Utilizing Machine Learning Algorithms for the Development of Gully Erosion Susceptibility Maps: Evidence from the Chotanagpur Plateau Region, India
Abstract
1. Introduction
2. Materials and Methods
2.1. Study Area
2.2. Methodology
2.2.1. Inventory of Gully Erosion Locations
2.2.2. Gully Erosion Conditioning Factors
2.2.3. Multicollinearity Assessment
2.2.4. Random Forest (RF)
2.2.5. Extreme Gradient Boosting (XGBoost)
2.2.6. Method to Measure Geometric Parameters
2.2.7. Method of Model Validation
3. Results
3.1. Influence of the Key Factors on GESM
3.2. Gully Erosion Susceptibility Mapping
3.3. Analysis of the Geometric Parameters of Gullies
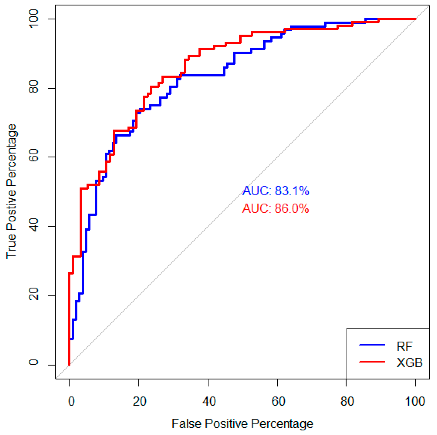
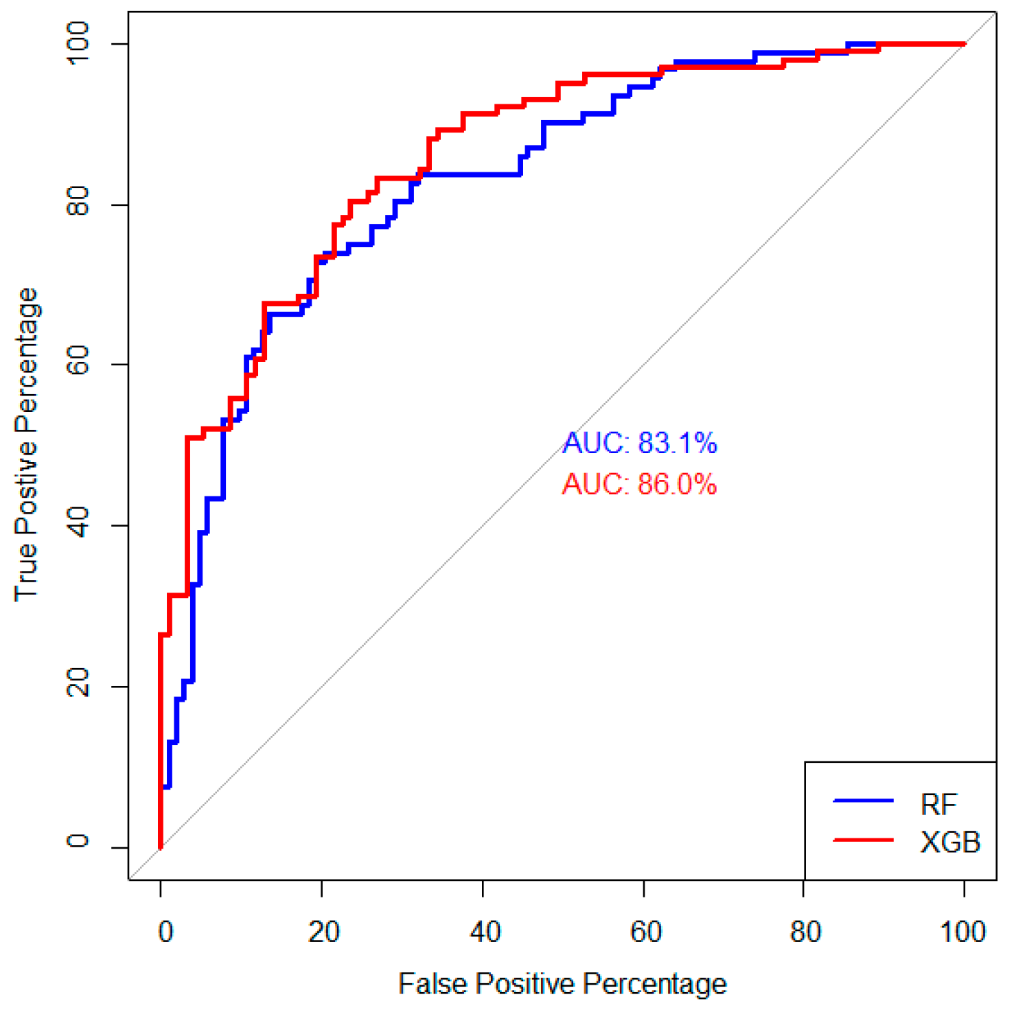
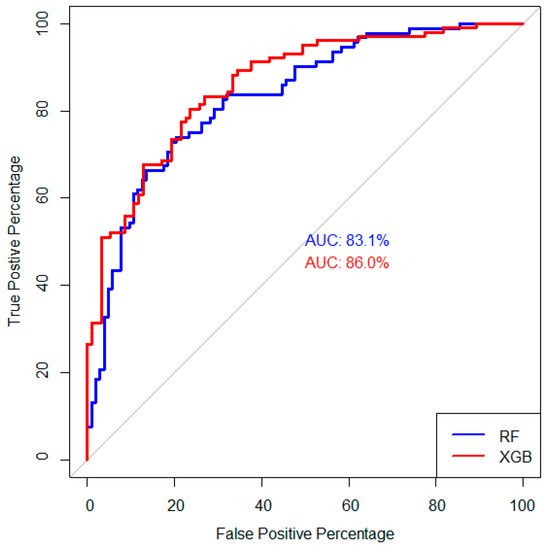
3.4. Validation of Models
4. Discussions
5. Conclusions
Supplementary Materials
Author Contributions
Funding
Institutional Review Board Statement
Informed Consent Statement
Data Availability Statement
Conflicts of Interest
References
- Sow, S.A. Dynamic Geomorphology: Systemic Analysis of Continental Water Mor-Phodynamics by Gully. Eur. Sci. J. 2020, 16, 78–98. [Google Scholar]
- Hassen, G.; Bantider, A. Assessment of Drivers and Dynamics of Gully Erosion in Case of Tabota Koromo and Koromo Danshe Watersheds, South Central Ethiopia. Geoenviron. Disasters 2020, 7, 5. [Google Scholar] [CrossRef]
- Amiri, M.; Pourghasemi, H.R.; Ghanbarian, G.A.; Afzali, S.F. Assessment of the Importance of Gully Erosion Effective Factors Using Boruta Algorithm and Its Spatial Modeling and Mapping Using Three Machine Learning Algorithms. Geoderma 2019, 340, 55–69. [Google Scholar] [CrossRef]
- Chen, W.; Lei, X.; Chakrabortty, R.; Pal, S.C.; Sahana, M.; Janizadeh, S. Evaluation of Different Boosting Ensemble Machine Learning Models and Novel Deep Learning and Boosting Framework for Head-Cut Gully Erosion Susceptibility. J. Environ. Manag. 2021, 284, 112015. [Google Scholar] [CrossRef]
- Majhi, A.; Nyssen, J.; Verdoodt, A. What Is the Best Technique to Estimate Topographic Thresholds of Gully Erosion? Insights from a case study on the permanent gullies of Rarh plain, India. Geomorphology 2021, 375, 107547. [Google Scholar] [CrossRef]
- Rahmati, O.; Tahmasebipour, N.; Haghizadeh, A.; Pourghasemi, H.R.; Feizizadeh, B. Evaluation of Different Machine Learning Models for Predicting and Mapping the Susceptibility of Gully Erosion. Geomorphology 2017, 298, 118–137. [Google Scholar] [CrossRef]
- Arabameri, A.; Rezaei, K.; Pourghasemi, H.R.; Lee, S.; Yamani, M. GIS-Based Gully Erosion Susceptibility Mapping: A Comparison among Three Data-Driven Models and AHP Knowledge-Based Technique. Environ. Earth Sci. 2018, 77, 628. [Google Scholar] [CrossRef]
- Azareh, A.; Rahmati, O.; Rafiei-Sardooi, E.; Sankey, J.B.; Lee, S.; Shahabi, H.; Ahmad, B.B. Modelling Gully-Erosion Susceptibility in a Semi-Arid Region, Iran: Investigation of Applicability of Certainty Factor and Maximum Entropy Models. Sci. Total Environ. 2019, 655, 684–696. [Google Scholar] [CrossRef]
- Igwe, O.; John, U.I.; Solomon, O.; Obinna, O. GIS-Based Gully Erosion Susceptibility Modeling, Adapting Bivariate Statistical Method and AHP Approach in Gombe Town and Environs Northeast Nigeria. Geoenviron. Disasters 2020, 7, 32. [Google Scholar] [CrossRef]
