Temporal—Spatial Changes in Vegetation Coverage under Climate Change and Human Activities: A Case Study of Central Yunnan Urban Agglomeration, China
Abstract
1. Introduction
2. Materials and Methods
2.1. Study Area and Data
2.2. Calculation of Vegetation Cover
2.3. Trend Analysis
2.4. Intensity Analysis
2.5. Intensity Map
2.6. Geodetector Model
3. Results
3.1. Spatial and Temporal Changes in FVC
3.2. Variation Trends Analysis of FVC
3.3. FVC Change at Time Interval, Category, and Transition Level
3.4. Transitions Level Change Tendency of FVC
3.5. Contributions of the Climate Change and Human Activity Factors to FVC Changes
4. Discussion
4.1. Trends in the Patterns of FVC
4.2. Changes in the Intensity of FVC
4.3. Differences in the Response of FVC Changes to Impact Factors
4.3.1. Meteorological Factors
4.3.2. Topographical Factors
4.3.3. Human Factors
4.3.4. Factors Interaction Effect
5. Conclusions
- (1)
- Vegetation cover gradually decreased from south to north and from west to east.
- (2)
- As of 2020, the proportion of vegetation coverage levels is as follows: high vegetation coverage (Level V) > middle–high vegetation coverage (Level IV) > middle vegetation coverage (Level III) > low vegetation coverage (Level I/Level II).
- (3)
- Overall, there is a 26.99% area of improvement and only a 1.71% area of degradation.
- (4)
- Specifically, the areas with significant improvement in vegetation coverage were the eastern karst landform area and plateau meadow area (22.49%). In comparison, the areas with severe degradation were distributed in the central and eastern core areas of human activity (1.56%).
- (5)
- The intensity of the time intervals increased by 1.19 times. At the category level, the most active gain/loss was in middle and middle–high vegetation coverage. At the transition level, the middle–high vegetation coverage changed significantly, being associated with forest protection and artificial afforestation in the CYUA.
- (6)
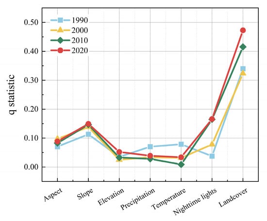
- The factors that had an influence greater than 10% from 1990 to 2020 were land cover > slope before 2010; after 2010, the factors with the greatest influence were land cover > nighttime light > slope.
- (7)
- The most significant synergy between land cover and other factors is greater than 0.30. Land cover change is further accelerated due to increased human activities and urbanization.
Author Contributions
Funding
Institutional Review Board Statement
Informed Consent Statement
Data Availability Statement
Acknowledgments
Conflicts of Interest
References
- World Cities Report 2022: Envisaging the Future of Cities, the United Nations Human Settlements Programme. Available online: https://unhabitat.org/wcr/ (accessed on 20 November 2023).
- Najihah, N.A.M.; Corstanje, R.; Harris, J.A.; Brewer, T. Impact of rapid urban expansion on greenspace structure. Ecol. Indic. 2017, 81, 274–284. [Google Scholar] [CrossRef]
- Wang, J.; Zhang, Y.; Zhang, X.; Song, M.; Ye, J. The spatio-temporal trends of urban green space and its interactions with urban growth: Evidence from the Yangtze River Delta region, China. Land Use Policy 2023, 128, 106598. [Google Scholar] [CrossRef]
- Yin, H.W.; Kong, F.H.; Zong, Y.G. Accessibility and Equity Assessment on Urban Green Space. Acta Ecol. Sin. 2008, 28, 3375–3383. Available online: https://kns.cnki.net/kcms2/article/abstract?v=TzO8JwpG6ugQJ4d6aYgKBriI7-x8Gb5qDx1NP-WXKVYe0Wf3qELif_BlTnPkBbenhAH6bd1LD1dkPQsZAhdT-4TP8Hisvq8M313SxYZQhM5FQAnXY4KUG6nZqb3QpiQ-&uniplatform=NZKPT&language=CHS (accessed on 20 November 2023).
