Next Article in Journal
Sustainable Hybrid Manufacturing and Refurbishing Systems with Substitution
Previous Article in Journal
The Adoption of Digital Technologies by Small and Medium-Sized Enterprises for Sustainability and Value Creation in Pakistan: The Application of a Two-Staged Hybrid SEM-ANN Approach
 
 
Font Type:
Arial Georgia Verdana
Font Size:
Aa Aa Aa
Line Spacing:
Column Width:
Background:
Article

Pea Pod Valorization: Exploring the Influence of Biomass/Water Ratio, Particle Size, Stirring, and Catalysts on Chemical Platforms and Biochar Production

by
Daniel Esteban Galvis Sandoval
,
Alejandra Sophia Lozano Pérez
* and
Carlos Alberto Guerrero Fajardo
Departamento de Química, Facultad de Ciencias, Universidad Nacional de Colombia, Carrera 30 No. 45-02 Ed. Química, Bogotá 111321, Colombia
*
Author to whom correspondence should be addressed.
Sustainability 2024, 16(17), 7352; https://doi.org/10.3390/su16177352
Submission received: 3 May 2024 / Revised: 18 June 2024 / Accepted: 22 June 2024 / Published: 27 August 2024

Abstract

This study delves into the valorization of pea pod waste using hydrothermal processes, focusing on optimizing key parameters such as temperature, biomass-to-water ratio, particle size, and catalyst influence. Noteworthy findings include the significant impact of temperature variations on product yields, with 180 °C favoring sugars, HMF, and furfural, while 220 °C and 260 °C lead to distinct platform chemical productions. The utilization of a 1:20 biomass-to-water ratio consistently enhances yields by 10%, underscoring its importance in promoting efficient hydrolysis without excessive product degradation. Furthermore, the investigation into particle size reveals that smaller dimensions, particularly 1 mm particles, improved heat and mass transfer, reduced diffusion barriers, and enhanced digestibility, ultimately boosting overall efficiency in platform chemical production. Moreover, the study sheds light on the role of catalysts in the hydrothermal processes, showcasing the differential impact of acid and basic catalysts on product yields. Acid catalysts demonstrate a notable increase of up to 135.5% in the production of platform chemicals, emphasizing their crucial role in enhancing reaction efficiency. The complex relationship between agitation, temperature, and product formation is elucidated, with experiments revealing varying outcomes based on the presence or absence of agitation at different temperatures. These findings provide valuable insights into optimizing pea pod waste valorization, offering a pathway towards sustainable and efficient conversion of agricultural residues into valuable platform chemicals.

1. Introduction

Waste management plays a pivotal role in maintaining environmental sustainability and human health by effectively handling waste materials. It encompasses a range of activities such as collection, transportation, treatment, and disposal of waste to minimize environmental impact and promote resource conservation. The importance of proper waste management is underscored by its role in reducing pollution, preserving natural resources, and supporting sustainable development. Pea pod waste is a significant concern in waste management due to its potential environmental impact. Pea production is a substantial industry, with the global production of fresh peas reaching 20,529,759 tons in 2021 [1].
One the parameters of pea pod valorization that has not been studied is the biomass/water ratio. The biomass-to-water ratio is an important parameter that influences the yield and characteristics of the products obtained from the hydrothermal treatment of biomass, including pea pod waste [2]. Increasing the biomass-to-water ratio (i.e., using less water) generally leads to higher yields of the solid hydrochar product, as there is less water available to facilitate the hydrolysis and dissolution of the organic compounds [3]. Conversely, decreasing the biomass-to-water ratio (i.e., using more water) tends to favor the production of liquid and gaseous products, as the increased water content promotes the hydrolysis and decomposition of the biomass. The optimal biomass-to-water ratio depends on the specific feedstock and the desired products. The biomass-to-water ratio also affects the reaction kinetics and the physicochemical properties of the resulting hydrochar, such as its carbon content, surface area, and pore structure [4]. Similarly, the particle size of pea pod waste for its hydrothermal valorization remains without a lot of research. Several studies have investigated the impact of biomass particle size on the efficiency and product characteristics of hydrothermal carbonization (HTC) and other hydrothermal valorization methods. One study found that the feedstock particle size in HTC processes was very small (<1 mm) compared to other thermochemical processes like slow pyrolysis (several centimeters), and this smaller particle size improved heat transfer and reaction kinetics [5].
Hydrothermal processes have emerged as a promising approach for transforming various types of waste, including pea pod waste, into valuable products such as biochar and platform chemicals. These processes involve the treatment of biomass under high temperature and pressure conditions, typically in the presence of water [6]. During hydrothermal treatment, the complex organic compounds in the waste material undergo a series of reactions, including hydrolysis, dehydration, decarboxylation, and aromatization. This leads to the formation of biochar, a carbon-rich solid material that can be used as a soil amendment, a fuel source, or a precursor for the production of activated carbon and other value-added products [7]. Additionally, the hydrothermal process can also generate a range of platform chemicals, such as organic acids, alcohols, and furans, which can be further refined and utilized in various industries.
In the hydrothermal valorization processes for pea pods, the effect of temperature and time plays a crucial role in determining the outcomes, the hydrothermal process involves a range of temperatures that influence the transformation of pea pod waste into biochar and platform chemicals. The temperature range typically varies from 180 °C to 260 °C for hydrothermal carbonization. These temperature ranges are essential for driving the desired reactions and determining the yield and quality of the products obtained from pea pod waste [8]. The duration of the hydrothermal treatment, or pyrolysis time, is another critical factor that impacts the efficiency and effectiveness of the valorization process. The time spent at specific temperatures during hydrothermal processing affects the decomposition and conversion of organic matter in pea pod waste into biochar, platform chemicals, and other valuable products; this has been seen in previous research conducted by the writers of this manuscript [9]. Similar tests were performed with batch reactors to optimize time and temperature conditions and the specific products obtained under the different conditions. The use of lower temperatures, 120–180 °C, can lead to the production of sugars (up to 70% yield) and Levulinic acid (4% yield), while the use of higher temperatures leads to formic acid (40% yield) and Levulinic acid (4% yield). The use of LHW for longer periods favors the production of HMF and furfural but the decrease of sugar content.
The valorization of agricultural waste streams is a promising approach for sustainable chemical production. Pea pod waste, a byproduct of pea processing, represents a significant underutilized biomass resource. The valorization of pea pod waste via hydrothermal processes has garnered significant attention in recent years due to its novelty and potential for sustainable energy production. Previous researchers have successfully utilized hydrothermal carbonization to produce biochar from pea pod waste, as seen in previous studies [10,11]. However, the production of platform chemicals from pea pods, such as sugar, furfural, Levulinic acid, formic acid, and hydroxymethylfurfural (HMF), remains largely unexplored. These platform chemicals are valuable building blocks for the production of biofuels, chemicals, and other products. The study of their production from pea pods is crucial, as it can provide a sustainable and renewable source of these chemicals. Additionally, the convenience of using pea pod waste as a feedstock is a significant advantage, as it is readily available and can be easily collected from agricultural sources, reducing the need for additional processing steps and minimizing waste generation.
Developing methods to convert pea pod waste into valuable platform chemicals and biochar demonstrates the potential for waste-to-product upcycling in a circular bioeconomy. Emphasizing the sustainable nature of this process, which diverts organic waste from landfills or incineration, is crucial in the introduction to highlight the environmental benefits and motivate further research in this area. The aim of this article is to optimize key parameters of biomass/water ratio, particle size, stirring, and catalysts for maximizing the production of platform chemicals and biochar from pea pod waste through hydrothermal valorization processes basing the new set of experiments on the previously obtained results. By fine-tuning these parameters based on research findings, the goal is to enhance process efficiency, increase product yields, and improve the quality of the resulting platform chemicals and biochar. This optimization is essential not only for economic viability but also for advancing sustainability goals. Efficient utilization of pea pod waste through optimized hydrothermal valorization processes contributes to a circular economy by converting waste into valuable products. It also promotes resource recovery, reduces reliance on fossil-based feedstocks, and helps in reducing greenhouse gas emissions. The employed model in this study involves the utilization of pea pod waste at various temperatures ranging from 180 to 260 °C, biomass/water ratios, agitation, and catalysts. The model involves measuring the conductivity and pH levels during the production of chemicals to track the process. The platform chemicals produced are then quantified using High-Performance Liquid Chromatography (HPLC), and the biochar is characterized. This approach aims to valorize pea pod waste through hydrothermal processes, which has been rarely studied before, by converting it into valuable chemicals and biochar, thereby promoting a sustainable and circular bioeconomy.

