteriorating the quality of the produce.
Because identical conditions are to be maintained during transport and storage, the same parameters must be monitored in both cases. Transport, however, introduces another parameter—vibration. The vibration is incidental and comes from two sources—the vehicle drivetrain at different engine loads and the uneven surface of the road. The occurring vibration certainly contributes to the damage to the transported produce [15,16]. Vibration that generates constant impacts and rubbing of the neighboring fruits and vegetables leads to the formation of bruises on their surface, which may even lead to juice secretions. This, in turn, results in the spoiling of the load as a consequence of rotting. This also has an adverse effect on the shape of the fruits and vegetables, which may render them unfit for trading or even further processing.
The vibration frequency as well as the spots in the transporting vehicle that may generate such losses are known. Therefore, assessing the influence of the vibration on the quality of the fruits and vegetable is possible and frequently discussed in the literature. Numerous investigations show a negative effect of vibration on the transported fruits and vegetables exhibited in the form of dents, scratches and rotten spots [17,18,19,20,21,22,23]. However, the information on the influence of transport-related vibration on fruits and vegetables that are not fully ripened (which is very often the case) is insufficient. The literature data most often pertain to quantitative loss in the ripened produce estimated after the transport process has ended. The information related to the influence of vibration on the physicochemical changes related to the ripening process is insufficient. Given the fact we know that vibration contributes to the deterioration of the quality of produce during transport, we may as well assume that its impact on the ripening of produce is equally important as temperature or humidity. The knowledge of the influence of specific vibration frequencies on the ripening rate of fruits and vegetables may be significant in determining their harvesting period depending on the region of their subsequent distribution. This, in turn, could contribute to the reduction of potential loss in transport.

2. Materials and Methods

The performed investigations had two stages: measurement of the actual mechanical stress on the road during transport and an analysis of the changes in the physicochemical parameters of the fruits under the influence of selected vibration frequencies.

2.1. Assessment of the Mechanical Stress

2.1.1. Measurement Equipment

For the measurement of the frequencies and vibration amplitudes during road transport, a system was used whose diagram is shown in Figure 1.
The measurements system was composed of a triaxial transducer (type 4322) connected to a wi-fi router and a battery-powered vibration recorder (LAN-XI Notar) capable of storing the recorded data on a flash memory card. The recorder was initiated via wi-fi from a portable computer. The computer had PULSE system data acquisition software. The transducer, the data recorder and the software were manufactured by Brüel & Kjær (Nærum, Denmark). Vibrations in the vertical direction were recorded.

2.1.2. Conditions and Method of Measurements of the Mechanical Stress during Transport under Actual Traffic Conditions

Within the preliminary investigations, measurements were carried out of the actual vibration during the transport of fruits with a Lambert semi-trailer over a distance of approx. 500 km. To this end, vibration measurements were performed in three vehicles on two roads with different technical conditions. The trailers were loaded with Europalets with crates filled with 3 kg of fruits each. The fruits were loose in the crates. The temperature in the trailer was approx. 5 °C. The vibration sensor was fitted at the front of the trailer on the bottom of the highest placed crate. In this location, the vibrations in the trailer are the highest, as shown in previous research [24]. Upon loading the trailer, the vibration recorder was initiated. The recording lasted for 7 h in each vehicle.

2.1.3. Results of the Measurements of Mechanical Stress in Transport under Actual Traffic Conditions

Based on the investigations of the vibration signals carried out in actual traffic, vibration frequencies were assessed that dominate in the vibration signals during the transport of fruits. The recorded vibration signals were subjected to frequency analysis using the assumptions of the Fourier analysis [25].
In digital methods of signal analysis, in order to transform the time curve in the frequency domain, a discrete Fourier transform is used (DFT), described with the relation:
X k = 1 N n = 0 N 1 x ( n ) e j 2 π k n N
Using the Euler equations, one may determine the coefficient of signal transformation into the frequency domain as an actual and imaginary part of the composite spectrum:
X ( k ) = Re ( k ) + Im ( k )
Re ( k ) = n = 0 N 1 x ( n ) cos ( 2 π k n N )
Im ( k ) = n = 0 N 1 x ( n ) sin ( 2 π k n N )
where x(n) is the sampled signal, j is an imaginary unit, n is the sample number of the digital signal, k is the stripe number (k = 0, 1, 2, … N − 1), N is the number of samples, Re(k) is the actual part of the composite spectrum, and Im(k) is the imaginary part of the composite spectrum.
Re(k) and Im(k) form a composite spectrum of the signal. The amplitude spectrum is described with Equation (5) and the phase spectrum can be determined based on relation (6):
A ( k ) = Im ( k ) 2 + Re ( k ) 2
θ ( k ) = arctg Im ( k ) Re ( k )
where A(k) is the amplitude spectrum and θ(k) is the phase spectrum.
In this paper, for the spectral analysis of the vibration acceleration, amplitude spectra were used, representing the changes in the amplitudes of the vibration signals as a function of frequency. Figure 2 presents the amplitude spectra of the vibration recorded during the transport of the fruits.
The spectra present the relation between the vibration frequency and the acceleration amplitudes. The vibration spectral analysis identifies four characteristic dominating frequencies: 12 Hz, 28 Hz, 46 Hz and 58 Hz.

