Evaluation, Driving Mechanism and Spatial Correlation Analysis of Atmospheric Environmental Efficiency in the “2+26” Cities Based on the Nonradial MEA Model
Abstract
1. Introduction
2. Literature Review
3. Materials and Methods
3.1. Study Area
3.2. Research Method
3.2.1. Nonradial Multi-Directional Efficiency Analysis (MEA) Model
3.2.2. Global Reference Malmquist Model
3.2.3. Spatial Correlation Analysis
- (1)
- Global Moran Index
- (2)
- Local Moran’s Index
3.3. Indicator System
3.3.1. Input Variables
3.3.2. Desirable Output Variable
3.3.3. Undesirable Output Variables
4. Results
4.1. Evaluation of Atmospheric Environmental Efficiency in “2+26” Cities
4.1.1. Discussion from the Perspective of All “2+26” Cities
4.1.2. Discussion from the Perspective of Provinces in the “2+26” Cities
4.1.3. Discussion from the Perspective of Prefecture-Level Cities in the “2+26” Cities
4.2. Analysis of the Dynamic Evolution and Driving Mechanisms of Atmospheric Environmental Efficiency in the “2+26” Cities
4.3. Spatial Correlation Analysis and Spatial Evolution
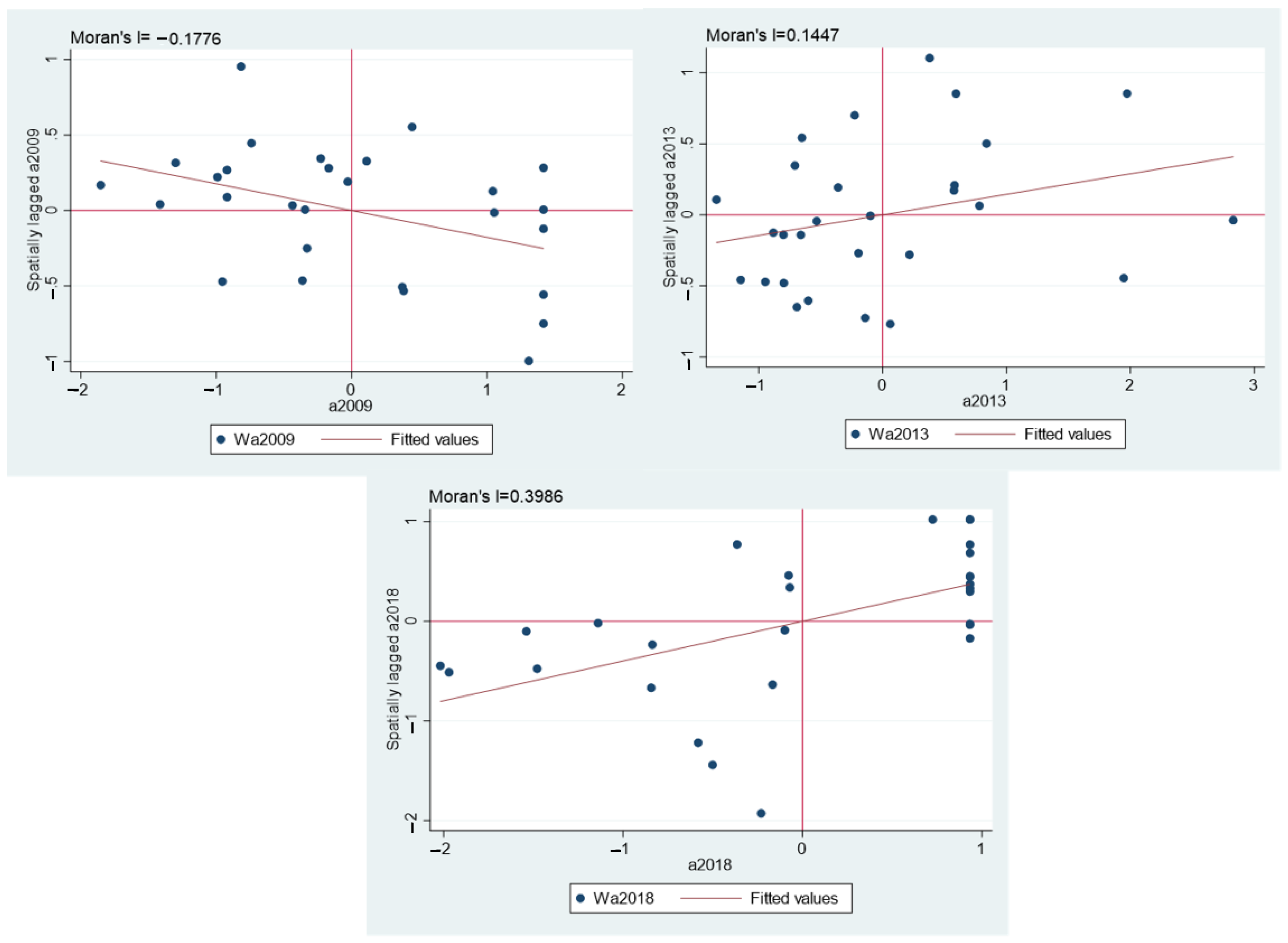
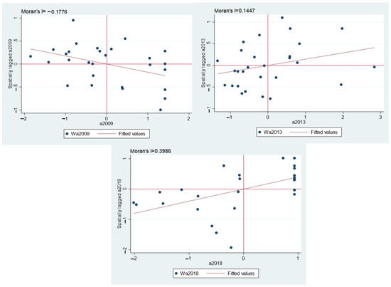
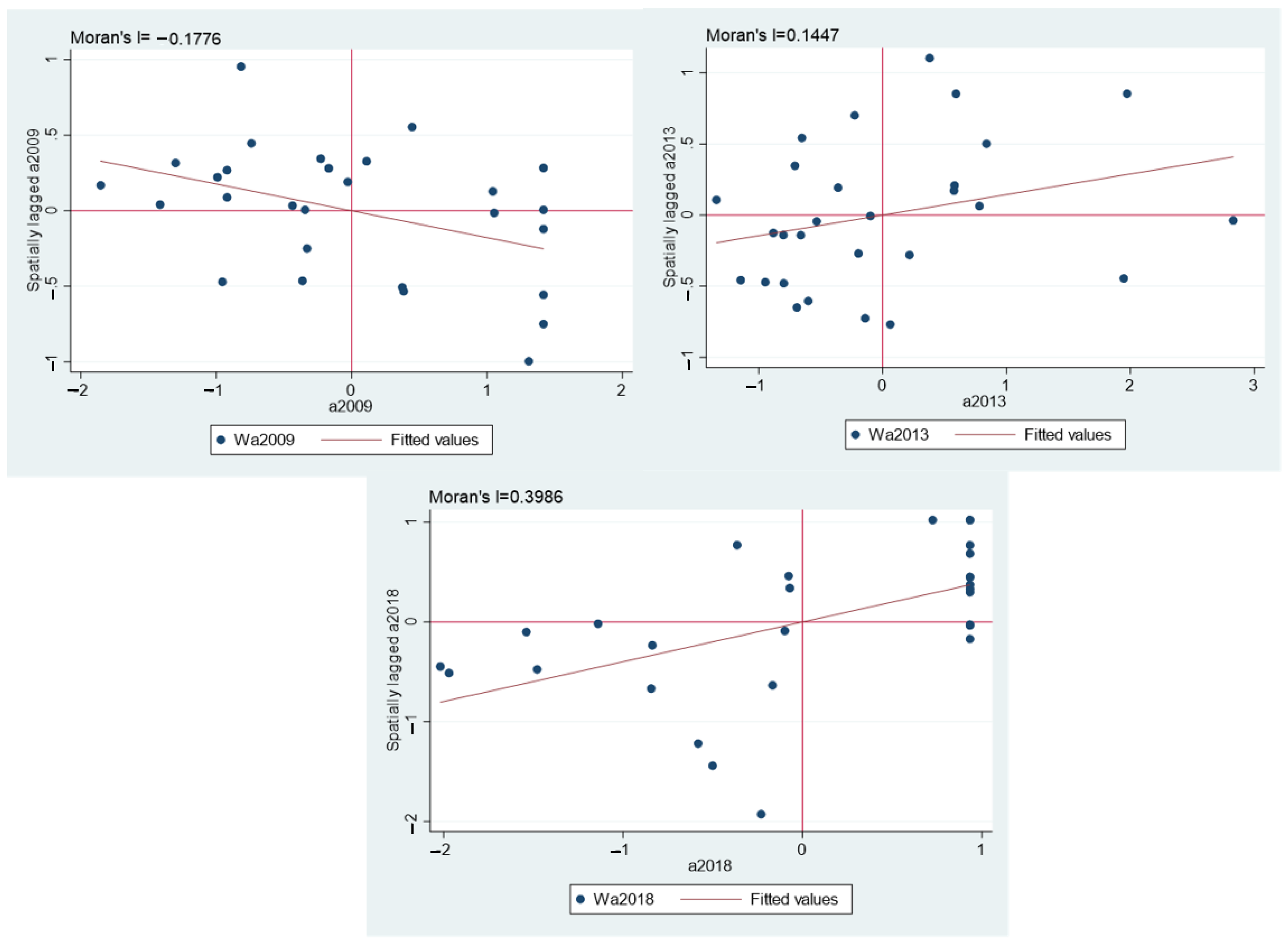
4.3.1. Spatial Correlation Analysis of the Atmospheric Environment in the “2+26” Cities
4.3.2. Spatial Evolution in the “2+26” Cities
5. Discussion
6. Conclusions
6.1. Results and Policy Implications
6.2. Limitations and Future Research
Author Contributions
Funding
Institutional Review Board Statement
Informed Consent Statement
Data Availability Statement
Conflicts of Interest
References
- Sulaiman, C.; Zubair, A.O.; Abdul-Rahim, A.S. Curbing environmental degradation through energy transition in ASEAN-9: Does the interactive role of political will matter? OPEC Energy Rev. 2022, 46, 492–501. [Google Scholar] [CrossRef]
- Lubsanova, N.B.; Maksanova, L.B.Z.; Eremko, Z.S.; Bardakhanova, T.B.; Mikheeva, A.S. The Eco-Efficiency of Russian Regions in North Asia: Their Green Direction of Regional Development. Sustainability 2022, 14, 12776. [Google Scholar] [CrossRef]
- Guo, B.; Liu, Y.F.; Fan, J.F.; Lu, M.; Zang, W.Q.; Liu, C.; Wang, B.Y.; Huang, X.Z.; Lai, J.B.; Wu, H.W. The salinization process and its response to the combined processes of climate change-human activity in the Yellow River Delta between 1984 and 2022. Catena 2023, 231, 107301. [Google Scholar] [CrossRef]
- Alsaleh, M.; Zubair, A.O.; Abdul-Rahim, A.-S. Productivity growth and its determinants of the bioenergy industry in the EU28 region: Empirical evidence using Malmquist productivity index. Bus. Strategy Dev. 2020, 3, 531–542. [Google Scholar] [CrossRef]