2. Materials and Methods

2.1. Biomass Characterization

The pea pod waste was recovered from a local farmer’s market; about 10 kg of pea pods thrown after the obtention of the peas were used for this study. The pea pods came from different farms from both Cundinamarca and Boyacá, making it a representative sample. A previous characterization of the biomass was conducted to identify the properties of the initial biomass [9]. The techniques and technical reports used were as follows: for the proximate assay, the assays consisted of moisture (NREL/TP-510-42621) [12], ash (NREL/TP-510-42622) [13], and volatile matter (ASTM E872-82) [14]. In the case of the ultimate assay, it consisted of moisture fixed carbon followed by the Technical Report ASTM D5373-21 [15]. Lastly, the chemical composition was assessed using the methodology outlined in the Journal of Dairy Science called “Methods for Dietary Fiber, Neutral Detergent Fiber, and Nonstarch Polysaccharides in Relation to Animal Nutrition” [16].

2.2. Hydrothermal Experiments

The experiments were carried out in a 500 mL batch reactor. First, experiments were conducted with various biomass-to-water ratios (1:05, 1:10, 1:20, and 1:40). Following that, the mixture was put into the reactor at three different temperatures: 180 °C, 220 °C, and 260 °C (based on earlier research [9] that suggests these are the optimal temperatures for biochar and platform chemicals); it was then kept under autogenous pressure for 1 h (measured after the mixture reached the desired temperature), with a particle size of 1 mm.
The effects of biomass particle size on hydrothermal carbonization were subsequently investigated in a series of experiments involving four distinct particle sizes: 0.5 mm, 1 mm, 2 mm, and 5 mm. These experiments were conducted at the same temperatures (180 °C, 220 °C, and 260 °C) and under an autogenous pressure setup for 1 h, starting from the time the temperature reached the appropriate level. A biomass-to-water ratio of 1:20 (5 g of biomass/95 g of water) was employed.
The last variable evaluated was the stirring. A series of experiments was conducted with stirring at 5000 and 8000 revolutions per minute at the same temperatures (180 °C, 220 °C, and 260 °C) under autogenous pressure for one hour (measured after reaching the desired temperature). The experiments used a particle size of 1 mm and a biomass-to-water ratio of 1:20 (5 g biomass/95 g of water).
Each experiment was performed in triplicate to ensure its repeatability. The concentrations, weights, and yield reported are averaged from the results obtained. The variation in all of the cases was under 5% variation coefficient.

2.3. Characterization of Fractions

Vacuum filtration was used to separate the liquid and solid portions, and mass balance was maintained through measurement. After recovering the solid fraction, it was cleaned with acetone, ethanol, and water before being dried at 105 °C until it reached a consistent weight. The solid was characterized with elemental analysis (Thermo Flash 2000, manufacturer Thermo Fisher Scientific, Waltham, MA, USA) in accordance with the parameters specified in ASTM D5373-21 [15]. To track the reactions taking place, pH and conductivity were measured. Furthermore, HPLC-RI was used to quantify the platform chemicals (PC). Equation (1) was used to measure the yields.
Y i e l d = ( g r a m s   o f   P C ) ( g r a m s   o f   l i g n o c e l u l l o s i c   s t r u c t u r e   i n   b i o m a s s ) × 100 %

2.4. Analytical Methods

For PC quantification, the methodology utilized in earlier articles [3,9,17] was applied. That method was implemented with a Hitachi Elite LaChrom (Tokyo, Japan), Hitachi L-2490 refraction index detector at 40 °C, SHODEX Sugar SH1821 column at 60 °C, 0.005 M H2SO4 for the mobile phase, and a flow rate of 0.5 mL/min.

2.5. Homogeneous Catalysts

A series of acid and basic homogeneous catalysts were used to functionalize the biochar and increase the efficiency and specificity of the reactions to examine the impact of catalysts in the hydrothermal process. Solutions of H2SO4 [0.1 M], CH3COOH [0.1 M], and NaHCO3 [0.1 M] were made to replace the water in the biomass/water 1:20 ratio (5 g biomass/95 g catalysts solution). Reactions were performed at 180 °C, 220 °C, and 260 °C for 1 h and with a particle size of 1 mm. The solid and liquid fractions that were obtained and characterized as previously reported.

3. Results and Discussion

A preliminary study of the properties of the biomass was performed and is presented in Table 1.
The provided data reveal that the lignocellulosic biomass, likely pea pod waste, exhibits promising characteristics for thermochemical conversion processes. With a relatively low moisture content of 7.86% and a high volatile matter of 78.67%, this feedstock has good potential for producing bio-oils and syngas via pyrolysis or gasification. The moderate levels of cellulose (25.0%) and hemicellulose (16.4%), coupled with a low lignin content (3.6%), make it a suitable candidate for depolymerization reactions to obtain platform chemicals like hydroxymethylfurfural (HMF), furfural, and Levulinic acid. However, the high ash content of 13.66% may pose challenges such as slagging and fouling during thermochemical processing, requiring additional consideration. The elemental composition, with 47.74% carbon and 5.85% hydrogen, further supports the biomass’s suitability for conversion into value-added products. While the relatively low fixed carbon content of 8.36% suggests a lower tendency for biochar formation during pyrolysis, the overall composition indicates that pea pod waste could be an attractive feedstock for valorization through thermochemical routes, particularly for the production of platform chemicals and potentially biochar as a co-product.

3.1. Biomass/Water Ratio Influence

Three fractions were produced in the hydrothermal procedures: solid, liquid, and gas fractions. The solid and liquid fractions were measured directly, and the mass difference was used to determine the gas fraction. The mass balances of fractions in hydrothermal reactions with pea pod biomass waste are presented in Table 2. The hydrothermal reactions were conducted for one hour using a particle size of 1 mm.
This series of experiments was made to examine the ratios of gas, liquid, and solid fractions at various reaction temperatures under a given biomass/water ratio. At first, when the experiments were compared with the same biomass-to-water ratios at different temperatures, a trend for the liquid fraction was not evident. On the other hand, it was observed that when the temperature increased, the weight of the solid fraction decreased, and the gas fraction was higher. At 260 °C, the carbonization of the biomass occurred, and that is the reason for the diminution of the solid fraction (loss of oxygen). The composition of the solution and the ion concentration can be utilized to explain variations in pH and conductivity in a liquid fraction at different temperatures.
pH is the measure of the concentration of hydrogen ions in a sample. Lower pH values indicate higher hydrogen ion concentrations and, consequently, acidity. On the other hand, when the water increases in the B/W ratio content, the concentration of basic ions rises compared to acidic ions, pushing the pH upward toward basic levels. In other words, it is expected that when there is a higher initial concentration of H+ in the system, it is often related to a higher platform chemical content. On the other hand, conductivity is the measure of the concentration of ions in a sample that can transmit an electric current. When the B/W ratio decreases, there are less charged species, hence the conductivity drops. As a result, the observed trends in conductivity and pH can be explained by the shifting ratios of acidic and basic ions in the solution, which affect both parameters as the B/W ratio changes.
Figure 1 shows that as the biomass/water ratio decreases, the pH does too, but with a 1:40 ratio, the pH increases slightly. Comparing the pH values, the 1:20 ratio yields the lowest result. It is important to note that at 220 °C and 260 °C, the pH does not vary significantly. Furthermore, as the biomass/water ratio changes from 1:5 to 1:40, conductivity continuously decreases. The conductivity decreases from 6.33 mS/cm to 2.38 mS/cm at 180 °C, from 7.31 mS/cm to 1.76 mS/cm at 220 °C, and from 6.78 mS/cm to 1.38 mS/cm at 260 °C.
It was observed that there was a larger shift in conductivity at 220 °C and 260 °C, but the pH changes were not significant. This occurred because the chemicals that were produced have charged species but they are not as acidic in nature. The decrease in conductivity as the biomass/water ratio changes from 1:5 to 1:40 can be attributed to the formation of charged chemical species during the process, rather than the production of acidic compounds. Even though the conductivity decreased significantly at the higher temperatures, the pH remained relatively stable, indicating that the charged species were not proton-donating acids.
Due to the fact that pH and conductivity are only a preliminary follow up, an adequate quantification was performed afterwards in order to evaluate the influence of the B/W ratio in the production of the different platform chemicals. To calculate the yields of production, the percentage of lignocellulosic biomass in the pea pod waste was characterized (Table 1) and used as the initial content, from which the yield of production was calculated based in the weight of the platform chemicals obtained vs. the weight of lignocellulosic structures in the biomass weighted for each experiment.
Figure 2 shows the tendencies for B/W ratio at 180 °C. Here, it can be seen that an overall yield increase is obtained at 1:20, where almost a 5% increase in the total yield is obtained. Extreme B/W ratios, in concentrated and diluted extremes, present a similar total yield. The presence of a higher amount of water (1:20 ratio) provides better hydrolysis conditions for the biomass, facilitating the breakdown of cellulose, hemicellulose, and other polymeric structures. Similarly, the increased water content helps to solubilize and extract a wider range of platform molecules, such as sugars, Levulinic acid, formic acid, HMF, and furfural, leading to a higher total yield [18]. The 1:20 biomass-to-water ratio provides a larger surface area of contact between the biomass and the water, enhancing the mass transfer and heat transfer processes during the hydrothermal treatment. As well, this increased surface area of contact improves the accessibility of the water to the biomass, promoting more efficient hydrolysis and extraction of the desired platform molecules [2]. On the other hand, the 1:40 ratio can present a decrease due to the high energy provided to the particles, leading to a higher degradation of both the biomass and the platform chemicals obtained. This can be seen in the drop of production of Levulinic acid, and the disappearance of HMF and furfural due to their instability under high energy conditions.
In the individual production of the platform chemicals, the highest yield of sugars, Levulinic acid, HMF, and furfural is obtained at 1:20, where the energy is enough for a proper hydrolysis to take place without degrading the more unstable molecules.
Figure 3 shows a similar tendency but at 220 °C. The best yield is at the lowest B/W. The condition with the highest yield and diversity in the platform chemical content is 1:20, where HMF and furfural are stable enough and can be obtained. At the lower B/W ratio (1:40), there is a still high total yield, but the degradation of HMF and furfural takes place due to the high energy, leading to their degradation and the increase of formic acid yield. On the other hand, high B/W ratios, produce low quantities of the platform chemicals due to an incomplete hydrolysis because of the low contact surface of the biomass with the water in the system.
Figure 4 shows the yields of the platform chemicals and overall production in the hydrothermal processes performed at 260 °C. Similar to the previously shown tendencies, the 1:20 B/W ratio shows a higher overall yield, where the production of formic acid and Levulinic acid increases compared to the other ratios. It is also worth noting that none of the samples under the 260 °C conditions produce HMF or furfural due to their instability. B/W ratios that are too low produce a drop of sugar yield, probably because of carbonization of the feedstock and transformation without intermediates to formic acid and Levulinic acid.
The total yields obtained under 180 °C, 220 °C, and 260 °C conditions are correspondingly 44.35%, 28.90%, and 30.95%. The 180 °C conditions produced high contents of sugar, HMF, and furfural, 220 °C led to the high production of Levulinic acid, and 260 °C produced the formation mainly of formic acid. In all the conditions, the production was increased up to 10% by the use of 1:20 B/W ratios, which leads to the assumption that for pea pods, the use of that B/W ratio is the most productive and is the condition that favors hydrolysis without the degradation of the products. According to the results, to proceed with the analysis of the influence of the physicochemical parameters, the B/W ratio of 1:20 was maintained as a constant to evaluate the particle size influence.