- Razavi-Termeh, S.V.; Sadeghi-Niaraki, A.; Choi, S.M. Gully Erosion Susceptibility Mapping Using Artificial Intelligence and Statistical Models. Geomat. Nat. Hazards Risk 2020, 11, 821–844. [Google Scholar] [CrossRef]
- Mehmood, Q.; Qing, W.; Chen, J.; Yan, J.; Ammar, M.; Rahman, G. Susceptibility Assessment of Single Gully Debris Flow Based on AHP and Extension Method. Civil. Eng. J. 2021, 7, 6. [Google Scholar] [CrossRef]
- Mohebzadeh, H.; Biswas, A.; Rudra, R.; Daggupati, P. Machine Learning Techniques for Gully Erosion Susceptibility Mapping: A Review. Geosciences 2022, 12, 429. [Google Scholar] [CrossRef]
- Ghorbanzadeh, O.; Shahabi, H.; Mirchooli, F.; Valizadeh Kamran, K.; Lim, S.; Aryal, J.; Jarihani, B.; Blaschke, T. Gully Erosion Susceptibility Mapping (GESM) Using Machine Learning Methods Optimized by the Multi Collinearity Analysis and K-Fold Cross-Validation. Geomat. Nat. Hazards Risk 2020, 11, 1653–1678. [Google Scholar] [CrossRef]
- Liu, G.; Arabameri, A.; Santosh, M.; Nalivan, O.A. Optimizing Machine Learning Algorithms for Spatial Prediction of Gully Erosion Susceptibility with Four Training Scenarios. Environ. Sci. Pollut. Res. 2023, 30, 46979–46996. [Google Scholar] [CrossRef] [PubMed]
- Hasanuzzaman, M.; Mandal, M.H.; Hasnine, M.; Shit, P.K. Groundwater Potential Mapping Using Multi-Criteria Decision, Bivariate Statistic and Machine Learning Algorithms: Evidence from Chota Nagpur Plateau, India. Appl. Water Sci. 2022, 12, 58. [Google Scholar] [CrossRef]
- Thanh, N.N.; Chotpantarat, S.; Trung, N.H.; Ngu, N.H. Mapping Groundwater Potential Zones in Kanchanaburi Province, Thailand by Integrating of Analytic Hierarchy Process, Frequency Ratio, and Random Forest. Ecol. Indic. 2022, 145, 109591. [Google Scholar] [CrossRef]
- Zhou, X.; Wen, H.; Zhang, Y.; Xu, J.; Zhang, W. Landslide Susceptibility Mapping Using Hybrid Random Forest with GeoDetector and RFE for Factor Optimization. Geosci. Front. 2021, 12, 101211. [Google Scholar] [CrossRef]
- Mosavi, A.; Golshan, M.; Janizadeh, S.; Choubin, B.; Melesse, A.M.; Dineva, A.A. Ensemble Models of GLM, FDA, MARS, and RF for Flood and Erosion Susceptibility Mapping: A Priority Assessment of Sub-Basins. Geocarto Int. 2022, 37, 2541–2560. [Google Scholar] [CrossRef]
- Hasanuzzaman, M.; Shit, P.K.; Bera, B.; Islam, A. Characterizing Recurrent Flood Hazards in the Himalayan Foothill Region through Data-Driven Modelling. Adv. Space Res. 2023, 71, 5311–5326. [Google Scholar] [CrossRef]
- Sahin, E.K. Assessing the Predictive Capability of Ensemble Tree Methods for Landslide Susceptibility Mapping Using XGBoost, Gradient Boosting Machine, and Random Forest. SN Appl. Sci. 2020, 2, 1308. [Google Scholar] [CrossRef]
- Kavzoglu, T.; Teke, A. Predictive Performances of Ensemble Machine Learning Algorithms in Landslide Susceptibility Mapping Using Random Forest, Extreme Gradient Boosting (XGBoost) and Natural Gradient Boosting (NGBoost). Arab. J. Sci. Eng. 2022, 47, 7367–7385. [Google Scholar] [CrossRef]
- Sun, D.; Shi, S.; Wen, H.; Xu, J.; Zhou, X.; Wu, J. A Hybrid Optimization Method of Factor Screening Predicated on GeoDetector and Random Forest for Landslide Susceptibility Mapping. Geomorphology 2021, 379, 107623. [Google Scholar] [CrossRef]
