Next Article in Journal
A Sustainable Development for Building Energy Consumption Based on Improved Rafflesia Optimization Algorithm with Feature Selection and Ensemble Deep Learning
Previous Article in Journal
Assessment of Rural Industry Integration Development, Spatiotemporal Evolution Characteristics, and Regional Disparities in Ethnic Regions: A Case Study of Inner Mongolia Autonomous Region Counties
 
 
Font Type:
Arial Georgia Verdana
Font Size:
Aa Aa Aa
Line Spacing:
Column Width:
Background:
Article

Do Green Finance Policies Inhibit the Financialization of Manufacturing Enterprises? Empirical Evidence Based on a Quasi-Natural Experiment with the “Green Credit Guidelines”

School of Business, Beijing Language and Culture University, 15 Xueyuan Road, Haidian District, Beijing 100083, China
*
Author to whom correspondence should be addressed.
Sustainability 2024, 16(15), 6305; https://doi.org/10.3390/su16156305
Submission received: 31 May 2024 / Revised: 29 June 2024 / Accepted: 22 July 2024 / Published: 23 July 2024
(This article belongs to the Section Economic and Business Aspects of Sustainability)

Abstract

Against the background of the increasing financialization of manufacturing enterprises, whether green financial policies can inhibit the financialization of manufacturing enterprises is a major practical issue worth exploring. It can help government departments to guide the sustainable development of the real economy of enterprises, effectively curbing the trend of over-financialization of enterprises, thus preventing potential systemic risks and safeguarding the sustainable development of the economy. Because the green credit guidelines function as a more mature development of green financial policies, this paper takes Chinese A-share listed companies from 2005 to 2022 as the research sample, adopts the propensity score matching and double difference method, and constructs a quasi-natural experiment with the “Green Credit Guidelines” as the policy shock to analyze the multiple impact effects of green financial policies on the financialization of manufacturing enterprises. The results of the study show that (1) green finance policy has a significant inhibiting effect on the financialization of manufacturing enterprises; (2) due to the different motives of manufacturing enterprises in holding financial assets, green finance policy has a more significant inhibiting effect on the long-term financialization of “substitution”; (3) state-owned enterprises (SOEs) bear more social responsibilities and have credit advantages. Green finance policy has a more obvious inhibiting effect on the financialization of non-state-owned manufacturing enterprises; (4) major shareholders can play a better supervisory role in enterprises with high equity concentrations, so green finance policy has a more significant inhibiting effect on the financialization of manufacturing enterprises with low equity concentrations; (5) financing constraints have a masking effect in green finance policy and enterprise financialization. Based on this, this paper puts forward the following targeted recommendations. For the governmental level: first, to establish a sound manufacturing credit system; second, to focus on enterprise-financing constraints. For the enterprise level: first, to optimize the asset structure to promote transformation; second, to deepen the mixed ownership reform of state-owned enterprises.

1. Introduction

In recent years, the entity enterprise’s industrial investment rate has begun shrinking and has gradually presented an “industrial hollowing out”. The entity known as enterprise is becoming increasingly detached from the industry and favors holding financial assets projected to obtain financial returns, investment projects, and profit sources that will increase financialization. A report to the 20th National Congress of the Communist Party of China clearly puts forward an insistence on putting the focus of economic development on the real economy, and it implements the purpose of financial services in the industry. Therefore, it is of great theoretical and practical significance to explore the influencing factors of the financialization of manufacturing enterprises in the important period of national economic transformation to clarify the governance mechanism and reduce the level of financialization, as well as to avoid the emergence of “departs from the real economy”.
By directing the flow of capital to green industries, green financial policies not only promote the mutually integrated development of the economy, society, and environmental protection, but also promote real investment by enterprises and reduce the level of financialization of enterprises. The Green Credit Guidelines are an important green finance policy issued by the former China Banking Regulatory Commission in 2012 which enriched and improved the relevant regulations on green credit and refined the management system of green credit. In the subsequent promotion process, the central bank, CBRC, and the Ministry of Finance and other departments have continued to issue green credit-related policy documents and continuously push the green credit system to perfection and landing. Considering the timing and importance, the “Green Credit Guidelines” in enterprise the environmental protection standard of enterprises into the credit approval considerations, prompting manufacturing enterprises to internalize the pollution cost, marking that green credit, as a powerful means of administrative and financial combination, has entered into the operation and construction formally and promotes reaching the goal of China’s pollution emission reduction. In the context of the rapid development of green credit and green finance, it is of great practical value to explore the impact of green finance policies on the financialization of manufacturing enterprises, as it will also help enterprises avoid over-financialization and promote sustainable business development.
Based on this, this paper empirically examines the effect of the “Green Credit Guidelines” on the financialization of manufacturing enterprises using listed companies in China as the research sample. The marginal contributions of this paper mainly lie in the following: first, it enriches the related literature on the assessment of the effect of green financial policies, and it provides empirical evidence on how financial regulators can prevent the excessive financialization of enterprises; second, it explores the heterogeneity of financial assets, the heterogeneity of property rights, and the heterogeneity of equity concentration, which provides reference for the adjustment of financial policies by the government and the adjustment of equity structure by enterprises; and, third, it probes the effect of green financial policies on the financialization of manufacturing enterprises from the perspective of financing constraints and financialization of manufacturing enterprises from the perspective of financing constraints, which helps to understand the micro-transmission mechanism of the policy.

2. Literature Review

2.1. Impact of Green Finance Policies on the Financialization of Real Businesses

Testa et al. (2011) [1] found that environmental regulation mainly exerts the effect of “innovation compensation”. Under reasonable environmental regulation, enterprises will improve environmental protection technology. Li et al. (2018) [2] found that green financial policy can reduce the energy consumption of enterprises and realize the social responsibility of environmental protection while, at the same time, green financial policy improves the willingness of enterprises to engage with technological innovation and promotes clean production. Francesco L et al. (2019) [3] noted that green finance policies have a positive impact on the proficiency and quality of green finance and lay the groundwork for technological advances in business. Wang Yanli et al. (2021) [4] analyzed how, under the influence of green financial policy, the management will be more cautious about the investment strategy, reduce the investment of high energy consumption and high pollution, and increase the green investment projects, thus alleviating the enterprise-financing constraints, improving the efficiency of enterprise entity investment, and inhibiting the financial investment. Yu Maomao et al. (2021) [5] believe that the green credit policy will provide more protection for enterprise R&D investment through financial support, forcing enterprises to transform and upgrade, increasing R&D investment, and inhibiting enterprise financialization. Chen Xiao (2022) [6] argues that green financial policies have a direct shaping effect on enterprise ESG performance and that corporations’ active response to green financial policies can comprehensively improve ESG performance. Pan Haiying et al. (2022) [7] believe that the ESG performance of enterprises directly affects their degree of financialization and that enterprises with a good ESG performance are more likely to attract the favor of financial institutions, reduce financing costs, and obtain more favorable financial support. Zhang Xiaoke et al. (2021) [8] believe that, under the influence of the “Green Credit Guidelines”, banking financial institutions have strengthened the compliance review of green credit for heavily polluting industries and reduced the scale of credit financing for heavily polluting enterprises, which makes manufacturing enterprises face higher financing constraints.