3.2. Particle Size Influence

To further the optimization process, a series of experiments was conducted varying the particle size and analyzing its effect on the hydrothermal reaction. The mass balance data are presented in Table 3.
It was observed that the particle size did not have a clear effect on the liquid and solid fractions. Like the previous experiments, as the temperature increased, the solid fraction decreased while the gas fraction increased. The solid fraction did not change significantly across the different particle sizes.
The variation in pH and conductivity with changing particle size is depicted in Figure 5. At 180 °C, the pH and conductivity followed the same trend. The pH and conductivity increased when the particle size was bigger, except for at 1 mm, where they decreased slightly. This behavior was not observed at 220 °C and 260 °C. Even so, no significant impact was identified on the pH and conductivity of the solution due to changes in particle size. For instance, at 220 °C, the pH ranged between 3.73 and 3.80 without a specific trend, while the particle size varied. Regarding conductivity, no discernible trend was observed that could indicate an impact of particle size on the hydrothermal process. Across different temperatures and particle sizes, the conductivity ranged between 2.34 mS/cm and 3.20 mS/cm without displaying a clear tendency.
Figure 6 shows the quantification of platform chemicals. It can be seen that the smaller-sized particles (0.5 and 1 mm) help with the production of platform chemicals from hydrothermal processes because they increase the surface area available for reaction, leading to enhanced mass transfer and more efficient hydrolysis of the biomass [2]. The smaller particle sizes allow for better penetration of water and catalysts into the biomass matrix, facilitating the breakdown of complex structures and promoting the release of desired platform molecules such as sugars, organic acids, and other valuable compounds [19].
Even though the smaller particle size (0.5 mm) yielded higher amounts of sugars and formic acid, it leads to higher amounts of degradation of HMF and furfural compared to the particle size of 1 mm, where the total yield is as high but the percentage of HMF and furfural is higher, producing higher diversity in the products of the reaction. On the other hand, bigger-sized particles produced a drop in the yield due to the difficulty of hydrolyzing the complete particle and making the efficiency of the reaction drop. Additionally, smaller particles can improve the overall efficiency of the hydrothermal process by accelerating the conversion of biomass into useful chemicals, ultimately enhancing the yield and quality of the final products.
Figure 7 shows the products obtained at 220 °C; the total yield of 1 mm is higher than the other particle sizes. The overall production of sugar drops compared to that produced at 180 °C, and so do the HMF and furfural yields; formic acid and Levulinic acid increase. The tendency of the smaller particle size increasing the production of platform chemicals is present here as well as at 180 °C. It is worth noting that the change of the particle size influence on the total yield is more noticeable in the 180 °C reactions.
The total yield of the platform products obtained at 260 °C is presented in Figure 8. The tendency is quite similar to the one shown previously, where the particle size of 1 mm produces yields 9% higher the other yields obtained. This shows that the smaller particle size can help with the extraction and efficiency of the hydrolysis, but particles that are too small can lead to degradation of unstable molecules such as Levulinic acid. In all the cases, the reactions at 260 °C did not produce HMF and furfural due to the high energy system and the degradation of this to smaller molecules and formic acid.
To sum up, the optimization of particle size in pea pod waste valorization presents that the use of smaller particles (0.5 and 1 mm) favors higher yields and the overall efficiency of the production of platform chemicals using hydrothermal processes. The findings validate that smaller particle dimensions provide a larger surface area, enhanced heat and mass transfer, decreased diffusion barriers, improved digestibility, and optimized pumpability and mixing. These aspects collectively enhance the efficiency and thoroughness of reactions, leading to elevated yields and improved process effectiveness in coffee waste conversion processes. The particle size selected to continue with the optimization process was 1 mm since it was the condition with the highest yield overall in the different hydrothermal temperatures.

3.3. Stirring Influence

The next variable studied in the optimization was stirring. The stirring influence was analyzed comparing the results of the matter balance without stirring, with 5000 rpm, and 8000 rpm. The results are presented in Table 4.
It was observed that although the stirring changed, the fractions remained virtually unchanged. When comparing the results of the liquid fraction at the same stirring frequency at 220 °C and 260 °C, they are practically the same. However, the solid fraction weight was higher at 8000 rpm at 180 °C and 220 °C.
Figure 9 illustrates the pH and conductivity of the solution produced during the hydrothermal process at various stirring speeds. At 220 °C and 260 °C, both the pH and conductivity decreased when using a stirring speed of 5000 rpm. However, neither of the different temperatures had an important impact on the stirring speed, as observed from the pH and conductivity of the obtained solution. The changes in pH and conductivity were relatively minor across the range of stirring speeds tested.
Analyzing the results shown in Figure 10, they indicate that there is basically no variation in the results between the two stirring speeds. The experiments made without stirring produced a higher yield, resulting in a higher concentration of all the platform chemicals. Stirring aids reactions by maintaining homogeneity in the reacting mixture, ensuring efficient contact between reactants. However, beyond a certain threshold, further increasing stirring speed may not notably enhance reaction rates. Excessive stirring at high speeds can lead to liquid splashing on the walls, potentially hindering the reaction process [20].
The specific yields of each of the platform chemicals are very similar, being higher in the experiments without stirring but showing that the mechanism of reaction for the platform chemical production is the same in the different experiments, and leads to the conclusion that in a 500 mL batch reactor, the stirring parameter does not influence the mechanism of the hydrolysis of lignocellulosic structures and their reactions afterwards.
Figure 11 shows that a medium stirring increases the overall yield by 10%, different to what happened at 180 °C, leading to the assumption that there are different mechanisms taking place at this temperature that are favored by stirring. It is also worth noting that without stirring, the production of formic acid increases up to 21.63%, but the sugar yield drops as well as the HMF. The production of formic acid and the decrease of sugars and unstable molecules like HMF in the system are indeed related to the energy provided to the system. Stirring allows for the energy to be distributed homogeneously, preventing excessive energy from degrading certain parts of the system, which can lead to the formation of formic acid and the degradation of sugars and unstable molecules like HMF [21,22]. On the other hand, stirring improves mass transfer by increasing the contact between the biomass and the reaction medium, facilitating the release and extraction of platform chemicals [23]. Stirring helps distribute the energy provided to the system homogeneously, preventing the degradation of certain parts of the system with excessive energy, which can lead to the formation of undesirable byproducts like formic acid and the loss of unstable molecules like HMF [20]. In the same way, stirring enhances the pumpability and mixing of the reaction mixture, which is crucial for the efficient and complete conversion of biomass into platform chemicals, and can also enhance the digestibility of the biomass, facilitating the hydrolysis and release of platform chemicals [24].
At 260 °C, as shown in Figure 12, the total yield was improved by the use of no stirring in the process. The lack of stirring led to the degradation of sugar and other platform chemicals and an increase of formic acid production. On the other hand, an intermedial stirring produced an increase in the production of HMF and furfural and in sugar production, but a drop of formic acid due to no degradation of the molecules.
In conclusion, the experiments conducted in a 500 mL batch reactor with 100 mL of mixture have shown that there is no tendency of the stirring favoring the overall hydrothermal reactions. Higher yields were obtained in experiments conducted without agitation at 180 °C and 260 °C, leading to higher concentrations of formic acid and Levulinic acid. On the other hand, at 220 °C, the production of sugars and formic acid is increased. The lack of stirring at the different temperatures led to a higher energy concentration on the external particles of the system and that mechanism continued until the production of formic acid. The higher temperatures led to degradation and lack of diversity and amount of platform chemicals obtained. The hydrothermal processes were favored from 6 up to 10% by using the correct speed of stirring in the different hydrothermal processes. This phenomenon may indicate a preference for certain reactions over others in the absence of agitation, highlighting the complex interplay between reaction conditions and outcomes.