- Report on the State of the Ecology and Environment in China 2018. 2018. Available online: https://www.mee.gov.cn/hjzl/sthjzk/zghjzkgb/201905/P020190619587632630618.pdf (accessed on 29 May 2019).
- Fukuyama, H.; Hashimoto, A.; Weber, W.L. Environmental efficiency, energy efficiency and aggregate well-being of Japanese prefectures. J. Clean. Prod. 2020, 271, 122810. [Google Scholar] [CrossRef]
- Tovar, B.; Wall, A. Environmental efficiency for a cross-section of Spanish port authorities. Transport. Res. Part D-Transport. Environ. 2019, 75, 170–178. [Google Scholar] [CrossRef]
- Lu, C.C.; Chiu, Y.H.; Lin, I.F.; Lin, T.Y. Dynamic total factors’ environmental efficiency in European union countries. Environ. Dev. Sustain. 2022, 25, 10055–10072. [Google Scholar] [CrossRef]
- Tothmihaly, A.; Ingram, V.; Cramon-Taubadel, S.V. How can the environmental efficiency of Indonesian cocoa farms be increased? Ecol. Econ. 2019, 158, 134–145. [Google Scholar] [CrossRef]
- Bibi, Z.; Khan, D.; ul Haq, I. Technical and environmental efficiency of agriculture sector in South Asia: A stochastic frontier analysis approach. Environ. Dev. Sustain. 2021, 23, 9260–9279. [Google Scholar] [CrossRef]
- Lee, P. Ranking Decision Making for Eco-Efficiency Using Operational, Energy, and Environmental Efficiency. Sustainability 2022, 14, 3489. [Google Scholar] [CrossRef]
- Halkos, G.E.; Tzeremes, N.G. A conditional directional distance function approach for measuring regional environmental efficiency: Evidence from UK regions. Eur. J. Oper. Res. 2013, 227, 182–189. [Google Scholar] [CrossRef]
- Henry, A.A.; John, D.; George, H.; Trevor, D.; Myles, P. Modelling regional environmental efficiency differentials of dairy farms on the island of Ireland. Ecol. Indic. 2018, 95, 851–861. [Google Scholar] [CrossRef]
- Dirik, C.; Sahin, S.; Engin, P. Environmental efficiency evaluation of Turkish cement industry: An application of data envelopment analysis. Energy Effic. 2019, 12, 2079–2098. [Google Scholar] [CrossRef]
- Galeana-Piza, A.J.M.; Couturier, S.; Monsivais-Huertero, A. Assessing food security and environmental protection in Mexico with a GIS-based Food Environmental Efficiency index. Land Use Pol. 2018, 76, 442–454. [Google Scholar] [CrossRef]
- Bian, Y.; Yang, F. Resource and environment efficiency analysis of provinces in China: A DEA approach based on Shannon’s entropy. Energy Policy 2010, 38, 1909–1917. [Google Scholar] [CrossRef]
- Coluccia, B.; Valente, D.; Fusco, G.; Leo, F.D.; Porrini, D. Assessing agricultural eco-efficiency in Italian Regions. Ecol. Indic. 2020, 116, 106483. [Google Scholar] [CrossRef]
- Ding, X.; Fu, Z.; Jia, H. Study on Urbanization Level, Urban Primacy and Industrial Water Utilization Efficiency in the Yangtze River Economic Belt. Sustainability 2019, 11, 6571. [Google Scholar] [CrossRef]
