The Analysis of Mutual Relations and Dependencies of Intellectual Capital Components in Polish Enterprises in the Context of Sustainability Goals
Abstract
1. Introduction
2. Literature Review
2.1. Intellectual Capital and Its Components
2.2. Human Capital
2.3. Structural Capital
2.4. Relational Capital
2.5. Research Questions and Hypotheses
3. Materials and Methods
- Which IC components are the most important for the studied group of enterprises?
- Does the specificity of enterprises’ activities influence the specificity of activities undertaken within the IC framework?
- Which IC components have the highest number of correlations? Are they of great importance in their area?
- Are the IC components correlated with their area and/or with other areas?
- (HC1) Knowledge;
- (HC2) Personal and social skills and interpersonal relations;
- (HC3) Health;
- (HC4) Competence;
- (HC5) Experience;
- (HC6) Level of motivation;
- (HC7) Commitment and values;
- (HC8) Moral and biological depreciation;
- (HC9) Innovation and creativity;
- (HC10) Psychological characteristics.
- (SC1) Quality and reach of information systems;
- (SC2) Company reputation;
- (SC3) Level of computerisation;
- (SC4) Organisational concept;
- (SC5) Ability to acquire, disseminate, and develop knowledge;
- (SC6) Intellectual property rights;
- (SC7) Databases and documentation;
- (SC8) Procedures;
- (SC9) Administrative processes;
- (SC10) Management methods and styles.
- (RC1) External communication systems;
- (RC2) Strength of a company’s brand or its products;
- (RC3) Relationships with major customers;
- (RC4) Customer loyalty;
- (RC5) Efficiency of distribution channels;
- (RC6) Social capital;
- (RC7) Norms of cooperation;
- (RC8) Trust;
- (RC9) Consumer satisfaction;
- (RC10) Stakeholder relations.
- Small enterprise (up to 50 employees and annual turnover of up to EUR 10 million);
- Medium enterprise (up to 250 employees and annual turnover of up to EUR 43 million);
- Large enterprise (over 250 employees and annual turnover over EUR 43 million).
4. Results
4.1. Analysis of the Impact of the Size and Specificity of Enterprises’ Activities on the Scope of Activities They Undertake within the IC Framework
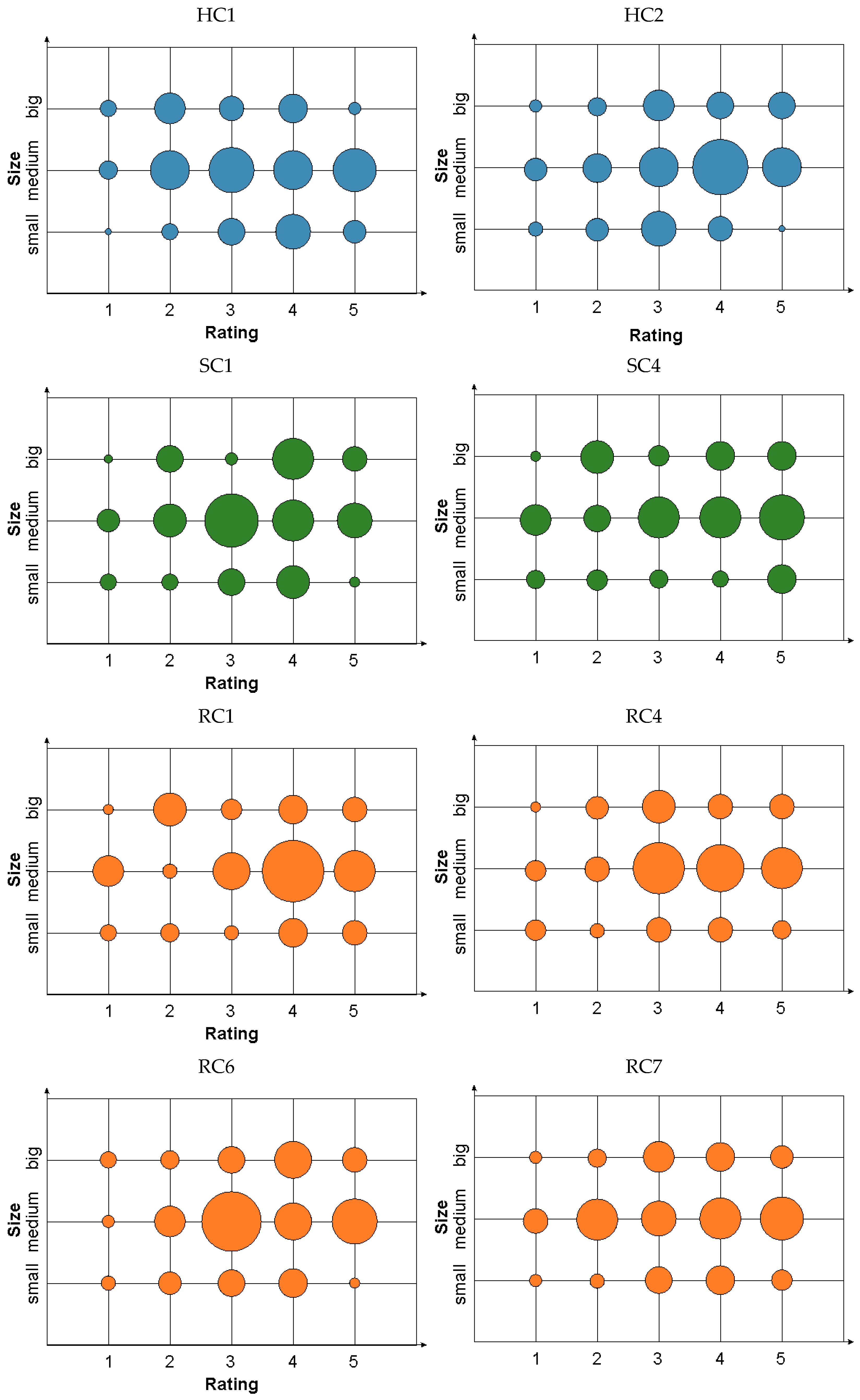
- The obtained test results were subjected to statistical analysis, determining average values for individual tested elements (Figure 1 and Figure 2; Appendix A: Table A2);
- A one-way analysis of variance (ANOVA) test was used to examine the differences in the size of enterprises and the specificity of their activities;
- In the group of large enterprises, statistically significant higher results were found for the following elements: HC3—health; HC4—competence; SC9—administrative processes, compared with medium-sized enterprises; HC6—level of motivation; SC1—quality and reach of information systems; SC4—organisational concept; SC9—administrative processes; and RC5—efficiency of distribution channels, compared with small enterprises;
- For medium-sized enterprises, statistically significant higher average values were found for the following elements: SC7—databases and documentation, compared with large enterprises; SC6—intellectual property rights; SC7—databases and documentation; RC6—social capital; RC7—norms of cooperation; and RC10—stakeholder relations, in relation to small enterprises;
- For small enterprises, statistically significant higher values were obtained only in one case: element HC4—competence, in relation to medium-sized enterprises.