3.4. Catalyst Influence

Finally, after optimizing the physical variables in the process, it was time to examine the use of catalysts in the hydrothermal process and in the production of platform chemicals. The use of homogeneous catalysts in hydrothermal valorization (HTC) processes is a crucial aspect of optimizing the production of platform chemicals. These catalysts, such as NaHCO3, H2SO4, and CH3COOH, play a vital role in enhancing the reaction rate and selectivity, thereby increasing the yield of platform chemicals [25].
NaHCO3, for instance, has been employed as a catalyst in the methanol synthesis reaction, demonstrating its effectiveness in promoting the production of platform chemicals. Similarly, CH3COOH and H2SO4 have been utilized as catalysts in hydrolysis and dehydration reactions, respectively, to enhance the yield of platform chemicals [26].
The use of these homogeneous catalysts in HTC processes offers several advantages, including improved reaction rate, leading to faster production of platform chemicals, enhanced selectivity to promote the formation of desired platform chemicals, reducing the production of unwanted byproducts, and increased yield that promotes the desired reactions.
The incorporation of catalysts in HTC processes has been shown to significantly enhance the production of platform chemicals, making it a crucial step in the optimization of hydrothermal valorization processes.
The active Bronsted acid sites on homogeneous catalysts, such as NaHCO3, H2SO4, and CH3COOH, play a vital role in enhancing the yield of platform chemicals during hydrothermal valorization processes. These Bronsted acid sites are species capable of donating a proton H+, which helps with the hydrolysis process of the lignocellulosic structures. In the context of hydrothermal valorization, these sites can react with the organic compounds present in the biomass feedstock, promoting the formation of desired products [26]. Furthermore, homogeneous catalysts can help functionalize biochar, a residual byproduct from the thermochemical degradation of biomass [27]. By activating and functionalizing the biochar, its physicochemical properties can be improved, making it more suitable for various applications, including catalysis and catalyst supports.
Alkali catalysts, such as sodium hydroxide (NaOH) or potassium hydroxide (KOH), are commonly used in hydrothermal liquefaction processes. The active sites in these catalysts are typically the hydroxide ions (OH) or the alkali metal ions (Na+ or K+). These active sites facilitate various chemical reactions, including hydrolysis and depolymerization, which help break down biomass into simpler compounds. The hydroxide ions (OH) help break down the glycosidic bonds between cellulose, hemicellulose, and lignin, releasing sugars that can then be converted into bio-oils. The alkali metal ions (Na+ or K+) help break down the complex polymer structures of biomass into smaller molecules, increasing the reactivity of the biomass and enhancing the formation of bio-oils [28].
The use of these homogeneous catalysts in hydrothermal valorization processes has been shown to significantly enhance the yield of platform chemicals, including sugars, Levulinic acid, formic acid, HMF, and furfural. The catalysts can also improve the physicochemical properties of the biochar, making it more suitable for various applications.
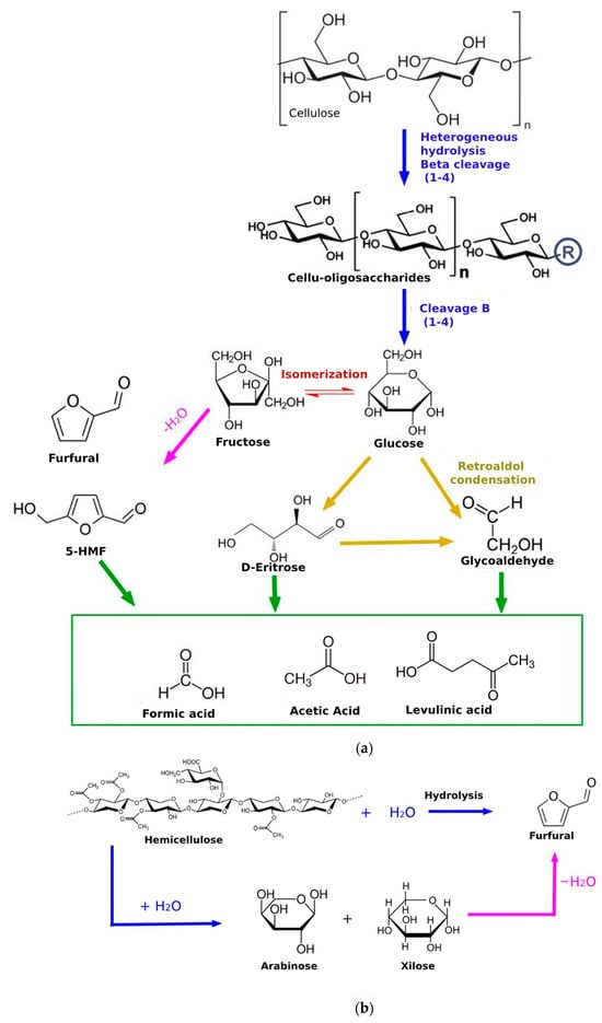
The catalytic conversion of lignocellulosic biomass to platform chemicals like HMF, furfural, Levulinic acid, formic acid, and sugars involves several key steps and mechanisms (Figure 13).
  • Cellulose/Hemicellulose Hydrolysis
The first step is the hydrolysis of cellulose/hemicellulose to glucose/xylose, which is a crucial starting point for further conversion. This can be achieved using acidic catalysts or solid acid catalysts like Sn-Beta zeolites. The hydrolysis mechanism involves the cleavage of glycosidic bonds in cellulose.
  • Dehydration to HMF and Furfural
Glucose and other hexose sugars can be dehydrated to 5-hydroxymethylfurfural (HMF) using acidic catalysts in biphasic solvent systems like water–THF or water–MIBK. This prevents HMF from undergoing rehydration and condensation side reactions. The dehydration mechanism involves the loss of three water molecules from glucose. Pentose sugars like xylose and arabinose can be dehydrated to furfural using similar acidic catalysts and biphasic systems. The mechanism is analogous to HMF formation but involves the loss of two water molecules.
  • Oxidation to Levulinic and Formic Acid
HMF can be hydrolyzed and oxidized to Levulinic acid and formic acid using aqueous-phase processing with heterogeneous catalysts. The mechanism involves the rehydration of HMF, cleavage of the furan ring, and oxidation of the resulting aldehyde and ketone groups.
  • Hydrogenation to Sugar Alcohols
Glucose and other sugars can be hydrogenated to sugar alcohols like sorbitol using metal catalysts like Raney nickel or Ru/C. The mechanism involves the catalytic hydrogenation of the aldehyde group on glucose to a primary alcohol.
These processes can be improved by the presence of catalysts that donate protons to the system and allow for an easier hydrolysis of the initial lignocellulosic structure and the obtention of sugars which later can be transformed into other products, reactions that are also favored by catalysts.
Table 5 presents the results of the hydrothermal process, using acetic acid and sodium bicarbonate as catalysts, and comparing the fractions of solid, liquid, and gas obtained.
It was observed that in the experiments with NaHCO3, the gas fraction was the highest compared to the acid catalyst and without any catalyst. At 220 °C and 260 °C, the solid fraction was the lowest in a basic medium and the highest without any catalyst. Regarding the liquid fractions, there was no clear trend between the outcomes in a basic medium and those without any catalyst. With the CH3COOH catalyst, the liquid fraction increased as the temperature rose. To determine which products are preferred in those conditions, it is crucial to compare the reaction yields in detail.
Since each catalyst has an initial pH and conductivity, it is impossible to determine with precision whether changes in those parameters are the result of the catalysts alone or the reactions of the biomass. For this reason, no previous follow-up was carried out in this instance. Some H2SO4 tests were conducted, but the sample’s extremely acidic conditions barred it from being injected into the HPLC-RI. As a result, the results will only be assessed in relation to the biochar that was generated using the previously mentioned catalyst.
Figure 14 presents the individual and total yields without and with catalysts at 180 °C. It can be seen that the overall yield of acetic acid exceeds the 100% yield. This is probably due to the fact that it is being calculated based on the percentage of lignocellulosic structures present in the lignocellulosic biomass, but there are other types of molecules present in the pea pod waste, such as polysaccharides, starch, lipids, etc., which can also be transformed into the platform chemicals quantified in this manuscript. Hence, the yield exceeds the yield of transformation from the lignocellulosic structures, and the use of acid catalysts can lead to the hydrolysis of all the possible structures in the biomass and not only hemicellulose and cellulose.
It can be seen that CH3COOH acts as a catalyst by creating Bronsted acid sites which lead to an increase of H+ in the system and a hydrolysis of lignocellulosic structures into sugar. This leads to a significantly higher yield of sugars when using catalysts than when not, changing from 45.52% to 135.55%. The highest yield of HMF produced from pea pod waste is obtained by applying a weak acid catalyst, leading to a 15% yield of this platform chemical that is very unstable and can be hard to obtain. The obtention of furfural is improved by the use of no homogeneous catalyst, due to its instability to acid media and also to heat, so perhaps the use of heterogeneous catalysts can lead to the obtention of furfural from biomass [29].
On the other hand, the use of basic catalysts makes the reaction highly selective towards the production of formic acid, decreasing the yield of sugars, HMF, and furfural in order to increase the production of formic acid. It is worth noting that even though it increases the formic acid yield, it is still lower than the yield obtained via an acid catalyst. Regarding the physicochemical structure of the biochar, basic catalysts make the biochar stronger and more rock-like than acid catalysts.
The quantification of the platform chemicals at 220 °C are presented in Figure 15. A similar behavior to the one presented at 180 °C is observed here. The acid catalyst leads to a higher overall production of sugar, formic acid, HMF, and furfural but a drop in Levulinic acid. On the other hand, the basic catalyst does not result in much of a change in the overall yield compared to the non-catalyzed reactions. HMF and furfural yields drop when using the basic catalyst. The overall production of sugar decreases compared to that produced at 180 °C and the formic acid becomes the mainly produced platform product.
Figure 16 shows the yields obtained at 260 °C. Similarly, as before, the yield is greatly increased by the use of the acid catalyst. The increase of energy makes it impossible for HMF and furfural to be stable under any condition (catalysts or no catalysts), and the degradation leads to the selective production of formic acid under all the conditions.
It can be seen that in all the previous hydrothermal reactions with the use of catalysts, the tendencies of the products obtained in hydrothermal processes are maintained. A temperature of 180 °C leads to the production of the most diverse products and highest overall yield (sugars, formic acid, Levulinic, HMF, and furfural), 220 °C leads to a decrease in sugar, HMF, and furfural production that transforms into formic acid, and 260 °C is where most of the products undergo degradation and the production of formic acid is selectively increased.
Catalysts play a crucial role in selective reactions with biomass in hydrothermal processes, particularly for coffee waste and similar wastes [30]. The use of weak acid catalysts in hydrothermal processes for coffee waste leads to an overall increase in yield and production of formic acid, while basic catalysts do not produce much of a change in the platform chemical production from non-catalytic reactions [31]. The choice of catalyst depends on the desired product and the specific biomass feedstock.
Hydrothermal pretreatment, especially when used in conjunction with a dilute acid, allows water to penetrate the lignocellulosic structure and enables the hydrolysis of cellulose as well as the solubilization of parts of lignin and hemicellulose. Studies have shown that the use of a dilute acid in the pretreatment of coffee waste can increase the chemical oxygen demand (COD) solubilization and, consequently, the bio-methane yield [32]. In contrast, the use of basic catalysts does not seem to produce a significant change in the platform chemical production compared to non-catalytic hydrothermal processes [33].

