You are currently viewing a new version of our website. To view the old version click .
Sustainability
  • Article
  • Open Access

24 July 2024

An Evaluation of the Physical Characteristics of Seeds of Selected Lilac Species for Seed Sorting Purposes and Sustainable Forest Management

,
,
and
1
Department of Heavy Duty Machines and Research Methodology, University of Warmia and Mazury in Olsztyn, Oczapowskiego 11, 10-719 Olsztyn, Poland
2
Department of Mechanical Engineering and Automation, University of Life Sciences in Lublin, Głęboka 28, 20-612 Lublin, Poland
3
Department of Forest Utilization, Engineering and Forest Techniques, Faculty of Forestry, University of Agriculture in Cracow, Al. 29 Listopada 46, 31-425 Kraków, Poland
*
Author to whom correspondence should be addressed.

Abstract

The aim of this study was to measure the physical attributes of seeds of selected lilac species and to describe the correlations between these properties and seed mass for seed processing and treatment. Basic physical parameters were measured in the seeds of five lilac species and the results were used to calculate aspect ratios describing seed shape and size. The average values of the measured properties ranged from 3.57 to 5.98 m s−1 for terminal velocity, from 6.20 to 9.61 mm for seed length, from 2.19 to 3.94 mm for seed width, from 0.85 to 1.21 mm for seed thickness, from 5.9 to 19.2 mg for seed mass, and from 32° to 44° for the angle of external friction. Seed mass was bound by the strongest correlations with terminal velocity (Amur lilac, Hungarian lilac, and Pekin lilac), thickness (broadleaf lilac), and width (Japanese tree lilac). Seed thickness followed by terminal velocity were the primary distinguishing features of lilac seeds. Therefore, lilac seeds should be sorted with the use of sieve separators with longitudinal openings or pneumatic separators. These devices effectively sort lilac seeds into fractions with uniform seed mass, which can facilitate the propagation of lilacs in nurseries and the production of high-quality seedlings, thus promoting the sustainable use of natural resources and production materials. In medium-sized and large seed fractions, the coefficient of variation of seed mass can be decreased by up to 50% relative to unsorted seeds.

1. Introduction

Trees and shrubs are an important part of forest ecosystems as well as agricultural, industrial, and recreational areas. They are frequently encountered in green squares, boulevards, and parks on account of their diverse shape and color. The shoots, seeds, and fruit of trees and shrubs are consumed by many animals, thus contributing to the biodiversity of species colonizing a given area [1,2,3,4,5].
Lilacs constitute a group of popular species of flowering shrubs around the world. According to Philips and Rix [6] and Rudolf et al. [7], the genus Syringa comprises around 30 species, and the common lilac (Syringa vulgaris) is most frequently encountered in gardens and parks. Lilacs are widely distributed in Southern and Eastern Asia and in Southeast Europe. In nature, lilacs grow in clusters, often on mountain slopes and cliffs, in particular on calcareous soils. They prefer fertile and permeable soils that are abundant in organic matter. Lilacs thrive in sunny sites with a minimum of 6 h of sun exposure daily. They reach a height of up to 7 m (3–4 m on average) and form relatively large and densely branched bushes or trees with an irregular growth habit. Lilacs produce dark green, heart-shaped leaves in April and panicles of flowers with a length of up to 15–20 cm in May. Funnel-shaped or cylindrical flowers have a four-lobed corolla (in rare cases, a five- or six-lobed corolla), and they are usually white, pale purple or pale violet with shades of blue or pink. Lilacs have a distinctive strong and sweet scent. Lilac fruits are brown capsules with a length of around 2 cm that are divided into two segments. Each segment contains four seeds [6,7,8,9,10].
Lilacs are widely used in the production of perfume and cosmetics. Both lilac flowers and leaves are used for this purpose. Lilac essential oil has cooling, soothing, and relaxing properties, and it is used in aromatherapy. Many perfumes contain lilac oil [11,12]. Flowers are also used to produce lilac-infused honey and to make lilac syrup by combining flowers with sugar and water. In folk medicine, preparations made from lilac leaves, flowers, bark, shoots, and roots have been long used to treat headache, cold, cough, and skin diseases [12,13,14,15,16]. Lilacs contain many active ingredients with medicinal properties, including glycosides, sugar alcohols, simple sugars, curcuminoids, tannins, lignans, essential oils, phenylethanoids, forsythoside, phenolic acids, flavonoids, syringaresinol, and echinacoside [11,12,14,16,17,18].
Mature lilac fruits are usually harvested manually in late fall when they have the highest germination capacity. Late-harvested fruits have high moisture content, and they should be dried in a thin layer in a well-ventilated room. In winter, air-dried fruits can be stored in paper bags. Many fruit capsules open before spring, and seeds can be separated by winnowing and screening [7]. Lilac seeds remain viable for up to two years if they are stored in dry and well-ventilated premises. For prolonged storage, seeds should be placed in tight polyethylene containers or bags and kept at a temperature of 1–3 °C. Seed dormancy varies across lilac species and seed collections, but it is usually easy to overcome [7,19]. Seeds that develop under exposure to high temperature can exhibit deeper dormancy. Dormancy can be released by sowing immature seeds, culturing embryos, and subjecting ripe seeds to bioactive treatments with gibberellic acid and nitric oxide [19,20,21]. Lilac seeds are usually used to produce seedling rootstocks because genetic constancy is most effectively maintained through vegetative reproduction [19,22,23,24]. Seeds can already be sown in fall without any pretreatment, and dormancy will be broken by low winter temperatures. Seeds should be sown to a depth of 6–9 mm, and soil should be mulched in fall [7,19].
Seeds should be separated into similarly sized batches before they are sown or stored. Seeds are sorted to remove impurities and obtain seed batches that are uniform in size or mass [25]. The sorted batches are sown separately in nurseries to promote uniform emergence and seedling growth and accurately schedule successive treatments. The obtained seeds are characterized by similar size, which is a very important consideration when seeds are sown with a mechanical drill and in accordance with sustainable forest management practices [26,27]. The seeds of different lilac species require various pretreatments, which is why germination tests were not performed in the present study. Based on the work of Poorter and Rose [28], Norden et al. [29], and Karki et al. [30], it was assumed that the germination capacity of lilac seeds would be determined mainly by seed mass. However, due to considerable variations in the mass and physical dimensions of individual seeds, the process of separating seeds into batches with a similar mass is a difficult task [31,32]. Therefore, other seed parameters that are bound by a strong correlation with seed mass have to be identified to facilitate seed separation in cleaning and sorting equipment. The variation in the physical characteristics of lilac seeds and the relationships between these parameters have never been investigated in the literature. The relevant information can be used for designing and conducting seed harvesting, sorting, drying, and planting operations.
The objective of this experiment was to measure the physical characteristics of seeds of selected lilac species and to describe the relationships between these parameters and seed mass for the purpose of seed sorting.