- Cai, W.; Ye, A. Research on the Interaction between Industrial Atmospheric Environmental Efficiency, Factor Flow, and Economic Output. Soft Sci. 2019, 33, 6. [Google Scholar]
- Lv, X.J.; Deng, Q.W. Analysis of spatiotemporal differentiation and influencing factors of atmospheric environmental efficiency in Shandong Province: Based on the super efficiency SBM model and GML index. Ecol. Econ. 2020, 36, 7. [Google Scholar]
- Wang, K.L.; Liu, Y.; Yang, B.C. Regional Differences, Dynamic Trends and Influencing Mechanism of Beijing-Tianjin-Hebei Urban Agglomeration’s Air Environmental Efficiency. Areal Res. Dev. 2019, 38, 135–140. [Google Scholar] [CrossRef]
- Li, H.; Zhu, X.; Chen, J.; Jiang, F. Environmental regulations, environmental governance efficiency and the green transformation of China’s iron and steel enterprises. Ecol. Econ. 2019, 165, 106397. [Google Scholar] [CrossRef]
- Shao, L.; Yu, X.; Feng, C. Evaluating the eco-efficiency of China’s industrial sectors: A two-stage network data envelopment analysis. J. Environ. Manag. 2019, 247, 551–560. [Google Scholar] [CrossRef] [PubMed]
- Wu, J.; Li, M.; Zhu, Q.; Zhou, Z.; Liang, L. Energy and environmental efficiency measurement of China’s industrial sectors: A DEA model with non-homogeneous inputs and outputs. Energy Econ. 2019, 78, 468–480. [Google Scholar] [CrossRef]
- Meng, F.; Su, B.; Thomson, E.; Zhou, D.; Zhou, P. Measuring China’s regional energy and carbon emission efficiency with DEA models: A survey. Appl. Energy 2016, 183, 1–21. [Google Scholar] [CrossRef]
- Ruggiero, J. Efficiency estimation and error decomposition in the stochastic frontier model: A Monte Carlo analysis. Eur. J. Oper. Res. 1999, 115, 555–563. [Google Scholar] [CrossRef]
- Shen, X.B.; Lin, B.Q. Total Factor Energy Efficiency of China’s Industrial Sector: A Stochastic Frontier Analysis. Sustainability 2017, 9, 646. [Google Scholar] [CrossRef]
- Bai, X.G.; Salim, R.; Bloch, H. Environmental Efficiency of Apple Production in China: A Translog Stochastic Frontier Analysis. Agric. Resour. Econ. Rev. 2019, 48, 199–220. [Google Scholar] [CrossRef]
- Li, S.; Fan, C. Evaluation and Comparison of Stochastic Frontier Analysis and Data envelopment analysis. Stat. Decis. 2009, 2009, 25–28. [Google Scholar]
- Olesen, O.B.; Petersen, N.C. Stochastic Data Envelopment Analysis—A review. Eur. J. Oper. Res. 2015, 251, 2–21. [Google Scholar] [CrossRef]
- Liu, J.S.; Lu, L.; Lu, W.M.; Lin, B. A survey of DEA applications. Omega 2013, 41, 893–902. [Google Scholar] [CrossRef]
- Silva, T.C.; Tabak, B.M.; Cajueiro, D.O.; Dias, M. A comparison of DEA and SFA using micro- and macro-level perspectives: Efficiency of Chinese local banks. Phys. A 2016, 469, 216–223. [Google Scholar] [CrossRef]