2.2. Financial Asset Heterogeneity

Aivazuan et al. (2005) [9] argues that financialization motivated by a “reservoir” of precautionary savings tends to alleviate the financing constraints of enterprises and reduce the pressure of financial distress on enterprises. Hu Yiming et al. (2017) [10] argue that financial assets that act as “reservoirs” do not “crowd out” real investment, while financial assets that act as “substitutes” do “crowd out” real investment. The role of financial assets as a “reservoir” will not “crowd out” real investment, while the role of financial assets as “substitute” will “crowd out” real investment. Wang Hongjian et al. (2017) [11] believe that long-term financial assets are more profitable and that excessive investment in long-term financial assets is not conducive to investing resources in innovation, research and development, and new business expansion. Additionally, to avoid liquidity risk, heavily polluting enterprises have the incentive to match debt maturity with asset maturity and increase the allocation of liquid financial assets. Liu Yan et al. (2022) [12] show that green financial policies will strengthen the “reservoir” motivation of heavy polluting enterprises, prompting them to increase the allocation of monetary financial assets, but will weaken the “asset substitution” motivation, prompting them to reduce the allocation of risky financial assets.

2.3. Property Rights Heterogeneity

Claessens et al. (2003) [13] states that, when firms’ property rights can be secured, firms are able to allocate resources better and grow faster. Gu Leilei et al. (2020) [14] show that SOEs assume more social functions and that their preference for investment in financial assets is different from that of private enterprises. Ma Yue et al. (2022) [15] point out that different enterprises have different effects on the impact of green financial policies. State-owned enterprises (SOEs) have a higher degree of sociality and are more likely to receive credit support from banks. Non-SOEs do not have these advantages and will cooperate more actively with green finance policies in order to obtain credit support and stable development. Banks prefer SOEs in terms of credit and are more inclined to provide credit support to SOEs when different enterprises face the same default risk. As a result, non-SOEs are more responsive to green credit policies. Li Siqi et al. (2023) [16] found that SOEs and private enterprises are significantly different in terms of strategic position, the ability to fetch resources, and enterprise governance, with SOEs having a higher level of substantive green innovation and private enterprises having a higher level of strategic green innovation, also finding that decision-making power allocation has a differentiated impact on green innovation in enterprises with different ownership properties.

2.4. Equity Concentration Heterogeneity

Claessens et al. (2002) [17] argue that equity concentration enhances an enterprise’s internal governance mechanism, thereby improving operating performance. In enterprises with high equity concentration, the marginal cost of controlling shareholders’ self-interested behavior is also higher, and equity concentration enhances controlling shareholders’ control and influence, which further improves the operating performance of listed companies. He Yanlin (2014) [18] found that, under the condition of full circulation of shares, the second type of agency cost is reduced, the negative effect of equity concentration is reduced, and the positive effect is increased. At this time, the increase in equity concentration is conducive to the active participation of major shareholders in managing and supervising enterprise management. Cheng Cuifeng (2018) [19] points out that major shareholders face more concentrated risks when equity concentration increases and, at this time, major shareholders will invest more cautiously and react more sensitively to policies. Large shareholders are more active in supervising management in order to increase equity returns, thus improving enterprise governance and reducing unnecessary financial asset allocation.

2.5. Mechanisms for Financing Constraints

Kliman et al. (2015) [20] shows that the financialization of enterprises sacrifices productive investment but can help to obtain higher credit ratings from banks, alleviate financing constraints, and promote enterprises to invest in the real economy. Shim (2019) [21] shows that the cost of external financing and the degree of financing constraints affect the proportion of enterprises’ financial assets. When faced with excessive financing constraints, enterprises will hold more financial assets. Si Dengkui et al. (2021) [22] believe that, when the enterprise-financing constraints are large, in order to cope with the possible shortage of capital, underinvestment, and other financial difficulties, the real enterprise tends to reduce the investment in fixed assets with higher financing costs and longer financing periods, which will reduce the investment in the main business of the real enterprise and trigger the decline in the rate of return on the main business. Tian Chao et al. (2021) [23] argue that the Green Credit Guidelines will increase enterprises’ long-term debt financing constraints and equity financing, which will inhibit enterprises’ investment in innovation, and the effect will persist in the long run. Enterprises with financing constraints affected by the green credit policy may take measures such as increasing the level of enterprise financialization to expand their capital size in order to alleviate their financing constraints. Madeira (2024) [24] also points out that the impact of macroprudential policies on the growth of externally dependent industries is somewhat persistent, with the impact remaining measurable even after two years and working through the credit channel.

2.6. Literature Review

The comprehensive literature exploring the impact of green financial policy research is mostly focused on the business performance of enterprises, enterprise green innovation, and financing constraints, as well as on the financialization of enterprises to influence the mechanism, and when the effect of the research information is lower, the research level is relatively single. Since the promulgation of the “Green Credit Guidelines” in 2012, the green financial system has become more complete, and although scholars have reached a consensus that green financial policies in general have an inhibitory effect on the financialization of enterprises, there is a lack of research on the consideration of the heterogeneity of financial assets and enterprises, as well as on the mechanism of the role of the research. Therefore, this paper further examines the impact of the “Green Credit Guidelines” on the financialization of manufacturing enterprises under different financial assets, different property rights natures, and different equity concentrations, and it empirically tests the masking effect of financing constraints.