4.2. The Analysis of the Impact of Human Capital Components on the Specificity of Enterprise Activities within IC
4.2.1. The Analysis of Correlation of the Entire Study Population
- (HC1) Knowledge with (SC2) company reputation (0.50) and (SC4) organisational concept (0.51),
- (HC6) Level of motivation with (SC2) company reputation (0.54),
- (SC2) Company reputation with (SC4) organisational concept (0.54).
- (HC3) Concern for employee health (strongest with (SC2) company reputation—0.51);
- (HC10) Including aspects related to the correct combination of employees in terms of psychological characteristics in the strategy (strongest correlations were determined with (HC1) knowledge—0.42; and (SC2) company reputation—0.43);
- (RC5) Measures to ensure the efficiency of distribution channels (particularly strong correlations with (HC1) knowledge—0.52; and (SC4) organisational concept—0.51).
- (HC6) Level of motivation with (SC2) company reputation correlation at an index value of 0.54 and at the same time with a (RC7) norms of cooperation at a value of 0.2 (especially in the latter case, the results are surprising and indicate the existence of a certain contradiction, because the level of motivation largely depends on the norms of cooperation and the general atmosphere in the company);
- (HC8) Moral and biological depreciation with (RC3) relations with major customers—0.51; and at the same time, correlation index values of 0.2–0.22 with (HC5) experience (a low correlation between biological depreciation and experience may indicate that companies use a personnel strategy based on the sieve method, although confirmation of this thesis would require additional research; in general, it seems that the relationship between these elements should be more clear);
- (RC5) The efficiency of distribution channels correlation at an index value of more than 0.5 with criteria such as (HC1) knowledge or (SC4) organisational concept; and, at the same time, correlation index values of below 0.25 for: (HC4) competencies and (SC10) management methods and styles (high values of correlation indicators with knowledge and organisational concept are quite obvious; these elements significantly affect the quality and efficiency of distribution systems);
- (RC7) Norms of cooperation had the highest correlation value for relations with (RC4) customer loyalty at 0.49 and, at the same time, very low index values for (HC10) psychological characteristics—0.175; (HC4) competencies—0.25; and (HC6) level of motivation—0.22.
4.2.2. The Analysis of Correlation in a Group of Manufacturing Enterprises
- (SC3) Level of computerisation with (RC4) customer loyalty (0.58);
- (SC4) Organisational concept with (RC3) relations with major customers (0.58);
- (SC2) Company reputation with (RC4) customer loyalty (0.57);
- (SC6) Intellectual property rights with (RC5) the efficiency of distribution channels (0.57).
4.2.3. The Analysis of Correlation in a Group of Service Enterprises
- (HC6) Motivation level and (SC4) organisational concept (0.68), (HC2) personal and social skills and interpersonal relations (0.67), (SC2) company reputation (0.65), and (RC6) social capital (0.65);
- (RC5) Efficiency of distribution channels with (RC8) trust (0.67);
- (SC2) Company reputation with (SC4) organisational concept (0.65).
5. Discussion
- Firstly, aspects related to knowledge and the dissemination of knowledge (high mean ratings for these factors). This clearly indicates a high level of awareness among managers in the area of modern management. Knowledge—which is an intangible resource—at the same time currently constitutes the primary determinant of success in most industries [21,24]. Gaining knowledge, either by acquiring it from the environment or producing it independently, has an impact on the way in which resources are allocated, the type of used resources, and the type and quality of built market advantages, thus significantly determining a company’s market success. At the same time, it is crucial in this aspect that knowledge is properly distributed within the company, that it is archived, and that it is as independent as possible from the functioning of specific people in the enterprise (which is not entirely possible due to the existence of expert knowledge closely linked to the professional experience of specific individuals);
- The second area of focus for the studied enterprises is related to their organisational arrangements. Research by other authors confirms that there are certain relationships between the organisational concept, IC, and operational efficiency of enterprises [17]. The obtained results confirm these relationships and at the same time expand and specify this aspect by including the impact of the organisational concept on improving the knowledge exchange process;
- The third area of the studied enterprises’ increased focus relates to building, maintaining, and developing relationships with customers and those from their general surroundings. According to research by other authors, IC management has a significant impact on creating and improving products [46], acquiring new customers, and building brand loyalty [47]. The conducted research allowed us to demonstrate that beyond the elements identified by other authors, companies strongly emphasise the significance of developing appropriate cooperation norms, building social capital, and establishing efficient external communication systems. These measures—combined with a proper market offer—are expected to increase customer loyalty and reduce their susceptibility to competitors.
6. Conclusions
Author Contributions
Funding
Institutional Review Board Statement
Informed Consent Statement
Data Availability Statement
Conflicts of Interest
Appendix A
| Elements | Characteristics |
|---|---|
| (HC1) knowledge | Knowledge is the totality of knowledge and skills used by individuals to solve problems. It includes both theoretical and practical elements. |
| (HC2) personal and social skills and interpersonal relations | Personal skills are qualities and abilities primarily centred on an employee’s self-awareness, self-management, and self-expression. These skills pertain to how a person understands and regulates their emotions and behaviours. Social skills are a set of behaviours that allow you to interact and relate to others in an effective and rewarding way. These are competencies that can be learned, strengthened, and developed through practice. Social skills are associated with the ease of making and maintaining positive friendships, both in private and professional life. Interpersonal skills are the abilities that facilitate effective communication, collaboration, and interaction with others. |
