Emission Durability of a China-6 Light-Duty Gasoline Vehicle
Abstract
1. Introduction
2. Experimental Setup and Methodology
2.1. Test Vehicle
2.2. Vehicle Aging Test and Evaluation Method
2.3. Vehicle Emissions Testing Methods
2.4. Vehicle Fuel Consumption Calculation
3. Results and Discussion
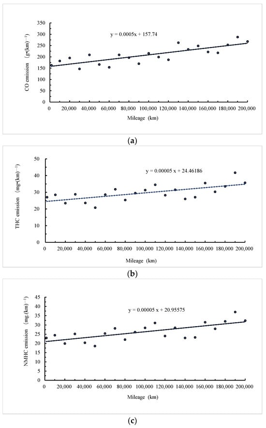
3.1. Analysis of Durability Characteristics of CO, THC, NMHC, and NOx Emissions
3.2. Analysis of N2O Emissions Durability Characteristics
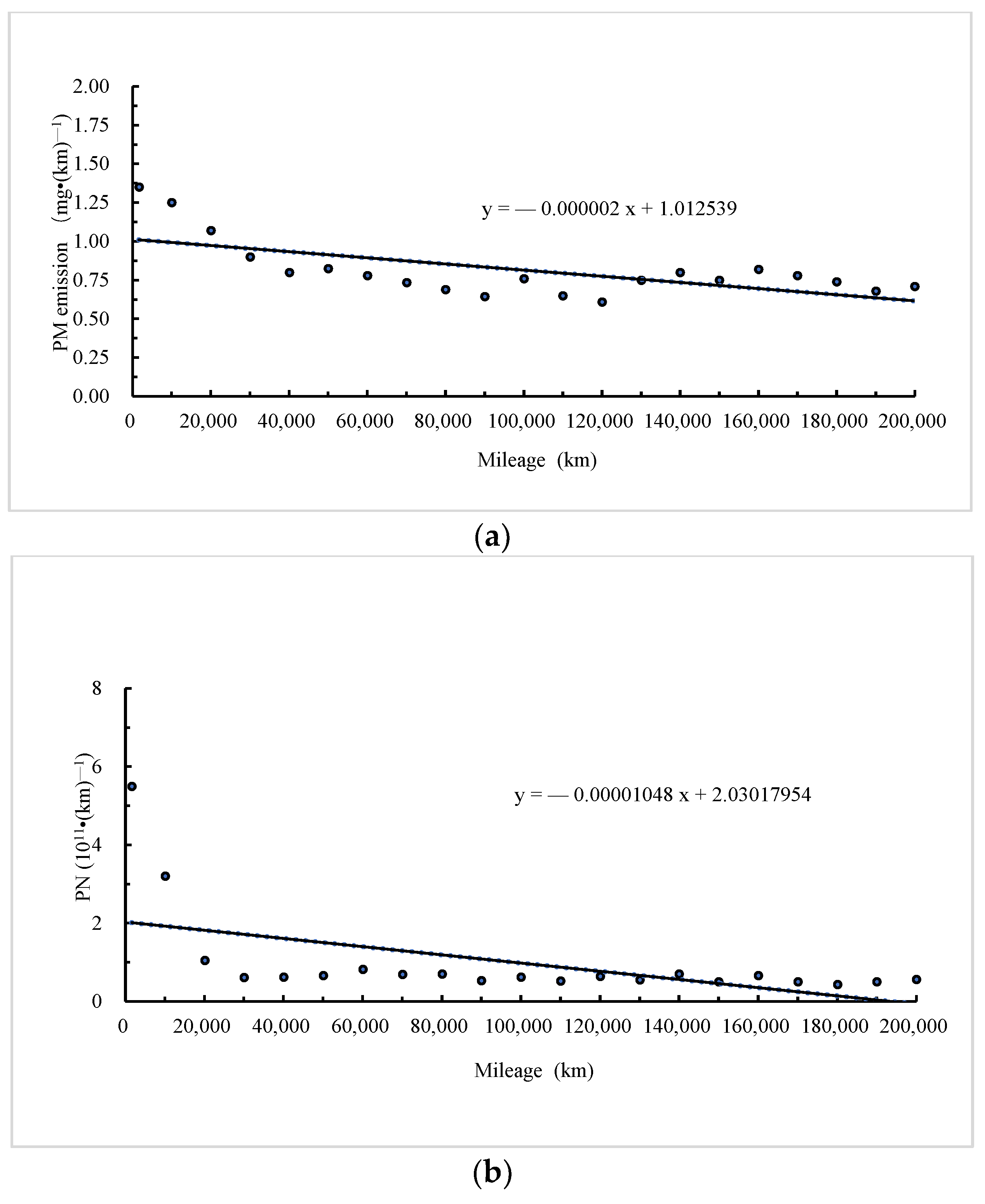
3.3. Analyses of PM and PN Emissions Durability Characteristics
3.4. Analyses of CO2 and Fuel Consumption Durability Characteristics
3.5. Deterioration Factors
4. Conclusions
Author Contributions
Funding
Institutional Review Board Statement
Informed Consent Statement
Data Availability Statement
Conflicts of Interest
Nomenclature
| AMA | Approved mileage accumulation |
| CGPF | Catalytic GPF |
| CLD | Chemiluminescent detector |
| CO | Carbon monoxide |
| CO2 | carbon dioxide |
| cpsi | cells per square inch |
| DF | Deterioration factor |
| DPF | Diesel particulate filter |
| FID | Hydrogen flame ionization |
| GPF | Gasoline particulate filter |
| HC | Hydrocarbon |
| NDIR | Non-dispersive infrared detection |
| NMHC | Non-methane hydrocarbon |
| NOx | Nitrogen oxides |
| PM | Particulate matter |
| PN | particulate number |
| TWC | Three-way catalyst |
| SRC | standard road cycle |
| THC | Total hydrocarbons |
| US EPA | US Environmental Protection Agency |
| WLTC | Worldwide harmonized light vehicles test cycle |
References
- Jiang, Y.; Ding, D.; Dong, Z.; Liu, S.; Chang, X.; Zheng, H.; Xing, J.; Wang, S. Extreme Emission Reduction Requirements for China to Achieve World Health Organization Global Air Quality Guidelines. Environ. Sci. Technol. 2023, 57, 4424–4433. [Google Scholar] [CrossRef] [PubMed]
- Xu, M.; Weng, Z.; Xie, Y.; Chen, B. Environment and health co-benefits of vehicle emission control policy in Hubei, China. Transp. Res. Part D Transp. Environ. 2023, 120, 103773. [Google Scholar] [CrossRef]
- Anenberg, S.C.; Miller, J.; Injares, R.M.; Du, L.; Henze, D.K.; Lacey, F.; Malley, C.S.; Emberson, L.; Franco, V.; Klimont, Z.; et al. Impacts and mitigation of excess diesel-related NOx emissions in 11 major vehicle markets. Nature 2017, 545, 467–471. [Google Scholar] [CrossRef] [PubMed]
- Zhao, H.; Chen, K.; Liu, Z.; Zhang, Y.; Shao, T.; Zhang, H. Coordinated control of PM2.5 and O3 is urgently needed in China after implementation of the “Airpollution prevention and control action plan”. Chemosphere 2021, 270, 129441. [Google Scholar] [CrossRef]
- Zhang, W.; Fang, X.; Sun, C. The alternative path for fossil oil: Electric vehicles or hydrogen fuel cell vehicles. J. Environ. Manag. 2023, 341, 118019. [Google Scholar] [CrossRef]