- Zheng, L.Y.; Pu, H.X.; Jiang, Z.P. Spatial satisfaction of urban parks based on the visible green index. J. Nanjing For. Univ. (Nat. Sci. Ed.) 2020, 44, 199–204. [Google Scholar] [CrossRef]
- Wu, S.; Wang, D.; Yan, Z.; Wang, X.; Han, J. Spatiotemporal dynamics of urban green space in Changchun: Changes, transformations, landscape patterns, and drivers. Ecol. Indic. 2023, 147, 109958. [Google Scholar] [CrossRef]
- Matsa, M.; Mupepi, O.; Musasa, T. Spatio-temporal analysis of urban expansion in Gweru city, Zimbabwe between 1990 and 2020. Environ. Chall. 2021, 4, 100141. [Google Scholar] [CrossRef]
- Paudel, S.; States, S.L. Urban green spaces and sustainability: Exploring the ecosystem services and disservices of grassy lawns versus floral meadows. Urban For. Urban Green 2023, 84, 127932. [Google Scholar] [CrossRef]
- Qin, W.; Zhu, Q.k.; Zhang, X.x.; Li, W.h.; Fang, B. Review of vegetation covering and its measuring and calculating method. J. Northwest Sci-Tech Univ. Agric. For. (Nat. Sci. Ed.) 2006, 34, 163–168. [Google Scholar]
- Ren, Y.; Zhang, F.; Zhao, C.; Cheng, Z. Attribution of climate change and human activities to vegetation NDVI in Jilin Province, China during 1998–2020. Ecol. Indic. 2023, 153, 110415. [Google Scholar] [CrossRef]
- Jiapaer, G.; Chen, X.; Bao, A. A comparison of methods for estimating fractional vegetation cover in arid regions. Agric. For. Meteorol. 2011, 151, 1698–1710. [Google Scholar] [CrossRef]
- Carlson, T.N.; Ripley, D.A. On the relation between NDVI, fractional vegetation cover, and leaf area index. Remote Sens. Environ. 1997, 62, 241–252. [Google Scholar] [CrossRef]
- Chu, D.; Chu, D. Fractional vegetation cover. In Remote Sensing of Land Use and Land Cover in Mountain Region; Springer: Berlin/Heidelberg, Germany, 2020; pp. 195–207. [Google Scholar] [CrossRef]
- Wu, D.; Wu, H.; Zhao, X.; Zhou, T.; Tang, B.; Zhao, W.; Jia, K. Evaluation of Spatiotemporal Variations of Global Fractional Vegetation Cover Based on GIMMS NDVI Data from 1982 to 2011. Remote Sens. 2014, 6, 4217–4239. [Google Scholar] [CrossRef]
- Gutman, G.; Ignatov, A. The derivation of the green vegetation fraction from NOAA/AVHRR data for use in numerical weather prediction models. Int. J. Remote Sens. 1998, 19, 1533–1543. [Google Scholar] [CrossRef]
- Amiri, R.; Weng, Q.; Alimohammadi, A.; Alavipanah, S.K. Spatial-temporal dynamics of land surface temperature in relation to fractional vegetation cover and land use/cover in the Tabriz urban area, Iran. Remote Sens. Environ. 2009, 113, 2606–2617. [Google Scholar] [CrossRef]
- Song, W.; Mu, X.; Ruan, G.; Gao, Z.; Li, L.; Yan, G.; Yan, G. Estimating fractional vegetation cover and the vegetation index of bare soil and highly dense vegetation with a physically based method. Int. J. Appl. Earth Obs. Geoinf. 2017, 58, 168–176. [Google Scholar] [CrossRef]
- Ren, H.; Wen, Z.; Liu, Y.; Lin, Z.; Han, P.; Shi, H.; Wang, Z.; Su, T. Vegetation response to changes in climate across different climate zones in China. Ecol. Indic. 2023, 155, 110932. [Google Scholar] [CrossRef]
- Liu, H.Q.; Huete, A. A feedback-based modification of the NDVI to minimize canopy background and atmospheric noise. IEEE Trans. Geosci. Remote Sens. 1995, 33, 457–465. [Google Scholar] [CrossRef]
- Sun, H.; Wang, C.; Niu, Z. Analysis of the vegetation cover change and the relationship between NDVI and environmental factors by using NOAA time series data. J. Remote Sens. 1998, 2, 210–216. [Google Scholar] [CrossRef]
- Gao, L.; Wang, X.; Johnson, B.A.; Tian, Q.; Wang, Y.; Verrelst, J.; Mu, X.; Gu, X. Remote sensing algorithms for estimation of fractional vegetation cover using pure vegetation index values: A review. ISPRS J. Photogramm. Remote Sens. 2020, 159, 364–377. [Google Scholar] [CrossRef]