2. Materials and Methods

2.1. Sample Preparation

The study involved the seeds of five lilac species (Figure 1): Amur lilac (Syringa reticulata subsp. amurensis (Rupr.) P.S.Green and M.C.Chang), broadleaf lilac (Syringa oblata Lindl.), Hungarian lilac (Syringa josikaea J.Jacq. ex Rchb.), Japanese tree lilac (Syringa reticulata (Blume) H.Hara), and Pekin lilac (Syringa reticulata subsp. pekinensis (Rupr.) P.S.Green and M.C.Chang). Lilac seeds used as the experimental material were purchased in 2016 from Dendrona (Pęcice, Poland), a commercial distributor of seeds of forest trees and shrubs. Dendrona is a member of the Polish Seed Trade Association and it produces and distributes seeds in compliance with seed certification and seed trade regulations. Each sample of seeds of the tested lilac species weighed 100 g. Samples composed of around 100 seeds were used in the experiment. The samples were acquired by halving [33]. The initial seed sample was placed on a flat surface and divided into two roughly equal groups. One group was chosen randomly and it was further divided into two equal batches. These steps were repeated until the sample contained the required number of seeds. The resulting specimens contained 115 to 122 seeds each. The remaining seeds were used in a moisture content analysis that was conducted with the use of a MAX 50/WH drying scale (Radwag Radom, Poland). The moisture contents of all lilac seeds were similar (6.3–7.1%).
Figure 1. Seeds of (a) Amur lilac, (b) broadleaf lilac, (c) Hungarian lilac, (d) Japanese tree lilac, and (e) Pekin lilac.

2.2. Physical Properties

The diagram presenting the process of establishing the basic physical properties of lilac seeds is shown in Figure 2. Selected physical parameters were measured in each stage of the process and the correlations between these traits were determined in successive stages of the analysis. In the first stage, the terminal velocity of seeds was determined with the use of a Petkus K-293 air separator (Petkus Technologie GmbH, Wutha-Farnroda, Germany) to the nearest 0.11 m s−1 (the airflow rate was measured with an accuracy of 1 m3 h−1). The airflow rate was initially set to 10 m3 h−1, which corresponded to an air speed of 1.1 m s−1, at which none of the tested seeds were lifted up in the air. The examined batch was placed in the air separator to confirm that none of the seeds of the tested lilac species were carried away with the air. Air speed was then increased in steps of 0.55 m s−1 (5 m3 h−1). Seeds were fed to the pneumatic loader and separated into two fractions: seeds that were carried away with the air and seeds that fell to the bottom. Seeds that fell to the bottom were once again placed in the pneumatic loader and separated into two batches. Seeds that were carried away with the air were moved to a different container, and the hopper was placed back in the separator. This seed fraction was separated again to ensure that divergent seeds had not been accidentally deposited in this batch due to air flow disturbances. Seeds that fell to the bottom were reloaded into the air separator. Seeds that were carried away with the air were transferred from the container to a tightly sealed, labeled plastic bag. The terminal velocity of this seed fraction was determined by calculating the arithmetic mean of air speed measured at two separator settings: when seeds fell to the bottom (first setting) and when seeds were carried by the stream of air to the hopper (second setting). Air speed was then increased by 0.55 m s−1 and the remaining seeds were separated with the use of the same procedure. These operations were repeated until none of the seeds fell to the bottom. The air separation procedure, which was conducted before the measurement of the geometric properties of seeds, enabled the division of the seeds of the analyzed lilac species into six (Hungarian lilac) to nine (Pekin lilac) fractions.
Figure 2. Flow diagram of the process of measuring the physical properties of lilac seeds.
In the second stage, the length (L) and width (W) of each seed were measured under an MWM 2325 laboratory microscope (PZO, Warsaw, Poland). Each seed was placed on a transparent plastic slide and the slide was inserted under stage clips. Micrometer screw gauges were used to move the stage in two perpendicular directions Seed length and width were measured with an accuracy of 0.02 mm. Using the micrometer screw gauge, the stage was moved to align the eyepiece ruler with the beginning of the seed contour, and the micrometer was read. In the following step, the stage was moved to a position in which the end of the seed contour was aligned with the ruler. The micrometer reading was recorded. The difference between these two measurements was used to calculate the value of the analyzed parameter. The same procedure was applied to measure the second parameter using the second micrometer screw gauge and a different ruler in the eyepiece.
Seed thickness (T) was measured to the nearest 0.01 mm with a self-designed thickness gauge with a dial indicator. The gauge consists of a base, a spindle, and a dial indicator mounted on top of the spindle. The bottom part of the spindle ends with an anvil which rests on the flat surface of the base and is used to zero the device. To determine seed thickness, the spindle is lifted and the seed is placed under the anvil on the same slide that was used in microscopic measurements. The anvil is then lowered until it comes into contact with the seed, and the dial is read to determine seed thickness.
In the following step, the seed was transferred to a small container and the container was placed on a zeroed AS 220/C/2 digital weighing scale (Radwag, Radom, Polska). Seed mass (m) was measured to the nearest 0.1 mg.
In the last step, the seed was placed on a friction plate made of S235JRG2 steel with porosity of Ra = 0.53 µm. The friction plate was mounted to a moving inclined plane. The seed was placed in two different positions to determine the angle of external friction. In the first position, the seed’s longitudinal axis was parallel to the direction of movement of the inclined plate, and in the second position, the seed’s longitudinal axis was perpendicular to the plate’s direction of movement. In each position, the inclined plane was lifted with an estimated speed of 5° s−1 until the seed was set into motion. The plane was locked in position, and the angle was read from a protractor scale to the nearest 1°. The seed was then placed in the second position, and the measurement was repeated. The seed’s angle of external friction (γ) was determined by calculating the average of the two measurements.
The following indicators were calculated based on the basic geometric properties and the mass of each seed:
  • Geometric mean diameter D:
D = L · W · T 3
  • T/W, T/L, and W/L aspect ratios describing seed shape;
  • Sphericity index Φ:
Φ = D L
  • m/T, m/W, m/L, and m/D aspect ratios (seed mass divided by seed dimensions) describing seed size.
The seeds of each lilac species were divided into three size classes: small seeds (class 1—seeds with the smallest mass), medium-sized seeds (class 2—seeds with average mass), and large seeds (class 3—seeds with the largest mass). Based on the assumption that each class of seeds would consist of a nearly identical number of seeds, seed mass was rounded to the nearest 1 mm to determine the boundaries of each size class. The proportion of differently sized seeds in the total seed mass was determined for the needs of seed sorting operations. It was also assumed that the fraction of seeds with the smallest thickness or the lowest terminal velocity would account for up to 25% of total seed mass. Each seed fraction was identified with an accuracy of 0.55 m s−1 (terminal velocity) or 0.1 mm (thickness).

2.3. Statistical Analysis

The results were analyzed statistically in the Statistica PL software v. 13.3 (StatSoft Poland Ltd., Cracow, Poland) and were considered statistically significant at α = 0.05. The mean, minimum and maximum values, and the standard deviation of the analyzed parameters were determined with the use of descriptive statistics. A one-way analysis of variance (ANOVA) was performed to determine variations in the characteristics of seeds of different lilac species, and the results of Tukey’s test were used to create homogeneous groups. Linear correlation coefficients were calculated to determine the strength of the relationships between the examined parameters. The results were presented graphically only when the coefficient of determination in the regression analysis was at least 0.3.