2.1.4. Conditions and Method of Measurements of Mechanical Stress under Experimental Conditions

The experimental investigations were conducted on a test stand composed of a vibration simulator fitted in a stationary vehicle body with adjustable temperature. The vibration simulator changed the frequency in the range from 5 Hz to 50 Hz. Frequencies of 12, 28, 46 and 50 Hz were used during the investigations. They were determined based on the preliminary research, which consisted of a spectral analysis of vibration occurring during actual transport of goods. This used frequencies of 12, 28, 46 Hz and 50 Hz, as the highest frequency possible to obtain using the simulator.
The vibration simulator comprised two fundamental components: a vibration generating system, namely a motor controlled by an inverter, with flexible suspension and vibro-insulation, as well as an integrated system for the control of the test stand parameters. The control of the test stand operation and the correctness of the parameters of individual actuators was carried out by monitoring the mechanical quantities (vibration acceleration) in a feedback loop controlled by a PC computer.
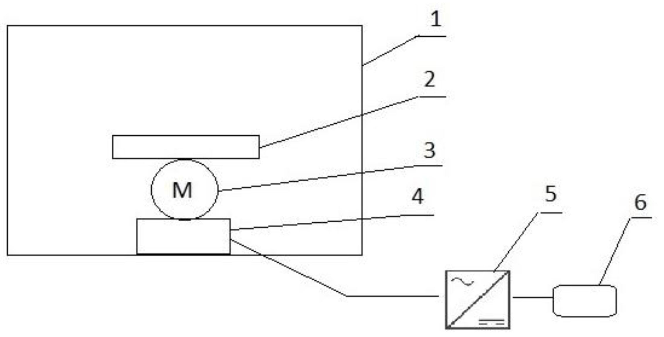
A general diagram of the test stand is shown in Figure 3.
Computer software developed by Mechatronika Wyposażenie Dydaktyczne sp.z.o.o. (Poznań, Poland) was applied to control the Omron MX2 inverter. The inverter was connected to the test stand to reproduce the vibration of the transported produce. The software was used to determine the vibration frequencies and plan individual frequencies for a specified time of the inverter operation. This enabled maintaining the set of vibration frequencies transferred to the container throughout the experimental trials. In the investigations, a typical 400 × 300 × 150 mm plastic container was used. In each trial, the container was filled with 3 kg of investigated produce. If the experiment required taking samples while subjected to vibration, the produce was topped up accordingly.

2.2. The Assessment of the Changes in the Physicochemical Parameters of the Fruits Subjected to Vibration

2.2.1. Research Material

The fruits used in the investigations were “Bluecrop” highbush blueberry and white grape. All produce used in the investigations was of local origin and was harvested in the condition of incomplete ripeness:
“Bluecrop” highbush blueberry (Vaccinium corymbosum), light green color, firm fruits;
Grape,(Vitis vinifera), firm fruits, thick skin.
The fruits were packed as follows:
Blueberry—145 × 130 × 85 mm plastic containers, 6 pieces in each 400 × 300 × 150 mm box. Each box contained 500 g of fruit, hence the load of 3 kg;
Grape—packed in perforated bags, fruits in bunches, 500 g in each bag. A 400 × 300 × 150 mm container had 6 bags, hence the load of 3 kg.
The prepared material was subjected to mechanical stress on the test stand.

2.2.2. The System of Experiments

During the experiment, a constant temperature of 5–8 °C was maintained.
The vibration was applied to grapes and blueberries. The following frequencies were applied: 12, 28, 46 and 50 Hz. The duration of the experiment was 1 h. The experiment layout is shown in Figure 4.
An analysis of the physicochemical properties of the fruits was carried out:
Immediately after harvesting;
On fruits not subjected to vibration and stored for 7 days;
On fruits subjected to vibration and stored for 7 days.
All fruits were subjected to laboratory examination in order to determine the physicochemical changes caused by the vibration. In the fruits, the following were identified: the overall content of total soluble solids, ascorbic acid, overall sugar, including reducing sugars, and pH.

2.2.3. Analysis of the Changes in the Physicochemical Properties

The changes in the content of total soluble solids were identified as per the PN-90/A-75101/02 standard [26] using an Abbe refractometer. In the case of grapes, 5 random fruits were selected from each bag and the identification of total soluble solids was performed twice for each fruit, giving a total of 60 measurements. In the case of blueberries, approx. 10 pieces were randomly selected from each container to sample their juice, which was obtained by cutting the fruit. There was a total of 60 samples for blueberries. The results were expressed in percentage °Brix.
The changes in the pH were measured using a pehameter, C-411, provided by Elmetron by submerging the electrode in the juice squeezed from the fruits. In the case of grapes, 5 random fruits were selected from each bag, and the pH was identified twice for each fruit, providing a total of 60 measurements. The identifications were carried out according to the PN-EN 1132-1999 standard [27].
The content of ascorbic acid was determined with Tillman’s titration method using 2.6-dichloroindophenol [28]. In the case of grapes, 70 g of fruit was randomly selected from each bag, provide a total of 42 measurements.
The results were expressed in mg 100 g−1.
For blueberries, it was impossible to perform the determination with the titration method because of the color of the juice; instead, the spectrophotometric method was applied. We use the spectrophotometer UV-VIS 3660. For the tests, 70 g of random fruit was selected from each of the 6 containers, providing a total of 42 measurements.
The determination was performed according to the PN-A-04019 standard [28].
The content of reducing sugars was determined according to the G-26 test using dinitrophenol that was reduced to a colored product under an alkaline environment and high temperature. The concentration of this product was determined by measuring the absorbance at the wavelength of λ = 600 nm. In the case of both types of fruit, 70 g of random fruit was selected from each bag, providing a total of 42 measurements. The determinations were carried out in accordance with the methodology developed by Talburt and Smith [29]. The results were expressed in percentage of fresh mass.

2.2.4. Statistical Analysis

The statistical analysis was carried out with the use of Statistica 12. A single factor analysis of ANOVA variance was performed. The significance of the differences among the average values was validated with the Tukey test based on the level of significance p = 0.05.

2.2.5. Method of Analysis of the Results

Following the recording of the vibration during transport and under laboratory conditions, vibration spectra were obtained that represented the relationship between the acceleration amplitudes and the vibration frequencies. In order to calculate the energy supplied to the produce, in the first place one must determine the displacement amplitudes. The conversion of the acceleration amplitudes into the velocity amplitudes was carried out using the following formula:
V = A ω 2 = A 4 π 2 f 2
where V is the effective vibration amplitude (m), A is the vibration acceleration amplitude (m/s2), ω is the angular frequency (rad/s), and f is the vibration frequency (Hz).
The formula for the power supplied to the system can have the following notation:
P = F V
where P is the effective power (W), F is the force (N), and V is the vibration effective velocity (m/s).
Using the above expressions and knowing the weight (load) of the container, the frequencies and amplitudes, the total power and then the specific power per one kg of produce were calculated:
P = m g V
P j e d n = g V
where Pjedn is the specific effective power (W/kg), P is the total effective power (W), and m is the weight of the produce/load of the container (kg)
Knowing the specific power, the specific energy of vibration was determined in order to enable a comparison of changes that took place in the fruits subjected to vibration of different durations. The energy of vibration was determined using the following relation:
E j e d n = P j e d n t
where Ejedn is the specific energy of vibration (J/kg), Pjedn is the specific effective energy (W/kg), and t denotes time (s).