- Janizadeh, S.; Vafakhah, M.; Kapelan, Z.; Mobarghaee Dinan, N. Hybrid XGboost Model with Various Bayesian Hyperparameter Optimization Algorithms for Flood Hazard Susceptibility Modeling. Geocarto Int. 2022, 37, 8273–8292. [Google Scholar] [CrossRef]
- Sahin, E.K. Implementation of Free and Open-Source Semi-Automatic Feature Engineering Tool in Landslide Susceptibility Mapping Using the Machine-Learning Algorithms RF, SVM, and XGBoost. Stoch. Environ. Res. Risk Assess. 2023, 37, 1067–1092. [Google Scholar] [CrossRef]
- Shit, P.K.; Maity, R. Rill Hydraulics—An Experimental Study on Gully Basin in Lateritic Upland of Paschim Medinipur, West Bengal, India. J. Geogr. Geol. 2012, 4, 4. [Google Scholar] [CrossRef]
- Ghosh, S.; Guchhait, S.K. Characterization and evolution of laterites in West Bengal: Implication on the geology of northwest Bengal Basin. Transactions. 2015, 37, 93–119. [Google Scholar]
- Samanta, R.K.; Bhunia, G.S.; Shit, P.K. Spatial Modelling of Soil Erosion Susceptibility Mapping in Lower Basin of Subarnarekha River (India) Based on Geospatial Techniques. Model. Earth Syst. Environ. 2016, 2, 99. [Google Scholar] [CrossRef]
- Wang, X.; Zhang, T.; Cao, L.; Liang, Y. Erosion and Global Change. Europe 2016, 93, 39. [Google Scholar]
- Tsegaye, L.; Bharti, R. Assessment of the effects of agricultural management practices on soil erosion and sediment yield in Rib watershed, Ethiopia. Int. J. Environ. Sci. Technol. 2023, 20, 503–520. [Google Scholar] [CrossRef]
- Dharmawan, I.W.; Pratiwi; Siregar, C.A.; Narendra, B.H.; Undaharta, N.K.; Sitepu, B.S.; Sukmana, A.; Wiratmoko, M.D.; Abywijaya, I.K.; Sari, N. Implementation of Soil and Water Conservation in Indonesia and Its Impacts on Biodiversity, Hydrology, Soil Erosion and Microclimate. Appl. Sci. 2023, 13, 7648. [Google Scholar] [CrossRef]
- Hitouri, S.; Meriame, M.; Ajim, A.S.; Pacheco, Q.R.; Nguyen-Huy, T.; Bao, P.Q.; ElKhrachy, I.; Varasano, A. Gully Erosion Mapping Susceptibility in a Mediterranean Environment: A Hybrid Decision-Making Model. Int. Soil. Water Conserv. Res. 2024, 12, 279–297. [Google Scholar] [CrossRef]
- Garosi, Y.; Sheklabadi, M.; Pourghasemi, H.R.; Besalatpour, A.A.; Conoscenti, C.; Van Oost, K. Comparison of Differences in Resolution and Sources of Controlling Factors for Gully Erosion Susceptibility Mapping. Geoderma 2018, 330, 65–78. [Google Scholar] [CrossRef]
- Chen, W.; Xie, X.; Wang, J.; Pradhan, B.; Hong, H.; Bui, D.T.; Duan, Z.; Ma, J. A Comparative Study of Logistic Model Tree, Random Forest, and Classification and Regression Tree Models for Spatial Prediction of Landslide Susceptibility. CATENA 2017, 151, 147–160. [Google Scholar] [CrossRef]
- Khosravi, K.; Shahabi, H.; Pham, B.T.; Adamowski, J.; Shirzadi, A.; Pradhan, B.; Dou, J.; Ly, H.-B.; Gróf, G.; Ho, H.L. A Comparative Assessment of Flood Susceptibility Modeling Using Multi-Criteria Decision-Making Analysis and Machine Learning Methods. J. Hydrol. 2019, 573, 311–323. [Google Scholar] [CrossRef]
- Breiman, L. Random Forests. Mach. Learn. 2001, 45, 5–32. [Google Scholar] [CrossRef]