- Deng, X.Z.; Gibson, J. Improving eco-efficiency for the sustainable agricultural production: A case study in Shandong, China. Technol. Forecast. Soc. Chang. 2019, 144, 394–400. [Google Scholar] [CrossRef]
- Bogetoft, P.; Hougaard, J. Efficiency Evaluations Based on Potential (Non-Proportional) Improvements. J. Prod. Anal. 1999, 12, 233–247. [Google Scholar] [CrossRef]
- Ke, W.; Wei, Y.M.; Xian, Z. Energy and emissions efficiency patterns of Chinese regions: A multi-directional efficiency analysis. Appl. Energy 2013, 104, 105–116. [Google Scholar] [CrossRef]
- Kapelko, M.; Lansink, A.O. Dynamic multi-directional inefficiency analysis of European dairy manufacturing firms. Eur. J. Oper. Res. 2017, 257, 338–344. [Google Scholar] [CrossRef]
- Asmild, M.; Balezentis, T.; Hougaard, J.L. Multi-directional program efficiency: The case of Lithuanian family farms. J. Prod. Anal. 2016, 45, 23–33. [Google Scholar] [CrossRef]
- Holvad, T.; Hougaard, J.; Kronborg, D.; Kvist, H. Measuring inefficiency in the Norwegian bus industry using multi-directional efficiency analysis. Transportation 2004, 31, 349–369. [Google Scholar] [CrossRef]
- Asmild, M. Multi-directional efficiency analysis of efficiency patterns in Chinese banks 1997–2008. Eur. J. Oper. Res. 2012, 219, 434–441. [Google Scholar] [CrossRef]
- Asmild, M.; Hougaard, J.L.; Kronborg, D.; Kvist, H.K. Measuring inefficiency via potential improvements. J. Prod. Anal. 2003, 19, 59–76. [Google Scholar] [CrossRef]
- Zhu, L.; Wang, Y.; Shang, P.; Qi, L.; Yang, G.; Wang, Y. Improvement path, the improvement potential and the dynamic evolution of regional energy efficiency in China: Based on an improved nonradial multidirectional efficiency analysis. Energy Policy 2019, 133, 110883. [Google Scholar] [CrossRef]
- Tone, K. A slacks-based measure of efficiency in data envelopment analysis. Eur. J. Oper. Res. 2001, 130, 498–509. [Google Scholar] [CrossRef]
- Tziogkidis, P.; Philippas, D.; Tsionas, M. Multidirectional conditional convergence in European banking. J. Econ. Behav. Organ. 2020, 173, 88–106. [Google Scholar] [CrossRef]
- Asmild, M.; Balezentis, T.; Hougaard, J.L. Multi-directional productivity change: MEA-Malmquist. J. Prod. Anal. 2016, 46, 109–119. [Google Scholar] [CrossRef]
- Pastor, J.T.; Lovell, C.A.K. A global Malmquist productivity index. Econ. Lett. 2005, 88, 266–271. [Google Scholar] [CrossRef]
- Feng, D.; Li, J.; Li, X.; Zhang, Z. The Effects of Urban Sprawl and Industrial Agglomeration on Environmental Efficiency: Evidence from the Beijing–Tianjin–Hebei Urban Agglomeration. Sustainability 2019, 11, 3042. [Google Scholar] [CrossRef]
