Inaccuracies and Uncertainties for Harmonic Estimation in Distribution Networks
Abstract
1. Introduction
2. SHEM Model and Measurement Setup
3. Elements of Uncertainties and Inaccuracies
3.1. Measurement Uncertainties
3.1.1. Measurement Setup Inaccuracies and Uncertainties
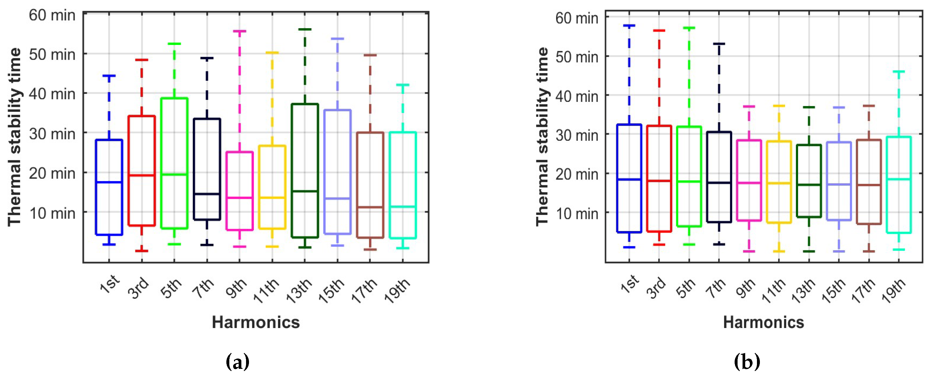
3.1.2. Thermal Stability Impact on Harmonic Measurements
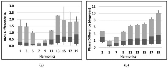
3.1.3. Impact of Cable Impedance
3.1.4. Impact of Network Variability
3.2. Load Modeling Uncertainties
3.2.1. Stochastic Modeling Uncertainty
3.2.2. Device Usage Pattern Variations
3.2.3. Harmonic Aggregation Uncertainties
4. Conclusions
Author Contributions
Funding
Institutional Review Board Statement
Informed Consent Statement
Data Availability Statement
Conflicts of Interest
References
- Wang, Y.; Yong, J.; Sun, Y.; Xu, W.; Wong, D. Characteristics of Harmonic Distortions in Residential Distribution Systems. IEEE Trans. Power Deliv. 2017, 32, 1495–1504. [Google Scholar] [CrossRef]
- Hu, H.; Shi, Q.; He, Z.; He, J.; Gao, S. Potential harmonic resonance impacts of PV inverter filters on distribution systems. IEEE Trans. Sustain. Energy 2015, 6, 151–161. [Google Scholar] [CrossRef]
- Li, Z.; He, Z.; Song, Y.; Tang, L.; Wang, Y. Stochastic assessment of harmonic propagation and amplification in power systems under uncertainty. IEEE Trans. Power Deliv. 2021, 36, 1149–1158. [Google Scholar] [CrossRef]
- Iqbal, M.N.; Kutt, L.; Rosin, A. Complexities associated with modeling of residential electricity consumption. In Proceedings of the 2018 IEEE 59th International Scientific Conference on Power and Electrical Engineering of Riga Technical University (RTUCON), Riga, Latvia, 12–13 November 2018; pp. 1–6. [Google Scholar] [CrossRef]
- Roald, L.A.; Pozo, D.; Papavasiliou, A.; Molzahn, D.K.; Kazempour, J.; Conejo, A. Power systems optimization under uncertainty: A review of methods and applications. Electr. Power Syst. Res. 2023, 214, 108725. [Google Scholar] [CrossRef]
- Singh, R.S.; Ćuk, V.; Cobben, S. Measurement-Based Distribution Grid Harmonic Impedance Models and Their Uncertainties. Energies 2020, 13, 4259. [Google Scholar] [CrossRef]
- Xiao, X.; Li, Z.; Wang, Y.; Zhou, Y. A Practical Approach to Estimate Harmonic Distortions in Residential Distribution System. IEEE Trans. Power Deliv. 2021, 36, 1418–1427. [Google Scholar] [CrossRef]
- Wang, Y.; Ma, H.; Xiao, X.; Wang, Y.; Zhang, Y.; Wang, H. Harmonic State Estimation for Distribution Networks Based on Multi-Measurement Data. IEEE Trans. Power Deliv. 2023, 38, 2311–2325. [Google Scholar] [CrossRef]
- Au, M.T.; Milanović, J.V. Establishing harmonic distortion level of distribution network based on stochastic aggregate harmonic load models. IEEE Trans. Power Deliv. 2007, 22, 1086–1092. [Google Scholar] [CrossRef]