3. Results

3.1. Mechanical Characteristics of the Test Stand

Figure 5 presents the amplitude of accelerations on the test stand for four frequencies. These frequencies were determined based on preliminary investigations using vibration spectra for actual transport. Table 1 presents the total and specific energy supplied to the produce depending on the frequencies, acceleration amplitudes and vibration displacement.
The lowest energy was recorded for the vibration frequency of 12 Hz and the vibration velocity amplitude of 1.06 mm/s. The highest energy was recorded for the frequency of 46 Hz and the vibration velocity amplitude of 83.04 mm/s.

3.2. The Influence of Mechanical Stress on Selected Physicochemical Properties of Fruits

3.2.1. The Influence of a Specific Energy of Vibration from 37.47 to 2932.55 J/kg on the pH of Grapes and Blueberries

Table 2 presents the influence of a specific energy from 0 to 2932.55 J/kg on the pH of grapes and blueberries assessed immediately after harvesting (original sample), not subjected to vibration (zero sample) and subjected to vibration for four different levels of supplied energy within 1 h.
The natural course of the vital processes of grapes caused a statistically significant increase in the pH level from 2.44 for grapes immediately after harvesting (original sample) to 3.12 for grapes stored for 7 days (zero sample). Supplying a specific energy of 37.47 J/kg to the grapes resulted in a statistically significant increase in the pH level (3.12 to 3.44) against grapes that were not subjected to vibration. The highest pH level of 3.79 was found in grapes which received energy levels of 321.18 J/kg and 2932.55 J/kg. Regardless of the amount of energy supplied to the grapes, the pH level of grapes subjected to vibration was statistically higher than that of grapes not subjected to vibration.
The natural course of the vital processes of blueberries caused a statistically significant increase in the pH level from 3.13 for blueberries immediately after harvesting (original sample) to 3.47 for blueberries stored for 7 days (zero sample). Supplying a specific energy of 37.47 J/kg to the blueberries resulted in a statistically significant increase in the pH level (3.47 to 3.53) against blueberries that were not subjected to vibration. Increasing the supplied energy resulted in an increase in the pH level, whose maximum value was 3.73 for blueberries that were supplied with an energy of 2697.94 J. A further increase in the supplied energy did not result in a statistically significant difference in the pH level of the blueberries.
The measured pH values in the tested fruits are in accordance with data from the literature [30,31]. The slight increase in pH value observed during the experiment is related to the natural process of ripening. A higher pH value in fruits subjected to vibrations means that the ripening processes take place faster during transport and the increase depends on the vibration energy value—the higher it is, the faster the processes occur.

3.2.2. The Influence of a Specific Energy of Vibration from 37.47 to 2932.55 J/kg on the Content of Total Soluble Solids in Grapes and Blueberries

Table 3 presents the influence of a specific energy from 0 to 2932.55 J/kg on the content of total soluble solids of grapes and blueberries assessed immediately after harvesting (original sample), not subjected to vibration (zero sample) and subjected to vibration for four different levels of supplied energy within 1 h.
The natural course of the vital processes of grapes caused a statistically significant increase in the content of total soluble solids from 16.46% for grapes immediately after harvesting (original sample) to 19.26% for grapes stored for 7 days (zero sample). Supplying a specific energy of 37.47 J/kg to the grapes resulted in a statistically significant increase in the content of total soluble solids (19.26% to 21.1%) compared to grapes not subjected to vibration. Increasing the supplied energy did not result in changes in the content of total soluble solids in the grapes, except for a drop in its level to 20.7 for grapes that were supplied with an energy of 2697.94 J/kg.
The natural course of the vital processes of blueberries caused a statistically significant increase in the content of total soluble solids from 12.4% for blueberries immediately after harvesting (original sample) to 13.4% for blueberries stored for 7 days (zero sample). Supplying a specific energy of 37.47 J/kg to the blueberries resulted in a statistically significant increase in the content of total soluble solids (13.4% to 14.1%) compared to blueberries not subjected to vibration. In the case of the maximum energy of 2932.55 J/kg, the content of total soluble solids was the highest and amounted to 14.6%.
The increase in the content of total soluble solids is a natural process accompanying the ripening of the fruit [32]. A higher content of total soluble solids in fruits subjected to vibrations means that the ripening processes take place faster during transport and the increase depends on the vibration energy value—the higher it is, the faster the processes occur. However, in grapes subjected to an energy of vibration of 321.18 J/kg, the total soluble solid content was similar than in grapes subjected to an energy of vibration of 2932 J/kg.

3.2.3. The Influence of a Specific Energy of Vibration from 37.47 to 2932.55 J/kg on the Total Sugar Content in Grapes and Blueberries

Table 4 presents the influence of a specific energy from 0 to 2932.55 J/kg on the total sugar content in grapes and blueberries assessed immediately after harvesting (original sample), not subjected to vibration (zero sample) and subjected to vibration for four different levels of supplied energy within 1 h.
The natural course of the vital processes of grapes caused a statistically significant increase in total sugar content from 9.18% for grapes immediately after harvesting (original sample) to 16.45% for grapes stored for 7 days (zero sample). Supplying a specific energy of 37.47 J/kg to the grapes resulted in a statistically significant increase in the total sugar content (16.45% to 17.13%) compared with grapes not subjected to vibration. Increasing the supplied energy did not result in changes in the total sugar content for the rest of the grapes subjected to vibration.
The natural course of the vital processes of blueberries caused a statistically significant increase in the total sugar content from 10.22% for blueberries immediately after harvesting (original sample) to 11.90% for blueberries stored for 7 days (zero sample). Supplying a specific energy of 37.47 J/kg to the blueberries resulted in a statistically significant increase in total sugar content (11.90% to 13.50%) compared with blueberries not subjected to vibration. The highest total sugar content of 14.36% was observed in blueberries that were supplied with the energy of 2697.94 J/kg. A further increase in the supplied energy resulted in a significant reduction in the total sugar content. For the maximum energy of 2932.55 J/kg, the total sugar content was significantly different from the total sugar content in blueberries immediately after harvesting and those not subjected to vibration.
The increase in total sugar content is a natural process accompanying the ripening of the fruit [33]. A higher total sugar content in fruits subjected to vibration means that the ripening processes take place faster during transport and the increase depends on the vibration energy value—the higher it is, the faster the processes occur.