- Wittich, K.P.; Hansing, O. Area-averaged vegetative cover fraction estimated from satellite data. Int. J. Biometeorol. 1995, 38, 209–215. [Google Scholar] [CrossRef]
- Zhang, W.; Randall, M.; Jensen, M.B.; Brandt, M.; Wang, Q.; Fensholt, R. Socio-economic and climatic changes lead to contrasting global urban vegetation trends. Glob. Environ. Chang. 2021, 71, 101883. [Google Scholar] [CrossRef]
- Jiang, S.; Zhang, Z.; Wang, W.; Du, W.; Jin, Q. Dynamic variation rules of vegetation cover in Jiangsu Province and its response to climate change. J. Nanjing For. Univ. (Nat. Sci. Ed.) 2016, 40, 74–80. [Google Scholar] [CrossRef]
- Liu, C.; Zhang, X.; Wang, T.; Chen, G.; Zhu, K.; Wang, Q.; Wang, J. Detection of vegetation coverage changes in the Yellow River Basin from 2003 to 2020. Ecol. Indic. 2022, 138, 108818. [Google Scholar] [CrossRef]
- Bille, R.A.; Jensen, K.E.; Buitenwerf, R. Global patterns in urban green space are strongly linked to human development and population density. Urban For. Urban Green. 2023, 86, 127980. [Google Scholar] [CrossRef]
- Zheng, B.; Myint, S.W.; Fan, C. Spatial configuration of anthropogenic land cover impacts on urban warming. Landsc. Urban Plan. 2014, 130, 104–111. [Google Scholar] [CrossRef]
- Ma, B.; Wang, S.; Mupenzi, C.; Li, H.; Ma, J.; Li, Z. Quantitative Contributions of Climate Change and Human Activities to Vegetation Changes in the Upper White Nile River. Remote Sens. 2021, 13, 3648. [Google Scholar] [CrossRef]
- Tong, S.; Zhang, J.; Ha, S.; Lai, Q.; Ma, Q. Dynamics of Fractional Vegetation Coverage and Its Relationship with Climate and Human Activities in Inner Mongolia, China. Remote Sens. 2016, 8, 776. [Google Scholar] [CrossRef]
- Wei, X.; Wang, S.; Wang, Y. Spatial and temporal change of fractional vegetation cover in North-western China from 2000 to 2010. Geol. J. 2018, 53, 427–434. [Google Scholar] [CrossRef]
- Mao, P.; Zhang, J.; Li, M.; Liu, Y.; Wang, X.; Yan, R.; Shen, B.; Zhang, X.; Shen, J.; Zhu, X.; et al. Spatial and temporal variations in fractional vegetation cover and its driving factors in the Hulun Lake region. Ecol. Indic. 2022, 135, 108490. [Google Scholar] [CrossRef]
- Jiang, L.; Jiapaer, G.; Bao, A.; Guo, H.; Ndayisaba, F. Vegetation dynamics and responses to climate change and human activities in Central Asia. Sci. Total Environ. 2017, 599–600, 967–980. [Google Scholar] [CrossRef]
- de Beurs, K.M.; Henebry, G.M.; Owsley, B.C.; Sokolik, I. Using multiple remote sensing perspectives to identify and attribute land surface dynamics in Central Asia 2001–2013. Remote Sens. Environ. 2015, 170, 48–61. [Google Scholar] [CrossRef]
- Li, Y.; Zheng, Z.; Qin, Y.; Rong, P. Relative contributions of natural and man-made factors to vegetation cover change of environmentally sensitive and vulnerable areas of China. J. Clean. Prod. 2021, 321, 128917. [Google Scholar] [CrossRef]
- Zhang, Y.; Ye, A. Quantitatively distinguishing the impact of climate change and human activities on vegetation in mainland China with the improved residual method. GISci. Remote Sens. 2021, 58, 235–260. [Google Scholar] [CrossRef]
- Wang, J.F.; Zhang, T.L.; Fu, B.J. A measure of spatial stratified heterogeneity. Ecol. Indic. 2016, 67, 250–256. [Google Scholar] [CrossRef]
- Fang, C. Progress and the future direction of research into urban agglomeration in China. Acta Geogr. Sin. 2014, 69, 1130–1144. [Google Scholar] [CrossRef]
- The Government Work Report of Yunnan Province. 2023. Available online: https://www.yn.gov.cn/zwgk/zfxxgk/zfgzbg/202302/t20230207_254669.html (accessed on 20 November 2023).