- Wang, K.L.; Meng, X.R.; Yang, B.C.; Cheng, Y.H. Regional differences and influencing factors of China’s air pollution emission efficiency considering technological heterogeneity. China Popul. Resour. Environ. 2017, 27, 101–110. [Google Scholar]
- Wang, K.L.; Meng, X.R.; Yang, B.C.; Cheng, Y.H. Study on the Atmospheric Environmental Performance of China’s Regional Economic Development. J. Quant. Tech. Econ. 2016, 33, 59–76. [Google Scholar] [CrossRef]
- Wang, J.Y.; Wang, S.J.; Li, S.J.; Feng, K.S. Coupling analysis of urbanization and energy-environment efficiency: Evidence from Guangdong province. Appl. Energy 2019, 254, 12. [Google Scholar] [CrossRef]
- Li, H.W.; Pang, S.; Cao, Y.C.; Gao, J.H. Research on the evaluation of comprehensive efficiency of technological innovation and eco-environment in China. J. Clean. Prod. 2021, 283, 9. [Google Scholar] [CrossRef]
- Zhang, J.; Wu, G.Y.; Zhang, J.P. The Estimation of China’s provincial capital stock: 1952–2000. Econ. Res. J. 2004, 10, 35–44. [Google Scholar]
- Department of Urban Surveys. China City Statistical Yearbook 2010; China Statistics Press: Beijing, China, 2010; pp. 33–329.
- Department of Urban Surveys. China City Statistical Yearbook 2011; China Statistics Press: Beijing, China, 2011; pp. 33–329.
- Department of Urban Surveys. China City Statistical Yearbook 2012; China Statistics Press: Beijing, China, 2012; pp. 33–329.
- Department of Urban Surveys. China City Statistical Yearbook 2013; China Statistics Press: Beijing, China, 2013; pp. 33–329.
- Department of Urban Surveys. China City Statistical Yearbook 2014; China Statistics Press: Beijing, China, 2014; pp. 33–329.
- Department of Urban Surveys. China City Statistical Yearbook 2015; China Statistics Press: Beijing, China, 2015; pp. 33–329.
- Department of Urban Surveys. China City Statistical Yearbook 2016; China Statistics Press: Beijing, China, 2016; pp. 33–329.
- Department of Urban Surveys. China City Statistical Yearbook 2017; China Statistics Press: Beijing, China, 2017; pp. 33–329.
- Department of Urban Surveys. China City Statistical Yearbook 2018; China Statistics Press: Beijing, China, 2018; pp. 33–329.
- Department of Urban Surveys. China City Statistical Yearbook 2019; China Statistics Press: Beijing, China, 2019; pp. 33–329.
- Shan, Y.L.; Guan, Y.R.; Hang, Y.; Zheng, H.R.; Li, Y.X.; Guan, D.B.; Li, J.S.; Zhou, Y.; Li, L.; Hubacek, K. City-level emission peak and drivers in China. Sci. Bull. 2022, 67, 1910–1920. [Google Scholar] [CrossRef] [PubMed]
- Air Pollution Prevention and Control Action Plan 2013. Available online: https://www.gov.cn/zwgk/2013-09/12/content_2486773.htm (accessed on 10 September 2019).
