Robust Financing Decisions of Green Supply Chain under Market Risk
Abstract
1. Introduction
- (1)
- How can manufacturers use robust optimization for financing and green innovation decisions at the risk of incomplete market demand information?
- (2)
- How does the risk of incomplete market demand information affect optimal supply chain decision making under prepayment and bank loan financing?
- (3)
- Given the risks of incomplete market demand information, what is the optimal financing strategy for manufacturers dealing with prepayment and bank loan financing?
2. Reviews of Literature and Motivations
2.1. Green Supply Chain Financing Research
2.2. Research on Supply Chain Management at Market Risk
2.3. Literature Summary
3. Problem Description and Hypothesis
- The manufacturer incurs not only the unit production cost c in the production process but also invests in green innovation to enhance the product’s sustainability. Let us assume the manufacturer’s green input cost is denoted as .
- Assume that the market demand for green products is influenced not only by the retail price but also by the product’s greenness , denoted as .
- Assume that the actual market demand size is denoted as . Due to the absence of relevant data, the manufacturer and retailer can only perceive the market demand size as a random variable and are aware only of , where .
- Confronting the risk of incomplete information, we introduce a robust risk decision-making mechanism. Both the manufacturer and retailer, being risk-averse, adopt this mechanism while making decisions. In essence, the manufacturer aims to make decisions on product greenness and wholesale price to maximize profit under the worst market demand scale. The retailer pursues the retail price decision that maximizes its profit or utility under the worst market demand scale, assuming symmetrical supply chain information.
- To ensure that the decision has an equilibrium solution and is positive. Thus, assume .
- Additionally, the subscripts RF and BF denote the financing modes of prepayment financing and bank loans, respectively, while the superscript * signifies the situation of complete information. Specific symbols are provided in Table 1.
- Under prepayment financing, the manufacturer encounters challenges related to inadequate production and insufficient funds for green innovation research and development. To mitigate capital chain risks, the manufacturer offers a prepayment rate, enticing the retailer to engage in financing. It is assumed that the prepayment financing rate is exogenous. At this juncture, the manufacturer’s initial capital satisfies the following: ;
4. Analysis of Prepayment and Bank Loan Model under Market Risk
4.1. Prepayment Financing
- 1.
- , , ;
- 2.
- When , ; otherwise, .
4.2. Bank Loan Financing
- 1.
- , , ;
- 2.
- When , ; otherwise, .
5. Comparative Analysis of Prepayment Financing and Bank Loan Financing under Market Risk
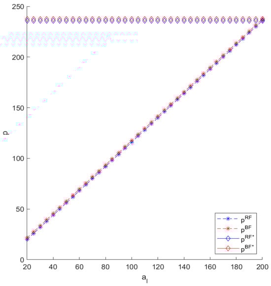
6. Analysis of Numerical Examples
6.1. Numerical Simulation Analysis
6.2. Extended Analysis
7. Conclusions
Author Contributions
Funding
Institutional Review Board Statement
Informed Consent Statement
Data Availability Statement
Conflicts of Interest
Appendix A. Proof of Inference 1
Appendix B. Proof of Proposition 1
Appendix C. Proof of Proposition 2
Appendix D. Proof of Proposition 3
Appendix E. Proof of Proposition 4
References
- Perera, A.T.D.; Nik, V.M.; Chen, D.; Scartezzini, J.L.; Hong, T. Quantifying the impacts of climate change and extreme climate events on energy systems. Nat. Energy 2020, 5, 150–159. [Google Scholar] [CrossRef]
- Bai, S.; Wu, D.; Yan, Z. Operational decisions of green supply chain under financial incentives with emission constraints. J. Clean. Prod. 2023, 389, 136025. [Google Scholar] [CrossRef]
- Song, H.H.; Gao, X.X. Green supply chain game model and analysis under revenue-sharing contract. J. Clean. Prod. 2018, 170, 183–192. [Google Scholar] [CrossRef]
- Wu, D.; Yang, L.; Olson, D.L. Green supply chain management under capital constraint. Int. J. Prod. Econ. 2019, 215, 3–10. [Google Scholar]
- Zhang, X.; Xiu, G.; Shahzad, F.; Duan, Y. Optimal Financing Strategy in a Capital-Constrained Supply Chain with Retailer Green Marketing Efforts. Sustainability 2021, 13, 1357. [Google Scholar] [CrossRef]