- Wang, Y.; Lu, H. Driving force of vegetation cover change in Yunnan province of China from 2001 to 2018. Mt. Res. 2022, 40, 531–541. [Google Scholar] [CrossRef]
- Wang, J.F.; Li, X.H.; Christakos, G.; Liao, Y.L.; Zhang, T.; Gu, X.; Zheng, X.Y. Geographical detectors-based health risk assessment and its application in the neural tube defects study of the Heshun region, China. Int. J. Geogr. Inf. Sci. 2010, 24, 107–127. [Google Scholar] [CrossRef]
- “Development Plan for Urban Agglomeration in Central Yunnan”, Yunnan Provincial People’s Government. Available online: https://www.yn.gov.cn/zwgk/zfxxgkpt/fdzdgknr/zcwj/zdgkwjyzf/202008/t20200826_209715.html (accessed on 20 November 2023).
- Liu, H.; Zhou, T.; Gou, P. NDVI Dataset of China and Average in 361 Cities (250 m, 1990–2020). Digit. J. Glob. Chang. Data Repos. 2023, 10. Available online: https://www.geodoi.ac.cn/edoi.aspx?DOI=10.3974/geodb.2023.04.06.V1 (accessed on 20 November 2023).
- Zhou, T.; Liu, H.; Gou, P.; Xu, N. Conflict or Coordination? Measuring the Relationships Between Urbanization and Vegetation Cover in China. Ecol. Indic. 2023, 147, 106941. [Google Scholar] [CrossRef]
- Peng, S.; Ding, Y.; Liu, W.; Li, Z. 1 km monthly temperature and precipitation dataset for China from 1901 to 2017. Earth Syst. Sci. Data 2019, 11, 1931–1946. [Google Scholar] [CrossRef]
- Loess Plateau SubCenter, National Earth System Science Data Center, National Science & Technology Infrastructure of China. Available online: http://loess.geodata.cn (accessed on 20 November 2023).
- Li, X.; Zhou, Y.; Zhao, M.; Zhao, X. Harmonization of DMSP and VIIRS nighttime light data from 1992–2018 at the global scale. 2020. Available online: https://figshare.com/articles/dataset/Harmonization_of_DMSP_and_VIIRS_nighttime_light_data_from_1992-2018_at_the_global_scale/9828827 (accessed on 20 November 2023). [CrossRef]
- Zhao, M.; Cheng, C.; Zhou, Y.; Li, X.; Shen, S.; Song, C. A global dataset of annual urban extents (1992–2020) from harmonized nighttime lights. Earth Syst. Sci. Data 2021, 14, 517–534. [Google Scholar] [CrossRef]
- Zhang, X.; Liu, L.; Chen, X.; Gao, Y.; Xie, S.; Mi, J. GLC_FCS30: Global land-cover product with fine classification system at 30 m using time-series Landsat imagery. Earth Syst. Sci. Data Discuss. 2021, 13, 2753–2776. [Google Scholar] [CrossRef]
- Zhang, X.; Liu, L.; Wu, C.; Chen, X.; Gao, Y.; Xie, S.; Zhang, B. Development of a global 30 m impervious surface map using multisource and multitemporal remote sensing datasets with the Google Earth Engine platform. Earth Syst. Sci. Data 2020, 12, 1625–1648. [Google Scholar] [CrossRef]
- Ministry of Ecology and Environment of the People’s Republic of China. Available online: https://www.mee.gov.cn/ (accessed on 20 November 2023).