3.2.4. The Influence of a Specific Energy of Vibration from 37.47 to 2932.55 J/kg on the Content of Reducing Sugars in Grapes and Blueberries

Table 5 presents the influence of a specific energy from 0 to 2932.55 J/kg on the content of reducing sugars in grapes and blueberries assessed immediately after harvesting (original sample), not subjected to vibration (zero sample) and subjected to vibration for four different levels of supplied energy within 1 h.
The natural course of the vital processes of grapes caused a statistically significant increase in the content of reducing sugars from 8.24% for grapes immediately after harvesting (original sample) to 14.91% for grapes stored for 7 days (zero sample). Supplying a specific energy of 37.47 J/kg to the grapes resulted in a statistically significant increase in the content of reducing sugars (14.91% do 16.28%) compared with grapes not subjected to vibration. Increasing the supplied energy did not result in changes in the content of reducing sugars for the rest of the grapes subjected to vibration.
The natural course of the vital processes of blueberries caused a statistically significant increase in the content of reducing sugars from 7.01% for blueberries immediately after harvesting (original sample) to 8.98% for blueberries stored for 7 days (zero sample). Supplying a specific energy of 37.47 J/kg to the blueberries resulted in a statistically significant increase in the content of reducing sugars (8.98% to 10.07%). The highest content of reducing sugars of 10.78% was observed for blueberries that were supplied with the energy of 2697.94 J/kg. A further increase in the supplied energy resulted in a significant reduction in the content of reducing sugars. For the maximum energy of 2932.55 J/kg, the content of reducing sugars was significantly different from the content of reducing sugars in blueberries immediately after harvesting and those not subjected to vibration.
The measured parameter values in the tested fruits are in accordance with data from the literature [34]. A shigher total sugar content in fruits subjected to vibrations means that the ripening processes take place faster during transport and the increase depends on the vibration energy value—the higher it is, the faster the processes occur.

3.2.5. The Influence of a Specific Energy of Vibration from 37.47 to 2932.55 J/kg on the Content of Ascorbic Acid in Grapes and Blueberries

Table 6 presents the influence of a specific energy from 0 to 2932.55 J/kg on the content of ascorbic acid in grapes and blueberries assessed immediately after harvesting (original sample), not subjected to vibration (zero sample) and subjected to vibration for four different levels of supplied energy within 1 h.
The natural course of the vital processes of grapes caused a statistically significant increase in the content of ascorbic acid from 31.1 mg/100 g FW for grapes immediately after harvesting (original sample) to 32.2 mg/100 g FW for grapes stored for 7 days (zero sample). The content of ascorbic acid in grapes that were supplied with a specific energy of 37.47 J/kg was statistically comparable to the content of ascorbic acid in grapes immediately after harvesting. The content of ascorbic acid in grapes that were supplied with a specific energy of 321.18 J/kg was statistically comparable to the content of ascorbic acid in grapes not subjected to vibration. A further increase in the supplied energy resulted in a reduced level of ascorbic acid compared with grapes not subjected to vibration immediately after harvesting.
The natural course of the vital processes of blueberries caused a statistically significant increase in the content of ascorbic acid from 11.0 mg/100 g FW for blueberries immediately after harvesting (original sample) to 11.5 mg/100 g FW for grapes stored for 7 days (zero sample). Supplying a specific energy of 2697.94 J/kg to blueberries resulted in a drop of the content of ascorbic acid to a value that was not statistically different from the value for the blueberries immediately after harvesting. In the case of the maximum energy of 2932.55 J/kg, the content of ascorbic acid was higher than that of the blueberries immediately after harvesting and lower than that of the blueberries not subjected to vibration.
The measured parameter values in the tested fruits are in accordance with data from the literature [35].

4. Discussion

This article presents research on the influence of mechanical factors on fruits, namely blueberries and grapes. The research material consisted of unripe fruit, taking into account the shortest possible time for transferring them to experiments. Of great importance was the fact that the selected fruits belonged to the group of soft fruits, in which changes are easily observable because these products ripen quickly and then spoil.
In order to determine the level of energy supplied to the product during transport, first of all, the characteristics of the vibrations occurring in the transport semi-trailer filled with cargo were determined by measuring the frequency and amplitude of vibrations using a vibration sensor. When determining the impact of vibrations on the transported raw material, an important problem is the location of the tested load inside the body. The nature of the vibrations depends on the place of their occurrence and the general loading of the body. The choice of the sensor installation location was made on the basis of research conducted by various authors. Hinsh et al. showed that the highest level of PSD (power spectral density) of vibration was obtained for a load placed on top compared to a load placed closer to the ground [36]. Based on the results of the above tests, the sensor recording vibrations during road transport was placed in the front of the semi-trailer on the highest box under the raw material placed in it. The obtained vibration spectra allowed the determination of the four most common vibration frequencies: 12, 28, 46 and 50 Hz. A similar frequency range was used in studies on the impact of vibrations on pear fruit [36], strawberry and grape fruit [37], cherry fruit [38], strawberry fruit [39] and kiwi fruit [40], where frequencies in the range of 0–50 Hz were recorded.
Despite their cyclic recurrence, the frequencies discussed in this paper do not occur during the entire trip, and hence the transported goods are not exposed to them at all times. The obtained spectra allowed for identifying the amplitudes of vibration accompanying individual frequencies, and on this basis, it was possible to convert these quantities into energy directly supplied to the produce. The simulation stand allowed for reproducing the frequencies occurring under actual traffic conditions.
The produce was subjected to vibration on the test stand, applying the frequencies previously identified under actual conditions of operation.
In other research work related to the influence of vibration on fruits and vegetables, the only adjusted parameter related to vibration was the vibration frequency [22,37]. The authors did not address the question of differences in the nature of the vibration acting on a produce, which is influenced not only by the said frequencies but also their amplitudes. In this paper, the authors performed a measurement of the amplitudes for each of the applied frequencies on a specially developed test stand, and, allowing for the duration of the vibration, the energy supplied to the produce was determined. This energy is the result of these parameters.
Contrary to the previous research related to the influence of vibration on the condition of fruits, the authors used fruits in the state of incomplete ripeness [22,41,42]. Therefore, the observed changes in the physicochemical parameters pertained to the process of fruit ripening, which may have been influenced by the vibration.
Comparing unripe fruits prior to applying vibration (original sample) and after 7 days of storage (zero sample), one may observe that an increase in the level of such parameters as pH, the content of total soluble solids, the total sugar content, the content of reducing sugars and the content of ascorbic acid confirms the naturally occurring ripening processes. This was confirmed by Ismail et al. and Tosun et al. in their research works, in which the ripening process resulted in the increase in such parameters as the content of sugars and total soluble solids in blueberries [43,44].
Supplying energy in the range from 37.47 to 321.18 or 2697.94 J/kg in the form of vibration depending on the type of produce resulted in a further increase in the identified parameters that subsequently stabilized or exhibited a decreasing trend. The latter phenomenon was confirmed by Kojima et al. [39]. From their research, it can be found that the content of sugars was the highest in ripe fruits before the application of vibration. The stored fruits were characterized by a lower content of sugars and the lowest value was recorded for the fruits subjected to vibration. The same was observed for the level of ascorbic acid. This indicates a drop in the measured parameters in ripe fruits that begin to undergo spoiling.