3.5. Biochar Characterization

To characterize biochar, a range of techniques can be employed, including elemental analysis, scanning electron microscopy (SEM), and Van Krevelen diagrams, among others [34]. Elemental analysis provides information on the elemental composition of the biochar, including carbon, hydrogen, nitrogen, sulfur, and oxygen content. SEM is used to analyze the surface morphology and structure of the biochar, while Van Krevelen diagrams are used to visualize the distribution of oxygen, carbon, and hydrogen in the biochar [34]. Other techniques for characterizing biochar include Fourier transform infrared spectroscopy (FTIR), X-ray diffraction (XRD), thermogravimetric analysis (TGA), nuclear magnetic resonance spectroscopy (NMR), Brunauer–Emmett–Teller (BET), Raman, and density analyzer, among others [35]. These techniques provide information on the physical and chemical properties of the biochar, such as size, shape, porosity, surface area, functional groups, and elemental composition, which are crucial for understanding its behavior in various applications [36].
After obtaining the different biochars, the samples obtained at 260 °C were characterized using elemental analysis and they were positioned in the Van Krevelen diagram (Figure 17). The initial biomass is placed and characterized as biomass, as expected, and is able to be used as a biomass fuel. It is also rich in other minerals such as Ca, F, and K, and provides a source of these elements that could be used for processes of catalysis where these minerals are needed.
On the other hand, the reaction conducted (for traceability) at 180 °C is in the range of lignite/peat. Lignite is primarily used to generate electricity, while peat is used to a lesser extent for the same purpose. Lignite is used as a soil amendment, improving cation exchange and phosphorus availability in soils while reducing heavy metal availability. Peat is used in horticulture to increase the moisture-holding capacity of sandy soils and to increase the water infiltration rate of clay soils. Lignite is used as an industrial adsorbent and its methylene blue adsorption falls within the range of activated carbons currently used by industry. Peat is used in water filtration and is sometimes utilized for the treatment of urban runoff, wastewater, and septic tank effluent. Finally, lignite is used as a fuel for home heating and peat is used as a fuel for domestic heating purposes [37,38]. It can be seen that the condition of 180 °C does not provide enough energy to transform the biomass into coals or anthracite, having less of a carbonization effect on the samples. Figure 18 shows how the 180 °C sample presents the higher H/C ratio (after the original biomass) due to the high presence of hydrogen still in the solid fraction.
Both weak acid and basic catalysts show less carbonization than the strong acid catalyst. They appear in the zone between coal and lignite, while the sulfuric acid sample has both a lower O/C and H/C ratio. H2SO4 and NaHCO3 present a functionalization of the biochar, by adding the element of sulfur and sodium, respectively, and being able to transform the original biochar into one with more interesting elements adhered to its structure and hence, making it more reactive.
The other samples show very similar O/C and H/C ratios and are in the zone of coal, not being able to achieve an anthracite characterization. This suggests that while parameters such as B/W ratio, particle size, and stirring can influence the yield of platform chemicals, under the conditions of a 500 mL batch reactor, they have little impact on the characterization of the biochar. The biggest change in the elemental ratios, which still maintained the biochar in the same characterization, is presented in the stirring parameter, where the highest stirring condition produced higher O/C and H/C ratios, decreasing the carbonization of the sample. On the other hand, parameters such as temperature, time, and the use of catalysts have a more significant influence on the production of biochar.