- 12th Five-Year Plan on Air Pollution Prevention and Control in Key Regions 2012. Available online: https://www.mee.gov.cn/gkml/hbb/bwj/201212/W020121205566730379412.pdf (accessed on 29 October 2012).
- Wang, K.L.; Liu, L.; Meng, X.R.; Yang, B.C. China’s Provincial Air Environmental Efficiency Measurement. Stat. Decis. 2017, 97–101. [Google Scholar] [CrossRef]
- Chen, G.Y.; Zheng, S.H.; Zhang, A.G.; Wan, B.C. Study on Air Environmental Efficiency of Beijing–Tianjin–Hebei Urban Agglomeration. Resour. Dev. Mark. 2019, 35, 50–56. [Google Scholar] [CrossRef]









| Variables | Unit | Average | Std. Dev. | Maximum | Minimum |
|---|---|---|---|---|---|
| Total energy consumption | 105 tons of standard coal | 2798.40 | 5270.61 | 11,097.00 | 555.77 |
| Capital stock | 108 CNY | 10,763.98 | 11,232.88 | 70,457.25 | 995.66 |
| Labor force | 104 persons | 417.69 | 401.60 | 819.30 | 16.08 |
| GDP | 108 CNY | 3282.93 | 3834.00 | 22,875.13 | 348.71 |
| SO2 emissions | 104 tons | 7.61 | 5.99 | 33.19 | 0.09 |
| Smoke (dust) emissions | 104 tons | 5.34 | 7.76 | 53.61 | 0.08 |
| CO2 emissions | 106 tons | 51.61 | 28.78 | 159.81 | 9.36 |
| City | 2009 | 2010 | 2011 | 2012 | 2013 | 2014 | 2015 | 2016 | 2017 | 2018 | Mean Value | Rank |
|---|---|---|---|---|---|---|---|---|---|---|---|---|
| Beijing | 0.940 | 1.000 | 1.000 | 0.964 | 0.687 | 0.671 | 0.728 | 0.974 | 1.000 | 1.000 | 0.896 | 3 |
| Tianjin | 0.785 | 0.803 | 0.787 | 0.804 | 0.788 | 0.724 | 0.841 | 1.000 | 1.000 | 1.000 | 0.853 | 5 |
| Shijiazhuang | 0.463 | 0.637 | 0.659 | 0.625 | 0.634 | 0.634 | 0.584 | 0.593 | 0.619 | 0.603 | 0.605 | 23 |
| Tangshan | 0.739 | 0.835 | 1.000 | 0.858 | 0.909 | 0.921 | 1.000 | 0.839 | 1.000 | 1.000 | 0.910 | 1 |
| Handan | 0.554 | 0.556 | 0.924 | 0.711 | 0.627 | 0.663 | 0.515 | 0.532 | 0.469 | 0.447 | 0.600 | 24 |
| Xingtai | 0.713 | 0.547 | 0.737 | 0.527 | 0.555 | 0.671 | 0.629 | 0.589 | 0.617 | 0.604 | 0.619 | 22 |
| Baoding | 0.696 | 0.691 | 0.684 | 0.670 | 0.677 | 0.730 | 0.692 | 0.746 | 0.759 | 0.774 | 0.712 | 17 |
| Cangzhou | 0.763 | 0.780 | 0.699 | 0.763 | 0.781 | 0.649 | 0.754 | 0.877 | 1.000 | 1.000 | 0.807 | 9 |
| Langfang | 0.730 | 0.726 | 0.596 | 0.571 | 0.622 | 0.774 | 0.731 | 0.744 | 0.684 | 1.000 | 0.718 | 16 |
| Hengshui | 0.829 | 0.809 | 0.735 | 0.579 | 0.612 | 0.782 | 0.734 | 0.747 | 1.000 | 0.769 | 0.759 | 13 |
| Taiyuan | 0.841 | 0.619 | 0.560 | 0.613 | 0.604 | 0.605 | 0.602 | 0.679 | 0.719 | 0.740 | 0.658 | 19 |
| Yangquan | 0.830 | 0.826 | 0.839 | 0.829 | 0.683 | 0.662 | 0.600 | 0.583 | 0.387 | 0.340 | 0.658 | 20 |
| Changzhi | 1.000 | 0.887 | 1.000 | 0.987 | 0.704 | 0.852 | 0.823 | 0.640 | 0.649 | 0.679 | 0.822 | 7 |
| Jincheng | 1.000 | 0.586 | 0.649 | 0.652 | 0.576 | 0.604 | 0.429 | 0.543 | 0.338 | 0.351 | 0.573 | 28 |
| Jinan | 0.633 | 0.688 | 0.685 | 0.662 | 0.674 | 0.722 | 0.717 | 0.760 | 0.846 | 1.000 | 0.739 | 14 |
| Zibo | 1.000 | 1.000 | 1.000 | 0.890 | 0.660 | 0.612 | 0.579 | 0.691 | 0.769 | 1.000 | 0.820 | 8 |
| Jining | 0.982 | 0.888 | 0.829 | 0.773 | 0.738 | 0.648 | 0.636 | 0.729 | 0.838 | 0.954 | 0.802 | 10 |