3. Results and Discussion

3.1. Experimental Material

To determine the accuracy of the estimation of the average values of the examined parameters, the standard error of the estimate was computed from the standard deviation of a given trait and the size of the sample. The value of the Student’s t-distribution was then read from the table of critical values of t for the corresponding sample size and the adopted level of significance. The values measured for the seeds of each lilac species were input into a general formula, and the maximum value of the standard error of the estimate was not greater than the following:
  • 0.2 m s−1 for terminal velocity;
  • 0.3 mm for length;
  • 0.2 mm for width;
  • 0.05 mm for thickness;
  • 1 mg for mass;
  • 1° for the angle of external friction.
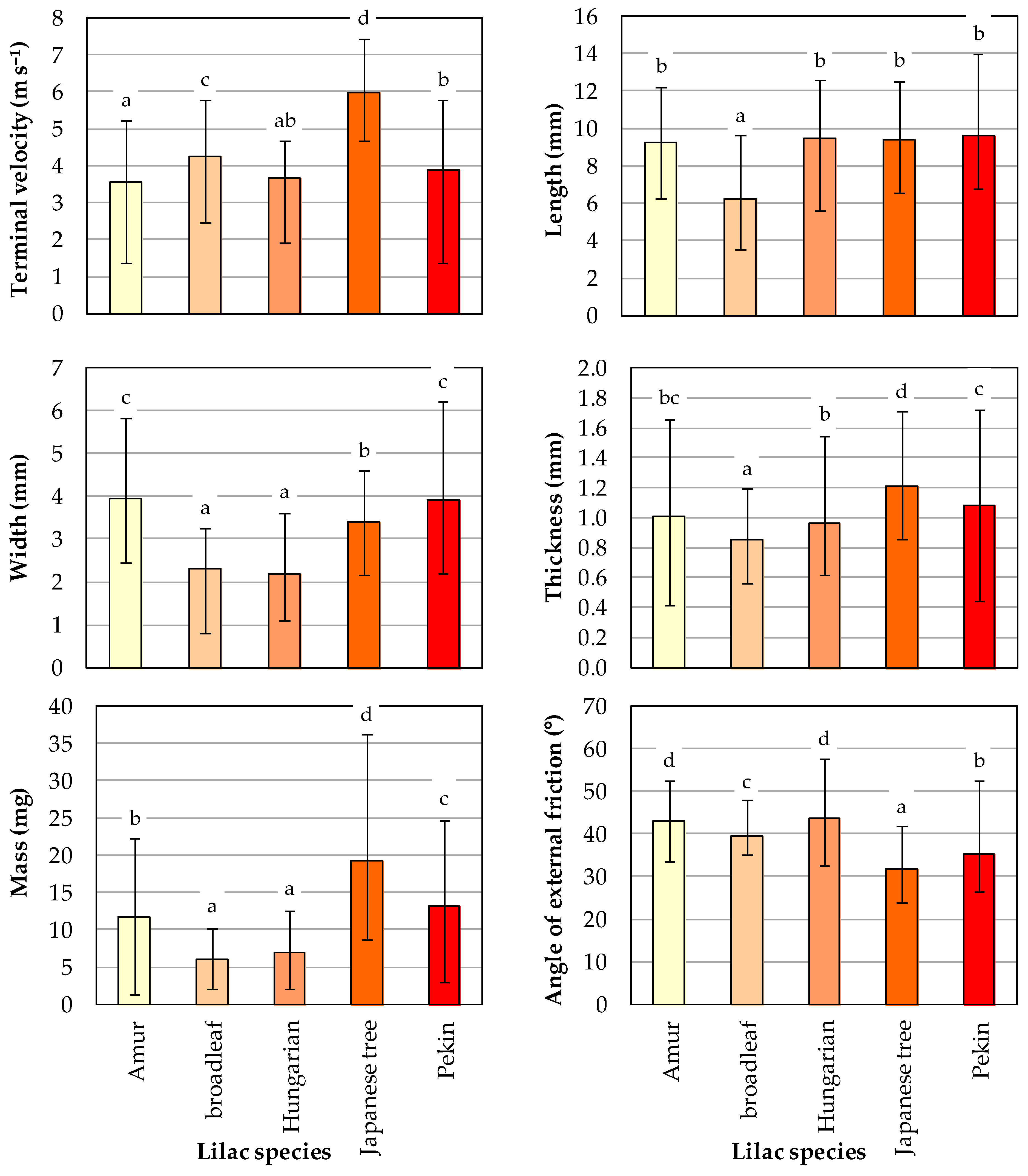
The basic physical characteristics of seeds of the analyzed lilac species are presented in Figure 3. Similar differences were noted in the values of the measured attributes, which implies that the seeds of the examined lilac species would be difficult to separate with the use of conventional seed cleaning machines. Terminal velocities ranged from 1.4 m s−1 to 7.4 m s−1 and 3.6 m s−1 (Amur lilac) to 6.0 m s−1 (Japanese tree lilac) on average. Based on their terminal velocity values, the following pairs of lilac species formed homogeneous groups: Amur lilac and Hungarian lilac, and Hungarian lilac and Pekin lilac. The terminal velocity of Japanese tree lilac seeds was similar to that determined in blue spruce, Jezo spruce and white spruce [31], Korean fir and noble fir [32], and Shiny viburnum and European cranberrybush seeds [34].
Figure 3. Physical properties (mean value, minimum value, and maximum value) of lilac seeds and significant differences between lilac species: (a–d)—different letters indicate significant differences at p < 0.05 (Tukey’s test).
Lilac seeds are unique in terms of physical dimensions. None of the species of forest trees, forest bushes, or species and varieties of agricultural crops analyzed in the literature produces seeds that are similar to lilac seeds in all three basic dimensions. In the current study, broadleaf lilac was characterized by the smallest seeds and Pekin lilac by the largest seeds. The basic physical dimensions of the examined seeds ranged from 3.54 mm to 14.00 mm for seed length, from 0.82 mm to 6.20 mm for seed width, and from around 0.42 mm to 1.72 mm for seed thickness. The average length of lilac seeds ranged from 6.20 mm (broadleaf lilac) to 9.61 mm (Pekin lilac), and the other three species formed a homogeneous group with Pekin lilac seeds. In this group, seed length was similar to that noted in grant fir, Japanese fir, and Sierra white fir seeds [32]. In turn, the length of broadleaf lilac seeds resembles that reported in the seeds of small-leaved lime [35], leatherleaf viburnum and Sargent viburnum [34], and many wheat cultivars [36,37]. The average width of lilac seeds ranged from 2.19 mm (Hungarian lilac) to 3.94 mm (Amur lilac). Broadleaf lilac and Hungarian lilac, as well as Amur lilac and Pekin lilac, formed pairs of species (homogeneous groups) characterized by similar seed width. In terms of seed width, broadleaf lilac and Hungarian lilac resemble Norway spruce and Schrenk’s spruce seeds [31]. In turn, the width of Japanese tree lilac seeds is similar to that noted in balsam fir and Korean fir seeds [32], European black pine seeds [38], and common lilac seeds [39]. Amur lilac and Pekin lilac seeds are characterized by similar widths to that reported in leatherleaf viburnum seeds [34]. The average seed thickness in the examined lilac species ranged from 0.85 mm (broadleaf lilac) to 1.21 mm (Japanese tree lilac). Amur lilac and Hungarian lilac, as well as Amur lilac and Pekin lilac, were classified as species pairs with similar seed thickness. In terms of average seed thickness, Japanese tree lilac is similar to red spruce and white spruce [31], whereas Pekin lilac is comparable to Sitka spruce [31].
The mass of lilac seeds ranged from 1.4 mg (Amur lilac) to 36.3 mg (Japanese tree lilac), and average seed mass was determined in the range of 5.9 mm (broadleaf lilac) to 19.2 mg (Japanese tree lilac). Broadleaf lilac and Hungarian lilac were characterized by similar seed mass, and seeds with a similar mass are produced by Meyer’s spruce, oriental spruce, and Lijiang spruce [31]. In terms of seed mass, Japanese tree lilac resembles Morinda spruce [31], European black pine [38], mountain maple, red maple, small-leaved maple [40], common ivy [41], and Shiny viburnum [34], whereas Amur lilac seeds have a similar mass to Korean fir seeds [32].
The seeds of the analyzed lilac species were characterized by relatively high values of the angle of external friction, which ranged from 24° (Japanese tree lilac) to 58° (Hungarian lilac). The average values of this parameter remained in the range of around 32° to around 44 °C. Such large values can be probably attributed to the fact that lilac seeds are relatively flat (seed width and seed length considerably exceed seed thickness), which increases the contact area between a seed and the base surface. The relatively low mass of individual seeds also contributes to higher values of the angle of external friction. Similar values of the angle of external friction were previously reported in the seeds of selected viburnum species [34]. In the present study, Amur lilac and Hungarian lilac formed a homogeneous group based on the angle of external friction.
The aspect ratios describing the size and shape of the analyzed lilac seeds are presented in Table 1. The geometric mean diameter ranged from 2.28 mm (broadleaf lilac) to 3.38 mm (Pekin lilac), and Amur lilac, Japanese tree lilac, and Pekin lilac formed a homogeneous group based on this parameter. Similar values of the geometric mean diameter were determined in the seeds of Korean fir [32] and Hamilton’s spindle [42]. Based on this parameter, broadleaf lilac seeds resemble Jezo spruce and Meyer’s spruce seeds [31]. These results indicate that lilacs do not differ considerably from other species of forest trees and bushes in terms of average seed size. Differences are observed mainly in seed shape because the length of lilac seeds considerably exceeds their width, and seed width is much greater than seed thickness. These variations are responsible for the relatively low values of seed shape indicators. Pekin lilac and Amur lilac seeds resemble Japanese fir and noble fir seeds in terms of the W/L aspect ratio [32]. Based on the values of the T/W aspect ratio, broadleaf lilac and Japanese tree lilac seeds are similar to the seeds of wayfaring tree viburnum, whereas Amur lilac seeds are comparable to the seeds of European cranberry and Sargent viburnum [34]. Based on similarities in all seed shape indicators, the examined lilac species formed the following pairs: Amur lilac and Pekin lilac, and broadleaf lilac and Japanese tree lilac. The average values of the aspect ratios describing the relationship between seed mass and seed dimensions ranged from 0.72 g m−1 (m/L in Hungarian lilac) to 15.86 g m−1 (m/T in Japanese tree lilac). Based on the average values of the m/D aspect ratio, the analyzed lilac species were classified in the following ascending order: Hungarian lilac, broadleaf lilac, Amur lilac, Pekin lilac, and Japanese tree lilac. The first two species formed a homogeneous group. An analysis of the average values of the m/D aspect ratio revealed that the seeds of Hungarian lilac and broadleaf lilac are similar to balsam fir seeds [32]; Amur lilac seeds resemble Korean fir seeds [32], whereas Japanese tree lilac seeds are comparable to the seeds of grand fir [32].
Table 1. Indicators calculated based on the physical properties (mean value ± standard deviation) of seeds of the analyzed lilac species, indicating significant differences.
The study revealed that the calculated parameters were most similar in Amur lilac and Pekin lilac seeds (these species formed homogeneous groups based on 10 attributes), whereas no similarities were observed between Amur lilac and broadleaf lilac seeds. Broadleaf lilac seeds were the most different from the seeds of the other lilac species (9 similarities), while Amur lilac seeds were the most similar to the seeds of the other species (19 similarities). Therefore, Amur lilac can be regarded as representative of all lilac species in seed processing operations that are based mainly on the physical properties of seeds.