4. Conclusions

The findings of this study on the valorization of pea pod waste through hydrothermal processes highlight several key insights. The total yields obtained under different temperature conditions (180 °C, 220 °C, and 260 °C) varied significantly, with the 180 °C conditions producing the highest yields of sugars, HMF, and furfural. The 220 °C conditions favored the production of Levulinic acid, while the 260 °C conditions primarily resulted in the formation of formic acid.
Interestingly, the use of a 1:20 biomass-to-water (B/W) ratio consistently led to a 10% increase in product yields across the different temperature conditions. This suggests that the 1:20 B/W ratio is the most suitable for pea pod waste valorization, as it promotes hydrolysis without excessive degradation of the desired products.
The study also investigated the influence of particle size on the efficiency of the hydrothermal processes. The findings validate that smaller particle dimensions (0.5 and 1 mm) provide enhanced heat and mass transfer, decreased diffusion barriers, and improved digestibility, collectively leading to elevated yields and improved process effectiveness. The 1 mm particle size was selected as the optimal condition for further optimization.
Furthermore, the study explored the impact of agitation on the hydrothermal processes. Interestingly, higher yields of formic acid and Levulinic acid were obtained in experiments conducted without agitation at 180 °C and 260 °C, respectively. In contrast, at 220 °C, the production of sugars and formic acid was increased with the correct speed of stirring. These observations highlight the complex interplay between reaction conditions and the formation of specific platform chemicals.
Lastly, the study examined the influence of catalysts on the hydrothermal processes. The results indicate that basic catalysts have no significant impact on the production of platform chemicals, while acid catalysts lead to an increase of up to 135.55% in the yields of all the target compounds.
This comprehensive study on the valorization of pea pod waste through hydrothermal processes provides valuable insights into the optimization of reaction conditions, the influence of particle size and agitation, and the role of catalysts. These findings contribute to the development of efficient and sustainable strategies for the conversion of agricultural waste into valuable platform chemicals.

Author Contributions

Conceptualization, D.E.G.S. and A.S.L.P.; methodology, A.S.L.P.; validation, D.E.G.S. and A.S.L.P.; formal analysis, D.E.G.S. and A.S.L.P.; investigation, D.E.G.S. and A.S.L.P.; resources, C.A.G.F.; data curation, A.S.L.P.; writing—original draft preparation A.S.L.P. and D.E.G.S.; writing—review and editing, C.A.G.F.; visualization, D.E.G.S.; supervision, C.A.G.F.; project administration, C.A.G.F.; funding acquisition, A.S.L.P. All authors have read and agreed to the published version of the manuscript.

Funding

This research was funded by MINCIENCIAS, grant number Contrato de financiamiento de recuperación contingente No. 80740-101-2022. Implementación de una biorrefinería hidrotermal para la producción de productos químicos de alto valor agregado, mediante el uso de biomasas residuales de procesos agroindustriales, en alianza intersectorial (academia–industria). Código 1101-914-91642.

Institutional Review Board Statement

Not applicable.

Informed Consent Statement

Not applicable.

Data Availability Statement

All the data are found in the present manuscript.

Acknowledgments

We thank the Universidad Nacional de Colombia and the Departamento de Química-Facultad de Ciencias for their support and the possibility of using equipment and techniques that allowed the development of this article. We also thank Valentina Romero Mahecha for her help in the laboratory and her engineering knowledge.

Conflicts of Interest

The authors declare no conflicts of interest.