| Dezhou | 0.646 | 0.771 | 0.828 | 0.827 | 0.759 | 0.636 | 0.687 | 0.683 | 0.739 | 0.775 | 0.735 | 15 |
| Liaocheng | 1.000 | 1.000 | 0.899 | 0.837 | 0.906 | 0.831 | 0.747 | 0.800 | 0.816 | 1.000 | 0.884 | 4 |
| Binzhou | 0.939 | 0.907 | 0.832 | 0.783 | 0.760 | 0.673 | 0.654 | 0.816 | 0.662 | 0.710 | 0.773 | 11 |
| Heze | 0.616 | 0.692 | 0.936 | 1.000 | 1.000 | 1.000 | 0.952 | 0.983 | 0.819 | 1.000 | 0.900 | 2 |
| Zhengzhou | 0.711 | 0.743 | 0.730 | 0.723 | 0.721 | 0.672 | 0.684 | 0.787 | 0.858 | 1.000 | 0.763 | 12 |
| Kaifeng | 1.000 | 0.948 | 0.908 | 0.887 | 0.761 | 0.709 | 0.733 | 0.703 | 0.794 | 1.000 | 0.844 | 6 |
| Anyang | 0.708 | 0.638 | 0.646 | 0.611 | 0.613 | 0.636 | 0.635 | 0.405 | 0.420 | 0.460 | 0.577 | 27 |
| Hebi | 0.610 | 0.676 | 0.623 | 0.631 | 0.624 | 0.617 | 0.618 | 0.422 | 0.445 | 0.661 | 0.593 | 25 |
| Xinxiang | 0.616 | 0.631 | 0.652 | 0.670 | 0.641 | 0.630 | 0.648 | 0.681 | 0.730 | 0.536 | 0.643 | 21 |
| Jiaozuo | 0.605 | 0.641 | 0.615 | 0.620 | 0.597 | 0.482 | 0.459 | 0.471 | 0.564 | 0.754 | 0.581 | 26 |
| Puyang | 0.535 | 0.544 | 0.657 | 0.676 | 0.628 | 0.651 | 0.667 | 0.759 | 0.808 | 1.000 | 0.693 | 18 |
| Mean value | 0.767 | 0.752 | 0.775 | 0.741 | 0.698 | 0.695 | 0.681 | 0.706 | 0.727 | 0.791 | 0.733 | — |
| Year | Energy | SO2 Emissions | Smoke (Dust) Emissions | CO2 Emissions |
|---|---|---|---|---|
| 2009 | 18.41% | 18.44% | 35.60% | 31.45% |
| 2010 | 15.38% | 19.73% | 44.19% | 35.74% |
| 2011 | 8.50% | 26.68% | 38.21% | 31.69% |
| 2012 | 3.64% | 37.32% | 51.73% | 34.03% |
| 2013 | 4.56% | 48.44% | 55.78% | 35.86% |
| 2014 | 7.17% | 57.06% | 50.81% | 35.42% |
| 2015 | 7.20% | 56.48% | 57.33% | 33.60% |
| 2016 | 9.46% | 45.42% | 42.31% | 34.32% |
| 2017 | 13.97% | 36.47% | 32.30% | 31.88% |
| 2018 | 15.20% | 24.89% | 19.89% | 24.71% |
| Number | Region | GM | EC | TC | Trend |
|---|---|---|---|---|---|
| 1 | Beijing | 1.007 | 1.000 | 1.007 | ![]() |
| 2 | Tianjin | 1.027 | 1.000 | 1.027 | ![]() |
| 3 | Shijiazhuang | 1.030 | 0.986 | 1.044 | ![]() |
| 4 | Tangshan | 1.034 | 1.000 | 1.034 | ![]() |
| 5 | Handan | 0.976 | 0.952 | 1.025 | ![]() |
| 6 | Xingtai | 0.982 | 1.000 | 0.982 | ![]() |
| 7 | Baoding | 1.012 | 0.995 | 1.017 | ![]() |
| 8 | Cangzhou | 1.031 | 1.000 | 1.031 | ![]() |
| 9 | Langfang | 1.036 | 1.000 | 1.036 | ![]() |
| 10 | Hengshui | 0.992 | 0.984 | 1.007 | ![]() |
| 11 | Taiyuan | 0.986 | 0.988 | 0.998 | ![]() |
| 12 | Yangquan | 0.905 | 1.000 | 0.905 | ![]() |
| 13 | Changzhi | 0.958 | 0.982 | 0.976 | ![]() |
| 14 | Jincheng | 0.890 | 0.915 | 0.973 | ![]() |
| 15 | Jinan | 1.052 | 1.000 | 1.052 | ![]() |
| 16 | Zibo | 0.999 | 1.000 | 0.999 | ![]() |
| 17 | Jining | 0.997 | 0.997 | 1.000 | ![]() |
| 18 | Dezhou | 1.021 | 0.982 | 1.040 | ![]() |
| 19 | Liaocheng | 1.005 | 1.000 | 1.005 | ![]() |
| 20 | Binzhou | 0.969 | 0.980 | 0.989 | ![]() |
| 21 | Heze | 1.055 | 1.000 | 1.055 | ![]() |
| 22 | Zhengzhou | 1.039 | 1.000 | 1.039 | ![]() |
| 23 | Kaifeng | 1.006 | 1.000 | 1.006 | ![]() |
| 24 | Anyang | 0.953 | 0.993 | 0.960 | ![]() |
| 25 | Hebi | 1.009 | 0.963 | 1.048 | ![]() |
| 26 | Xinxiang | 0.985 | 1.006 | 0.979 | ![]() |