- Tudor, C. Ozone pollution in London and Edinburgh: Spatiotemporal characteristics, trends, transport and the impact of COVID-19 control measures. Heliyon 2022, 8, e11384. [Google Scholar] [CrossRef]
- Bu, H.; Wulan, T.Y.; Siqin, C.K.T.; Han, S.M.; Gao, S.R.G.; Wu, X.Q. Response of vegetation fraction cover change to meteorological drought in Inner Mongolia from 1982 to 2099. J. Northwest For. Univ. 2023, 5, 1–9. [Google Scholar] [CrossRef]
- Wang, L.; Li, W.; Zheng, Y.; Zhang, X.; Yuan, F.; Wu, X. Water Deficit Caused by Land Use Changes and Its Implications on the Ecological Protection of the Endorheic Dalinor Lake Watershed in Inner Mongolia, China. Water 2023, 15, 2882. [Google Scholar] [CrossRef]
- Xu, T.; Wu, H. Spatiotemporal Analysis of Vegetation Cover in Relation to Its Driving Forces in Qinghai–Tibet Plateau. Forests 2023, 14, 1835. [Google Scholar] [CrossRef]
- Aldwaik, S.Z.; Pontius, R.G., Jr. Intensity analysis to unify measurements of size and stationarity of land changes by interval, category, and transition. Landsc. Urban Plan. 2012, 106, 103–114. [Google Scholar] [CrossRef]
- Li, S.C.; Gong, J.; Yang, J.X.; Chen, G.; Zhang, Z.; Zhang, M.Q. Characteristics of LUCC patterns of the Lanzhou-Xining urban agglomeration: Based on an intensity analysis framework. Resour. Sci. 2023, 45, 480–493. [Google Scholar] [CrossRef]
- Mu, B.; Zhao, X.; Zhao, J.; Liu, N.; Si, L.; Wang, Q.; Sun, N.; Sun, M.; Guo, Y.; Zhao, S. Quantitatively Assessing the Impact of Driving Factors on Vegetation Cover Change in China’s 32 Major Cities. Remote Sens. 2022, 14, 839. [Google Scholar] [CrossRef]
- Zheng, Y.; He, Y.; Zhou, Q.; Wang, H. Quantitative Evaluation of Urban Expansion using NPP-VIIRS Nighttime Light and Landsat Spectral Data. Sustain. Cities Soc. 2021, 76, 338. [Google Scholar] [CrossRef]
- Zhou, X.; Wen, H.; Zhang, Y.; Xu, J.; Zhang, W. Landslide susceptibility mapping using hybrid random forest with GeoDetector and RFE for factor optimization. Geosci. Front. 2021, 12, 101211. [Google Scholar] [CrossRef]
- Kong, Z.; Ling, H.; Deng, M.; Han, F.; Yan, J.; Deng, X.; Wang, Z.; Ma, Y.; Wang, W. Past and projected future patterns of fractional vegetation coverage in China. Sci. Total Environ. 2023, 902, 166133. [Google Scholar] [CrossRef] [PubMed]
- Yang, S.; Song, S.; Li, F.; Yu, M.; Yu, G.; Zhang, Q.; Cui, H.; Wang, R.; Wu, Y. Vegetation coverage changes driven by a combination of climate change and human activities in Ethiopia, 2003–2018. Ecol. Inform. 2022, 71, 101776. [Google Scholar] [CrossRef]
- Wang, Z.; Wang, Y.; Liu, Y.; Wang, F.; Deng, W.; Rao, P. Spatiotemporal characteristics and natural forces of grassland NDVI changes in Qilian Mountains from a sub-basin perspective. Ecol. Indic. 2023, 157, 111186. [Google Scholar] [CrossRef]