References

  1. Uskutoğlu, D.; Idikut, L. Chapter 2 Pea Production Statistics in the World and in Turkey. In Innovative Research in Agriculture, Forest and Water Issues; Duvar Publishing: İzmir, Turkey, 2023; pp. 25–38. [Google Scholar]
  2. Oktaviananda, C.; Rahmawati, R.F.; Prasetya, A.; Purnomo, C.W.; Yuliansyah, A.T.; Cahyono, R.B. Effect of temperature and biomass-water ratio to yield and product characteristics of hydrothermal treatment of biomass. AIP Conf. Proc. 2017, 1823, 020029. [Google Scholar] [CrossRef]
  3. Moreno-Chocontá, L.N.; Lozano-Pérez, A.S.; Guerrero-Fajardo, C.A. Evaluation of the Effect of Particle Size and Biomass-to-Water Ratio on the Hydrothermal Carbonization of Sugarcane Bagasse. Chemengineering 2024, 8, 43. [Google Scholar] [CrossRef]
  4. Ischia, G.; Fiori, L. Hydrothermal Carbonization of Organic Waste and Biomass: A Review on Process, Reactor, and Plant Modeling. Waste Biomass Valoriz. 2021, 12, 2797–2824. [Google Scholar] [CrossRef]
  5. Jokinen, N.; Eronen, E.; Salami, A.; Hyttinen, M.; Jänis, J.; Vepsäläinen, J.; Lappalainen, R.; Tomppo, L. Valorization potential of the aqueous products from hydrothermal liquefaction and stepwise slow pyrolysis of wood bark and hemp hurds with yields and product comparison. Bioresour. Technol. Rep. 2023, 21, 101385. [Google Scholar] [CrossRef]
  6. Huang, H.-J.; Yuan, X.-Z. The migration and transformation behaviors of heavy metals during the hydrothermal treatment of sewage sludge. Bioresour. Technol. 2016, 200, 991–998. [Google Scholar] [CrossRef] [PubMed]
  7. Reza, M.T.; Lynam, J.G.; Vasquez, V.R.; Coronella, C.J. Pelletization of biochar from hydrothermally carbonized wood. Environ. Prog. Sustain. Energy 2012, 31, 225–234. [Google Scholar] [CrossRef]
  8. Wang, C.; Wang, Z.; Wang, X.; Li, N.; Tao, J.; Zheng, W.; Yan, B.; Cui, X.; Cheng, Z.; Chen, G. A Review on the Hydrothermal Treatment of Food Waste: Processing and Applications. Processes 2022, 10, 2439. [Google Scholar] [CrossRef]
  9. Galvis-Sandoval, D.E.; Lozano-Pérez, A.S.; Guerrero-Fajardo, C.A. Hydrothermal Valorization via Liquid Hot Water and Hydrothermal Carbonization of Pea Pod Waste: Characterization of the Biochar and Quantification of Platform Molecules. Appl. Sci. 2024, 14, 2329. [Google Scholar] [CrossRef]
  10. El-Nemr, M.A.; Yılmaz, M.; Ragab, S.; Al-Mur, B.A.; Hassaan, M.A.; El Nemr, A. Fabrication of Pea pods biochar-NH2 (PBN) for the adsorption of toxic Cr6+ ion from aqueous solution. Appl. Water Sci. 2023, 13, 194. [Google Scholar] [CrossRef]
  11. Dong, X.; Guo, S.; Wang, H.; Wang, Z.; Gao, X. Physicochemical characteristics and FTIR-derived structural parameters of hydrochar produced by hydrothermal carbonisation of pea pod (Pisum sativum Linn.) waste. Biomass Convers. Biorefin. 2019, 9, 531–540. [Google Scholar] [CrossRef]
  12. National Renewable Energy Laboratory. NREL/TP-510-42621-Determination of Total Solids in Biomass and Total Dissolved Solids in Liquid Process Samples; Batelle: Columbus, OH, USA, 2008.
  13. National Renewable Energy Laboratory. NREL/TP-510-42622-Determination of Ash in Biomass; Batelle: Columbus, OH, USA, 2008.
  14. ASTM E872-82; Standard Test Method for Volatile Matter in the Analysis of Particulate Wood Fuels. ASTM International: West Conshohocken, PA, USA, 2019.
  15. ASTM D5373-21; Standard Test Methods for Determination of Carbon, Hydrogen and Nitrogen in Analysis Samples of Coal and Carbon in Analysis Samples of Coal and Coke. ASTM International: West Conshohocken, PA, USA, 2021.
  16. AOAC 973.18-1977; Fiber (Acid Detergent) and Lignin (H2SO4) in Animal Feed. AOAC International: Rockville, MD, USA, 2015.
  17. Lozano-Pérez, A.S.; Guerrero-Fajardo, C.A. Liquid Hot Water (LHW) and Hydrothermal Carbonization (HTC) of Coffee Berry Waste: Kinetics, Catalysis, and Optimization for the Synthesis of Platform Chemicals. Sustainability 2024, 16, 2854. [Google Scholar] [CrossRef]
  18. Ţurcanu, A.A.; Matei, E.; Râpă, M.; Predescu, A.M.; Coman, G.; Predescu, C. Biowaste Valorization Using Hydrothermal Carbonization for Potential Wastewater Treatment Applications. Water 2022, 14, 2344. [Google Scholar] [CrossRef]
  19. Heidari, M.; Salaudeen, S.; Dutta, A.; Acharya, B. Effects of Process Water Recycling and Particle Sizes on Hydrothermal Carbonization of Biomass. Energy Fuels 2018, 32, 11576–11586. [Google Scholar] [CrossRef]
  20. Gallifuoco, A.; Papa, A.A.; Spera, A.; Taglieri, L.; Di Carlo, A. Dynamics of liquid-phase platform chemicals during the hydrothermal carbonization of lignocellulosic biomass. Bioresour. Technol. Rep. 2022, 19, 101177. [Google Scholar] [CrossRef]
  21. Reutemann, W.; Kieczka, H. Formic Acid. In Ullmann’s Encyclopedia of Industrial Chemistry; Wiley-VCH Verlag GmbH & Co. KGaA: Weinheim, Germany, 2000. [Google Scholar] [CrossRef]
  22. Song, Z.; Han, D.; Yang, M.; Huang, J.; Shao, X.; Li, H. Formic acid formation via direct hydration reaction (CO + H2O → HCOOH) on magnesia-silver composite. Appl. Surf. Sci. 2023, 607, 155067. [Google Scholar] [CrossRef]
  23. Xu, H.; Zhao, Y.; Guan, Y.; Wang, C.; Zhu, L.; Xiong, S.; Wang, S. Preparation of energy platform chemicals by hydrothermal conversion of citrus peel. Energy Sci. Eng. 2021, 9, 1033–1041. [Google Scholar] [CrossRef]
  24. Zhang, L.; Li, W.; Lu, J.; Li, R.; Wu, Y. Production of platform chemical and bio-fuel from paper mill sludge via hydrothermal liquefaction. J. Anal. Appl. Pyrolysis 2021, 155, 105032. [Google Scholar] [CrossRef]
  25. Hammerton, J.M.; Ross, A.B. Inorganic Salt Catalysed Hydrothermal Carbonisation (HTC) of Cellulose. Catalysts 2022, 12, 492. [Google Scholar] [CrossRef]
  26. MacDermid-Watts, K.; Pradhan, R.; Dutta, A. Catalytic Hydrothermal Carbonization Treatment of Biomass for Enhanced Activated Carbon: A Review. Waste Biomass Valoriz. 2021, 12, 2171–2186. [Google Scholar] [CrossRef]
  27. Langone, M.; Basso, D. Process Waters from Hydrothermal Carbonization of Sludge: Characteristics and Possible Valorization Pathways. Int. J. Environ. Res. Public Health 2020, 17, 6618. [Google Scholar] [CrossRef]
  28. Rasaq, W.A.; Okpala, C.O.R.; Igwegbe, C.A.; Białowiec, A. Catalyst-Enhancing Hydrothermal Carbonization of Biomass for Hydrochar and Liquid Fuel Production—A Review. Materials 2024, 17, 2579. [Google Scholar] [CrossRef] [PubMed]
  29. Nie, Y.; Hou, Q.; Li, W.; Bai, C.; Bai, X.; Ju, M. Efficient Synthesis of Furfural from Biomass Using SnCl4 as Catalyst in Ionic Liquid. Molecules 2019, 24, 594. [Google Scholar] [CrossRef]
  30. Montoya, A.C.V.; Mazareli, R.C.d.S.; Silva, E.L.; Varesche, M.B.A. Improving the hydrogen production from coffee waste through hydrothermal pretreatment, co-digestion and microbial consortium bioaugmentation. Biomass Bioenergy 2020, 137, 105551. [Google Scholar] [CrossRef]
  31. Jomnonkhaow, U.; Sittijunda, S.; Reungsang, A. Assessment of organosolv, hydrothermal, and combined organosolv and hydrothermal with enzymatic pretreatment to increase the production of biogas from Napier grass and Napier silage. Renew. Energy 2022, 181, 1237–1249. [Google Scholar] [CrossRef]
  32. Semaan, G.; Atelge, M.; Cayetano, R.D.; Kumar, G.; Kommedal, R. Spent coffee grounds anaerobic digestion: Investigating substrate to inoculum ratio and dilute acid thermal pretreatment. Fuel 2023, 331, 125598. [Google Scholar] [CrossRef]
  33. Bekele, D.T.; Shibeshi, N.T.; Reshad, A.S. KNO3-Loaded Coffee Husk Ash as a Heterogeneous Alkali Catalyst for Waste Frying Oil Valorization into Biodiesel. ACS Omega 2022, 7, 45129–45143. [Google Scholar] [CrossRef] [PubMed]
  34. Suárez-Hernández, L.; Ardila-A., A.N.; Barrera-Zapata, R. Morphological and physicochemical characterization of biochar produced by gasification of selected forestry species. Rev. Fac. Ing. 2017, 26, 123–130. [Google Scholar] [CrossRef]
  35. Armynah, B.; Atika; Djafar, Z.; Piarah, W.H.; Tahir, D. Analysis of Chemical and Physical Properties of Biochar from Rice Husk Biomass. J. Phys. Conf. Ser. 2018, 979, 012038. [Google Scholar] [CrossRef]
  36. Amin, F.R.; Huang, Y.; He, Y.; Zhang, R.; Liu, G.; Chen, C. Biochar applications and modern techniques for characterization. Clean Technol. Environ. Policy 2016, 18, 1457–1473. [Google Scholar] [CrossRef]
  37. Petruzzello, M. “Peat,” Britannica. Available online: https://www.britannica.com/technology/peat (accessed on 1 May 2024).
  38. Stracher, G.B.; Prakash, A.; Rein, G. Coal and Peat Fires: A Global Perspective; Elsevier: Amsterdam, The Netherlands, 2015; pp. 13–38. [Google Scholar] [CrossRef]
Figure 1. pH and conductivity of liquid fraction at 180 °C, 220 °C, and 260 °C with changing B/W ratios, 1 h, and 1 mm particle size.
Figure 1. pH and conductivity of liquid fraction at 180 °C, 220 °C, and 260 °C with changing B/W ratios, 1 h, and 1 mm particle size.
Sustainability 16 07352 g001
Figure 2. HPLC-RI quantification of liquid fraction at 180 °C with changing B/W ratios, 1 h, and 1 mm particle size.
Figure 2. HPLC-RI quantification of liquid fraction at 180 °C with changing B/W ratios, 1 h, and 1 mm particle size.
Sustainability 16 07352 g002
Figure 3. HPLC-RI quantification of liquid fraction at 220 °C with changing B/W ratios, 1 h, and 1 mm particle size.
Figure 3. HPLC-RI quantification of liquid fraction at 220 °C with changing B/W ratios, 1 h, and 1 mm particle size.
Sustainability 16 07352 g003
Figure 4. HPLC-RI quantification of liquid fraction at 260 °C with changing B/W ratios, 1 h, and 1 mm particle size.
Figure 4. HPLC-RI quantification of liquid fraction at 260 °C with changing B/W ratios, 1 h, and 1 mm particle size.
Sustainability 16 07352 g004
Figure 5. pH and conductivity quantification of liquid fraction at 180 °C, 220 °C, and 260 °C with changing particle sizes for 1 h and 1:20 B/W ratio.
Figure 5. pH and conductivity quantification of liquid fraction at 180 °C, 220 °C, and 260 °C with changing particle sizes for 1 h and 1:20 B/W ratio.
Sustainability 16 07352 g005
Figure 6. HPLC-RI quantification of liquid fraction at 180 °C with changing particle size, 1 h, and 1:20 B/W ratio.
Figure 6. HPLC-RI quantification of liquid fraction at 180 °C with changing particle size, 1 h, and 1:20 B/W ratio.
Sustainability 16 07352 g006
Figure 7. HPLC-RI quantification of liquid fraction at 220 °C with changing particle size, 1 h, and 1:20 B/W ratio.
Figure 7. HPLC-RI quantification of liquid fraction at 220 °C with changing particle size, 1 h, and 1:20 B/W ratio.
Sustainability 16 07352 g007
Figure 8. HPLC-RI quantification of liquid fraction at 260 °C with changing particle size, 1 h, and 1:20 B/W ratio.
Figure 8. HPLC-RI quantification of liquid fraction at 260 °C with changing particle size, 1 h, and 1:20 B/W ratio.
Sustainability 16 07352 g008
Figure 9. pH and conductivity quantification of liquid fraction at 180 °C, 220 °C, and 260 °C with changing stirring speeds, at 1 h, 1 mm particle size, and 1:20 B/W ratio.
Figure 9. pH and conductivity quantification of liquid fraction at 180 °C, 220 °C, and 260 °C with changing stirring speeds, at 1 h, 1 mm particle size, and 1:20 B/W ratio.
Sustainability 16 07352 g009
Figure 10. HPLC-RI quantification of liquid fraction at 180 °C with changing in stirring, 1 h, 1 mm particle size, and 1:20 B/W ratio.
Figure 10. HPLC-RI quantification of liquid fraction at 180 °C with changing in stirring, 1 h, 1 mm particle size, and 1:20 B/W ratio.
Sustainability 16 07352 g010
Figure 11. HPLC-RI quantification of liquid fraction at 220 °C with changing in stirring, 1 h, 1 mm particle size, and 1:20 B/W ratio.
Figure 11. HPLC-RI quantification of liquid fraction at 220 °C with changing in stirring, 1 h, 1 mm particle size, and 1:20 B/W ratio.
Sustainability 16 07352 g011
Figure 12. HPLC-RI quantification of liquid fraction at 260 °C with changing in stirring, 1 h, 1 mm particle size, and 1:20 B/W ratio.
Figure 12. HPLC-RI quantification of liquid fraction at 260 °C with changing in stirring, 1 h, 1 mm particle size, and 1:20 B/W ratio.
Sustainability 16 07352 g012
Figure 13. Mechanism for the obtention of platform chemicals from biomass. (a) Obtained from Cellulose. (b) Obtained from hemicellulose.
Figure 13. Mechanism for the obtention of platform chemicals from biomass. (a) Obtained from Cellulose. (b) Obtained from hemicellulose.
Sustainability 16 07352 g013
Figure 14. HPLC-RI quantification of liquid fraction at 180 °C with no stirring, 1 h, 1 mm particle size, and 1:20 B/W ratio.
Figure 14. HPLC-RI quantification of liquid fraction at 180 °C with no stirring, 1 h, 1 mm particle size, and 1:20 B/W ratio.
Sustainability 16 07352 g014
Figure 15. HPLC-RI quantification of liquid fraction at 220 °C with no stirring, 1 h, 1 mm particle size, and 1:20 B/W ratio.
Figure 15. HPLC-RI quantification of liquid fraction at 220 °C with no stirring, 1 h, 1 mm particle size, and 1:20 B/W ratio.
Sustainability 16 07352 g015
Figure 16. HPLC-RI quantification of liquid fraction at 260 °C with no stirring, 1 h, 1 mm particle size, and 1:20 B/W ratio.
Figure 16. HPLC-RI quantification of liquid fraction at 260 °C with no stirring, 1 h, 1 mm particle size, and 1:20 B/W ratio.
Sustainability 16 07352 g016
Figure 17. Van Krevelen characterization of biochars obtained from pea pod waste (Color code is explained in Figure 18).
Figure 17. Van Krevelen characterization of biochars obtained from pea pod waste (Color code is explained in Figure 18).
Sustainability 16 07352 g017
Figure 18. Color code for samples, conditions, and elemental ratios for biochars obtained and presented in Van Krevelen diagram.
Figure 18. Color code for samples, conditions, and elemental ratios for biochars obtained and presented in Van Krevelen diagram.
Sustainability 16 07352 g018
Table 1. Properties of pea pod obtained and used for the study.
Table 1. Properties of pea pod obtained and used for the study.
ParameterContent (%)
Moisture7.86
Ashes13.66
Volatile matter78.67
Fixed carbon8.36
Hemicellulose16.4
Cellulose25.0
Lignin3.6
Carbon47.74
Hydrogen5.85
Oxygen46.40
Table 2. Solid, liquid, and gas fractions in hydrothermal reactions with biomass waste (1 mm) for 1 h.
Table 2. Solid, liquid, and gas fractions in hydrothermal reactions with biomass waste (1 mm) for 1 h.
T (°C)B/W RatioWLF (g)WWSF (g)WDSF (g)WGF (g)
1801:0547.87040.1388.86011.992
1801:1069.53119.4064.39511.063
1801:2086.1426.9531.5146.905
1801:4087.7742.4830.6649.743
2201:0549.44432.5367.71918.020
2201:1071.99315.6403.88912.367
2201:2071.5856.0341.53822.381
2201:4089.7622.3170.6457.921
2601:0561.98424.6165.85213.401
2601:1063.9649.2303.00526.807
2601:2085.3703.6310.98011.000
2601:4091.2311.3140.3997.455
Weigh Liquid Fraction (WLF), Weight Wet Solid Fraction (WWSF), Weight Dry Solid Fraction (WDSF), Weight Gas Fraction (WGF).
Table 3. Solid, liquid, and gas fractions in hydrothermal reactions with biomass waste at a biomass/water ratio of 1:20 and a reaction time of 1 h.
Table 3. Solid, liquid, and gas fractions in hydrothermal reactions with biomass waste at a biomass/water ratio of 1:20 and a reaction time of 1 h.
T (°C)Particle Size (mm)WLF (g)WWSF (g)WDSF (g)WGF (g)
1800.584.3146.1981.4849.489
180186.1426.9531.5146.905
180279.8657.1341.37113.002
180574.6935.6941.34319.613
2200.571.8686.2771.20921.855
220171.5856.0341.53822.381
220282.5506.4901.49810.960
220584.1875.4051.50710.409
2600.581.5332.8190.84815.648
260185.3703.6310.98011.000
260279.1543.7681.07417.078
260583.3333.5630.97313.104
Weigh Liquid Fraction (WLF), Weight Wet Solid Fraction (WWSF), Weight Dry Solid Fraction (WDSF), Weight Gas Fraction (WGF).
Table 4. Solid, liquid, and gas fractions in hydrothermal reactions with biomass waste at a biomass/water ratio of 1:20, a particle size of 1 mm, and a reaction time of 1 h.
Table 4. Solid, liquid, and gas fractions in hydrothermal reactions with biomass waste at a biomass/water ratio of 1:20, a particle size of 1 mm, and a reaction time of 1 h.
T (°C)Stirring (rpm)WLF (g)WWSF (g)WDSF (g)WGF (g)
180W/O86.1426.9531.5146.905
180500080.6916.1181.46113.191
180800082.6206.5851.62010.795
220W/O71.5856.0341.53822.381
220500082.0237.1781.42110.799
220800078.8566.5451.58814.599
260W/O85.3703.6310.98011.000
260500082.1626.2621.61311.576
260800077.5684.4330.69318.000
Weigh Liquid Fraction (WLF), Weight Wet Solid Fraction (WWSF), Weight Dry Solid Fraction (WDSF), Weight Gas Fraction (WGF).
Table 5. Solid, liquid, and gas fractions in catalyzed hydrothermal reactions with biomass waste at a biomass/water ratio of 1:20, a particle size of 1 mm, and a reaction time of 1 h.
Table 5. Solid, liquid, and gas fractions in catalyzed hydrothermal reactions with biomass waste at a biomass/water ratio of 1:20, a particle size of 1 mm, and a reaction time of 1 h.
T (°C)Catalysts (0.1 M)WLF (g)WWSF (g)WDSF (g)WGF (g)
180W/O86.1426.9531.5146.905
180CH3COOH76.8725.6501.23817.478
180NaHCO374.1705.0491.85420.782
220W/O71.5856.0341.53822.381
220CH3COOH78.8044.9471.32516.249
220NaHCO357.0098.1761.29034.816
260W/O85.3703.6310.98011.000
260CH3COOH79.5083.8190.87916.673
260NaHCO375.4961.3210.56623.183
Weigh Liquid Fraction (WLF), Weight Wet Solid Fraction (WWSF), Weight Dry Solid Fraction (WDSF), Weight Gas Fraction (WGF).
Disclaimer/Publisher’s Note: The statements, opinions and data contained in all publications are solely those of the individual author(s) and contributor(s) and not of MDPI and/or the editor(s). MDPI and/or the editor(s) disclaim responsibility for any injury to people or property resulting from any ideas, methods, instructions or products referred to in the content.