3. Theoretical Analysis and Research Hypothesis

As a relatively mature green financial policy, green credit in China has been developed for many years, especially the Green Credit Guidelines issued by the former China Banking Regulatory Commission in 2012, which play a huge role in eliminating backward production capacity and promoting the development of green industries. Exploring the “Green Credit Guidelines” from the perspective of enterprise governance has the following effects on the financialization of manufacturing enterprises: Su Dongwei et al. (2018) [25] concluded that the “Green Credit Guidelines” put forward higher requirements on the environmental social responsibility of the banking industry, strengthen the credit expenditure on green enterprises, and strictly control the credit of polluting enterprises. The green credit policy forces manufacturing enterprises to actively seek transformation, and, in order to realize the green and sustainable development of enterprises, enterprises will reduce the allocation of financial assets and increase investment in innovation as well as transformation. Wang Xin et al. (2021) [26] noted that the “Green Credit Guidelines” have a positive impact on the disclosure of environmental information by enterprises, thus promoting enterprise governance by shareholders, alleviating the agency problem of enterprises and preventing excessive financial assets. Furthermore, during the credit process, enterprises will strengthen enterprise governance and improve investment efficiency in order to obtain loans to meet green credit standards. At the same time, the loans obtained will be invested in green areas under the supervision of the banking industry and the CBRC, indirectly reducing the allocation of financial assets.
Hypothesis 1.
Implementation of the “Green Credit Guidelines” inhibits financialization of manufacturing enterprises.
From the perspective of financial asset allocation, the effect of green finance policies on the financialization of manufacturing enterprises needs to be specifically analyzed in the context of different motivations. From the perspective of the “reservoir” motive, green financial policies may accelerate the financialization of manufacturing enterprises. Under the influence of green financial policies, manufacturing enterprises will face the reality of rising financing costs and shortening debt maturity structures. In order to alleviate the financing constraints brought about by the green financial policy, manufacturing enterprises have the incentive to increase the allocation of monetary financial assets; at the same time, Dai Jing et al. (2020) [27] argue that, in order to avoid liquidity risk, manufacturing enterprises will increase the allocation of highly liquid financial assets. Therefore, based on the green financial policy changes in the financing environment that are expected, manufacturing enterprises have a stronger “reservoir” motivation to increase the allocation of monetary financial assets. Additionally, in regard to the “alternative” motivation based on long-term financial assets, the green financial policy still has a significant inhibitory effect. In summary, Hypothesis 2 is proposed.
Hypothesis 2.
The “Green Credit Guidelines” weaken the “substitution” incentives of manufacturing enterprises and discourage long-term financialization more significantly.
Hu Hao et al. (2022) [28] found that, due to information asymmetry, state-owned enterprises have always been in an advantageous position in the credit field, banks are more willing to grant loans to more stable state-owned enterprises, and the business purposes of state-owned enterprises are more diversified, leading to a consideration of a variety of factors, such as providing employment, stabilizing regional development, and rationing of social necessities, rather than just maximizing enterprise value. Therefore, since the promulgation of the “Green Credit Guidelines”, non-SOEs, due to more flexible development strategies and more urgent financial needs, have a stronger incentive to engage with environmental information disclosure and green transformation, and they are also more inclined to invest in technological innovation and reduce financial asset allocation. On the other hand, SOEs have more serious principal–agent problems, and their managers are more inclined to maintain stability than to carry out reforms, so the shock effect of the Green Credit Guidelines is weakened. In summary, Hypothesis 3 is proposed.
Hypothesis 3.
The “Green Credit Guidelines” have a stronger disincentive effect on the financialization of non-state-owned manufacturing enterprises compared to state-owned enterprises.
Managers’ behavior of abandoning physical investments for financialized investments in order to obtain short-term gains reflects the principal–agent problem behind the financialization of enterprises. According to the principal–agent theory, when faced with conflicts of interest, managers tend to put their own interests first, which in turn may jeopardize the interests of shareholders. For example, managers over-invest in order to obtain more resources or higher incomes, make special investments in order to keep their positions from being replaced by others, and so on. Wu Yiding et al. (2021) [29] show that large shareholders will be more active in monitoring the enterprise’s management and constraining their self-interested behavior to some extent. Since large shareholders pay more attention to the investment and development of real enterprises and do not support excessive financialization of enterprises to reduce the negative impact on the long-term value of enterprises, in enterprises with high equity concentrations, large shareholders supervise more actively so that the enterprise’s capital can flow to more valuable projects and avoid the excessive financialization of enterprises. This results in enterprises with high equity concentrations being insensitive to the financialization disincentive caused by the implementation of the Green Credit Guidelines. In summary, Hypothesis 4 is proposed.
Hypothesis 4.
The financialization disincentive effect of the “Green Credit Guidelines” is stronger for manufacturing enterprises with low equity concentrations.
In the context of green credit, financial institutions need to consider whether enterprises comply with environmental protection requirements in granting loans, thus affecting their asset allocation through the financing constraint path. Sun Yi et al. (2022) [30] find that, for manufacturing enterprises with more energy-consuming and high-emission projects, the promulgation of the Green Credit Guidelines has raised the threshold and cost of their financing, and enterprises are more willing to hold more financial assets under high financing constraints. There are two reasons for this: First, the fair value of financial assets is easy to determine and the discount is less, so the liquidity and pledge rate of financial assets are higher than that of fixed assets. Enterprises holding more financial assets have easier access to bank credit. Second, because enterprises face higher financing constraints, they will hold more financial assets to cope with uncertain future funding needs for “reservoir” motives. In summary, Hypothesis 5 is proposed.
Hypothesis 5.
Financing constraints have a masking effect on the dampening effect of the “Green Credit Guidelines” in regard to the financialization of manufacturing enterprises.

4. Research Design

4.1. Data Sources and Sample Selection

In this paper, listed companies from 2005 to 2022 are selected as the research sample and the data samples are screened according to the following criteria: first, financial and real estate industries are deleted; second, ST, *ST and delisted companies are deleted; third, missing data samples are eliminated; fourth, the samples of companies listed after 31 December 2010 are excluded, considering the completeness of the main variables; fifth, the before and after 1% of the shrinkage treatment. The above data were obtained from the CSMAR database, 27,117 observations were obtained after screening the data with Excel 2021 and Python 3.11, and the data were further analyzed using Stata17.0.

4.2. Variable Selection and Description

In this paper, Fin, an indicator of the degree of financialization of real enterprises, is used as an explanatory variable. Referring to Yu Maomao et al. (2021) [5], we divide the financial assets into short-term financial assets and long-term financial assets, and the calculation formula is shown in Table 1.
In this paper, manufacturing enterprises are taken as the experimental group and non-manufacturing enterprises are taken as the control group. When the enterprises are manufacturing enterprises, the treatment group dummy variable, Treated, is taken as 1, otherwise it is taken as 0. The exogenous shock of this paper, the Green Credit Guidelines, was formally enacted on 24 February 2012, so this paper takes 2012 as the node of the policy implementation, and the policy dummy variable Time is taken as 1 for the samples when the year is in 2012 and later; otherwise, it is taken as 0. The core explanatory variable of this paper is Did. It is the cross-multiplier term of the manufacturing enterprise dummy variable (Treated) and the policy dummy variable (Time) and is used to measure the impact of green finance policies on the financialization of manufacturing enterprises.
The mediating variable is the financing constraint indicator SA. Referring to the study of Ju Xiaosheng et al. (2013) [33], this paper uses the SA indicator in the CSMAR database to indicate the financing constraints of the enterprises.
In order to avoid biased estimations as much as possible, this paper refers to the existing literature and adds the following control variables in turn: enterprise size, gearing ratio Lev, growth, enterprise cash flow OCF, profitability ROA, share1 of the first largest shareholder, the numbers of the board of directors, and leadership structure Dual.

4.3. Model Building

This paper constructs the following series of models.
Model 1:
F i n i t = β 0 + β 1 D i d i t + β 2 C O N T R O L S + ε i t
In the formula, β0 is the constant term, β1 is the coefficient, and εit is the random perturbation term. The explanatory variable Finit indicates the proportion of financial assets of enterprise i in year t, the explanatory variable Didit indicates whether enterprise i is a post-policy-enactment manufacturing enterprise in year t, and CONTROLS are the respective control variables. Drawing on the research results of Zhang Sicheng et al. (2016) [34], Song Jun et al. (2015) [31] and Wang Yanli et al. (2021) [4], the eight control variables shown in the table below are selected to ensure the accuracy and reliability of the model as much as possible. This model allows us to verify the impact of the Green Credit Guidelines on the financialization of enterprises and the explanatory variables. If the coefficient of the explanatory variable Did in the regression results of Model 1 is significantly less than 0, it indicates that the Green Credit Guidelines inhibit the financialization of manufacturing enterprises.
Model 2-1:
F i n i t = α 0 + α 1 D i d i t + α 2 C o n t r o l s + ε i t
Model 2-2:
S A i t = β 0 + β 1 D i d i t + β 2 C o n t r o l s + ε i t
Models 2-3:
F i n i t = γ 0 + γ 1 D i d i t + γ 2 S A i t + γ 3 C o n t r o l s + ε i t
In this paper, we refer to the method of Wen Zhonglin et al. (2014) [35] to build Models 2-1, 2-2 and 2-3 to test the masking effect of agency costs. If when α1 in model 2-1, β1 in model 2-2, and γ2 in model 2-3 are significant (while α1 and β1γ2 have opposite signs), then it indicates that there is a masking effect of agency costs and Hypothesis 5 is established. The variable indicators are shown in Table 2.