3.2. Correlations between the Physical Characteristics of Seeds

The correlations between the mass and the other physical parameters of seeds of the examined lilac species are shown in Table 2. The absolute value of the correlation coefficient was determined in the range of 0.008 (relationship with the angle of external friction in Hungarian lilac seeds) to 0.768 (relationship with terminal velocity in Amur lilac seeds). In 13 out of 25 comparisons, the correlation coefficient exceeded 0.4, which indicates that these relationships were practically significant. In three species (Amur lilac, Hungarian lilac, and Pekin lilac), the strongest correlations were observed between seed mass and terminal velocity, and in the remaining species, the strongest relationships were noted between seed mass and seed thickness or seed width. The second highest values of r were observed for the correlation between seed mass and seed thickness. These findings indicate that lilac seeds can be most effectively separated with pneumatic separators and mesh sieves with longitudinal openings. Terminal velocity was also found to be the primary distinguishing feature in other species of forest trees and bushes [31,32,34], and this parameter is often used to sort seeds in forest nurseries. In turn, seed thickness is the critical parameter for sorting the seeds of Sitka spruce and white spruce [31], and of Korean fir and silver fir [32].
Table 2. Strength of linear correlations between seed mass and the other physical characteristics of lilac seeds.
The following physical seed parameters were most closely correlated in the examined lilac species (Table 3): seed mass and seed thickness (0.654), followed by the relationship between seed mass and terminal velocity (0.637). Values higher than 0.4 (practically significant) were noted in 7 out of 15 comparisons. The lowest absolute value of r was noted for the correlation between seed mass and the angle of external friction. The above indicates that the frictional properties of lilac seeds should not be used as a distinguishing feature in the separation process, and similar observations were made in other species of forest trees and shrubs [31,32,34].
Table 3. Strength of linear correlations between the basic physical characteristics of lilac seeds.
In four linear regression equations, the coefficient of determination was ≥ 0.3 (Figure 4), and, as could be expected based on the previously described results, this parameter was the highest for the correlation between seed mass and seed thickness. Seed mass increased from 1.4 mg to 22.8 mg as seed thickness increased from 0.42 mm to 1.72 mm, which indicates that an estimated 310% increase in seed thickness was accompanied by more than a 1500% increase in seed mass. The fact that the strongest correlation was found between seed thickness and seed mass suggests that lilac seeds would be most effectively sorted using longitudinal mesh screens and pneumatic separators. These devices are widely used in seed processing plants [33]. Mesh screens and pneumatic separators are characterized by high separation efficiency and can be applied on an industrial scale.
Figure 4. Correlations between the physical characteristics of lilac seeds.