| 27 | Jiaozuo | 1.025 | 0.981 | 1.044 | ![]() |
| 28 | Puyang | 1.072 | 1.000 | 1.072 | ![]() |
| 29 | Mean Value | 1.001 | 0.989 | 1.012 | ![]() |
| Year | Global Moran’s I | p-Value | Year | Global Moran’s I | p-Value |
|---|---|---|---|---|---|
| 2009 | −0.178 | 0.155 | 2014 | −0.005 | 0.404 |
| 2010 | −0.072 | 0.400 | 2015 | 0.240 | 0.019 |
| 2011 | −0.041 | 0.489 | 2016 | 0.443 | 0.000 |
| 2012 | −0.033 | 0.489 | 2017 | 0.357 | 0.002 |
| 2013 | 0.145 | 0.085 | 2018 | 0.399 | 0.001 |
| Agglomeration Feature | 2009 | 2013 | 2018 |
|---|---|---|---|
| H–H (first quadrant) | Tianjin, Taiyuan, Binzhou, Zibo, Jincheng | Jining, Kaifeng, Tianjin, Tangshan, Binzhou, Dezhou, Cangzhou | Jining, Beijing, Langfang, Cangzhou, Tianjin, Tangshan, Jinan, Zibo, Heze, Zhengzhou, Kaifeng |
| L–H (second quadrant) | Shijiazhuang, Puyang, Handan, Jinan, Dezhou, Heze, Jiaozuo, Xinxiang, Baoding, Cangzhou, Langfang, Tangshan, Zhengzhou | Jinan, Zibo, Puyang, Langfang, Xingtai | Binzhou, Baoding, Dezhou |
| L–L (third quadrant) | Hebi, Xingtai, Anyang | Beijing, Xinxiang, Taiyuan, Handan, Baoding, Yangquan, Jincheng, Jiaozuo, Anyang, Hebi, Shijiazhuang, Hengshui | Yangquan, Jincheng, Handan, Anyang, Xinxiang, Xingtai, Hengshui, Jiaozuo, Shijiazhuang, Hebi, Changzhi, Taiyuan |
| H–L (fourth quadrant) | Heng shui, Yangquan, Beijing, Kaifeng, Liaocheng, Jining, Changzhi | Changzhi, Zhengzhou, Liaocheng, Heze | Puyang, Liaocheng |
Disclaimer/Publisher’s Note: The statements, opinions and data contained in all publications are solely those of the individual author(s) and contributor(s) and not of MDPI and/or the editor(s). MDPI and/or the editor(s) disclaim responsibility for any injury to people or property resulting from any ideas, methods, instructions or products referred to in the content. |
© 2024 by the authors. Licensee MDPI, Basel, Switzerland. This article is an open access article distributed under the terms and conditions of the Creative Commons Attribution (CC BY) license (https://creativecommons.org/licenses/by/4.0/).
Share and Cite
Jiang, Y.; Wang, X. Evaluation, Driving Mechanism and Spatial Correlation Analysis of Atmospheric Environmental Efficiency in the “2+26” Cities Based on the Nonradial MEA Model. Sustainability 2024, 16, 604. https://doi.org/10.3390/su16020604
Jiang Y, Wang X. Evaluation, Driving Mechanism and Spatial Correlation Analysis of Atmospheric Environmental Efficiency in the “2+26” Cities Based on the Nonradial MEA Model. Sustainability. 2024; 16(2):604. https://doi.org/10.3390/su16020604
Chicago/Turabian StyleJiang, Yiru, and Xinjun Wang. 2024. "Evaluation, Driving Mechanism and Spatial Correlation Analysis of Atmospheric Environmental Efficiency in the “2+26” Cities Based on the Nonradial MEA Model" Sustainability 16, no. 2: 604. https://doi.org/10.3390/su16020604
APA StyleJiang, Y., & Wang, X. (2024). Evaluation, Driving Mechanism and Spatial Correlation Analysis of Atmospheric Environmental Efficiency in the “2+26” Cities Based on the Nonradial MEA Model. Sustainability, 16(2), 604. https://doi.org/10.3390/su16020604