- Tang, R.; Yang, L. Impacts of financing mechanism and power structure on supply chains under cap-and-trade regulation. Transp. Res. Part E Logist. Transp. Rev. 2020, 139, 101957. [Google Scholar] [CrossRef]
- Agrawal, R.; Agrawal, S.; Samadhiya, A.; Kumar, A.; Luthra, S.; Jain, V. Adoption of green finance and green innovation for achieving circularity: An exploratory review and future directions. Geosci. Front. 2023, 15, 101669. [Google Scholar] [CrossRef]
- Gupta, A.; Kanthi Herath, S. Latest trends and issues in the ASP service market. Ind. Manag. Data Syst. 2005, 105, 19–25. [Google Scholar] [CrossRef]
- Yang, H.; Zhuo, W.; Shao, L.; Talluri, S. Mean-variance analysis of wholesale price contracts with a capital-constrained retailer: Trade credit financing vs. bank credit financing. Eur. J. Oper. Res. 2021, 294, 525–542. [Google Scholar] [CrossRef]
- Kouvelis, P.; Zhao, W. Supply chain contract design under financial constraints and bankruptcy costs. Manag. Sci. 2016, 62, 2341–2357. [Google Scholar] [CrossRef]
- Bi, C.; Zhang, B.; Yang, F.; Wang, Y.; Bi, G. Selling to the newsvendor through debt-shared bank financing. Eur. J. Oper. Res. 2022, 296, 116–130. [Google Scholar] [CrossRef]
- Du, D.; Chen, B.; Xu, D. Quantifying the efficiency of price-only contracts in push supply chains over demand distributions of known supports. Omega 2014, 42, 98–108. [Google Scholar] [CrossRef][Green Version]
- Qiu, R.; Sun, Y.; Sun, M.; Yu, Y. Affinely adjustable robust optimization for a multi-period inventory problem with capital constraints and demand uncertainties. Int. Trans. Oper. Res. 2022, 31, 415–447. [Google Scholar] [CrossRef]
- Zhao, Y.; Zhou, H.; Leus, R. Recovery from demand disruption: Two-stage financing strategy for a capital-constrained supply chain under uncertainty. Eur. J. Oper. Res. 2022, 303, 699–718. [Google Scholar] [CrossRef]
- Zia, N.P.; Taleizadeh, A.A. A lot-sizing model with backordering under hybrid linked-to-order multiple prepayment discount financings and delayed payment. Transp. Res. Part E Logist. Transp. Rev. 2015, 82, 19–37. [Google Scholar]
- Tiwari, S.; Cárdenas-Barrón, L.E.; Goh, M.; Shaikh, A.A. Joint pricing and inventory model for deteriorating items with expiration dates and partial backlogging under two-echelon partial trade credits in supply chain. Int. J. Prod. Econ. 2018, 200, 16–36. [Google Scholar] [CrossRef]
- Kouvelis, P.; Zhao, W. The newsvendor problem and price-only contract when bankruptcy costs exist. Prod. Oper. Manag. 2011, 20, 921–936. [Google Scholar] [CrossRef]
- Yan, N.; Sun, B.; Zhang, H.; Liu, C. A partial credit guarantee contract in a capital-constrained supply chain: Financing equilibrium and coordinating strategy. Int. J. Prod. Econ. 2016, 173, 122–133. [Google Scholar] [CrossRef]
- Wu, S.M.; Chan, F.T.S.; Chung, S.H. A study on green supply chain under capital constraint considering time-varying salvage value. Int. J. Prod. Res. 2022, 60, 8–24. [Google Scholar] [CrossRef]
- Huang, S.; Fang, Z.; Wang, N. Green subsidy modes and pricing strategy in a capital-constrained supply chain. Transp. Res. Part E 2020, 136, 101885. [Google Scholar] [CrossRef]
- Cong, J.; Pang, T.; Peng, H. Optimal strategies for capital constrained low-carbon supply chains under yield uncertainty-Science Direct. J. Clean. Prod. 2020, 256, 120339. [Google Scholar] [CrossRef]
- Fan, J.; Li, Z.; Ye, F.; Li, Y.; Wan, N. External financing, channel power structure and product green R&D decisions in supply chains. Mod. Supply Chain. Res. Appl. 2023, 5, 176–208. [Google Scholar]
- Fang, L.; Xu, S. Financing equilibrium in a green supply chain with capital constraint. Comput. Ind. Eng. 2020, 143, 106390. [Google Scholar] [CrossRef]
- Luo, Y.; Wei, Q.; Huo, B. Optimal decision in a green supply chain: Bank financing or supplier financing. J. Clean. Prod. 2020, 271, 122090. [Google Scholar] [CrossRef]
- Cao, E.; Du, L.; Ruan, J. Financing preferences and performance for an emission-dependent supply chain: Supplier vs. bank. Int. J. Prod. Econ. 2019, 208, 383–399. [Google Scholar] [CrossRef]
- Lai, G.; Debo, L.G.; Sycara, K. Sharing inventory risk in supply chain: The implication of financial constraint. Omega 2009, 37, 811–825. [Google Scholar] [CrossRef]