5. Conclusions

During transport, fruits are exposed to vibrations, which can cause physicochemical changes within them, which are associated with accelerated ripening. In the article, the vibration frequencies were converted into energy delivered to the fruit.
The increase in energy supplied to the tested raw materials resulted in a similar, non-linear increase in the measured parameters (pH level, TTS, total sugars and reducing sugars), the changes in which affect the degree of ripeness of the fruit.
Based on the above, one may suppose that supplying energy from 37.47 to 2697.94 J/kg results in an acceleration of the ripening process in the investigated grapes and blueberries.
Therefore, subjecting the fruits to vibration with an energy of 37.47 to 321.18 J/kg (and the corresponding frequencies of the order of 12–28 Hz) results in an acceleration of the process of ripening of the investigated fruits, while higher frequencies (46–50 Hz) and their corresponding higher energies of the order of 2697.94 J/kg result in negative consequences, exhibiting through rotting and molding that follow fruit mechanical damage.
The investigations confirm the influence of vibration on the investigated fruits. It can either be positive (accelerated ripening of the fruits) or negative (spoiling). The final effect depends on the energy supplied to the fruits in the form of vibration. The study of the dynamic response of food, especially quickly ripening fruit, makes it possible to rapidly obtain knowledge on the actual condition of the fruit and helps not only in determining the appropriate harvest date but also in designing handling equipment, suspension equipment, conveyor equipment and packaging.

Author Contributions

Conceptualization, N.I. and K.B.; methodology, N.I.; software, G.M.S.; validation, N.I., G.M.S. and K.B.; formal analysis, N.I.; investigation, N.I.; resources, N.I.; data curation, N.I.; writing—original draft preparation, N.I.; writing—review and editing, N.I.; visualization, G.M.S.; supervision, K.B.; project administration, N.I.; funding acquisition, N.I. All authors have read and agreed to the published version of the manuscript.

Funding

This research received no external funding.

Institutional Review Board Statement

Not applicable.

Informed Consent Statement

Not applicable.

Data Availability Statement

The data presented in this study are available on request from the corresponding author.

Conflicts of Interest

The authors declare no conflicts of interest.