5. Empirical Results and Analysis

5.1. Descriptive Statistics

Table 3 shows the descriptive statistics of the variables; the minimum value of the financialization of enterprises (Fin) is 0 and the maximum value is 0.535, which indicates that there are large differences in the degree of financialization of different enterprises, and the mean value of 0.070 is greater than the median value of 0.029, which indicates that the degree of financialization shows a right-skewed distribution and that the degree of financialization is too high in some enterprises. There is also a large difference in equity concentration (Share1), so this paper considers the effect of equity concentration.

5.2. Correlation Analysis

The correlation analysis is shown in Table 4, in which the correlation coefficient between the cross-multiplier term Did and the enterprise financialization Fin is significantly negative, which initially indicates that the implementation of green financial policy will inhibit the enterprise financialization. Except for different financialization indicators with high correlation coefficients, the absolute values of correlation coefficients between variables are less than 0.3. After the VIF test, the VIF values of each variable are less than 10, so there is no multicollinearity problem.

5.3. PSM-DID

Based on the above research design, propensity score matching was conducted by dividing the manufacturing enterprises in A-share in 2012 and later into the treatment group that received the guideline impact and other enterprises as the control group. Table 5 shows the results of a propensity score matching balance test. After matching, the standard deviations of the control variables all decrease significantly, and the significance of most of the variables also decreases significantly, indicating that the difference between the two groups of data is reduced after matching. Figure 1 depicts the change in error before and after matching. Figure 2 demonstrates the common range of values for the samples, with only 27 samples unmatched, suggesting that there is a minimal loss of sample size to perform a match that does not result in a large bias.
In Figure 3, the kernel density function plot of the curves of the processing group and the control group before matching is large, while the curves of the two groups after matching are obviously closer, indicating that the distribution of the propensity to score of the two groups of samples after matching is very close and that the gap between the enterprises is significantly narrowed, and the above jointly verifies that the matching is effective. After matching, this paper eliminates 10 samples that are not in the common range of values and finally obtains 40,924 samples for the DID test, of which 20,877 are in the treatment group and 11,129 are in the control group.
The results of the double differencing are shown in Table 6. Column (1) controls only for time and individual effects, and the cross-multiplier term Did coefficient is significantly negative at the 10% level. Column (2) adds a series of control variables and the cross-multiplier term Did coefficient is −0.009, which is significantly negative at the 5% level. This suggests that the promulgation of the Green Credit Guidelines reduces the level of financialization of manufacturing enterprises and that Hypothesis 1 is valid.
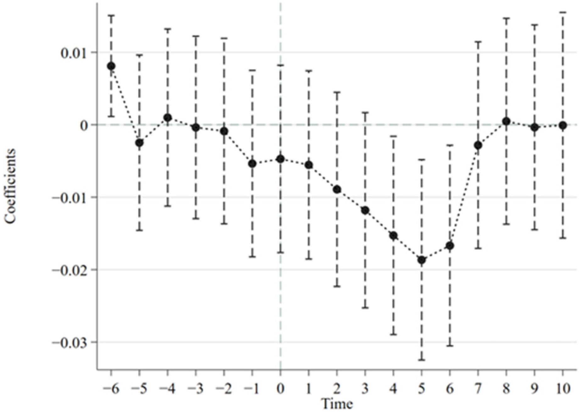
The parallel trend test is shown in Figure 4, where it can be seen that the coefficient tends to be close to zero before the implementation of the policy (T < 0) and the coefficient is significantly negative after the implementation of the policy (T ≥ 0), indicating that the implementation of the bill has an inhibitory effect on the financialization of the manufacturing enterprises. This is followed by a placebo test involving randomly assigning the experimental group with 500 replications. The results are shown in Figure 5, where most of the estimated coefficients lie around −0.005 and are insignificant, ruling out the influence of unobservable factors on the empirical results.

5.4. Heterogeneity Analysis

(1)
Financial asset heterogeneity
To examine whether green financial policies will have different impacts on different types of financialization of manufacturing enterprises, financial assets are divided into short-term financial assets (Fin1) and long-term financial assets (Fin2). The regression results are shown in Table 7, where the cross-multiplier term Did is significantly negative at the 5% level for long-term financial assets and is not significant for long-term financial assets. This is because the green financial policy increases the level of enterprise-financing constraints, as the motive of “reservoir” will hold more short-term financial assets. The green finance policy promotes the transformation and upgrading of manufacturing enterprises, improves the investment in R&D, and reduces the allocation of long-term financial assets, so Hypothesis 2 is valid.
(2)
Equity Concentration Heterogeneity
In order to test whether the impact of green financial policies on the financialization of manufacturing enterprises varies according to the equity concentration of the enterprises, this paper, as well as the equity concentration, divides the sample into low, medium, and high equity concentration enterprises. The regression results are shown in Table 8; for low-equity concentration enterprises, the cross-multiplier term is significantly negative at the 5% level; for medium-equity concentration enterprises, the coefficient is not significant (although it is still negative); and, in the high-equity concentration sample, the coefficient becomes positive and significant. This result suggests that, as large shareholders pay more attention to the investment and development of real enterprises, it helps to curb the financialization of enterprises. Therefore, in enterprises with high equity concentration, the monitoring role of the majority shareholders is more effective in allowing enterprises’ capital to flow to more valuable projects as a way to reduce the degree of financialization of enterprises. This results in manufacturing enterprises with high equity concentration being insensitive to the financialization inhibition caused by the implementation of the “Green Credit Guidelines”, and Hypothesis 3 holds.
(3)
Property rights heterogeneity
In order to examine the impact of the Green Credit Guidelines on the financialization of enterprises with different ownerships, this paper conducts a grouping test, and the results are shown in Table 9. When the control variables are not considered, the cross-multiplier term Did SOE and non-SOE financializations are both significantly negative at the 10% level but the coefficient of non-SOEs is larger in absolute value; when the control variables are considered, the cross-multiplier term Did SOE and non-SOE financializations are both significantly negative at the 5% level but the coefficient of the absolute value of the coefficient of non-SOEs is larger. This indicates that green financial policies have an inhibitory effect on the financialization level of both SOEs and non-SOEs, which again shows that Hypothesis 1 is valid. This is because state-owned enterprises strive for stability, and state-owned enterprises themselves have advantages in terms of credit, but even with the introduction of the “green credit policy”, the impact on their business strategies is relatively small; in contrast, private enterprises are more competitive among themselves, and their strategy tends to entail adjusting its flexibility to increase its investment in innovation and upgrading and reduce investment in the financial sector for long-term development considerations. In summary, the impact of green financial policy on the financialization of enterprises is more significant for non-state-owned enterprises and Hypothesis 2 of this paper is established.
(4)
Mechanism of action analysis
For the masking effect of financing constraints, as shown in Table 10, the first column regresses the cross-multiplier term with enterprise financialization and the coefficient α1 is significantly negative, i.e., the policy enactment will inhibit the financialization of manufacturing enterprises; the second column regresses the cross-multiplier term with enterprise-financing constraints and the coefficient β1 is significantly negative, which indicates that the policy enactment will make the financing constraints index increase in absolute value and raise the level of enterprise-financing constraints; the third column regresses the financing constraints and the cross-multiplier term together with enterprise financialization regression, and the coefficient γ1 of the cross-multiplier term is significantly negative, indicating that the SA index is negatively correlated with enterprise financialization (the larger the enterprise-financing constraint (the larger the absolute value of SA), the higher the level of enterprise financialization). In summary, green financial policies increase enterprise-financing constraints and increase enterprise precautionary financial assets, financing constraints have a masking effect on the transmission of green financial policies in regard to enterprise financialization, and Hypothesis 5 is established.

