The Evolution of Government–Enterprise Strategies of “Expressway + Logistics Distribution”
Abstract
1. Introduction
2. Literature Review
2.1. Sustainable Development of Expressways
2.2. Expressway Logistics Distribution (ELD)
2.3. Evolutionary Game
3. Methodology
4. Comparative Analysis of Three “Logistics Distribution” Modes
4.1. Original Distribution Mode
4.2. ELD Service Area Closed Mode
4.3. ELD Service Area Open Mode
5. Evolutionary Game Mode of ELD
5.1. Basic Assumptions of the Model
5.1.1. Game Stakeholder
5.1.2. Behavioral Strategies of Game Stakeholders
- The government’s behavioral strategy is to choose whether to provide support policies for the development of ELD to the expressway group and logistics enterprises. Such policies include investment in logistics -related infrastructure, granting land development rights within expressway land-use boundary, and implementing tax incentives. These measures aim to encourage proactive participation from the expressway group and logistics enterprises in the development of ELD. Therefore, the government’s strategy set is defined as W1 = {Q1: policy support, Q2: no policy support};
- The behavioral strategy of the expressway group is to choose whether to collaborate with logistics enterprises in developing ELD, that is, to decide whether to take measures to attract logistics enterprises, such as reducing land and warehouse rental fees and offering toll discounts. Accordingly, the strategy set for the expressway is W2 = {M1: cooperation, M2: no cooperation}.
- The behavioral strategy of the logistics enterprise is to choose whether to enter the expressway to carry out logistics distribution, that is, to choose whether to use the expressway road property resources to carry out logistics and distribution business. These resources include idle land resources in service areas, abandoned toll station land resources, rich road network resources, and expressway platform information resources. Therefore, the behavioral strategy set of logistics enterprises is defined as: W3 = {N1: entry, N2: no entry}.
5.1.3. Implementation Probability of Behavior Strategy
5.1.4. Related Parameters and Meanings in the Evolutionary Game Model
- When the government provides support policies for the development of ELD, it incurs costs associated with infrastructure construction, such as the construction or reconstruction costs of the service area connecting the municipal roads, involving human resources, materials, and finances (denoted as C1). At the same time, these policies yield comprehensive benefits, including rewards from higher-level governments and improvements in governmental image (R1 > C1). When implementing the support policies, the government grants the expressway groups that choose to cooperate with the “land-use-right” (K1), allowing them to freely engage in land planning and infrastructure usage within the land-use boundary along the expressway. Furthermore, the government offers tax incentives to these expressway groups, with the incentive level a (0 < a < 1). Under normal circumstances, the tax imposed on expressway groups is represented by S1. Similarly, for logistics enterprises that choose entry, the government also provides tax incentives with the incentive level b (0 < b < 1). Otherwise, the tax collected by the government from logistics enterprises is Q1. When expressway groups choose cooperation or logistics enterprises choose entry, the government can gain social benefits. These benefits include the increase in social benefits caused by the reduction in logistics costs and the sustainable development benefits brought by the increase in expressway group income (represented by R2). Conversely, if expressway groups do not cooperate and logistics enterprises do not enter, the government faces potential penalties, denoted as G1;
- The income variation for expressway groups before and after cooperation primarily manifests in toll fees. The income other than the tolls is Ra. If logistics enterprises choose entry, the income is Ra + Kb. Before the expressway group chooses cooperation, the toll fee is S2, the operating cost is Cb, and the tax is S1. After the expressway group chooses cooperation, the toll fee is S2. If logistics enterprises choose entry, it is S3 (S3 > S2). The operating cost is Ca. The tax is S1. If the government provides policy support, it is aS1. In addition, the rental subsidy given by the expressway group to logistics enterprises is K2;
- Before logistics enterprises choose entry, the income from the distribution business is Rbb, the toll fee is S2, tax is Q1, and site rent is Kb. If the expressway group chooses cooperation, site rent is Kb − K2. The transportation costs of large and small vehicles are Vbb and Vbs (considering mileage and driving time). After logistics enterprises choose entry, the income from the distribution business is Raa, the toll fee is S2. If the expressway group chooses cooperation, the toll fee is S3. Tax is Q1. If the government provides policy support, tax is bQ1). Site rent is Kb. If the expressway group chooses cooperation, site rent is Kb − K2. The transportation costs of large and small vehicles are Vab and Vas (considering mileage and driving time).