- Wang, Y.; Li, M. Annually Urban Fractional Vegetation Cover Dynamic Mapping in Hefei, China (1999–2018). Remote Sens. 2021, 13, 2126. [Google Scholar] [CrossRef]
- Li, W.; Wang, W.; Chen, J.; Zhang, Z. Assessing effects of the Returning Farmland to Forest Program on vegetation cover changes at multiple spatial scales: The case of northwest Yunnan, China. J. Environ. Manag. 2022, 304, 114303. [Google Scholar] [CrossRef] [PubMed]
- Mallinis, G.; Koutsias, N.; Arianoutsou, M. Monitoring land use/land cover transformations from 1945 to 2007 in two peri-urban mountainous areas of Athens metropolitan area, Greece. Sci. Total Environ. 2014, 490, 262–278. [Google Scholar] [CrossRef]
- Sun, H.; Wang, J.; Xiong, J.; Bian, J.; Jin, H.; Cheng, W.; Li, A. Vegetation change and its response to climate change in Yunnan Province, China. Adv. Meteorol. 2021, 2021, 8857589. [Google Scholar] [CrossRef]
- Shi, H.; Chen, J. Characteristics of climate change and its relationship with land use/cover change in Yunnan Province, China. Int. J. Climatol. 2018, 38, 2520–2537. [Google Scholar] [CrossRef]
- Hillman, A.L.; Yu, J.; Abbott, M.B.; Cooke, C.A.; Bain, D.J.; Steinman, B.A. Rapid environmental change during dynastic transitions in Yunnan Province, China. Quat. Sci. Rev. 2014, 98, 24–32. [Google Scholar] [CrossRef]
- Zhang, C.; He, H.; Mokhtar, A. The impact of climate change and human activity on spatiotemporal patterns of multiple cropping index in South West China. Sustainability 2019, 11, 5308. [Google Scholar] [CrossRef]
- Tao, J.; Zhu, J.; Zhang, Y.; Dong, J.; Zhang, X. Divergent effects of climate change on cropland ecosystem water use efficiency at different elevations in southwestern China. J. Geogr. Sci. 2022, 32, 1601–1614. [Google Scholar] [CrossRef]
- He, Y.; Zhou, C.; Ahmed, T. Vulnerability assessment of rural social-ecological system to climate change: A case study of Yunnan Province, China. Int. J. Clim. Chang. Strateg. Manag. 2021, 13, 162–180. [Google Scholar] [CrossRef]
- Sun, L.; Jaramillo, F.; Cai, Y.; Zhou, Y.; Shi, S.; Zhao, Y.; Gunnarson, B. Exploring the influence of reservoir impoundment on surrounding tree growth. Adv. Water Resour. 2021, 153, 103946. [Google Scholar] [CrossRef]
- Gu, Z.; Bai, Z.; Duan, X.; Ding, J.; Feng, D.; Shi, X.; Han, X. Quantitative effects of environmental factors on climatic yield in the mountainous area: A case study in Yunnan Province. Chin. J. Agrometeorol. 2015, 36, 497. Available online: https://zgnyqx.ieda.org.cn//EN/Y2015/V36/I04/497 (accessed on 20 November 2023).