3.3. Suggestions for Seed Separation

Due to the considerable differences in their physical properties, the seeds of the analyzed lilac species can be divided into three classes based on their size, where each class and species can differ in boundary values (Table 4). Class 3 (largest seeds) included seeds heavier than 7 mg (broadleaf lilac), 8 mg (Hungarian lilac), 14 mg (Amur lilac), 15 mg (Pekin lilac), and 21 mg (Japanese tree lilac). Class 1 (smallest seeds) contained seeds weighing less than 5 mg, 6 mg, 10 mg, 12 mg, and 17 mg, respectively. The percentage distribution of seeds belonging to the three size classes ranged from 25.4% (class 3, broadleaf lilac) to 42.6% (class 2, broadleaf lilac). In most processing facilities, seeds are sorted based on their mass, and the percentage distribution of seeds based on this parameter ranged from 17.2% to 25.6% in class 1, from 30.4% to 42.1% in class 2, and from 36.2% to 46.5% in class 3.
Table 4. Seeds of the analyzed lilac species divided into three classes based on seed mass.
The highest correlations were found between seed thickness and terminal velocity vs. seed mass, which suggests that lilac seeds should be separated in mesh sieves with longitudinal openings or pneumatic separators. In most cases (22 of 30 variants), the division of seeds of every lilac species into three fractions on the basis of their thickness or terminal velocity (Table 5) decreased the coefficient of variation of seed mass in these fractions. The above implies that each fraction contains seeds of similar mass, and the most uniform seed mass can be expected in fractions II and III, with higher average thickness and terminal velocity. In previous research conducted on spruce [31], fir [32], spindle [42], and viburnum [34] seeds, the largest seeds were also effectively divided into fractions with uniform seed mass. In fraction II, the coefficient of variation of seed mass was 2.5% (Hungarian lilac, average thickness) to 51.6% (Amur lilac, average terminal velocity) lower than in the entire seed batch. The only exception was broadleaf lilac seeds with average terminal velocity, where the coefficient of variation of seed mass increased by 3.2%. In fraction III, the coefficient of variation of seed mass decreased by 4.8% (Japanese lilac tree, high terminal velocity) to 36.6% (Amur lilac, high terminal velocity). When the differences in seed mass were compared across the examined fractions, more desirable values of the coefficient of variation (8:7 ratio) were obtained when seeds were discriminated based on their thickness rather than terminal velocity. This observation indicates that mesh screens with longitudinal openings are more suitable for sorting lilac seeds. A device equipped with two mesh sieves in the hopper would be optimal for sorting three seed fractions in a single separation process. Seeds characterized by low thickness should be separated with the use of sieves with the following size of mesh openings: ≠0.7 mm (broadleaf lilac), ≠0.8 mm (Hungarian lilac), ≠0.9 mm (Amur lilac and Pekin lilac), and 1.1 mm (Japanese tree lilac). To separate seeds characterized by high thickness, the size of mesh openings should be increased to ≠0.9 mm, ≠1.0 mm, ≠1.1 mm, and 1.2 mm, respectively. As a result, thick seeds (fraction III) accounting for around 36% (Amur lilac) to around 53% (Japan tree lilac) of all seeds would be captured by the top screen, while the thinnest seeds (fraction I) accounting for around 16% (Pekin lilac) to around 21% of all seeds would be captured by the bottom screen. Medium-thick seeds (fraction II) accounting for around 26% (Japanese tree lilac) to around 44% (Amur lilac) of the processed batch would be captured on the bottom screen. If seeds are separated by mesh sieves with longitudinal openings, the hopper should be set in oscillatory motion and the screens should be tilted at a small angle to propel unsorted seeds to the outlet.
Table 5. Variations in the mass of seeds divided into three fractions.
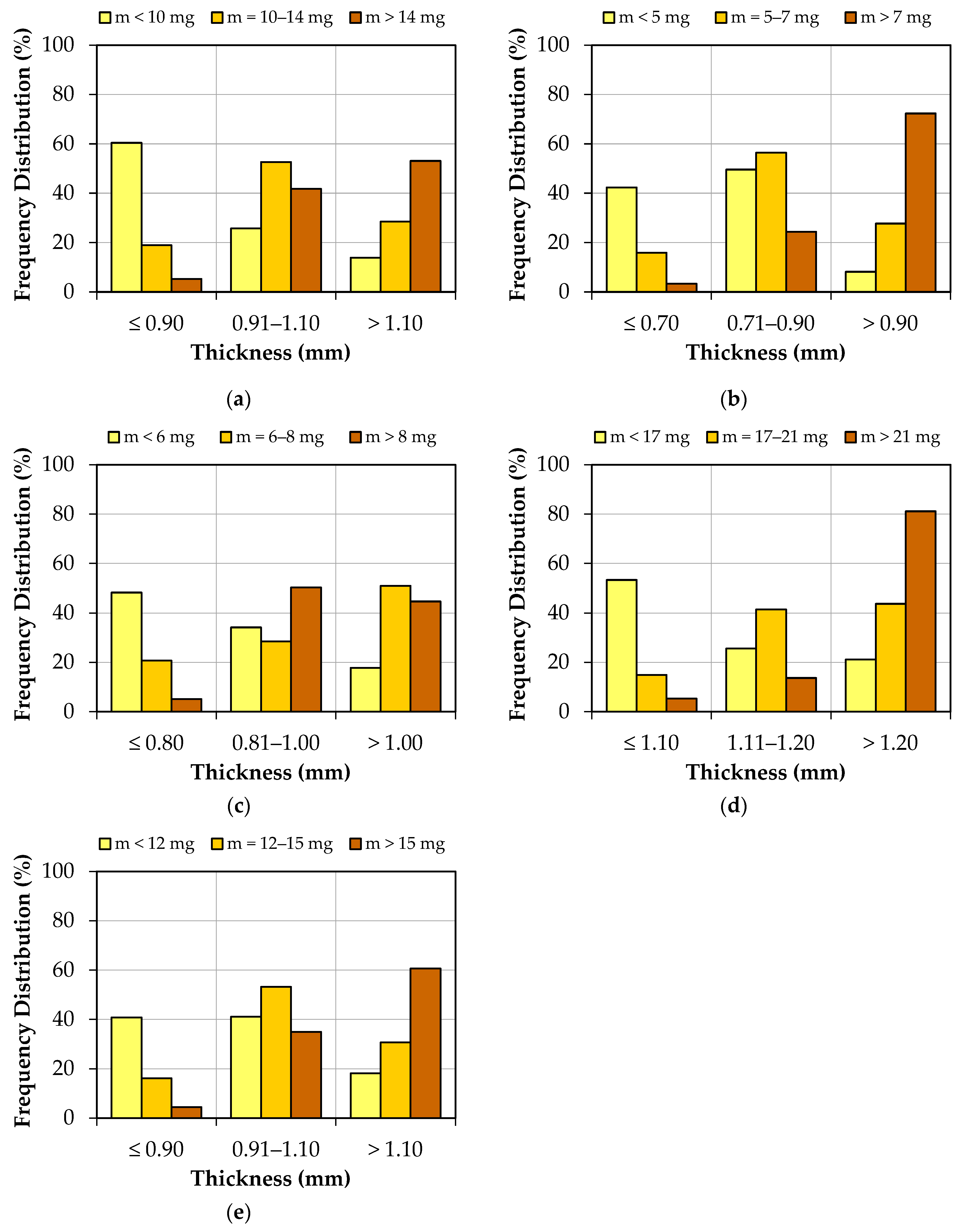
The distribution of seeds belonging to one of the three size classes in every lilac species, where seed thickness is the main distinguishing criterion, is presented in histograms in Figure 5. Lilac seeds can be divided into the following fractions with the use of separators composed of two mesh screens with the described aperture sizes:
Figure 5. Distribution of seed thickness in the analyzed lilac species: (a) Amur lilac; (b) broadleaf lilac; (c) Hungarian lilac; (d) Japanese tree lilac; and (e) Pekin lilac.
  • Fraction I (thinnest seeds) containing around 41% (Pekin lilac) to around 60% (Amur lilac) of class 1 seeds, around 15% (Japanese tree lilac) to around 21% (Hungarian lilac) of class 2 seeds, and around 3% (broadleaf lilac) to around 5% (Amur lilac, Hungarian lilac, and Japanese tree lilac) of class 3 seeds;
  • Fraction II (medium-thick seeds) containing around 26% (Amur lilac and Japanese tree lilac) to around 50% (broadleaf lilac) of class 1 seeds, around 28% (Hungarian lilac) to around 56% (broadleaf lilac) of class 2 seeds, and around 14% (Japanese tree lilac) to around 50% (Hungarian lilac) of class 3 seeds;
  • Fraction III (thickest seeds) containing around 8% (broadleaf lilac) to around 21% (Japanese tree lilac) of class 1 seeds, around 28% (broadleaf lilac) to around 51% (Hungarian lilac) of class 2 seeds, and around 45% (Hungarian lilac) to around 81% (Japanese tree lilac) of class 3 seeds.
In the separated fractions, seed mass was uniformly distributed only in Amur lilac, where each fraction contained seeds of the corresponding size classes. In broadleaf lilac and Pekin lilac, satisfactory results were obtained only for class 2 (medium-sized) and class 3 (largest) seeds, whereas in Japanese tree lilac, the uniform distribution of seed mass was achieved only in class 3 seeds. Hungarian lilac seeds can also be separated on the basis of their thickness to minimize differences in seed mass and to sort seeds into fractions with similar dimensions. The described procedure can be used to calibrate the working parameters of single-seed mechanical drills.
As previously noted, lilac seeds can also be sorted using pneumatic separators, preferably devices with two air ducts, where the speed of the air stream is adjusted to the type of processed seeds. Seed fractions with average and low terminal velocity would be lifted in the first air duct, whereas seeds with low terminal velocity would be swept up in the second air duct. In this case, to separate seeds with high terminal velocity, air speed should be set to 3.9 m s−1 for Amur lilac, Hungarian lilac, and Pekin lilac seeds, 4.4 m s−1 for broadleaf lilac seeds, and 6.0 m s−1 for Japanese tree lilac seeds (Table 5). Seeds that are carried away with the air should be directed to the second duct where air speed should be reduced to 3.3 m s−1 for Amur lilac, broadleaf lilac, Hungarian lilac, and Pekin lilac seeds, and 5.5 m s−1 for Japanese tree lilac seeds. In consequence, seeds will be separated into three fractions with different terminal velocities: fraction I (low terminal velocity) containing around 4.5% (broadleaf lilac) to around 22% (Amur lilac) of all seeds, fraction II (average terminal velocity) containing around 30% (Japanese tree lilac) to around 53% (Hungarian lilac) of all seeds, and fraction III (high terminal velocity) containing around 38% (Hungarian lilac) to around 58% (Pekin lilac) of all seeds.
The histograms illustrating the distribution of seed size classes based on terminal velocity are presented in Figure 6. In a pneumatic separator with the described air speed settings, lilac seeds will be separated into the following fractions:
Figure 6. Distribution of seed terminal velocity in the analyzed lilac species: (a) Amur lilac; (b) broadleaf lilac; (c) Hungarian lilac; (d) Japanese tree lilac; and (e) Pekin lilac.
  • Fraction III (seeds with high terminal velocity) containing around 5% (Hungarian lilac) to around 43% (Pekin lilac) of all class 1 seeds, around 39% (Hungarian lilac) to around 61% (Pekin lilac) of all class 2 seeds, and around 55% (Hungarian lilac) to around 67% (Japanese tree lilac) of all class 3 seeds;
  • Fraction II (seeds with average terminal velocity) containing around 11% (Amur lilac) to around 73% (Hungarian lilac) of all class 1 seeds, around 25% (Japanese tree lilac) to around 49% (Hungarian lilac) of all class 2 seeds, and around 28% (Japanese tree lilac) to around 45% (Hungarian lilac) of all class 3 seeds;
  • Fraction I (seeds with low terminal velocity) containing around 19% (broadleaf lilac) to around 82% (Amur lilac) of all class 1 seeds, 0% (broadleaf lilac) to around 22% (Japanese tree lilac) of all class 2 seeds, and 0% (broadleaf lilac and Hungarian lilac) to around 5% (Japanese tree lilac) of all class 3 seeds.
The uniform distribution of seed mass was not achieved in any case in two seed size classes in Amur lilac and Hungarian lilac, and in one seed size class in the remaining lilac species. In previous studies, similar effects of separating seeds of different fractions into uniform size classes were observed in the seeds of various species of forest trees and shrubs, including spruce [31], fir [32], spindle [42], and viburnum [34].