5.2. Payoff Matrix
6. Analysis of Evolutionary Stable Strategy
6.1. Evolutionary Stable Strategy of Government
6.2. Evolutionary Stable Strategy of Expressway Group
6.3. Evolutionary Stable Strategy of Logistics Enterprise
6.4. Stability Analysis of the Equilibrium Point of the Three-Party Evolutionary Game
7. Numerical Experiments and Simulation Analysis
7.1. Data Simulation Analysis of Equilibrium Points
7.2. Data Simulation Analysis of Factors
7.2.1. Policy Support, Cooperation, Entry
7.2.2. Policy Support, No Cooperation, Entry
8. Discussion
- (1)
- An increase in the government “land-use-right” grants and tax incentives will promote the expressway group to choose cooperation. This addresses the issue identified by Mr. Xu [4], who noted that the ELD model faces a lack of corresponding land policy support and incentive mechanisms during implementation;
- (2)
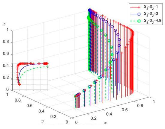
- Under the government support policy, when the expressway group chooses cooperation and logistics enterprises choose entry, the traditional ELD model is realized. For the expressway group, increased toll income from higher traffic volume and higher rental income from logistics enterprises choosing entry can boost its asset income, thereby supporting expressway operations and debt repayment [2]. However, stability analysis of the equilibrium point reveals that when the warehouse rent of logistics enterprises exceeds the “land-use-right” grants and tax incentives provided by the government for expressway group cooperation, the strategy combination (policy support, no cooperation, entry) can also achieve stability;
- (3)
- The analysis of equilibrium point stability conditions reveals that changes in transportation costs before and after logistics enterprises choose entry, along with the strategy selection of the expressway group, significantly impact the location of the distribution center. This finding enriches the existing research on the siting of logistics centers within expressway logistics networks [7,8,9,10].
9. Conclusions
- (1)
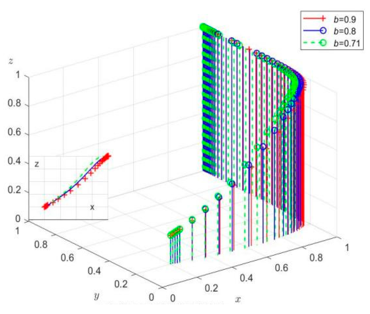
- The increase in the degree of government “land-use-right” grants promotes cooperation among expressway groups, enhancing their land planning flexibility and business diversity. However, when these grants reach a high level, resource crowding occurs, reducing the willingness of logistics enterprises to choose entry. Simulation results demonstrate that, compared to lower levels of “land-use-right” grants, higher levels make the government tax incentive policies significantly more effective in steering the system toward positive evolution. Therefore, the implementation of “land-use-right” grant policies must strike a balance, ensuring fair resource distribution while maximizing the impact of tax incentives on the strategic choices of both expressway groups and logistics enterprises.
- (2)
- Government tax incentive policies for expressway groups and logistics enterprises boost their willingness to cooperate and entry. Simulation analysis reveals that such policies have varying impacts on the strategic choices of expressway groups and logistics enterprises. In situations of fiscal constraints, it may be preferable for the government to prioritize providing more tax incentives to expressway groups.
- (3)
- Besides governmental regulatory policies, this study also examines the effects of rent reductions and toll fee discounts provided by expressway groups to logistics enterprises. As these incentives increase, the likelihood of government policy support also rises, thereby fostering the beneficial development of the “expressway + logistics distribution” model.