| (HC3) health | A state of complete physical, mental, and social well-being. |
| (HC4) competence | Competencies are a set of skills, knowledge, personality traits, and attitudes that allow us to effectively perform specific tasks or achieve specific goals. They can be acquired through experience, education, or training. They are a combination of three attributes: knowledge, skills, and attitude. |
| (HC5) experience | Experience gained during employment, performing other paid work, or running a business, which also includes completed internships, current internships, and volunteering. All knowledge and skills are acquired through observation and personal experiences. |
| (HC6) level of motivation | Motivation to work is an internal state of readiness to take up and perform professional duties. It is the result of many different factors, both internal (age, self-esteem, life satisfaction, employee experience) and external (working conditions in the company). |
| (HC7) commitment and values | Commitment is the level of enthusiasm an employee has towards the tasks assigned to them at a workplace. The value of human capital lies in its ability to innovate, enhance productivity, and drive organisational success. |
| (HC8) moral and biological depreciation | Moral depreciation refers to the decline in the value of an asset due to changes in social norms, technological advancements, or shifts in perception. Biological depreciation pertains to the reduction in the value of living organisms or biological assets over time. |
| (HC9) innovation and creativity | Innovation is the process of turning a new concept into commercial success or widespread use.Creativity is the act of turning new and imaginative ideas into reality. |
| (HC10) psychological characteristics | Psychological traits are constant, individual-specific, generalised tendencies to specific behaviours, emotions, and judgments. It is a unique structure of traits that motivates the behaviour of an individual. Here is a list of examples of character/personality traits: communicativeness, responsibility, honesty, punctuality, willingness to help others, and sensitivity. |
| (SC1) quality and reach of information systems | A quality information system (QIS) is an integrated set of activities that provides timely, accurate, relevant, comprehensive, and reliable information about the quality of products or services produced by organisations. |
| (SC2) company reputation | A company’s reputation is the overall assessment that a company earns in the eyes of its stakeholders based on its activities, values, and communication. It is a key part of a company’s success, influencing the decisions of customers, employees, investors, and business partners. Reputation comes from the quality of products or services, communication with customers, business ethics, brand image, and employee experience. |
| (SC3) level of computerisation | It describes how computing activities are performed on the computer and shows all the elements used at the different levels of the system. |
| (SC4) organisational concept | Organising refers to the procedure of aligning the activities in a certain order. It includes designing the roles and directing the people towards the accomplishment of goals. |
| (SC5) ability to acquire, disseminate, and develop knowledge | Knowledge acquisition refers to the process of acquiring, assimilating, and integrating new knowledge and information. To disseminate information or knowledge means to distribute it so that it reaches many people or organisations. Knowledge development is an integrated set of activities aimed at the appropriate shaping of knowledge resources. Knowledge development should focus on both the general knowledge in the company and its components. |
| (SC6) intellectual property rights | A set of intangible assets that are owned by a company or individual. It is legally protected from outside use or implementation without consent.Intellectual property means manifestations of the creativity of the mind having a material form. These can be trademarks, industrial designs, utility models, and inventions, as well as various types of works. |
| (SC7) databases and documentation | A database is an electronically stored, systematic collection of data. Documentation consists of documents that provide proof or evidence of something or are a record of something. |
| (SC8) procedures | A method for completing something, with steps and instructions for each aspect of the task. |
| (SC9) administrative processes | All formal and informal rulemaking and adjudication of conflicting claims not performed by the legislatures or the courts. |
| (SC10) management methods and styles | Management methods represent specific types of management, the way things are in the organisation, the resources, and the processes managed. A management style describes the methods a person uses to manage their employees or team. |
| (RC1) external communication systems | External communication is the transfer or exchange of information between a company and external entities such as customers, businesses, suppliers, partners, investors, government agencies, and law enforcement. A customer’s feedback is also external communication. |
| (RC2) strength of a company’s brand or its products | The efficacy of a brand’s performance on intangible measures, relative to its competitors. |
| (RC3) relationships with major customers | Major customer relationships are often a critical source of a supplier’s revenue and can be the best opportunity for growth. These important relationships are typically complex, involving multiple products and services, numerous global locations, and frequent interactions across numerous stakeholders. |
| (RC4) customer loyalty | Customer loyalty is an ongoing positive relationship between a customer and a business. It is what drives repeat purchases and prompts existing customers to choose your company over a competitor offering similar benefits. |