5.5. Robustness Check

(1)
Substitution of explanatory variables
It is well documented that enterprises usually hold long-term equity investments, mainly for the purpose of controlling the assets operated by the investee enterprise and thus increasing the value of the enterprise, but seldom for the motives of “reservoir” and “investment”. Therefore, in order to test the robustness of executive equity incentives in inhibiting the financialization of enterprises, we remove long-term equity investments from the measure of enterprises’ financial assets, as suggested by Zhang Sicheng et al. (2016) [34]. We define the narrow financial assets Fin3 as an explanatory variable to test whether the green finance policy has a dampening effect on it. As can be seen from Table 11, after removing long-term equity investment from financial assets, green financial policies still have a dampening effect on enterprise financialization and are significantly negative at the 1% level.
(2)
Dynamic panel regression analysis
The following dynamic panel model is built by choosing gearing ratio as the endogenous variable and both financialization of enterprises lagged by two periods and gearing ratio lagged by one period as instrumental variables:
F i n i t = β 0 + β 1 F i n i t 1 + β 1 D i d i t + β 2 C o n t r o l s + ε i t
The regression results are shown in Table 12 and the AR(2) values using a one-step and two-step model are 0.905 and 0.429, respectively, which are consistent with the a priori hypothesis of serial uncorrelation, and the p-values of the Hansen test are 0.562 and 0.562, respectively, which indicate that the instrumental variables are limited, proving the validity of the estimation. From the regression results, it can be seen that the coefficient of enterprise financialization in the lagged period is significantly positive at the 1% level, indicating that the level of financial financialization in the previous period has a positive effect on the level of enterprise financialization in the current period. The reason is that enterprise financial assets, especially long-term financial assets, have continuity, i.e., enterprise financialization is a continuous and dynamic adjustment process. The coefficients of the cross-multiplier term (Did) on enterprise financialization are −0.105 and −0.087, respectively, and are significant at the 5% level, which is consistent with the results of the static panel model, proving that the Green Credit Guidelines have a significant inhibitory effect on enterprise financialization.

6. Conclusions and Recommendations

6.1. Conclusions

Under the current background of deepening financialization, this paper selects listed companies from 2005 to 2022 as research samples to explore the impact of the “Green Credit Guidelines” on the financialization of manufacturing enterprises, empirically researches by using propensity score matching and a double-difference model, and draws the following conclusions.
Firstly, the “Green Credit Guidelines” promotes the green transformation of enterprises, improves the enterprise governance ability, and can significantly inhibit the manufacturing enterprises’ financialization. This conclusion is consistent with the currently available literature.
Second, due to the difference in risk and return between short-term and long-term financial assets, the “Green Credit Guidelines” significantly inhibit long-term financialization for “substitution” motives. Due to the diversified business purposes and credit advantages of SOEs, the guidelines have a stronger dampening effect on the financialization of non-SOEs than that of SOEs. For enterprises with high equity concentrations, where majority shareholder monitoring has avoided excessive financialization, the guidelines have a more significant inhibition of financialization for manufacturing enterprises with low equity concentrations. The conclusion of the heterogeneity calibration is the same as most of the existing literature. However, there are some scholars who argue that the Green Credit Guidelines have a stronger disincentive effect on SOEs.
Third, the “Green Credit Guidelines” lead to higher financing constraints for manufacturing enterprises, which, to some extent, promotes financialization, and financing constraints have a masking effect in regard to the guidelines and financialization. There are few current scholars who study the masking utility of financing constraints between the Green Credit Guidelines and corporate financialization, but the results of this paper are in line with existing economic theories and related hypotheses.

6.2. Recommendations

There are two policy recommendations at the governmental level. First, establishing a sound credit assessment system for the manufacturing industry. The manufacturing industry in China has an extremely important position, so, in the implementation of green credit, financial policies need to take into account the special position of manufacturing, a sound assessment system for the manufacturing industry, and a wide range of manufacturing-industry-designated quantifiable assessment systems to guide the green transformation and upgrading of the manufacturing industry. Secondly, ensuring that the manufacturing industry has accurate green credit investments. This involves understanding the characteristics and difficulties of financing manufacturing enterprises through green credit in order to adjust the allocation of enterprises in R&D investments and financial assets, accurate positioning and solutions for manufacturing enterprises showing difficulties, and ensuring that green credit to guide the green transformation of enterprises. Finally, optimizing the credit structure of the manufacturing industry. Manufacturing enterprise innovation investments and green transformation cycles is a long process that requires high investment and needs more long-term capital. Therefore, increasing medium- and long-term credit resources in the manufacturing industry, especially the credit support for R&D investment, is conducive to the long-term sustainable development of manufacturing enterprises. On the other hand, attention should be paid to enterprise-financing constraints. First, we need to optimize the financial ecological environment. Green financial policy can change the manufacturing enterprise-financing constraint environment, which will significantly enhance the “reservoir” motivation. When the manufacturing enterprises begin to increase financial asset allocation, it is not conducive to enterprise investment in green innovation and will further “off the real to the virtual”. Therefore, the government should optimize the financial ecological environment and vigorously develop the direct financing market. Second, we need to take differentiated credit measures. For different types of enterprises at different stages of development, differentiated credit assistance or credit restrictions should be adopted to solve the problem of enterprise financing on the basis of risk control.
Furthermore, there are two policy recommendations at the enterprise level. On the one hand, there is optimizing the asset structure for transformation. First, the proportion of short-term financial assets in financial assets should be appropriately increased. Retaining a portion of highly liquid financial assets is conducive to easing the financing constraints of enterprises, dealing with unexpected financial problems in a timely manner, and taking advantage of possible investment opportunities. However, the proportion of short-term financial assets should not be too high, considering that excessive holding of highly liquid assets will increase the opportunity cost. Secondly, there is increasing the investment in intangible assets. Enterprises can improve patents, technology, and other intangible assets through their own R & D or external purchases to improve the core competitiveness of enterprises and improve business conditions. Finally, there is paying attention to capital management. Some enterprises, especially manufacturing enterprises, have a weak sense of capital management, and the management system is inefficient. Therefore, the enterprise can train the management and financial personnel, improve the enterprise management to pay attention to the degree of importance of capital management in order to create an efficient and perfect capital management system, and upgrade the enterprise capital management platform so as to replace the enterprise capital management level and economic benefits. On the other hand, there is deepening the mixed ownership reform of state-owned enterprises. First, establish a system of professional managers. State-owned enterprise managers should be introduced into the market competition mechanism on the basis of the organization selection and approval of some senior management personnel, in addition to the introduction of private enterprise executives. For the management of SOEs’ compensation management, it should be differentiated, market-oriented, and adopt certain medium- and long-term executive equity incentives to combine market-oriented compensation with medium- and long-term incentives to stimulate the management’s enthusiasm. Second, encourage private enterprises to participate in mixed ownership reform. It has been shown in the literature that “two-way mixed reform”, which includes both private participation in SOEs and SOE participation in private enterprises, is more conducive to enterprise innovation. Therefore, we should increase the enthusiasm of private enterprises to participate in mixed ownership reform and provide more options for private enterprises to participate in mixed ownership reform. Finally, optimize the management chain of state-owned enterprises. In terms of traditional state-owned enterprise organization development, management efficiency is low, and, in the process of mixed reform, we should learn from private enterprises, especially the Internet enterprise flat management. Establishing a management mechanism that can respond to market demand in a timely manner, optimizing the information transmission mechanism, and giving more power to the front line so that the company can respond to market changes in a timely manner are all advisable.
The limitation of this paper is that the impact of the Green Credit Guidelines is investigated from the perspective of financial asset allocation but the optimal level of financialization of firms cannot be calculated. At the same time, due to the small number of sample years prior to 2012, it may not be possible to fully analyze the characteristics of the policy before the shock.