- Jiang, Y.; Song, G.; Wu, Y.; Lu, H.; Zhai, Z.; Yu, L. Impacts of cold starts and hybrid electric vehicles on on-road vehicle emissions. Transp. Res. Part D 2024, 126, 104011. [Google Scholar] [CrossRef]
- Tu, R.; Xue, L.; Meng, C.; Xu, L.; Li, T.; Chen, H. Identifying specifications of in-use vehicles failing the inspection/ maintenance emission test. Transp. Res. Part D. Transp. Environ. 2022, 108, 103327. [Google Scholar] [CrossRef]
- Beydoun, M.; Guldmann, J.M. Vehicle characteristics and emissions: Logit and regression analyses of I/M data from Massachusetts, Maryland, and Illinois. Transp. Res. Part D (Transp. Environ.) 2006, 11, 59–76. [Google Scholar] [CrossRef]
- Wenzel, T. Reducing emissions from in-use vehicles: An evaluation of the Phoenix inspection and maintenance program using test results and independent emissions measurements. Environ. Sci. Policy 2001, 4, 359–376. [Google Scholar] [CrossRef]
- Wang, C.; Xia, W.; Yang, D.; Zheng, T.; Rong, Y.; Du, J.; Wu, B.; Zhao, Y. Understanding ammonia and nitrous oxide formation in typical three-way catalysis during the catalyst warm-up period. J. Hazard. Mater. 2022, 438, 129553. [Google Scholar] [CrossRef]
- Lyu, L.; Ji, Z.; Yin, H.; Wang, J.; Yang, W.; Tan, J.; Hao, L.; Wang, X.; Wang, H.; Ge, Y.; et al. NOx emission deterioration in modern heavy-duty diesel vehicles based on long-term real driving measurements. Environ. Res. 2023, 2023, 116396. [Google Scholar] [CrossRef] [PubMed]
- GB18352.6-2016; Limits and Measurement Methods for Emissions from Light-Duty Vehicles (China 6). Ministry of Environmental Protection (MEP): Beijing, China, 2016. Available online: https://www.mee.gov.cn/ywgz/fgbz/bz/bzwb/dqhjbh/dqydywrwpfbz/201612/W020171207355626647621.pdf (accessed on 19 July 2024). (In Chinese)
- Maricq, M.M. Engine, aftertreatment, fuel quality and non-tailpipe achievements to lower gasoline vehicle PM emissions: Literature review and future prospects. Sci. Total Env. 2023, 886, 161225. [Google Scholar] [CrossRef]
- Zhao, T.; Yang, L.; Huang, Q.; Zhang, W.; Duan, S.; Gao, H.; Wang, W. PM2.5-bound polycyclic aromatic hydrocarbons (PAHs) and nitrated-PAHs (NPAHs) emitted by gasoline vehicles: Characterization and health risk assessment. Sci. Total Environ. 2020, 727, 138631. [Google Scholar] [CrossRef] [PubMed]
- Zhang, S.; Wu, Y.; Liu, H.; Huang, R.; Un, P.; Zhou, Y.; Fu, L.; Hao, J. Real-world fuel consumption and CO2 (carbon dioxide) emissions by driving conditions for light duty passenger vehicles in China. Energy 2014, 69, 247–257. [Google Scholar] [CrossRef]
- Ministry of Ecology and Environment of the People’s Republic of China (MEEPRC). China Mobile Source Environmental Management Annual Report; Ministry of Ecology and Environment of the People’s Republic of China (MEEPRC): Beijing, China, 2023. (In Chinese) [Google Scholar]