- (4)
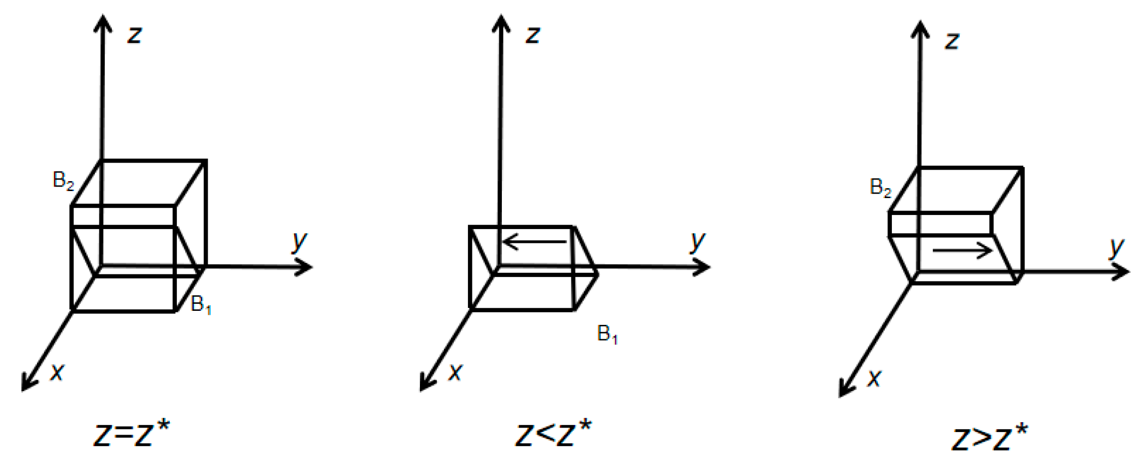
- From the analysis of eigenvalues and stability, there are two stable strategy sets in the evolutionary system: (policy support, cooperation, entry) and (policy support, no cooperation, entry). According to the current government policy, for newly built service area sections, the government should strengthen the implementation of “land-use-right” grants and tax incentive policies to avoid the emergence of (policy support, no cooperation, entry) strategies. For service areas that have been operational for more than three years and meet the specified criteria, where the expressway group has applied for and received approval for reconstruction, the government can use policy adjustments to guide the selection of the (policy support, no cooperation, entry) strategy. This approach balances fiscal savings with increased asset returns for expressway groups.
- (5)
- Based on the stability conditions and simulation results of the (policy support, cooperation, entry) equilibrium point, logistics enterprises can make decisions regarding the location of logistics distribution centers based on changes in transportation costs before and after entry and the strategies of expressway groups.
Author Contributions
Funding
Institutional Review Board Statement
Informed Consent Statement
Data Availability Statement
Conflicts of Interest
References
- Yu, H.; Zahidi, I.; Fai, C.M. Reclaiming abandoned mine tailings ponds for agricultural use: Opportunities and challenges. Environ. Res. 2023, 232, 116336. [Google Scholar] [CrossRef]
- Yu, H.; Zahidi, I.; Liang, D. Mine land reclamation, mine land reuse, and vegetation cover change: An intriguing case study in Dartford, the United Kingdom. Environ. Res. 2023, 225, 115613. [Google Scholar] [CrossRef] [PubMed]
- Yu, H.; Gunaratna, G.; Zahidi, I.; Fai, C.M. Sungai Lembing’s green tourism: Pioneering the future of resource-based urban renewal. Innovation 2024, 5, 100578. [Google Scholar] [CrossRef]
- Wang, H.X.; Chu, C.C.; Liu, Y.; Zhao, X.H.; Chen, J.J.; Gao, A.Y.; Wen, Y.Z. Development and Policy Recommendations for Expressway Derived Economy. Transp. Res. 2019, 5, 16–23. [Google Scholar]
- Sun, Y. Development and Countermeasure Study of Highway Derived Economy. Vitality 2022, 629, 109–111. [Google Scholar]
- Zhang, J.; Pan, D.; Ren, Z.Y.; Huang, H.S. Research on the Development Ideas of Highway Regional Economy in Shandong Province. China Eng. Consult. 2023, 53–57. [Google Scholar]
- Xu, X.X.; Kong, Y.P. From Service Areas to Regional Services—A Study on the Problems and Countermeasures of Developing Highway Derived Economy in Service Areas. China Highw. 2022, 74–77. [Google Scholar] [CrossRef]
- Ghanbarpour, M.R.; Hipel, K.W. Sustainable development conflict over freeway construction. Environ. Dev. Sustain. 2009, 11, 241–253. [Google Scholar] [CrossRef]
- Santos, F.C.; Rohden, A.B.; Palu, S.M.K.; Garcez, M.R. Sustainability-oriented assessment of pavement technologies: A case study of a heavy-traffic highway in Brazil. Case Stud. Constr. Mater. 2024, 20, e03337. [Google Scholar] [CrossRef]
- Pasquale, C.S.; Sacone, S.; Siri, A.; Ferrara, A. Traffic control for freeway networks with sustainability-related objectives: Review and future challenges. Annu. Rev. Control. 2019, 48, 312–324. [Google Scholar] [CrossRef]
- Bacior, S.; Prus, B. Infrastructure development and its influence on agricultural land and regional sustainable development. Ecol. Inform. 2018, 44, 82–93. [Google Scholar] [CrossRef]
- Holl, A.; Mariotti, I. Highways and firm performance in the logistics industry. J. Transp. Geogr. 2018, 72, 139–150. [Google Scholar] [CrossRef]
- Kang, Q.J. Research on Path Optimization of Logistics Distribution in H Company’s Highway Service Area. Ph.D. Thesis, Hebei University of Economics and Business, Shijiazhuang, China, 2019. [Google Scholar]