Author Contributions

Conceptualization, Y.X.; Methodology, Y.X.; Software, S.G.; Validation, S.G.; Writing—original draft, Y.X., S.G.; Writing—review & editing, Y.X., S.G.; Funding acquisition, Y.X. All authors have read and agreed to the published version of the manuscript.

Funding

This research was funded by [the Fundamental Research Funds for the Central Universities] grant number [24QN40].

Institutional Review Board Statement

Not applicable.

Informed Consent Statement

Not applicable.

Data Availability Statement

Data are contained within the article.

Conflicts of Interest

The authors declare no conflict of interest.

Correction Statement

This article has been republished with a minor correction to the Funding statement. This change does not affect the scientific content of the article.

References

  1. Testa, F.; Iraldo, F.; Frey, M. The effect of environmental regulation on enterprises’ competitive performance: The case of the building & construction sector in some EU regions. J. Environ. Manag. 2011, 92, 2136–2144. [Google Scholar]
  2. Li, Z.; Liao, G.; Wang, Z.; Huang, Z. Green loan and subsidy for promoting clean production innovation. J. Clean. Prod. 2018, 187, 421–431. [Google Scholar] [CrossRef]
  3. Lamperti, F.; Mazzucato, M.; Roventini, A.; Semieniuk, G. The green transition: Public policy, finance, and the role of the State. Vierteljahrsh. Wirtsch. 2019, 88, 73–88. [Google Scholar] [CrossRef]
  4. Wang, Y.; Cao, X.; Long, R. Does Green Credit Policy Improve the Investment Efficiency of Enterprises?—Based on the perspective of financial resource allocation in heavily polluted enterprises. China Popul.-Resour. Environ. 2021, 31, 123–133. [Google Scholar]
  5. Yu, M.; Ma, Y. Does environmental regulation inhibit enterprise financialization behavior?—A quasi-natural experiment based on the introduction of the new Environmental Protection Law. J. Beijing Inst. Technol. (Soc. Sci. Ed.) 2021, 23, 30–43. [Google Scholar]
  6. Chen, X. The impact of green finance policy implementation on ESG performance of listed companies. Mod. Mark. (Low. Decade) 2022, 11, 28–30. [Google Scholar]
  7. Pan, H.; Zhu, Y.; Xin, F. ESG Performance and Enterprise Financialization: The Moderating Effect of Internal and External Regulation. J. Nanjing Audit. Univ. 2022, 19, 60–69. [Google Scholar]
  8. Zhang, X.; Ge, J. Research on the dual resource allocation optimization effect of green financial policy. Ind. Econ. Res. 2021, 6, 15–28. [Google Scholar]
  9. Aivazian, A.V.; Ge, Y.; Qiu, J. The impact of leverage on enterprise investment: Canadian evidence. J. Enterp. Financ. 2005, 11, 277–291. [Google Scholar]
  10. Hu, Y.; Wang, X.; Zhang, J. Financial Asset Allocation Motivation: “Reservoir” or “Substitution”?—Evidence from Chinese listed companies. Econ. Res. 2017, 52, 181–194. [Google Scholar]
  11. Wang, H.; Cao, Y.; Yang, Q.; Yang, Z. Whether financialization of real enterprises promotes or inhibits enterprise innovation-an empirical study based on Chinese manufacturing listed companies. Nankai Manag. Rev. 2017, 20, 155–166. [Google Scholar]
  12. Liu, Y.; Qin, H. Can Green Credit Policy Curb the Financialization of Heavy Polluting Enterprises-A Quasi-Natural Experiment Based on the Green Credit Guidelines. Financ. Regul. Res. 2022, 10, 61–77. [Google Scholar]
  13. Claessens, S.; Laeven, L. Financial Development, Property Rights, and Growth. J. Financ. 2003, 58, 2401–2436. [Google Scholar] [CrossRef]
  14. Gu, L.; Guo, J.; Wang, H. Enterprise social responsibility, financing constraints and enterprise financialization. Financ. Res. 2020, 2, 109–127. [Google Scholar]
  15. Ma, Y.; Ming, S. Green credit and enterprise environmental information disclosure quality—A quasi-natural experiment based on the Green Credit Guidelines. Mod. Manag. Sci. 2022, 3, 100–108. [Google Scholar]
  16. Li, S.; Feng, Y. Nature of property rights and enterprise green innovation: A heterogeneity analysis based on the allocation of decision-making power. Ecol. Econ. 2023, 39, 95–102. [Google Scholar]
  17. Claessens, S.; Djankov, S.; Fan, J.P.H.; Lang, L.H.L. Disentangling the Incentive and Entrenchment Effects of Large Shareholdings. J. Financ. 2002, 57, 2741–2771. [Google Scholar] [CrossRef]
  18. He, Y. The impact of equity concentration on enterprise performance in strategic emerging industries. J. Southwest Univ. Natl. (Humanit. Soc. Sci. Ed.) 2014, 35, 124–132. [Google Scholar]
  19. Cheng, C. Executive Incentives, Equity Concentration and Enterprise R&D and Innovation Strategies—Empirical Evidence Based on the Moderating Effect of Panel Data of Listed Manufacturing Companies. East China Econ. Manag. 2018, 32, 118–125. [Google Scholar]
  20. Kliman, A.; Williams, S.D. Why ‘financialization’ hasn’t depressed US productive investment. Camb. J. Econ. 2015, 39, 67–92. [Google Scholar] [CrossRef]
  21. Shim, J. Loan portfolio diversification, market structure and bank stability. J. Bank. Financ. 2019, 104, 103–115. [Google Scholar] [CrossRef]
  22. Si, D.; Li, X.; Zhao, Z. Shadow banking of non-financial enterprises and the risk of stock price collapse. China Ind. Econ. 2021, 6, 174–192. [Google Scholar]
  23. Tian, C.; Xiao, L. Does Green Credit Promote Technological Innovation in Heavy Polluting Enterprises?—A quasi-natural experiment based on the Green Credit Guidelines. China Environ. Manag. 2021, 13, 90–97. [Google Scholar]
  24. Madeira, C. The impact of macroprudential policies on industrial growth. J. Int. Money Financ. 2024, 145, 103106. [Google Scholar] [CrossRef]
  25. Su, D.; Lian, L. Does Green Credit Affect the Investment and Financing Behavior of Heavy Polluting Enterprises? Financ. Res. 2018, 12, 123–137. [Google Scholar]
  26. Wang, X.; Wang, Y. Green Credit Policy for Green Innovation. Manag. World 2021, 37, 173–188+11. [Google Scholar]
  27. Dai, J.; Liu, G.; Xu, C. Human capital allocation in the financial sector and financial asset investment in real enterprises. Financ.-Trans. Econ. 2020, 41, 35–49. [Google Scholar]
  28. Hu, H.; Liu, X. Green Credit and Enterprise Total Factor Productivity: A Quasi-Natural Experimental Analysis Based on “Two High and One Remaining” Enterprises. Ind. Technol. Econ. 2022, 41, 75–84. [Google Scholar]
  29. Wu, Y.; Yi, Z. Equity concentration and financialization of non-financial enterprises: The role of agency costs. Ind. Technol. Econ. 2021, 40, 91–97. [Google Scholar]
  30. Sun, Y.; Teng, Y. Trial Analysis of the Relationship between Green Credit Policy and Financialization of Polluting Enterprises. J. Southwest Pet. Univ. (Soc. Sci. Ed.) 2022, 24, 26–34. [Google Scholar]
  31. Song, J.; Lu, Y. The U-Shaped Relationship between Non-Monetary Financial Assets and Operating Returns—Evidence of Financialization from Listed Non-Financial Companies in China. Financ. Res. 2015, 6, 111–127. [Google Scholar]
  32. Cao, W.; Qi, H.; Zhao, C. Motivation for allocation of corporate financial assets: An analysis based on the nature of property rights and heterogeneous shareholders’ participation. China Ind. Econ. 2023, 2, 150–168. [Google Scholar]
  33. Ju, X.; Lu, D.; Yu, Y. Financing constraints, working capital management and enterprise innovation sustainability. Econ. Res. 2013, 48, 4–16. [Google Scholar]
  34. Zhang, S.; Zhang, B. The mystery of China’s declining industrial investment rate: An economic financialization perspective. Econ. Res. 2016, 51, 32–46. [Google Scholar]
  35. Wen, Z.; Ye, B. Mediation effects analysis: Methods and model development. Adv. Psychol. Sci. 2014, 22, 731–745. [Google Scholar] [CrossRef]
Figure 1. Standardized deviations for each variable.
Figure 1. Standardized deviations for each variable.
Sustainability 16 06305 g001
Figure 2. Common range of values for the propensity score.
Figure 2. Common range of values for the propensity score.
Sustainability 16 06305 g002
Figure 3. Kernel density function before and after sample matching. (a) Before matching; (b) after matching.
Figure 3. Kernel density function before and after sample matching. (a) Before matching; (b) after matching.
Sustainability 16 06305 g003
Figure 4. Parallel trend test.
Figure 4. Parallel trend test.
Sustainability 16 06305 g004
Figure 5. Placebo test.
Figure 5. Placebo test.
Sustainability 16 06305 g005
Table 1. Measurement of financial assets.
Table 1. Measurement of financial assets.