- Chen, W.; Li, Y.; Xue, W.; Shahabi, H.; Li, S.; Hong, H.; Wang, X.; Bian, H.; Zhang, S.; Pradhan, B.; et al. Modeling Flood Susceptibility Using Data-Driven Approaches of Naïve Bayes Tree, Alternating Decision Tree, and Random Forest Methods. Sci. Total Environ. 2020, 701, 134979. [Google Scholar] [CrossRef] [PubMed]
- Boehmke, B.; Greenwell, B.M. Hands-On Machine Learning with R.; CRC Press: Boca Raton, FL, USA, 2019. [Google Scholar]
- Xu, R.; Lin, H.; Lü, Y.; Luo, Y.; Ren, Y.; Comber, A. A Modified Change Vector Approach for Quantifying Land Cover Change. Remote Sens. 2018, 10, 1578. [Google Scholar] [CrossRef]
- Valdez, M.C.; Chang, K.-T.; Chen, C.-F.; Chiang, S.-H.; Santos, J.L. Modelling the Spatial Variability of Wildfire Susceptibility in Honduras Using Remote Sensing and Geographical Information Systems. Geomat. Nat. Hazards Risk 2017, 8, 876–892. [Google Scholar] [CrossRef]
- Chen, T.; Guestrin, C. Xgboost: A Scalable Tree Boosting System. In Proceedings of the 22nd Acm Sigkdd International Conference on Knowledge Discovery and Data Mining, San Francisco, CA, USA, 13–17 August 2016; pp. 785–794. [Google Scholar]
- Taghizadeh-Mehrjardi, R.; Schmidt, K.; Amirian-Chakan, A.; Rentschler, T.; Zeraatpisheh, M.; Sarmadian, F.; Valavi, R.; Davatgar, N.; Behrens, T.; Scholten, T. Improving the Spatial Prediction of Soil Organic Carbon Content in Two Contrasting Climatic Regions by Stacking Machine Learning Models and Rescanning Covariate Space. Remote Sens. 2020, 12, 1095. [Google Scholar] [CrossRef]
- Deng, Q.; Qin, F.; Zhang, B.; Wang, H.; Luo, M.; Shu, C.; Liu, H.; Liu, G. Characterizing the Morphology of Gully Crosssections Based on PCA: A Case of Yuanmou Dry-Hot Valley. Geomorphology 2015, 228, 703–713. [Google Scholar] [CrossRef]
- Islam, A.; Sarkar, B.; Das, B.C.; Barman, S.D. Assessing Gully Asymmetry Based on Cross-Sectional Morphology: A Case of Gangani Badland of West Bengal, India. Gully Eros. Stud. India Surround. Reg. 2020, 69–92. [Google Scholar] [CrossRef]
- Hong, H.; Pradhan, B.; Xu, C.; Bui, D.T. Spatial Prediction of Landslide Hazard at the Yihuang Area (China) Using Two-Class Kernel Logistic Regression, Alternating Decision Tree and Support Vector Machines. CATENA 2015, 133, 266–281. [Google Scholar] [CrossRef]
- Robin, X.; Turck, N.; Hainard, A.; Tiberti, N.; Lisacek, F.; Sanchez, J.C.; Müller, M. pROC: An open-source package for R and S+ to analyze and compare ROC curves. BMC Bioinform. 2011, 12, 77. [Google Scholar] [CrossRef] [PubMed]
- Telikani, A.; Tahmassebi, A.; Banzhaf, W.; Gandomi, A.H. Evolutionary Machine Learning: A Survey. ACM Comput. Surv. (CSUR) 2021, 54, 161. [Google Scholar] [CrossRef]
- Huang, D.; Su, L.; Zhou, L.; Tian, Y.; Fan, H. Assessment of Gully Erosion Susceptibility Using Different DEM-Derived Topographic Factors in the Black Soil Region of Northeast China. Int. Soil. Water Conserv. Res. 2023, 11, 97–111. [Google Scholar] [CrossRef]
- Gayen, A.; Pourghasemi, H.R.; Saha, S.; Keesstra, S.; Bai, S. Gully Erosion Susceptibility Assessment and Management of Hazard-Prone Areas in India Using Different Machine Learning Algorithms. Sci. Total Environ. 2019, 668, 124–138. [Google Scholar] [CrossRef]
- Setargie, T.A.; Tsunekawa, A.; Haregeweyn, N.; Tsubo, M.; Fenta, A.A.; Berihun, M.L.; Sultan, D.; Yibeltal, M.; Ebabu, K.; Nzioki, B.; et al. Random Forest–Based Gully Erosion Susceptibility Assessment across Different Agro-Ecologies of the Upper Blue Nile Basin, Ethiopia. Geomorphology 2023, 431, 108671. [Google Scholar] [CrossRef]