| (RC5) efficiency of distribution channels | Distribution reflects how well you deliver your products or services to your customers. It measures the ratio of output to input in your distribution process, such as the cost, time, quality, and customer satisfaction. |
| (RC6) social capital | Social capital is a set of shared values or resources that allows individuals to work together in a group to effectively achieve a common purpose.Social capital means capital whose value is based on mutual social relations and the trust of individuals, who can achieve more benefits thanks to it. |
| (RC7) norms of cooperation | Standards of cooperation are rules that govern the behaviour of participants in the logistics chain. These include issues such as respect, honesty, communication, punctuality, and cooperation with others. Following these norms helps to maintain positive relationships and efficiency. |
| (RC8) trust | Trust is the certainty that we can count on someone, that someone will not act against us and will cooperate with us in certain areas. Trust in business makes cooperating companies more involved in the tasks they perform and more involved in the pursuit of their goals. |
| (RC9) consumer satisfaction | A general principle of customer service. It measures a customer’s perception of the quality and utility of a product or service. |
| (RC10) stakeholder relations | Professional connections businesses form with people or groups who have an interest in their activities and decisions. |
| Criteria | Production | Service | Overall | ||||||
|---|---|---|---|---|---|---|---|---|---|
| Small | Medium | Big | Small | Medium | Big | Small | Medium | Big | |
| HC1 | 3.13 | 3.30 | 3.30 | 3.05 | 3.23 | 3.35 | 3.10 | 3.27 | 3.32 |
| HC2 | 3.03 | 3.14 | 3.40 | 3.20 | 3.25 | 3.25 | 3.10 | 3.19 | 3.35 |
| HC3 | 3.10 | 2.94 | 3.18 | 3.25 | 2.83 | 3.30 | 3.16 | 2.89 | 3.22 |
| HC4 | 3.03 | 2.98 | 3.05 | 3.30 | 2.60 | 2.95 | 3.14 | 2.81 | 3.02 |
| HC5 | 3.20 | 3.22 | 3.40 | 2.70 | 2.85 | 2.95 | 3.00 | 3.06 | 3.25 |
| HC6 | 2.90 | 3.24 | 3.23 | 3.00 | 3.25 | 3.45 | 2.94 | 3.24 | 3.30 |
| HC7 | 2.77 | 2.96 | 2.83 | 2.90 | 3.20 | 3.10 | 2.82 | 3.07 | 2.92 |
| HC8 | 3.07 | 3.16 | 2.98 | 2.75 | 2.88 | 2.90 | 2.94 | 3.03 | 2.95 |
| HC9 | 3.00 | 2.86 | 3.13 | 2.55 | 3.23 | 2.95 | 2.82 | 3.02 | 3.07 |
| HC10 | 3.10 | 3.08 | 3.03 | 3.20 | 2.90 | 3.30 | 3.14 | 3.00 | 3.12 |
| SC1 | 2.80 | 3.26 | 3.28 | 2.95 | 3.40 | 3.70 | 2.86 | 3.32 | 3.42 |
| SC2 | 3.37 | 3.24 | 3.25 | 3.05 | 3.10 | 3.20 | 3.24 | 3.18 | 3.23 |
| SC3 | 2.97 | 3.04 | 3.10 | 3.15 | 3.10 | 3.05 | 3.04 | 3.07 | 3.08 |
| SC4 | 3.13 | 3.14 | 3.58 | 2.90 | 3.23 | 3.55 | 3.04 | 3.18 | 3.57 |
| SC5 | 3.03 | 3.08 | 3.03 | 2.70 | 2.65 | 3.20 | 2.90 | 2.89 | 3.08 |
| SC6 | 2.63 | 2.98 | 2.98 | 2.90 | 3.15 | 2.55 | 2.74 | 3.06 | 2.83 |
| SC7 | 2.73 | 3.06 | 2.98 | 3.30 | 3.63 | 3.10 | 2.96 | 3.31 | 3.02 |
| SC8 | 3.17 | 3.34 | 3.08 | 3.10 | 2.78 | 3.10 | 3.14 | 3.09 | 3.08 |
| SC9 | 2.40 | 2.94 | 3.03 | 3.05 | 2.65 | 3.45 | 2.66 | 2.81 | 3.17 |
| SC10 | 2.90 | 2.90 | 3.33 | 3.30 | 3.28 | 3.00 | 3.06 | 3.07 | 3.22 |
| RC1 | 2.97 | 3.22 | 3.35 | 3.45 | 3.25 | 3.20 | 3.16 | 3.23 | 3.30 |
| RC2 | 3.00 | 3.22 | 3.15 | 2.95 | 3.10 | 3.20 | 2.98 | 3.17 | 3.17 |
| RC3 | 3.03 | 2.82 | 2.95 | 3.10 | 2.73 | 3.15 | 3.06 | 2.78 | 3.02 |
| RC4 | 3.30 | 3.34 | 3.40 | 3.20 | 3.40 | 3.05 | 3.26 | 3.37 | 3.28 |
| RC5 | 2.93 | 3.30 | 3.23 | 2.90 | 3.08 | 3.45 | 2.92 | 3.20 | 3.30 |
| RC6 | 2.83 | 3.22 | 3.23 | 3.40 | 3.50 | 3.55 | 3.06 | 3.34 | 3.33 |
| RC7 | 2.93 | 3.36 | 3.30 | 3.05 | 3.43 | 3.05 | 2.98 | 3.39 | 3.22 |
| RC8 | 3.17 | 3.40 | 3.23 | 2.90 | 2.98 | 2.85 | 3.06 | 3.21 | 3.10 |
| RC9 | 3.50 | 3.30 | 3.13 | 3.00 | 3.08 | 3.40 | 3.30 | 3.20 | 3.22 |
| RC10 | 2.77 | 3.12 | 3.30 | 3.05 | 3.30 | 2.85 | 2.88 | 3.20 | 3.15 |
References
- Xu, J.; Wang, B. Intellectual Capital, Financial Performance and Companies’ Sustainable Growth: Evidence from the Korean Manufacturing Industry. Sustainability 2018, 10, 4651. [Google Scholar] [CrossRef]
- Alvino, F.; Di Vaio, A.; Hassan, R.; Palladino, R. Intellectual Capital and Sustainable Development: A Systematic Literature Review. J. Intellect. Cap. 2021, 22, 76–94. [Google Scholar] [CrossRef]
- Abeysekera, I. Intellectual Capital and Knowledge Management Research towards Value Creation. From the Past to the Future. J. Risk Financ. Manag. 2021, 14, 238. [Google Scholar] [CrossRef]
- Nawaz, T.; Haniffa, R.; Hudaib, M. On Intellectual Capital Efficiency and Shariah Governance in Islamic Banking Business Model. Int. J. Financ. Econ. 2021, 26, 3770–3787. [Google Scholar] [CrossRef]
- De Villiers, C.; Sharma, U. A Critical Reflection on the Future of Financial, Intellectual Capital, Sustainability and Integrated Reporting. Crit. Perspect. Account. 2020, 70, 101999. [Google Scholar] [CrossRef]
- Benevene, P.; Buonomo, I.; Kong, E.; Pansini, M.; Farnese, M.L. Management of Green Intellectual Capital: Evidence-Based Literature Review and Future Directions. Sustainability 2021, 13, 8349. [Google Scholar] [CrossRef]
- Vale, J.; Miranda, R.; Azevedo, G.; Tavares, M.C. The Impact of Sustainable Intellectual Capital on Sustainable Performance: A Case Study. Sustainability 2022, 14, 4382. [Google Scholar] [CrossRef]
- Caputo, F.; Del Giudice, M.; Evangelista, F.; Russo, G. Corporate Disclosure and Intellectual Capital: The Light Side of Information Asymmetry. Int. J. Manag. Financ. Account. 2016, 8, 75–96. [Google Scholar] [CrossRef]
- Zhang, J.; Wang, Y. How to Improve the Corporate Sustainable Development?—The Importance of the Intellectual Capital and the Role of the Investor Confidence. Sustainability 2022, 14, 3749. [Google Scholar] [CrossRef]
- Srisathan, W.A.; Ketkaew, C.; Naruetharadhol, P. The Intervention of Organizational Sustainability in the Effect of Organizational Culture on Open Innovation Performance: A Case of Thai and Chinese SMEs. Cogent Bus. Manag. 2020, 7, 1717408. [Google Scholar] [CrossRef]
- Stewart, T.A. Intellectual Capital. The New Wealth of Organizations; Nicholas Brealey: London, UK, 1997. [Google Scholar]
- Bontis, N. National Intellectual Capital Index: A United Nations Initiative for the Arab Region. J. Intellect. Cap. 2004, 5, 13–39. [Google Scholar] [CrossRef]