NotationName Measurement MethodReference
Financial assets with different maturitiesFinFinancial assetShort-term financial assets + long-term financial assetsSong Jun et al. (2015) [31],
Cao Wei et al. (2023) [32]
Fin1Short-term financial assetsFinancial assets held for trading + dividend receivable + interest receivable + derivative financial assetsYu Maomao et al. (2021) [5]
Fin2Long-term financial assetsAvailable-for-sale financial assets + held-to-maturity investments + long-term equity investments + investment propertiesYu Maomao et al. (2021) [5]
Table 2. List of variable indicators.
Table 2. List of variable indicators.
NotationNameMeasurement Method
Explanatory variableFinRatio of financial assetsFinancial assets/total assets
Fin1Ratio of short-term financial assetsShort-term financial assets/total assets
Fin2Proportion of long-term financial assetsLong-term financial assets/total assets
Interpreted scalarDidGreen finance policy variables1 for manufacturing enterprises after policy enactment, 0 otherwise
Control variableSizeEnterprise sizeTotal assets taken as a natural logarithm
LevGearingTotal liabilities/total assets
GrowthGrowthRevenue growth rate
OCFEnterprise cash flowCash flow from operating activities/total business assets
ROAProfitabilityNet profit/total business assets
Share1Shareholding ratio of the largest shareholderNumber of shares held by the largest shareholder/total number of shares
BoardBoard sizeThe number of board members is taken as a natural logarithm
DualLeadership structureThe chairman and general manager are the same person take 1, otherwise take 0
Intermediary variableSAFinancing constraintsSA index
Virtual variableSOENature of property rightsState-owned enterprises take 1, non-state-owned enterprises take 0
YearYearYear dummy variable
CompanyCompanyIndividual dummy variables
Table 3. Descriptive statistics of variables.
Table 3. Descriptive statistics of variables.
VariableNMeanp50SDMinMax.
Fin40,9340.0700.0290.10200.535
Fin140,9340.01800.06100.845
Fin240,9340.0540.0180.094−0.0260.981
Did240,9340.51010.50001
Size40,93421.98421.8091.29918.97825.971
Lev40,9340.4230.4150.2100.0500.972
Growth40,9340.1830.1190.413−0.5682.636
OCF40,9340.0510.0490.071−0.1650.261
ROA40,9340.0400.0400.066−0.2740.221
Share140,9340.3510.3290.1510.0880.751
Board40,9342.1382.1970.2011.6092.708
Dual40,9340.27300.44501
SA40,934−3.745−3.7490.288−5.6462.131
Table 4. Correlation analysis of variables.
Table 4. Correlation analysis of variables.
VariableFinFin1Fin2Did2SizeLevGrowth
Fin1
Fin10.515 ***1
Fin20.820 ***−0.057 ***1
Did−0.074 ***0.125 ***−0.168 ***1
Size0.026 ***−0.047 ***0.066 ***0.020 ***1
Lev−0.104 ***−0.228 ***0.030 ***−0.184 ***0.363 ***1
Growth−0.063 ***−0.010 *−0.070 ***−0.030 ***0.032 ***0.020 ***1
OCF−0.013 **0.073 ***−0.060 ***0.030 ***0.089 ***−0.145 ***0.036 ***
ROA0.0010.111 ***−0.074 ***0.069 ***0.008 *−0.386 ***0.230 ***
Share1−0.051 ***−0.025 ***−0.043 ***−0.085 ***0.170 ***0.022 ***0.012 **
Board−0.030 ***−0.099 ***0.029 ***−0.151 ***0.233 ***0.152 ***−0.009 *
SA−0.134 ***−0.105 ***−0.095 ***−0.246 ***−0.154 ***−0.020 ***0.042 ***
OCFROAShare1BoardDualSA
OCF1
ROA0.390 ***1
Share10.120 ***0.133 ***1
Board0.046 ***−0.002000.027 ***1
Dual−0.017 ***0.057 ***−0.055 ***−0.180 ***1
SA0.0070.050 ***0.175 ***0.042 ***0.027 ***1
Notes: The symbols *, **, *** represent 10%, 5%, and 1% significance levels, respectively.
Table 5. Propensity score matching test.
Table 5. Propensity score matching test.
VariableMatch before/afterTreatment Group MeanControl Group MeanStandard Error (%)Error Reduction (%)T-Valuep-Value
SizeBefore22.01021.9574.0 4.090
After22.01022.037−2.147.8−2.140.032
LevBefore0.3860.463−37.4 −37.90
After0.3860.386−0.498.9−0.420.671
GrowthBefore0.171 0.196−6.1 −6.140
After0.171 0.174−0.886.2−0.920.036
OCFBefore0.053 0.0496.0 6.040
After0.053 0.0504.819.65.030
ROABefore0.044 0.03513.8 13.980
After0.044 0.0433.078.33.140.002
Share1Before0.338 0.364−17.0 −17.210
After0.338 0.3370.796.00.710.477
BoardBefore2.108 2.168−30.4 −30.810
After2.108 2.1010.698.10.580.561
DualBefore0.330 0.21326.6 26.860
After0.330 0.3143.686.63.420.001
Table 6. Regression results of the double difference method.
Table 6. Regression results of the double difference method.
Variable(1)(2)
FinFin
Did−0.007 *−0.009 **
(0.004)(0.004)
Size −0.006 ***
(0.002)
Lev −0.033 ***
(0.008)
Growth −0.006 ***
(0.001)
OCF −0.012
(0.008)
ROA −0.052 ***
(0.011)
Share1 −0.039 ***
(0.012)
Board −0.001
(0.005)
Dual −0.004 *
(0.002)
Constant0.043 ***0.202 ***
(0.003)(0.040)
Company FEYesYes
Year FEYesYes
Obs.40,92440,924
adj.R20.0520.063
Notes: The symbols *, **, *** represent 10%, 5%, and 1% significance levels, respectively. Values in parentheses are cluster robust standard errors.
Table 7. Analysis of financial asset heterogeneity.
Table 7. Analysis of financial asset heterogeneity.
Variable(1)(2)(3)(4)
Fin1Fin1Fin2Fin2
Did0.0010.001−0.007 **−0.009 **
(0.001)(0.001)(0.003)(0.003)
ControlsNoYesNoYes
Constant0.007 ***0.0060.036 ***0.193 ***
(0.001)(0.012)(0.003)(0.036)
Company FEYesYesYesYes
Year FEYesYesYesYes
Obs.40,92440,92440,92440,924
adj.R20.1230.1270.0230.037
Notes: The symbols **, and *** represent 5%, and 1% significance levels, respectively. Values in parentheses are cluster robust standard errors.
Table 8. Heterogeneity analysis of equity concentration.
Table 8. Heterogeneity analysis of equity concentration.
VariableLow ConcentrationLow ConcentrationCentralizationCentralizationHigh ConcentrationHigh Concentration
FinFinFinFinFinFin
Did−0.019 **−0.020 **−0.005−0.0050.001−0.001
(0.008)(0.008)(0.007)(0.007)(0.005)(0.005)
ControlsNoYesNoYesNoYes
Constant0.045 ***0.216 ***0.039 ***0.171 **0.040 ***0.304 ***
(0.008)(0.080)(0.006)(0.077)(0.004)(0.074)
Company FEYesYesYesYesYesYes
Year FEYesYesYesYesYesYes
Obs.13,62613,62613,65413,65413,64413,644
adj.R20.0460.0560.0560.0670.0500.065
Notes: The symbols **, and *** represent 5%, and 1% significance levels, respectively. Values in parentheses are cluster robust standard errors.
Table 9. Analysis of property rights heterogeneity.
Table 9. Analysis of property rights heterogeneity.
VariableSOESOEnon-SOEnon-SOE
FinFinFinFin
Did−0.009 *−0.010 **−0.011 *−0.013 **
(0.005)(0.005)(0.006)(0.006)
ControlsNoYesNOYes
Constant0.057 ***0.329 ***0.019 ***0.157 ***
(0.003)(0.061)(0.007)(0.055)
Company FEYesYesYesYes
Year FEYesYesYesYes
Obs.16,15016,15024,77424,774
adj.R20.0140.0410.0960.103
Notes: The symbols *, **, *** represent 10%, 5%, and 1% significance levels, respectively. Values in parentheses are cluster robust standard errors.
Table 10. Masking effect test.
Table 10. Masking effect test.
Variable(1)(2)(3)
FinSAFin
Did−0.009 **−0.012 **−0.010 **
(0.004)(0.006)(0.004)
SA −0.063 ***
(0.012)
ControlsYesYesYes
Constant0.202 ***−2.492 ***0.046
(0.040)(0.087)(0.054)
Company FEYesYesYes
Year FEYesYesYes
Obs.40,92440,92440,924
adj.R20.0630.8710.067
Sobel test0.001 *** (0.000)
Godman-1 test0.001 *** (0.000)
Godman-2 test0.001 *** (0.000)
Notes: The symbols **, and *** represent 5%, and 1% significance levels, respectively. Values in parentheses are cluster robust standard errors.
Table 11. Replacement of explanatory variables test.
Table 11. Replacement of explanatory variables test.
Variable(1)(2)
Fin3Fin3
Did−0.008 ***−0.009 ***
(0.003)(0.003)
ControlsNoYes
Constant−0.005 **0.105 ***
(0.002)(0.035)
Company FEYesYes
Year FEYesYes
Obs.40,92440,924
adj.R20.0630.071
Notes: The symbols **, and *** represent 5%, and 1% significance levels, respectively. Values in parentheses are cluster robust standard errors.
Table 12. Dynamic Panel Model Tests.
Table 12. Dynamic Panel Model Tests.
VariableOne-StepTwo-Step
FinFin
L. Fin0.727 ***0.725 ***
(0.035)(0.038)
Did−0.105 **−0.087 **
(0.054)(0.041)
ControlsYesYes
Constant0.048 ***0.496 **
(0.008)(0.200)
Obs.36,41136,411
AR(1)0.0000.000
AR(2)0.9050.429
Hansen test0.5620.562
Notes: The symbols **, and *** represent 5%, and 1% significance levels, respectively. Values in parentheses are cluster robust standard errors.
Disclaimer/Publisher’s Note: The statements, opinions and data contained in all publications are solely those of the individual author(s) and contributor(s) and not of MDPI and/or the editor(s). MDPI and/or the editor(s) disclaim responsibility for any injury to people or property resulting from any ideas, methods, instructions or products referred to in the content.