- Zhan, Z.; Song, L.; Liu, X.; Jiao, J.; Li, J.; He, H. FerrerEffects of synthesis methods on the performance of Pt + Rh/Ce0.6Zr0.4O2 three-way catalysts. J. Environ. Sci. 2014, 26, 683–693. [Google Scholar] [CrossRef]
- Cao, Y.; Ran, R.; Wu, X.; Zhao, B.; Wan, J.; Weng, D. Comparative study of aging condition effects on Pd/Ce0.5Zr0.5O2 and Pd/Al2O3 catalysts: Catalytic activity, palladium nanoparticle structure and Pd-support interaction. Appl. Catal. A-Gen. 2013, 457, 52–61. [Google Scholar] [CrossRef]
- Chen, X.; Cheng, Y.; Seo, C.Y.; Schwank, J.W.; McCabe, R.W. Aging, re-dispersion, and catalytic oxidation characteristics of model Pd/Al2O3 automotive three-way catalysts. Appl. Catal. B 2015, 163, 499–509. [Google Scholar] [CrossRef]
- Taheri, A.; Hamzehlouyan, T. Effect of hydrothermal aging on CO and C3H6 oxidation over a Pt-Pd-based wire mesh catalyst as a motorcycle after treatment device. Appl. Catal. A Genera. 2023, 656, 119128. [Google Scholar] [CrossRef]
- Karre, A.V.; Garlapalli, R.K.; Jena, A.; Tripathi, N. State of the art developments in oxidation performance and deactivation of diesel oxidation catalyst (DOC). Catal. Commun. 2023, 179, 106682. [Google Scholar] [CrossRef]
- Fathali, A.; Laurell, M.; Andersson, B. Fuel-cut based rapid aging of commercial three way catalysts—Influence of fuel-cut frequency, duration and temperature on catalyst activity. SAE Technol. Pap. 2013, 24, 156. [Google Scholar]
- Ruetten, O.; Pischinger, S.; Kupper, C.; Weinowski, R.; Gian, D.; Ignatov, D.; Betton, W.; Bahn, M. Catalyst aging method for future emissions standard requirements. SAE Technol. Pap. 2010, 1, 1272. [Google Scholar]
- Xiao, G.; Yu, J.; Tian, D. Research on test technology of SBC based on the temperature rise closed-loop control. Small Intern. Combust. Engine Veh. Technol. 2016, 45, 30–38. (In Chinese) [Google Scholar]
- Fang, J.; Meng, Z.W.; Li, J.; Pu, Y.F.; Du, Y.H.; Li, J.S.; Jin, Z.X.; Chen, C.; Chase, G.G. The influence of ash on soot deposition and regeneration processes in diesel particular filter. Appl. Therm. Eng. 2017, 124, 633–640. [Google Scholar] [CrossRef]
- Du, Y.; Meng, Z.; Fang, J.; Qin, Y.; Jiang, Y.; Li, S.; Li, J.; Chen, C.; Bai, W. Characterization of soot deposition and oxidation process on catalytic diesel particulate filter with ash loading through an optimized visualized method. Fuel 2019, 243, 251–261. [Google Scholar] [CrossRef]
- Yang, Z.; Liu, Y.; Wu, L.; Martinet, S.; Mao, H. Real-world gaseous emission characteristics of Euro 6b light-duty gasoline- and diesel-fueled vehicles. Transp. Res. Part D Transp. Environ. 2020, 78, 102215. [Google Scholar] [CrossRef]