- Saha, S.; Roy, J.; Arabameri, A.; Blaschke, T.; Tien Bui, D. Machine Learning-Based Gully Erosion Susceptibility Mapping: A Case Study of Eastern India. Sensors 2020, 20, 1313. [Google Scholar] [CrossRef] [PubMed]
- Avand, M.; Janizadeh, S.; Naghibi, S.A.; Pourghasemi, H.R.; Khosrobeigi Bozchaloei, S.; Blaschke, T. A Comparative Assessment of Random Forest and K-Nearest Neighbor Classifiers for Gully Erosion Susceptibility Mapping. Water 2019, 11, 2076. [Google Scholar] [CrossRef]
- Hosseinalizadeh, M.; Kariminejad, N.; Chen, W.; Pourghasemi, H.R.; Alinejad, M.; Behbahani, A.M.; Tiefenbacher, J.P. Gully Headcut Susceptibility Modeling Using Functional Trees, Naïve Bayes Tree, and Random Forest Models. Geoderma 2019, 342, 1–11. [Google Scholar] [CrossRef]
- Parra, F.; González, J.; Chacón, M.; Marín, M. Modeling and evaluation of the susceptibility to landslide events using machine learning algorithms in the province of Chañaral, Atacama region, Chile. Sustainability 2023, 15, 16806. [Google Scholar] [CrossRef]
- Wei, A.; Yu, K.; Dai, F.; Gu, F.; Zhang, W.; Liu, Y. Application of tree-based ensemble models to landslide susceptibility mapping: A comparative study. Sustainability 2022, 14, 6330. [Google Scholar] [CrossRef]
- Yang, A.; Wang, C.; Pang, G.; Long, Y.; Wang, L.; Cruse, R.M.; Yang, Q. Gully erosion susceptibility mapping in highly complex terrain using machine learning models. ISPRS Int. J. Geo-Inf. 2021, 10, 680. [Google Scholar] [CrossRef]
- Hasanuzzaman, M.; Adhikary, P.P.; Shit, P.K. Gully erosion susceptibility mapping and prioritization of gully-dominant sub-watersheds using machine learning algorithms: Evidence from the Silabati River (tropical river, India). Adv. Space Res. 2024, 73, 1653–1666. [Google Scholar] [CrossRef]
- Arabameri, A.; Pourghasemi, H.R. Spatial modeling of gully erosion using linear and quadratic discriminant analyses in GIS and R. In Spatial Modeling in GIS and R for Earth and Environmental Sciences; Elsevier: Amsterdam, The Netherlands, 2019; pp. 299–321. [Google Scholar]
- Arabameri, A.; Cerda, A.; Pradhan, B.; Tiefenbacher, J.P.; Lombardo, L.; Bui, D.T. A methodological comparison of head-cut based gully erosion susceptibility models: Combined use of statistical and artificial intelligence. Geomorphology 2020, 359, 107136. [Google Scholar] [CrossRef]
- Choubin, B.; Rahmati, O.; Tahmasebipour, N.; Feizizadeh, B.; Pourghasemi, H.R. Application of fuzzy analytical network process model for analyzing the gully erosion susceptibility. In Natural Hazards Gis-Based Spatial Modeling Using Data Mining Techniques; Springer: Berlin, Germany, 2019; pp. 105–125. [Google Scholar]
- Cui, L.; Li, X.; Lin, J.; Guo, G.; Zhang, X.; Zeng, G. The mineralization and sequestration of soil organic carbon in relation to gully erosion. Catena 2022, 214, 106218. [Google Scholar] [CrossRef]
- Frankl, A.; Vanmaercke, M.; Nyssen, J.; Poesen, J. Gully prevention and rehabilitation: A review. In Proceedings of the 8th International symposium on Gully Erosion (ISGE), Townsville, Australia, 21–27 July 2019; p. 67. [Google Scholar]