Share and Cite

MDPI and ACS Style

Galvis Sandoval, D.E.; Lozano Pérez, A.S.; Guerrero Fajardo, C.A. Pea Pod Valorization: Exploring the Influence of Biomass/Water Ratio, Particle Size, Stirring, and Catalysts on Chemical Platforms and Biochar Production. Sustainability 2024, 16, 7352. https://doi.org/10.3390/su16177352

AMA Style

Galvis Sandoval DE, Lozano Pérez AS, Guerrero Fajardo CA. Pea Pod Valorization: Exploring the Influence of Biomass/Water Ratio, Particle Size, Stirring, and Catalysts on Chemical Platforms and Biochar Production. Sustainability. 2024; 16(17):7352. https://doi.org/10.3390/su16177352

Chicago/Turabian Style

Galvis Sandoval, Daniel Esteban, Alejandra Sophia Lozano Pérez, and Carlos Alberto Guerrero Fajardo. 2024. "Pea Pod Valorization: Exploring the Influence of Biomass/Water Ratio, Particle Size, Stirring, and Catalysts on Chemical Platforms and Biochar Production" Sustainability 16, no. 17: 7352. https://doi.org/10.3390/su16177352

APA Style

Galvis Sandoval, D. E., Lozano Pérez, A. S., & Guerrero Fajardo, C. A. (2024). Pea Pod Valorization: Exploring the Influence of Biomass/Water Ratio, Particle Size, Stirring, and Catalysts on Chemical Platforms and Biochar Production. Sustainability, 16(17), 7352. https://doi.org/10.3390/su16177352

Note that from the first issue of 2016, this journal uses article numbers instead of page numbers. See further details here.

Article Metrics

Back to TopTop