- Fan, F.; Xiao, C.; Feng, Z.; Yang, Y. Impact of human and climate factors on vegetation changes in mainland Southeast Asia and Yunnan Province of China. J. Clean. Prod. 2023, 415, 137690. [Google Scholar] [CrossRef]
- Gibson, J.; Olivia, S.; Boe-Gibson, G. Night lights in economics: Sources and uses 1. J. Econ. Surv. 2020, 34, 955–980. [Google Scholar] [CrossRef]
- Levin, N.; Kyba, C.C.; Zhang, Q.; de Miguel, A.S.; Román, M.O.; Li, X.; Elvidge, C.D. Remote sensing of night lights: A review and an outlook for the future. Remote Sens. Environ. 2020, 237, 111443. [Google Scholar] [CrossRef]
- Dong, B.; Yang, Y.; You, S.; Zheng, Q.; Huang, L.; Zhu, C.; Tong, C.; Li, S.; Li, Y. Identifying and Classifying Shrinking Cities Using Long-Term Continuous Night-Time Light Time Series. Remote Sens. 2021, 13, 3142. [Google Scholar] [CrossRef]
- Cai, D.; Fraedrich, K.; Guan, Y.; Guo, S.; Zhang, C. Urbanization and climate change: Insights from eco-hydrological diagnostics. Sci. Total Environ. 2019, 647, 29–36. [Google Scholar] [CrossRef]
- Bennie, J.; Davies, T.W.; Cruse, D.; Bell, F. Artificial light at night alters grassland vegetation species composition and phenology. J. Appl. Ecol. 2017, 55, 442–450. [Google Scholar] [CrossRef]
- Liu, C.; Li, W.; Wang, W.; Zhou, H.; Liang, T.; Hou, F.; Xu, J.; Xue, P. Quantitative spatial analysis of vegetation dynamics and potential driving factors in a typical alpine region on the northeastern Tibetan Plateau using the Google Earth Engine. CATENA 2021, 206, 105500. [Google Scholar] [CrossRef]
- Zuo, Y.; Li, Y.; He, K.; Wen, Y. Temporal and spatial variation characteristics of vegetation coverage and quantitative analysis of its potential driving forces in the Qilian Mountains, China, 2000–2020. Ecol. Indic. 2022, 143, 109429. [Google Scholar] [CrossRef]
- Xu, X.; Jiang, H.; Guan, M.; Wang, L.; Huang, Y.; Jiang, Y.; Wang, A. Vegetation responses to extreme climatic indices in coastal China from 1986 to 2015. Sci. Total Environ. 2020, 744, 140784. [Google Scholar] [CrossRef]
- Zhang, S.; Zhou, Y.; Yu, Y.; Li, F.; Zhang, R.; Li, W. Using the Geodetector Method to Characterize the Spatiotemporal Dynamics of Vegetation and Its Interaction with Environmental Factors in the Qinba Mountains, China. Remote Sens. 2022, 14, 5794. [Google Scholar] [CrossRef]
















| Data | Data Accuracy | Data Sources | Data URL |
|---|---|---|---|
| Normalized difference vegetation index (NDVI) data [42,43] | 250 m | Global Change Research Data Publishing and Repository | https://www.geodoi.ac.cn/ (accessed on 20 November 2023) |
| DEM data | 30 m | Geospatial data cloud | https://www.gscloud.cn/ (accessed on 20 November 2023) |
| Annual average precipitation data [44] | 1000 m | National Earth System Science Data Center, National Science and Technology Infrastructure of China | http://loess.geodata.cn (accessed on 20 November 2023) |
| Annual average temperature data [45] | 1000 m | National Earth System Science Data Center, National Science and Technology Infra-structure of China | http://loess.geodata.cn (accessed on 20 November 2023) |
| Nighttime light data [46,47] | 1000 m | A global dataset of annual urban extents (1992–2020) from harmonized nighttime lights. figshare. | https://doi.org/10.6084/m9.figshare.9828827.v2 (accessed on 20 November 2023) |
| Land cover/use data [48,49] | 30 m | Big Earth Data Science Engineering Program | https://data.casearth.cn/ (accessed on 20 November 2023) |
| Afforestation data | / | Yearbook of Yunnan Provincial Bureau of Statistics | http://stats.yn.gov.cn/ (accessed on 20 November 2023) |
| Categories | Categories Name | Landscape Features |
|---|---|---|
| I Level | Extremely low coverage | 0 ≤ FVC ≤ 35% No vegetation, water bodies, bare land, rock, residential areas, high rocky desertification |