- Asiaei, K.; Jusoh, R.; Barani, O.; Asiaei, A. How Does Green Intellectual Capital Boost Performance? The Mediating Role of Environmental Performance Measurement Systems. Bus. Strategy Environ. 2022, 31, 1–20. [Google Scholar] [CrossRef]
- Asiaei, K.; O’Connor, N.G.; Barani, O.; Joshi, M. Green Intellectual Capital and Ambidextrous Green Innovation: The Impact on Environmental Performance. Bus. Strategy Environ. 2023, 32, 369–386. [Google Scholar] [CrossRef]
- Sudibyo, Y.A.; Sutanto, K.A. Environmental Consciousness and Corporate Social Responsibility as Drivers of Green Intellectual Capital. Int. J. Innov. Creat. 2020, 13, 716–726. [Google Scholar]
- Al Issa, H.-E.; Abdullatif, T.N.; Ntayi, J.; Abdelsalam, M.K. Green Intellectual Capital for Sustainable Healthcare: Evidence from Iraq. J. Intellect. Cap. 2023, 24, 929–947. [Google Scholar] [CrossRef]
- Yusoff, Y.M.; Omar, M.K.; Kamarul Zaman, M.D.; Samad, S. Do All Elements of Green Intellectual Capital Contribute toward Business Sustainability? Evidence from the Malaysian Context Using the Partial Least Squares Method. J. Clean. Prod. 2019, 234, 626–637. [Google Scholar] [CrossRef]
- Edvinsson, L.; Malone, M.S. Intellectual Capital: Realizing Your Company’s True Value by Finding Its Hidden Brainpower; HarperCollins: New York, NY, USA, 1997. [Google Scholar]
- Perrini, F.; Vurro, C. Corporate Sustainability, Intangible Assets Accumulation and Competitive Advantage. Symphonya. Emerg. Issues Manag. 2010, 3, 25–38. [Google Scholar] [CrossRef]
- Barney, J.B. Resource-Based Theories of Competitive Advantage: A Ten-Year Retrospective on the Resource-Based View. J. Manag. 2001, 27, 643–650. [Google Scholar] [CrossRef]
- Vo, D.H.; Tran, N.P. Measuring National Intellectual Capital: A Novel Approach. J. Intellect. Cap. 2022, 23, 799–815. [Google Scholar] [CrossRef]
- Tran, N.P.; Vo, D.H. Do Banks Accumulate a Higher Level of Intellectual Capital? Evidence from an Emerging Market. J. Intellect. Cap. 2022, 23, 439–457. [Google Scholar] [CrossRef]
- Cabrilo, S.; Kianto, A.; Milic, B. The Effect of IC Components on Innovation Performance in Serbian Companies. VINE J. Inf. Knowl. Manag. Syst. 2018, 48, 448–466. [Google Scholar] [CrossRef]
- Anik, S.; Sulistyo, H. The Role of Green Intellectual Capital and Green Innovation on Competitive Advantage of SMEs. Int. J. Learn. Intellect. Cap. 2021, 18, 28–44. [Google Scholar] [CrossRef]
- Jardon, C.M.; Martínez-Cobas, X. Leadership and Organizational Culture in the Sustainability of Subsistence Small Businesses: An Intellectual Capital Based View. Sustainability 2019, 11, 3491. [Google Scholar] [CrossRef]
- Tran, N.P.; Dinh, C.T.H.; Hoang, H.T.T.; Vo, D.H. Intellectual Capital and Firm Performance in Vietnam: The Moderating Role of Corporate Social Responsibility. Sustainability 2022, 14, 12763. [Google Scholar] [CrossRef]
- Haski-Leventhal, D. Strategic Corporate Social Responsibility, a Holistic Approach to Responsible and Sustainable Business; SAGE Publications: London, UK, 2022. [Google Scholar]
- Nikolaou, I.E. A Framework to Explicate the Relationship Between CSER and Financial Performance: An Intellectual Capital-Based Approach and Knowledge-Based View of Firm. J. Knowl. Econ. 2019, 10, 1427–1446. [Google Scholar] [CrossRef]
- Rehman, W.; Zahid, A. Intellectual capital performance and its impact on corporate performance: An empirical evidence from modaraba sector of pakistan. Aust. J. Bus. Manag. Res. 2011, 1, 8–16. [Google Scholar] [CrossRef]
- Osinski, M.; Selig, P.M.; Matos, F.; Roman, D.J. Methods of Evaluation of Intangible Assets and Intellectual Capital. J. Intellect. Cap. 2017, 18, 470–485. [Google Scholar] [CrossRef]
- Pirogova, O.; Voronova, O.; Khnykina, T.; Plotnikov, V. Intellectual Capital of a Trading Company: Comprehensive Analysis Based on Reporting. Sustainability 2020, 12, 7095. [Google Scholar] [CrossRef]
- Kianto, A.; Andreeva, T.; Pavlov, Y. The Impact of Intellectual Capital Management on Company Competitiveness and Financial Performance. Knowl. Manag. Res. Pract. 2013, 11, 112–122. [Google Scholar] [CrossRef]
- Jardon, C.M. The Use of Intellectual Capital to Obtain Competitive Advantages in Regional Small and Medium Enterprises. Knowl. Manag. Res. Pract. 2015, 13, 486–496. [Google Scholar] [CrossRef]
- Santis, S.; Bianchi, M.; Incollingo, A.; Bisogno, M. Disclosure of Intellectual Capital Components in Integrated Reporting: An Empirical Analysis. Sustainability 2019, 11, 62. [Google Scholar] [CrossRef]
- Steenhuis, H.-J.; De Bruijn, E.J. Technology and Economic Development: A Literature Review. Int. J. Innov. Technol. Manag. 2012, 09, 1250033. [Google Scholar] [CrossRef]
- Kryscynski, D.; Coff, R.; Campbell, B. Charting a Path between Firm-Specific Incentives and Human Capital-Based Competitive Advantage. Strateg. Manag. J. 2021, 42, 386–412. [Google Scholar] [CrossRef]
- Ferreira, J.; Coelho, A.; Moutinho, L. Dynamic Capabilities, Creativity and Innovation Capability and Their Impact on Competitive Advantage and Firm Performance: The Moderating Role of Entrepreneurial Orientation. Technovation 2020, 92–93, 102061. [Google Scholar] [CrossRef]
- Ali, M.A.; Hussin, N.; Haddad, H.; Al-Araj, R.; Abed, I.A. Intellectual Capital and Innovation Performance: Systematic Literature Review. Risks 2021, 9, 170. [Google Scholar] [CrossRef]
- Kengatharan, N. A Knowledge-Based Theory of the Firm. Int. J. Manpow. 2019, 40, 1056–1074. [Google Scholar] [CrossRef]
- Edvinsson, L.; Sullivan, P. Developing a Model for Managing Intellectual Capital. Eur. Manag. J. 1996, 14, 356–364. [Google Scholar] [CrossRef]
- Dost, M.; Badir, Y.F.; Ali, Z.; Tariq, A. The Impact of Intellectual Capital on Innovation Generation and Adoption. J. Intellect. Cap. 2016, 17, 675–695. [Google Scholar] [CrossRef]
- Susandya, A.; Kumalasari, P.D.; Manuari, I. The Role of Green Intellectual Capital on Competitive Advantage: Evidence from Balinese Financial Institution. Sriwij. Int. J. Dyn. Econ. Bus. 2019, 3, 227. [Google Scholar] [CrossRef]
- Iivari, J.; Hirschheim, R.; Klein, H. A Paradigmatic Analysis Contrasting Information Systems Development Approaches and Methodologies. Inf. Syst. Res. 1998, 17, 179–218. [Google Scholar] [CrossRef]
- Li, Y.; Song, Y.; Wang, J.; Li, C. Intellectual Capital, Knowledge Sharing, and Innovation Performance: Evidence from the Chinese Construction Industry. Sustainability 2019, 11, 2713. [Google Scholar] [CrossRef]