- Zhong, Q.; Liang, J.; Xu, Z.; Meyer, J.; Wang, L.; Wang, G. Analysis of large-scale power quality monitoring data based on quantum clustering. Electr. Power Syst. Res. 2023, 220, 109366. [Google Scholar] [CrossRef]
- Mazin, H.E.; Nino, E.E.; Xu, W.; Yong, J. A Study on the Harmonic Contributions of Residential Loads. IEEE Trans. Power Deliv. 2011, 26, 1592–1599. [Google Scholar] [CrossRef]
- Iqbal, M.N.; Kütt, L.; Daniel, K.; Jarkovoi, M.; Asad, B.; Shabbir, N. Bivariate stochastic model of current harmonic analysis in the low voltage distribution grid. Proc. Est. Acad. Sci. 2021, 70, 190. [Google Scholar] [CrossRef]
- Shu, Q.; He, J.; Wang, C. A Method for Estimating the Utility Harmonic Impedance Based on Semiparametric Estimation. IEEE Trans. Instrum. Meas. 2021, 70, 1–9. [Google Scholar] [CrossRef]
- Yadav, J.; Vasudevan, K.; Meyer, J.; Kumar, D. Frequency Coupling Matrix Model of a Three-Phase Variable Frequency Drive. IEEE Trans. Ind. Appl. 2022, 58, 3652–3663. [Google Scholar] [CrossRef]
- Jiang, C.; Salles, D.; Xu, W.; Freitas, W. Assessing the collective harmonic impact of modern residential loadspart II: Applications. IEEE Trans. Power Deliv. 2012, 27, 1947–1955. [Google Scholar] [CrossRef]
- Ding, T.; Liang, H.; Xu, W. An Analytical Method for Probabilistic Modeling of the Steady-State Behavior of Secondary Residential System. IEEE Trans. Smart Grid 2017, 8, 2575–2584. [Google Scholar] [CrossRef]
- Gao, S.; Li, X.; Ma, X.; Hu, H.; He, Z.; Yang, J. Measurement-Based Compartmental Modeling of Harmonic Sources in Traction Power-Supply System. IEEE Trans. Power Deliv. 2017, 32, 900–909. [Google Scholar] [CrossRef]
- Au, M.T.; Milanović, J.V. Development of stochastic aggregate harmonic load model based on field measurements. IEEE Trans. Power Deliv. 2007, 22, 323–330. [Google Scholar] [CrossRef]
- Salles, D.; Jiang, C.; Xu, W.; Freitas, W.; Mazin, H.E. Assessing the collective harmonic impact of modern residential loads-part I: Methodology. IEEE Trans. Power Deliv. 2012, 27, 1937–1946. [Google Scholar] [CrossRef]
- Abdelrahman, S.; Milanović, J.V. Practical Approaches to Assessment of Harmonics Along Radial Distribution Feeders. IEEE Trans. Power Deliv. 2019, 34, 1184–1192. [Google Scholar] [CrossRef]
- Iqbal, M.N.; Jarkovoi, M.; Kutt, L.; Shabbir, N. Impact of LED Thermal Stability to Household Lighting Harmonic Load Current Modeling. In Proceedings of the 2019 Electric Power Quality and Supply Reliability Conference (PQ) & 2019 Symposium on Electrical Engineering and Mechatronics (SEEM), Kardla, Estonia, 12–15 June 2019; pp. 1–6. [Google Scholar] [CrossRef]
- Babaev, S.; Cobben, S.; Cuk, V.; Brom, H.V.D. Online Estimation of Cable Harmonic Impedance in Low-Voltage Distribution Systems. IEEE Trans. Instrum. Meas. 2020, 69, 2779–2789. [Google Scholar] [CrossRef]