- Wang, L. Network Optimization Research of Logistics Distribution Based on Beijing Expressway Service Area. Ph.D. Thesis, Beijing Jiaotong University, Beijing, China, 2020. [Google Scholar]
- Xu, W.; Rong, M. Research on Optimization of Expressway Logistics Path Based on the Advantages of Multimodal Transport in the Environment of Internet of Things. Wireless Pers. Commun. 2022, 126, 1981–1997. [Google Scholar] [CrossRef]
- Wang, W.; Chen, J.-C.; Wu, Y.J. The Prediction of Freeway Traffic Conditions for Logistics Systems. IEEE Access 2019, 7, 138056–138061. [Google Scholar] [CrossRef]
- Zhang, Z.P. Research on Path-Location Problems Based on Passenger Transport Logistics Networks. Ph.D. Thesis, Shandong Normal University, Jinan, China, 2015. [Google Scholar]
- Xin, B.L. Research on the Location of Logistics Distribution Centers in Shandong Expressway Service Areas. Ph.D. Thesis, Ocean University of China, Beijing, China, 2014. [Google Scholar]
- Dong, X.D. Research on the Location of Logistics Distribution Centers in Expressway Service Areas Based on Adaptive Genetic Algorithm. Ph.D. Thesis, Chang’an University, Xi’an, China, 2018. [Google Scholar]
- Zhang, C.C. Research on the Location of Third-Party Logistics in Regional Expressway Service Areas. Ph.D. Thesis, Chang’an University, Xi’an, China, 2020. [Google Scholar]
- Zhuang, X.Y.; Lu, K.B.; Yu, L.T. Research on the Development of Logistics in Anhui Expressway Service Areas. J. Chang. Univ. Sci. Technol. (Soc. Sci. Ed.) 2015, 28, 81–85. [Google Scholar]
- Ren, D.L.; He, S.J. On the Logistics Distribution Model and Path Selection of Expressway Service Areas. Knowl. Econ. 2010, 95. [Google Scholar] [CrossRef]
- Wang, S.S. Research on the Establishment of Logistics Distribution System Relying on Expressway Service Areas. Ph.D. Thesis, Chang’an University, Xi’an, China, 2017. [Google Scholar]
- Cao, M.Q. Research on the Logistics Distribution Model of Sichuan Expressway Service Areas. Ph.D. Thesis, Southwest Petroleum University, Chengdu, China, 2014. [Google Scholar]
- Zhang, X.Y. Construction and Optimization of New Logistics Network Integrated with Expressway Network. Ph.D. Thesis, Shijiazhuang Tiedao University, Shijiazhuang, China, 2022. [Google Scholar]
- Pu, Y.H. Research on the Planning Model of Expressway Logistics Network. Ph.D. Thesis, Changsha University of Science & Technology, Changsha, China, 2008. [Google Scholar]
- Dong, M.F. Research on the Optimization of New Logistics Network Based on the “Service Area + Logistics” Mode of Expressways. Ph.D. Thesis, Shijiazhuang Tiedao University, Shijiazhuang, China, 2023. [Google Scholar]
- Shen, J.M. Research on Intelligent Scheduling Mode of Cold Chain Logistics for Fresh Agricultural Products in Expressway Service Areas under Digital Background. Jiangsu Commer. Forum 2023, 35–39. [Google Scholar] [CrossRef]
- Kou, Z.; Zhang, M. LRP. Mode and Algorithm of Expressway Logistics Network Planning Based on Internet of Things. Mob. Inf. Syst. 2021, 2021, 5648330. [Google Scholar] [CrossRef]
- Chengl, F.; Yut, T. Game-theoretic Approaches Applied to Transactions in the Open and Ever-growing Electricity Markets from the Perspective of Power Demand Response: An Overview. IEEE Access 2019, 7, 25727–25762. [Google Scholar] [CrossRef]
- Manoussi, V.; Xepapadeas, A. Cooperation and Competition in Climate Change Policies: Mitigation and Climate Engineering when Countries are Asymmetric. Environ. Resour. Econ. 2017, 66, 605–627. [Google Scholar] [CrossRef]
- Stiglitz, J.E. Countering the Power of Vested Interests: Advancing Rationality in Public Decision-making. J. Econ. Issues 2017, 51, 359–365. [Google Scholar] [CrossRef]