- Nadeem, M.; Gan, C.; Nguyen, C. Does Intellectual Capital Efficiency Improve Firm Performance in BRICS Economies? A Dynamic Panel Estimation. Meas. Bus. Excell. 2017, 21, 65–85. [Google Scholar] [CrossRef]
- Usoff, C.A.; Thibodeau, J.C.; Burnaby, P. The Importance of Intellectual Capital and Its Effect on Performance Measurement Systems. Manag. Audit. J. 2002, 17, 9–15. [Google Scholar] [CrossRef]
- Subramaniam, M.; Youndt, M.A. The Influence of Intellectual Capital on the Types of Innovative Capabilities. Acad. Manag. J. 2005, 48, 450–463. [Google Scholar] [CrossRef]
- Chen, Y.-S. The Positive Effect of Green Intellectual Capital on Competitive Advantages of Firms. J. Bus. Ethics 2008, 77, 271–286. [Google Scholar] [CrossRef]
- Xu, X.L.; Yang, X.; Zhan, L.; Liu, C.; Zhou, N.; Hu, M. Examining the Relationship between Intellectual Capital and Performance of Listed Environmental Protection Companies. Environ. Prog. Sustain. Energy 2017, 36, 1056–1066. [Google Scholar] [CrossRef]
- Bayraktaroglu, A.E.; Calisir, F.; Baskak, M. Intellectual Capital and Firm Performance: An Extended VAIC Model. J. Intellect. Cap. 2019, 20, 406–425. [Google Scholar] [CrossRef]
- Buenechea-Elberdin, M.; Sáenz, J.; Kianto, A. Knowledge Management Strategies, Intellectual Capital, and Innovation Performance: A Comparison between High- and Low-Tech Firms. J. Knowl. Manag. 2018, 22, 1757–1781. [Google Scholar] [CrossRef]
- Xu, J.; Liu, F. The Impact of Intellectual Capital on Firm Performance: A Modified and Extended VAIC Model. J. Compet. 2020, 12, 161–176. [Google Scholar] [CrossRef]
- Bassi, L.J.; Van Buren, M.E. Valuing Investments in Intellectual Capital. Int. J. Technol. Manag. 1999, 18, 414–432. [Google Scholar] [CrossRef]
- Chang, C.; Chen, Y. The Determinants of Green Intellectual Capital. Manag. Decis. 2012, 50, 74–94. [Google Scholar] [CrossRef]
- Mehmood, K.; Hanaysha, J. Impact of Corporate Social Responsibility, Green Intellectual Capital, and Green Innovation on Competitive Advantage: Building Contingency Model. Int. J. Hum. Cap. Inf. Technol. Prof. 2022, 13, 1–14. [Google Scholar] [CrossRef]
- Engelman, R.; Fracasso, E.; Schmidt, S.; Zen, A. Intellectual Capital, Absorptive Capacity and Product Innovation. Manag. Decis. 2017, 55, 474–490. [Google Scholar] [CrossRef]
- Ali, M.A.; Hussin, N.; Abed, I. E-Banking Fraud Detection: A Short Review. IJICC 2019, 6, 67–87. [Google Scholar]
- Zainuddin, Z.N.; Sulaiman, S.; Latif, N.E.A.; Ahmad, M. Human Capital: Key Driver towards Business Success. Environ.-Behav. Proc. J. 2020, 5, 19–24. [Google Scholar] [CrossRef]
- Liu, L.; Zhang, J.; Xu, J.; Wang, Y. Intellectual Capital and Financial Performance of Chinese Manufacturing SMEs: An Analysis from the Perspective of Different Industry Types. Sustainability 2022, 14, 10657. [Google Scholar] [CrossRef]
- Bontis, N. Intellectual Capital: An Exploratory Study That Develops Measures and Models. Manag. Decis. 1998, 36, 63–76. [Google Scholar] [CrossRef]
- Lu, Y.; Li, G.; Luo, Z.; Anwar, M.; Zhang, Y. Does Intellectual Capital Spur Sustainable Competitive Advantage and Sustainable Growth?: A Study of Chinese and Pakistani Firms. Sage Open 2021, 11, 2158244021996702. [Google Scholar] [CrossRef]
- Ployhart, R.E.; Nyberg, A.J.; Reilly, G.; Maltarich, M.A. Human Capital Is Dead; Long Live Human Capital Resources! J. Manag. 2013, 40, 371–398. [Google Scholar] [CrossRef]
- Da Silva, V.L.; Kovaleski, J.; Pagani, R. Technology Transfer and Human Capital in the Industrial 4.0 Scenario: A Theoretical Study. Future Stud. Res. J. Trends Strateg. 2019, 11, 102–122. [Google Scholar] [CrossRef]
- Asiaei, K.; Jusoh, R.; Bontis, N. Intellectual Capital and Performance Measurement Systems in Iran. J. Intellect. Cap. 2018, 19, 294–320. [Google Scholar] [CrossRef]
- Barrena-Martinez, J.; López-Fernández, M.; Romero-Fernández, P.M. The Link between Socially Responsible Human Resource Management and Intellectual Capital. Corp. Soc. Responsib. Environ. Manag. 2019, 26, 71–81. [Google Scholar] [CrossRef]
- Fathi, S.; Farahmand, S.; Khorasani, M. Impact of Intellectual Capital on Financial Performance. Int. J. Acad. Res. Econ. Manag. Sci. 2013, 2, 6. [Google Scholar]
- Yong, J.Y.; Yusliza, M.-Y.; Ramayah, T.; Fawehinmi, O. Nexus between Green Intellectual Capital and Green Human Resource Management. J. Clean. Prod. 2019, 215, 364–374. [Google Scholar] [CrossRef]
- Shoaib, M.; Zámečník, R.; Abbas, Z.; Javed, M.; Rehman, A.U. Green human Resource Management and Green Human Capital: A Systematic Literature Review. In Proceedings of the International Scientific Conference: Contemporary Issues in Business, Management and Economics Engineering, Vilnius, Lithuania, 12 May 2021. [Google Scholar]
- Jirakraisiri, J.; Badir, Y.F.; Frank, B. Translating Green Strategic Intent into Green Process Innovation Performance: The Role of Green Intellectual Capital. J. Intellect. Cap. 2021, 22, 43–67. [Google Scholar] [CrossRef]
- Sheikh, A.M. Green Intellectual Capital and Social Innovation: The Nexus. J. Intellect. Cap. 2022, 23, 1199–1220. [Google Scholar] [CrossRef]
- Song, Y.; Wei, Y.; Zhu, J.; Liu, J.; Zhang, M. Environmental Regulation and Economic Growth: A New Perspective Based on Technical Level and Healthy Human Capital. J. Clean. Prod. 2021, 318, 128520. [Google Scholar] [CrossRef]
- Wang, C.H.; Juo, W.-J. An Environmental Policy of Green Intellectual Capital: Green Innovation Strategy for Performance Sustainability. Bus. Strategy Environ. 2021, 30, 3241–3254. [Google Scholar] [CrossRef]
- Vomberg, A.; Homburg, C.; Bornemann, T. Talented People and Strong Brands: The Contribution of Human Capital and Brand Equity to Firm Value. Strateg. Manag. J. 2015, 36, 2122–2131. [Google Scholar] [CrossRef]
- Torres, A.I.; Ferraz, S.S.; Santos-Rodrigues, H. The Impact of Knowledge Management Factors in Organizational Sustainable Competitive Advantage. J. Intellect. Cap. 2018, 19, 453–472. [Google Scholar] [CrossRef]
- Gilbert, J.H.; Von Ah, D.; Broome, M.E. Organizational Intellectual Capital and the Role of the Nurse Manager: A Proposed Conceptual Model. Nurs. Outlook 2017, 65, 697–710. [Google Scholar] [CrossRef] [PubMed]
- Yusliza, M.-Y.; Yong, J.Y.; Tanveer, M.I.; Ramayah, T.; Noor Faezah, J.; Muhammad, Z. A Structural Model of the Impact of Green Intellectual Capital on Sustainable Performance. J. Clean. Prod. 2020, 249, 119334. [Google Scholar] [CrossRef]