4. Conclusions

In the group of five lilac species, Amur lilac and Pekin lilac seeds were the most similar in terms of physical properties. The seeds of broadleaf lilac were the most different from the seeds of the other species, while the seeds of Amur lilac were the most similar to the seeds of the other species. Lilac species were ranked in descending order based on the average mass of individual seeds: Japanese tree lilac, Pekin lilac, Amur lilac, Hungarian lilac, and broadleaf lilac.
The strongest correlations between seed mass and terminal velocity were noted in Amur lilac, Hungarian lilac, and Pekin lilac. Seed mass was bound by the strongest correlation with seed thickness in broadleaf lilac and with seed width in Japanese tree lilac. The primary distinguishing feature of lilac seeds is seed thickness, followed by terminal velocity. These findings indicate that mesh screens with longitudinal openings and pneumatic separators are the optimal devices for sorting lilac seeds.
The parameters of seed sorting equipment should be set individually for each lilac species. The uniform distribution of seed mass can be achieved by separating lilac seeds into three fractions based on thickness or terminal velocity. The fractions containing large and medium-sized seeds will be characterized by the most uniform seed mass. The variations in seed mass will decrease by 2.5% to even 51.6% in these fractions, relative to unsorted seeds. The fractions should be sown separately in forest tree nurseries to obtain similarly-sized seedlings, facilitate nursery treatments, and promote the sustainable use of natural resources and production materials.