References

  1. Amouyel, P.; Dalongeville, J.; Dauchet, L. Fruits, Vegetables and Coronary Heart Disease. Nat. Rev. Cardiol. 2009, 6, 599–608. [Google Scholar]
  2. Chen, D.; Huang, C.; Chen, Z. A Review for the Pharmacological Effect of Lycopene in Central Nervous System Disorders. Biomed. Pharmacother. 2019, 111, 791–801. [Google Scholar] [CrossRef] [PubMed]
  3. Grosso, G.; Marventano, S.; Yang, J.; Micek, A.; Pajak, A.; Scalfi, L.; Galvano, F.; Kales, S.N. A comprehensive meta-analysis on evidence of Mediterranean diet and cardiovascular disease: Are individual components equal? Crit. Rev. Food Sci. Nutr. 2017, 57, 3218–3232. [Google Scholar] [CrossRef] [PubMed]
  4. Zhao, C.N.; Meng, X.; Li, Y.; Li, S.; Liu, Q.; Tang, G.Y.; Li, H. Bin Fruits for Prevention and Treatment of Cardiovascular Diseases. Nutrients 2017, 9, 598. [Google Scholar] [CrossRef] [PubMed]
  5. Bradbury, K.E.; Appleby, P.N.; Key, T.J. Fruit, Vegetable, and Fiber Intake in Relation to Cancer Risk: Findings from the European Prospective Investigation into Cancer and Nutrition (EPIC). Am. J. Clin. Nutr. 2014, 100, 394S–398S. [Google Scholar] [CrossRef] [PubMed]
  6. Chothiphirat, A.; Nittayaboon, K.; Kanokwiroon, K.; Srisawat, T.; Navakanitworakul, R. Anticancer Potential of Fruit Extracts from Vatica Diospyroides Symington Type SS and Their Effect on Program Cell Death of Cervical Cancer Cell Lines. Sci. World J. 2019, 2019, 5491904. [Google Scholar] [CrossRef] [PubMed]
  7. Kim, J.H.; Lee, J.; Choi, I.J.; Kim, Y.-I.; Kwon, O.; Kim, H.; Kim, J. Dietary Carotenoids Intake and the Risk of Gastric Cancer: A Case—Control Study in Korea. Nutrients 2018, 10, 1031. [Google Scholar] [CrossRef]
  8. Reiss, R.; Johnston, J.; Tucker, K.; DeSesso, J.M.; Keen, C.L. Estimation of Cancer Risks and Benefits Associated with a Potential Increased Consumption of Fruits and Vegetables. Food Chem. Toxicol. 2012, 50, 4421–4427. [Google Scholar] [CrossRef]
  9. Vieira, A.R.; Abar, L.; Vingeliene, S.; Chan, D.S.M.; Aune, D.; Navarro-Rosenblatt, D.; Stevens, C.; Greenwood, D.; Norat, T. Fruits, Vegetables and Lung Cancer Risk: A Systematic Review and Meta-Analysis. Ann. Oncol. 2016, 27, 81–96. [Google Scholar] [CrossRef]
  10. Brown, I.; Rosner, B.; Willett, W. Cholesterol-Lowering Effects of Dietary Fiber: A Meta-Analysis. Am. J. Clin. Nutr. 1999, 69, 30–42. [Google Scholar] [CrossRef]
  11. Butterworth, C.E. Vitamin Safety: A Current Appraisal. Vitam. Nutr. Inf. Serv. 1994, 5, 1–10. [Google Scholar]
  12. Peleteiro, B.; Padrão, P.; Castro, C.; Ferro, A.; Morais, S.; Lunet, N. Worldwide Burden of Gastric Cancer in 2012 That Could Have Been Prevented by Increasing Fruit and Vegetable Intake and Predictions for 2025. Br. J. Nutr. 2016, 115, 851–859. [Google Scholar] [CrossRef] [PubMed]
  13. Caixeta-Filho, J.V. Losses in the Transportation of Fruits and Vegetables: A Brazilian Case Study. Int. J. Logist. Res. Appl. 1999, 2, 325–341. [Google Scholar] [CrossRef]
  14. Schouten, R.E.; Fan, S.; Verdonk, J.C.; Wang, Y.; Kasim, N.F.M.; Woltering, E.J.; Tijskens, L.M.M. Mango Firmness Modeling as Affected by Transport and Ethylene Treatments. Front. Plant Sci. 2018, 9, 1647. [Google Scholar] [CrossRef] [PubMed]
  15. Jung, H.M.; Lee, S.; Lee, W.-H.; Cho, B.-K.; Lee, S.H. Effect of Vibration Stress on Quality of Packaged Grapes during Transportation. Eng. Agric. Environ. Food 2018, 11, 79–83. [Google Scholar] [CrossRef]
  16. Wang, W.; Lu, H.; Zhang, S.; Yang, Z. Damage Caused by Multiple Impacts of Litchi Fruits during Vibration Harvesting. Comput. Electron. Agric. 2019, 162, 732–738. [Google Scholar] [CrossRef]
  17. Castro-Garcia, S.; Sola-Guirado, R.R.; Gil-Ribes, J.A. Vibration Analysis of the Fruit Detachment Process in Late-Season ‘Valencia’ Orange with Canopy Shaker Technology. Biosyst. Eng. 2018, 170, 130–137. [Google Scholar] [CrossRef]
  18. Kondo, N.; Tanihara, K.; Shiigi, T.; Shimizu, H.; Kurita, M.; Tsutsumi, M.; Chong, V.K.; Taniwaki, S. Path Planning of Tomato Cluster Harvesting Robot for Realizing Low Vibration and Speedy Transportation. Eng. Agric. Environ. Food 2009, 2, 108–115. [Google Scholar] [CrossRef]
  19. Paternoster, A.; Jaskula-Goiris, B.; De Causmaecker, B.; Vanlanduit, S.; Springael, J.; Braet, J.; De Rouck, G.; Cooman, L. The Interaction Effect between Vibrations (50 Hz, 15m/S2) and Temperature (5 °C, 30 °C, 45 °C), Simulating Truck Transport, on the Flavor Stability of Beer. J. Sci. Food Agric. 2018, 99, 2165–2174. [Google Scholar] [CrossRef]
  20. Lu, F.; Xu, F.; Li, Z.; Liu, Y.; Wang, J.; Zhang, L. Effect of Vibration on Storage Quality and Ethylene Biosynthesis-Related Enzyme Genes Expression in Harvested Apple Fruit. Sci. Hortic. 2019, 249, 1–6. [Google Scholar] [CrossRef]
  21. Wu, G.; Wang, C. Investigating the Effects of Simulated Transport Vibration on Tomato Tissue Damage Based on Vis/NIR Spectroscopy. Postharvest Biol. Technol. 2014, 98, 41–47. [Google Scholar] [CrossRef]
  22. Zhou, J.; He, L.; Karkee, M.; Zhang, Q. Analysis of Shaking-Induced Cherry Fruit Motion and Damage. Biosyst. Eng. 2016, 144, 105–114. [Google Scholar] [CrossRef]
  23. Zhou, R.; Wang, X.; Hu, Y.; Zhang, G.; Yang, P.; Huang, B. Reduction in Hami Melon (Cucumis melo Var. Saccharinus) Softening Caused by Transport Vibration by Using Hot Water and Shellac Coating. Postharvest Biol. Technol. 2015, 110, 214–223. [Google Scholar] [CrossRef]
  24. Shahbazi, F.; Rajabipour, A.; Mohtasebi, S.; Rafie, S. Simulated In-Transit Vibration Damage to Watermelons. J. Agric. Sci. Technol. 2010, 12, 23–34. [Google Scholar]
  25. Cempel, C.; Haddad, S.D. Vibroacoustic Condition Monitoring; Ellis Horwood Series in Mechanical Engineering; Ellis Horwood: Chichester, UK, 1991; ISBN 9780139317187. [Google Scholar]
  26. PN-90/A-75101/02; Przetwory Owocowe i Warzywne—Przygotowanie Próbek i Metody Badań Fizykochemicznych—Oznaczanie Zawartości Ekstraktu Ogólnego. Polski Komitet Normalizacyjny: Warszawa, Polska, 1990.
  27. PN-90/A-75101/06; Przetwory Owocowe i Warzywne—Przygotowanie Próbek i Metody Badań Fizykochemicznych—Oznaczanie pH Metodą Potencjometryczną. Polski Komitet Normalizacyjny: Warszawa, Polska, 1990.
  28. PN-A-04019; Food Products—Determination of Vitamin C Content. Polish Committee for Standardization: Warsaw, Poland, 1998.
  29. Talburt, W.H.; Smith, O. Potato Processing; New York AVI Nonstrand Reinhold Company: New York, NY, USA, 1987. [Google Scholar]
  30. Cagnasso, E.; Torchio, F.; Gerbi, V.; Segade, S.R.; Giacosa, S.; Rolle, L. Evolution of the Phenolic Content and Extractability Indices during Ripening of Nebbiolo Grapes from the Piedmont Growing Areas over Six Consecutive Years. S. Afr. J. Enol. Vitic. 2016, 32, 229–241. [Google Scholar] [CrossRef][Green Version]
  31. Pascual-Elizalde, I.; Antolín-Bellver, M.; Goicoechea-Preboste, M.; Irigoyen-Iparrea, J.; Morales-Iribas, F. Grape Berry Transpiration Influences Ripening and Must Composition in Cv. Tempranillo (Vitis vinifera L.). Physiol. Plant. 2022, 174, e13741. [Google Scholar] [CrossRef]
  32. Cai, Y.; Takeda, F.; Foote, B.; DeVetter, L.W. Effects of Machine-Harvest Interval on Fruit Quality of Fresh Market Northern Highbush Blueberry. Horticulturae 2021, 7, 245. [Google Scholar] [CrossRef]
  33. Ali, I.; Wang, X.; Abbas, W.M.; Hassan, M.U.; Shafique, M.; Tareen, M.J.; Fiaz, S.; Ahmed, W.; Qayyum, A. Quality Responses of Table Grapes ‘Flame Seedless’ as Effected by Foliarly Applied Micronutrients. Horticulturae 2021, 7, 462. [Google Scholar] [CrossRef]
  34. Wang, J.; Han, Y.; Chen, C.; Sam, F.E.; Guan, R.; Wang, K.; Zhang, Y.; Zhao, M.; Chen, C.; Liu, X.; et al. Influence of Benzothiadiazole on the Accumulation and Metabolism of C6 Compounds in Cabernet Gernischt Grapes (Vitis vinifera L.). Foods 2023, 12, 3710. [Google Scholar] [CrossRef]