- Lana, J.C.; Castro, P.D.T.A.; Lana, C.E. Assessing gully erosion susceptibility and its conditioning factors in southeastern Brazil using machine learning algorithms and bivariate statistical methods: A regional approach. Geomorphology 2022, 402, 108159. [Google Scholar] [CrossRef]
- Li, Y.; Mo, Y.Q.; Are, K.S.; Huang, Z.; Guo, H.; Tang, C.; Abegunrin, T.P.; Qin, Z.; Kang, Z.; Wang, X. Sugarcane planting patterns control ephemeral gully erosion and associated nutrient losses: Evidence from hillslope observation. Agric. Ecosyst. Environ. 2021, 309, 107289. [Google Scholar] [CrossRef]
- Nhu, V.H.; Janizadeh, S.; Avand, M.; Chen, W.; Farzin, M.; Omidvar, E.; Shirzadi, A.; Shahabi, H.J.; Clague, J.; Jaafari, A.; et al. GIS-based gully erosion susceptibility mapping: A comparison of computational ensemble data mining models. Appl. Sci. 2020, 10, 2039. [Google Scholar] [CrossRef]
- Rahmati, O.; Haghizadeh, A.; Pourghasemi, H.R.; Noormohamadi, F. Gully erosion susceptibility mapping: The role of GIS-based bivariate statistical models and their comparison. Nat. Hazards 2016, 82, 1231–1258. [Google Scholar] [CrossRef]
- Roy, P.; Chakrabortty, R.; Chowdhuri, I.; Malik, S.; Das, B.; Pal, S.C. Development of different machine learning ensemble classifier for gully erosion susceptibility in Gandheswari Watershed of West Bengal, India. Mach. Learn. Intell. Decis. Sci. 2020, 1–26. [Google Scholar] [CrossRef]
- Senanayake, S.; Pradhan, B. Predicting soil erosion susceptibility associated with climate change scenarios in the Central Highlands of Sri Lanka. J. Environ. Manag. 2022, 308, 114589. [Google Scholar] [CrossRef] [PubMed]
- Wei, Y.; Cai, C.; Guo, Z.; Wang, J. Linkage between aggregate stability of granitic soils and the permanent gully erosion in subtropical China. Soil Tillage Res. 2022, 221, 105411. [Google Scholar] [CrossRef]
- Wen, Y.; Kasielke, T.; Li, H.; Zepp, H.; Zhang, B. A case-study on history and rates of gully erosion in Northeast China. Land Degrad. Dev. 2021, 32, 4254–4266. [Google Scholar] [CrossRef]
- Wen, H.; Ni, S.; Wang, J.; Cai, C. Changes of soil quality induced by different vegetation restoration in the collapsing gully erosion areas of southern China. Int. Soil Water Conserv. Res. 2021, 9, 195–206. [Google Scholar] [CrossRef]
- Zabihi, M.; Mirchooli, F.; Motevalli, A.; Darvishan, A.K.; Pourghasemi, H.R.; Zakeri, M.A.; Sadighi, F. Spatial modelling of gully erosion in Mazandaran Province, northern Iran. Catena 2018, 161, 1–13. [Google Scholar] [CrossRef]
- Zhu, P.; Zhang, G.; Zhang, B. Soil saturated hydraulic conductivity of typical revegetated plants on steep gully slopes of Chinese Loess Plateau. Geoderma 2022, 412, 115717. [Google Scholar] [CrossRef]








| Sl No | Category | Data Source | Resolution |
|---|---|---|---|
| 1 | Alos Palsar DEM (elevation) | https://search.asf.alaska.edu | 12.5 × 12.5 m |
| 2 | Slope | Extracted from DEM | 12.5 × 12.5 m |
| 3 | Slope length | Extracted from DEM | 12.5 × 12.5 m |
| 4 | Slope aspect | Extracted from DEM | 12.5 × 12.5 m |
| 5 | Curvature | Extracted from DEM | 12.5 × 12.5 m |
| 6 | Drainage density (DD) | Extracted from DEM | 12.5 × 12.5 m |
| 7 | Distance from the river (DFR) | Extracted from DEM | 12.5 × 12.5 m |