- Geng, X.; Su, G.; Lu, W.; Xiong, Z.; Gao, Y.; Bu, X.; Yan, H.; Du, S. Study on the Harmonic Amplification Influence of DC Inverter Substation With Cable Outgoing Line on the Receiving-end Power Grid. In Proceedings of the 2021 3rd Asia Energy and Electrical Engineering Symposium (AEEES), Chengdu, China, 26–29 March 2021; pp. 448–453. [Google Scholar] [CrossRef]
- Herman, R.; Kritzinger, J. The statistical description of grouped domestic electrical load currents. Electr. Power Syst. Res. 1993, 27, 43–48. [Google Scholar] [CrossRef]
- Daniel, K.; Kutt, L.; Iqbal, M.N.; Shabbir, N.; Parker, M.; Jarkovoi, M. Waveform Variation Defined Model for Harmonic Current Emissions Including Cross-Order Supply Voltage Harmonics Influence. IEEE Access 2023, 11, 42276–42289. [Google Scholar] [CrossRef]
- Singh, R.; Pal, B.C.; Jabr, R.A. Statistical representation of distribution system loads using Gaussian mixture model. IEEE Trans. Power Syst. 2010, 25, 29–37. [Google Scholar] [CrossRef]
















| No. | Equipment | Model |
|---|---|---|
| 1 | Calibrator | CP11B |
| 2 | Current Transformer | I509 |
| 3 | Watt Meter | SWM3458 |
| 4 | Multimeter | Agilent 3458A |
| 5 | Software | PowerLF v1.2 |
| Harmonics | Signals | |||||||||
|---|---|---|---|---|---|---|---|---|---|---|
| 1 | 2 | 3 | 4 | 5 | ||||||
| Irms | Phase | Irms | Phase | Irms | Phase | Irms | Phase | Irms | Phase | |
| 1 | 0.106 | - | 0.045 | - | 0.081 | - | 0.036 | - | 0.037 | - |
| 3 | 0.085 | − | 0.037 | - | 0.066 | −98.5 | 0.015 | 11.7 | 0.035 | −136.3 |
| 5 | 0.069 | - | 0.028 | - | 0.044 | 142.0 | 0.006 | 55.1 | 0.031 | 73.4 |
| 7 | 0.050 | - | 0.020 | - | 0.024 | 39.9 | 0.004 | 53.7 | 0.025 | −75.7 |
| 9 | 0.034 | - | 0.013 | - | 0.017 | −38.1 | 0.003 | 87.7 | 0.019 | 137.4 |
| 11 | 0.024 | - | 0.010 | - | 0.016 | −130.2 | 0.002 | 99.0 | 0.014 | −5.4 |
| 13 | 0.022 | - | 0.008 | - | 0.013 | 130.7 | 0.002 | 120.7 | 0.009 | −140.1 |
| 15 | 0.022 | - | 0.007 | - | 0.010 | 43.2 | 0.002 | 142.6 | 0.006 | 96.7 |
| 17 | 0.020 | - | 0.006 | - | 0.010 | −43.3 | 0.002 | 156.3 | 0.006 | −23.8 |
| 19 | 0.018 | - | 0.006 | - | 0.009 | −138.6 | 0.001 | −178.1 | 0.006 | −153.2 |
| Harmonic | Signal 1 | Signal 2 | Signal 3 | Signal 4 | Signal 5 |
|---|---|---|---|---|---|
| No. | Current (A%) | ||||
| 3 | −0.36 | −0.24 | −0.32 | −0.33 | −0.32 |
| 5 | −0.37 | −0.29 | −0.36 | −0.36 | −0.35 |
| 7 | −0.38 | −0.39 | −0.37 | −0.38 | −0.37 |
| 9 | −0.41 | −0.40 | −0.40 | −0.41 | −0.40 |
| 11 | −0.47 | −0.33 | −0.46 | −0.47 | −0.45 |
| 13 | −0.55 | −0.38 | −0.53 | −0.55 | −0.53 |
| 15 | −0.64 | −0.51 | −0.63 | −0.65 | −0.63 |
| 17 | −0.74 | −0.55 | −0.74 | −0.74 | −0.73 |
| 19 | −0.83 | −0.58 | −0.82 | −0.84 | −0.82 |
| Harmonic | Signal 3 | Signal 4 | Signal 5 |
|---|---|---|---|
| No. | Degree | ||
| 3 | 0.31 | 0.18 | 0.42 |
| 5 | 0.36 | 0.18 | 0.53 |
| 7 | 0.45 | 0.21 | 0.72 |
| 9 | 0.52 | 0.23 | 0.85 |