- Feng, N.; Ge, J. How does fiscal policy affect the green low-carbon transition from the perspective of the evolutionary game. Energy Econ. 2024, 134, 107578. [Google Scholar] [CrossRef]
- Li, J.; Gao, L.; Tu, J. Evolutionary Game Analysis of Governments’ and Enterprises’ Carbon-Emission Reduction. Sustainability 2024, 16, 4216. [Google Scholar] [CrossRef]
- Yu, Z.; Tianshan, M.; Rehman, S.A.; Sharif, A.; Janjua, L. Evolutionary game of end-of-life vehicle recycling groups under government regulation. Clean Technol. Environ. Policy 2023, 25, 1473–1484. [Google Scholar] [CrossRef]
- Zheng, S.; Yu, L. The government’s subsidy strategy of carbon-sink fishery based on evolutionary game. Energy 2022, 254 Pt B, 360–5442. [Google Scholar]
- Eghbali, M.-A.; Rasti-Barzoki, M.; Altmann, J. An evolutionary game-theoretic approach to analysis the green innovation chain dynamics under government policies. Technol. Soc. 2024, 77, 102568. [Google Scholar] [CrossRef]
- Liu, C.; Wang, H.; Dai, Y. Sustainable cooperation between Schools, Enterprises, and Government: An Evolutionary Game Theory Analysis. Sustainability 2023, 15, 13997. [Google Scholar] [CrossRef]
- Wang, Q.; Man, S.; Wang, Y. Evolutionary game analysis between regional governments and shipping companies: Considering the impact of government subsidy on shipping companies. Mar. Pollut. Bull. 2024, 205, 116655. [Google Scholar] [CrossRef]
- Xu, J.; Cao, J.; Wang, Y.; Shi, X.; Zeng, J. Evolutionary Game on Government Regulation and Green Supply Chain Decision-Making. Energies 2020, 13, 620. [Google Scholar] [CrossRef]
- Zhang, M.; Kong, Z. A three-party evolutionary game mode of emergency supplies joint reserve among the government, enterprise and society. Comput. Ind. Eng. 2022, 169, 0360–8352. [Google Scholar] [CrossRef]
- Fudenberg, D.; Tirole, J. Game Theory; MIT Press: Cambridge, MA, USA, 1991. [Google Scholar]
- Axelrod, R.; Hamilton, W.D. The evolution of cooperation. Science 1981, 211, 1390–1396. [Google Scholar] [CrossRef] [PubMed]
- Lv, J.; Lin, M.; Zhou, W.; Xu, M. How PPP renegotiation behaviors evolve with traffic changes: Evolutionary game approach. J. Constr. Eng. Manag. 2021, 147, 04021032. [Google Scholar] [CrossRef]
- Ritzberger, K.; Weibull, J.W. Evolutionary selection in normal-form games. Econometrica 1995, 63, 1371–1399. [Google Scholar] [CrossRef]
- Yu, H.; Zahidi, I.; Fai, C.M.; Liang, D.; Madsen, D.Ø. Elevating community well-being in mining areas: The proposal of the mining area sustainability index (MASI). Environ. Sci. Eur. 2024, 36, 71. [Google Scholar] [CrossRef]


























| Parameter | Meaning |
|---|---|
| Comprehensive benefits when the government provides policy support | |
| The costs of manpower, material resources, and financial resources incurred by the government in providing support policies | |
| The “land-use-right” given to the expressway group that chooses to cooperate when the government provides support policies | |
| The taxes collected by the government to the expressway group | |
| The tax incentives given to the expressway group that chooses to cooperate when the government provides support policies | |
| The taxes collected by the government for the logistics enterprise | |
| The tax incentives given to the logistics enterprise that chooses entry when the government provides support policies | |
| The social benefits obtained by the government when expressway groups choose to cooperate or logistics enterprises choose entry | |
| The potential penalties suffered by the government when expressway groups choose not to cooperate and logistics enterprises choose not to enter | |
| The operating costs of the expressway group after cooperation | |
| The operating costs of the expressway group before cooperation | |
| The rental subsidies given to the logistics enterprise by the expressway group that chooses to cooperate | |