| 8 | Distance from the lineament (DFL) | Extracted from DEM | 12.5 × 12.5 m |
| 9 | Topographic Weightiness Index (TWI) | Extracted from DEM | 12.5 × 12.5 m |
| 10 | Rainfall | WorldClim website | 885.67 × 885.67 m |
| 11 | NDVI | Satellite image (USGS website) | 30 × 30 m |
| 12 | Land Use and Land Cover (LULC) | Satellite image (USGS website) | 30 × 30 m |
| 13 | Distance from the road (DR) | https://www.openstreetmap.org | 30 × 30 m |
| 14 | Lithologic | Survey of India (bhukosh.gsi.gov.in) | 30 × 30 m |
| 15 | Geomorphology | Survey of India (bhukosh.gsi.gov.in) | 30 × 30 m |
| 16 | Soil organic density (SOD) | https://soilgrids.org | 250 × 250 m |
| 17 | Bulk density | https://soilgrids.org | 250 × 250 m |
| 18 | Clay Content in Soil (SC) | https://soilgrids.org | 250 × 250 m |
| 19 | Coarse fragments | https://soilgrids.org | 250 × 250 m |
| 20 | Sand | https://soilgrids.org | 250 × 250 m |
| 21 | Silt | https://soilgrids.org | 250 × 250 m |
| 22 | Carbon exchange capacity (CEC) | https://soilgrids.org | 250 × 250 m |
| 23 | Nitrogen | https://soilgrids.org | 250 × 250 m |
| 24 | Soil organic carbon (SOC) | https://soilgrids.org | 250 × 250 m |
| No | Influencing Factor | VIF | Average Merit (AM) |
|---|---|---|---|
| 1 | DEM (elevation) | 3.87 | 0.75 |
| 2 | Slope | 1.83 | 0.49 |
| 3 | Slope length | 1.14 | 0.37 |
| 4 | Slope aspect | 1.17 | 0.39 |
| 5 | Curvature | 1.72 | 0.25 |
| 6 | Drainage density (DD) | 2.49 | 0.47 |
| 7 | Distance from the river (DFR) | 3.34 | 0.70 |
| 8 | Distance from the lineament (DFL) | 1.44 | 0.21 |
| 9 | Topographic Weightiness Index (TWI) | 2.43 | 0.34 |
| 10 | Rainfall | 3.64 | 0.69 |
| 11 | NDVI | 2.55 | 0.57 |
| 12 | Land Use and Land Cover (LULC) | 2.48 | 0.71 |
| 13 | Distance from the road (DR) | 1.71 | 0.61 |
| 14 | Lithology | 3.22 | 0.48 |
| 15 | Geomorphology | 1.68 | 0.63 |
| 16 | Soil organic density (SOD) | 3.41 | 0.59 |
| 17 | Bulk density | 3.88 | 0.51 |
| 18 | Clay Content in Soil (SC) | 3.47 | 0.40 |
| 19 | Coarse fragments | 1.91 | 0.63 |
| 20 | Sand | 2.76 | 0.64 |
| 21 | Silt | 2.90 | 0.68 |
| 22 | Carbon exchange capacity (CEC) | 2.29 | 0.43 |
| 23 | Nitrogen | 1.87 | 0.47 |
| 24 | Soil organic carbon (SOC) | 3.49 | 0.65 |
| Class | XGBoost | RF | ||
|---|---|---|---|---|
| Area in km2 | Area in % | Area in km2 | Area in % | |
| Very High | 6.34 | 11.44 | 6.92 | 12.49 |
| High | 10.66 | 19.23 | 11.56 | 20.86 |
| Moderate | 26.57 | 47.94 | 25.01 | 45.13 |
| Low | 5.51 | 9.94 | 5.62 | 10.14 |
| Very Low | 6.35 | 11.46 | 6.31 | 11.39 |
| Total | 55.42 | 100 | 55.42 | 100 |
| Gully Name | Total Area (m2) | D | DLH | DRH | WT | WHD | WQD | W/D | SI | EI |
|---|---|---|---|---|---|---|---|---|---|---|
| G1 | 4.31 | 0.35 | 0.34 | 0.35 | 11.68 | 6.13 | 3.02 | 33.37 | 0.26 | 0.3 |
| G2 | 4.76 | 0.35 | 0.36 | 0.34 | 12.01 | 6.39 | 3.13 | 34.31 | 0.26 | 0.29 |
| G3 | 5.63 | 0.38 | 0.39 | 0.37 | 11.39 | 6.03 | 2.94 | 29.97 | 0.26 | 0.31 |
| G4 | 5.26 | 0.36 | 0.35 | 0.36 | 11.88 | 5.87 | 2.91 | 33.00 | 0.24 | 0.28 |
| G5 | 5.71 | 0.44 | 0.43 | 0.44 | 10.38 | 5.41 | 2.71 | 23.59 | 0.26 | 0.33 |
| G6 | 4.36 | 0.37 | 0.36 | 0.37 | 10.91 | 4.2 | 2.73 | 29.49 | 0.25 | 0.31 |
| G7 | 6.14 | 0.6 | 0.58 | 0.61 | 13.45 | 6.85 | 2.57 | 22.42 | 0.19 | 0.28 |