- Martinidis, G.; Komninos, N.; Dyjakon, A.; Stanisław, M.; Hejna, M. How Intellectual Capital Predicts Innovation Output in EU Regions. Implications for Sustainable Development. Sustainability 2021, 13, 14036. [Google Scholar] [CrossRef]
- Swart, J. Intellectual Capital: Disentangling an Enigmatic Concept. J. Intellect. Cap. 2006, 7, 136–159. [Google Scholar] [CrossRef]
- Sumedrea, S. Intellectual Capital and Firm Performance: A Dynamic Relationship in Crisis Time. Procedia Econ. Financ. 2013, 6, 137–144. [Google Scholar] [CrossRef]
- Abeysekera, I.; Guthrie, J. Human Capital Reporting in a Developing Nation. Br. Account. Rev. 2004, 36, 251–268. [Google Scholar] [CrossRef]
- Iwamoto, H.; Suzuki, H. An Empirical Study on the Relationship of Corporate Financial Performance and Human Capital Concerning Corporate Social Responsibility: Applying SEM and Bayesian SEM. Cogent Bus. Manag. 2019, 6, 1656443. [Google Scholar] [CrossRef]
- St-Pierre, J.; Audet, J. Intangible Assets and Performance. J. Intellect. Cap. 2011, 12, 202–223. [Google Scholar] [CrossRef]
- Chu, P.Y.; Lin, Y.L.; Hsiung, H.H.; Liu, T.Y. Intellectual Capital: An Empirical Study of ITRI. Technol. Forecast. Soc. Change 2006, 73, 886–902. [Google Scholar] [CrossRef]
- Martín-de-Castro, G.; Delgado-Verde, M.; López-Sáez, P.; Navas-López, J.E. Towards ‘An Intellectual Capital-Based View of the Firm’: Origins and Nature. J. Bus. Ethics 2011, 98, 649–662. [Google Scholar] [CrossRef]
- Chowdhury, L.A.M.; Rana, T.; Akter, M.; Hoque, M. Impact of Intellectual Capital on Financial Performance: Evidence from the Bangladeshi Textile Sector. J. Account. Organ. Change 2018, 14, 429–454. [Google Scholar] [CrossRef]
- Massaro, M.; Dumay, J.; Bagnoli, C. Where There Is a Will There Is a Way. J. Intellect. Cap. 2015, 16, 490–517. [Google Scholar] [CrossRef]
- Hejazi, R.; Ghanbari, M.; Alipour, M. Intellectual, Human and Structural Capital Effects on Firm Performance as Measured by Tobin’s Q. Knowl. Process Manag. 2016, 23, 259–273. [Google Scholar] [CrossRef]
- Sumiati, S.; Wijayanti, R.; Yuana, P.; Nikmah, C. Improving Company Value: The Role of Human Capital, Structural Capital, Capital Employed, Investment Decisions, and Manager’s Attitude to Risk. BISMA (Bisnis Dan Manaj.) 2022, 14, 110–123. [Google Scholar] [CrossRef]
- Alkhatib, A.W.; Valeri, M. Can Intellectual Capital Promote the Competitive Advantage? Service Innovation and Big Data Analytics Capabilities in a Moderated Mediation Model. Eur. J. Innov. Manag. 2022, 27, 263–289. [Google Scholar] [CrossRef]
- Matos, F.; Vairinhos, V.M.; Dameri, R.P.; Durst, S. Increasing Smart City Competitiveness and Sustainability through Managing Structural Capital. J. Intellect. Cap. 2017, 18, 693–707. [Google Scholar] [CrossRef]
- Aghamirian, B.; Dorri, B.; Aghamirian, B. Customer Knowledge Management Application in Gaining Organization’s Competitive Advantage in Electronic Commerce. J. Theor. Appl. Electron. Commer. Res. 2015, 10, 63–78. [Google Scholar] [CrossRef]
- López-Gamero, M.D.; Molina-Azorín, J.F.; Claver-Cortés, E. The Whole Relationship between Environmental Variables and Firm Performance: Competitive Advantage and Firm Resources as Mediator Variables. J. Environ. Manag. 2009, 90, 3110–3121. [Google Scholar] [CrossRef]
- Jardon, C.M.; Dasilva, A. Intellectual Capital and Environmental Concern in Subsistence Small Businesses. Manag. Environ. Qual. Int. J. 2017, 28, 214–230. [Google Scholar] [CrossRef]
- Astuti, P.D.; Datrini, L. Green Competitive Advantage: Examining the Role of Environmental Consciousness and Green Intellectual Capital. Manag. Sci. Lett. 2021, 11, 1141–1152. [Google Scholar] [CrossRef]
- Mention, A.; Bontis, N. Intellectual Capital and Performance within the Banking Sector of Luxembourg and Belgium. J. Intellect. Cap. 2013, 14, 286–309. [Google Scholar] [CrossRef]
- Wang, C.-H. How Relational Capital Mediates the Effect of Corporate Reputation on Competitive Advantage: Evidence from Taiwan High-Tech Industry. Technol. Forecast. Soc. Chang. 2014, 82, 167–176. [Google Scholar] [CrossRef]
- Merino, D.; García-Zambrano, L.; Rodríguez-Castellanos, A. Impact of Relational Capital on Business Value. J. Inf. Knowl. Manag. 2014, 13, 1450002-1. [Google Scholar] [CrossRef]
- Harmeling, C.M.; Moffett, J.W.; Arnold, M.J.; Carlson, B.D. Toward a Theory of Customer Engagement Marketing. J. Acad. Mark. Sci. 2017, 45, 312–335. [Google Scholar] [CrossRef]
- Anifowose, M.; Rashid, H.; Annuar, H.A. Intellectual Capital Disclosure and Corporate Market Value: Does Board Diversity Matter? J. Account. Emerg. Econ. 2017, 7, 369–398. [Google Scholar] [CrossRef]
- Cernusca, L.; David, D.; Nicolaescu, C.; Bogdan Cosmin, G. Empirical Study on the Creative Accounting Phenomenon. Stud. Univ. Vasile Goldis Arad. Ser. Stiinte Econ. 2016, 26, 63–87. [Google Scholar] [CrossRef]
- Hsu, L.-C.; Wang, C.-H. Clarifying the Effect of Intellectual Capital on Performance: The Mediating Role of Dynamic Capability. Br. J. Manag. 2012, 23, 179–205. [Google Scholar] [CrossRef]
- Isanzu, J.; Akhunjonov, U.; Obrenovic, B. Impact of Intellectual Capital on Financial Performance of Banks in Tanzania. J. Int. Bus. Res. Mark. 2015, 1, 6–23. [Google Scholar] [CrossRef]
- Fisher, G. Online Communities and Firm Advantages. Acad. Manag. Rev. 2019, 44, 279–298. [Google Scholar] [CrossRef]
- Archer-Brown, C.; Kietzmann, J. Strategic Knowledge Management and Enterprise Social Media. J. Knowl. Manag. 2018, 22, 1288–1309. [Google Scholar] [CrossRef]
- Maharani, T.; Fuad, K. The Effect of Human Capital, Structural Capital, Customer Capital, Managerial Ownership, and Leverage toward Profitability of Company. J. Adv. Multidiscip. Res. 2020, 1, 46. [Google Scholar] [CrossRef]
- Zhao, Z.; Meng, F.; He, Y.; Gu, Z. The Influence of Corporate Social Responsibility on Competitive Advantage with Multiple Mediations from Social Capital and Dynamic Capabilities. Sustainability 2019, 11, 218. [Google Scholar] [CrossRef]
- Kamaluddin, A.; Yahya, N.A.; Arshad, R. Measuring Green Intellectual Capital in Malaysian Environmentally Sensitive Companies. Int. J. Bus. Manag. 2014, 1, 92–96. [Google Scholar]
- Kannan, G.; Aulbur, W.G. Intellectual Capital: Measurement Effectiveness. J. Intellect. Cap. 2004, 5, 389–413. [Google Scholar] [CrossRef]