- Mahesh, S.; Mcnabola, A.; Smith, W.; Timoney, D.; Ekhtiari, A.; Fowler, B.; Willis, P.; Rose, R.; Wareham, J.; Walker, H.; et al. On-road remote sensing of vehicles in Dublin: Measurement and emission factor estimation. Transp. Res. Part D Transp. Environ. 2023, 117, 103620. [Google Scholar] [CrossRef]
- He, H.; Lu, D.; Zhao, H.; Peng, Z. Characterizing CO2 and NOx emission of vehicles crossing toll stations in highway. Transp. Res. Part D 2024, 126, 104024. [Google Scholar] [CrossRef]
- Su, S.; Hou, P.; Lai, Y.; Lü, T.; Wang, X.; Ge, Y.; Lü, L. Study on Aging Effect of Aging Cycle on Three⁃way Catalytic Converter. Automot. Eng. 2021, 43, 345–349. (In Chinese) [Google Scholar] [CrossRef]
- Tutuianu, M.; Bonnel, P.; Ciuffo, B.; Haniu, T.; Ichikawa, N.; Marotta, A.; Pavlovic, J.; Steven, H. Development of the world-wide harmonized light duty test cycle (WLTC) and a possible pathway for its introduction in the European legislation. Transp. Res. Part D-Transp. Environ. 2015, 40, 61–75. [Google Scholar] [CrossRef]
- European Union(EU). 80/1268/EEC COUNCIL DIRECTIVE. Relating to the Carbon Dioxide Emissions and the Fuel Consumption of Motor Vehicles (as Last Amended by 1999/100/EC); European Union: Brussels, Belgium, 2000. [Google Scholar]
- Huai, T.; Durbin, T.; Miller, J.; Norbeck, J. Estimates of the emission rates of nitrous oxide from light-duty vehicles using different chassis dynamometer test cycles. Atmos. Environ. 2004, 38, 6621–6629. [Google Scholar] [CrossRef]
- Wang, Y.; Xing, Z.; Zhang, H.; Wang, Y.; Du, K. On-road mileage-based emission factors of gaseous pollutants from bi-fuel taxi fleets in China: The influence of fuel type, vehicle speed, and accumulated mileage. Sci. Total Environ. 2022, 819, 151999. [Google Scholar] [CrossRef]
- Wang, H.; Peng, Y.; Zhou, B.; Yuan, J.; Wang, R.; Si, W.; Li, J. Formation mechanisms of N2O and NH3 on Pd/ZrO2 and Pd/Al2O3 for NO reduction. Chem. Eng. J. 2023, 475, 145379. [Google Scholar] [CrossRef]









| Vehicle Type | Emission Standard | Fuel Type | Fuel Injection System | Intake System | After-Treatment System | Curb Weight /kg | Engine Swept Volume /L | Engine Maximum Power /kW | Useful Life /km |
|---|---|---|---|---|---|---|---|---|---|
| M1 | China-6b | gasoline | GDI | TC | TWC + CGPF | 2020 | 2.0 | 185 | 200,000 |
| Name | Manufacturer | Model |
|---|---|---|
| Chassis dynamometer | Horiba (Kyoto, Japan) | EMS-CD48L 2WD |
| Autopilot | WITT GmbH (Weiden, Germany) | FA 2000-END |
| Type | Density at 15 °C/(kg/m3) | Vapor Pressure/kPa | Research Octane Number | Sulfur Mass Fraction/10−6 |
|---|---|---|---|---|
| 95#gasoline | 0.760 | 57.9 | 96.6 | 2.8 |
| CO/ (mg/km) | THC/ (mg/km) | NMHC/ (mg/km) | NOx/ (mg/km) | N2O/ (mg/km) | PM/ (mg/km) | PN/ (#/km) |
|---|---|---|---|---|---|---|