  35. Zydlik, Z.; Zydlik, P.; Kafkas, N.E.; Yesil, B.; Cieśliński, S. Foliar Application of Some Macronutrients and Micronutrients Improves Yield and Fruit Quality of Highbush Blueberry (Vaccinium corymbosum L.). Horticulturae 2022, 8, 664. [Google Scholar] [CrossRef]
  36. Hinsch, R.T.; Slaughter, D.C.; Craig, W.L.; Thompson, J.F. Vibration of Fresh Fruits and Vegetables during Refrigerated Truck Transport. Trans. ASAE 1993, 36, 1039–1042. [Google Scholar] [CrossRef]
  37. Fischer, D.; Craig, W.L.; Watada, A.E.; Douglas, W.; Ashby, B.H. Simulated In-Transit Vibration Damage to Packaged Fresh Market Grapes and Strawberries. Appl. Eng. Agric. 1992, 8, 363–366. [Google Scholar] [CrossRef]
  38. Ishikawa, Y.; Kitazawa, H.; Shiina, T. Vibration and Shock Analysis of Fruit and Vegetables Transport. Jpn. Agric. Res. Q. JARQ 2009, 43, 129–135. [Google Scholar] [CrossRef]
  39. Kojima, T.; Liu, J.; Fujita, S.; Inaba, S.; Tanaka, M.; Tatara, I. Analysis of Vibration and Its Effects on Strawberries during Highway Transport. Jpn. Agric. Res. Q. 1990, 3, 197–203. [Google Scholar]
  40. Wei, X.; Xie, D.; Mao, L.; Xu, C.; Luo, Z.; Xia, M.; Zhao, X.; Han, X.; Lu, W. Excess Water Loss Induced by Simulated Transport Vibration in Postharvest Kiwifruit. Sci. Hortic. 2019, 250, 113–120. [Google Scholar] [CrossRef]
  41. Walkowiak-Tomczak, D.; Idaszewska, N.; Bieńczak, K.; Kómoch, W. The Effect of Mechanical Actions Occurring during Transport on Physicochemical Changes in Agaricus Bisporus Mushrooms. Sustainability 2020, 12, 4993. [Google Scholar] [CrossRef]
  42. La Scalia, G.; Aiello, G.; Miceli, A.; Nasca, A.; Alfonzo, A.; Settanni, L. Effect of Vibration on the Quality of Strawberry Fruits Caused by Simulated Transport. J. Food Process. Eng. 2016, 39, 140–156. [Google Scholar] [CrossRef]
  43. Tosun, I.; Ustun, N.S.; Telguler, B. Physical and Chemical Changes during Ripening Od Blackberry Fruits. Sci. Agric. 2008, 65, 87–90. [Google Scholar] [CrossRef]
  44. Ismail, A.A.; Kender, W.J. Physical and Chemical Changes Associated with the Development of the Lowbush Blueberry Fruit; Life Sciences and Agriculture Experiment Station: Orono, ME, USA, 1974. [Google Scholar]
Figure 1. Diagram of the vibration measurement stand.
Figure 1. Diagram of the vibration measurement stand.
Sustainability 16 00715 g001
Figure 2. Vibration spectrum recorded during the transport under actual traffic conditions.
Figure 2. Vibration spectrum recorded during the transport under actual traffic conditions.
Sustainability 16 00715 g002
Figure 3. Diagram of the vibration simulation stand: 1—stationary vehicle body with adjustable temperature; 2—fruit container; 3—0.09 kW motor, 2800 rpm, 230/400 V, 0.58/0.33 A, IMB3; 4—suspension and vibration isolation (filled with sand); 5 –Omron MX2-AB 002-E inverter (SJ200-002NFEF2); 6—computer and software.
Figure 3. Diagram of the vibration simulation stand: 1—stationary vehicle body with adjustable temperature; 2—fruit container; 3—0.09 kW motor, 2800 rpm, 230/400 V, 0.58/0.33 A, IMB3; 4—suspension and vibration isolation (filled with sand); 5 –Omron MX2-AB 002-E inverter (SJ200-002NFEF2); 6—computer and software.
Sustainability 16 00715 g003
Figure 4. Schematics of the second stage of the investigations.
Figure 4. Schematics of the second stage of the investigations.
Sustainability 16 00715 g004
Figure 5. Signal spectra measured on the test stand for different vibration frequencies.
Figure 5. Signal spectra measured on the test stand for different vibration frequencies.
Sustainability 16 00715 g005
Table 1. Total and specific energy supplied to the produce depending on the frequency, acceleration amplitude and vibration displacement amplitude.
Table 1. Total and specific energy supplied to the produce depending on the frequency, acceleration amplitude and vibration displacement amplitude.
Vibration Frequency (Hz)Vibration Acceleration Amplitude (m/s2)Vibration Velocity Amplitude (mm/s)Specific Power (mW/kg)Time (s)Specific Energy Supplied to the Produce (J/kg)
120.081.0610.41360037.47
281.69.0989.223600321.18
462483.04814.6036002932.55
502476.39749.4336002697.94
Table 2. The influence of a specific energy of vibration from 37.47 to 2932.55 J/kg on the pH of grapes and blueberries.
Table 2. The influence of a specific energy of vibration from 37.47 to 2932.55 J/kg on the pH of grapes and blueberries.
Original SampleZero SampleEnergy of Vibration (J/kg)
37.47321.182697.942932.55
pHGrapes2.44 ± 0.03 b3.12 ± 0.04 c3.44 ± 0.13 d3.79 ± 0.04 a3.69 ± 0.02 e3.79 ± 0.02 a
Blueberries3.13 ± 0.03 b3.47 ± 0.05 c3.53 ± 0.03 d3.65 ± 0.04 e3.73 ± 0.08 a3.72 ± 0.02 a
Explanation: Mean values marked with the same letter do not differ statistically significantly at p = 0.05 within a single product.
Table 3. The influence of a specific energy of vibration from 37.47 to 2932.55 J/kg on the content of total soluble solids of grapes and blueberries.
Table 3. The influence of a specific energy of vibration from 37.47 to 2932.55 J/kg on the content of total soluble solids of grapes and blueberries.
Original SampleZero SampleEnergy of Vibration (J/kg)
37.47321.182697.942932.55
TSS (%)Grapes16.46 ± 0.04 b19.26 ± 0.09 c21.1 ± 0.05 e21.3 ± 0.03 a20.7 ± 0.20 d21.3 ± 0.06 a
Blueberries12.4 ± 0.4 b13.4 ± 0.2 c14.1 ± 0.3 a14.4 ± 0.3 d14.1 ± 0.4 a14.6 ± 0.4 e
Explanation: Mean values marked with the same letter do not differ statistically significantly at p = 0.05 within a single product.
Table 4. The influence of a specific energy of vibration from 37.47 to 2932.55 J/kg on total sugar content (TSC) of grapes and blueberries.
Table 4. The influence of a specific energy of vibration from 37.47 to 2932.55 J/kg on total sugar content (TSC) of grapes and blueberries.
Original SampleZero SampleEnergy of Vibration (J/kg)
37.47321.182697.942932.55
TSC (%)Grapes9.18 ± 0.06 b16.45 ± 0.27 c17.13 ± 0.54 a17.28 ± 0.21 a17.38 ± 0.74 a17.34 ± 0.24 a
Blueberries10.22 ± 0.35 b11.90 ± 0.34 c13.50 ± 0.30 d13.97 ± 0.22 a14.36 ± 0.40 e14.00 ± 0.34 a
Explanation: Mean values marked with the same letter do not differ statistically significantly at p = 0.05 within a single product.
Table 5. The influence of a specific energy of vibration from 37.47 to 2932.55 J/kg on the content of reducing sugars in grapes and blueberries.
Table 5. The influence of a specific energy of vibration from 37.47 to 2932.55 J/kg on the content of reducing sugars in grapes and blueberries.
Original SampleZero SampleEnergy of Vibration (J/kg)
37.47321.182697.942932.55
Reducing sugars (%)Grapes8.24 ± 0.16 b14.91 ± 0.31 c16.28 ± 0.26 a16.12 ± 0.13 a15.97 ± 0.30 a16.18 ± 0.14 a
Blueberries7.01 ± 0.23 b8.98 ± 0.12 c10.07 ± 0.14 d10.54 ± 0.18 a10.78 ± 0.30 e10.44 ± 0.29 a
Explanation: Mean values marked with the same letter do not differ statistically significantly at p = 0.05 within a single product.
Table 6. The influence of a specific energy of vibration from 37.47 to 2932.55 J/kg on the content of ascorbic acid in grapes and blueberries.
Table 6. The influence of a specific energy of vibration from 37.47 to 2932.55 J/kg on the content of ascorbic acid in grapes and blueberries.
Original SampleZero SampleEnergy of Vibration (J/kg)
37.47321.182697.942932.55
Ascorbic acid
(mg 100 g−1)
Grapes 31.1 ± 1.0 b32.2 ± 0.1 c31.2 ± 0.1 b32.1 ± 0.1 c30.4 ± 1.0 a30.5 ± 0.5 a
Blueberries11.0 ± 0.2 a11.5 ± 0.2 b11.6 ± 0.1 b11.3 ± 0.1 c10.9 ± 0.1 a11.4 ± 0.2 d
Explanation: Mean values marked with the same letter do not differ statistically significantly at p = 0.05 within a single product.
Disclaimer/Publisher’s Note: The statements, opinions and data contained in all publications are solely those of the individual author(s) and contributor(s) and not of MDPI and/or the editor(s). MDPI and/or the editor(s) disclaim responsibility for any injury to people or property resulting from any ideas, methods, instructions or products referred to in the content.