- Komnenic, B.; Pokrajčić, D. Intellectual Capital and Corporate Performance of MNCs in Serbia. J. Intellect. Cap. 2012, 13, 106–119. [Google Scholar] [CrossRef]
- Pal, K.; Soriya, S. IC Performance of Indian Pharmaceutical and Textile Industry. J. Intellect. Cap. 2012, 13, 120–137. [Google Scholar] [CrossRef]
- Martinidis, G.; Dyjakon, A.; Minta, S.; Ramut, R. Intellectual Capital and Sustainable S3 in the Regions of Central Macedonia and Western Macedonia, Greece. Sustainability 2022, 14, 10325. [Google Scholar] [CrossRef]
- Sierotowicz, T. Sources of Intellectual Capital Acquisition. Sustainability 2022, 14, 11477. [Google Scholar] [CrossRef]
- Öner, M.; Aybars, A.; Çinko, M.; Avcı, E. Intellectual Capital, Technological Intensity and Firm Performance: The Case of Emerging Countries. Sci. Ann. Econ. Bus. 2021, 68, 459–479. [Google Scholar] [CrossRef]
- Sardo, F.; Serrasqueiro, Z. A European Empirical Study of the Relationship between Firms’ Intellectual Capital, Financial Performance and Market Value. J. Intellect. Cap. 2017, 18, 771–788. [Google Scholar] [CrossRef]
- AL-Khatib, A.W. Intellectual Capital and Innovation Performance: The Moderating Role of Big Data Analytics: Evidence from the Banking Sector in Jordan. EuroMed. J. Bus. 2022, 17, 391–423. [Google Scholar] [CrossRef]
- Udin, S.; Khan, M.A.; Javid, A.Y. The Effects of Ownership Structure on Likelihood of Financial Distress: An Empirical Evidence. Corp. Gov. Int. J. Bus. Soc. 2017, 17, 589–612. [Google Scholar] [CrossRef]
- Poh, L.T.; Kilicman, A.; Ibrahim, S.N.I. On Intellectual Capital and Financial Performances of Banks in Malaysia. Cogent Econ. Financ. 2018, 6, 1453574. [Google Scholar] [CrossRef]
- Henry, L. Intellectual Capital in a Recession: Evidence from UK SMEs. J. Intellect. Cap. 2013, 14, 84–101. [Google Scholar] [CrossRef]
- Ousama, A.A.; Fatima, A.; Rashid, H. Determinants of Intellectual Capital Reporting. J. Account. Emerg. Econ. 2012, 2, 119–139. [Google Scholar] [CrossRef]
- Ali, M.A.; Hussin, N.; Haddad, H.; Al-Ramahi, N.M.; Almubaydeen, T.H.; Abed, I.A. The Impact of Intellectual Capital on Dynamic Innovation Performance: An Overview of Research Methodology. J. Risk Financ. Manag. 2022, 15, 456. [Google Scholar] [CrossRef]
- Hsu, Y.-H.; Fang, W. Intellectual Capital and New Product Development Performance: The Mediating Role of Organizational Learning Capability. Technol. Forecast. Soc. Chang. 2009, 76, 664–677. [Google Scholar] [CrossRef]
- Kański, Ł.; Chadam, J.; Kłosowski, G. Intellectual Capital: A New Predictive Indicator for Project Management Improvement. Sustainability 2022, 14, 15182. [Google Scholar] [CrossRef]
- Iqbal, A.M.; Kulathuramaiyer, N.; Khan, A.S.; Abdullah, J.; Khan, M.A. Intellectual Capital: A System Thinking Analysis in Revamping the Exchanging Information in University-Industry Research Collaboration. Sustainability 2022, 14, 6404. [Google Scholar] [CrossRef]













| Characteristics | Category | Quantity | Percentage |
|---|---|---|---|
| Size | Small | 50 | 25% |
| Medium | 90 | 45% | |
| Big | 60 | 30% | |
| Type | Service | 80 | 40% |
| incl.: | |||
| Small | 20 | 10% | |
| Medium | 40 | 20% | |
| Big | 20 | 10% | |
| Production | 120 | 60% | |
| incl.: | |||
| Small | 30 | 15% | |
| Medium | 50 | 25% | |
| Big | 40 | 20% |
| HC1 | HC2 | HC3 | HC4 | HC5 | HC6 | HC7 | HC8 | HC9 | HC10 | SC1 | SC2 | SC3 | SC4 | SC5 | SC6 | SC7 | SC8 | SC9 | SC10 | RC1 | RC2 | RC3 | RC4 | RC5 | RC6 | RC7 | RC8 | RC9 | RC10 | |
|---|---|---|---|---|---|---|---|---|---|---|---|---|---|---|---|---|---|---|---|---|---|---|---|---|---|---|---|---|---|---|
| HC1 | ||||||||||||||||||||||||||||||
| HC2 | ||||||||||||||||||||||||||||||
| HC3 | ||||||||||||||||||||||||||||||
| HC4 | ||||||||||||||||||||||||||||||
| HC5 | ||||||||||||||||||||||||||||||
| HC6 | ||||||||||||||||||||||||||||||
| HC7 | ||||||||||||||||||||||||||||||
| HC8 | ||||||||||||||||||||||||||||||
| HC9 | ||||||||||||||||||||||||||||||
| HC10 | ||||||||||||||||||||||||||||||
| SC1 | ||||||||||||||||||||||||||||||
| SC2 | ||||||||||||||||||||||||||||||
| SC3 | ||||||||||||||||||||||||||||||
| SC4 | ||||||||||||||||||||||||||||||
| SC5 | ||||||||||||||||||||||||||||||
| SC6 | ||||||||||||||||||||||||||||||
| SC7 | ||||||||||||||||||||||||||||||
| SC8 | ||||||||||||||||||||||||||||||
| SC9 | ||||||||||||||||||||||||||||||
| SC10 | ||||||||||||||||||||||||||||||
| RC1 | ||||||||||||||||||||||||||||||
| RC2 | ||||||||||||||||||||||||||||||
| RC3 | ||||||||||||||||||||||||||||||
| RC4 | ||||||||||||||||||||||||||||||
| RC5 | ||||||||||||||||||||||||||||||
| RC6 | ||||||||||||||||||||||||||||||
| RC7 | ||||||||||||||||||||||||||||||
| RC8 | ||||||||||||||||||||||||||||||
| RC9 | ||||||||||||||||||||||||||||||
| RC10 |
Disclaimer/Publisher’s Note: The statements, opinions and data contained in all publications are solely those of the individual author(s) and contributor(s) and not of MDPI and/or the editor(s). MDPI and/or the editor(s) disclaim responsibility for any injury to people or property resulting from any ideas, methods, instructions or products referred to in the content. |
© 2024 by the authors. Licensee MDPI, Basel, Switzerland. This article is an open access article distributed under the terms and conditions of the Creative Commons Attribution (CC BY) license (https://creativecommons.org/licenses/by/4.0/).
Share and Cite
Prusak, R.; Kardas, E. The Analysis of Mutual Relations and Dependencies of Intellectual Capital Components in Polish Enterprises in the Context of Sustainability Goals. Sustainability 2024, 16, 7994. https://doi.org/10.3390/su16187994
Prusak R, Kardas E. The Analysis of Mutual Relations and Dependencies of Intellectual Capital Components in Polish Enterprises in the Context of Sustainability Goals. Sustainability. 2024; 16(18):7994. https://doi.org/10.3390/su16187994
Chicago/Turabian StylePrusak, Rafał, and Edyta Kardas. 2024. "The Analysis of Mutual Relations and Dependencies of Intellectual Capital Components in Polish Enterprises in the Context of Sustainability Goals" Sustainability 16, no. 18: 7994. https://doi.org/10.3390/su16187994
APA StylePrusak, R., & Kardas, E. (2024). The Analysis of Mutual Relations and Dependencies of Intellectual Capital Components in Polish Enterprises in the Context of Sustainability Goals. Sustainability, 16(18), 7994. https://doi.org/10.3390/su16187994