| 500 | 50 | 35 | 35 | 20 | 3.0 | 6.0 × 1011 |
| CO | THC | NMHC | NOX | N2O | PM | PN |
|---|---|---|---|---|---|---|
| 1.8 | 1.5 | 1.5 | 1.8 | 1.0 | 1.0 | 1.0 |
| Equipment Name | Manufacturer | Model |
|---|---|---|
| Environmental test chamber | Imtech (Schwäbisch, Germany) | EC45192327 |
| Chassis dynamometer | Horiba (Kyoto, Japan) | EMS-CD48L 2WD COLD |
| Constant-volume sampling system | Horiba (Kyoto, Japan) | CVS-7400T |
| Emissions analyzer | Horiba (Kyoto, Japan) | MEXA-7200H |
| N2O analyzer | Horiba (Kyoto, Japan) | MEXA-1100QL |
| Particle counter | Horiba (Kyoto, Japan) | MEXA-2000SPCS |
| Item | CO | THC | NMHC | NOx | N2O | PM | PN | CO2 | Fuel Consumption |
|---|---|---|---|---|---|---|---|---|---|
| a | 0.0005 | 0.00005 | 0.00004 | 0.00005 | −0.0000002 | −0.000002 | −0.00001 | 0.00003 | 0.000001 |
| b | 157.610 | 24.445 | 17.803 | 19.096 | 3.072 | 1.012 | 2.026 | 208.010 | 8.415 |
| M1 (6400 km) | 160.8100 | 24.7650 | 17.8040 | 19.4160 | 3.0711 | 0.9996 | 1.9623 | 208.2020 | 8.4217 |
| M2 (200,000 km) | 257.6100 | 34.4450 | 25.8030 | 29.0960 | 3.0324 | 0.6124 | 0.0263 | 214.0100 | 8.6153 |
| Deterioration factor | 1.602 | 1.391 | 1.449 | 1.499 | 0.987 | 0.613 | 0.013 | 1.028 | 1.023 |
| Recommended deterioration factor | 1.8 | 1.5 | 1.5 | 1.8 | 1.0 | 1.0 | 1.0 |
Disclaimer/Publisher’s Note: The statements, opinions and data contained in all publications are solely those of the individual author(s) and contributor(s) and not of MDPI and/or the editor(s). MDPI and/or the editor(s) disclaim responsibility for any injury to people or property resulting from any ideas, methods, instructions or products referred to in the content. |
© 2024 by the authors. Licensee MDPI, Basel, Switzerland. This article is an open access article distributed under the terms and conditions of the Creative Commons Attribution (CC BY) license (https://creativecommons.org/licenses/by/4.0/).
Share and Cite
Wang, J.; Xu, Z.; Lu, W.; Ding, Y.; Wang, Y.; Hao, L.; Ge, Y. Emission Durability of a China-6 Light-Duty Gasoline Vehicle. Sustainability 2024, 16, 7526. https://doi.org/10.3390/su16177526
Wang J, Xu Z, Lu W, Ding Y, Wang Y, Hao L, Ge Y. Emission Durability of a China-6 Light-Duty Gasoline Vehicle. Sustainability. 2024; 16(17):7526. https://doi.org/10.3390/su16177526
Chicago/Turabian StyleWang, Junfang, Zhenxian Xu, Wenhui Lu, Yan Ding, Yunjing Wang, Lijun Hao, and Yunshan Ge. 2024. "Emission Durability of a China-6 Light-Duty Gasoline Vehicle" Sustainability 16, no. 17: 7526. https://doi.org/10.3390/su16177526
APA StyleWang, J., Xu, Z., Lu, W., Ding, Y., Wang, Y., Hao, L., & Ge, Y. (2024). Emission Durability of a China-6 Light-Duty Gasoline Vehicle. Sustainability, 16(17), 7526. https://doi.org/10.3390/su16177526