- Martí, J.M.C.; Tancrez, J.S.; Seifert, R.W. Carbon footprint and responsiveness trade-offs in supply chain network design. Int. J. Prod. Econ. 2015, 166, 129–142. [Google Scholar] [CrossRef]
- Nouri, M.; Hosseini-Motlagh, S.; Nematollahi, M.; Sarker, B.R. Coordinating manufacturer’s innovation and retailer’s promotion and replenishment using a compensation-based wholesale price contract. Int. J. Prod. Econ. 2018, 198, 11–24. [Google Scholar] [CrossRef]
- Pal, B.; Sarkar, A.; Sarkar, B. Optimal decisions in a dual-channel competitive green supply chain management under promotional effort. Expert Syst. Appl. 2023, 211, 118315. [Google Scholar] [CrossRef]
- Sahinidis N, V. Optimization under uncertainty: State-of-the-art and opportunities. Comput. Chem. Eng. 2004, 28, 971–983. [Google Scholar] [CrossRef]
- Scarf, H.; Arrow, K.J.; Karlin, S. A min-max solution of an inventory problem. Stud. Math. Theory Inventory Prod. 1958, 10, 201–209. [Google Scholar]
- Gallego, G.; Moon, I. The distribution free newsboy problem: Review and extensions. J. Oper. Res. Soc. 1993, 44, 825–834. [Google Scholar] [CrossRef]
- Leung, S.C.H.; Tsang, S.O.S.; Ng, W.L.; Wu, Y. A robust optimization model for multi-site production planning problem in an uncertain environment. Eur. J. Oper. Res. 2007, 181, 224–238. [Google Scholar] [CrossRef]







| Symbol | Meaning |
|---|---|
| Manufacturer’s profit under incomplete information | |
| Retailer profit under incomplete information | |
| Supply chain profit under incomplete information | |
| Market demand for green products | |
| The actual scale of market demand | |
| The manufacturer and retailer grasp the size of the market demand | |
| Manufacturer’s unit cost of production | |
| Wholesale price | |
| Retail Price | |
| Consumer price sensitivity coefficient | |
| Consumer green preference level | |
| Product greenness | |
| Cost coefficient of green innovation | |
| Prepayment rate | |
| Bank lending rate | |
| Manufacturer’s initial capital |
| Incomplete Information Risk | Complete Information without Risk | |
|---|---|---|
| Incomplete Information Risk | Complete Information without Risk | |
|---|---|---|
| x = 1.5 | x = 1.25 | x = 1 | x = 0.75 | x = 0.5 | ||||||
|---|---|---|---|---|---|---|---|---|---|---|
| al = 40 | 2642.0 | 1694.9 | 2642.0 | 1859.2 | 2642.0 | 2034.8 | 2642.0 | 2224.0 | 2642.0 | 2429.9 |
| al = 60 | 4802.0 | 3805.4 | 4802.0 | 4007.7 | 4802.0 | 4226.8 | 4802.0 | 4466.5 | 4802.0 | 4731.4 |
| al = 80 | 6482.0 | 5457.2 | 6482.0 | 5687.4 | 6482.0 | 5938.8 | 6482.0 | 6216.2 | 6482.0 | 6525.3 |
| al = 100 | 7682.0 | 6650.2 | 7682.0 | 6898.3 | 7682.0 | 7170.8 | 7682.0 | 7473.0 | 7682.0 | 7811.4 |
| al = 120 | 8402.0 | 7384.3 | 8402.0 | 7640.5 | 8402.0 | 7922.8 | 8402.0 | 8236.9 | 8402.0 | 8589.9 |
| al = 140 | 8642.0 | 7659.6 | 8642.0 | 7913.9 | 8642.0 | 8194.8 | 8642.0 | 8508.0 | 8642.0 | 8860.7 |
Disclaimer/Publisher’s Note: The statements, opinions and data contained in all publications are solely those of the individual author(s) and contributor(s) and not of MDPI and/or the editor(s). MDPI and/or the editor(s) disclaim responsibility for any injury to people or property resulting from any ideas, methods, instructions or products referred to in the content. |
© 2024 by the authors. Licensee MDPI, Basel, Switzerland. This article is an open access article distributed under the terms and conditions of the Creative Commons Attribution (CC BY) license (https://creativecommons.org/licenses/by/4.0/).
Share and Cite
Liu, H.; Wei, Z.; Hu, D.; Yang, J.; Linghu, D. Robust Financing Decisions of Green Supply Chain under Market Risk. Sustainability 2024, 16, 7942. https://doi.org/10.3390/su16187942
Liu H, Wei Z, Hu D, Yang J, Linghu D. Robust Financing Decisions of Green Supply Chain under Market Risk. Sustainability. 2024; 16(18):7942. https://doi.org/10.3390/su16187942
Chicago/Turabian StyleLiu, Huimin, Zengqing Wei, Dingyuan Hu, Jinyu Yang, and Dazhi Linghu. 2024. "Robust Financing Decisions of Green Supply Chain under Market Risk" Sustainability 16, no. 18: 7942. https://doi.org/10.3390/su16187942
APA StyleLiu, H., Wei, Z., Hu, D., Yang, J., & Linghu, D. (2024). Robust Financing Decisions of Green Supply Chain under Market Risk. Sustainability, 16(18), 7942. https://doi.org/10.3390/su16187942