Share and Cite

MDPI and ACS Style

Xu, Y.; Guo, S. Do Green Finance Policies Inhibit the Financialization of Manufacturing Enterprises? Empirical Evidence Based on a Quasi-Natural Experiment with the “Green Credit Guidelines”. Sustainability 2024, 16, 6305. https://doi.org/10.3390/su16156305

AMA Style

Xu Y, Guo S. Do Green Finance Policies Inhibit the Financialization of Manufacturing Enterprises? Empirical Evidence Based on a Quasi-Natural Experiment with the “Green Credit Guidelines”. Sustainability. 2024; 16(15):6305. https://doi.org/10.3390/su16156305

Chicago/Turabian Style

Xu, Yunsong, and Siyan Guo. 2024. "Do Green Finance Policies Inhibit the Financialization of Manufacturing Enterprises? Empirical Evidence Based on a Quasi-Natural Experiment with the “Green Credit Guidelines”" Sustainability 16, no. 15: 6305. https://doi.org/10.3390/su16156305

APA Style

Xu, Y., & Guo, S. (2024). Do Green Finance Policies Inhibit the Financialization of Manufacturing Enterprises? Empirical Evidence Based on a Quasi-Natural Experiment with the “Green Credit Guidelines”. Sustainability, 16(15), 6305. https://doi.org/10.3390/su16156305

Note that from the first issue of 2016, this journal uses article numbers instead of page numbers. See further details here.

Article Metrics

Back to TopTop