| II Level | Low coverage | 35% < FVC ≤ 55% Sparse vegetation, sparse grassland, built-up area, middle-level rocky desertification |
| III Level | Middle coverage | 55% < FVC ≤ 65% Middle-yield grassland, arable land, and green land in built-up areas |
| IV Level | Middle–high coverage | 65% < FVC ≤ 75% Higher-yield grassland, arable land, shrubland |
| V Level | High coverage | 75% < FVC ≤ 100% Flourishing vegetation, high-yield grassland, arable land, dense (irrigated) woodland |
| Variables | Factors | Reclassify | Categories |
|---|---|---|---|
| X1 | Aspect (°) | 9 | 1 = Gentle slope (−1°), 2 = North slope (0–22.5°, 337.5–360°), 3 = Northeast slope (22.5–67.5°), 4 = East slope (67.5–112.5°), 5 = Southeast slope (112.5–157.5°), 6 = South slope (157.5–202.5°), 7 = Southwest slope (202.5–247.5°), 8 = West slope (247.5–292.5°), 9 = Northwest slope (292.5–337.5°) |
| X2 | Slope (°) | 15 | <3°, >42°, Divide every 3° |
| X3 | Elevation (m) | 5 | 1 = 129–1200 m, 2 = 1200–1600 m, 3 = 1600–2000 m, 4 = 2000–2400 m, 5 = 2400-highest |
| X4 | Mean annual precipitation (mm) | 9 | Natural breakpoint method |
| X5 | Mean annual temperature (°C) | 9 | Natural breakpoint method |
| X6 | nighttime lights (DN) | 9 | Natural breakpoint method |
| X7 | landcover | 9 | 1 = Rainfed cropland, 2 = Herbaceous cover, 3 = Irrigated cropland, 4 = evergreen broadleaved forest, 5 = deciduous broadleaved forest, 6 = evergreen needle-leaved forest, 7 = Shrubland, 8 = Grassland |
| β | Z | Trend | Coverage |
|---|---|---|---|
| β > 0 | 2.58 < Z | Significant improvement | 22.49% |
| 1.96 < Z ≤ 2.58 | Improvement | 4.5% | |
| β = 0 | 0 ≤ Z ≤ 1.96 | Stable | 71.3% |
| β < 0 | 1.96 < Z ≤ 2.58 | Slight degradation | 0.15% |
| 2.58 < Z | Severe degradation | 1.56% |
| Category | The 1990–2000 Interval | The 2000–2010 Interval | The 2010–2020 Interval | |||
|---|---|---|---|---|---|---|
| Transfer from | Transfer to | Transfer from | Transfer to | Transfer from | Transfer to | |
| I | II | II | II | II | III | II |
| II | I, III | I, III | I, III | I, III | I, III | I, II |
| III | II | II, IV | II, IV | II, IV | II | II, IV |
| IV | III | V | V | III, V | III | V |
| V | IV | IV | IV | IV | IV | IV |
Disclaimer/Publisher’s Note: The statements, opinions and data contained in all publications are solely those of the individual author(s) and contributor(s) and not of MDPI and/or the editor(s). MDPI and/or the editor(s) disclaim responsibility for any injury to people or property resulting from any ideas, methods, instructions or products referred to in the content. |
© 2024 by the authors. Licensee MDPI, Basel, Switzerland. This article is an open access article distributed under the terms and conditions of the Creative Commons Attribution (CC BY) license (https://creativecommons.org/licenses/by/4.0/).
Share and Cite
Li, Y.; Song, Y.; Cao, X.; Huang, L.; Zhu, J. Temporal—Spatial Changes in Vegetation Coverage under Climate Change and Human Activities: A Case Study of Central Yunnan Urban Agglomeration, China. Sustainability 2024, 16, 661. https://doi.org/10.3390/su16020661
Li Y, Song Y, Cao X, Huang L, Zhu J. Temporal—Spatial Changes in Vegetation Coverage under Climate Change and Human Activities: A Case Study of Central Yunnan Urban Agglomeration, China. Sustainability. 2024; 16(2):661. https://doi.org/10.3390/su16020661
Chicago/Turabian StyleLi, Yijiao, Yuhong Song, Xiaozhu Cao, Linyun Huang, and Jianqun Zhu. 2024. "Temporal—Spatial Changes in Vegetation Coverage under Climate Change and Human Activities: A Case Study of Central Yunnan Urban Agglomeration, China" Sustainability 16, no. 2: 661. https://doi.org/10.3390/su16020661
APA StyleLi, Y., Song, Y., Cao, X., Huang, L., & Zhu, J. (2024). Temporal—Spatial Changes in Vegetation Coverage under Climate Change and Human Activities: A Case Study of Central Yunnan Urban Agglomeration, China. Sustainability, 16(2), 661. https://doi.org/10.3390/su16020661