Author Contributions

Conceptualization, Z.K. (Zdzisław Kaliniewicz); methodology, Z.K. (Zdzisław Kaliniewicz) and P.T.; software, Z.K. (Zdzisław Kaliniewicz) and S.K.; validation, Z.K. (Zdzisław Kaliniewicz); formal analysis, Z.K. (Zdzisław Kaliniewicz) and Z.K. (Zbigniew Krzysiak); investigation, Z.K. (Zdzisław Kaliniewicz); resources, Z.K. (Zdzisław Kaliniewicz); data curation, Z.K. (Zdzisław Kaliniewicz); writing—original draft preparation, Z.K. (Zdzisław Kaliniewicz); writing—review and editing, Z.K. (Zdzisław Kaliniewicz), S.K., Z.K. (Zbigniew Krzysiak) and P.T.; visualization, Z.K. (Zdzisław Kaliniewicz); supervision, Z.K. (Zdzisław Kaliniewicz), S.K., Z.K. (Zbigniew Krzysiak) and P.T.; project administration, Z.K. (Zdzisław Kaliniewicz); funding acquisition, Z.K. (Zdzisław Kaliniewicz). All authors have read and agreed to the published version of the manuscript.

Funding

This research received no external funding.

Institutional Review Board Statement

Not applicable.

Data Availability Statement

The raw data supporting the conclusions of this article will be made available by the authors on request.

Acknowledgments

The authors would like to thank Klaudia Olejniczak, a student of Agricultural and Forest Engineering at the University of Warmia and Mazury in Olsztyn, for measuring the physical properties of lilac seeds as part of her dissertation research.

Conflicts of Interest

The authors declare no conflicts of interest.