| The tolls collected by the expressway group before cooperation | |
| The tolls collected by the expressway group after cooperation (if the logistics enterprises do not enter, it is still S2) | |
| The income from distribution business after the logistics enterprise chooses entry | |
| The income from distribution business before the logistics enterprise chooses entry | |
| Site rent before logistics enterprises choose entry | |
| Large vehicle transportation cost after logistics enterprises choose entry | |
| Small vehicle transportation cost after logistics enterprises choose entry | |
| Large vehicle transportation cost before logistics enterprises choose entry | |
| Small vehicle transportation cost before logistics enterprises choose entry |
| Logistics Enterprise | z | 1 − z | ||
|---|---|---|---|---|
| Expressway Group | y | 1 − y | y | 1 − y |
| Government | ||||
x | ||||
1 − x | ||||
| Equilibrium Point | Jacobin Matrix Eigenvalues | Stability Conclusion | |
|---|---|---|---|
| λ1, λ2, λ3 | Real Part of Symbol | ||
| D1:(0,0,0) | (+,−,×) | Instability | |
| D2:(0,1,0) | (+,×,×) | Instability | |
| D3:(0,0,1) | (+,−,×) | Instability | |
| D4:(0,1,1) | (+,×,×) | Instability | |
| D5:(1,0,0) | (−,×,+) | Instability | |
| D6:(1,1,0) | (×,+,×) | Instability | |
| D7:(1,0,1) | (×,×,×) | Possible for ESS | |
| D8:(1,1,1) | (×,×,×) | Possible for ESS | |
| Scenario | Equilibrium Point | Conditions for Evolutionary Stability | ||
|---|---|---|---|---|
| Scenario 1 | D7:(1,0,1) | |||
| Scenario 2 | D8:(1,1,1) | |||
| Scenario 1 | 1 | 4 | 0 | 5 | 1 | 10 | 0.8 | 1 | 0 | 0 | 22 | 0 | 44 | 0 | 110 | 105 | 35 | 5 | 15 | 7 | 11 |
| Scenario 2 | 1 | 6 | 1 | 5 | 0.8 | 10 | 0.8 | 1 | 0 | 23 | 22 | 1 | 44 | 45 | 110 | 105 | 35 | 5 | 15 | 7 | 11 |
| Parameter | The Impact on Government Strategy Choices | The Impact on Government Strategy Choices | The Impact on Government Strategy Choices |
|---|---|---|---|
| (Policy support, cooperation, entry) | |||
| Negative | Positive | Negative | |
| Positive | Negative | Positive | |
| Positive | Negative | Negative | |
| Positive | Negative | Negative | |
| Negative | Positive | Negative | |
| Positive | Negative | Negative | |
| (Policy support, no cooperation, entry) | |||
| Positive | Negative | Negative | |
| Positive | Negative | Negative | |
Disclaimer/Publisher’s Note: The statements, opinions and data contained in all publications are solely those of the individual author(s) and contributor(s) and not of MDPI and/or the editor(s). MDPI and/or the editor(s) disclaim responsibility for any injury to people or property resulting from any ideas, methods, instructions or products referred to in the content. |
© 2024 by the authors. Licensee MDPI, Basel, Switzerland. This article is an open access article distributed under the terms and conditions of the Creative Commons Attribution (CC BY) license (https://creativecommons.org/licenses/by/4.0/).
Share and Cite
Jiang, P.; Shui, W.; He, M. The Evolution of Government–Enterprise Strategies of “Expressway + Logistics Distribution”. Sustainability 2024, 16, 7661. https://doi.org/10.3390/su16177661
Jiang P, Shui W, He M. The Evolution of Government–Enterprise Strategies of “Expressway + Logistics Distribution”. Sustainability. 2024; 16(17):7661. https://doi.org/10.3390/su16177661
Chicago/Turabian StyleJiang, Peiling, Wenbing Shui, and Mingwei He. 2024. "The Evolution of Government–Enterprise Strategies of “Expressway + Logistics Distribution”" Sustainability 16, no. 17: 7661. https://doi.org/10.3390/su16177661
APA StyleJiang, P., Shui, W., & He, M. (2024). The Evolution of Government–Enterprise Strategies of “Expressway + Logistics Distribution”. Sustainability, 16(17), 7661. https://doi.org/10.3390/su16177661