| G8 | 5.89 | 0.47 | 0.46 | 0.48 | 10.54 | 5.64 | 2.73 | 22.43 | 0.26 | 0.35 |
| G9 | 6.01 | 0.5 | 0.49 | 0.51 | 11.66 | 5.46 | 2.91 | 23.32 | 0.25 | 0.39 |
| G10 | 5.66 | 0.56 | 0.55 | 0.57 | 11.33 | 5.74 | 2.93 | 20.23 | 0.26 | 0.31 |
| G11 | 6.39 | 0.61 | 0.62 | 0.59 | 11.78 | 5.34 | 5.79 | 19.31 | 0.49 | 0.33 |
| G12 | 4.85 | 0.42 | 0.41 | 0.43 | 8.29 | 4.31 | 2.11 | 19.74 | 0.25 | 0.25 |
| G13 | 5.51 | 0.48 | 0.49 | 0.47 | 8.94 | 4.33 | 2.12 | 18.63 | 0.24 | 0.34 |
| G14 | 5.29 | 0.47 | 0.46 | 0.48 | 8.89 | 4.29 | 2.22 | 18.91 | 0.25 | 0.35 |
| G15 | 6.37 | 0.67 | 0.67 | 0.67 | 11.21 | 5.67 | 2.91 | 16.73 | 0.26 | 0.29 |
| G16 | 6.11 | 0.57 | 0.59 | 0.55 | 10.97 | 5.88 | 2.75 | 19.25 | 0.25 | 0.34 |
| G17 | 5.75 | 0.5 | 0.51 | 0.49 | 9.43 | 4.5 | 2.19 | 18.86 | 0.23 | 0.36 |
| G18 | 6.34 | 0.67 | 0.66 | 0.67 | 12.71 | 6.38 | 3.09 | 18.97 | 0.24 | 0.37 |
| G19 | 6.17 | 0.69 | 0.68 | 0.69 | 13.96 | 6.73 | 3.55 | 20.23 | 0.25 | 0.41 |
| G20 | 5.69 | 0.62 | 0.61 | 0.63 | 13.25 | 6.69 | 3.29 | 21.37 | 0.25 | 0.39 |
| Method | RF | XGBoost | ||
|---|---|---|---|---|
| Training | Testing | Training | Testing | |
| Accuracy (%) | 83.7 | 83.2 | 87.5 | 88.7 |
| Kappa index (K) | 0.80 | 0.81 | 0.85 | 0.83 |
| MAE | 0.15 | 0.19 | 0.11 | 0.13 |
| RMSE | 0.17 | 0.15 | 0.14 | 0.15 |
| R2 | 0.81 | 0.80 | 0.88 | 0.86 |
Disclaimer/Publisher’s Note: The statements, opinions and data contained in all publications are solely those of the individual author(s) and contributor(s) and not of MDPI and/or the editor(s). MDPI and/or the editor(s) disclaim responsibility for any injury to people or property resulting from any ideas, methods, instructions or products referred to in the content. |
© 2024 by the authors. Licensee MDPI, Basel, Switzerland. This article is an open access article distributed under the terms and conditions of the Creative Commons Attribution (CC BY) license (https://creativecommons.org/licenses/by/4.0/).
Share and Cite
Hasanuzzaman, M.; Shit, P.K.; Alqadhi, S.; Almohamad, H.; Hasher, F.F.b.; Abdo, H.G.; Mallick, J. Utilizing Machine Learning Algorithms for the Development of Gully Erosion Susceptibility Maps: Evidence from the Chotanagpur Plateau Region, India. Sustainability 2024, 16, 6569. https://doi.org/10.3390/su16156569
Hasanuzzaman M, Shit PK, Alqadhi S, Almohamad H, Hasher FFb, Abdo HG, Mallick J. Utilizing Machine Learning Algorithms for the Development of Gully Erosion Susceptibility Maps: Evidence from the Chotanagpur Plateau Region, India. Sustainability. 2024; 16(15):6569. https://doi.org/10.3390/su16156569
Chicago/Turabian StyleHasanuzzaman, Md, Pravat Kumar Shit, Saeed Alqadhi, Hussein Almohamad, Fahdah Falah ben Hasher, Hazem Ghassan Abdo, and Javed Mallick. 2024. "Utilizing Machine Learning Algorithms for the Development of Gully Erosion Susceptibility Maps: Evidence from the Chotanagpur Plateau Region, India" Sustainability 16, no. 15: 6569. https://doi.org/10.3390/su16156569
APA StyleHasanuzzaman, M., Shit, P. K., Alqadhi, S., Almohamad, H., Hasher, F. F. b., Abdo, H. G., & Mallick, J. (2024). Utilizing Machine Learning Algorithms for the Development of Gully Erosion Susceptibility Maps: Evidence from the Chotanagpur Plateau Region, India. Sustainability, 16(15), 6569. https://doi.org/10.3390/su16156569