Share and Cite

MDPI and ACS Style

Idaszewska, N.; Szymański, G.M.; Bieńczak, K. Effect of Vibration Stress on Selected Chemical Parameters of “Bluecrop” Highbush Blueberry (Vaccinium corymbosum L.) and Grape (Vitis vinifera L.). Sustainability 2024, 16, 715. https://doi.org/10.3390/su16020715

AMA Style

Idaszewska N, Szymański GM, Bieńczak K. Effect of Vibration Stress on Selected Chemical Parameters of “Bluecrop” Highbush Blueberry (Vaccinium corymbosum L.) and Grape (Vitis vinifera L.). Sustainability. 2024; 16(2):715. https://doi.org/10.3390/su16020715

Chicago/Turabian Style

Idaszewska, Natalia, Grzegorz M. Szymański, and Krzysztof Bieńczak. 2024. "Effect of Vibration Stress on Selected Chemical Parameters of “Bluecrop” Highbush Blueberry (Vaccinium corymbosum L.) and Grape (Vitis vinifera L.)" Sustainability 16, no. 2: 715. https://doi.org/10.3390/su16020715

APA Style

Idaszewska, N., Szymański, G. M., & Bieńczak, K. (2024). Effect of Vibration Stress on Selected Chemical Parameters of “Bluecrop” Highbush Blueberry (Vaccinium corymbosum L.) and Grape (Vitis vinifera L.). Sustainability, 16(2), 715. https://doi.org/10.3390/su16020715

Note that from the first issue of 2016, this journal uses article numbers instead of page numbers. See further details here.

Article Metrics

Back to TopTop