References

  1. Boyce, R.L. Invasive shrubs and forest tree regeneration. J. Sustain. For. 2009, 28, 152–217. [Google Scholar] [CrossRef]
  2. Jaworski, A. Hodowla Lasu. Tom III. In Charakterystyka Hodowlana Drzew i Krzewów Leśnych; Silviculture. Volume 3. Breeding Characteristics of Forest Trees and Shrubs); PWRiL: Warszawa, Poland, 2011; pp. 481–511. (In Polish) [Google Scholar]
  3. Götmark, F.; Götmark, E.; Jensen, A.M. Why be a shrub? A basic model and hypotheses for the adaptive values of a common growth form. Front. Plant Sci. 2016, 7, 1095. [Google Scholar] [CrossRef]
  4. Li, H.; Shen, H.; Chen, L.; Liu, T.; Hu, H.; Zhao, X.; Zhou, L.; Zhang, P.; Fang, J. Effects of shrub encroachment on soil organic carbon in global grasslands. Sci. Rep. 2016, 6, 28974. [Google Scholar] [CrossRef] [PubMed]
  5. Bolstad, P.V.; Elliott, K.J.; Miniat, C.F. Forests, shrubs, and terrain: Top-down and bottom-up controls on forest structure. Ecosphere 2018, 9, e02185. [Google Scholar] [CrossRef]
  6. Philips, R.; Rix, M. The Botanical Garden. Vol. 1. Trees and Shrubs; Macmillan: London, UK, 2002. [Google Scholar]
  7. Rudolf, P.O.; Slabaugh, P.E.; Shaw, N.L. Syringa L.: Lilac. In The Woody Plant Seed Manual. Agric. Handbook No. 727; Bonner, F.T., Karrfalt, R.P., Eds.; U.S. Department of Agriculture, Forest Service: Washington, DC, USA, 2008; pp. 1083–1086. [Google Scholar]
  8. Jedrzejuk, A.; Szlachetka, W. Development of flower organs in common lilac [Syringa vulgaris L.] cv. Mme Florent Stepman. Acta Biol. Crac. Ser. Bot. 2005, 74, 41–52. [Google Scholar]
  9. Pooler, M.R. ‘Betsy Ross’, ‘Old Glory’, and ‘Declaration’ lilacs. HortScience 2008, 43, 544–545. [Google Scholar] [CrossRef]
  10. Wang, Y.; Lu, L.; Li, J.; Li, H.; You, Y.; Zang, S.; Zhang, Y.; Ye, J.; Lv, Z.; Zhang, Z.; et al. A chromosome-level genome of Syringa oblata provides new insights into chromosome formation in Oleaceae and evolutionary history of lilacs. Plant J. 2022, 111, 836–848. [Google Scholar] [CrossRef] [PubMed]
  11. Hanganu, D.; Niculae, M.; Ielciu, I.; Olah, N.-K.; Munteanu, M.; Burtescu, R.; Ştefan, R.; Olar, L.; Pall, E.; Andrei, S.; et al. Chemical profile, cytotoxic activity and oxidative stress reduction of different Syringa vulgaris L. extracts. Molecules 2021, 26, 3104. [Google Scholar] [CrossRef] [PubMed]
  12. Zhu, W.; Wang, Z.; Sun, Y.; Yang, B.; Wang, Q.; Kuang, H. Traditional uses, phytochemistry and pharmacology of genus Syringa: A comprehensive review. J. Ethnopharmacol. 2021, 266, 113465. [Google Scholar] [CrossRef] [PubMed]
  13. Woźniak, M.; Michalak, B.; Wyszomierska, J.; Dudek, M.K.; Kiss, A.K. Effects of phytochemically characterized extracts from Syringa vulgaris and isolated secoiridoids on mediators of inflammation in a human neutrophil model. Front. Pharmacol. 2018, 9, 349. [Google Scholar] [CrossRef] [PubMed]
  14. Filipek, A.; Wyszomierska, J.; Michalak, B.; Kiss, A.K. Syringa vulgaris bark as a source of compounds affecting the release of inflammatory mediators from human neutrophils and monocytes/macrophages. Phytochem. Lett. 2019, 30, 309–313. [Google Scholar] [CrossRef]
  15. Li, S.; Chen, L.; Liu, H.; Zhou, Y. Enrichment and isolation of syringin and oleuropein from Syringa reticulata subsp. amurensis branch bark ionic liquid extract via macroporous resin adsorption and desorption. Ind. Crop. Prod. 2022, 189, 115813. [Google Scholar] [CrossRef]
  16. Tai, B.; Bai, L.; Ji, R.; Yu, M.; NAla; Huang, L.; Zheng, H. Phytochemical and pharmacological progress on Syringa oblata, a traditional Mongolian medicine. Chin. Herb. Med. 2022, 14, 392–402. [Google Scholar] [CrossRef] [PubMed]
  17. Bi, X.; Li, W.; Sasaki, T.; Li, Q.; Mitsuhata, N.; Asada, Y.; Zhang, Q.; Koike, K. Secoiridoid glucosides and related compounds from Syringa reticulata and their antioxidant activities. Bioorg. Med. Chem. Lett. 2011, 21, 6426–6429. [Google Scholar] [CrossRef] [PubMed]
  18. Su, G.; Cao, Y.; Li, C.; Yu, X.; Gao, X.; Tu, P.; Chai, X. Phytochemical and pharmacological progress on the genus Syringa. Chem. Cent. J. 2015, 9, 2. [Google Scholar] [CrossRef] [PubMed]
  19. West, T.P.; DeMarais, S.L.; Lee, C.W. Germination of nonstratified Japanese tree lilac seeds as influenced by seed capsule maturity and moisture content. HortTechnology 2014, 24, 177–180. [Google Scholar] [CrossRef]
  20. van Nocker, S.; Gardiner, S.E. Breeding better cultivars, faster: Applications of new technologies for the rapid deployment of superior horticultural tree crops. Hort. Res. 2014, 1, 14022. [Google Scholar] [CrossRef] [PubMed]
  21. Hoskins, T.C.; Lattier, J.D.; Contreras, R.N. Sowing green seed without stratification does not shorten juvenility or increase plant size in common lilac (Syringa vulgaris). HortScience 2020, 55, 1781–1787. [Google Scholar] [CrossRef]
  22. Refouvelet, E.; Le Nours, S.; Tallon, C.; Daguin, F. A new method for in vitro propagation of lilac (Syringa vulgaris L.): Regrowth and storage conditions for axillary buds encapsulated in alginate beads, development of a pre-acclimatisation stage. Sci. Hortic. 1998, 74, 233–241. [Google Scholar] [CrossRef]
  23. Nesterowicz, S.; Kulpa, D.; Moder, K.; Kurek, J. Micropropagation of an old specimen of common lilac [Syringa vulgaris L.] from the Dendrological Garden at Przelewice. Acta Sci. Pol. Hortorum Cultus 2006, 5, 27–35. [Google Scholar]
  24. Liu, C.-P.; Liu, H.-Y.; Yang, B.-W.; Yang, L.; Zhang, P.; Shen, H.-L. Shoot multiplication of Syringa reticulata var. mandshurica from in vitro cultured seedlings. J. For. Res. 2017, 28, 41–46. [Google Scholar] [CrossRef]
  25. Chaisurisri, K.; Edwards, D.G.W.; El-Kassaby, Y.A. Effects of seed size on seedling attributes in Sitka spruce. New For. 1994, 8, 81–87. [Google Scholar] [CrossRef]
  26. Oliver, C.D. Sustainable forestry: What is it? How do we achieve it? J. For. 2003, 101, 8–14. [Google Scholar] [CrossRef]
  27. Kruk, H.; Kornatowska, B. Sustainable forest management in Poland—Theory and practice. Folia For. Pol. Ser. A For. 2014, 56, 45–55. [Google Scholar] [CrossRef]
  28. Poorter, L.; Rose, S.A. Light-dependent changes in the relationship between seed mass and seedling traits: A meta-analysis for rain forest tree species. Oecologia 2005, 142, 378–387. [Google Scholar] [CrossRef] [PubMed]
  29. Norden, N.; Daws, M.I.; Antoine, C.; Gonzalez, M.A.; Garwood, N.C.; Chave, J. The relationship between seed mass and mean time to germination for 1037 tree species across five tropical forests. Func. Ecol. 2009, 23, 203–210. [Google Scholar] [CrossRef]
  30. Karki, H.; Bargali, K.; Bargali, S.S. Effect of sowing time on germination and early seedling growth of Quercus floribunda Lindl. J. For. Environ. Sci. 2018, 34, 199–208. [Google Scholar] [CrossRef]
  31. Kaliniewicz, Z.; Żuk, Z.; Kusińska, E. Physical properties of seeds of eleven spruce species. Forests 2018, 9, 617. [Google Scholar] [CrossRef]
  32. Kaliniewicz, Z.; Markowski, P.; Anders, A.; Jadwisieńczak, K.; Żuk, Z.; Krzysiak, Z. Physical properties of seeds of eleven fir species. Forests 2019, 10, 142. [Google Scholar] [CrossRef]
  33. Załęski, A. Nasiennictwo Leśnych Drzew i Krzewów Iglastych (Management of Coniferous Forest Trees and Shrubs for Seed Production); Oficyna Edytorska, Wydawnictwo Świat: Warszawa, Poland, 1995; pp. 117–121. (In Polish) [Google Scholar]
  34. Kaliniewicz, Z.; Choszcz, D.J. Analysis of the physical properties of seeds of selected Viburnum species for the needs of seed sorting operations. Processes 2021, 9, 711. [Google Scholar] [CrossRef]
  35. Ludwikowska, A.; Kowalkowski, W.; Tarasiuk, S. The growth of small-leaved lime (Tilia cordata Mill.) clones in a seed orchard in the Susz Forest Discrict. For. Res. Pap. 2011, 72, 121–130. [Google Scholar]
  36. Kim, K.H.; Shin, S.H.; Park, S.; Park, J.C.; Kang, C.S.; Park, C.S. Relationship between pre-harvest sprouting and functional markers associated with grain weight, TaSUS2-2B, TaGW2-6A, and TaCWI-A1, in Korean wheat cultivars. SABRAO J. Breed. Genet. 2014, 46, 319–328. [Google Scholar]
  37. Kasraei, M.; Nejadi, J.; Shafiei, S. Relationship between grain physicochemical and mechanical properties of some Iranian wheat cultivars. J. Agric. Sci. Technol. 2015, 17, 635–647. [Google Scholar]
  38. Sivacioglu, A.; Ayan, S. Variation in cone and seed characteristic in a clonal seed orchard of Anatolian black pine [Pinus nigra Arnold subsp. paliasiana (Lamb.) Holmboe]. J. Environ. Biol. 2010, 31, 119–123. [Google Scholar] [PubMed]
  39. Nazarova, N.M. Seeds of Syringa vulgaris L. as a possible object for phytoindication studies of urban environment in Orenburg. RUDN J. Agron. Anim. Ind. 2023, 18, 350–360. [Google Scholar] [CrossRef]
  40. Gleiser, G.; Picher, M.C.; Veintimilla, P.; Martinez, J.; Verdú, M. Seed dormancy in relation to seed storage behavior in Acer. Bot. J. Linn. Soc. 2004, 145, 203–208. [Google Scholar] [CrossRef]
  41. Aguinagalde, I.; Hampe, A.; Mohanty, A.; Martin, J.P.; Duminil, J.; Petit, R.J. Effects of life-history traits and species distribution on genetic structure at maternally inherited markers in European trees and shrubs. J. Biogeogr. 2005, 32, 329–339. [Google Scholar] [CrossRef]
  42. Kaliniewicz, Z.; Anders, A.; Markowski, P.; Tylek, P.; Owoc, D. Analysis of the physical properties of spindle seeds for seed sorting operations. Sci. Rep. 2021, 11, 13625. [Google Scholar] [CrossRef] [PubMed]
Disclaimer/Publisher’s Note: The statements, opinions and data contained in all publications are solely those of the individual author(s) and contributor(s) and not of MDPI and/or the editor(s). MDPI and/or the editor(s) disclaim responsibility for any injury to people or property resulting from any ideas, methods, instructions or products referred to in the content.

Article Metrics

Citations

Article Access Statistics

Multiple requests from the same IP address are counted as one view.