| 11 | 0.71 | 0.32 | 1.20 |
| 13 | 0.83 | 0.31 | 1.02 |
| 15 | 0.91 | 0.42 | 1.12 |
| 17 | 1.06 | 0.45 | 1.31 |
| 19 | 1.16 | 0.51 | 1.40 |
| Harmonic | Measurements Differences | Correction Factor | ||
|---|---|---|---|---|
| No. | RMS |
Primary Instrument
A(%) |
Reference Instrument
A(%) | A(%) |
| 1 | 0.0445 | −0.5429 | −0.0102 | −0.6040 |
| 3 | 0.0363 | 0.1353 | 0.0560 | 0.5005 |
| 5 | 0.0283 | 0.2406 | 0.1563 | 0.6213 |
| 7 | 0.0196 | 0.3523 | 0.2556 | 0.7475 |
| 9 | 0.0130 | 0.4293 | 0.4255 | 0.8555 |
| 11 | 0.0091 | 0.7332 | 0.6360 | 1.2093 |
| 13 | 0.0082 | 0.8974 | 0.8990 | 1.4542 |
| 15 | 0.0071 | 1.1665 | 1.2015 | 1.8199 |
| 17 | 0.0064 | 1.5429 | 1.5559 | 2.2944 |
| 19 | 0.0055 | 1.9114 | 1.9543 | 2.7493 |
| Magnitude difference for a 1000 m cable | |||||||||||
| THDi | If | I3 | I5 | I7 | I9 | I11 | I13 | I15 | I17 | I19 | |
| Lamp 1 | 3.3% | 0.5% | 0.4% | 1.3% | 2.9% | 5.6% | 9.4% | 10.6% | 10.1% | 12.1% | 15.8% |
| Lamp 2 | 5.9% | −0.2% | 0.5% | 2.1% | 4.9% | 9.8% | 17.3% | 21.8% | 21.3% | 23.9% | 30.4% |
| Phase difference for a 1000 m cable | |||||||||||
| THDi | |||||||||||
| Lamp 1 | 3% | 0° | 3° | 6° | 8° | 2° | 11° | 11.3° | 13° | 15° | 18° |
| Lamp 2 | 5.9% | 0° | 5° | 9° | 13° | 16° | 18° | 16° | 10° | 20° | 23° |
Disclaimer/Publisher’s Note: The statements, opinions and data contained in all publications are solely those of the individual author(s) and contributor(s) and not of MDPI and/or the editor(s). MDPI and/or the editor(s) disclaim responsibility for any injury to people or property resulting from any ideas, methods, instructions or products referred to in the content. |
© 2024 by the authors. Licensee MDPI, Basel, Switzerland. This article is an open access article distributed under the terms and conditions of the Creative Commons Attribution (CC BY) license (https://creativecommons.org/licenses/by/4.0/).
Share and Cite
Iqbal, M.N.; Kütt, L.; Daniel, K.; Shabbir, N.; Amjad, A.; Awan, A.W.; Ali, M. Inaccuracies and Uncertainties for Harmonic Estimation in Distribution Networks. Sustainability 2024, 16, 6523. https://doi.org/10.3390/su16156523
Iqbal MN, Kütt L, Daniel K, Shabbir N, Amjad A, Awan AW, Ali M. Inaccuracies and Uncertainties for Harmonic Estimation in Distribution Networks. Sustainability. 2024; 16(15):6523. https://doi.org/10.3390/su16156523
Chicago/Turabian StyleIqbal, Muhammad Naveed, Lauri Kütt, Kamran Daniel, Noman Shabbir, Anas Amjad, Abdul Waheed Awan, and Majid Ali. 2024. "Inaccuracies and Uncertainties for Harmonic Estimation in Distribution Networks" Sustainability 16, no. 15: 6523. https://doi.org/10.3390/su16156523
APA StyleIqbal, M. N., Kütt, L., Daniel, K., Shabbir, N., Amjad, A., Awan, A. W., & Ali, M. (2024). Inaccuracies and Uncertainties for Harmonic Estimation in Distribution Networks. Sustainability, 16(15), 6523. https://doi.org/10.3390/su16156523

